Movatterモバイル変換


[0]ホーム

URL:


CN114422127A - Quantum key distribution system, method, storage device and intelligent terminal integrating image encryption - Google Patents

Quantum key distribution system, method, storage device and intelligent terminal integrating image encryption
Download PDF

Info

Publication number
CN114422127A
CN114422127ACN202111668106.5ACN202111668106ACN114422127ACN 114422127 ACN114422127 ACN 114422127ACN 202111668106 ACN202111668106 ACN 202111668106ACN 114422127 ACN114422127 ACN 114422127A
Authority
CN
China
Prior art keywords
quantum key
image
encryption
sequence
key distribution
Prior art date
Legal status (The legal status is an assumption and is not a legal conclusion. Google has not performed a legal analysis and makes no representation as to the accuracy of the status listed.)
Withdrawn
Application number
CN202111668106.5A
Other languages
Chinese (zh)
Inventor
郭邦红
邝绍文
胡敏
Current Assignee (The listed assignees may be inaccurate. Google has not performed a legal analysis and makes no representation or warranty as to the accuracy of the list.)
National Quantum Communication Guangdong Co Ltd
Original Assignee
National Quantum Communication Guangdong Co Ltd
Priority date (The priority date is an assumption and is not a legal conclusion. Google has not performed a legal analysis and makes no representation as to the accuracy of the date listed.)
Filing date
Publication date
Application filed by National Quantum Communication Guangdong Co LtdfiledCriticalNational Quantum Communication Guangdong Co Ltd
Priority to CN202111668106.5ApriorityCriticalpatent/CN114422127A/en
Publication of CN114422127ApublicationCriticalpatent/CN114422127A/en
Withdrawnlegal-statusCriticalCurrent

Links

Images

Classifications

Landscapes

Abstract

The invention discloses a quantum key distribution method fusing image encryption, which comprises the steps of firstly, carrying out quantum key distribution on both data transmission sides, and synchronously generating a quantum key bit sequence; obtaining 2 quantum key bit sequences k and k' with 256 bits from key pools of both data transmission parties, and respectively generating an initial value x of Logistic mapping by using formulas0,y0(ii) a Generating a chaotic sequence { xiAnd { y }j}; the generated chaotic sequence is changed from xi∈(0,1),yjE (0,1) floating point number, mapping to xi∈[1,M],yj∈[1,N](ii) a Using the obtained chaotic sequence xi,yjMix imagesChaos scrambling and encryption; using xi,yjThe image is subjected to diffusion encryption by the coordinate relation; and continuously generating the quantum key to finish communication. The invention realizes one-time pad based on image encryption because quantum key distribution continuously updates the quantum key, completes the fusion of quantum key encryption distribution of the image encryption algorithm, and greatly improves the security of communication.

Description

Quantum key distribution system, method, storage device and intelligent terminal integrating image encryption
Technical Field
The invention relates to the field of data communication and quantum keys, in particular to a quantum key distribution system fusing image encryption, a quantum key distribution method fusing image encryption, a storage device fusing image encryption and an intelligent terminal.
Background
Network data information protection is the key to network transmission security. In network transmission, the confidentiality of data can be ensured by adopting an encryption algorithm, and the data of a user is prevented from being stolen or leaked; the integrity of the data is ensured, and the data transmitted by a user is prevented from being tampered; the identity confirmation of the two communication parties can ensure that the data is sourced from the legal user.
When both communication parties transmit data, the adopted encryption algorithm is determined, the transmitted data are processed according to the algorithm through the secret key before the data are transmitted, a ciphertext is generated and transmitted through a channel, and after the encrypted ciphertext is received by the receiving party, the ciphertext is decrypted through the secret key, so that the data information is obtained.
With the development of science and technology, cloud computing, big data and quantum computing are started, and the computing capability of a computer is continuously improved; the password which originally needs to be destroyed in tens of thousands of years is completed within days or even hours. The data is encrypted and transmitted by only depending on an encryption algorithm, and the security of the data cannot be ensured.
Therefore, it is necessary to improve the prior art and propose a quantum key distribution method for fusing image encryption with higher security.
Disclosure of Invention
In order to solve the technical problem, a quantum key distribution method, a storage device and an intelligent terminal which are higher in security and are fused with image encryption are provided.
In order to achieve the purpose, the technical scheme adopted by the invention is as follows:
a quantum key distribution system fusing image encryption comprises a QKD device, a key pool, an initial module, a chaotic sequence generation module, a mapping module, an image chaotic scrambling encryption module and an image diffusion encryption module which are sequentially connected through electric signals, wherein:
the QKD device is used for generating a quantum key bit sequence and sending the quantum key bit sequence to a key pool;
the key pool is used for storing the quantum key bit sequence;
the initial module obtains 2 quantum key bit sequences k and k' with 256 bits from the key pools of both data transmission parties, and respectively uses formulas
Figure BDA0003451627480000021
And
Figure BDA0003451627480000022
generating initial value x of Logistic mapping0,y0
The chaotic sequence generation module passes
Figure BDA0003451627480000023
At randomly acquired mu and lambda1、λ2And generating a chaotic sequence { x under the value of gammaiAnd { y }j};
The mapping module utilizes the generated chaos sequence by a formula
Figure BDA0003451627480000024
Shifting the chaos value from xi∈(0,1),yjE (0,1) floating point number, mapping to xi∈[1,M],yj∈[1,N];
The image chaos scrambling encryption module utilizes the obtained chaos sequence { xiAnd { y }jChaotically scrambling and encrypting the image;
the image diffusion encryption module utilizes xi,yjThe coordinate relationship of (a) performs diffusion encryption on the image.
A quantum key distribution method for fusing image encryption comprises the following steps:
the method comprises the following steps: the data transmission parties perform quantum key distribution through a quantum key distribution protocol, a quantum key bit sequence is synchronously generated, and the generated quantum key bit sequence is stored in key pools of the data transmission parties;
step two: 2 quantum key bit sequences k and k' with 256 bits are obtained from key pools of both data transmission parties, and formulas are respectively utilized
Figure BDA0003451627480000025
And
Figure BDA0003451627480000026
generating initial value x of Logistic mapping0,y0
Step three: by passing
Figure BDA0003451627480000027
At randomly acquired mu and lambda1、λ2And generating a chaotic sequence { x under the value of gammaiAnd { y }j};
Step four: using the chaos sequence generated in the third step by a formula
Figure BDA0003451627480000028
Shifting the chaos value from xi∈(0,1),yjE (0,1) floating point number, mapping to xi∈[1,M],yj∈[1,N];
Step five: using the obtained chaotic sequence xi,yjCarrying out chaotic scrambling encryption on the image;
step six: using xi,yjCarrying out diffusion encryption on the image by the coordinate relation;
step seven: continuously generating quantum key, and encrypting the random parameters mu and lambda generated in the step three after each encryption1、λ2And gamma importing the quantum key to update the quantum key, sending the data image and the updated quantum key to a data receiver, and repeating the steps from the first step to the seventh step.
Preferably, the quantum key distribution protocol employs a BB84 protocol.
Preferably, the two data transmission parties in the second step acquire quantum key bit sequences through the quantum links as x of the two-dimensional Logistic mapping0And y0Is started.
Preferably, the quantum key bit sequence is k ═ k1k2k3…k256In the sequence, each kiThe value representing a 0 or 1Is selected to be the binary bit of (1).
Preferably, in the scrambling encryption of the third step, each pixel point (x) is encryptedi,yj) Mapping to pixel points (x' by chaotic sequencei,y`j) And then scrambling and encrypting the image.
Preferably, in said scrambling encryption, use is made of
Figure BDA0003451627480000031
And
Figure BDA0003451627480000032
Figure BDA0003451627480000033
where M, N represent the length and width of the picture, respectively, will { xiAnd { y }jMapping the sequence to the interval [1, M ] of the corresponding length and width of the picture in turn]And the interval [1, N]。
A storage device having a plurality of instructions stored therein, wherein the instructions are adapted to be loaded by a processor and to perform the steps of the above-described quantum key distribution method for fused image encryption.
An intelligent terminal, comprising a processor for executing each instruction and a storage device for storing a plurality of instructions, characterized in that the instructions are adapted to be loaded by the processor and to execute the steps of the quantum key distribution method for fusing image encryption.
The invention has the beneficial technical effects that:
the method effectively encrypts the quantum key distribution and the two-dimensional logistic chaotic mapping fusion image, and the data communication parties distribute the quantum key through the BB 84-based protocol, so that the security of the quantum key distribution is fully utilized, and meanwhile, the quantum key and the two-dimensional logistic chaotic sequence are combined to generate the encrypted image according to the characteristics of digital image encryption.
The method has the characteristics of high safety, low ciphertext correlation, strong key sensitivity and the like. Because quantum key distribution continuously updates the quantum key, the method can realize one-time pad based on image encryption, and the image encryption algorithm is fused, so that the method has high safety.
Drawings
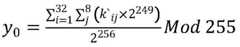
Fig. 1 is a schematic block diagram of a quantum key distribution system fusing image encryption according to the present invention.
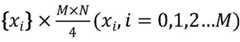
Fig. 2 is a flowchart illustrating steps of a quantum key distribution method for merging image encryption according to the present invention.
Detailed Description
In order to make the objects, technical solutions and advantages of the present invention more apparent, the present invention is further described in detail with reference to the following embodiments, but the scope of the present invention is not limited to the following embodiments.
Multimedia network images have the characteristics of large data volume, high data redundancy, strong data correlation and the like, so that encryption is generally performed by adopting a special image encryption algorithm. A highly safe key distribution method is lacked during classic image encryption, and the security of multimedia image transmission in a network can be improved by fusing quantum key distribution and an image encryption algorithm.
The two-dimensional logistic chaotic mapping has the characteristics of non-periodicity and non-convergence, and high sensitivity to the initial value of the key, and the characteristics are very suitable for being combined with a quantum key distribution mechanism. Therefore, the section provides a quantum key and two-dimensional logistic mapping image encryption algorithm QTLE, the quantum key distribution and the classical two-dimensional logistic mapping image encryption algorithm are fused, the advantages of the quantum key distribution and the classical two-dimensional logistic mapping image encryption algorithm are fully combined, and the one-time pad based on quantum encryption image transmission is realized.
As shown in fig. 1, a quantum key distribution system fusing image encryption comprises a QKD device, a key pool, an initial module, a chaotic sequence generation module, a mapping module, an image chaotic scrambling encryption module and an image diffusion encryption module, which are sequentially connected by an electrical signal, wherein:
the QKD device is used for generating a quantum key bit sequence and sending the quantum key bit sequence to a key pool;
the key pool is used for storing the quantum key bit sequence;
the initial moldObtaining 2 quantum key bit sequences k and k' with 256 bits from key pools of both data transmission parties by a block, and respectively utilizing formulas
Figure BDA0003451627480000041
And
Figure BDA0003451627480000042
generating initial value x of Logistic mapping0,y0
The chaotic sequence generation module passes
Figure BDA0003451627480000043
At randomly acquired mu and lambda1、λ2And generating a chaotic sequence { x under the value of gammaiAnd { y }j};
The mapping module utilizes the generated chaos sequence by a formula
Figure BDA0003451627480000044
Shifting the chaos value from xi∈(0,1),yjE (0,1) floating point number, mapping to xi∈[1,M],yj∈[1,N];
The image chaos scrambling encryption module utilizes the obtained chaos sequence { xiAnd { y }jChaotically scrambling and encrypting the image;
the image diffusion encryption module utilizes xi,yjThe coordinate relationship of (a) performs diffusion encryption on the image.
The specific implementation manner of each module function in the system is consistent with the method steps of the corresponding part in the following quantum key distribution method integrating image encryption, and the description is not repeated here.
As shown in fig. 2, a quantum key distribution method for fusing image encryption specifically includes the following steps:
the method comprises the following steps: the data transmission parties carry out quantum key distribution through a quantum key distribution protocol, quantum key bit sequences are synchronously generated, the generated quantum key bit sequences are stored in key pools of the data transmission parties, and the quantum key bit sequences stored in the key pools can be acquired through quantum links in the data transmission process;
step two: 2 quantum key bit sequences k and k' with 256 bits are obtained from key pools of both data transmission parties, and formulas are respectively utilized
Figure BDA0003451627480000051
And
Figure BDA0003451627480000052
generating initial value x of Logistic mapping0,y0
The second specific implementation method comprises the following steps:
the method does not limit the image in any form, and can adopt related conversion tools to complete conversion, such as tool software of Mathemica, Matlab and the like. Through quantum key distribution protocol, when network image transmission is carried out, the receiving and transmitting parties acquire quantum key bit sequences through quantum links as x of two-dimensional Logistic mapping0And y0Thereby tightly combining the highly secure nature of quantum encryption with the advantages of Logistic mapping to encrypt images. Quantum key bit sequence string k ═ k1k2k3...k256Obtaining another key string k ═ k ″, in the same way, from the key pool1k`2k`3…k`256For the initial value y0Initialization is performed, each k in the sequenceiThe value represents a binary bit of 0 or 1. Respectively using formulas
Figure BDA0003451627480000053
And
Figure BDA0003451627480000054
generating initial value x of Logistic mapping0,y0
Step three: by passing
Figure BDA0003451627480000055
At randomly acquired mu and lambda1、λ2And generating a chaotic sequence { x under the value of gammaiAnd { y }j};
Step three is a concrete implementation method:
scrambling and diffusing the image by utilizing two-dimensional Logistic mapping, and carrying out scrambling and diffusion according to 4 random parameters mu and lambda1、λ2And gamma are different values, thereby generating different chaotic sequences. In order to ensure randomness and non-replicability of image scrambling and diffusion, the method self-defines 4 random parameters. For the parameter λ in the above formula1As random parameter and xn(1-xn) Operation of xn(1-xn) Irregular, λ1Generated by a random number generator; lambda [ alpha ]2In the same way as in λ1. The parameter μ is generated by a clocked random number generator and is not derivable because of the continuous variability of time. For xn(1-xn) Introducing and mu operation, and expanding the irregularity of the item by double random parameters, yn(1-yn) The same reason is thatn(1-xn). The parameter y is also generated by a clocked random number generator, which will be yn、xnAnd (4) disordering. Meanwhile, 4 parameters are imported into the quantum key for decryption.
Step four: the chaotic sequence { xiAnd { y }jUsing a formula
Figure BDA0003451627480000056
Shifting the chaos value from xi∈(0,1),yjE (0,1) floating point number, mapping to xi∈[1,M],yj∈[1,N];
Step five: using the obtained chaotic sequence xi,yjCarrying out chaotic scrambling encryption on the image;
the concrete implementation method of the step five comprises the following steps:
in scrambling encryption, each pixel point (x) is mapped according to the characteristic of two-dimensional logistic self-mappingi,yj) Mapping to pixel points (x' by chaotic sequencei,y`j) And then scrambling and encrypting the image.
By using
Figure BDA0003451627480000061
And
Figure BDA0003451627480000062
(M, N denote the length and width of the picture, respectively), will { xiAnd { y }jMapping the sequence to the interval [1, M ] of the corresponding length and width of the picture in turn]And the interval [1, N]So that the scrambled encrypted coordinates are distributed over the entire picture size range.
Step six: using xi,yjThe coordinate relation of (2) is that the value of each pixel point is subjected to exclusive OR processing, so that the image is subjected to diffusion encryption; using cryptographic formulae
Figure BDA0003451627480000063
The encryption is carried out in such a way that,
Figure BDA0003451627480000064
for x after mapping by chaotic sequencei,yjThe pixel values of the pixels. The decryption algorithm is the inverse of the encryption algorithm.
Step seven: continuously generating quantum key, and encrypting the random parameters mu and lambda generated in the step three after each encryption1、λ2And gamma importing the quantum key to update the quantum key, and sending the data image and the updated quantum key to a data receiver to realize the 'one-time pad' based on the quantum key image encryption.
Variations and modifications to the above-described embodiments may occur to those skilled in the art, which fall within the scope and spirit of the above description. Therefore, the present invention is not limited to the specific embodiments disclosed and described above, and some modifications and variations of the present invention should fall within the scope of the claims of the present invention. Furthermore, although specific terms are employed herein, they are used in a generic and descriptive sense only and not for purposes of limitation.

Claims (9)

1. The quantum key distribution system fused with image encryption is characterized by comprising a QKD device, a key pool, an initial module, a chaotic sequence generation module, a mapping module, an image chaotic scrambling encryption module and an image diffusion encryption module which are sequentially connected through electric signals, wherein:
the QKD device is used for generating a quantum key bit sequence and sending the quantum key bit sequence to a key pool;
the key pool is used for storing the quantum key bit sequence;
the initial module obtains 2 quantum key bit sequences k and k' with 256 bits from the key pools of both data transmission parties, and respectively uses formulas
Figure FDA0003451627470000011
And
Figure FDA0003451627470000012
generating initial value x of Logistic mapping0,y0
The chaotic sequence generation module passes
Figure FDA0003451627470000013
At randomly acquired mu and lambda1、λ2And generating a chaotic sequence { x under the value of gammajAnd { y }j};
The mapping module utilizes the generated chaos sequence by a formula
Figure FDA0003451627470000014
Shifting the chaos value from xi∈(0,1),yjE (0,1) floating point number, mapping to xi∈[1,M],yj∈[1,N];
The image chaos scrambling encryption module utilizes the obtained chaos sequence { xiAnd { y }jChaotically scrambling and encrypting the image;
the image diffusion encryption module utilizes xi,yjThe coordinate relationship of (a) performs diffusion encryption on the image.
2. A quantum key distribution method for fused image encryption, which is characterized in that the quantum key distribution system for fused image encryption according to claim 1 is applied, and the method comprises the following steps:
the first step is that both data transmission parties carry out quantum key distribution through a quantum key distribution protocol, a quantum key bit sequence is synchronously generated, and the generated quantum key bit sequence is stored in a key pool of both data transmission parties;
step two, obtaining 2 quantum key bit sequences k and k' with 256 bits from the key pools of both data transmission parties, and respectively utilizing formulas
Figure FDA0003451627470000015
And
Figure FDA0003451627470000016
generating initial value x of Logistic mapping0,y0
Step three, through
Figure FDA0003451627470000017
At randomly acquired mu and lambda1、λ2And generating a chaotic sequence { x under the value of gammaiAnd { y }j};
Step four: using the chaos sequence generated in the third step by a formula
Figure FDA0003451627470000018
Shifting the chaos value from xi∈(0,1),yjE (0,1) floating point number, mapping to xi∈[1,M],yj∈[1,N];
Step five: using the resulting chaotic sequence { xiAnd { y }jChaotically scrambling and encrypting the image;
step six: using xi,yjThe image is subjected to diffusion encryption by the coordinate relation;
step seven, continuously generating quantum key, after each encryption, generating random parameters mu and lambda generated in step three1、λ2Gamma leading-in quantum key pairAnd updating, namely sending the data image and the updated quantum key to a data receiver and repeating the repeated operation from the first step to the seventh step.
3. The quantum key distribution method for fused image encryption according to claim 2, wherein the quantum key distribution protocol adopts a BB84 protocol.
4. The method as claimed in claim 2, wherein the two parties of data transmission in step two obtain quantum key bit sequence as x of two-dimensional Logistic mapping through quantum link0And y0Is started.
5. The quantum key distribution method for fused image encryption according to claim 4, wherein the quantum key bit sequence is k-k1k2k3…k256In the sequence, each kiThe value represents a binary bit of 0 or 1.
6. The quantum key distribution method fusing image encryption as claimed in claim 4, wherein in the scrambling encryption of step three, each pixel point (x) is encryptedi,yj) Mapping to pixel points (x' by chaotic sequencei,y`j) And then scrambling and encrypting the image.
7. The quantum key distribution method fusing image encryption as claimed in claim 6, wherein in the scrambling encryption, use is made of
Figure FDA0003451627470000021
And
Figure FDA0003451627470000022
where M, N represent the length and width of the picture, respectively, will { xiAnd { y }jThe sequence is mapped in turnShoot to the interval [1, M ] where the length and width corresponding to the picture are]And the interval [1, N]。
8. A memory device having stored therein a plurality of instructions adapted to be loaded by a processor and to perform the steps of a method of quantum key distribution fused with image encryption according to any of claims 2-7.
9. An intelligent terminal comprising a processor for executing instructions and a storage device for storing a plurality of instructions, wherein the instructions are adapted to be loaded by the processor and to perform the steps of a method for quantum key distribution incorporating image encryption according to any one of claims 2 to 7.
CN202111668106.5A2021-12-312021-12-31Quantum key distribution system, method, storage device and intelligent terminal integrating image encryptionWithdrawnCN114422127A (en)

Priority Applications (1)

Application NumberPriority DateFiling DateTitle
CN202111668106.5ACN114422127A (en)2021-12-312021-12-31Quantum key distribution system, method, storage device and intelligent terminal integrating image encryption

Applications Claiming Priority (1)

Application NumberPriority DateFiling DateTitle
CN202111668106.5ACN114422127A (en)2021-12-312021-12-31Quantum key distribution system, method, storage device and intelligent terminal integrating image encryption

Publications (1)

Publication NumberPublication Date
CN114422127Atrue CN114422127A (en)2022-04-29

Family

ID=81271738

Family Applications (1)

Application NumberTitlePriority DateFiling Date
CN202111668106.5AWithdrawnCN114422127A (en)2021-12-312021-12-31Quantum key distribution system, method, storage device and intelligent terminal integrating image encryption

Country Status (1)

CountryLink
CN (1)CN114422127A (en)

Cited By (2)

* Cited by examiner, † Cited by third party
Publication numberPriority datePublication dateAssigneeTitle
CN115134471A (en)*2022-05-202022-09-30浙江大华技术股份有限公司Image encryption and decryption method and related equipment
CN116844174A (en)*2023-07-072023-10-03中国银行股份有限公司Handwritten character recognition system, method, equipment and storage medium

Citations (5)

* Cited by examiner, † Cited by third party
Publication numberPriority datePublication dateAssigneeTitle
US20070189518A1 (en)*2005-03-302007-08-16Nanni Richard A3-D quaternion quantum fractal encryption
CN112134688A (en)*2020-09-222020-12-25广东海洋大学 An Asymmetric Image Encryption Method Based on Quantum Chaos Map and SHA-3
CN113297606A (en)*2021-06-252021-08-24燕山大学Color quantum image encryption and decryption method based on multiple chaos and DNA operation
CN113422769A (en)*2021-06-212021-09-21北京邮电大学Transmission method based on real-time physical state of optical fiber channel and DNA coding technology
CN113852463A (en)*2021-09-272021-12-28上海市质量监督检验技术研究院Quantum image encryption method and system

Patent Citations (5)

* Cited by examiner, † Cited by third party
Publication numberPriority datePublication dateAssigneeTitle
US20070189518A1 (en)*2005-03-302007-08-16Nanni Richard A3-D quaternion quantum fractal encryption
CN112134688A (en)*2020-09-222020-12-25广东海洋大学 An Asymmetric Image Encryption Method Based on Quantum Chaos Map and SHA-3
CN113422769A (en)*2021-06-212021-09-21北京邮电大学Transmission method based on real-time physical state of optical fiber channel and DNA coding technology
CN113297606A (en)*2021-06-252021-08-24燕山大学Color quantum image encryption and decryption method based on multiple chaos and DNA operation
CN113852463A (en)*2021-09-272021-12-28上海市质量监督检验技术研究院Quantum image encryption method and system

Non-Patent Citations (1)

* Cited by examiner, † Cited by third party
Title
韩家伟: "量子密钥分发与经典加密方法融合关键技术研究", 中国博士学位论文全文数据库 (信息科技辑), pages 6*

Cited By (2)

* Cited by examiner, † Cited by third party
Publication numberPriority datePublication dateAssigneeTitle
CN115134471A (en)*2022-05-202022-09-30浙江大华技术股份有限公司Image encryption and decryption method and related equipment
CN116844174A (en)*2023-07-072023-10-03中国银行股份有限公司Handwritten character recognition system, method, equipment and storage medium

Similar Documents

PublicationPublication DateTitle
CN109241755B (en) Image Encryption Method Based on 3D Scrambling Model and Chaos
CN109194461B (en)Single-direction linked list sequence encryption and decryption method based on double-key stream cipher
JP2001522056A (en) Virtual matrix encryption (VME) and virtual key cryptography and apparatus
CN113099069B (en)Multi-image encryption method based on three-dimensional spiral model
CN114422127A (en)Quantum key distribution system, method, storage device and intelligent terminal integrating image encryption
Islam et al.Application of homomorphism to secure image sharing
CN114499857A (en)Method for realizing data correctness and consistency in big data quantum encryption and decryption
CN117114959A (en) An image encryption method based on the key feedback mechanism of multi-parameter one-dimensional chaotic system
CN103117850B (en)A kind of method for building up of the cryptographic system based on random sequence database
CN107578363A (en) Digital Image Encryption and Decryption Method Based on Multiple Chaos Chain Algorithm and Bit Plane
CN1881874A (en)Public key cipher encrypting and decrypting method based on nerval network chaotic attractor
Sekar et al.Hybrid chaos-based image encryption algorithm using Chebyshev chaotic map with deoxyribonucleic acid sequence and its performance evaluation.
Jameel et al.Digital Image Encryption Techniques: Article Review.
Agrawal et al.An Improved Henon Map Based Encryption Scheme for Secure Image Transmission
Zhang et al.A derivative matrix-based covert communication method in blockchain
Alwan et al.A Hybrid Algorithms Based on the Aizawa Attractor and Rabbit-Lightweight Cipher for Image Encryption
CN114239037B (en)Multi-image encryption method based on sand road rule
Gulshan et al.Chaotic image encryption technique based on IDEA and discrete wavelet transformation
Abduljabbar et al.Robust scheme to protect authentication code of message/image documents in cloud computing
Saraireh et al.Image encryption scheme based on filter bank and lifting
Anwarul et al.Hybrid Dynamic Optimization forMultilevel Security System in Disseminating Confidential Information.
CN113923029A (en)Internet of things information encryption method based on ECC (error correction code) hybrid algorithm
CN114301581B (en)Color image encryption method based on HMS mapping and bit spiral transformation
CN114884643B (en) Multi-image encryption method based on superpixel
CN117676032B (en)Multi-party reversible information hiding method and device for ciphertext binary image

Legal Events

DateCodeTitleDescription
PB01Publication
PB01Publication
SE01Entry into force of request for substantive examination
SE01Entry into force of request for substantive examination
WW01Invention patent application withdrawn after publication

Application publication date:20220429

WW01Invention patent application withdrawn after publication

[8]ページ先頭

©2009-2025 Movatter.jp