





技术领域technical field
本申请涉及电力系统技术领域,具体而言,涉及一种电力系统调频方法、装置、控制系统、电子设备及介质。The present application relates to the technical field of power systems, and in particular, to a method, device, control system, electronic device, and medium for frequency regulation of a power system.
背景技术Background technique
频率是衡量电能质量的重要指标之一,它反映了电力系统中有功功率供需平衡的基本状态。频率稳定也是电网安全稳定运行的重要电气因素,频率异常将会给电力系统的安全稳定运行以及用户带来极为严重的后果,严重失衡下会触发安控装置动作,导致切机切负荷等安全事件。因此,频率作为电力系统安全稳定运行的关键因素,必须对其进行有效控制。电力用户能够通过控制负荷设备为电力系统提供调频。例如,当发电量小于用电量时,既可以通过提高发电机出力的方式维持系统平衡,也可以通过降低负荷耗电量的方式维持系统平衡。这种调节负荷为电力系统提供调频的控制称为需求响应。Frequency is one of the important indicators to measure power quality, which reflects the basic state of active power supply and demand balance in the power system. Frequency stability is also an important electrical factor for the safe and stable operation of the power grid. Abnormal frequency will bring extremely serious consequences to the safe and stable operation of the power system and users. Serious imbalance will trigger the action of the safety control device, resulting in safety events such as machine cutting and load shedding. . Therefore, as a key factor for the safe and stable operation of the power system, frequency must be effectively controlled. Power users can provide frequency regulation for the power system by controlling the load equipment. For example, when the power generation is less than the power consumption, the system balance can be maintained by increasing the generator output or by reducing the load power consumption. This type of control that regulates the load to provide frequency regulation for the power system is called demand response.
随着电动汽车的普及,电动汽车的充电变成了刚需,电动汽车充电参与调频的本质是储能参与电力系统调频,随着国家碳达峰和碳中和目标的提出,海量分布式新能源接入电力系统后,其波动性和随机性会对电力系统频率稳定带来新的调整,需要更多的储能资源参与到电力系统频率调节中。With the popularity of electric vehicles, the charging of electric vehicles has become a rigid demand. The essence of electric vehicle charging participation in frequency regulation is that energy storage participates in power system frequency regulation. With the national carbon peaking and carbon neutrality goals, massive distributed new energy After connecting to the power system, its volatility and randomness will bring new adjustments to the frequency stability of the power system, requiring more energy storage resources to participate in the frequency adjustment of the power system.
发明内容SUMMARY OF THE INVENTION
本申请实施例的目的在于提供一种电力系统调频方法、装置、控制系统、电子设备及介质,能够在不影响电动汽车充电的前提下,通过电动汽车输入的充电功率,维持电力系统的频率稳定。The purpose of the embodiments of the present application is to provide a method, device, control system, electronic device and medium for frequency modulation of a power system, which can maintain the frequency stability of the power system through the charging power input by the electric vehicle without affecting the charging of the electric vehicle .
第一方面,提供了一种电力系统调频方法,应用于控制系统的控制器中,所述控制系统还包括为电动汽车充电的至少一个充电柜,该方法可以包括:In a first aspect, a method for frequency regulation of a power system is provided, which is applied to a controller of a control system, wherein the control system further includes at least one charging cabinet for charging electric vehicles, and the method may include:
采集各充电柜对应的处于充电状态的电动汽车的需求功率、所述各充电柜的充电电流和电力系统的电网电压;Collect the required power of the electric vehicle in the charging state corresponding to each charging cabinet, the charging current of each charging cabinet and the grid voltage of the power system;
基于所述各充电柜的充电电流和所述电网电压,确定相应充电柜输入的充电功率,以及基于所述电网电压,确定所述电力系统的当前电网频率;Determine the charging power input by the corresponding charging cabinet based on the charging current of each charging cabinet and the grid voltage, and determine the current grid frequency of the power system based on the grid voltage;
根据预设的调频策略,对所述当前电网频率和所述各充电柜的需求功率进行调频处理,得到调频后的功率;According to a preset frequency regulation strategy, frequency regulation is performed on the current grid frequency and the required power of each charging cabinet to obtain the frequency-modulated power;
采用所述各充电柜的充电功率,对所述调频后的功率进行修正,得到充电设置功率;Using the charging power of each charging cabinet, the power after frequency modulation is corrected to obtain the charging set power;
按照预设功率分配规则,对所述充电设置功率进行功率分配后,向所述各充电柜发送分配后的充电设置功率,以调解所述各充电柜输出的充电功率。According to the preset power distribution rule, after power distribution is performed on the charging set power, the allocated charging set power is sent to the charging cabinets to adjust the charging power output by the charging cabinets.
在一个可选的实现中,所述预设的调频策略包括第一调频策略和第二调频策略;In an optional implementation, the preset frequency regulation strategy includes a first frequency regulation strategy and a second frequency regulation strategy;
根据预设的调频策略,对所述当前电网频率和所述各充电柜的需求功率进行调频处理,得到调频后的功率,包括:According to the preset frequency regulation strategy, frequency regulation is performed on the current grid frequency and the required power of each charging cabinet to obtain the power after frequency regulation, including:
基于所述各充电柜的需求功率,得到总需求功率;Based on the required power of each charging cabinet, the total required power is obtained;
根据所述第一调频策略或所述第二调频策略,对所述当前电网频率和所述总需求功率进行调频处理,得到调频后的功率。According to the first frequency regulation strategy or the second frequency regulation strategy, frequency regulation processing is performed on the current grid frequency and the total demand power to obtain frequency-regulated power.
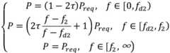
在一个可选的实现中,所述第一调频策略包括三个调频函数;In an optional implementation, the first frequency modulation strategy includes three frequency modulation functions;
其中,所述第一调频函数用于在所述当前电网频率不小于0,且小于第一截止频率时,对所述总需求功率进行调频处理;Wherein, the first frequency modulation function is used to perform frequency modulation processing on the total demand power when the current grid frequency is not less than 0 and less than a first cut-off frequency;
所述第二调频函数用于在所述当前电网频率不小于所述第一截止频率,且小于第一死区频率时,对所述总需求功率进行调频处理;The second frequency modulation function is used to perform frequency modulation processing on the total demand power when the current grid frequency is not less than the first cutoff frequency and less than the first dead frequency;
所述第三调频函数用于在所述当前电网频率不小于所述死区频率时,保持所述总需求功率与所述当前电网频率相等。The third frequency modulation function is used to keep the total demand power equal to the current grid frequency when the current grid frequency is not less than the deadband frequency.
在一个可选的实现中,所述第一调频策略中的三个调频函数表示为;In an optional implementation, the three frequency modulation functions in the first frequency modulation strategy are expressed as;
其中,P为所述调频后的功率、τ为限定系数,τ取[0,1]区间的浮点数、fd2为所述第一截止频率,f2为所述第一死区频率、f为所述当前电网频率和Preq为所述总需求功率。Wherein, P is the power after the frequency modulation, τ is a limiting coefficient, τ is a floating point number in the [0,1] interval, fd2 is the first cutoff frequency, f2 is the first dead frequency, f is the current grid frequency andPreq is the total demand power.
在一个可选的实现中,第二调频策略包括五个调频函数:In an optional implementation, the second frequency modulation strategy includes five frequency modulation functions:
其中,所述第一调频函数用于在所述当前电网频率不小于0,且小于第一截止频率时,对所述总需求功率进行调频处理;Wherein, the first frequency modulation function is used to perform frequency modulation processing on the total demand power when the current grid frequency is not less than 0 and less than a first cut-off frequency;
所述第二调频函数用于在所述当前电网频率不小于所述第一截止频率,且小于第一死区频率时,对所述总需求功率进行调频处理;The second frequency modulation function is used to perform frequency modulation processing on the total demand power when the current grid frequency is not less than the first cutoff frequency and less than the first dead frequency;
所述第三调频函数用于在所述当前电网频率不小于所述第一死区频率,且小于第二死区频率时,对所述总需求功率进行调频处理;The third frequency modulation function is used to perform frequency modulation processing on the total demand power when the current grid frequency is not less than the first dead zone frequency and less than the second dead zone frequency;
所述第四调频函数用于在所述当前电网频率不小于所述第二死区频率,且小于所述第二截止频率时,对所述总需求功率进行调频处理。The fourth frequency modulation function is used to perform frequency modulation processing on the total demand power when the current grid frequency is not less than the second dead zone frequency and less than the second cutoff frequency.
所述第五调频函数用于在所述当前电网频率不小于所述第二截止频率时,保持所述总需求功率与所述当前电网频率相等。The fifth frequency modulation function is used to keep the total demand power equal to the current grid frequency when the current grid frequency is not less than the second cutoff frequency.
在一个可选的实现中,所述第二调频策略中的五个调频函数表示为;In an optional implementation, the five frequency modulation functions in the second frequency modulation strategy are expressed as;
其中,P为所述调频后的功率、τ为限定系数、fd2为所述第一截止频率,f2为所述第一死区频率、f1为所述第二死区频率、f为所述当前电网频率和Preq为所述总需求功率。Wherein, P is the power after frequency modulation, τ is the limiting coefficient, fd2 is the first cutoff frequency, f2 is the first dead frequency, f1 is the second dead frequency, f is the The current grid frequency andPreq are the total demand power.
在一个可选的实现中,采用所述各充电柜的充电功率对所述调频后的功率进行修正,得到充电设置功率,包括:In an optional implementation, the frequency-modulated power is corrected by using the charging power of each charging cabinet to obtain the charging set power, including:
基于所述各充电柜的充电功率,得到总充电功率;Based on the charging power of each charging cabinet, obtain the total charging power;
将所述调频后的功率与所述总充电功率的差值,确定为所述充电设置功率。The difference between the frequency-modulated power and the total charging power is determined as the charging set power.
在一个可选的实现中,按照预设功率分配规则,对所述充电设置功率进行功率分配之前,所述方法还包括:In an optional implementation, before performing power distribution on the charging setting power according to a preset power distribution rule, the method further includes:
检测所述充电设置功率是否在预设调频限制功率范围内;Detecting whether the charging setting power is within the preset frequency modulation limit power range;
若所述充电设置功率在所述预设调频限制功率范围内,则按照预设功率分配规则,对所述充电设置功率进行功率分配;If the charging setting power is within the preset frequency modulation limit power range, perform power distribution on the charging setting power according to a preset power distribution rule;
若所述充电设置功率不在预设调频限制功率范围内,则将与所述充电设置功率临近的所述预设调频限制功率范围的边界限制功率确定为新的充电设置功率,并按照预设功率分配规则,对所述新的充电设置功率进行功率分配。If the charging set power is not within the preset frequency modulation limited power range, the boundary limited power of the preset frequency modulation limited power range adjacent to the charging set power is determined as the new charging set power, and the preset power is an allocation rule, to perform power allocation on the new charging setting power.
在一个可选的实现中,按照预设功率分配规则,对所述充电设置功率进行功率分配,包括:In an optional implementation, power distribution is performed on the charging setting power according to a preset power distribution rule, including:
按照所述各充电柜间处于充电状态的电动汽车的当前荷电状态SOC的比例,对所述充电设置功率进行功率分配。According to the ratio of the current state of charge SOC of the electric vehicles in the charging state among the charging cabinets, power distribution is performed on the charging set power.
第二方面,提供了一种电力系统调频装置,应用于控制系统的控制器中,所述控制系统还包括为电动汽车充电的至少一个充电柜,该装置可以包括:In a second aspect, a power system frequency modulation device is provided, which is applied in a controller of a control system, the control system further includes at least one charging cabinet for charging electric vehicles, and the device may include:
采集单元,用于采集各充电柜对应的处于充电状态的电动汽车的需求功率、所述各充电柜的充电电流和电力系统的电网电压;a collection unit, used for collecting the required power of the electric vehicle in the charging state corresponding to each charging cabinet, the charging current of each charging cabinet and the grid voltage of the power system;
确定单元,用于基于所述各充电柜的充电电流和所述电网电压,确定相应充电柜输入的充电功率,以及采用预设的离散傅里叶算法,对所述电网电压进行处理,得到所述电力系统的当前电网频率;A determination unit, configured to determine the charging power input by the corresponding charging cabinet based on the charging current of each charging cabinet and the grid voltage, and use a preset discrete Fourier algorithm to process the grid voltage to obtain the the current grid frequency of the power system;
调频单元,用于根据预设的调频策略,对所述当前电网频率和所述各充电柜的需求功率进行调频处理,得到调频后的功率;a frequency modulation unit, configured to perform frequency modulation processing on the current grid frequency and the required power of each charging cabinet according to a preset frequency modulation strategy, to obtain the power after frequency modulation;
修正单元,用于采用所述各充电柜的充电功率,对所述调频后的功率进行修正,得到充电设置功率;a correction unit, configured to use the charging power of each charging cabinet to correct the power after frequency modulation to obtain the charging set power;
功率分配单元,用于按照预设功率分配规则,对所述充电设置功率进行功率分配;a power distribution unit, configured to perform power distribution on the charging setting power according to a preset power distribution rule;
发送单元,用于向所述各充电柜发送分配后的充电设置功率,以调解所述各充电柜输出的充电功率。The sending unit is configured to send the allocated charging setting power to the charging cabinets, so as to adjust the charging power output by the charging cabinets.
在一个可选的实现中,所述预设的调频策略包括第一调频策略和第二调频策略;In an optional implementation, the preset frequency regulation strategy includes a first frequency regulation strategy and a second frequency regulation strategy;
所述调频单元,具体用于基于所述各充电柜的需求功率,得到总需求功率;The frequency modulation unit is specifically configured to obtain the total required power based on the required power of each charging cabinet;
根据所述第一调频策略或所述第二调频策略,对所述当前电网频率和所述总需求功率进行调频处理,得到调频后的功率。According to the first frequency regulation strategy or the second frequency regulation strategy, frequency regulation processing is performed on the current grid frequency and the total demand power to obtain frequency-regulated power.
在一个可选的实现中,所述第一调频策略包括三个调频函数;In an optional implementation, the first frequency modulation strategy includes three frequency modulation functions;
其中,所述第一调频函数用于在所述当前电网频率不小于0,且小于第一截止频率时,对所述总需求功率进行调频处理;Wherein, the first frequency modulation function is used to perform frequency modulation processing on the total demand power when the current grid frequency is not less than 0 and less than a first cut-off frequency;
所述第二调频函数用于在所述当前电网频率不小于所述第一截止频率,且小于第一死区频率时,对所述总需求功率进行调频处理;The second frequency modulation function is used to perform frequency modulation processing on the total demand power when the current grid frequency is not less than the first cutoff frequency and less than the first dead frequency;
所述第三调频函数用于在所述当前电网频率不小于所述死区频率时,保持所述总需求功率与所述当前电网频率相等。The third frequency modulation function is used to keep the total demand power equal to the current grid frequency when the current grid frequency is not less than the deadband frequency.
在一个可选的实现中,所述第一调频策略中的三个调频函数表示为;In an optional implementation, the three frequency modulation functions in the first frequency modulation strategy are expressed as;
其中,P为所述调频后的功率、τ为限定系数,τ取[0,1]区间的浮点数、fd2为所述第一截止频率,f2为所述第一死区频率、f为所述当前电网频率和Preq为所述总需求功率。Wherein, P is the power after the frequency modulation, τ is a limiting coefficient, τ is a floating point number in the [0,1] interval, fd2 is the first cutoff frequency, f2 is the first dead frequency, f is the current grid frequency andPreq is the total demand power.
在一个可选的实现中,第二调频策略包括五个调频函数:In an optional implementation, the second frequency modulation strategy includes five frequency modulation functions:
其中,所述第一调频函数用于在所述当前电网频率不小于0,且小于第一截止频率时,对所述总需求功率进行调频处理;Wherein, the first frequency modulation function is used to perform frequency modulation processing on the total demand power when the current grid frequency is not less than 0 and less than a first cut-off frequency;
所述第二调频函数用于在所述当前电网频率不小于所述第一截止频率,且小于第一死区频率时,对所述总需求功率进行调频处理;The second frequency modulation function is used to perform frequency modulation processing on the total demand power when the current grid frequency is not less than the first cutoff frequency and less than the first dead frequency;
所述第三调频函数用于在所述当前电网频率不小于所述第一死区频率,且小于第二死区频率时,对所述总需求功率进行调频处理;The third frequency modulation function is used to perform frequency modulation processing on the total demand power when the current grid frequency is not less than the first dead zone frequency and less than the second dead zone frequency;
所述第四调频函数用于在所述当前电网频率不小于所述第二死区频率,且小于所述第二截止频率时,对所述总需求功率进行调频处理。The fourth frequency modulation function is used to perform frequency modulation processing on the total demand power when the current grid frequency is not less than the second dead zone frequency and less than the second cutoff frequency.
所述第五调频函数用于在所述当前电网频率不小于所述第二截止频率时,保持所述总需求功率与所述当前电网频率相等。The fifth frequency modulation function is used to keep the total demand power equal to the current grid frequency when the current grid frequency is not less than the second cutoff frequency.
在一个可选的实现中,所述第二调频策略中的五个调频函数表示为;In an optional implementation, the five frequency modulation functions in the second frequency modulation strategy are expressed as;
其中,P为所述调频后的功率、τ为限定系数、fd2为所述第一截止频率,f2为所述第一死区频率、f1为所述第二死区频率、f为所述当前电网频率和Preq为所述总需求功率。Wherein, P is the power after frequency modulation, τ is the limiting coefficient, fd2 is the first cutoff frequency, f2 is the first dead frequency, f1 is the second dead frequency, f is the The current grid frequency andPreq are the total demand power.
在一个可选的实现中,所述修正单元,具体用于:In an optional implementation, the correction unit is specifically used for:
基于所述各充电柜的充电功率,得到总充电功率;Based on the charging power of each charging cabinet, obtain the total charging power;
将所述调频后的功率与所述总充电功率的差值,确定为所述充电设置功率。The difference between the frequency-modulated power and the total charging power is determined as the charging set power.
在一个可选的实现中,所述装置还包括:检测单元;In an optional implementation, the apparatus further includes: a detection unit;
所述检测单元,用于检测所述充电设置功率是否在预设调频限制功率范围内;the detection unit, configured to detect whether the charging setting power is within the preset frequency modulation limit power range;
所述功率分配单元,还用于若所述充电设置功率在所述预设调频限制功率范围内,则按照预设功率分配规则,对所述充电设置功率进行功率分配;The power distribution unit is further configured to perform power distribution on the charging setting power according to a preset power distribution rule if the charging setting power is within the preset frequency modulation limit power range;
以及若所述充电设置功率不在预设调频限制功率范围内,则将与所述充电设置功率临近的所述预设调频限制功率范围的边界限制功率确定为新的充电设置功率,并按照预设功率分配规则,对所述新的充电设置功率进行功率分配。and if the charging setting power is not within the preset frequency modulation limiting power range, determining the boundary limited power of the preset frequency modulation limiting power range adjacent to the charging setting power as the new charging setting power, and according to the preset charging setting power. A power distribution rule, which performs power distribution on the new charging set power.
在一个可选的实现中,所述功率分配单元,具体用于按照所述各充电柜间处于充电状态的电动汽车的当前荷电状态SOC的比例,对所述充电设置功率进行功率分配。In an optional implementation, the power distribution unit is specifically configured to perform power distribution on the charging set power according to the ratio of the current state of charge SOC of the electric vehicles in the charging state between the charging cabinets.
第三方面,提供了一种控制系统,该系统可以包括:控制器和至少一个充电柜;In a third aspect, a control system is provided, the system may include: a controller and at least one charging cabinet;
所述控制器的第一输入端与电力系统电连接,所述控制器的第二输入端通过CAN网络与各充电柜连接,所述控制器的第三输入端通过电流互感器与所述各充电柜的功率输入端电连接,所述控制器的输出端与所述各充电柜中的各电源模块连接;The first input end of the controller is electrically connected to the power system, the second input end of the controller is connected to each charging cabinet through the CAN network, and the third input end of the controller is connected to the respective charging cabinets through a current transformer. The power input end of the charging cabinet is electrically connected, and the output end of the controller is connected with each power supply module in each charging cabinet;
至少一个充电柜,用于向处于充电状态的电动汽车输出充电功率;At least one charging cabinet for outputting charging power to the electric vehicle in the charging state;
所述控制器,用于执行第一方面中任一所述的方法步骤。The controller is configured to perform any one of the method steps of the first aspect.
第四方面,提供了一种电子设备,该电子设备包括处理器、通信接口、存储器和通信总线,其中,处理器,通信接口,存储器通过通信总线完成相互间的通信;In a fourth aspect, an electronic device is provided, the electronic device includes a processor, a communication interface, a memory, and a communication bus, wherein the processor, the communication interface, and the memory communicate with each other through the communication bus;
存储器,用于存放计算机程序;memory for storing computer programs;
处理器,用于执行存储器上所存放的程序时,实现上述第一方面中任一所述的方法步骤。The processor is configured to implement any one of the method steps described in the first aspect above when executing the program stored in the memory.
第五方面,提供了一种计算机可读存储介质,该计算机可读存储介质内存储有计算机程序,所述计算机程序被处理器执行时实现上述第一方面中任一所述的方法步骤。In a fifth aspect, a computer-readable storage medium is provided, where a computer program is stored in the computer-readable storage medium, and when the computer program is executed by a processor, the method steps of any one of the foregoing first aspect are implemented.
本申请提供的电力系统调频方法在采集各充电柜对应的处于充电状态的电动汽车的需求功率、各充电柜的充电电流和电力系统的电网电压后,基于各充电柜的充电电流和电网电压,确定相应充电柜输入的充电功率,以及基于电网电压,确定电力系统的当前电网频率;根据预设的调频策略,对当前电网频率和各充电柜的需求功率进行调频处理,得到调频后的功率;采用各充电柜的充电功率,对调频后的功率进行修正,得到充电设置功率,之后按照预设功率分配规则,对充电设置功率进行功率分配后,向各充电柜发送分配后的充电设置功率,以调解各充电柜输出的充电功率。该方法实现了充电过程支撑电力系统的频率调节,保证了电力系统的频率的稳定。The power system frequency modulation method provided by the present application collects the required power of the electric vehicle in the charging state corresponding to each charging cabinet, the charging current of each charging cabinet and the grid voltage of the power system, based on the charging current and grid voltage of each charging cabinet, Determine the charging power input by the corresponding charging cabinet, and determine the current grid frequency of the power system based on the grid voltage; according to the preset frequency regulation strategy, perform frequency modulation processing on the current grid frequency and the required power of each charging cabinet to obtain the power after frequency modulation; Use the charging power of each charging cabinet to correct the power after frequency modulation to obtain the charging set power. Then, according to the preset power distribution rules, after the power distribution of the charging set power, the allocated charging set power is sent to each charging cabinet. To adjust the charging power output by each charging cabinet. The method realizes the frequency regulation of the supporting power system in the charging process, and ensures the stability of the frequency of the power system.
附图说明Description of drawings
为了更清楚地说明本申请实施例的技术方案,下面将对本申请实施例中所需要使用的附图作简单地介绍,应当理解,以下附图仅示出了本申请的某些实施例,因此不应被看作是对范围的限定,对于本领域普通技术人员来讲,在不付出创造性劳动的前提下,还可以根据这些附图获得其他相关的附图。In order to explain the technical solutions of the embodiments of the present application more clearly, the following briefly introduces the accompanying drawings that need to be used in the embodiments of the present application. It should be understood that the following drawings only show some embodiments of the present application, therefore It should not be regarded as a limitation of the scope. For those of ordinary skill in the art, other related drawings can also be obtained from these drawings without any creative effort.
图1为本申请实施例提供的一种控制系统的结构示意图;1 is a schematic structural diagram of a control system provided by an embodiment of the present application;
图2为本申请实施例提供的一种电力系统调频方法的流程示意图;FIG. 2 is a schematic flowchart of a method for frequency regulation of a power system provided by an embodiment of the present application;
图3为本申请实施例提供的一种调频策略的策略曲线示意图;3 is a schematic diagram of a strategy curve of a frequency modulation strategy provided by an embodiment of the present application;
图4为本申请实施例提供的一种第二调频策略的策略曲线示意图;4 is a schematic diagram of a strategy curve of a second frequency modulation strategy provided by an embodiment of the present application;
图5为本申请实施例提供的电力系统调频装置的结构示意图;FIG. 5 is a schematic structural diagram of a frequency modulation device for a power system provided by an embodiment of the present application;
图6为本申请实施例提供的一种电子设备的结构示意图。FIG. 6 is a schematic structural diagram of an electronic device according to an embodiment of the present application.
具体实施方式Detailed ways
下面将结合本申请实施例中的附图,对本申请实施例中的技术方案进行清楚、完整地描述,显然,所描述的实施例仅是本申请一部分实施例,并不是全部的实施例。基于本申请实施例,本领域普通技术人员在没有做出创造性劳动前提下所获得的所有其他实施例,都属于本申请保护的范围。The technical solutions in the embodiments of the present application will be clearly and completely described below with reference to the accompanying drawings in the embodiments of the present application. Obviously, the described embodiments are only a part of the embodiments of the present application, not all of the embodiments. Based on the embodiments of the present application, all other embodiments obtained by those of ordinary skill in the art without creative work fall within the scope of the protection of the present application.
随着电动汽车的普及,充电变成了刚需,由于电动汽车本身容量较小,参与调频对电力系统(或称“供电电网”)的电网频率影响较小,为减少海量电动汽车的充电对电网的冲击,发挥电动汽车作为灵活可调度资源支撑电网运行,让充电过程支撑电力系统频率稳定,本申请提供了一种的电力系统调频方法,以实现电动汽车输入的充电功率(或称“向电动汽车输出的充电功率”)调节电网频率的变化,在电网频率高于额定频率时,电动汽车输入的充电功率降低,在电网频率低于额定频率时,电动汽车输入的充电功率增加。With the popularity of electric vehicles, charging has become a rigid demand. Due to the small capacity of electric vehicles, participation in frequency regulation has little effect on the grid frequency of the power system (or "power grid"). The impact of the electric vehicle is used as a flexible and dispatchable resource to support the operation of the power grid, and the charging process can support the frequency stability of the power system. When the grid frequency is higher than the rated frequency, the charging power input by the electric vehicle decreases, and when the grid frequency is lower than the rated frequency, the charging power input by the electric vehicle increases.
该方法应用在如图1所示的控制系统中,该控制系统可以包括控制器和至少一个充电柜。其中,至少一个充电柜可组成一个充电站。The method is applied in the control system shown in FIG. 1 , and the control system may include a controller and at least one charging cabinet. Among them, at least one charging cabinet can form a charging station.
各充电柜,用于向处于充电状态的电动汽车输出充电功率;Each charging cabinet is used to output charging power to the electric vehicle in the charging state;
控制器,用于执行本申请提供的电力系统调频方法。The controller is used for executing the frequency regulation method of the power system provided by this application.
其中,各充电柜的输入端与电力系统的母线(AC Bus)连接,用于接收电力系统的母线提供的充电功率,各充电柜的输出端与相应待充电的电动汽车连接,用于向相应待充电的电动汽车输出充电功率,即对相应待充电的电动汽车进行充电。Among them, the input end of each charging cabinet is connected to the busbar (AC Bus) of the power system for receiving the charging power provided by the busbar of the power system, and the output end of each charging cabinet is connected to the corresponding electric vehicle to be charged, and is used to connect to the corresponding electric vehicle to be charged. The electric vehicle to be charged outputs charging power, that is, the corresponding electric vehicle to be charged is charged.
各充电柜可以包括至少一个电源分配单元(Power Distribution Unit,PDU)以及与各PDU连接的至少一个电源模块,如AC/DC模块;其中,各PDU的第一端与至少一个电源模块连接,PDU的第二端与一个待充电的电动汽车连接,即一个PDU与一个车位对应,PDU的第三端通过控制器局域网络(Controller Area Network,CAN)网络(简称CAN网络)与控制器连接。AC/DC模块,用于将交流电整流成直流电,并输出待充电的电动汽车的充电需求电压。功率分配单元,用于负责对各AC/DC模块的输出功率进行功率分配,分配后给待充电的电动汽车进行充电。Each charging cabinet may include at least one power distribution unit (Power Distribution Unit, PDU) and at least one power supply module connected to each PDU, such as an AC/DC module; wherein, the first end of each PDU is connected to at least one power supply module, and the PDU The second end of the PDU is connected to an electric vehicle to be charged, that is, a PDU corresponds to a parking space, and the third end of the PDU is connected to the controller through a Controller Area Network (CAN) network (CAN network for short). The AC/DC module is used to rectify the alternating current into direct current and output the charging demand voltage of the electric vehicle to be charged. The power distribution unit is used to distribute power to the output power of each AC/DC module, and to charge the electric vehicle to be charged after distribution.
控制器的第一输入端与电力系统电连接,控制器的第二输入端通过CAN网络与各充电柜中的各PDU连接,控制器的第三输入端通过电流互感器与各充电柜的电流输入端连接,该电流输入端连接为充电柜与母线的连接端,控制器的输出端与各充电柜中的各电源模块连接。The first input end of the controller is electrically connected to the power system, the second input end of the controller is connected to each PDU in each charging cabinet through the CAN network, and the third input end of the controller is connected to the current of each charging cabinet through a current transformer The input end is connected, the current input end is connected as the connection end between the charging cabinet and the bus bar, and the output end of the controller is connected with each power supply module in each charging cabinet.
需要说明的是,控制器的第三输入端也可以通过CAN网络与各充电柜的电流输入端电连接,本申请在此不做限定。It should be noted that the third input terminal of the controller may also be electrically connected to the current input terminal of each charging cabinet through the CAN network, which is not limited in this application.
以下结合说明书附图对本申请的优选实施例进行说明,应当理解,此处所描述的优选实施例仅用于说明和解释本申请,并不用于限定本申请,并且在不冲突的情况下,本申请中的实施例及实施例中的特征可以相互组合。The preferred embodiments of the present application will be described below with reference to the accompanying drawings. It should be understood that the preferred embodiments described herein are only used to illustrate and explain the present application, and are not intended to limit the present application. The embodiments in and features in the embodiments can be combined with each other.
图2为本申请实施例提供的一种电力系统调频方法的流程示意图。如图2所示,应用于控制系统的控制器中,该方法可以包括:FIG. 2 is a schematic flowchart of a method for frequency regulation of a power system provided by an embodiment of the present application. As shown in Figure 2, applied to the controller of the control system, the method may include:
步骤S210、采集各充电柜对应的处于充电状态的电动汽车的需求功率、各充电柜的充电电流和电力系统的电网电压。Step S210: Collect the required power of the electric vehicle in the charging state corresponding to each charging cabinet, the charging current of each charging cabinet, and the grid voltage of the power system.
控制器可以通过CAN网络在各PDU中采集处于充电状态的电动汽车的需求功率;The controller can collect the required power of the electric vehicle in the charging state in each PDU through the CAN network;
控制器可以通过电流互感器采集充电柜的充电电流;The controller can collect the charging current of the charging cabinet through the current transformer;
控制器可以通过直采的方式采集电力系统的母线上的电网电压。The controller can collect the grid voltage on the bus of the power system by means of direct collection.
在一些实施例中,控制器可以对采集的电网电压进行数据预处理,过滤出采集的电网电压中的白噪声,以提高采集数据的精确性。该数据预处理可以是对采集的电网电压进行快速傅里叶变换((Fast Fourier Transform,FFT),或离散傅里叶变换(DiscreteFourier Transform,DFT)等其他数据处理,本申请在此不做限定。In some embodiments, the controller may perform data preprocessing on the collected grid voltage to filter out white noise in the collected grid voltage, so as to improve the accuracy of the collected data. The data preprocessing may be other data processing such as Fast Fourier Transform (Fast Fourier Transform, FFT), or Discrete Fourier Transform (Discrete Fourier Transform, DFT) on the collected grid voltage, which is not limited in this application. .
步骤S220、基于各充电柜的充电电流和电网电压,确定相应充电柜输入的充电功率,以及基于电网电压,确定电力系统的当前电网频率。Step S220 , based on the charging current and grid voltage of each charging cabinet, determine the charging power input by the corresponding charging cabinet, and determine the current grid frequency of the power system based on the grid voltage.
具体实施中,控制器可以将各充电柜的充电电流与电网电压的乘积确定为相应充电柜输入的充电功率。In a specific implementation, the controller may determine the product of the charging current of each charging cabinet and the grid voltage as the charging power input by the corresponding charging cabinet.
以及,采用预设的离散傅里叶变换算法,对电网电压进行离散傅里叶处理,得到电力系统的当前电网频率。And, using a preset discrete Fourier transform algorithm to perform discrete Fourier processing on the grid voltage to obtain the current grid frequency of the power system.
需要说明的是,目前对电力系统频率的测量方法还可以包括硬件测量和软件测量。其中,硬件测量主要通过硬件测频电路实现;实现软件测量的主要算法包括最小二乘法、递推傅氏算法、卡尔曼滤波算法等,由于这些方法均为传统算法,故本申请在此不做赘述。It should be noted that the current measurement method for the frequency of the power system may also include hardware measurement and software measurement. Among them, the hardware measurement is mainly realized by the hardware frequency measurement circuit; the main algorithms for realizing the software measurement include the least square method, the recursive Fourier algorithm, the Kalman filter algorithm, etc. Since these methods are all traditional algorithms, this application does not describe them here. Repeat.
步骤S230、根据预设的调频策略,对当前电网频率和所述各充电柜的需求功率进行调频处理,得到调频后的功率。Step S230 , according to a preset frequency regulation strategy, perform frequency regulation processing on the current grid frequency and the required power of each charging cabinet to obtain the frequency-regulated power.
具体实施中,预设的调频策略可以包括第一调频策略和第二调频策略;In a specific implementation, the preset frequency regulation strategy may include a first frequency regulation strategy and a second frequency regulation strategy;
基于各充电柜的需求功率,得到总需求功率,具体的,将各充电柜的需求功率求和,得到总需求功率;之后,根据第一调频策略或第二调频策略,对当前电网频率和总需求功率进行调频处理,得到调频后的功率。Based on the demanded power of each charging cabinet, the total demanded power is obtained. Specifically, the demanded power of each charging cabinet is summed to obtain the total demanded power; then, according to the first frequency regulation strategy or the second frequency regulation strategy, the current grid frequency and the total demanded power are calculated. The required power is processed by frequency modulation to obtain the power after frequency modulation.
其中,第一调频策略可以包括三个调频函数,第二调频策略可以包括五个调频函数。The first frequency modulation strategy may include three frequency modulation functions, and the second frequency modulation strategy may include five frequency modulation functions.
(1)第一调频策略可以包括三个调频函数:(1) The first frequency modulation strategy may include three frequency modulation functions:
第一调频函数用于在当前电网频率不小于0,且小于第一截止频率时,对总需求功率进行调频处理;The first frequency modulation function is used to perform frequency modulation processing on the total demand power when the current grid frequency is not less than 0 and less than the first cut-off frequency;
第二调频函数用于在当前电网频率不小于第一截止频率,且小于第一死区频率时,对总需求功率进行调频处理;The second frequency modulation function is used to perform frequency modulation processing on the total demand power when the current grid frequency is not less than the first cutoff frequency and less than the first dead zone frequency;
第三调频函数用于在当前电网频率不小于死区频率时,保持总需求功率与当前电网频率相等。The third frequency modulation function is used to keep the total demanded power equal to the current grid frequency when the current grid frequency is not less than the dead-band frequency.
(2)第二调频策略可以包括五个调频函数,其中:(2) The second frequency modulation strategy may include five frequency modulation functions, wherein:
第一调频函数用于在当前电网频率不小于0,且小于第一截止频率时,对总需求功率进行调频处理;The first frequency modulation function is used to perform frequency modulation processing on the total demand power when the current grid frequency is not less than 0 and less than the first cut-off frequency;
第二调频函数用于在当前电网频率不小于第一截止频率,且小于第一死区频率时,对总需求功率进行调频处理;The second frequency modulation function is used to perform frequency modulation processing on the total demand power when the current grid frequency is not less than the first cutoff frequency and less than the first dead zone frequency;
第三调频函数用于在当前电网频率不小于第一死区频率,且小于第二死区频率时,对总需求功率进行调频处理;The third frequency modulation function is used to perform frequency modulation processing on the total demand power when the current grid frequency is not less than the first dead zone frequency and less than the second dead zone frequency;
第四调频函数用于在当前电网频率不小于第二死区频率,且小于第二截止频率时,对总需求功率进行调频处理。The fourth frequency modulation function is used to perform frequency modulation processing on the total demand power when the current grid frequency is not less than the second dead zone frequency and less than the second cutoff frequency.
第五调频函数用于在当前电网频率不小于第二截止频率时,保持总需求功率与当前电网频率相等。The fifth frequency modulation function is used to keep the total demand power equal to the current grid frequency when the current grid frequency is not less than the second cutoff frequency.
在一种实施例中,第一调频策略中的三个调频函数可以表示为;In one embodiment, the three frequency modulation functions in the first frequency modulation strategy can be expressed as;
其中,P为调频后的功率、τ为限定系数,τ取[0,1]区间的浮点数、fd2为第一截止频率,f2为第一死区频率、f为当前电网频率和Preq为总需求功率。Among them, P is the power after frequency modulation, τ is the limiting coefficient, τ is a floating point number in the [0,1] interval, fd2 is the first cutoff frequency, f2 is the first dead frequency, f is the current grid frequency and Preq is the total demand power.
第二调频策略中的五个调频函数可以表示为;The five frequency modulation functions in the second frequency modulation strategy can be expressed as;
其中,P为调频后的功率、τ为限定系数、fd2为第一截止频率,f2为第一死区频率、f1为第二死区频率、f为当前电网频率和Preq为总需求功率。Among them, P is the power after frequency modulation, τ is the limiting coefficient, fd2 is the first cut-off frequency, f2 is the first dead zone frequency, f1 is the second dead zone frequency, f is the current grid frequency and Preq is the total frequency demand power.
由于第一调频策略和第二调频策略存在不同的调频函数,故可形成第一调频策略的策略曲线A和第二调频策略的策略曲线B,如图3所示,其中,fn为单个充电柜的额定频率,如中国电网为50.00Hz。Since the first frequency regulation strategy and the second frequency regulation strategy have different frequency regulation functions, the strategy curve A of the first frequency regulation strategy and the strategy curve B of the second frequency regulation strategy can be formed, as shown in FIG. 3 , where fn is a single charge The rated frequency of the cabinet, such as China's power grid, is 50.00Hz.
结合图3的内容可知,第一调频策略只有在当前电网频率f低于额定频率fn时会降低充电功率的方式响应电网频率的变化,即来调整电网频率,在当前电网频率f高于额定频率fn时不会主动响应。第二调频策略在当前电网频率f低于额定频率,或者当前电网频率f高于额定频率时均可以响应电网频率变化。Combining with the content of Fig. 3, it can be seen that the first frequency regulation strategy only responds to the change of the grid frequency by reducing the charging power when the current grid frequency f is lower than the rated frequencyfn , that is, to adjust the grid frequency, when the current grid frequency f is higher than the rated frequency fn. There is no active response at frequency fn . The second frequency regulation strategy can respond to grid frequency changes when the current grid frequency f is lower than the rated frequency, or when the current grid frequency f is higher than the rated frequency.
步骤S240、采用各充电柜的充电功率,对调频后的功率进行修正,得到充电设置功率。Step S240 , using the charging power of each charging cabinet to correct the power after frequency modulation to obtain the charging set power.
具体实施中,控制器可以基于各充电柜的充电功率,得到总充电功率,具体的,将各充电柜的充电功率进行求和运算,得到总充电功率;之后,将调频后的功率与总充电功率的差值,确定为充电设置功率。In a specific implementation, the controller can obtain the total charging power based on the charging power of each charging cabinet. Specifically, the total charging power is obtained by summing the charging power of each charging cabinet; The difference in power, which determines the set power for charging.
步骤S250、按照预设功率分配规则,对充电设置功率进行功率分配后,向各充电柜中的电源模块发送分配后的充电设置功率。Step S250 , according to the preset power distribution rule, after power distribution is performed on the charging set power, the allocated charging set power is sent to the power modules in each charging cabinet.
在执行该步骤之前,控制前可以检测充电设置功率是否在预设调频限制功率范围内;Before executing this step, it can be detected whether the charging setting power is within the preset frequency modulation limit power range before control;
若充电设置功率在预设调频限制功率范围内,则按照预设功率分配规则,对充电设置功率进行功率分配;其中,预设调频限制功率范围包括上边界限制功率和下边界限制功率。If the charging set power is within the preset frequency regulation limited power range, the charging set power is allocated power according to the preset power distribution rule; wherein the preset frequency regulation limited power range includes the upper boundary limited power and the lower boundary limited power.
若充电设置功率不在预设调频限制功率范围内,则将与充电设置功率临近的预设调频限制功率范围的边界限制功率确定为新的充电设置功率,并按照预设功率分配规则,对新的充电设置功率进行功率分配。其中,在充电设置功率低于预设调频限制功率范围的下边界限制功率时,将下边界限制功率确定为新的充电设置功率;在高于预设调频限制功率范围的上边界限制功率时,将上边界限制功率确定为新的充电设置功率。If the charging set power is not within the preset FM limit power range, the boundary limit power of the preset FM limit power range adjacent to the charging set power is determined as the new charging set power, and according to the preset power distribution rules, the new charging set power is allocated. Charge setting power for power distribution. Wherein, when the charging setting power is lower than the lower boundary limit power of the preset frequency modulation limit power range, the lower boundary limit power is determined as the new charging setting power; when it is higher than the upper boundary limit power of the preset frequency modulation limit power range, The upper bound limit power is determined as the new charging setting power.
具体实施中,控制器可以按照各充电柜间处于充电状态的电动汽车的当前荷电状态(State Of Charge,SOC)的比例,对充电设置功率进行功率分配,向各充电柜发送分配后的充电设置功率;具体的,控制器向相应充电柜中的电源模块发送分配后的充电设置功率。In the specific implementation, the controller may allocate the charging set power according to the ratio of the current state of charge (State Of Charge, SOC) of the electric vehicles in the charging state between the charging cabinets, and send the allocated charging power to the charging cabinets. Setting power; specifically, the controller sends the allocated charging setting power to the power module in the corresponding charging cabinet.
在一个例子中,第一充电柜对应一个电动汽车A,第二充电柜对应一个电动汽车B,其中,电动汽车A的SOC为40%,电动汽车B的SOC为60%,此时按照2:3的比例,对充电设置功率进行功率分配,并向第一充电柜发送60%的充电设置功率,向第二充电柜发送40%的充电设置功率。In an example, the first charging cabinet corresponds to an electric vehicle A, and the second charging cabinet corresponds to an electric vehicle B, wherein the SOC of the electric vehicle A is 40%, and the SOC of the electric vehicle B is 60%. At this time, according to 2: The ratio of 3 to the charging set power is distributed, and 60% of the charging set power is sent to the first charging cabinet, and 40% of the charging set power is sent to the second charging cabinet.
在一个例子中,为验证本申请提供的电力系统调频方法,以一个实际的大功率充电站进行实际的实验。该充电站由5个充电柜组成,单个充电柜的额定功率150kW,充电站峰值充电功率750kW,即5个充电柜的总充电功率。In an example, in order to verify the power system frequency regulation method provided by the present application, an actual experiment is carried out with an actual high-power charging station. The charging station consists of 5 charging cabinets, the rated power of a single charging cabinet is 150kW, and the peak charging power of the charging station is 750kW, which is the total charging power of the 5 charging cabinets.
以第二调频策略为例,各参数设置如下:f1=50.033Hz,,fd1=50.1Hz,fd2=49.9Hz,τ=0.1。在充电站全天均有车辆充电的情况下,全天的电网频率(即曲线1)在49.9Hz到50.1Hz之间波动,如图4所示,9点25分到10点的充电功率曲线,即曲线3。其中,图4中的曲线2为需求功率的曲线,曲线1是实际的充电功率曲线,可以看到在电网频率超过[49.97,50.03]Hz区间之外,曲线1的充电功率会随着电网频率增加或降低,对应降低或增加。Taking the second frequency modulation strategy as an example, the parameters are set as follows: f1 =50.033 Hz, fd1 =50.1 Hz, fd2 =49.9 Hz, τ=0.1. When the charging station has vehicles charging all day, the grid frequency (ie curve 1) fluctuates between 49.9Hz and 50.1Hz throughout the day. As shown in Figure 4, the charging power curve from 9:25 to 10:00 , namely curve 3. Among them, curve 2 in Figure 4 is the curve of demand power, and curve 1 is the actual charging power curve. It can be seen that the charging power of curve 1 will vary with the grid frequency outside the interval of [49.97, 50.03] Hz. Increase or decrease, correspondingly decrease or increase.
本申请提供的电力系统调频方法在采集各充电柜对应的处于充电状态的电动汽车的需求功率、各充电柜的充电电流和电力系统的电网电压后,基于各充电柜的充电电流和电网电压,确定相应充电柜输入的充电功率,以及基于电网电压,确定电力系统的当前电网频率;根据预设的调频策略,对当前电网频率和各充电柜的需求功率进行调频处理,得到调频后的功率;采用各充电柜的充电功率,对调频后的功率进行修正,得到充电设置功率,之后按照预设功率分配规则,对充电设置功率进行功率分配后,向各充电柜发送分配后的充电设置功率,以调解各充电柜输出的充电功率。该方法实现了充电过程支撑电力系统的频率调节,保证了电力系统的频率的稳定。The power system frequency modulation method provided by the present application collects the required power of the electric vehicle in the charging state corresponding to each charging cabinet, the charging current of each charging cabinet and the grid voltage of the power system, based on the charging current and grid voltage of each charging cabinet, Determine the charging power input by the corresponding charging cabinet, and determine the current grid frequency of the power system based on the grid voltage; according to the preset frequency regulation strategy, perform frequency modulation processing on the current grid frequency and the required power of each charging cabinet to obtain the power after frequency modulation; Use the charging power of each charging cabinet to correct the power after frequency modulation to obtain the charging set power. Then, according to the preset power distribution rules, after the power distribution of the charging set power, the allocated charging set power is sent to each charging cabinet. To adjust the charging power output by each charging cabinet. The method realizes the frequency regulation of the supporting power system in the charging process, and ensures the stability of the frequency of the power system.
与上述方法对应的,本申请实施例还提供一种电力系统调频装置,如图5所示,该电力系统调频装置包括:采集单元510、确定单元520、调频单元530、修正单元540、功率分配单元550和发送单元560;Corresponding to the above method, an embodiment of the present application further provides a frequency modulation device for a power system. As shown in FIG. 5 , the frequency modulation device for a power system includes: a
采集单元510,用于采集各充电柜对应的处于充电状态的电动汽车的需求功率、所述各充电柜的充电电流和电力系统的电网电压;A
确定单元520,用于基于所述各充电柜的充电电流和所述电网电压,确定相应充电柜输入的充电功率,以及采用预设的离散傅里叶算法,对所述电网电压进行处理,得到所述电力系统的当前电网频率;The determining
调频单元530,用于根据预设的调频策略,对所述当前电网频率和所述各充电柜的需求功率进行调频处理,得到调频后的功率;A
修正单元540,用于采用所述各充电柜的充电功率,对所述调频后的功率进行修正,得到充电设置功率;A
功率分配单元550,用于按照预设功率分配规则,对所述充电设置功率进行功率分配;a
发送单元560,用于向所述各充电柜发送分配后的充电设置功率,以调解所述各充电柜输出的充电功率。The sending
在一个可选的实现中,所述预设的调频策略包括第一调频策略和第二调频策略;In an optional implementation, the preset frequency regulation strategy includes a first frequency regulation strategy and a second frequency regulation strategy;
调频单元530,具体用于基于所述各充电柜的需求功率,得到总需求功率;The
根据所述第一调频策略或所述第二调频策略,对所述当前电网频率和所述总需求功率进行调频处理,得到调频后的功率。According to the first frequency regulation strategy or the second frequency regulation strategy, frequency regulation processing is performed on the current grid frequency and the total demand power to obtain frequency-regulated power.
在一个可选的实现中,所述第一调频策略包括三个调频函数;In an optional implementation, the first frequency modulation strategy includes three frequency modulation functions;
其中,所述第一调频函数用于在所述当前电网频率不小于0,且小于第一截止频率时,对所述总需求功率进行调频处理;Wherein, the first frequency modulation function is used to perform frequency modulation processing on the total demand power when the current grid frequency is not less than 0 and less than a first cut-off frequency;
所述第二调频函数用于在所述当前电网频率不小于所述第一截止频率,且小于第一死区频率时,对所述总需求功率进行调频处理;The second frequency modulation function is used to perform frequency modulation processing on the total demand power when the current grid frequency is not less than the first cutoff frequency and less than the first dead frequency;
所述第三调频函数用于在所述当前电网频率不小于所述死区频率时,保持所述总需求功率与所述当前电网频率相等。The third frequency modulation function is used to keep the total demand power equal to the current grid frequency when the current grid frequency is not less than the deadband frequency.
在一个可选的实现中,所述第一调频策略中的三个调频函数表示为;In an optional implementation, the three frequency modulation functions in the first frequency modulation strategy are expressed as;
其中,P为所述调频后的功率、τ为限定系数,τ取[0,1]区间的浮点数、fd2为所述第一截止频率,f2为所述第一死区频率、f为所述当前电网频率和Preq为所述总需求功率。Wherein, P is the power after the frequency modulation, τ is a limiting coefficient, τ is a floating point number in the [0,1] interval, fd2 is the first cutoff frequency, f2 is the first dead frequency, f is the current grid frequency andPreq is the total demand power.
在一个可选的实现中,第二调频策略包括五个调频函数:In an optional implementation, the second frequency modulation strategy includes five frequency modulation functions:
其中,所述第一调频函数用于在所述当前电网频率不小于0,且小于第一截止频率时,对所述总需求功率进行调频处理;Wherein, the first frequency modulation function is used to perform frequency modulation processing on the total demand power when the current grid frequency is not less than 0 and less than a first cut-off frequency;
所述第二调频函数用于在所述当前电网频率不小于所述第一截止频率,且小于第一死区频率时,对所述总需求功率进行调频处理;The second frequency modulation function is used to perform frequency modulation processing on the total demand power when the current grid frequency is not less than the first cutoff frequency and less than the first dead frequency;
所述第三调频函数用于在所述当前电网频率不小于所述第一死区频率,且小于第二死区频率时,对所述总需求功率进行调频处理;The third frequency modulation function is used to perform frequency modulation processing on the total demand power when the current grid frequency is not less than the first dead zone frequency and less than the second dead zone frequency;
所述第四调频函数用于在所述当前电网频率不小于所述第二死区频率,且小于所述第二截止频率时,对所述总需求功率进行调频处理。The fourth frequency modulation function is used to perform frequency modulation processing on the total demand power when the current grid frequency is not less than the second dead zone frequency and less than the second cutoff frequency.
所述第五调频函数用于在所述当前电网频率不小于所述第二截止频率时,保持所述总需求功率与所述当前电网频率相等。The fifth frequency modulation function is used to keep the total demand power equal to the current grid frequency when the current grid frequency is not less than the second cutoff frequency.
在一个可选的实现中,所述第二调频策略中的五个调频函数表示为;In an optional implementation, the five frequency modulation functions in the second frequency modulation strategy are expressed as;
其中,P为所述调频后的功率、τ为限定系数、fd2为所述第一截止频率,f2为所述第一死区频率、f1为所述第二死区频率、f为所述当前电网频率和Preq为所述总需求功率。Wherein, P is the power after frequency modulation, τ is the limiting coefficient, fd2 is the first cutoff frequency, f2 is the first dead frequency, f1 is the second dead frequency, f is the The current grid frequency andPreq are the total demand power.
在一个可选的实现中,修正单元540,具体用于:In an optional implementation, the
基于所述各充电柜的充电功率,得到总充电功率;Based on the charging power of each charging cabinet, obtain the total charging power;
将所述调频后的功率与所述总充电功率的差值,确定为所述充电设置功率。The difference between the frequency-modulated power and the total charging power is determined as the charging set power.
在一个可选的实现中,所述装置还包括:检测单元570;In an optional implementation, the apparatus further includes: a detection unit 570;
检测单元570,用于检测所述充电设置功率是否在预设调频限制功率范围内;A detection unit 570, configured to detect whether the charging setting power is within a preset frequency modulation limit power range;
功率分配单元550,还用于若所述充电设置功率在所述预设调频限制功率范围内,则按照预设功率分配规则,对所述充电设置功率进行功率分配;The
以及,若所述充电设置功率不在预设调频限制功率范围内,则将与所述充电设置功率临近的所述预设调频限制功率范围的边界限制功率确定为新的充电设置功率,并按照预设功率分配规则,对所述新的充电设置功率进行功率分配。And, if the charging setting power is not within the preset frequency modulation limited power range, the boundary limited power of the preset frequency modulation limited power range adjacent to the charging setting power is determined as the new charging setting power, and according to the preset charging setting power is determined. A power distribution rule is set, and power distribution is performed on the new charging set power.
在一个可选的实现中,功率分配单元550,具体用于按照所述各充电柜间处于充电状态的电动汽车的当前荷电状态SOC的比例,对所述充电设置功率进行功率分配。In an optional implementation, the
本申请上述实施例提供的电力系统调频装置的各功能单元的功能,可以通过上述各方法步骤来实现,因此,本申请实施例提供的电力系统调频装置中的各个单元的具体工作过程和有益效果,在此不复赘述。The functions of each functional unit of the power system frequency modulation device provided by the above embodiments of the present application can be realized through the above method steps. Therefore, the specific working process and beneficial effects of each unit in the power system frequency modulation device provided by the embodiments of the present application are described. , which will not be repeated here.
本申请实施例还提供了一种电子设备,如图6所示,包括处理器610、通信接口620、存储器630和通信总线640,其中,处理器610,通信接口620,存储器630通过通信总线640完成相互间的通信。An embodiment of the present application also provides an electronic device, as shown in FIG. 6 , including a
存储器630,用于存放计算机程序;a
处理器610,用于执行存储器630上所存放的程序时,实现图2所示的实施例中的各步骤。The
上述提到的通信总线可以是外设部件互连标准(Peripheral ComponentInterconnect,PCI)总线或扩展工业标准结构(Extended Industry StandardArchitecture,EISA)总线等。该通信总线可以分为地址总线、数据总线、控制总线等。为便于表示,图中仅用一条粗线表示,但并不表示仅有一根总线或一种类型的总线。The above-mentioned communication bus may be a peripheral component interconnect standard (Peripheral Component Interconnect, PCI) bus or an Extended Industry Standard Architecture (Extended Industry Standard Architecture, EISA) bus or the like. The communication bus can be divided into an address bus, a data bus, a control bus, and the like. For ease of presentation, only one thick line is used in the figure, but it does not mean that there is only one bus or one type of bus.
通信接口用于上述电子设备与其他设备之间的通信。The communication interface is used for communication between the above electronic device and other devices.
存储器可以包括随机存取存储器(RandomAccess Memory,RAM),也可以包括非易失性存储器(Non-Volatile Memory,NVM),例如至少一个磁盘存储器。可选的,存储器还可以是至少一个位于远离前述处理器的存储装置。The memory may include random access memory (Random Access Memory, RAM), and may also include non-volatile memory (Non-Volatile Memory, NVM), such as at least one disk memory. Optionally, the memory may also be at least one storage device located away from the aforementioned processor.
上述的处理器可以是通用处理器,包括中央处理器(Central Processing Unit,CPU)、网络处理器(Network Processor,NP)等;还可以是数字信号处理器(Digital SignalProcessing,DSP)、专用集成电路(Application Specific Integrated Circuit,ASIC)、现场可编程门阵列(Field-Programmable Gate Array,FPGA)或者其他可编程逻辑器件、分立门或者晶体管逻辑器件、分立硬件组件。The above-mentioned processor may be a general-purpose processor, including a central processing unit (Central Processing Unit, CPU), a network processor (Network Processor, NP), etc.; may also be a digital signal processor (Digital Signal Processing, DSP), an application-specific integrated circuit (Application Specific Integrated Circuit, ASIC), Field-Programmable Gate Array (Field-Programmable Gate Array, FPGA) or other programmable logic devices, discrete gate or transistor logic devices, discrete hardware components.
由于上述实施例中电子设备的各器件解决问题的实施方式以及有益效果可以参见图2所示的实施例中的各步骤来实现,因此,本申请实施例提供的电子设备的具体工作过程和有益效果,在此不复赘述。Since the implementation manners and beneficial effects of each component of the electronic device in the above-mentioned embodiment to solve the problem can be achieved by referring to the steps in the embodiment shown in FIG. 2 , the specific working process and beneficial effects of the electronic device provided by the embodiment of the present application The effect will not be repeated here.
在本申请提供的又一实施例中,还提供了一种计算机可读存储介质,该计算机可读存储介质中存储有指令,当其在计算机上运行时,使得计算机执行上述实施例中任一所述的电力系统调频方法。In yet another embodiment provided by the present application, a computer-readable storage medium is also provided, where instructions are stored in the computer-readable storage medium, and when the computer-readable storage medium is run on a computer, the computer is made to execute any one of the foregoing embodiments. The described power system frequency modulation method.
在本申请提供的又一实施例中,还提供了一种包含指令的计算机程序产品,当其在计算机上运行时,使得计算机执行上述实施例中任一所述的电力系统调频方法。In yet another embodiment provided by the present application, a computer program product including instructions is also provided, which, when running on a computer, enables the computer to execute the method for frequency modulation of a power system described in any one of the foregoing embodiments.
本领域内的技术人员应明白,本申请实施例中的实施例可提供为方法、系统、或计算机程序产品。因此,本申请实施例中可采用完全硬件实施例、完全软件实施例、或结合软件和硬件方面的实施例的形式。而且,本申请实施例中可采用在一个或多个其中包含有计算机可用程序代码的计算机可用存储介质(包括但不限于磁盘存储器、CD-ROM、光学存储器等)上实施的计算机程序产品的形式。Those skilled in the art should understand that the embodiments in the embodiments of the present application may be provided as methods, systems, or computer program products. Therefore, the embodiments of the present application may take the form of an entirely hardware embodiment, an entirely software embodiment, or an embodiment combining software and hardware aspects. Furthermore, embodiments of the present application may take the form of a computer program product implemented on one or more computer-usable storage media (including but not limited to disk storage, CD-ROM, optical storage, etc.) having computer-usable program code embodied therein .
本申请实施例中是参照根据本申请实施例中实施例的方法、设备(系统)、和计算机程序产品的流程图和/或方框图来描述的。应理解可由计算机程序指令实现流程图和/或方框图中的每一流程和/或方框、以及流程图和/或方框图中的流程和/或方框的结合。可提供这些计算机程序指令到通用计算机、专用计算机、嵌入式处理机或其他可编程数据处理设备的处理器以产生一个机器,使得通过计算机或其他可编程数据处理设备的处理器执行的指令产生用于实现在流程图一个流程或多个流程和/或方框图一个方框或多个方框中指定的功能的装置。The embodiments of the present application are described with reference to the flowcharts and/or block diagrams of the methods, devices (systems), and computer program products according to the embodiments of the present application. It will be understood that each flow and/or block in the flowchart illustrations and/or block diagrams, and combinations of flows and/or blocks in the flowchart illustrations and/or block diagrams, can be implemented by computer program instructions. These computer program instructions may be provided to the processor of a general purpose computer, special purpose computer, embedded processor or other programmable data processing device to produce a machine such that the instructions executed by the processor of the computer or other programmable data processing device produce Means for implementing the functions specified in a flow or flow of a flowchart and/or a block or blocks of a block diagram.
这些计算机程序指令也可存储在能引导计算机或其他可编程数据处理设备以特定方式工作的计算机可读存储器中,使得存储在该计算机可读存储器中的指令产生包括指令装置的制造品,该指令装置实现在流程图一个流程或多个流程和/或方框图一个方框或多个方框中指定的功能。These computer program instructions may also be stored in a computer-readable memory capable of directing a computer or other programmable data processing apparatus to function in a particular manner, such that the instructions stored in the computer-readable memory result in an article of manufacture comprising instruction means, the instructions The apparatus implements the functions specified in the flow or flow of the flowcharts and/or the block or blocks of the block diagrams.
这些计算机程序指令也可装载到计算机或其他可编程数据处理设备上,使得在计算机或其他可编程设备上执行一系列操作步骤以产生计算机实现的处理,从而在计算机或其他可编程设备上执行的指令提供用于实现在流程图一个流程或多个流程和/或方框图一个方框或多个方框中指定的功能的步骤。These computer program instructions can also be loaded on a computer or other programmable data processing device to cause a series of operational steps to be performed on the computer or other programmable device to produce a computer-implemented process such that The instructions provide steps for implementing the functions specified in the flow or blocks of the flowcharts and/or the block or blocks of the block diagrams.
尽管已描述了本申请实施例中的优选实施例,但本领域内的技术人员一旦得知了基本创造性概念,则可对这些实施例作出另外的变更和修改。所以,所附权利要求意欲解释为包括优选实施例以及落入本申请实施例中范围的所有变更和修改。Although the preferred embodiments of the embodiments of the present application have been described, additional changes and modifications to these embodiments may be made by those skilled in the art once the basic inventive concepts are known. Therefore, the appended claims are intended to be construed to include the preferred embodiments and all changes and modifications that fall within the scope of the embodiments of the present application.
显然,本领域的技术人员可以对本申请实施例中实施例进行各种改动和变型而不脱离本申请实施例中实施例的精神和范围。这样,倘若本申请实施例中实施例的这些修改和变型属于本申请实施例中权利要求及其等同技术的范围之内,则本申请实施例中也意图包含这些改动和变型在内。Obviously, those skilled in the art can make various changes and modifications to the embodiments in the embodiments of the present application without departing from the spirit and scope of the embodiments in the embodiments of the present application. In this way, if these modifications and variations of the embodiments in the embodiments of the present application fall within the scope of the claims in the embodiments of the present application and their equivalents, the embodiments of the present application are also intended to include these modifications and variations.
| Application Number | Priority Date | Filing Date | Title |
|---|---|---|---|
| CN202111466709.7ACN114389284A (en) | 2021-12-03 | 2021-12-03 | Power system frequency regulation method, device, control system, electronic equipment and medium |
| Application Number | Priority Date | Filing Date | Title |
|---|---|---|---|
| CN202111466709.7ACN114389284A (en) | 2021-12-03 | 2021-12-03 | Power system frequency regulation method, device, control system, electronic equipment and medium |
| Publication Number | Publication Date |
|---|---|
| CN114389284Atrue CN114389284A (en) | 2022-04-22 |
| Application Number | Title | Priority Date | Filing Date |
|---|---|---|---|
| CN202111466709.7APendingCN114389284A (en) | 2021-12-03 | 2021-12-03 | Power system frequency regulation method, device, control system, electronic equipment and medium |
| Country | Link |
|---|---|
| CN (1) | CN114389284A (en) |
| Publication number | Priority date | Publication date | Assignee | Title |
|---|---|---|---|---|
| CN119099422A (en)* | 2024-09-19 | 2024-12-10 | 广东顺畅科技有限公司 | A device and method for realizing V2G by using the discharge function of electric vehicle |
| Publication number | Priority date | Publication date | Assignee | Title |
|---|---|---|---|---|
| US20150015213A1 (en)* | 2012-03-28 | 2015-01-15 | Aerovironment, Inc. | Frequency responsive charging system and method |
| CN105826934A (en)* | 2016-04-27 | 2016-08-03 | 中国电力科学研究院 | Method for controlling auxiliary frequency modulation of electric vehicle based on feasible region |
| CN108407636A (en)* | 2018-02-08 | 2018-08-17 | 国电南瑞科技股份有限公司 | A kind of electric vehicle local real-time optimization charge control method |
| CN108471123A (en)* | 2018-04-08 | 2018-08-31 | 南方电网科学研究院有限责任公司 | Charging control method and device for electric vehicle to participate in power grid frequency adjustment |
| CN112803439A (en)* | 2021-03-02 | 2021-05-14 | 国网山东省电力公司菏泽供电公司 | Electric automobile auxiliary frequency modulation scheduling control method and system |
| Publication number | Priority date | Publication date | Assignee | Title |
|---|---|---|---|---|
| US20150015213A1 (en)* | 2012-03-28 | 2015-01-15 | Aerovironment, Inc. | Frequency responsive charging system and method |
| CN105826934A (en)* | 2016-04-27 | 2016-08-03 | 中国电力科学研究院 | Method for controlling auxiliary frequency modulation of electric vehicle based on feasible region |
| CN108407636A (en)* | 2018-02-08 | 2018-08-17 | 国电南瑞科技股份有限公司 | A kind of electric vehicle local real-time optimization charge control method |
| CN108471123A (en)* | 2018-04-08 | 2018-08-31 | 南方电网科学研究院有限责任公司 | Charging control method and device for electric vehicle to participate in power grid frequency adjustment |
| CN112803439A (en)* | 2021-03-02 | 2021-05-14 | 国网山东省电力公司菏泽供电公司 | Electric automobile auxiliary frequency modulation scheduling control method and system |
| Publication number | Priority date | Publication date | Assignee | Title |
|---|---|---|---|---|
| CN119099422A (en)* | 2024-09-19 | 2024-12-10 | 广东顺畅科技有限公司 | A device and method for realizing V2G by using the discharge function of electric vehicle |
| Publication | Publication Date | Title |
|---|---|---|
| CN114572057B (en) | Fuel cell energy control methods, devices, equipment and vehicles | |
| CN113629764B (en) | A charging and discharging control method and application device thereof | |
| CN111799844B (en) | Virtual synchronous generator control method and device and terminal equipment | |
| CN110034573B (en) | Small interference stability optimization method and device for VSC-HVDC (voltage source converter-high voltage direct current) containing alternating current-direct current hybrid system | |
| CN112140901B (en) | Torque control method and device | |
| CN113612272B (en) | Charging control method and device for uninterruptible power supply of new energy power generation system | |
| CN114389284A (en) | Power system frequency regulation method, device, control system, electronic equipment and medium | |
| CN117096919A (en) | Power distribution method, device, equipment and storage medium | |
| CN116014766A (en) | Dynamic capacity expansion method of transformer and related equipment thereof | |
| CN112564134A (en) | Method, device, equipment and medium for configuring primary frequency modulation reserve capacity of power grid | |
| CN113612266A (en) | Constant power control circuit, constant power control method and electric appliance | |
| CN112290594B (en) | A virtual synchronous generator virtual inertia switching control method and system | |
| CN117096918A (en) | Power distribution method, system, terminal and medium under energy storage system multi-converter | |
| CN116853060A (en) | Charging power distribution method, device, charging management equipment, system and storage medium | |
| CN113300385B (en) | Grid frequency regulation method, system, and storage medium for a hybrid energy storage system | |
| CN113794197B (en) | Method, device, equipment and storage medium for evaluating running condition of communication system | |
| CN114491384A (en) | Multi-harmonic responsibility division method based on Shapley method | |
| CN111835025B (en) | A group charging system and its power distribution method and device | |
| CN115113077A (en) | Method for determining available window value of battery SOC and related device | |
| CN113193245A (en) | SOH (State of health) balancing method for distributed battery energy storage system of micro-grid | |
| CN119275962A (en) | Energy storage system charge and discharge control method, controller and energy storage system | |
| CN118739240B (en) | Impact power stabilizing method and device based on self-adaptive time constant filter | |
| CN114123164B (en) | A method, device, and terminal equipment for calculating short-circuit capacity of a power system | |
| CN118677081A (en) | Parallel operation current sharing method and device of energy storage system and energy storage system | |
| CN114228553B (en) | A charging pile active power adjustment method and related devices |
| Date | Code | Title | Description |
|---|---|---|---|
| PB01 | Publication | ||
| PB01 | Publication | ||
| SE01 | Entry into force of request for substantive examination | ||
| SE01 | Entry into force of request for substantive examination |