Movatterモバイル変換


[0]ホーム

URL:


CN114413961A - Test evaluation device for dynamic laser wireless energy transmission system - Google Patents

Test evaluation device for dynamic laser wireless energy transmission system
Download PDF

Info

Publication number
CN114413961A
CN114413961ACN202111664295.9ACN202111664295ACN114413961ACN 114413961 ACN114413961 ACN 114413961ACN 202111664295 ACN202111664295 ACN 202111664295ACN 114413961 ACN114413961 ACN 114413961A
Authority
CN
China
Prior art keywords
laser
power
light
testing
power meter
Prior art date
Legal status (The legal status is an assumption and is not a legal conclusion. Google has not performed a legal analysis and makes no representation as to the accuracy of the status listed.)
Granted
Application number
CN202111664295.9A
Other languages
Chinese (zh)
Other versions
CN114413961B (en
Inventor
王长富
王旭东
徐万里
鲁长波
陈今茂
周友杰
李施展
孙彦丽
Current Assignee (The listed assignees may be inaccurate. Google has not performed a legal analysis and makes no representation or warranty as to the accuracy of the list.)
Institute Of Military New Energy Technology Institute Of Systems Engineering Academy Of Military Sciences
Original Assignee
Institute Of Military New Energy Technology Institute Of Systems Engineering Academy Of Military Sciences
Priority date (The priority date is an assumption and is not a legal conclusion. Google has not performed a legal analysis and makes no representation as to the accuracy of the date listed.)
Filing date
Publication date
Application filed by Institute Of Military New Energy Technology Institute Of Systems Engineering Academy Of Military SciencesfiledCriticalInstitute Of Military New Energy Technology Institute Of Systems Engineering Academy Of Military Sciences
Priority to CN202111664295.9ApriorityCriticalpatent/CN114413961B/en
Publication of CN114413961ApublicationCriticalpatent/CN114413961A/en
Application grantedgrantedCritical
Publication of CN114413961BpublicationCriticalpatent/CN114413961B/en
Activelegal-statusCriticalCurrent
Anticipated expirationlegal-statusCritical

Links

Images

Classifications

Landscapes

Abstract

The embodiment of the invention discloses a test evaluation device for a dynamic laser wireless energy transmission system, which can respectively test and evaluate a laser system, a collimation system and a receiving end system in the dynamic laser wireless energy transmission system based on a constructed laser system test unit, a constructed collimation system test unit and a constructed receiving end system test unit, namely, can test and evaluate all parts of the dynamic laser wireless energy transmission system, thereby improving the integrity and the accuracy of evaluation. In addition, each part of the dynamic laser wireless energy transmission system is evaluated through different evaluation parameters, and the accuracy of system evaluation can be improved.

Description

Test evaluation device for dynamic laser wireless energy transmission system
Technical Field
The invention relates to the technical field of wireless energy transmission, in particular to a test evaluation device for a dynamic laser wireless energy transmission system.
Background
The laser wireless energy transmission technology has the advantages of high energy density, good energy convergence, good directivity, long transmission distance, small transmitting and receiving aperture and the like, can still keep light beam concentration after long-distance transmission, is easy to focus light beams, has better directivity, is suitable for supplying power to long-distance mobile equipment, and has good development prospect in the aspect of long-distance energy transmission.
Aiming at a movable energy transfer system in the energy transfer process, namely a dynamic laser wireless energy transmission system, such as an unmanned aerial vehicle, an unmanned vehicle, a robot and the like, in the remote wireless energy transmission process, the transmission efficiency index of the system is very important, laser can be interfered by atmosphere and cloud layers, space light path attenuation exists, and factors such as light beams and angles can also cause the reduction of the transmission efficiency, so that a test evaluation device for the dynamic laser wireless energy transmission system is constructed, and the design and screening of system components are guided to adapt to the laser wireless energy transmission system in a battlefield, and the important is particularly realized.
Disclosure of Invention
The invention provides a test evaluation device for a dynamic laser wireless energy transmission system, which is used for effectively evaluating the dynamic laser wireless energy transmission system. The specific technical scheme is as follows.
The embodiment of the invention provides a test evaluation device for a dynamic laser wireless energy transmission system, which comprises: the system comprises a laser system, a laser system testing unit, a collimation system testing unit, a receiving end system and a receiving end system testing unit; the receiving end system is a dynamic system; the receiving end system moves according to the designated speed and the designated path;
the laser system includes: the system comprises a laser power supply, a laser and a water cooling machine; the laser is connected with the laser power supply and the water cooling machine;
the laser system test unit includes: the device comprises a first alternating current power meter, a first direct current power meter, a second alternating current power meter and a first laser power meter;
the first alternating current power meter is connected with the laser power supply and used for testing the input alternating current power of the system; the first direct current power meter is connected with the laser and used for testing the direct current power supply power of the laser; the second alternating current power meter is connected with the water-cooled machine and used for testing alternating current power passing through the water-cooled machine; the first laser power meter is used for receiving laser emitted by the laser and testing the optical power of an emitting end of the laser;
the collimation system comprises: the device comprises a collimating antenna, a first attenuator, a near-field testing device and a far-field testing device; the near field test device comprises a first lens group and a second attenuator; the far field test device comprises: the optical system comprises a diaphragm, a first optical gate, frosted glass, a lens and a third attenuator; the far-field testing device is arranged on an X-Y axis displacement table;
the collimating antenna is used for receiving laser emitted by the laser, and the first attenuator is used for receiving laser emitted by the laser; the first lens group is used for receiving the laser after passing through the collimating antenna, and the second attenuator is used for receiving the laser after passing through the first lens group; the diaphragm and the frosted glass are used for receiving the laser after passing through the second attenuator, the first optical shutter is used for receiving the laser after passing through the diaphragm, the lens is used for receiving the laser after passing through the frosted glass, and the third attenuator is used for receiving the laser after passing through the lens;
the collimation system test unit comprises: the system comprises a first light spot analyzer, a second laser power meter, a second light spot analyzer, a third laser power meter and a third light spot analyzer;
the first light spot analyzer is used for receiving the laser passing through the first attenuator to obtain a beam divergence angle and a first light energy distribution graph; the second laser power meter is used for receiving the laser passing through the first lens group and testing the collimated near-field optical power; the second light spot analyzer is used for receiving the laser passing through the second attenuator to obtain the diameter of the light spot and a second light energy distribution graph; the third laser power meter is used for receiving the laser passing through the first optical gate and testing the far-field optical power after collimation; the third light spot analyzer is used for receiving the laser passing through the third attenuator to obtain a third light energy distribution graph;
the receiving end system comprises: the device comprises a laser battery, a maximum power tracking module, a voltage stabilizing module and a load; the maximum power tracking module is connected with both the laser battery and the voltage stabilizing module, and the voltage stabilizing module is also connected with the load;
the receiving end system test unit includes: the wind power meter comprises a first wind speed tester, a volt-ampere characteristic tester, a second direct current power meter and a third direct current power meter;
the first wind speed tester is used for testing the wind speed flowing through the laser battery; the volt-ampere characteristic tester is connected with the laser battery and used for testing the maximum output power of the laser battery; the second direct current power meter is connected with the input end of the voltage stabilizing module and used for testing the actual output direct current power; and the third direct current power meter is connected with the output end of the voltage stabilizing module and is used for testing the output direct current power after voltage stabilization.
Optionally, the laser system further includes: a second lens group and a second shutter;
the second lens group is used for focusing laser emitted by the laser; the second optical gate is used for filtering the laser focused by the second lens group;
and the first laser power meter is used for receiving the laser after passing through the second lens group and the second optical gate and testing the optical power of the emitting end of the laser.
Optionally, the apparatus further comprises: an evaluation unit;
the evaluation unit is used for calculating the evaluation parameters of the laser system according to the input alternating current power, the alternating current power passing through the water-cooling machine, the direct current power supply power and the light power of the emitting end;
the evaluation unit is further used for calculating the evaluation parameters of the collimation system according to the beam divergence angle, the first light energy distribution map, the collimated near-field light power, the spot diameter, the second light energy distribution map, the collimated far-field light power and the third light energy distribution map;
and the evaluation unit is also used for calculating the evaluation parameters of the receiving end system according to the maximum output power, the actual output direct current power and the regulated output direct current power.
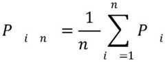
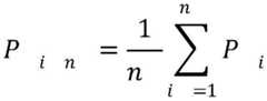
Optionally, the evaluation unit is specifically configured to, when calculating the evaluation parameter of the laser system according to the input ac power, the ac power passing through the water-cooling machine, the dc power supply power, and the light power of the emitting end:
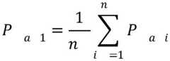
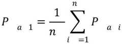
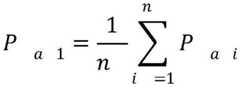
obtaining a reading P of said first AC power meter taken at set time intervalsaiReading P of the second AC power meterFiReading P of the first DC power meterdiAnd a reading P of the first laser power meteri
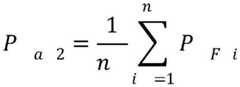
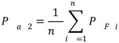
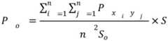
Calculating the input AC power P according to the following formulaa1AC power P passing through water cooling machinea2DC power supply PdAnd transmitting end optical power Pin
Figure BDA0003447982180000031
Figure BDA0003447982180000041
Figure BDA0003447982180000042
Figure BDA0003447982180000043
Wherein n is the number of testing times;
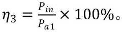
calculating the DC-to-optical power conversion efficiency eta of the laser system according to the following formula1Ac-to-optical power conversion efficiency eta2And laser system efficiency eta3
Figure BDA0003447982180000044
Figure BDA0003447982180000045
Figure BDA0003447982180000046
Optionally, the collimation system evaluation parameters include: near-field power transmission efficiency, far-field spatial transmission efficiency, collimated antenna beam-shrinking ratio, transmitting end optical power density, spatial light spot distortion condition and light beam uniformity; the evaluation unit is specifically configured to, when calculating the evaluation parameter of the collimation system according to the beam divergence angle, the first light energy distribution map, the collimated near-field light power, the spot diameter, the second light energy distribution map, the collimated far-field light power, and the third light energy distribution map:
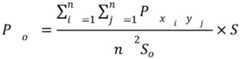
obtaining a reading P of said second AC power meter taken at set time intervalsziThe reading P of the third alternating current power meter recorded for the ith time in the X-axis direction and the jth time in the Y-axis directionxiyj
Obtaining the diaphragm area S of the diaphragm0And a cell area S of the laser cell;
calculating the collimated near-field optical power P according to the following formulazAnd the light power P received by the far-field laser battery after collimationo
Figure BDA0003447982180000047
Figure BDA0003447982180000051
Calculating the near-field power transmission efficiency eta according to the following formulas4And far field spatial transmission efficiency η5
Figure BDA0003447982180000052
Figure BDA0003447982180000053
Obtaining the divergence angle phi of the light beam and the diameter D of the light spot1A distance D between the first spot analyzer and the second spot analyzer;
according to the beam divergence angle phi and the spot diameter D1Calculating a collimation antenna beam reduction ratio according to a distance D between the first light spot analyzer and the second light spot analyzer;
obtaining the aperture R of the collimating antenna and the mass M of the collimating antenna1
Calculating the area optical power density rho according to the following formulas1And mass optical power density ρ2
Figure BDA0003447982180000054
Figure BDA0003447982180000055
And comparing the first light energy distribution graph, the second light energy distribution graph and the third light energy distribution graph to determine the distortion condition of the spatial light spot and the uniformity of the light beam.
Optionally, the evaluation unit is configured to evaluate the beam divergence angle Φ and the spot diameter D1And the distance D between the first light spot analyzer and the second light spot analyzer is specifically used for:
calculating the collimated antenna beam-shrinking ratio beta according to the following formula:
Figure BDA0003447982180000056
Figure BDA0003447982180000057
wherein D is2The spot diameter at the second spot analyzer when not collimated.
Optionally, the evaluation unit is specifically configured to, when calculating an evaluation parameter of a receiving end system according to the maximum output power, the actual output dc power, and the regulated output dc power:
obtaining readings P of the volt-ampere characteristic tester under different laser emission powers and different wind speeds read according to set time intervalsmiReading P of the second DC power meterdo1iAnd reading P of said third DC power meterdo2i
Calculating the maximum power P of the laser battery output according to the following formulasmThe maximum power tracking module actually outputs direct current power Pdo1And the regulated DC power Pdo2
Figure BDA0003447982180000061
Calculating the efficiency eta of the maximum power tracking module according to the following formulaMAnd receiving end voltage stabilizing module efficiency etad
Figure BDA0003447982180000062
Figure BDA0003447982180000063
Optionally, the apparatus further comprises: a heat sink and a heat sink testing unit; the heat dissipation device is connected with the laser battery;
the heat sink testing unit includes: the wind speed measuring device comprises a second wind speed tester, a first temperature sensor, a second temperature sensor and a third temperature sensor;
the second wind speed tester is used for monitoring the wind speed flowing through the heat dissipation device; the first temperature sensor is located on the photosensitive surface of the laser panel, the second temperature sensor is located on the back surface of the laser panel, and the third temperature sensor is located on the heat dissipation device.
Optionally, the evaluation unit is further configured to calculate evaluation parameters of the heat dissipation device, and specifically configured to:
aiming at each wind speed measured by the wind speed tester, acquiring the steady-state temperature T of the corresponding first temperature sensor at the wind speeds1A steady state temperature T of the second temperature sensors2And the steady-state temperature T of the third temperature sensors3
Obtaining a mass M of the heat sink3
Calculating the temperature density rho of the heat dissipation device at the wind speed according to the following formula5And the temperature density ρ of the laser cell6
Figure BDA0003447982180000071
Figure BDA0003447982180000072
Optionally, the evaluation unit is further configured to calculate an overall conversion efficiency η of the system according to the following formula:
Figure BDA0003447982180000073
as can be seen from the above, the test evaluation apparatus for a dynamic laser wireless energy transmission system according to the embodiments of the present invention can perform test evaluation on a laser system, a collimation system, and a receiving end system in the dynamic laser wireless energy transmission system respectively based on a constructed laser system test unit, a constructed collimation system test unit, and a constructed receiving end system test unit, that is, can perform test evaluation on each part of the dynamic laser wireless energy transmission system, so as to improve the integrity and accuracy of the evaluation. In addition, each part of the dynamic laser wireless energy transmission system is evaluated through different evaluation parameters, and the accuracy of system evaluation can be improved. Of course, not all of the advantages described above need to be achieved at the same time in the practice of any one product or method of the invention.
The innovation points of the embodiment of the invention comprise:
1. based on the constructed laser system test unit, the constructed collimation system test unit and the constructed receiving end system test unit, the laser system, the constructed collimation system and the receiving end system in the dynamic laser wireless energy transmission system are respectively tested and evaluated, namely, all parts of the dynamic laser wireless energy transmission system can be tested and evaluated, so that the integrity and the accuracy of evaluation can be improved.
2. The evaluation is carried out on each part of the dynamic laser wireless energy transmission system through different evaluation parameters, and the accuracy of the system evaluation can be improved.
Drawings
In order to more clearly illustrate the embodiments of the present invention or the technical solutions in the prior art, the drawings used in the description of the embodiments or the prior art will be briefly described below. It is to be understood that the drawings in the following description are merely exemplary of some embodiments of the invention. For a person skilled in the art, without inventive effort, further figures can be obtained from these figures.
FIG. 1 is a schematic diagram of a test site layout according to an embodiment of the present invention;
FIG. 2 is a schematic diagram of a laser system according to an embodiment of the present invention;
FIG. 3 is a schematic structural diagram of a collimation system according to an embodiment of the present invention;
FIG. 4 is a schematic structural diagram of a receiving end system according to an embodiment of the present invention;
FIG. 5 is a schematic structural diagram of a heat dissipation device according to an embodiment of the present invention;
FIG. 6 is a schematic diagram of a temperature variation curve according to an embodiment of the present invention;
fig. 7 is a schematic diagram of a total test point according to an embodiment of the present invention.
Detailed Description
The technical solution in the embodiments of the present invention will be clearly and completely described below with reference to the accompanying drawings in the embodiments of the present invention. It is to be understood that the described embodiments are merely a few embodiments of the invention, and not all embodiments. All other embodiments, which can be obtained by a person skilled in the art without inventive effort based on the embodiments of the present invention, are within the scope of the present invention.
It is to be noted that the terms "comprises" and "comprising" and any variations thereof in the embodiments and drawings of the present invention are intended to cover non-exclusive inclusions. For example, a process, method, system, article, or apparatus that comprises a list of steps or elements is not limited to only those steps or elements listed, but may alternatively include other steps or elements not listed, or inherent to such process, method, article, or apparatus.
The embodiment of the invention discloses a test evaluation device for a dynamic laser wireless energy transmission system, which can effectively evaluate the dynamic laser wireless energy transmission system. The following provides a detailed description of embodiments of the invention.
The invention aims to establish a set of complete test and evaluation methods for a laser wireless energy transmission system, which comprises a test device, test conditions, a test object, evaluation indexes, a test method, an analysis means and the like, so that different laser wireless energy transmission systems can measure objective and fair test results under different test condition requirements.
Fig. 1 shows a schematic diagram of a test site layout according to an embodiment of the present invention. The overall layout of the field refers to that in order to ensure the safety of testers and test instruments, the field is divided into a safety area, a non-safety area, a dangerous area and a laser energy transfer test area. The personnel in the safe area can observe, shoot, take notes, also can manipulate monitoring instrument trigger switch etc. has put the equipment of putting out a fire in the safe area, mainly puts out a fire to the accident of starting a fire that probably appears in the experiment. The unsafe area is a position where the laser can be irradiated, and people cannot move in the area. The dangerous area refers to the periphery of the area where the laser battery and the load are located at the receiving end, the laser has pointing instability, the light path may have small deviation, and no personnel can be detained at the position. The test area is the area where the laser wireless energy transmission system works, and is mainly used for placing a laser emission system (a laser power supply, a laser and a water cooling machine), a collimation system (an emission antenna, a lens group and a rotary table), a receiving system (a laser battery, a voltage stabilizing module and a load) and a testing instrument (an alternating current power meter, a direct current power meter, a digital source meter, a laser power meter, a volt-ampere characteristic testing instrument, a spectrum analyzer, a facula analyzer, a laser range finder, a temperature sensor, a digital camera) and the like.
In the embodiment of the invention, the dynamic laser wireless transmission system refers in particular to an energy transmission system with a movable receiving end in the energy transmission process, and the energy transmission system includes but is not limited to an unmanned aerial vehicle, an unmanned vehicle, a robot laser wireless energy transmission system and the like. The dynamic system requires the receiving end to spiral according to the designated speed and the designated path.
For the laser, the wavelength range of the laser can be selected from the proper ranges of 850nm, 808nm, 980nm and the like, and the power ranges of 0-500W, 500-1000W and more than 1000W are divided, so that the transverse evaluation of the system performance is facilitated; for the energy transmission distance, the distance ranges of 0-200m, 200-1000m, 1000m and above are divided, so that the longitudinal evaluation of the performance of the near-field and far-field system is facilitated.
The embodiment of the invention provides a test evaluation device for a dynamic laser wireless energy transmission system, which comprises: the system comprises a laser system, a laser system testing unit, a collimation system testing unit, a receiving end system and a receiving end system testing unit; the receiving end system is a dynamic system; the receiving end system moves according to the designated speed and the designated path.
Specifically, as shown in fig. 2, the laser system includes: the system comprises a laser power supply, a laser and a water cooling machine; the laser is connected with the laser power supply and the water cooling machine. The laser system test unit includes: the device comprises a first alternating current power meter (namely, an alternating current power meter 1), a first direct current power meter (namely, a direct current power meter 1), a second alternating current power meter (namely, an alternating current power meter 2) and a first laser power meter (namely, a laser power meter 1); the first alternating current power meter is connected with the laser power supply and used for testing the input alternating current power of the system; the first direct current power meter is connected with the laser and used for testing the direct current power supply power of the laser; the second alternating current power meter is connected with the water cooling machine and used for testing the alternating current power passing through the water cooling machine; the first laser power meter is used for receiving laser emitted by the laser and testing the optical power of the emitting end of the laser.
In one implementation, as shown in fig. 2, the laser system further includes: a second lens group (i.e., lens group 2) and a second shutter (i.e., shutter 2); the second lens group is used for focusing laser emitted by the laser; the second optical gate is used for filtering the laser focused by the second lens group; and the first laser power meter is used for receiving the laser after passing through the second lens group and the second optical gate and testing the optical power of the emitting end of the laser.
The specific test steps are as follows:
1. firstly, placing and connecting a test instrument according to the sequence shown in the figure 2, selecting a focusing lens group (when the diameter of a laser beam is too large and exceeds the size of a probe of a laser power meter, focusing the laser beam by using a lens, ensuring that a detected light spot is projected into an 2/3 area of the diameter of a light receiving surface of the laser power meter 1), ensuring that the light beam is incident from the center of the light receiving surface of the laser power meter 1, selecting a proper range of the light power meter, using an optical gate, blocking the light entering the laser power meter 1, avoiding the instability of the light beam after the laser is just started and avoiding the damage of the instrument due to long-time laser irradiation, which is one of the invention points of the invention;
2. adjusting a laser power supply to enable a laser to emit specified power;
3. selecting proper measuring ranges of two alternating current power meters and two direct current power meters; recording the reading P of the AC power meter 1 at regular time intervalsaiReading P ofac power meter 2FiD.c. power meter 1 reading PdiReading P of the laser power meter 1iThe units are all watts (W).
After the data recording is completed, the laser system can also be evaluated on the basis of the recorded data. Specifically, the above apparatus further comprises: and the evaluation unit is used for calculating the evaluation parameters of the laser system according to the input alternating current power, the alternating current power passing through the water-cooling machine, the direct current power supply power and the light power of the emitting end.
Specifically, the reading P of the first ac power meter, which is taken at set time intervals, may be obtained firstaiReading P of the second AC power meterFiReading P of the first DC power meterdiAnd reading P of the first laser power meteri(ii) a Then, the input AC power P is calculated according to the following formulaa1AC power P passing through water cooling machinea2DC power supply PdAnd transmitting end optical power Pin
Figure BDA0003447982180000101
Figure BDA0003447982180000102
Figure BDA0003447982180000103
Figure BDA0003447982180000104
Wherein n is the number of testing times;
finally, the direct current-light power conversion efficiency eta of the laser system is calculated according to the following formula1Ac-to-optical power conversion efficiency eta2And laser system efficiency eta3
Figure BDA0003447982180000111
Figure BDA0003447982180000112
Figure BDA0003447982180000113
As shown in fig. 3, the collimation system may include: a collimated antenna, a first attenuator (i.e., attenuator 1), a near field test device, and a far field test device; the near field test device comprises a first lens group (namely a lens group 1) and a second attenuator (namely an attenuator 2); the far-field test device comprises: a diaphragm, a first optical gate (i.e., optical gate 1), ground glass, a lens, and a third attenuator (i.e., attenuator 3); the far-field testing device is arranged on an X-Y axis displacement table.
The collimating antenna is used for receiving laser emitted by the laser, and the first attenuator is used for receiving laser emitted by the laser; the first lens group is used for receiving the laser after passing through the collimating antenna, and the second attenuator is used for receiving the laser after passing through the first lens group; the diaphragm and the frosted glass are used for receiving the laser passing through the second attenuator, the first optical shutter is used for receiving the laser passing through the diaphragm, the lens is used for receiving the laser passing through the frosted glass, and the third attenuator is used for receiving the laser passing through the lens.
The collimation system test unit includes: a first spot analyzer (i.e., spot analyzer 1), a second laser power meter (i.e., laser power meter 2), a second spot analyzer (i.e., spot analyzer 2), a third laser power meter (i.e., laser power meter 3), and a third spot analyzer (i.e., spot analyzer 3).
The first light spot analyzer is used for receiving the laser passing through the first attenuator to obtain a beam divergence angle and a first light energy distribution graph; the second laser power meter is used for receiving the laser passing through the first lens group and testing the collimated near-field optical power; the second light spot analyzer is used for receiving the laser passing through the second attenuator to obtain the diameter of the light spot and a second light energy distribution graph; the third laser power meter is used for receiving the laser passing through the first optical gate and testing the far-field optical power after collimation; and the third light spot analyzer is used for receiving the laser passing through the third attenuator to obtain a third light energy distribution graph.
The specific test steps are as follows:
1. measuring the aperture R of the collimating antenna, the distance D between thefacula analyzers 1 and 2 and the area S of the laser battery by using a ruler; measuring the mass M of a collimated antenna using a balance1
2. The transmitting end optical power P measured by the laser power meter 1 is arranged and connected with the testing instrument according to the sequence shown in figure 3in
3. Selecting appropriate ranges of three laser power meters, wherein the light power measurement of the near field after collimation is consistent with the test method before collimation, selecting a focusing lens group (when the diameter of a laser beam is too large and exceeds the size of a probe of the laser power meter, a lens is needed to focus the laser beam, and the measured light spot is ensured to be projected into 2/3 area of the diameter of the light receiving surface of the laser power meter), ensuring that the light beam is incident from the center of the light receiving surface of thelaser power meter 2, and the area of the light spot of the collimated light beam after far field transmission just completely covers a laser battery, which is one of the invention points of the invention;
4. the scanning range, the scanning resolution and the scanning sensitivity of the facula analyzer are set according to the light output spectral range of the laser, and the attenuators are used for light beams before and after collimation to attenuate the light into the normal working range of the facula analyzer so as to ensure the accuracy of the recording of the experimental result, which is one of the invention points of the invention;
5. for the far-field beam after collimation, a diaphragm is used, the opening is circular, and the area is So(the diameter is matched with the size of a probe of the optical power meter), the diaphragm and the far-field test instrument are both arranged on an X-Y axis displacement table, the outlet of the diaphragm is connected with the optical power meter, a whole piece of ground glass is arranged in the far field to receive the large far-field light spots, and light is received into the light spot analyzer by a lens;
6. adjusting the power supply to make the laser emit specified power, scanning the spot analyzer in the set wave band, measuring the divergence angle phi of the light beam by the spot analyzer 1, and measuring the diameter D of the light spot by thespot analyzer 21
7. Operating the X-Y axis displacement table to move the light barrier in the X-axis and Y-axis directions, wherein the moving range is consistent with the size of the laser battery at the receiving end, and obtaining the XiyjDifferent optical power and optical energy distributions at corresponding positions;
8. recording the reading P of the laser power meter 1 at regular time intervalsiReading P of thelaser power meter 2ziReading P of the laser power meter 3xijiThe divergence angle phi of the light beam measured by the light spot analyzer 1 and the diameter D of the light spot measured by thelight spot analyzer 21And the light energy distribution graph measured by thelight spot analyzers 1, 2 and 3.
After the test is finished, the evaluation parameters of the collimation system can be calculated through the evaluation unit according to the beam divergence angle, the first light energy distribution diagram, the collimated near-field light power, the spot diameter, the second light energy distribution diagram, the collimated far-field light power and the third light energy distribution diagram.
The collimation system evaluation parameters may include: near-field power transmission efficiency, far-field spatial transmission efficiency, collimated antenna beam-shrinking ratio, transmitting end optical power density, spatial light spot distortion condition and light beam uniformity; an evaluation unit, specifically configured to:
get according toReading P of second AC power meter read at set time intervalziReading P of the third AC power meter recorded i times in the X-axis direction and j times in the Y-axis directionxiyj
Obtaining the diaphragm area S of the diaphragm0And the cell area S of the laser cell;
calculating the collimated near-field optical power P according to the following formulazAnd the light power P received by the far-field laser battery after collimationo
Figure BDA0003447982180000131
Figure BDA0003447982180000132
Calculating the near-field power transmission efficiency eta according to the following formulas4And far field spatial transmission efficiency η5
Figure BDA0003447982180000133
Figure BDA0003447982180000134
Obtaining the divergence angle phi of the light beam and the diameter D of the light spot1A distance D between the first light spot analyzer and the second light spot analyzer;
according to the beam divergence angle phi and the spot diameter D1Calculating the beam shrinkage ratio of the collimation antenna according to the distance D between the first light spot analyzer and the second light spot analyzer;
obtaining aperture R of collimating antenna and mass M of collimating antenna1
Calculating the area optical power density rho according to the following formulas1And mass optical power density ρ2
Figure BDA0003447982180000135
Figure BDA0003447982180000136
And comparing the first light energy distribution graph, the second light energy distribution graph and the third light energy distribution graph to determine the distortion condition of the space light spot and the uniformity of the light beam.
In one implementation, when the evaluation unit calculates the collimated antenna beam-shrinking ratio, the collimated antenna beam-shrinking ratio β may be calculated according to the following formula:
Figure BDA0003447982180000141
Figure BDA0003447982180000142
wherein D is2The spot diameter at the second spot analyzer when not collimated.
As shown in fig. 4, the receiving end system includes: the device comprises a laser battery, a maximum power tracking module, a voltage stabilizing module and a load; the maximum power tracking module is connected with both the laser battery and the voltage stabilizing module, and the voltage stabilizing module is also connected with a load.
The receiving end system test unit includes: a first anemometer (namely an anemometer 1), a volt-ampere characteristic tester, a second direct current power meter (namely a direct current power meter 2) and a third direct current power meter (namely a direct current power meter 3); the first wind speed tester is used for testing the wind speed flowing through the laser battery, and the volt-ampere characteristic tester is connected with the laser battery and used for testing the maximum output power of the laser battery; the second direct current power meter is connected with the input end of the voltage stabilizing module and used for testing the actual output direct current power; and the third direct current power meter is connected with the output end of the voltage stabilizing module and used for testing the output direct current power after voltage stabilization.
Inability to measure for dynamic systemsThe optical power of the receiving end can only ensure the circuit parameters of the receiving end under the condition of wind speed, specifically, the wind speed tester 1 monitors the wind speed passing through the laser cell, adjusts the optical power of the emitting end, and records the reading P of the volt-ampere characteristic testermiAnd other parameters, and the reading P of theDC power meter 2do1iD.c. power meter 3 reading Pdo2i
And the evaluation unit can calculate the evaluation parameters of the receiving end system according to the maximum output power, the actual output direct current power and the output direct current power after voltage stabilization.
Specifically, the readings P of the volt-ampere characteristic tester at different laser emission powers and different wind speeds, which are read at set time intervals, may be obtained firstmiReading P of the second DC power meterdo1iAnd reading P of the third DC power meterdo2i(ii) a Then, the maximum power P output by the laser battery is calculated according to the following formulamThe maximum power tracking module actually outputs direct current power Pdo1And the regulated DC power Pdo2
Figure BDA0003447982180000143
Calculating the efficiency eta of the maximum power tracking module according to the following formulaMAnd receiving end voltage stabilizing module efficiency etad:
Figure BDA0003447982180000151
Figure BDA0003447982180000152
As an implementation manner of the embodiment of the present invention, as shown in fig. 5, the apparatus further includes: a heat sink and a heat sink testing unit; the heat dissipation device is connected with the laser battery; the heat sink test unit includes: a second anemometer (i.e., anemometer 2), a first temperature sensor (i.e., temperature sensor 1), a second temperature sensor (i.e., temperature sensor 2), and a third temperature sensor (i.e., temperature sensor 3).
The second wind speed tester is used for monitoring the wind speed flowing through the heat dissipation device so as to accurately calculate the related evaluation parameters corresponding to the current wind speed, and the second wind speed tester is one of the invention points of the invention; the first temperature sensor is located on the photosensitive surface of the laser panel, the second temperature sensor is located on the back surface of the laser panel, and the third temperature sensor is located on the heat dissipation device.
The specific test steps are as follows:
1. measuring the mass M of the heat sink by a balance3
2. Placing and connecting the test instruments in the order shown in FIG. 5;
3. the temperature sensor 1 is arranged on the photosensitive surface of the battery panel, thetemperature sensor 2 is arranged on the back surface of the battery panel, and the temperature sensor 3 is arranged on the heat dissipation device of the battery panel;
4. adjusting a laser power supply to enable a laser to emit specified power, and automatically adjusting the position of emitting laser by an emitting end turntable to ensure that a light beam is incident from the center of a receiving surface of a laser battery;
5. recording the wind speed at the current moment;
6. recording the laser power P of the emitting endzAnd corresponding steady state temperature readings T in the temperature profiles obtained by the three temperature sensorss1、Ts2、Ts3(ii) a The temperature change curve of the battery measured by each temperature sensor is shown in fig. 6, wherein the abscissa represents time, and the ordinate represents the corresponding temperature at each moment;
7. changing the output of the fan, recording the wind speed at the current moment again to calculate the related evaluation parameters corresponding to different wind speeds, improving the accuracy of the calculated evaluation parameters, which is one of the invention points of the invention, and recording the laser power P of the transmitting endzAnd each temperature sensor reading.
After the test is finished, the evaluation unit can calculate the evaluation parameters of the heat dissipation device, and specifically can:
aiming at each wind speed measured by a wind speed tester, acquiring a corresponding first temperature at the wind speedSteady state temperature T of the sensors1The steady state temperature T of the second temperature sensors2And the steady-state temperature T of the third temperature sensors3
Obtaining a mass M of a heat sink3
Respectively calculating the temperature density rho of the heat dissipation device at the wind speed according to the following formula5And temperature density ρ of laser cell6
Figure BDA0003447982180000161
Figure BDA0003447982180000162
Optionally, the evaluation unit may be further configured to calculate the overall conversion efficiency η of the system according to the following formula:
Figure BDA0003447982180000163
fig. 7 is a schematic diagram of a total test point according to an embodiment of the present invention. As shown in fig. 7, the following evaluation parameters of the dynamic laser wireless transmission system can be obtained through testing by the apparatus provided in the embodiment of the present invention: input AC power Pa1AC power P passing through water cooling machinea2DC power supply PdAnd transmitting end optical power PinAfter collimation, near field optical power PzAnd the light power P received by the far-field laser battery after collimationoLaser battery output maximum power PmThe maximum power tracking module actually outputs direct current power Pdo1And the regulated DC power Pdo2DC-to-optical power conversion efficiency eta of laser system1Ac-to-optical power conversion efficiency eta2And laser system efficiency eta3Near field power transfer efficiency η4And far field spatial transmission efficiency η5Overall conversion efficiency eta of system and efficiency eta of maximum power tracking moduleMAnd receiving end voltage stabilizing module efficiency etad
As can be seen from the above, in this embodiment, based on the constructed laser system test unit, the constructed collimation system test unit, and the constructed receiving end system test unit, the laser system, the collimation system, and the receiving end system in the dynamic laser wireless energy transmission system can be respectively tested and evaluated, that is, each part of the dynamic laser wireless energy transmission system can be tested and evaluated, so that the integrity and the accuracy of the evaluation can be improved. In addition, each part of the dynamic laser wireless energy transmission system is evaluated through different evaluation parameters, and the accuracy of system evaluation can be improved.
Those of ordinary skill in the art will understand that: the figures are merely schematic representations of one embodiment, and the blocks or flow diagrams in the figures are not necessarily required to practice the present invention.
Those of ordinary skill in the art will understand that: modules in the devices in the embodiments may be distributed in the devices in the embodiments according to the description of the embodiments, or may be located in one or more devices different from the embodiments with corresponding changes. The modules of the above embodiments may be combined into one module, or further split into multiple sub-modules.
Finally, it should be noted that: the above examples are only intended to illustrate the technical solution of the present invention, but not to limit it; although the present invention has been described in detail with reference to the foregoing embodiments, it will be understood by those of ordinary skill in the art that: the technical solutions described in the foregoing embodiments may still be modified, or some technical features may be equivalently replaced; and such modifications or substitutions do not depart from the spirit and scope of the corresponding technical solutions of the embodiments of the present invention.

Claims (10)

1. A test evaluation device for a dynamic laser wireless energy transmission system, the device comprising: the system comprises a laser system, a laser system testing unit, a collimation system testing unit, a receiving end system and a receiving end system testing unit; the receiving end system is a dynamic system; the receiving end system moves according to the designated speed and the designated path;
the laser system includes: the system comprises a laser power supply, a laser and a water cooling machine; the laser is connected with the laser power supply and the water cooling machine;
the laser system test unit includes: the device comprises a first alternating current power meter, a first direct current power meter, a second alternating current power meter and a first laser power meter;
the first alternating current power meter is connected with the laser power supply and used for testing the input alternating current power of the system; the first direct current power meter is connected with the laser and used for testing the direct current power supply power of the laser; the second alternating current power meter is connected with the water-cooled machine and used for testing alternating current power passing through the water-cooled machine; the first laser power meter is used for receiving laser emitted by the laser and testing the optical power of an emitting end of the laser;
the collimation system comprises: the device comprises a collimating antenna, a first attenuator, a near-field testing device and a far-field testing device; the near field test device comprises a first lens group and a second attenuator; the far field test device comprises: the optical system comprises a diaphragm, a first optical gate, frosted glass, a lens and a third attenuator; the far-field testing device is arranged on an X-Y axis displacement table;
the collimating antenna is used for receiving laser emitted by the laser, and the first attenuator is used for receiving laser emitted by the laser; the first lens group is used for receiving the laser after passing through the collimating antenna, and the second attenuator is used for receiving the laser after passing through the first lens group; the diaphragm and the frosted glass are used for receiving the laser after passing through the second attenuator, the first optical shutter is used for receiving the laser after passing through the diaphragm, the lens is used for receiving the laser after passing through the frosted glass, and the third attenuator is used for receiving the laser after passing through the lens;
the collimation system test unit comprises: the system comprises a first light spot analyzer, a second laser power meter, a second light spot analyzer, a third laser power meter and a third light spot analyzer;
the first light spot analyzer is used for receiving the laser passing through the first attenuator to obtain a beam divergence angle and a first light energy distribution graph; the second laser power meter is used for receiving the laser passing through the first lens group and testing the collimated near-field optical power; the second light spot analyzer is used for receiving the laser passing through the second attenuator to obtain the diameter of the light spot and a second light energy distribution graph; the third laser power meter is used for receiving the laser passing through the first optical gate and testing the far-field optical power after collimation; the third light spot analyzer is used for receiving the laser passing through the third attenuator to obtain a third light energy distribution graph;
the receiving end system comprises: the device comprises a laser battery, a maximum power tracking module, a voltage stabilizing module and a load; the maximum power tracking module is connected with both the laser battery and the voltage stabilizing module, and the voltage stabilizing module is also connected with the load;
the receiving end system test unit includes: the wind power meter comprises a first wind speed tester, a volt-ampere characteristic tester, a second direct current power meter and a third direct current power meter;
the first wind speed tester is used for testing the wind speed flowing through the laser battery; the volt-ampere characteristic tester is connected with the laser battery and used for testing the maximum output power of the laser battery; the second direct current power meter is connected with the input end of the voltage stabilizing module and used for testing the actual output direct current power; and the third direct current power meter is connected with the output end of the voltage stabilizing module and is used for testing the output direct current power after voltage stabilization.
2. The apparatus of claim 1, wherein the laser system further comprises: a second lens group and a second shutter;
the second lens group is used for focusing laser emitted by the laser; the second optical gate is used for filtering the laser focused by the second lens group;
and the first laser power meter is used for receiving the laser after passing through the second lens group and the second optical gate and testing the optical power of the emitting end of the laser.
3. The apparatus of claim 2, further comprising: an evaluation unit;
the evaluation unit is used for calculating the evaluation parameters of the laser system according to the input alternating current power, the alternating current power passing through the water-cooling machine, the direct current power supply power and the light power of the emitting end;
the evaluation unit is further used for calculating the evaluation parameters of the collimation system according to the beam divergence angle, the first light energy distribution map, the collimated near-field light power, the spot diameter, the second light energy distribution map, the collimated far-field light power and the third light energy distribution map;
and the evaluation unit is also used for calculating the evaluation parameters of the receiving end system according to the maximum output power, the actual output direct current power and the regulated output direct current power.
4. The apparatus according to claim 3, wherein the evaluation unit, when calculating the evaluation parameters of the laser system according to the input ac power, the ac power passing through the water-cooled machine, the dc power supply, and the emitting end optical power, is specifically configured to:
obtaining a reading P of said first AC power meter taken at set time intervalsaiReading P of the second AC power meterFiReading P of the first DC power meterdiAnd a reading P of the first laser power meteri
Calculating the input AC power P according to the following formulaa1AC power P passing through water cooling machinea2DC power supply PdAnd transmitting end optical power Pin
Figure FDA0003447982170000031
Figure FDA0003447982170000032
Figure FDA0003447982170000033
Figure FDA0003447982170000034
Wherein n is the number of testing times;
calculating the DC-to-optical power conversion efficiency eta of the laser system according to the following formula1Ac-to-optical power conversion efficiency eta2And laser system efficiency eta3
Figure FDA0003447982170000035
Figure FDA0003447982170000036
Figure FDA0003447982170000037
5. The apparatus of claim 4, wherein the collimation system evaluation parameters comprise: near-field power transmission efficiency, far-field spatial transmission efficiency, collimated antenna beam-shrinking ratio, transmitting end optical power density, spatial light spot distortion condition and light beam uniformity; the evaluation unit is specifically configured to, when calculating the evaluation parameter of the collimation system according to the beam divergence angle, the first light energy distribution map, the collimated near-field light power, the spot diameter, the second light energy distribution map, the collimated far-field light power, and the third light energy distribution map:
obtaining a reading P of said second AC power meter taken at set time intervalsziThe reading P of the third alternating current power meter recorded for the ith time in the X-axis direction and the jth time in the Y-axis directionxiyj
Obtaining the diaphragm area S of the diaphragm0And a cell area S of the laser cell;
calculating the collimated near-field optical power P according to the following formulazAnd the light power P received by the far-field laser battery after collimationo
Figure FDA0003447982170000041
Figure FDA0003447982170000042
Calculating the near-field power transmission efficiency eta according to the following formulas4And far field spatial transmission efficiency η5
Figure FDA0003447982170000043
Figure FDA0003447982170000044
Obtaining the divergence angle phi of the light beam and the diameter D of the light spot1A distance D between the first spot analyzer and the second spot analyzer;
according to the beam divergence angle phi and the spot diameter D1Calculating a collimation antenna beam reduction ratio according to a distance D between the first light spot analyzer and the second light spot analyzer;
obtaining the aperture R of the collimating antenna and the mass M of the collimating antenna1
Respectively according toThe following formula, calculate the area optical power density ρ1And mass optical power density ρ2
Figure FDA0003447982170000045
Figure FDA0003447982170000046
And comparing the first light energy distribution graph, the second light energy distribution graph and the third light energy distribution graph to determine the distortion condition of the spatial light spot and the uniformity of the light beam.
6. The apparatus according to claim 5, wherein the evaluation unit evaluates the beam divergence angle and the spot diameter D according to the beam divergence angle1And the distance D between the first light spot analyzer and the second light spot analyzer is specifically used for:
calculating the collimated antenna beam-shrinking ratio beta according to the following formula:
Figure FDA0003447982170000051
Figure FDA0003447982170000052
wherein D is2The spot diameter at the second spot analyzer when not collimated.
7. The apparatus according to claim 5, wherein the evaluation unit, when calculating the evaluation parameter of the receiving end system according to the maximum output power, the actual output dc power, and the regulated output dc power, is specifically configured to:
obtaining according to the settingReading P of the volt-ampere characteristic tester at different laser emission power and different wind speeds at time intervalsmiReading P of the second DC power meterdo1iAnd reading P of said third DC power meterdo2i
Calculating the maximum power P of the laser battery output according to the following formulasmThe maximum power tracking module actually outputs direct current power Pdo1And the regulated DC power Pdo2
Figure FDA0003447982170000053
Calculating the efficiency eta of the maximum power tracking module according to the following formulaMAnd receiving end voltage stabilizing module efficiency etad:
Figure FDA0003447982170000054
Figure FDA0003447982170000055
8. The apparatus of claim 3, further comprising: a heat sink and a heat sink testing unit; the heat dissipation device is connected with the laser battery;
the heat sink testing unit includes: the wind speed measuring device comprises a second wind speed tester, a first temperature sensor, a second temperature sensor and a third temperature sensor;
the second wind speed tester is used for monitoring the wind speed flowing through the heat dissipation device; the first temperature sensor is located on the photosensitive surface of the laser panel, the second temperature sensor is located on the back surface of the laser panel, and the third temperature sensor is located on the heat dissipation device.
9. The apparatus according to claim 8, wherein the evaluation unit is further configured to calculate the heat sink evaluation parameter, and in particular to:
aiming at each wind speed measured by the wind speed tester, acquiring the steady-state temperature T of the corresponding first temperature sensor at the wind speeds1A steady state temperature T of the second temperature sensors2And the steady-state temperature T of the third temperature sensors3
Obtaining a mass M of the heat sink3
Calculating the temperature density rho of the heat dissipation device at the wind speed according to the following formula5And the temperature density ρ of the laser cell6
Figure FDA0003447982170000061
Figure FDA0003447982170000062
10. The apparatus according to claim 7, wherein the evaluation unit is further configured to calculate an overall system conversion efficiency η according to the following formula:
Figure FDA0003447982170000063
CN202111664295.9A2021-12-302021-12-30Test evaluation device for dynamic laser wireless energy transmission systemActiveCN114413961B (en)

Priority Applications (1)

Application NumberPriority DateFiling DateTitle
CN202111664295.9ACN114413961B (en)2021-12-302021-12-30Test evaluation device for dynamic laser wireless energy transmission system

Applications Claiming Priority (1)

Application NumberPriority DateFiling DateTitle
CN202111664295.9ACN114413961B (en)2021-12-302021-12-30Test evaluation device for dynamic laser wireless energy transmission system

Publications (2)

Publication NumberPublication Date
CN114413961Atrue CN114413961A (en)2022-04-29
CN114413961B CN114413961B (en)2024-04-26

Family

ID=81271447

Family Applications (1)

Application NumberTitlePriority DateFiling Date
CN202111664295.9AActiveCN114413961B (en)2021-12-302021-12-30Test evaluation device for dynamic laser wireless energy transmission system

Country Status (1)

CountryLink
CN (1)CN114413961B (en)

Cited By (2)

* Cited by examiner, † Cited by third party
Publication numberPriority datePublication dateAssigneeTitle
CN115711681A (en)*2022-10-252023-02-24西北工业大学Testing device for laser wireless energy transmission characteristics
CN120489526A (en)*2025-07-162025-08-15中科正源(山东)光电科技有限公司Intelligent laser testing method

Citations (15)

* Cited by examiner, † Cited by third party
Publication numberPriority datePublication dateAssigneeTitle
JPH04160337A (en)*1990-10-241992-06-03A T R Koudenpa Tsushin Kenkyusho:KkExperimental apparatus for laser transmission
CN103078678A (en)*2012-12-292013-05-01中国航天科技集团公司第五研究院第五一三研究所Satellite-borne laser wireless energy transmission system
WO2013135044A1 (en)*2012-03-122013-09-19中国电力科学研究院Unmanned aerial vehicle power transmission and transforming monitoring system based on laser quantum cryptography communications
CN104638779A (en)*2015-03-102015-05-20金陵科技学院Wireless laser charging equipment for unmanned aerial vehicle and charging system of wireless laser charging equipment
WO2015097235A1 (en)*2013-12-232015-07-02University College Cork - National University Of Ireland, CorkThree dimensional laser beam modulation-based modules for sensing, communications and remote energy delivery
CN107499164A (en)*2017-08-292017-12-22北方民族大学Unmanned plane charging system and charging method based on laser
CN107707009A (en)*2017-08-212018-02-16滁州万际航空器产业研究院有限公司A kind of unmanned plane laser charging device
CN107976632A (en)*2017-11-022018-05-01武汉光谷航天三江激光产业技术研究院有限公司A kind of photoelectric conversion efficiency test device and method
WO2018131764A1 (en)*2017-01-102018-07-19영남대학교 산학협력단System and method for transmitting power by using laser
CN108377020A (en)*2018-04-172018-08-07郑州携能通信技术有限公司A kind of system of laser radio charging
CN109060317A (en)*2018-09-072018-12-21西安工业大学The characterisitic parameter pilot system and its course of work of long-distance propagation of laser beam
US20200284883A1 (en)*2019-03-082020-09-10Osram GmbhComponent for a lidar sensor system, lidar sensor system, lidar sensor device, method for a lidar sensor system and method for a lidar sensor device
CN111873822A (en)*2020-08-272020-11-03北京煜邦电力技术股份有限公司 Wireless charging system and charging method for unmanned aerial vehicle
US20200381955A1 (en)*2019-05-312020-12-03At&T Intellectual Property I, L.P.Wireless Power Transfer Network Management
CN112202226A (en)*2020-10-102021-01-08军事科学院系统工程研究院军事新能源技术研究所Long-distance wireless power supply device for unmanned aerial vehicle

Patent Citations (15)

* Cited by examiner, † Cited by third party
Publication numberPriority datePublication dateAssigneeTitle
JPH04160337A (en)*1990-10-241992-06-03A T R Koudenpa Tsushin Kenkyusho:KkExperimental apparatus for laser transmission
WO2013135044A1 (en)*2012-03-122013-09-19中国电力科学研究院Unmanned aerial vehicle power transmission and transforming monitoring system based on laser quantum cryptography communications
CN103078678A (en)*2012-12-292013-05-01中国航天科技集团公司第五研究院第五一三研究所Satellite-borne laser wireless energy transmission system
WO2015097235A1 (en)*2013-12-232015-07-02University College Cork - National University Of Ireland, CorkThree dimensional laser beam modulation-based modules for sensing, communications and remote energy delivery
CN104638779A (en)*2015-03-102015-05-20金陵科技学院Wireless laser charging equipment for unmanned aerial vehicle and charging system of wireless laser charging equipment
WO2018131764A1 (en)*2017-01-102018-07-19영남대학교 산학협력단System and method for transmitting power by using laser
CN107707009A (en)*2017-08-212018-02-16滁州万际航空器产业研究院有限公司A kind of unmanned plane laser charging device
CN107499164A (en)*2017-08-292017-12-22北方民族大学Unmanned plane charging system and charging method based on laser
CN107976632A (en)*2017-11-022018-05-01武汉光谷航天三江激光产业技术研究院有限公司A kind of photoelectric conversion efficiency test device and method
CN108377020A (en)*2018-04-172018-08-07郑州携能通信技术有限公司A kind of system of laser radio charging
CN109060317A (en)*2018-09-072018-12-21西安工业大学The characterisitic parameter pilot system and its course of work of long-distance propagation of laser beam
US20200284883A1 (en)*2019-03-082020-09-10Osram GmbhComponent for a lidar sensor system, lidar sensor system, lidar sensor device, method for a lidar sensor system and method for a lidar sensor device
US20200381955A1 (en)*2019-05-312020-12-03At&T Intellectual Property I, L.P.Wireless Power Transfer Network Management
CN111873822A (en)*2020-08-272020-11-03北京煜邦电力技术股份有限公司 Wireless charging system and charging method for unmanned aerial vehicle
CN112202226A (en)*2020-10-102021-01-08军事科学院系统工程研究院军事新能源技术研究所Long-distance wireless power supply device for unmanned aerial vehicle

Non-Patent Citations (7)

* Cited by examiner, † Cited by third party
Title
何滔;杨苏辉;张海洋;赵长明;徐鹏;郝嘉胤;王华昕;: "高效激光无线能量传输及转换实验", 中国激光, no. 03, 10 March 2013 (2013-03-10)*
宋镇江;张云昌;黄秀军;石德乐;吴世臣;孟祥翔;: "975 nm光纤耦合半导体激光器传能技术", 空间电子技术, no. 02, 25 April 2018 (2018-04-25)*
崔子浩;华文深;李刚;刘晓光;严阳;: "无人机激光无线能量传输及跟踪瞄准方法研究", 激光与红外, no. 03, 20 March 2018 (2018-03-20)*
李志鹏;张燕革;艾勇;冯晓芸;: "无人机激光跟踪与无线供能系统", 激光技术, no. 03, 17 August 2017 (2017-08-17)*
石德乐;李振宇;吴世臣;张海洋;: "激光无线能量传输机理分析及仿真", 空间电子技术, no. 03, 25 September 2013 (2013-09-25)*
石德乐;李振宇;吴世臣;程坤;: "模块航天器间激光无线能量传输系统方案设想", 航天器工程, no. 05, 15 October 2013 (2013-10-15)*
赵长明;王云石;郭陆灯;张海洋;张子龙;张立伟;郑征;李建;: "激光无线能量传输技术的发展", 激光技术, no. 05, 13 January 2020 (2020-01-13)*

Cited By (2)

* Cited by examiner, † Cited by third party
Publication numberPriority datePublication dateAssigneeTitle
CN115711681A (en)*2022-10-252023-02-24西北工业大学Testing device for laser wireless energy transmission characteristics
CN120489526A (en)*2025-07-162025-08-15中科正源(山东)光电科技有限公司Intelligent laser testing method

Also Published As

Publication numberPublication date
CN114413961B (en)2024-04-26

Similar Documents

PublicationPublication DateTitle
CN101922974B (en) An automatic calibration device and method for laser parameter performance testing
CN114413961B (en)Test evaluation device for dynamic laser wireless energy transmission system
CN102507511A (en) An infrared and ultraviolet double pulse laser-induced breakdown spectroscopy online in-situ detection device
CN107655659A (en)Laser communication terminal vacuum test system and test method thereof
CN107356407A (en)The device of synchro measure high-capacity optical fiber laser power, spectrum and beam quality
CN108680251A (en)It is a kind of that robot scaling equipment is scanned based on the subdivided spectral of super continuous laser and monochromator
CN101814952A (en)Method for testing lightwave transmission characteristics in atmospheric channel
CN114279562B (en)Calibration method for blackbody cavity absorption coefficient under variable temperature condition
CN104390931A (en)Device and method for measuring spectral emissivity of infrared sample material at high precision
CN106053356A (en)System and method for measuring effective emissivity of metal solidifying point black body based on radiant quantity measurement
CN103983293A (en)Device and method for calibrating absolute spectral response rate of THz photoelectric detector
CN106644058B (en)A kind of device measuring high power continuous laser beam quality
CN112730383A (en)Optical fiber array LIBS detection system for online detection
CN109060317B (en) Characteristic parameter test system for long-distance transmission of laser beam and its working process
Xu et al.Research on test and evaluation method of laser wireless power transmission system
CN111854958B (en)Active and passive testing method and system for polarized light transmission characteristics in complex sea fog environment
CN202351175U (en) Infrared and ultraviolet double-pulse laser-induced breakdown spectroscopy online in-situ detection device
CN207423494U (en)Laser communication terminal vacuum test system
CN105738372A (en)Photo-thermal weak absorption test system and method
CN106225918A (en)Laser power measuring device
CN110940640A (en)System and method for testing strong light absorption spectrum
CN106840391A (en)Broadband, large range laser power meter calibrating installation
CN114354538A (en)Laser gas sensing device and gas detection method
CN104833419A (en) A 1-3μm collimated light source irradiance measuring instrument
US11933675B2 (en)System and method for multi-channel pyrometer allowing non-contact temperature measurements down to 800 K on the microsecond scale

Legal Events

DateCodeTitleDescription
PB01Publication
PB01Publication
SE01Entry into force of request for substantive examination
SE01Entry into force of request for substantive examination
GR01Patent grant
GR01Patent grant

[8]ページ先頭

©2009-2025 Movatter.jp