



技术领域technical field
本发明涉及中老年人群认知功能障碍筛查技术领域,特别是涉及一种基于眼动测试的认知功能筛查方法、系统、计算机设备和存储介质。The present invention relates to the technical field of cognitive dysfunction screening for middle-aged and elderly people, in particular to a cognitive function screening method, system, computer equipment and storage medium based on eye movement test.
背景技术Background technique
认知功能障碍是指记忆、语言、视空间、执行、计算和理解判断功能中一项或多项受损,其可根据受损严重程度差异分为轻度认知功能障碍和痴呆。其中,轻度认知障碍是介于正常衰老和痴呆之间的一种中间状态,患者日常能力没有受到明显影响,而痴呆患者存在两项或两项以上的认知域受损,导致患者的日常或社会能力明显减退,给国家社会带来了不容小觑的经济负担。然而,传统认知功能障碍类疾病的诊断方式包括基本临床症状、神经心理状态评估、计算机断层扫描成像(CT)、磁共振成像(MRI)、单光子发射计算机断层成像(SPECT)在内的神经影像学,包括血常规、血生化在内的实验室检验等,程序复杂繁琐,且患者对认知功能障碍类疾病认识程度和诊断配合度较低,使得早期发现认知功能障碍类疾病,并及时进行针对性治疗及预防成为难题。Cognitive dysfunction refers to the impairment of one or more of memory, language, visuospatial, executive, calculation, and comprehension judgment functions, which can be divided into mild cognitive impairment and dementia according to the severity of the impairment. Among them, mild cognitive impairment is an intermediate state between normal aging and dementia, and the daily ability of patients is not significantly affected, while patients with dementia have impairments in two or more cognitive domains, resulting in The daily or social ability has been significantly reduced, which has brought an economic burden that cannot be underestimated. However, the traditional diagnostic methods of cognitive impairment diseases include basic clinical symptoms, neuropsychological status assessment, neurological imaging including computed tomography (CT), magnetic resonance imaging (MRI), and single photon emission computed tomography (SPECT). Imaging, laboratory tests including blood routine and blood biochemistry, etc., the procedures are complicated and tedious, and the patients' awareness of cognitive dysfunction diseases and the degree of cooperation in diagnosis are low, which makes early detection of cognitive dysfunction diseases, and early detection of cognitive dysfunction diseases. Timely targeted treatment and prevention have become difficult.
现有认识功能评估智能筛查方法大都依赖于多种诊疗仪器检查结果和医生诊断经验,尽管有部分基于机器学习的认知功能筛查研究,但其仅限于对患者的生理测试数据和蒙特利尔认知评估量表数据进行学习研究,但鲜有学者考虑到认知功能评估中各种因素的复杂非线性关系,而将各种诊疗、评估数据,与认知测试过程中收集的眼动数据相结合,构建包括不同认知功能障碍患者的眼动数据集,用于认知功能的机器筛查分析,以寻找更敏感、更便捷的新型认知功能障碍类疾病筛查方法的研究。Most of the existing intelligent screening methods for cognitive function assessment rely on the results of various diagnostic instruments and the diagnosis experience of doctors. Although there are some researches on cognitive function screening based on machine learning, they are limited to the physiological test data of patients and the Montreal recognition. However, few scholars have considered the complex nonlinear relationship of various factors in cognitive function assessment, and compared various diagnosis and treatment and evaluation data with the eye movement data collected during cognitive testing. Combined, the eye movement data set including patients with different cognitive dysfunctions was constructed for the machine screening analysis of cognitive function, in order to find a more sensitive and convenient new screening method for cognitive dysfunction diseases.
发明内容SUMMARY OF THE INVENTION
本发明的目的是提供一种基于眼动测试的认知功能筛查方法,通过将多模态检查数据与认知功能测试收集的眼动数据相结合构建认知功能筛查数据集,并使用人工智能技术对认知功能筛查数据集进行特征提取和分析,探索眼球运动异常与认知功能障碍类疾病的关联,给出认知功能筛查结果,实现认知功能障碍的智能筛查,提高认知功能障碍筛查效率,提升诊疗经验不足的医生的诊疗能力,为疾病的早发现、早治疗提供有效保障。The purpose of the present invention is to provide a cognitive function screening method based on eye movement test, by combining the multimodal inspection data and the eye movement data collected by the cognitive function test to construct a cognitive function screening data set, and using Artificial intelligence technology extracts and analyzes the features of cognitive function screening data sets, explores the relationship between abnormal eye movement and cognitive dysfunction diseases, gives cognitive function screening results, and realizes intelligent screening of cognitive dysfunction, Improve the efficiency of cognitive dysfunction screening, improve the diagnosis and treatment capabilities of doctors with insufficient diagnosis and treatment experience, and provide effective guarantee for early detection and early treatment of diseases.
为了实现上述目的,有必要针对上述技术问题,提供了一种基于眼动测试的认知功能筛查方法、系统、计算机设备和存储介质。In order to achieve the above purpose, it is necessary to provide a method, system, computer equipment and storage medium for cognitive function screening based on eye movement test, aiming at the above technical problems.
第一方面,本发明实施例提供了一种基于眼动测试的认知功能筛查方法,所述方法包括以下步骤:In a first aspect, an embodiment of the present invention provides a cognitive function screening method based on an eye movement test, the method comprising the following steps:
获取待筛查患者数据;所述待筛查患者数据包括人口学特征、病历数据、蒙特利尔认知评估量表评估结果和眼球运动测试数据;Obtaining data of patients to be screened; the data of patients to be screened includes demographic characteristics, medical record data, Montreal Cognitive Assessment Scale evaluation results and eye movement test data;
根据所述待筛查患者数据,构建认知功能筛查数据集,并将所述认知功能筛查数据集按照预设比例划分为训练集和测试集;According to the data of the patient to be screened, a cognitive function screening data set is constructed, and the cognitive function screening data set is divided into a training set and a test set according to a preset ratio;
将所述训练集输入多个预设分类器进行k倍交叉验证训练,并通过软投票法对所述多个预设分类器集成,得到认知功能筛查模型;Inputting the training set into multiple preset classifiers for k-fold cross-validation training, and integrating the multiple preset classifiers through a soft voting method to obtain a cognitive function screening model;
将所述测试集输入所述认知功能筛查模型进行测试,得到筛查结果。The test set is input into the cognitive function screening model for testing to obtain screening results.
进一步地,所述眼球运动测试数据包括不同患者进行认知功能测试时的眼球运动坐标序列。Further, the eye movement test data includes eye movement coordinate sequences when different patients perform cognitive function tests.
进一步地,所述眼球运动测试数据通过红外眼动测试方法得到。Further, the eye movement test data is obtained by an infrared eye movement test method.
进一步地,所述红外眼动测试方法包括以下步骤:Further, the infrared eye movement testing method comprises the following steps:
预先在两个近红外点光源之间设置近红外摄像机,并在所述近红外摄像机的正上方设置显示器;A near-infrared camera is set between the two near-infrared point light sources in advance, and a display is set directly above the near-infrared camera;
当患者开始认知功能测试时,点亮所述近红外点光源,通过所述近红外摄像机连续拍摄得到认知功能测试过程中的人眼测试图像,并通过所述显示器连续记录患者的左眼运动轨迹和右眼运动轨迹;所述人眼测试图像为同时包含左眼和右眼的图像;When the patient starts the cognitive function test, the near-infrared point light source is lit, the near-infrared camera is continuously photographed to obtain the test image of the human eye during the cognitive function test, and the patient's left eye is continuously recorded through the display Movement track and right eye movement track; Described human eye test image is an image including left eye and right eye at the same time;
对各个人眼测试图像进行阈值分割,得到对应的左眼瞳孔区域、左眼角膜反光点区域、右眼瞳孔区域和右眼角膜反光点区域,并根据所述左眼瞳孔区域、左眼角膜反光点区域、右眼瞳孔区域和右眼角膜反光点区域,得到对应的左眼瞳孔中心坐标、左眼角膜反光点中心坐标、右眼瞳孔中心坐标和右眼角膜反光点中心坐标;Perform threshold segmentation on each human eye test image to obtain the corresponding left eye pupil area, left eye corneal reflection point area, right eye pupil area and right eye corneal reflection point area, and according to the left eye pupil area, left eye corneal reflection point area Point area, right eye pupil area and right eye corneal reflection point area, and obtain the corresponding left eye pupil center coordinates, left eye corneal reflection point center coordinates, right eye pupil center coordinates and right eye corneal reflection point center coordinates;
根据各个人眼测试图像的左眼瞳孔中心坐标和左眼角膜反光点中心坐标,得到对应的左眼瞳孔角膜向量,以及根据右眼瞳孔中心坐标和右眼角膜反光点中心坐标,得到对应的右眼瞳孔角膜向量;According to the center coordinates of the left eye pupil and the center coordinates of the left eye corneal reflection point of each human eye test image, the corresponding left eye pupil cornea vector is obtained, and according to the right eye pupil center coordinates and the center coordinates of the right eye corneal reflection point, the corresponding right eye is obtained. pupil cornea vector;
根据各个人眼测试图像的左眼瞳孔角膜向量、右眼瞳孔角膜向量、以及对应于左眼运动轨迹内的左眼球平面位置和右眼运动轨迹内的平面位置,通过预设位置标定法,得到对应的左眼球运动坐标和右眼球运动坐标;According to the left eye pupil cornea vector, the right eye pupil cornea vector of each human eye test image, and the plane position of the left eyeball in the left eye movement trajectory and the plane position in the right eye movement trajectory, the preset position calibration method is used to obtain Corresponding left eye movement coordinates and right eye movement coordinates;
根据所有人眼测试图像的左眼球运动坐标和右眼球运动坐标,得到对应的所述眼球运动坐标序列。According to the left eye movement coordinates and the right eye movement coordinates of the test images of all eyes, the corresponding eye movement coordinate sequence is obtained.
进一步地,所述根据所述待筛查患者数据,构建认知功能筛查数据集的步骤包括:Further, the step of constructing a cognitive function screening data set according to the patient data to be screened includes:
按照预设标准对所述待筛查患者数据进行质量筛选,得到预处理患者数据;Perform quality screening on the patient data to be screened according to a preset standard to obtain preprocessed patient data;
根据所述预处理患者数据的人口学特征、病历数据和蒙特利尔认知评估量表评估结果,得到基准认知功能评估结果;According to the demographic characteristics of the preprocessed patient data, the medical record data and the Montreal Cognitive Assessment Scale assessment results, obtain a baseline cognitive function assessment result;
采用所述基准认知功能评估结果对所述眼球运动测试数据进行标记分类,得到所述认知功能筛查数据集。The eye movement test data is marked and classified by using the benchmark cognitive function evaluation result to obtain the cognitive function screening data set.
进一步地,所述按照预设标准对所述待筛查患者数据进行质量筛选,得到预处理患者数据的步骤包括:Further, performing quality screening on the patient data to be screened according to a preset standard, and obtaining the preprocessed patient data, the steps include:
判断所述待筛查患者数据内各个患者的对应数据是否存在缺失项,若存在,则判断对应患者的所有缺失项占比是否超过预设缺失阈值;Determine whether there are missing items in the corresponding data of each patient in the patient data to be screened, and if so, determine whether the proportion of all missing items in the corresponding patient exceeds a preset missing threshold;
若患者的所有缺失项占比超过预设缺失阈值,则直接将对应患者的数据全部删除,反之,则按照预设规则对各个缺失项进行填充。If the proportion of all missing items of a patient exceeds the preset missing threshold, all the data of the corresponding patient will be deleted directly; otherwise, each missing item will be filled according to the preset rules.
进一步地,所述预设分类器包括随机森林模型、梯度提升机模型、XGBoost模型和支持向量机模型;Further, the preset classifier includes a random forest model, a gradient boosting machine model, an XGBoost model and a support vector machine model;
所述将所述训练集输入到多个预设分类器进行k倍交叉验证训练,并通过软投票法对所述多个预设分类器集成,得到认知功能筛查模型的步骤包括:The step of inputting the training set into multiple preset classifiers for k-fold cross-validation training, and integrating the multiple preset classifiers through a soft voting method to obtain a cognitive function screening model includes:
将所述训练集输入所述随机森林模型进行训练,得到第一预测模型;Inputting the training set into the random forest model for training to obtain a first prediction model;
将所述训练集输入所述梯度提升机模型进行训练,得到第二预测模型;Inputting the training set into the gradient booster model for training to obtain a second prediction model;
将所述训练集输入所述XGBoost模型进行训练,得到第三预测模型;The training set is input into the XGBoost model for training to obtain a third prediction model;
将所述训练集输入所述支持向量机模型进行训练,得到第四预测模型;Inputting the training set into the support vector machine model for training to obtain a fourth prediction model;
将所述第一预测模型、第二预测模型、第三预测模型和第四预测模型按照所述软投票法集成,得到所述认知功能筛查模型。The first prediction model, the second prediction model, the third prediction model and the fourth prediction model are integrated according to the soft voting method to obtain the cognitive function screening model.
第二方面,本发明实施例提供了一种基于眼动测试的认知功能筛查系统,所述系统包括:In a second aspect, an embodiment of the present invention provides a cognitive function screening system based on an eye movement test, the system comprising:
数据获取模块,用于获取待筛查患者数据;所述待筛查患者数据包括人口学特征、病历数据、蒙特利尔认知评估量表评估结果和眼球运动测试数据;a data acquisition module for acquiring data of patients to be screened; the data of patients to be screened includes demographic characteristics, medical record data, Montreal Cognitive Assessment Scale evaluation results and eye movement test data;
预处理模块,用于根据所述待筛查患者数据,构建认知功能筛查数据集,并将所述认知功能筛查数据集按照预设比例划分为训练集和测试集;a preprocessing module, configured to construct a cognitive function screening data set according to the patient data to be screened, and divide the cognitive function screening data set into a training set and a test set according to a preset ratio;
模型构建模块,用于将所述训练集输入多个预设分类器进行k倍交叉验证训练,并通过软投票法对所述多个预设分类器集成,得到认知功能筛查模型;a model building module for inputting the training set into multiple preset classifiers for k-fold cross-validation training, and integrating the multiple preset classifiers through a soft voting method to obtain a cognitive function screening model;
结果生成模块,用于将所述测试集输入所述认知功能筛查模型进行测试,得到筛查结果。The result generating module is used for inputting the test set into the cognitive function screening model for testing to obtain screening results.
第三方面,本发明实施例还提供了一种计算机设备,包括存储器、处理器及存储在存储器上并可在处理器上运行的计算机程序,所述处理器执行所述计算机程序时实现上述方法的步骤。In a third aspect, an embodiment of the present invention further provides a computer device, including a memory, a processor, and a computer program stored in the memory and running on the processor, where the processor implements the above method when executing the computer program A step of.
第四方面,本发明实施例还提供一种计算机可读存储介质,其上存储有计算机程序,所述计算机程序被处理器执行时实现上述方法的步骤。In a fourth aspect, an embodiment of the present invention further provides a computer-readable storage medium on which a computer program is stored, and when the computer program is executed by a processor, implements the steps of the above method.
上述本申请提供了一种基于眼动测试的认知功能筛查方法、系统、计算机设备及存储介质,通过所述方法,实现了获取包括人口学特征、病历数据、蒙特利尔认知评估量表评估结果和眼球运动测试数据的待筛查患者数据,根据预处理后的待筛查患者数据,构建认知功能筛查数据集,并将认知功能筛查数据集按照预设比例划分为训练集和测试集后,将训练集输入多个预设分类器进行k倍交叉验证训练,并通过软投票法对所述多个预设分类器集成,得到认知功能筛查模型,再将测试集输入认知功能筛查模型进行测试,得到筛查结果的技术方案。与现有技术相比,该基于眼动测试的认知功能筛查方法将多模态检查数据与认知功能测试收集的眼动数据相结合构建认知功能筛查数据集,基于眼动数据进行快速量化分析,实现认知功能障碍的智能筛查,提高认知功能障碍筛查效率,提升诊疗经验不足的医生的诊疗能力,为疾病的早发现、早治疗提供有效保障,进一步减轻医疗工作负担及远期社会负担。The above-mentioned application provides a method, system, computer equipment and storage medium for cognitive function screening based on eye movement test. Through the method, the acquisition of demographic characteristics, medical record data, and Montreal cognitive assessment scale evaluation can be achieved. The results and the eye movement test data of the patients to be screened, construct a cognitive function screening data set based on the preprocessed patient data to be screened, and divide the cognitive function screening data set into a training set according to a preset ratio After combining with the test set, input the training set into multiple preset classifiers for k-fold cross-validation training, and integrate the multiple preset classifiers through the soft voting method to obtain a cognitive function screening model, and then use the test set to integrate the multiple preset classifiers. Input the cognitive function screening model for testing, and obtain the technical scheme of screening results. Compared with the prior art, the eye movement test-based cognitive function screening method combines multimodal inspection data with eye movement data collected by the cognitive function test to construct a cognitive function screening data set, which is based on the eye movement data. Carry out rapid quantitative analysis, realize intelligent screening of cognitive dysfunction, improve the efficiency of cognitive dysfunction screening, improve the diagnosis and treatment capabilities of doctors with insufficient diagnosis and treatment experience, provide effective guarantee for early detection and early treatment of diseases, and further reduce medical work. burden and long-term social burden.
附图说明Description of drawings
图1是本发明实施例中基于眼动测试的认知功能筛查方法的应用场景示意图;1 is a schematic diagram of an application scenario of a cognitive function screening method based on an eye movement test in an embodiment of the present invention;
图2是本发明实施例中基于眼动测试的认知功能筛查方法的流程示意图;2 is a schematic flowchart of a cognitive function screening method based on an eye movement test in an embodiment of the present invention;
图3是本发明实施例中基于眼动测试的认知功能筛查系统的结构示意图;3 is a schematic structural diagram of a cognitive function screening system based on an eye movement test in an embodiment of the present invention;
图4是本发明实施例中计算机设备的内部结构图。FIG. 4 is an internal structure diagram of a computer device in an embodiment of the present invention.
具体实施方式Detailed ways
为了使本申请的目的、技术方案和有益效果更加清楚明白,下面结合附图及实施例,对本发明作进一步详细说明,显然,以下所描述的实施例是本发明实施例的一部分,仅用于说明本发明,但不用来限制本发明的范围。基于本发明中的实施例,本领域普通技术人员在没有作出创造性劳动前提下所获得的所有其他实施例,都属于本发明保护的范围。In order to make the purpose, technical solutions and beneficial effects of the present application clearer, the present invention will be described in further detail below with reference to the accompanying drawings and embodiments. Obviously, the embodiments described below are part of the embodiments of the present invention and are only used for The invention is described, but not intended to limit the scope of the invention. Based on the embodiments of the present invention, all other embodiments obtained by those of ordinary skill in the art without creative efforts shall fall within the protection scope of the present invention.
本发明提供的基于眼动测试的认知功能筛查方法可以应用于如图1所示的终端或服务器上。其中,终端可以但不限于是各种个人计算机、笔记本电脑、智能手机、平板电脑和便携式可穿戴设备,服务器可以用独立的服务器或者是多个服务器组成的服务器集群来实现。服务器可以基于获取的不同认知功能患者的人口学特征、头颅磁共振成像、疾病症状、诊断检测数据、蒙特利尔认知评估量表评估结果和眼球运动测试数据等待筛查患者数据,并依此构建基于眼动数据的认知功能筛查数据集,采用本发明提供的基于眼动测试的认知功能筛查方法完成对不同患者的认知功能筛查,并将得到最终筛查结果应用于服务器上其他学习任务,或者将其传送至终端,以供终端使用者接收使用。The cognitive function screening method based on eye movement test provided by the present invention can be applied to the terminal or server as shown in FIG. 1 . Wherein, the terminal can be, but is not limited to, various personal computers, notebook computers, smart phones, tablet computers and portable wearable devices, and the server can be implemented by an independent server or a server cluster composed of multiple servers. The server can wait to screen patient data based on the acquired demographic characteristics, cranial magnetic resonance imaging, disease symptoms, diagnostic test data, Montreal Cognitive Assessment Scale evaluation results, and eye movement test data of patients with different cognitive functions, and construct accordingly For the cognitive function screening data set based on eye movement data, the cognitive function screening method based on eye movement test provided by the present invention is used to complete the cognitive function screening of different patients, and the final screening result is applied to the server on other learning tasks, or transmit it to the terminal for the terminal user to receive and use.
在一个实施例中,如图2所示,提供了一种基于眼动测试的认知功能筛方法,包括以下步骤:In one embodiment, as shown in Figure 2, a method for screening cognitive function based on eye movement test is provided, comprising the following steps:
S11、获取待筛查患者数据;所述待筛查患者数据包括人口学特征、病历数据、蒙特利尔认知评估量表评估结果和眼球运动测试数据;S11. Acquire data of patients to be screened; the data of patients to be screened include demographic characteristics, medical record data, Montreal Cognitive Assessment Scale evaluation results and eye movement test data;
其中,所述病历数据包括头颅磁共振成像、疾病症状及诊断检测数据;上述人口学特征、病历数据、蒙特利尔认知评估量表评估结果和病历数据主要用于对眼球运动测试数据进行不同认知评估结果的标注,其均可以通过现有方法获取,此处不作具体限制;需要说明的是,待检测患者具体涉及的疾病病种包括脑血管疾病、神经退行性疾病、放射性脑病、周围神经病变和肿瘤等可能导致认知功障碍的疾病,对应的待筛查患者数据可理解为包括同时多病种的待筛查患者相关数据,保证了分析数据的全面性,进而有效提升了后续机器学习的精准度;Wherein, the medical record data includes cranial magnetic resonance imaging, disease symptoms and diagnostic testing data; the above-mentioned demographic characteristics, medical record data, Montreal Cognitive Assessment Scale evaluation results and medical record data are mainly used for different cognition of eye movement test data The annotation of the evaluation results can be obtained by existing methods, and there is no specific limitation here; it should be noted that the specific diseases involved in the patients to be tested include cerebrovascular diseases, neurodegenerative diseases, radiation encephalopathy, and peripheral neuropathy. For diseases that may lead to cognitive impairment, such as tumors, the corresponding data of patients to be screened can be understood as including data related to patients to be screened for multiple diseases at the same time, which ensures the comprehensiveness of the analysis data and effectively improves the follow-up machine learning. accuracy;
眼球运动测试数据包括不同患者进行认知功能测试时的眼球运动坐标序列,原则上可通过不同的红外眼动测试方法得到。为了保证眼动测试数据的准确性,进而保证后续认知功能筛查结果的精准性,本实施例,优选地,采用下述红外眼动测试方法得到对应的不同患者的眼球运动测试数据,具体包括以下步骤:The eye movement test data includes the eye movement coordinate sequence of different patients during the cognitive function test, which can be obtained by different infrared eye movement test methods in principle. In order to ensure the accuracy of the eye movement test data and the accuracy of the subsequent cognitive function screening results, in this embodiment, preferably, the following infrared eye movement test method is used to obtain the corresponding eye movement test data of different patients. Include the following steps:
预先在两个近红外点光源之间设置近红外摄像机,并在所述近红外摄像机的正上方设置显示器;其中,近红外摄像机用于拍摄包含人眼的图像,2个LED近红外点光源对拍摄提供照明,并在人眼角膜上形成反射的虚像,称之为“角膜反光点”;本实施例中,2个近红外光源位于近红外摄像机的两侧,为了提高拍摄图像的清晰度和数据的稳定性,测试时将患者的头部位置固定,眼睛朝向显示器方向。A near-infrared camera is set between the two near-infrared point light sources in advance, and a display is set directly above the near-infrared camera; wherein, the near-infrared camera is used to capture images containing human eyes, and the two LED near-infrared point light sources are paired with Shooting provides illumination, and forms a virtual image reflected on the human cornea, which is called "corneal reflection point"; in this embodiment, two near-infrared light sources are located on both sides of the near-infrared camera, in order to improve the clarity and The stability of the data, the patient's head position is fixed during the test, and the eyes are facing the direction of the monitor.
当患者开始认知功能测试时,点亮所述近红外点光源,通过所述近红外摄像机连续拍摄得到认知功能测试过程中的人眼测试图像,并通过所述显示器连续记录患者的左眼运动轨迹和右眼运动轨迹;所述人眼测试图像为同时包含左眼和右眼的图像;其中,人眼测试图像为一组包括可体现人眼连续变动情况的图像,且不同的图像在显示器上有对应的左、右眼运动轨迹记录,便于同时利用人眼测试图像和左眼运动轨迹和右眼运动轨迹,实时分析计算眼球的运动坐标;When the patient starts the cognitive function test, the near-infrared point light source is lit, the near-infrared camera is continuously photographed to obtain the test image of the human eye during the cognitive function test, and the patient's left eye is continuously recorded through the display Movement track and right eye movement track; the human eye test image is an image that includes both the left eye and the right eye; wherein, the human eye test image is a group of images that can reflect the continuous change of the human eye, and different images are There are corresponding left and right eye movement track records on the display, which is convenient to use the human eye test image and the left eye movement track and the right eye movement track at the same time to analyze and calculate the movement coordinates of the eyeball in real time;
对各个人眼测试图像进行阈值分割,得到对应的左眼瞳孔区域、左眼角膜反光点区域、右眼瞳孔区域和右眼角膜反光点区域,并根据所述左眼瞳孔区域、左眼角膜反光点区域、右眼瞳孔区域和右眼角膜反光点区域,得到对应的左眼瞳孔中心坐标、左眼角膜反光点中心坐标、右眼瞳孔中心坐标和右眼角膜反光点中心坐标;其中,人眼测试图像中瞳孔灰度较低(灰度低于50),角膜反光点灰度较高(灰度高于200),基于瞳孔和角膜反光点的灰度差异,对人眼测试图像进行阈值分割,实现对左眼瞳孔、左眼角膜反光点、右眼瞳孔、右眼角膜反光点所在区域的提取,并基于提取的区域得到对应的左眼瞳孔中心坐标、左眼角膜反光点中心坐标、右眼瞳孔中心坐标和右眼角膜反光点中心坐标,且左眼角膜反光点中心坐标为左眼内两个角膜反光点对应坐标的平均值,右眼角膜反光点中心坐标为右眼内两个角膜反光点对应坐标的平均值;Perform threshold segmentation on each human eye test image to obtain the corresponding left eye pupil area, left eye corneal reflection point area, right eye pupil area and right eye corneal reflection point area, and according to the left eye pupil area, left eye corneal reflection point area point area, the pupil area of the right eye and the corneal reflective spot area of the right eye to obtain the corresponding center coordinates of the pupil of the left eye, the center coordinate of the corneal reflective spot of the left eye, the center coordinate of the pupil of the right eye and the center coordinate of the corneal reflective spot of the right eye; among them, the human eye In the test image, the gray level of the pupil is low (the gray level is lower than 50), and the gray level of the corneal reflection point is higher (the gray level is higher than 200). Based on the gray level difference between the pupil and the corneal reflection point, the threshold segmentation is performed on the test image of the human eye. , realize the extraction of the area where the pupil of the left eye, the reflection point of the cornea of the left eye, the pupil of the right eye, and the reflection point of the cornea of the right eye, and obtain the corresponding center coordinates of the pupil of the left eye, the center coordinate of the reflection point of the cornea of the left eye, and the right eye based on the extracted area. The center coordinate of the pupil and the center coordinate of the corneal reflection point of the right eye, and the center coordinate of the corneal reflection point of the left eye is the average value of the corresponding coordinates of the two corneal reflection points in the left eye, and the center coordinate of the corneal reflection point of the right eye is the two corneas in the right eye. The average value of the corresponding coordinates of the reflective point;
根据各个人眼测试图像的左眼瞳孔中心坐标和左眼角膜反光点中心坐标,得到对应的左眼瞳孔角膜向量,以及根据右眼瞳孔中心坐标和右眼角膜反光点中心坐标,得到对应的右眼瞳孔角膜向量;其中,左眼瞳孔角膜向量,为以左眼角膜反光点中心为起点,左眼瞳孔中心为终点的向量;右眼瞳孔角膜向量,为以右眼角膜反光点中心为起点,右眼瞳孔中心为终点的向量;According to the center coordinates of the left eye pupil and the center coordinates of the left eye corneal reflection point of each human eye test image, the corresponding left eye pupil cornea vector is obtained, and according to the right eye pupil center coordinates and the center coordinates of the right eye corneal reflection point, the corresponding right eye is obtained. Eye pupil cornea vector; among them, the left eye pupil cornea vector is the vector starting from the center of the left eye corneal reflection point and the left eye pupil center as the end point; the right eye pupil cornea vector is the starting point from the center of the right eye corneal reflection point, The vector with the center of the pupil of the right eye as the end point;
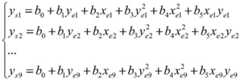
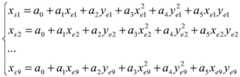
根据各个人眼测试图像的左眼瞳孔角膜向量、右眼瞳孔角膜向量、以及对应于左眼运动轨迹内的左眼球平面位置和右眼运动轨迹内的平面位置,通过预设位置标定法,得到对应的左眼球运动坐标和右眼球运动坐标;其中,人眼测试图像的左眼瞳孔角膜向量与显示器上左眼运动轨迹内的左眼球平面位置,以及人眼测试图像的右眼瞳孔角膜向量与显示器上右眼运动轨迹内的平面位置均存在着映射关系。通过多个位置标点的方法,可以获取对应的映射函数。本实施例,优选地,对显示器的中央、左、右、上、下、左上、右上、左下、右下等的9个预设位置进行标定,将左眼看每个预设位置时的左眼瞳孔角膜向量和对应预设位置的坐标代入映射函数方程组,解出左眼标定映射函数系数,得到左眼标定函数;将右眼看每个预设位置时的右眼瞳孔角膜向量和对应预设位置的坐标代入映射函数方程组,解出右眼标定映射函数系数,得到右眼标定函数。具体获取左眼球运动坐标和右眼球运动坐标的过程参见下述示例:According to the left eye pupil cornea vector, the right eye pupil cornea vector of each human eye test image, and the plane position of the left eyeball in the left eye movement trajectory and the plane position in the right eye movement trajectory, the preset position calibration method is used to obtain Corresponding left eye movement coordinates and right eye movement coordinates; among them, the left eye pupil cornea vector of the human eye test image and the left eye plane position in the left eye movement track on the display, and the right eye pupil cornea vector of the human eye test image and There is a mapping relationship between the plane positions in the right eye movement track on the display. Through the method of multiple position punctuation, the corresponding mapping function can be obtained. In this embodiment, preferably, nine preset positions such as the center, left, right, top, bottom, top left, top right, bottom left, and bottom right of the display are calibrated, and the left eye when the left eye looks at each preset position is calibrated. The pupil cornea vector and the coordinates corresponding to the preset positions are substituted into the mapping function equations, the left eye calibration mapping function coefficients are solved, and the left eye calibration function is obtained; the right eye pupil cornea vector when the right eye looks at each preset position and the corresponding preset The coordinates of the position are substituted into the mapping function equation system, and the right eye calibration mapping function coefficients are solved to obtain the right eye calibration function. For details on the process of obtaining the coordinates of the left eye movement and the right eye movement, see the following example:
设xs和ys分别为显示器平面上的左眼眼球运动坐标系内的横坐标和纵坐标,单位为cm;xe和ye分别为左眼瞳孔角膜向量的水平分量和竖直分量,单位为像素,对应的映射函数为:Let xs and ys be the abscissa and ordinate in the left eye eye movement coordinate system on the display plane, respectively, in cm; xe and ye are the horizontal and vertical components of the left eye pupil cornea vector, respectively, The unit is pixel, and the corresponding mapping function is:
其中,a0、a1、a2、a3、a4、a5、b0、b1、b2、b3、b4和b5映射函数系数,且这12个值在标定前均是未知的,标定的过程就是求解这12个未知数的过程。前述9个标定点(预设位置)在显示器平面上的坐标(xs1,ys1)、(xs2,ys2)、(xs3,ys3)、(xs4,ys4)、(xs5,ys5)、(xs6,ys6)、(xs7,ys7)、(xs8,ys8)和(xs9,ys9)是已知的。在眼睛看这9个标定点(预设位置)时,根据前面步骤可计算出左眼瞳孔角膜向量分别为(xe1,ye1)、(xe2,ye2)、(xe3,ye3)、(xe4,ye4)、(xe5,ye5)、(xe6,ye6)、(xe7,ye7)、(xe8,ye8)和(xe9,ye9),代入映射函数,得到以下18个方程组成的方程组:Among them, a0 , a1 , a2 , a3 , a4 , a5 , b0 , b1 , b2 , b3 , b4 and b5 map function coefficients, and these 12 values are all before calibration is unknown, and the calibration process is the process of solving these 12 unknowns. The coordinates of the aforementioned 9 calibration points (preset positions) on the display plane (xs1 , ys1 ), (xs2 , ys2 ), (xs3 , ys3 ), (xs4 , ys4 ), (xs5 , ys5 ), (xs6 , ys6 ), (xs7 , ys7 ), (xs8 , ys8 ) and (xs9 , ys9 ) are known. When the eyes look at the 9 calibration points (preset positions), according to the previous steps, the left eye pupil and cornea vectors can be calculated as (xe1 , ye1 ), (xe2 , ye2 ), (xe3 , ye3 ) respectively ), (xe4 , ye4 ), (xe5 , ye5 ), (xe6 , ye6 ), (xe7 , ye7 ), (xe8 , ye8 ), and (xe9 , ye9 ), Substitute into the mapping function to obtain the following system of 18 equations:
上述方程组为方程个数大于未知变量个数的超定方程组,通过最小二乘法求解得到映射函数系数a0、a1、a2、a3、a4、a5、b0、b1、b2、b3、b4和b5,即得到了左眼标定函数;同理,可求得右眼标定函数,完成整个标定过程,用于将眼球运动测试中实时采集人眼测试图像对应的左眼瞳孔角膜向量和右眼瞳孔角膜向量代入对应的标定函数,实时计算出在显示器平面上的左眼球运动坐标和右眼球运动坐标;The above equation system is an overdetermined equation system whose number of equations is greater than the number of unknown variables. The mapping function coefficients a0 , a1 , a2 , a3 , a4 , a5 , b0 , and b1 are obtained by solving the least squares method. , b2 , b3 , b4 and b5 , the left eye calibration function is obtained; in the same way, the right eye calibration function can be obtained to complete the whole calibration process, which is used for real-time acquisition of human eye test images in the eye movement test The corresponding left eye pupil cornea vector and right eye pupil cornea vector are substituted into the corresponding calibration function, and the left eye movement coordinates and right eye movement coordinates on the display plane are calculated in real time;
根据所有人眼测试图像的左眼球运动坐标和右眼球运动坐标,得到对应的所述眼球运动坐标序列。其中,每个患者认知测试过程中通过对应的人眼测试图像得到的一系列左眼球运动坐标和右眼球运动坐标,可直接作为对应的眼球运动坐标序列用于后续的机器学习,但为了保证认识评估结果的全面性和精准性,通过取平均值的方法,将患者的左右眼对应的运动坐标序列合并得到最终的眼球运动坐标序列(双眼眼球运动坐标序列)。According to the left eye movement coordinates and the right eye movement coordinates of the test images of all eyes, the corresponding eye movement coordinate sequence is obtained. Among them, a series of left eye movement coordinates and right eye movement coordinates obtained from the corresponding human eye test images during the cognitive test of each patient can be directly used as the corresponding eye movement coordinate sequence for subsequent machine learning, but in order to ensure Recognizing the comprehensiveness and accuracy of the evaluation results, the final eye movement coordinate sequence (binocular eye movement coordinate sequence) is obtained by combining the motion coordinate sequences corresponding to the left and right eyes of the patient by taking the average.
S12、根据所述待筛查患者数据,构建认知功能筛查数据集,并将所述认知功能筛查数据集按照预设比例划分为训练集和测试集;S12, constructing a cognitive function screening data set according to the patient data to be screened, and dividing the cognitive function screening data set into a training set and a test set according to a preset ratio;
其中,认知功能筛查数据集可以理解为对所述根据所述待筛查患者数据,构建认知功能筛查数据集的步骤包括:Wherein, the cognitive function screening data set can be understood as the step of constructing the cognitive function screening data set according to the patient data to be screened, including:
按照预设标准对所述待筛查患者数据进行质量筛选,得到预处理患者数据;其中,所述按照预设标准对所述待筛查患者数据进行质量筛选,得到预处理患者数据的步骤包括:Perform quality screening on the patient data to be screened according to a preset standard to obtain preprocessed patient data; wherein the step of performing quality screening on the patient data to be screened according to a preset standard, and obtaining the preprocessed patient data includes: :
判断所述待筛查患者数据内各个患者的对应数据是否存在缺失项,若存在,则判断对应患者的所有缺失项占比是否超过预设缺失阈值;Determine whether there are missing items in the corresponding data of each patient in the patient data to be screened, and if so, determine whether the proportion of all missing items in the corresponding patient exceeds a preset missing threshold;
若患者的所有缺失项占比超过预设缺失阈值,则直接将对应患者的数据全部删除,反之,则按照预设规则对各个缺失项进行填充。比如,缺失项超过20%,则自己删除对应患者的所有数据,若未超过20%,则根据具体缺失项数据的类型采用不同的方式进行缺失值填充:对于缺失的离散型数据使用众数进行填充,对于缺失的连续型数据使用中位数进行填充。If the proportion of all missing items of a patient exceeds the preset missing threshold, all the data of the corresponding patient will be deleted directly; otherwise, each missing item will be filled according to the preset rules. For example, if the missing items exceed 20%, all the data of the corresponding patient will be deleted by itself. If it is not more than 20%, the missing values will be filled in different ways according to the type of the specific missing item data: for the missing discrete data, the mode is used to fill in the missing values. Padding, using the median for missing continuous data.
根据所述预处理患者数据的人口学特征、病历数据和蒙特利尔认知评估量表评估结果,得到基准认知功能评估结果;其中,基准认知功能评估结果是综合人口学特征、病历数据和蒙特利尔认知评估量表评估结果等信息作出的比较专业的认知功能评估,如,可由多名神经专科医生评估根据蒙特利尔认知评估量表评估结果,及人口学特征、病历数据等得出。According to the demographic characteristics of the preprocessed patient data, the medical record data and the Montreal Cognitive Assessment Scale assessment results, a baseline cognitive function assessment result is obtained; wherein, the benchmark cognitive function assessment result is a combination of demographic characteristics, medical record data and Montreal A more professional cognitive function assessment based on the evaluation results of the Cognitive Assessment Scale and other information, for example, can be obtained by multiple neurologists based on the assessment results of the Montreal Cognitive Assessment Scale, as well as demographic characteristics and medical record data.
采用所述基准认知功能评估结果对所述眼球运动测试数据进行标记分类,得到所述认知功能筛查数据集。其中,眼球运动测试数据在进行标记分类之前,也需要进行质量筛选,如可通过眼科专家或其他方式制定眼动数据质量标准,对采集的眼球运动测试数据进行统一筛查后,与得到的基准认知功能评估结果进行匹配,构建出包括眼球运动测试数据和相应标签的认知功能筛查数据集,用于后续的认知功能筛查分类学习。The eye movement test data is marked and classified by using the benchmark cognitive function evaluation result to obtain the cognitive function screening data set. Among them, the eye movement test data also needs to be screened for quality before being marked and classified. For example, eye movement data quality standards can be formulated by ophthalmologists or other methods, and the collected eye movement test data can be screened uniformly. The cognitive function assessment results are matched to construct a cognitive function screening dataset including eye movement test data and corresponding labels, which are used for subsequent cognitive function screening and classification learning.
S13、将所述训练集输入多个预设分类器进行k倍交叉验证训练,并通过软投票法对所述多个预设分类器集成,得到认知功能筛查模型;S13, inputting the training set into multiple preset classifiers for k-fold cross-validation training, and integrating the multiple preset classifiers through a soft voting method to obtain a cognitive function screening model;
其中,预设分类器的个数及类型,原则上可根据实际应用需求进行选取。为了解决单一模型学习训练容易陷入局部最优解,导致其泛化能力较差的问题,本实施例中优选了随机森林模型、梯度提升机模型、XGBoost模型和支持向量机模型4种机器学习算法作为基础分类器,在保证对认知功能有效筛查的基础上,进一步提高认知功能筛查模型的分类精准性和泛化能力。具体地,所述将所述训练集输入到多个预设分类器进行k倍交叉验证训练,并通过软投票法对所述多个预设分类器集成,得到认知功能筛查模型的步骤包括:Among them, the number and type of the preset classifiers can be selected according to actual application requirements in principle. In order to solve the problem that the learning and training of a single model is easy to fall into the local optimal solution, which leads to its poor generalization ability, in this embodiment, four machine learning algorithms, the random forest model, the gradient boosting machine model, the XGBoost model and the support vector machine model, are selected. As a basic classifier, on the basis of ensuring effective screening of cognitive function, the classification accuracy and generalization ability of the cognitive function screening model are further improved. Specifically, the step of inputting the training set into multiple preset classifiers for k-fold cross-validation training, and integrating the multiple preset classifiers through a soft voting method to obtain a cognitive function screening model include:
将所述训练集输入所述随机森林模型进行训练,得到第一预测模型;Inputting the training set into the random forest model for training to obtain a first prediction model;
将所述训练集输入所述梯度提升机模型进行训练,得到第二预测模型;Inputting the training set into the gradient booster model for training to obtain a second prediction model;
将所述训练集输入所述XGBoost模型进行训练,得到第三预测模型;The training set is input into the XGBoost model for training to obtain a third prediction model;
将所述训练集输入所述支持向量机模型进行训练,得到第四预测模型;Inputting the training set into the support vector machine model for training to obtain a fourth prediction model;
将所述第一预测模型、第二预测模型、第三预测模型和第四预测模型按照所述软投票法集成,得到所述认知功能筛查模型。其中,软投票法为:将第一预测模型、第二预测模型、第三预测模型、第四预测模型和第五预测模型设置对应的权重集成得到认知功能筛查模型,即该认知功能筛查模型的最终筛选结果为每个预测分类器预测得到的各种认识功能评估结果的加权平均值中概率最大者。The first prediction model, the second prediction model, the third prediction model and the fourth prediction model are integrated according to the soft voting method to obtain the cognitive function screening model. Among them, the soft voting method is: integrating the weights corresponding to the first prediction model, the second prediction model, the third prediction model, the fourth prediction model and the fifth prediction model to obtain a cognitive function screening model, that is, the cognitive function The final screening result of the screening model is the one with the highest probability in the weighted average of the various cognitive function assessment results predicted by each predictive classifier.
S14、将所述测试集输入所述认知功能筛查模型进行测试,得到筛查结果。S14. Input the test set into the cognitive function screening model for testing, and obtain a screening result.
本申请实施例通过近红外眼动测试方法采集不同疾病病种、不同病状患者的眼球运动测试数据,并根据对应人口学特征、病历数据和蒙特利尔认知评估量表评估结果综合评定得到的基准认知功能评估结果进行标记分类,构建出认知功能筛查数据集,使用多个预设分类器对认知功能筛查数据集进行特征提取和分析,通过k倍交叉验证训练得到用于对认知功能进行智能筛查的认知功能筛查模型的方法,将眼球运动异常与认知功能障碍类疾病进行合理有效的关联,进而给出精准有效的认知功能筛查结果,实现认知功能障碍智能筛查的基础上,不仅提高了认知功能障碍筛查效率,而且有效提升了认知功能障碍筛查的精准度,进而提升了诊疗经验不足的医生的诊疗能力,还为认知功能疾病的早发现、早治疗提供有效保障,进一步减轻医疗工作负担及远期社会负担。In the embodiment of the present application, the eye movement test data of patients with different diseases and conditions is collected by the near-infrared eye movement test method, and the benchmark recognition obtained by comprehensive evaluation according to the corresponding demographic characteristics, medical record data and the evaluation results of the Montreal Cognitive Assessment Scale The cognitive function evaluation results are labeled and classified, and a cognitive function screening data set is constructed. Multiple preset classifiers are used to extract and analyze the features of the cognitive function screening data set. The method of cognitive function screening model for intelligent screening of cognitive function, reasonably and effectively correlate eye movement abnormalities with cognitive dysfunction diseases, and then give accurate and effective cognitive function screening results to realize cognitive function. Based on the intelligent screening of obstacles, it not only improves the efficiency of cognitive dysfunction screening, but also effectively improves the accuracy of cognitive dysfunction screening, thereby improving the diagnosis and treatment capabilities of doctors with insufficient diagnosis and treatment experience. Early detection and early treatment of diseases provide effective protection, further reducing the burden of medical work and long-term social burden.
需要说明的是,虽然上述流程图中的各个步骤按照箭头的指示依次显示,但是这些步骤并不是必然按照箭头指示的顺序依次执行。除非本文中有明确的说明,这些步骤的执行并没有严格的顺序限制,这些步骤可以以其它的顺序执行。It should be noted that although the steps in the above flow chart are displayed in sequence according to the arrows, these steps are not necessarily executed in the sequence indicated by the arrows. Unless explicitly stated herein, the execution of these steps is not strictly limited to the order, and these steps may be performed in other orders.
在一个实施例中,如图3所示,提供了一种基于眼动测试的认知功能筛查系统,所述系统包括:In one embodiment, as shown in FIG. 3, a system for screening cognitive function based on eye movement test is provided, and the system includes:
数据获取模块1,用于获取待筛查患者数据;所述待筛查患者数据包括人口学特征、病历数据、蒙特利尔认知评估量表评估结果和眼球运动测试数据;A data acquisition module 1 is used to acquire data of patients to be screened; the data of patients to be screened includes demographic characteristics, medical record data, Montreal Cognitive Assessment Scale evaluation results and eye movement test data;
预处理模块2,用于根据所述待筛查患者数据,构建认知功能筛查数据集,并将所述认知功能筛查数据集按照预设比例划分为训练集和测试集;A preprocessing module 2, configured to construct a cognitive function screening data set according to the patient data to be screened, and divide the cognitive function screening data set into a training set and a test set according to a preset ratio;
模型构建模块3,用于将所述训练集输入多个预设分类器进行k倍交叉验证训练,并通过软投票法对所述多个预设分类器集成,得到认知功能筛查模型;
结果生成模块4,用于将所述测试集输入所述认知功能筛查模型进行测试,得到筛查结果。The
关于一种基于眼动测试的认知功能筛查系统的具体限定可以参见上文中对于一种基于眼动测试的认知功能筛查方法的限定,在此不再赘述。上述一种基于眼动测试的认知功能筛查系统中的各个模块可全部或部分通过软件、硬件及其组合来实现。上述各模块可以硬件形式内嵌于或独立于计算机设备中的处理器中,也可以以软件形式存储于计算机设备中的存储器中,以便于处理器调用执行以上各个模块对应的操作。For the specific definition of a cognitive function screening system based on eye movement test, please refer to the above definition of a cognitive function screening method based on eye movement test, which will not be repeated here. Each module in the above-mentioned eye movement test-based cognitive function screening system may be implemented in whole or in part by software, hardware and combinations thereof. The above modules can be embedded in or independent of the processor in the computer device in the form of hardware, or stored in the memory in the computer device in the form of software, so that the processor can call and execute the operations corresponding to the above modules.
图4示出一个实施例中计算机设备的内部结构图,该计算机设备具体可以是终端或服务器。如图4所示,该计算机设备包括通过系统总线连接的处理器、存储器、网络接口、显示器和输入装置。其中,该计算机设备的处理器用于提供计算和控制能力。该计算机设备的存储器包括非易失性存储介质、内存储器。该非易失性存储介质存储有操作系统和计算机程序。该内存储器为非易失性存储介质中的操作系统和计算机程序的运行提供环境。该计算机设备的网络接口用于与外部的终端通过网络连接通信。该计算机程序被处理器执行时以实现一种基于眼动测试的认知功能筛查方法。该计算机设备的显示屏可以是液晶显示屏或者电子墨水显示屏,该计算机设备的输入装置可以是显示屏上覆盖的触摸层,也可以是计算机设备外壳上设置的按键、轨迹球或触控板,还可以是外接的键盘、触控板或鼠标等。FIG. 4 shows an internal structure diagram of a computer device in an embodiment, and the computer device may specifically be a terminal or a server. As shown in Figure 4, the computer device includes a processor, memory, network interface, display, and input device connected by a system bus. Among them, the processor of the computer device is used to provide computing and control capabilities. The memory of the computer device includes a non-volatile storage medium, an internal memory. The nonvolatile storage medium stores an operating system and a computer program. The internal memory provides an environment for the execution of the operating system and computer programs in the non-volatile storage medium. The network interface of the computer device is used to communicate with an external terminal through a network connection. The computer program, when executed by the processor, implements an eye movement test-based cognitive function screening method. The display screen of the computer equipment may be a liquid crystal display screen or an electronic ink display screen, and the input device of the computer equipment may be a touch layer covered on the display screen, or a button, a trackball or a touchpad set on the shell of the computer equipment , or an external keyboard, trackpad, or mouse.
本领域普通技术人员可以理解,图4中示出的结构,仅仅是与本申请方案相关的部分结构的框图,并不构成对本申请方案所应用于其上的计算机设备的限定,具体的计算设备可以包括比图中所示更多或更少的部件,或者组合某些部件,或者具有同的部件布置。Those of ordinary skill in the art can understand that the structure shown in FIG. 4 is only a block diagram of a partial structure related to the solution of the present application, and does not constitute a limitation on the computer equipment to which the solution of the present application is applied. More or fewer components than shown in the figures may be included, or some components may be combined, or have the same arrangement of components.
在一个实施例中,提供了一种计算机设备,包括存储器、处理器及存储在存储器上并可在处理器上运行的计算机程序,处理器执行计算机程序时实现上述方法的步骤。In one embodiment, a computer device is provided, including a memory, a processor, and a computer program stored in the memory and executable on the processor, and the processor implements the steps of the above method when executing the computer program.
在一个实施例中,提供了一种计算机可读存储介质,其上存储有计算机程序,计算机程序被处理器执行时实现上述方法的步骤。In one embodiment, there is provided a computer-readable storage medium having a computer program stored thereon, the computer program implementing the steps of the above method when executed by a processor.
综上,本发明实施例提供的一种基于眼动测试的认知功能筛查方法、系统、计算机设备及存储介质,其基于眼动测试的认知功能筛查方法实现了获取包括人口学特征、病历数据、蒙特利尔认知评估量表评估结果和眼球运动测试数据的多病种、多病状的待筛查患者数据,根据预处理后的待筛查患者数据,构建认知功能筛查数据集,并将认知功能筛查数据集按照预设比例划分为训练集和测试集后,将训练集输入包括随机森林模型、梯度提升机模型、XGBoost模型和支持向量机模型的多个预设分类器进行k倍交叉验证训练,并通过软投票法对所述多个预设分类器集成,得到认知功能筛查模型,再将测试集输入认知功能筛查模型进行测试,得到筛查结果的技术方案,通过将多模态检查数据与认知功能测试收集的眼动数据相结合构建认知功能筛查数据集,并使用人工智能技术对认知功能筛查数据集进行特征提取和分析,探索眼球运动异常与认知功能障碍类疾病的关联,给出认知功能筛查结果,实现认知功能障碍的智能筛查的同时,不仅提高认知功能障碍筛查效率,而且有效提升了认知功能障碍筛查的精准度,进而提升诊疗经验不足的医生的诊疗能力,为疾病的早发现、早治疗提供有效保障,进一步减轻医疗工作负担及远期社会负担。To sum up, the embodiments of the present invention provide a method, system, computer equipment and storage medium for cognitive function screening based on eye movement test. , medical record data, Montreal Cognitive Assessment Scale assessment results and eye movement test data of multi-disease and multi-morbid patient data to be screened, according to the pre-processed patient data to be screened, to construct a cognitive function screening data set , and divide the cognitive function screening data set into training set and test set according to a preset ratio, and input the training set into multiple preset classifications including random forest model, gradient boosting machine model, XGBoost model and support vector machine model Perform k-fold cross-validation training on the classifier, and integrate the multiple preset classifiers through the soft voting method to obtain a cognitive function screening model, and then input the test set into the cognitive function screening model for testing to obtain the screening results. The technical solution is to construct a cognitive function screening data set by combining the multimodal examination data and the eye movement data collected by the cognitive function test, and use artificial intelligence technology to perform feature extraction and analysis on the cognitive function screening data set. , explore the relationship between abnormal eye movement and cognitive dysfunction diseases, give the results of cognitive function screening, and realize the intelligent screening of cognitive dysfunction at the same time, not only improve the efficiency of cognitive dysfunction screening, but also effectively improve the The accuracy of cognitive dysfunction screening will improve the diagnosis and treatment capabilities of doctors with less experience in diagnosis and treatment, provide effective protection for early detection and early treatment of diseases, and further reduce the burden of medical work and long-term social burden.
本说明书中的各个实施例均采用递进的方式描述,各个实施例直接相同或相似的部分互相参见即可,每个实施例重点说明的都是与其他实施例的不同之处。尤其,对于系统实施例而言,由于其基本相似于方法实施例,所以描述的比较简单,相关之处参见方法实施例的部分说明即可。需要说明的是,上述实施例的各技术特征可以进行任意的组合,为使描述简洁,未对上述实施例中的各个技术特征所有可能的组合都进行描述,然而,只要这些技术特征的组合不存在矛盾,都应当认为是本说明书记载的范围。Each embodiment in this specification is described in a progressive manner, and the directly identical or similar parts of each embodiment may be referred to each other, and each embodiment focuses on the differences from other embodiments. In particular, as for the system embodiments, since they are basically similar to the method embodiments, the description is relatively simple, and for related parts, please refer to the partial descriptions of the method embodiments. It should be noted that the technical features of the above embodiments can be combined arbitrarily. In order to make the description simple, all possible combinations of the technical features in the above embodiments are not described. However, as long as the combinations of these technical features do not If there is any contradiction, it should be regarded as the scope of the description in this specification.
以上所述实施例仅表达了本申请的几种优选实施方式,其描述较为具体和详细,但并不能因此而理解为对发明专利范围的限制。应当指出的是,对于本技术领域的普通技术人员来说,在不脱离本发明技术原理的前提下,还可以做出若干改进和替换,这些改进和替换也应视为本申请的保护范围。因此,本申请专利的保护范围应以所述权利要求的保护范围为准。The above-mentioned embodiments only represent several preferred embodiments of the present application, and the descriptions thereof are relatively specific and detailed, but should not be construed as a limitation on the scope of the invention patent. It should be pointed out that for those skilled in the art, without departing from the technical principle of the present invention, several improvements and replacements can also be made, and these improvements and replacements should also be regarded as the protection scope of the present application. Therefore, the protection scope of the patent of the present application shall be subject to the protection scope of the claims.
| Application Number | Priority Date | Filing Date | Title |
|---|---|---|---|
| CN202111636018.7ACN114420299A (en) | 2021-12-28 | 2021-12-28 | Cognitive function screening method, system, device and medium based on eye movement test |
| Application Number | Priority Date | Filing Date | Title |
|---|---|---|---|
| CN202111636018.7ACN114420299A (en) | 2021-12-28 | 2021-12-28 | Cognitive function screening method, system, device and medium based on eye movement test |
| Publication Number | Publication Date |
|---|---|
| CN114420299Atrue CN114420299A (en) | 2022-04-29 |
| Application Number | Title | Priority Date | Filing Date |
|---|---|---|---|
| CN202111636018.7APendingCN114420299A (en) | 2021-12-28 | 2021-12-28 | Cognitive function screening method, system, device and medium based on eye movement test |
| Country | Link |
|---|---|
| CN (1) | CN114420299A (en) |
| Publication number | Priority date | Publication date | Assignee | Title |
|---|---|---|---|---|
| CN114724709A (en)* | 2022-06-07 | 2022-07-08 | 深圳市铱硙医疗科技有限公司 | Dementia risk screening system, equipment and medium based on VR eye movement tracking |
| CN115101191A (en)* | 2022-08-26 | 2022-09-23 | 大连理工大学 | Parkinson disease diagnosis system |
| CN116092665A (en)* | 2022-12-14 | 2023-05-09 | 中南大学湘雅医院 | An artificial intelligence-based eye screening diagnosis and treatment system |
| CN119601221A (en)* | 2024-12-20 | 2025-03-11 | 中国人民解放军总医院第三医学中心 | Screening and prediction system for mild cognitive impairment in glaucoma patients |
| Publication number | Priority date | Publication date | Assignee | Title |
|---|---|---|---|---|
| US20140107494A1 (en)* | 2011-05-31 | 2014-04-17 | Nagoya Institute Of Technology | Cognitive Impairment Determination Apparatus, Cognitive Impairment Determination System and Program |
| CN103942567A (en)* | 2014-04-22 | 2014-07-23 | 张擎 | Automatic discrimination analysis method of mild cognitive impairment based on support vector machine |
| CN110801237A (en)* | 2019-11-10 | 2020-02-18 | 中科搏锐(北京)科技有限公司 | Cognitive ability assessment system and method based on eye movement and electroencephalogram characteristics |
| CN111317448A (en)* | 2020-03-03 | 2020-06-23 | 南京鼓楼医院 | A method and system for analyzing visual-spatial cognition |
| CN111524602A (en)* | 2020-04-28 | 2020-08-11 | 西安玖诚玖谊实业有限公司 | Old person's memory and cognitive function aassessment screening early warning system |
| CN111714080A (en)* | 2020-06-30 | 2020-09-29 | 重庆大学 | A disease classification system based on eye movement information |
| Publication number | Priority date | Publication date | Assignee | Title |
|---|---|---|---|---|
| US20140107494A1 (en)* | 2011-05-31 | 2014-04-17 | Nagoya Institute Of Technology | Cognitive Impairment Determination Apparatus, Cognitive Impairment Determination System and Program |
| CN103942567A (en)* | 2014-04-22 | 2014-07-23 | 张擎 | Automatic discrimination analysis method of mild cognitive impairment based on support vector machine |
| CN110801237A (en)* | 2019-11-10 | 2020-02-18 | 中科搏锐(北京)科技有限公司 | Cognitive ability assessment system and method based on eye movement and electroencephalogram characteristics |
| CN111317448A (en)* | 2020-03-03 | 2020-06-23 | 南京鼓楼医院 | A method and system for analyzing visual-spatial cognition |
| CN111524602A (en)* | 2020-04-28 | 2020-08-11 | 西安玖诚玖谊实业有限公司 | Old person's memory and cognitive function aassessment screening early warning system |
| CN111714080A (en)* | 2020-06-30 | 2020-09-29 | 重庆大学 | A disease classification system based on eye movement information |
| Title |
|---|
| JUANJUAN JIANG ET AL.: ""A Novel Detection Tool for Mild Cognitive Impairment Patients Based on Eye Movement and Electroencephalogram"", 《JOURNAL OF ALZHEIMER’S DISEASE》, vol. 72, 25 September 2019 (2019-09-25), pages 389* |
| 阿迪蒂尼·夏尔马等主编: "《机器学习:使用OpenCV、Python和scikit-learn进行智能图像处理》", 31 January 2021, 机械工业出版社, pages: 234* |
| 黄海编著: "《虚拟现实技术》", 31 January 2014, 北京邮电大学出版社, pages: 69* |
| Publication number | Priority date | Publication date | Assignee | Title |
|---|---|---|---|---|
| CN114724709A (en)* | 2022-06-07 | 2022-07-08 | 深圳市铱硙医疗科技有限公司 | Dementia risk screening system, equipment and medium based on VR eye movement tracking |
| CN114724709B (en)* | 2022-06-07 | 2022-10-14 | 深圳市铱硙医疗科技有限公司 | Dementia risk screening system, equipment and medium based on VR eye movement tracking |
| CN115101191A (en)* | 2022-08-26 | 2022-09-23 | 大连理工大学 | Parkinson disease diagnosis system |
| CN116092665A (en)* | 2022-12-14 | 2023-05-09 | 中南大学湘雅医院 | An artificial intelligence-based eye screening diagnosis and treatment system |
| CN116092665B (en)* | 2022-12-14 | 2023-11-03 | 中南大学湘雅医院 | Ophthalmic screening diagnosis and treatment system based on artificial intelligence |
| CN119601221A (en)* | 2024-12-20 | 2025-03-11 | 中国人民解放军总医院第三医学中心 | Screening and prediction system for mild cognitive impairment in glaucoma patients |
| Publication | Publication Date | Title |
|---|---|---|
| US20240257981A1 (en) | Method and apparatus for determining health status | |
| CN113962311B (en) | Knowledge data and artificial intelligence driven multi-disease identification system for ophthalmology | |
| Trucco et al. | Validating retinal fundus image analysis algorithms: issues and a proposal | |
| CN114420299A (en) | Cognitive function screening method, system, device and medium based on eye movement test | |
| CN110537204A (en) | Using segmentation and Classification Neural can extensive medical image analysis | |
| WO2020190648A1 (en) | Method and system for measuring pupillary light reflex with a mobile phone | |
| Karthiyayini et al. | Retinal image analysis for ocular disease prediction using rule mining algorithms | |
| US20230077125A1 (en) | Method for diagnosing age-related macular degeneration and defining location of choroidal neovascularization | |
| Karthika et al. | Improved ResNet_101 assisted attentional global transformer network for automated detection and classification of diabetic retinopathy disease | |
| Urina-Triana et al. | Machine learning and AI approaches for analyzing diabetic and hypertensive retinopathy in ocular images: A literature review | |
| Naz et al. | Diabetic retinopathy detection using supervised and unsupervised deep learning: a review study | |
| Bhandari et al. | Soft Attention Mechanism Based Network to Extract Blood Vessels From Retinal Image Modality | |
| Adibuzzaman et al. | Assessment of pain using facial pictures taken with a smartphone | |
| CN114612484A (en) | Retinal OCT Image Segmentation Method Based on Unsupervised Learning | |
| Shafiq et al. | Dualeye-featurenet: a dual-stream feature transfer framework for multi-modal ophthalmic image classification | |
| Sridhar et al. | Artificial intelligence in medicine: diabetes as a model | |
| Zheng et al. | Detecting retinopathy from optical coherence tomography images using a novel augmentation-based semi-supervised learning approach | |
| CN117522770A (en) | Image-based detection of characteristic eye movements | |
| Navarro-Cabrera et al. | Machine vision model using nail images for non-invasive detection of iron deficiency anemia in university students | |
| CN114171180A (en) | Medical data processing method, computer equipment and storage medium | |
| Wu et al. | DRAMA: Diabetic Retinopathy Assessment through Multi-task Learning Approach on Heterogeneous Fundus Image Datasets | |
| Gunasekara et al. | A feasibility study for deep learning based automated brain tumor segmentation using magnetic resonance images | |
| Doan et al. | Implementation of complete glaucoma diagnostic system using machine learning and retinal fundus image processing | |
| Baihaqi et al. | Enhancing DenseNet Accuracy in Retinal Disease Classification with Contrast Limited Adaptive Histogram Equalization | |
| Cengil | Multi-Region Detection of eye Conjunctiva Images Using DNCNN and YOLOv8 Algorithms |
| Date | Code | Title | Description |
|---|---|---|---|
| PB01 | Publication | ||
| PB01 | Publication | ||
| SE01 | Entry into force of request for substantive examination | ||
| SE01 | Entry into force of request for substantive examination |