



















技术领域technical field
本申请涉及人工智能技术,尤其涉及一种基于人工智能的网络请求处理方法、装置、电子设备、计算机可读存储介质及计算机程序产品。The present application relates to artificial intelligence technology, and in particular, to a method, apparatus, electronic device, computer-readable storage medium, and computer program product for processing network requests based on artificial intelligence.
背景技术Background technique
人工智能(AI,Artificial Intelligence)是计算机科学的一个综合技术,通过研究各种智能机器的设计原理与实现方法,使机器具有感知、推理与决策的功能。人工智能技术是一门综合学科,涉及领域广泛,例如自然语言处理技术以及机器学习/深度学习等几大方向,随着技术的发展,人工智能技术将在更多的领域得到应用,并发挥越来越重要的价值。Artificial intelligence (AI, Artificial Intelligence) is a comprehensive technology of computer science. By studying the design principles and implementation methods of various intelligent machines, the machines have the functions of perception, reasoning and decision-making. Artificial intelligence technology is a comprehensive subject covering a wide range of fields, such as natural language processing technology and machine learning/deep learning. With the development of technology, artificial intelligence technology will be applied in more fields, and play a more increasingly important value.
相关技术中缺乏基于兴趣点的网络请求处理的有效方案,主要依赖于设定的人工规则,以识别出行动轨迹将要途径的下一个兴趣点,并到达下一个兴趣点时应用网络服务模式。但是,这种方案识别出的下一个兴趣点不准确,浪费了大量的计算资源。The related art lacks an effective solution for processing network requests based on points of interest, mainly relying on preset manual rules to identify the next point of interest that the action trajectory will pass through, and apply the network service mode when reaching the next point of interest. However, the next point of interest identified by this scheme is inaccurate and wastes a lot of computing resources.
发明内容SUMMARY OF THE INVENTION
本申请实施例提供一种基于人工智能的网络请求处理方法、装置、电子设备、计算机可读存储介质及计算机程序产品,能够自动并准确地预测行动轨迹将要途径的兴趣点。The embodiments of the present application provide an artificial intelligence-based network request processing method, apparatus, electronic device, computer-readable storage medium, and computer program product, which can automatically and accurately predict the points of interest that the action trajectory will pass through.
本申请实施例的技术方案是这样实现的:The technical solutions of the embodiments of the present application are implemented as follows:
本申请实施例提供一种基于人工智能的网络请求处理方法,包括:The embodiment of the present application provides an artificial intelligence-based network request processing method, including:
获取目标对象的特征数据集合以及行动轨迹,其中,所述行动轨迹包括至少一个途径的历史兴趣点;Acquiring a feature data set and an action track of the target object, wherein the action track includes historical points of interest of at least one route;
对所述目标对象的特征数据集合以及行动轨迹进行特征提取处理,得到所述目标对象针对所述行动轨迹的对象特征;Perform feature extraction processing on the feature data set of the target object and the action track to obtain the object feature of the target object for the action track;
基于所述目标对象针对所述行动轨迹的对象特征,对所述目标对象的行动轨迹进行轨迹分类处理,得到所述行动轨迹所属的轨迹类别;Based on the object characteristics of the target object for the action track, a track classification process is performed on the action track of the target object to obtain a track category to which the action track belongs;
基于所述行动轨迹所属的轨迹类别进行基于元学习的兴趣点预测处理,得到所述行动轨迹将要途径的目标兴趣点;Perform a meta-learning-based interest point prediction process based on the trajectory category to which the action trajectory belongs, to obtain the target interest point to be passed by the action trajectory;
针对所述目标对象应用与所述目标兴趣点匹配的网络服务模式。A network service mode matching the target POI is applied to the target object.
本申请实施例提供一种基于人工智能的网络请求处理装置,包括:The embodiment of the present application provides an artificial intelligence-based network request processing device, including:
获取模块,用于获取目标对象的特征数据集合以及行动轨迹,其中,所述行动轨迹包括至少一个途径的历史兴趣点;an acquisition module, configured to acquire a feature data set and an action track of the target object, wherein the action track includes historical interest points of at least one route;
特征提取模块,用于对所述目标对象的特征数据集合以及行动轨迹进行特征提取处理,得到所述目标对象针对所述行动轨迹的对象特征;A feature extraction module, configured to perform feature extraction processing on the feature data set of the target object and the action track, to obtain the object feature of the target object for the action track;
分类模块,用于基于所述目标对象针对所述行动轨迹的对象特征,对所述目标对象的行动轨迹进行轨迹分类处理,得到所述行动轨迹所属的轨迹类别;a classification module, configured to perform trajectory classification processing on the action track of the target object based on the object feature of the target object for the action track, to obtain the track category to which the action track belongs;
预测模块,用于基于所述行动轨迹所属的轨迹类别进行基于元学习的兴趣点预测处理,得到所述行动轨迹将要途径的目标兴趣点;a prediction module, configured to perform meta-learning-based interest point prediction processing based on the trajectory category to which the action track belongs, and obtain the target interest point to be routed by the action track;
应用模块,用于针对所述目标对象应用与所述目标兴趣点匹配的网络服务模式。An application module, configured to apply a network service mode matching the target POI to the target object.
上述技术方案中,所述特征提取模块还用于对所述目标对象的特征数据集合以及行动轨迹进行融合处理,得到所述目标对象的融合信息;In the above technical solution, the feature extraction module is further configured to perform fusion processing on the feature data set and the action trajectory of the target object to obtain fusion information of the target object;
对所述目标对象的融合信息进行特征提取处理,得到所述目标对象针对所述行动轨迹的对象特征。Feature extraction processing is performed on the fusion information of the target object to obtain the object feature of the target object with respect to the action trajectory.
上述技术方案中,所述特征提取处理是通过特征提取模型实现的,所述特征提取模型包括多个级联的特征提取层;所述特征提取模块还用于通过所述多个级联的特征提取层中的第一个特征提取层,对所述目标对象的融合信息进行特征提取处理;In the above technical solution, the feature extraction process is implemented by a feature extraction model, and the feature extraction model includes a plurality of cascaded feature extraction layers; the feature extraction module is further configured to pass the plurality of cascaded features The first feature extraction layer in the extraction layer performs feature extraction processing on the fusion information of the target object;
将所述第一个特征提取层的特征提取结果输出到后续级联的特征提取层,通过所述后续级联的特征提取层继续进行特征提取处理和特征提取结果输出,直至输出到最后一个特征提取层;The feature extraction result of the first feature extraction layer is output to the subsequent cascaded feature extraction layer, and the feature extraction process and feature extraction result output are continued through the subsequent cascaded feature extraction layer until the last feature is output. extraction layer;
将所述最后一个特征提取层输出的特征提取结果作为所述目标对象针对所述行动轨迹的对象特征。The feature extraction result output by the last feature extraction layer is used as the object feature of the target object for the action trajectory.
上述技术方案中,所述特征提取模块还用于通过所述多个级联的特征提取层的第j个特征提取层执行以下处理:In the above technical solution, the feature extraction module is further configured to perform the following processing through the jth feature extraction layer of the multiple cascaded feature extraction layers:
对第j-1个特征提取层的特征提取结果进行随机卷积处理,得到第j个深层特征;Perform random convolution processing on the feature extraction result of the j-1th feature extraction layer to obtain the jth deep feature;
对所述第j个深层特征进行池化处理,得到所述第j个特征提取层的特征提取结果;Pooling is performed on the jth deep feature to obtain the feature extraction result of the jth feature extraction layer;
通过所述第j个特征提取层输出所述第j个特征提取层的特征提取结果;Output the feature extraction result of the jth feature extraction layer through the jth feature extraction layer;
其中,j为递增的自然数且取值范围为1<j≤N,N为所述特征提取层的数量,N为大于1的正整数。Among them, j is an increasing natural number and the value range is 1<j≤N, N is the number of the feature extraction layers, and N is a positive integer greater than 1.
上述技术方案中,所述分类模块还用于对所述目标对象针对所述行动轨迹的对象特征进行时序编码处理,得到所述行动轨迹的时序特征;In the above technical solution, the classification module is further configured to perform time-series coding processing on the object features of the action track by the target object, so as to obtain the time-series features of the action track;
对所述行动轨迹的时序特征进行映射处理,得到所述行动轨迹所属的轨迹类别。The time series feature of the action track is mapped to obtain the track category to which the action track belongs.
上述技术方案中,所述分类模块还用于对所述目标对象针对所述行动轨迹的对象特征进行正向时序编码处理,得到所述行动轨迹的正向时序特征;In the above technical solution, the classification module is further configured to perform forward time sequence coding processing on the object feature of the action track by the target object, so as to obtain the forward time sequence feature of the action track;
对所述目标对象针对所述行动轨迹的对象特征进行反向时序编码处理,得到所述行动轨迹的反向时序特征;performing reverse time sequence encoding processing on the target object with respect to the object feature of the action track, to obtain the reverse time sequence feature of the action track;
对所述正向时序特征以及所述反向时序特征进行拼接处理,得到所述行动轨迹的时序特征。The forward time sequence feature and the reverse time sequence feature are spliced to obtain the time sequence feature of the action trajectory.
上述技术方案中,所述分类模块还用于基于第i-1个正向时序特征对所述对象特征进行基于遗忘门的正向筛选处理,得到所述遗忘门的正向输出特征;In the above technical solution, the classification module is further configured to perform a forget gate-based forward screening process on the object feature based on the i-1th forward time sequence feature to obtain the forward output feature of the forget gate;
基于第i-1个正向时序特征对所述对象特征进行基于输入门的正向更新处理,得到所述输入门的正向输出特征;Perform forward update processing based on the input gate on the object feature based on the i-1th forward time sequence feature to obtain the forward output feature of the input gate;
基于第i-1个正向时序特征对所述对象特征进行基于输出门的正向映射处理,得到所述输出门的正向输出特征;Based on the i-1 th forward time sequence feature, the object feature is subjected to forward mapping processing based on the output gate to obtain the forward output feature of the output gate;
对所述遗忘门的正向输出特征、所述输入门的正向输出特征以及所述输出门的正向输出特征进行非线性映射处理,得到第i个正向时序特征;Perform nonlinear mapping processing on the forward output feature of the forgetting gate, the forward output feature of the input gate, and the forward output feature of the output gate to obtain the i-th forward time sequence feature;
将M个正向时序特征的集合作为所述行动轨迹的正向时序特征;Taking the set of M forward temporal features as the forward temporal features of the action trajectory;
其中,i为递增的自然数且取值范围为1<i≤M,M为所述对象特征的特征数量,M为大于1的正整数。Wherein, i is an increasing natural number and the value range is 1<i≤M, M is the feature quantity of the object feature, and M is a positive integer greater than 1.
上述技术方案中,所述分类模块还用于基于第e+1个反向时序特征对所述对象特征进行基于遗忘门的反向筛选处理,得到所述遗忘门的反向输出特征;In the above technical solution, the classification module is further configured to perform a forget gate-based reverse screening process on the object feature based on the e+1 th reverse sequence feature, to obtain a reverse output feature of the forget gate;
基于第e+1个反向时序特征对所述对象特征进行基于输入门的反向更新处理,得到所述输入门的反向输出特征;Perform reverse update processing based on the input gate on the object feature based on the e+1 reverse sequence feature to obtain the reverse output feature of the input gate;
基于第e+1个反向时序特征对所述对象特征进行基于输出门的反向映射处理,得到所述输出门的反向输出特征;Based on the e+1 th reverse time series feature, the object feature is subjected to the reverse mapping process based on the output gate, and the reverse output feature of the output gate is obtained;
对所述遗忘门的反向输出特征、所述输入门的反向输出特征以及所述输出门的反向输出特征进行非线性映射处理,得到第e个反向时序特征;Perform nonlinear mapping processing on the reverse output feature of the forgetting gate, the reverse output feature of the input gate, and the reverse output feature of the output gate to obtain the e-th reverse time sequence feature;
将M个反向时序特征的集合作为所述行动轨迹的反向时序特征;Taking the set of M reverse time series features as the reverse time series features of the action trajectory;
其中,e为递减的自然数且取值范围为1≤e≤M-1,M为所述对象特征的特征数量,M为大于1的正整数。Wherein, e is a decreasing natural number and the value range is 1≤e≤M-1, M is the feature quantity of the object feature, and M is a positive integer greater than 1.
上述技术方案中,所述兴趣点预测处理是通过元学习模型实现的,所述元学习模型的训练过程包括:基于多个行动轨迹样本构建查询集和支持集,所述支持集包括至少一个支持子集,每个所述支持子集包括所述多个行动轨迹样本中的至少一个第一行动轨迹样本,不同的所述支持子集包括不同轨迹类别的行动轨迹样本,所述查询集包括所述多个行动轨迹样本中的至少一个第二行动轨迹样本;In the above technical solution, the interest point prediction processing is implemented by a meta-learning model, and the training process of the meta-learning model includes: constructing a query set and a support set based on multiple action trajectory samples, and the support set includes at least one support set. Subsets, each of the support subsets includes at least one first action trajectory sample among the plurality of action trajectory samples, different support subsets include action trajectory samples of different trajectory categories, and the query set includes all at least one second action trajectory sample in the plurality of action trajectory samples;
通过初始化的所述元学习模型执行以下处理:The following processes are performed by the initialized meta-learning model:
对所述支持子集包括的第一行动轨迹样本进行基于元学习的兴趣点预测处理,得到所述第一行动轨迹样本将要途径的第一预测兴趣点;Performing meta-learning-based interest point prediction processing on the first action trajectory sample included in the support subset, to obtain a first predicted interest point to be passed by the first action trajectory sample;
对所述查询集包括的第二行动轨迹样本进行基于元学习的兴趣点预测处理,得到所述第二行动轨迹样本将要途径的第二预测兴趣点;Performing meta-learning-based interest point prediction processing on the second action trajectory sample included in the query set, to obtain a second predicted interest point to be passed by the second action trajectory sample;
基于所述第一预测兴趣点、所述第一行动轨迹样本对应的兴趣点标注、所述第二预测兴趣点、所述第二行动轨迹样本对应的兴趣点标注,构建所述元学习模型的损失函数;Based on the first predicted interest point, the interest point label corresponding to the first action trajectory sample, the second predicted interest point, and the interest point label corresponding to the second action trajectory sample, construct the meta-learning model. loss function;
基于所述损失函数更新所述元学习模型的参数,将所述元学习模型的更新的参数作为训练后的所述元学习模型的参数。The parameters of the meta-learning model are updated based on the loss function, and the updated parameters of the meta-learning model are used as the parameters of the trained meta-learning model.
上述技术方案中,所述应用模块还用于基于所述目标兴趣点,查询不同兴趣点与候选网络服务模式的对应关系,将查询到的候选网络服务模式作为与所述目标兴趣点匹配的网络服务模式;In the above technical solution, the application module is further configured to query the correspondence between different interest points and candidate network service modes based on the target interest point, and use the queried candidate network service mode as the network matching the target interest point. service mode;
显示所述网络服务模式的推荐信息;Display the recommended information of the network service mode;
响应于基于所述推荐信息针对所述网络服务模式的应用操作,针对所述目标对象对应的终端应用所述网络服务模式。In response to the application operation for the network service mode based on the recommendation information, the network service mode is applied to the terminal corresponding to the target object.
上述技术方案中,所述应用模块还用于基于所述目标兴趣点,查询不同兴趣点与候选网络服务模式的对应关系,将查询到的候选网络服务模式作为与所述目标兴趣点匹配的网络服务模式;In the above technical solution, the application module is further configured to query the correspondence between different interest points and candidate network service modes based on the target interest point, and use the queried candidate network service mode as the network matching the target interest point. service mode;
针对所述目标对象对应的终端应用与所述目标兴趣点匹配的网络服务模式。A network service mode matching the target POI is applied to the terminal corresponding to the target object.
上述技术方案中,所述应用模块还用于获取所述目标对象对应的终端到所述目标兴趣点的距离;In the above technical solution, the application module is further configured to obtain the distance from the terminal corresponding to the target object to the target point of interest;
当所述距离小于距离阈值时,针对所述目标对象对应的终端应用与所述目标兴趣点匹配的网络服务模式。When the distance is less than the distance threshold, a network service mode matching the target POI is applied to the terminal corresponding to the target object.
上述技术方案中,当与所述目标兴趣点匹配的网络服务模式为多个时,所述应用模块还用于获取到达所述目标兴趣点时所处的目标时间段;In the above technical solution, when there are multiple network service modes matching the target POI, the application module is further configured to acquire the target time period when the target POI is reached;
从与所述目标兴趣点匹配的多个网络服务模式中,确定与所述目标时间段匹配的网络服务模式;From a plurality of network service modes matching the target POI, determining a network service mode matching the target time period;
针对所述目标对象对应的终端应用与所述目标时间段匹配的网络服务模式。A network service mode matching the target time period is applied to the terminal corresponding to the target object.
本申请实施例提供一种用于网络请求处理的电子设备,所述电子设备包括:An embodiment of the present application provides an electronic device for processing a network request, the electronic device comprising:
存储器,用于存储可执行指令;memory for storing executable instructions;
处理器,用于执行所述存储器中存储的可执行指令时,实现本申请实施例提供的基于人工智能的网络请求处理方法。The processor is configured to implement the artificial intelligence-based network request processing method provided by the embodiment of the present application when executing the executable instructions stored in the memory.
本申请实施例提供一种计算机可读存储介质,存储有可执行指令,用于引起处理器执行时,实现本申请实施例提供的基于人工智能的网络请求处理方法。The embodiments of the present application provide a computer-readable storage medium storing executable instructions for implementing the artificial intelligence-based network request processing method provided by the embodiments of the present application when a processor is caused to execute.
本申请实施例提供一种计算机程序产品,包括计算机程序或指令,其特征在于,所述计算机程序或指令被处理器执行时实现本申请实施例提供的基于人工智能的网络请求处理方法。Embodiments of the present application provide a computer program product, including computer programs or instructions, wherein the computer program or instructions are executed by a processor to implement the artificial intelligence-based network request processing method provided by the embodiments of the present application.
本申请实施例具有以下有益效果:The embodiment of the present application has the following beneficial effects:
基于目标对象针对行动轨迹的对象特征对目标对象的行动轨迹进行轨迹分类,得到行动轨迹所属的轨迹类别,并基于行动轨迹所属的轨迹类别进行兴趣点预测,从而自动并准确地获得行动轨迹将要途径的目标兴趣点,并基于准确的目标兴趣点进行针对性的网络服务模式应用,从而提高网络请求处理的准确性,节约了相关的通信资源和计算资源。Based on the object characteristics of the target object for the action trajectory, the trajectory classification of the target object's action trajectory is carried out to obtain the trajectory category to which the action trajectory belongs, and the point of interest is predicted based on the trajectory category to which the action trajectory belongs, so as to automatically and accurately obtain the path of the action trajectory. The target interest point of interest, and the targeted network service mode application based on the accurate target interest point, thereby improving the accuracy of network request processing, saving related communication resources and computing resources.
附图说明Description of drawings
图1是本申请实施例提供的网络请求处理系统的应用场景示意图;1 is a schematic diagram of an application scenario of a network request processing system provided by an embodiment of the present application;
图2是本申请实施例提供的用于网络请求处理的电子设备的结构示意图;2 is a schematic structural diagram of an electronic device for network request processing provided by an embodiment of the present application;
图3A-图3C是本申请实施例提供的基于人工智能的网络请求处理方法的流程示意图;3A-3C are schematic flowcharts of an artificial intelligence-based network request processing method provided by an embodiment of the present application;
图4是本申请实施例提供的WiFi增强包的示意图;4 is a schematic diagram of a WiFi enhancement package provided by an embodiment of the present application;
图5是本申请实施例提供的WiFi保护计划的示意图;5 is a schematic diagram of a WiFi protection plan provided by an embodiment of the present application;
图6A是本申请实施例提供的视频加速的示意图;6A is a schematic diagram of video acceleration provided by an embodiment of the present application;
图6B是本申请实施例提供的游戏加速的示意图;6B is a schematic diagram of game acceleration provided by an embodiment of the present application;
图7是本申请实施例提供的基于人工智能的网络请求处理方法的架构图;7 is an architectural diagram of an artificial intelligence-based network request processing method provided by an embodiment of the present application;
图8是本申请实施例提供的基于人工智能的网络请求处理方法的流程示意图;8 is a schematic flowchart of an artificial intelligence-based network request processing method provided by an embodiment of the present application;
图9是本申请实施例提供的聚合示意图;9 is a schematic diagram of aggregation provided by an embodiment of the present application;
图10是本申请实施例提供的特征提取器以及BLSTM算法框架;10 is a feature extractor and a BLSTM algorithm framework provided by an embodiment of the present application;
图11是本申请实施例提供的卷积示意图;11 is a schematic diagram of a convolution provided by an embodiment of the present application;
图12是本申请实施例提供的池化示意图;12 is a schematic diagram of pooling provided by an embodiment of the present application;
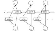
图13是本申请实施例提供的双向长短时记忆网络结构图;13 is a structural diagram of a bidirectional long-short-term memory network provided by an embodiment of the present application;
图14是本申请实施例提供的元学习模型的示意图;14 is a schematic diagram of a meta-learning model provided by an embodiment of the present application;
图15是本申请实施例提供的轨迹示意图;15 is a schematic diagram of a trajectory provided by an embodiment of the present application;
图16是本申请实施例提供的标签示意图;16 is a schematic diagram of a label provided by an embodiment of the present application;
图17是本申请实施例提供的效果对比图。FIG. 17 is a comparison diagram of effects provided by an embodiment of the present application.
具体实施方式Detailed ways
为了使本申请的目的、技术方案和优点更加清楚,下面将结合附图对本申请作进一步地详细描述,所描述的实施例不应视为对本申请的限制,本领域普通技术人员在没有做出创造性劳动前提下所获得的所有其它实施例,都属于本申请保护的范围。In order to make the purpose, technical solutions and advantages of the present application clearer, the present application will be described in further detail below with reference to the accompanying drawings. All other embodiments obtained under the premise of creative work fall within the scope of protection of the present application.
在以下的描述中,所涉及的术语“第一\第二”仅仅是是区别类似的对象,不代表针对对象的特定排序,可以理解地,“第一\第二”在允许的情况下可以互换特定的顺序或先后次序,以使这里描述的本申请实施例能够以除了在这里图示或描述的以外的顺序实施。In the following description, the term "first\second" involved is only to distinguish similar objects, and does not represent a specific ordering of objects. It is understood that "first\second" can be used when permitted. The specific order or sequence is interchanged to enable the embodiments of the application described herein to be practiced in sequences other than those illustrated or described herein.
除非另有定义,本文所使用的所有的技术和科学术语与属于本申请的技术领域的技术人员通常理解的含义相同。本文中所使用的术语只是为了描述本申请实施例的目的,不是旨在限制本申请。Unless otherwise defined, all technical and scientific terms used herein have the same meaning as commonly understood by one of ordinary skill in the technical field to which this application belongs. The terms used herein are only for the purpose of describing the embodiments of the present application, and are not intended to limit the present application.
对本申请实施例进行进一步详细说明之前,对本申请实施例中涉及的名词和术语进行说明,本申请实施例中涉及的名词和术语适用于如下的解释。Before further describing the embodiments of the present application in detail, the terms and terms involved in the embodiments of the present application are described, and the terms and terms involved in the embodiments of the present application are suitable for the following explanations.
1)响应于:用于表示所执行的操作所依赖的条件或者状态,当满足所依赖的条件或状态时,所执行的一个或多个操作可以是实时的,也可以具有设定的延迟;在没有特别说明的情况下,所执行的多个操作不存在执行先后顺序的限制。1) In response to: used to represent the condition or state on which the executed operation depends, when the dependent condition or state is satisfied, one or more of the executed operations may be real-time, or may have a set delay; Unless otherwise specified, there is no restriction on the order of execution of multiple operations to be executed.
2)特征数据集合:作为一种勾画目标对象、联系对象诉求与设计方向的有效工具。特征数据集合在各领域得到了广泛的应用,在实际操作的过程中,往往会以最为浅显和贴近生活的话语将目标对象的属性、行为与期待联结起来,作为实际对象的虚拟代表。2) Feature data collection: as an effective tool for delineating target objects, linking object demands and design directions. Feature data sets have been widely used in various fields. In the process of actual operation, the attributes, behaviors and expectations of the target object are often connected with the most simple and life-like words as a virtual representative of the actual object.
3)网络服务模式:一种用于进行网络服务(在网络上运行的、面向服务的、基于分布式程序的软件模块)的模式,将网络服务模式应用于音目标对象对应的终端中,可以优化终端的网络,以得到快速、安全的网络。本申请实施例中的网络服务模式包括网络增强模式(例如无线相容性认证(WiFi)增强应用)、网络保护模式(WiFi保护应用)以及网络应用加速模式(例如应用加速应用)。3) Network service mode: a mode for performing network services (service-oriented, distributed program-based software modules running on the network), applying the network service mode to the terminal corresponding to the audio target object, you can Optimize the network of the terminal to get a fast and secure network. The network service modes in the embodiments of the present application include a network enhancement mode (eg, a wireless compatibility authentication (WiFi) enhanced application), a network protection mode (WiFi protection application), and a network application acceleration mode (eg, an application acceleration application).
4)兴趣点(POI,Point Of Interest):表示目标对象(例如真实的目标对象、虚拟的机器程序)的签到点。在地理信息系统中,一个POI可以是一栋房子、一个商铺、一个邮筒、一个公交站等。每个POI包含四方面信息,即名称、类别、坐标、分类,全面的POI讯息是丰富地图的必备资讯,及时的POI信息点能提醒对象路况的分支及周边建筑的详尽信息,也能方便查询到各个地方。4) Point of Interest (POI, Point Of Interest): a check-in point representing a target object (eg, a real target object, a virtual machine program). In the geographic information system, a POI can be a house, a shop, a mailbox, a bus station, etc. Each POI contains four aspects of information, namely name, category, coordinates, and classification. Comprehensive POI information is necessary information to enrich the map. Timely POI information points can remind the object of detailed information about the branch of road conditions and surrounding buildings, and can also facilitate Inquire everywhere.
5)对象移动模式:根据终端等物联网设备获取到对象的空间地理数据,分析出对象的一些出行习惯,从而为对象提供相应服务。例如,轨迹与用户链接(TUL,TrajectoryUser Linking),判断轨迹属于哪种对象模式,其目的是能够正确地将轨迹划归给正确的对象模式;下一个POI预测,本申请实施例将POI预测看作一个多分类问题,给定具有历史轨迹的对象u,以及最近访问的POI序列Tj=(cn+1,cn+1,…,cn+k-1),训练模型M来预测对象u的下一个POI,即cn+k。5) Object movement mode: According to the spatial and geographic data of the object obtained by the terminal and other Internet of Things devices, some travel habits of the object are analyzed, so as to provide corresponding services for the object. For example, Trajectory User Linking (TUL, Trajectory User Linking) is used to determine which object mode the trajectory belongs to, and the purpose is to correctly assign the trajectory to the correct object mode; for the next POI prediction, this embodiment of the present application considers POI prediction as As a multi-classification problem, given an object u with historical trajectories, and the most recently visited POI sequence Tj=(cn+1,cn+1,...,cn+k-1), train a model M to predict the next A POI, namely cn+k.
6)深度学习(DL,Deep Learning):源于人工神经网络的研究,含多隐层的多层感知器,通过组合低层特征形成更加抽象的高层表示属性类别或特征,以发现数据的分布式特征表示。它能够学习样本数据的内在规律和表示层次,最终目标是让机器能够像人一样具有分析学习能力,能够识别文字、图像和声音等数据。6) Deep Learning (DL, Deep Learning): Originated from the research of artificial neural network, a multi-layer perceptron with multiple hidden layers forms a more abstract high-level representation attribute category or feature by combining low-level features to discover the distributed distribution of data. Feature representation. It can learn the inherent laws and representation levels of sample data, and the ultimate goal is to enable machines to have the ability to analyze and learn like humans, and to recognize data such as text, images, and sounds.
需要说明的是,在本申请实施例中,涉及到目标对象的特征数据集合以及行动轨迹,当本申请实施例运用到具体产品或技术中时,这些数据的获取、使用、处理等需要获得用户许可、授权或者同意,且相关数据、信息等的收集、使用和处理需要遵守相关国家和地区的相关法律法规和标准。It should be noted that, in the embodiments of the present application, the feature data sets and action trajectories of the target object are involved. When the embodiments of the present application are applied to specific products or technologies, the acquisition, use, processing, etc. of these data needs to obtain the user License, authorization or consent, and the collection, use and processing of relevant data and information need to comply with relevant laws, regulations and standards of relevant countries and regions.
本申请实施例提供一种基于人工智能的网络请求处理方法、装置、电子设备、计算机可读存储介质及计算机程序产品,能够充分有效地展示会话场景,能够自动并准确地预测行动轨迹将要途径的兴趣点。The embodiments of the present application provide an artificial intelligence-based network request processing method, device, electronic device, computer-readable storage medium, and computer program product, which can fully and effectively display a conversation scene, and can automatically and accurately predict the route of an action trajectory. Points of Interest.
本申请实施例所提供的基于人工智能的网络请求处理方法,可以由终端独自实现;也可以由终端和服务器协同实现,例如终端独自承担下文所述的基于人工智能的网络请求处理方法,或者,终端向服务器发送针对兴趣点的预测请求,服务器根据接收的针对兴趣点的预测请求,预测出行动轨迹将要途径的目标兴趣点,并针对目标对象应用与目标兴趣点匹配的网络服务模式,以提高兴趣点预测的准确性,从而基于准确的目标兴趣点进行针对性的网络服务模式应用,从而提高网络请求处理的准确性。The artificial intelligence-based network request processing method provided by the embodiments of this application can be implemented by the terminal alone; or can be implemented by the terminal and the server collaboratively, for example, the terminal is solely responsible for the artificial intelligence-based network request processing method described below, or, The terminal sends a prediction request for the point of interest to the server, and the server predicts the target point of interest that the action trajectory will pass through according to the received prediction request for the point of interest, and applies the network service mode matching the target point of interest to the target object to improve The accuracy of POI prediction can be used to implement targeted network service mode applications based on accurate target POIs, thereby improving the accuracy of network request processing.
本申请实施例提供的用于网络请求处理的电子设备可以是各种类型的终端或服务器,其中,服务器可以是独立的物理服务器,也可以是多个物理服务器构成的服务器集群或者分布式系统,还可以是提供云服务、云数据库、云计算、云函数、云存储、网络服务、云通信、中间件服务、域名服务、安全服务、内容分发网络(Content Delivery Network,CDN)、以及大数据和人工智能平台等基础云计算服务的云服务器;终端可以是智能手机、平板电脑、笔记本电脑、台式计算机、智能音箱、智能手表、智能电视、车载设备等,但并不局限于此。终端以及服务器可以通过有线或无线通信方式进行直接或间接地连接,本申请在此不做限制。The electronic device for processing network requests provided by the embodiments of the present application may be various types of terminals or servers, wherein the server may be an independent physical server, or a server cluster or a distributed system composed of multiple physical servers, It can also provide cloud services, cloud databases, cloud computing, cloud functions, cloud storage, network services, cloud communications, middleware services, domain name services, security services, Content Delivery Network (CDN), and big data and Cloud servers for basic cloud computing services such as artificial intelligence platforms; terminals can be smartphones, tablet computers, laptops, desktop computers, smart speakers, smart watches, smart TVs, vehicle-mounted devices, etc., but are not limited to this. The terminal and the server may be directly or indirectly connected through wired or wireless communication, which is not limited in this application.
以服务器为例,例如可以是部署在云端的服务器集群,向对象开放人工智能云服务(AI as a Service,AIaaS),AIaaS平台会把几类常见的AI服务进行拆分,并在云端提供独立或者打包的服务,这种服务模式类似于一个AI主题商城,所有的对象都可以通过应用程序编程接口的方式来接入使用AIaaS平台提供的一种或者多种人工智能服务。Taking a server as an example, for example, it can be a server cluster deployed in the cloud to open artificial intelligence cloud services (AI as a Service, AIaaS) to objects. The AIaaS platform will split several types of common AI services and provide independent services in the cloud. Or packaged services. This service model is similar to an AI-themed mall. All objects can access one or more artificial intelligence services provided by the AIaaS platform through application programming interfaces.
例如,其中的一种人工智能云服务可以为网络请求处理服务,即云端的服务器封装有本申请实施例提供的网络请求处理的程序。对象通过终端(运行有客户端,例如WiFi助手客户端)调用云服务中的网络请求处理服务,以使部署在云端的服务器调用封装的网络请求处理的程序,对目标对象的特征数据集合以及行动轨迹进行特征提取处理,得到目标对象针对行动轨迹的对象特征,基于目标对象针对行动轨迹的对象特征,对目标对象的行动轨迹进行轨迹分类处理,得到行动轨迹所属的轨迹类别,基于行动轨迹所属的轨迹类别进行基于元学习的兴趣点预测处理,得到行动轨迹将要途径的目标兴趣点,针对目标对象应用与目标兴趣点匹配的网络服务模式,以提高兴趣点预测的准确性,从而基于准确的目标兴趣点进行针对性的网络服务模式应用,从而提高网络请求处理的准确性。For example, one of the artificial intelligence cloud services may be a network request processing service, that is, a server in the cloud is encapsulated with the network request processing program provided by the embodiment of the present application. The object calls the network request processing service in the cloud service through the terminal (running a client, such as a WiFi assistant client), so that the server deployed in the cloud can call the encapsulated network request processing program, the feature data collection and action of the target object The trajectory is subjected to feature extraction processing to obtain the object characteristics of the target object for the action trajectory. Based on the object characteristics of the target object for the action trajectory, the trajectory classification processing is performed on the action trajectory of the target object, and the trajectory category to which the action trajectory belongs is obtained. Meta-learning-based interest point prediction processing is performed on the trajectory category, and the target interest point that the action trajectory will pass through is obtained, and the network service mode matching the target interest point is applied to the target object to improve the accuracy of interest point prediction. Points of interest are applied in targeted network service mode, thereby improving the accuracy of network request processing.
参见图1,图1是本申请实施例提供的网络请求处理系统10的应用场景示意图,终端200通过网络300连接服务器100,网络300可以是广域网或者局域网,又或者是二者的组合。Referring to FIG. 1, FIG. 1 is a schematic diagram of an application scenario of the network
终端(运行有客户端,例如WiFi助手客户端)可以被用来获取针对兴趣点的预测请求,例如,对象携带终端进行移动,改变了当前所在的兴趣点,终端自动获取针对兴趣点的预测请求(包括目标对象(例如对象或者终端)的行动轨迹)。A terminal (running a client, such as a WiFi assistant client) can be used to obtain prediction requests for points of interest. For example, if an object moves with the terminal and changes the current POI, the terminal automatically obtains prediction requests for points of interest (Including the action trajectory of the target object (eg, object or terminal)).
在一些实施例中,终端200中运行的客户端中可以植入有网络请求处理插件,用以在客户端本地实现基于人工智能的网络请求处理方法。例如,终端200调用网络请求处理插件,以实现基于人工智能的网络请求处理方法,对目标对象的特征数据集合以及行动轨迹进行特征提取处理,得到目标对象针对行动轨迹的对象特征,基于目标对象针对行动轨迹的对象特征,对目标对象的行动轨迹进行轨迹分类处理,得到行动轨迹所属的轨迹类别,基于行动轨迹所属的轨迹类别进行基于元学习的兴趣点预测处理,得到行动轨迹将要途径的目标兴趣点,针对目标对象应用与目标兴趣点匹配的网络服务模式,以提高兴趣点预测的准确性,从而基于准确的目标兴趣点进行针对性的网络服务模式应用,从而提高网络请求处理的准确性,例如针对WiFi助手,当预测的目标兴趣点为咖啡厅时,将推送WiFi加强应用至目标对象;当预测的目标兴趣点为住宅小区时,将推送WiFi保护应用至目标对象;当预测的目标兴趣点为奶茶店时,将推送游戏加速应用至目标对象。In some embodiments, a network request processing plug-in may be embedded in the client running in the terminal 200, so as to implement the artificial intelligence-based network request processing method locally on the client. For example, the terminal 200 invokes a network request processing plug-in to implement a network request processing method based on artificial intelligence, and performs feature extraction processing on the feature data set of the target object and the action trajectory, so as to obtain the object characteristics of the target object for the action trajectory, based on the target object for the target object. The object features of the action track, the action track of the target object is classified and processed to obtain the track category to which the action track belongs, and the interest point prediction processing based on meta-learning is performed based on the track category to which the action track belongs, and the target interest of the action track will be obtained. point, apply the network service mode matching the target POI to the target object to improve the accuracy of POI prediction, so as to apply the targeted network service mode based on the accurate target POI, thereby improving the accuracy of network request processing, For example, for the WiFi assistant, when the predicted target POI is a coffee shop, the WiFi enhancement application will be pushed to the target object; when the predicted target POI is a residential area, the WiFi protection application will be pushed to the target object; when the predicted target POI is the target object When you click on the milk tea shop, push the game acceleration application to the target object.
在一些实施例中,终端200获取针对兴趣点的预测请求后,调用服务器100的网络请求处理接口(可以提供为云服务的形式,即网络请求处理服务),服务器100基于针对兴趣点的预测请求,对目标对象的特征数据集合以及行动轨迹进行特征提取处理,得到目标对象针对行动轨迹的对象特征,基于目标对象针对行动轨迹的对象特征,对目标对象的行动轨迹进行轨迹分类处理,得到行动轨迹所属的轨迹类别,基于行动轨迹所属的轨迹类别进行基于元学习的兴趣点预测处理,得到行动轨迹将要途径的目标兴趣点,并将行动轨迹将要途径的目标兴趣点发送至终端200,终端200针对目标对象应用与目标兴趣点匹配的网络服务模式,以提高兴趣点预测的准确性,从而基于准确的目标兴趣点进行针对性的网络服务模式应用,从而提高网络请求处理的准确性,例如针对WiFi助手,当预测的目标兴趣点为咖啡厅时,将推送WiFi加强应用至目标对象;当预测的目标兴趣点为住宅小区时,将推送WiFi保护应用至目标对象;当预测的目标兴趣点为奶茶店时,将推送游戏加速应用至目标对象。In some embodiments, after acquiring the prediction request for the POI, the terminal 200 invokes the network request processing interface of the server 100 (which may be provided in the form of a cloud service, that is, a network request processing service), and the server 100 based on the prediction request for the POI , perform feature extraction processing on the feature data set of the target object and the action track, and obtain the object feature of the target object for the action track. The track category to which the action track belongs, the meta-learning-based interest point prediction process is performed based on the track category to which the action track belongs, to obtain the target interest point to be routed by the action track, and send the target interest point to be routed by the action track to the terminal 200, and the terminal 200 aims at The target object applies a network service mode that matches the target POI to improve the accuracy of POI prediction, so as to apply a targeted network service mode based on the accurate target POI, thereby improving the accuracy of network request processing, such as for WiFi Assistant, when the predicted target POI is a coffee shop, it will push the WiFi enhanced application to the target object; when the predicted target POI is a residential area, it will push the WiFi protection application to the target object; when the predicted target POI is milk tea When the store is launched, it will push the game acceleration application to the target object.
在一些实施例中,终端或服务器可以通过运行计算机程序来实现本申请实施例提供的基于人工智能的网络请求处理方法,计算机程序为如图1示出的终端200中运行的客户端,例如,计算机程序可以是操作系统中的原生程序或软件模块;可以是本地(Native)应用程序(APP,Application),即需要在操作系统中安装才能运行的程序;也可以是小程序,即只需要下载到浏览器环境中就可以运行的程序;还可以是能够嵌入至任意APP中的小程序。总而言之,上述计算机程序可以是任意形式的应用程序、模块或插件。In some embodiments, the terminal or server may implement the artificial intelligence-based network request processing method provided by the embodiments of the present application by running a computer program, where the computer program is a client running in the terminal 200 shown in FIG. 1 , for example, The computer program can be a native program or software module in the operating system; it can be a native application program (APP, Application), that is, a program that needs to be installed in the operating system to run; it can also be a small program, that is, it only needs to be downloaded A program that can be run in a browser environment; it can also be a small program that can be embedded in any APP. In summary, the above-mentioned computer programs may be any form of application, module or plug-in.
在一些实施例中,多个服务器可组成为一区块链,而服务器100为区块链上的节点,区块链中的每个节点之间可以存在信息连接,节点之间可以通过上述信息连接进行信息传输。其中,本申请实施例提供的基于人工智能的网络请求处理方法所相关的数据(例如网络请求处理的逻辑、行动轨迹将要途径的目标兴趣点)可保存于区块链上。In some embodiments, multiple servers may form a blockchain, and the server 100 is a node on the blockchain. There may be an information connection between each node in the blockchain, and the above information may be passed between the nodes. Connection for information transfer. Among them, the data related to the artificial intelligence-based network request processing method provided by the embodiment of the present application (such as the logic of network request processing, the target point of interest to be routed by the action trajectory) can be stored on the blockchain.
下面说明本申请实施例提供的用于网络请求处理的电子设备的结构,参见图2,图2是本申请实施例提供的用于网络请求处理的电子设备500的结构示意图。以电子设备500是终端为例说明,图2所示的用于知识生成的电子设备500包括:至少一个处理器510、存储器550、至少一个网络接口520和用户接口530。电子设备500中的各个组件通过总线系统540耦合在一起。可理解,总线系统540用于实现这些组件之间的连接通信。总线系统540除包括数据总线之外,还包括电源总线、控制总线和状态信号总线。但是为了清楚说明起见,在图2中将各种总线都标为总线系统540。The following describes the structure of the electronic device for network request processing provided by the embodiment of the present application. Referring to FIG. 2 , FIG. 2 is a schematic structural diagram of the electronic device 500 for network request processing provided by the embodiment of the present application. Taking the electronic device 500 as a terminal as an example, the electronic device 500 for knowledge generation shown in FIG. 2 includes: at least one processor 510 , memory 550 , at least one network interface 520 and user interface 530 . The various components in electronic device 500 are coupled together by
处理器510可以是一种集成电路芯片,具有信号的处理能力,例如通用处理器、数字信号处理器(DSP,Digital Signal Processor),或者其他可编程逻辑器件、分立门或者晶体管逻辑器件、分立硬件组件等,其中,通用处理器可以是微处理器或者任何常规的处理器等。The processor 510 may be an integrated circuit chip with signal processing capabilities, such as a general-purpose processor, a digital signal processor (DSP, Digital Signal Processor), or other programmable logic devices, discrete gate or transistor logic devices, discrete hardware components, etc., where a general-purpose processor may be a microprocessor or any conventional processor or the like.
存储器550包括易失性存储器或非易失性存储器,也可包括易失性和非易失性存储器两者。其中,非易失性存储器可以是只读存储器(ROM,Read Only Memory),易失性存储器可以是随机存取存储器(RAM,Random Access Memory)。本申请实施例描述的存储器550旨在包括任意适合类型的存储器。存储器550可选地包括在物理位置上远离处理器510的一个或多个存储设备。Memory 550 includes volatile memory or non-volatile memory, and may also include both volatile and non-volatile memory. The non-volatile memory may be a read only memory (ROM, Read Only Memory), and the volatile memory may be a random access memory (RAM, Random Access Memory). The memory 550 described in the embodiments of the present application is intended to include any suitable type of memory. Memory 550 optionally includes one or more storage devices that are physically remote from processor 510 .
在一些实施例中,存储器550能够存储数据以支持各种操作,这些数据的示例包括程序、模块和数据结构或者其子集或超集,下面示例性说明。In some embodiments, memory 550 is capable of storing data to support various operations, examples of which include programs, modules, and data structures, or subsets or supersets thereof, as exemplified below.
操作系统551,包括用于处理各种基本系统服务和执行硬件相关任务的系统程序,例如框架层、核心库层、驱动层等,用于实现各种基础业务以及处理基于硬件的任务;The operating system 551 includes system programs for processing various basic system services and performing hardware-related tasks, such as a framework layer, a core library layer, a driver layer, etc., for implementing various basic services and processing hardware-based tasks;
网络通信模块552,用于经由一个或多个(有线或无线)网络接口520到达其他计算设备,示例性的网络接口520包括:蓝牙、无线相容性认证(WiFi)、和通用串行总线(USB,Universal Serial Bus)等;A network communication module 552 for reaching other computing devices via one or more (wired or wireless) network interfaces 520, exemplary network interfaces 520 including: Bluetooth, Wireless Compatibility (WiFi), and Universal Serial Bus ( USB, Universal Serial Bus), etc.;
在一些实施例中,本申请实施例提供的基于人工智能的网络请求处理装置可以采用软件方式实现,本申请实施例提供的基于人工智能的网络请求处理装置可以提供为各种软件实施例,包括应用程序、软件、软件模块、脚本或代码在内的各种形式。In some embodiments, the artificial intelligence-based network request processing apparatus provided by the embodiments of the present application may be implemented in software, and the artificial intelligence-based network request processing apparatus provided by the embodiments of the present application may be provided as various software embodiments, including Various forms including applications, software, software modules, scripts or codes.
图2示出了存储在存储器550中的基于人工智能的网络请求处理装置555,其可以是程序和插件等形式的软件,并包括一系列的模块,包括获取模块5551、特征提取模块5552、分类模块5553、预测模块5554以及应用模块5555,这些模块是逻辑上的,因此根据所实现的功能可以进行任意的组合或进一步拆分,将在下文中说明各个模块的功能。2 shows an artificial intelligence-based network request processing device 555 stored in the memory 550, which can be software in the form of programs and plug-ins, and includes a series of modules, including an acquisition module 5551, a feature extraction module 5552, a classification module The module 5553, the prediction module 5554 and the application module 5555 are logical, and therefore can be arbitrarily combined or further split according to the functions implemented, and the functions of each module will be described below.
如前所述,本申请实施例提供的基于人工智能的网络请求处理方法可以由各种类型的电子设备实施。参见图3A,图3A是本申请实施例提供的基于人工智能的网络请求处理方法的流程示意图,结合图3A示出的步骤进行说明。As mentioned above, the artificial intelligence-based network request processing method provided by the embodiments of the present application may be implemented by various types of electronic devices. Referring to FIG. 3A , FIG. 3A is a schematic flowchart of an artificial intelligence-based network request processing method provided by an embodiment of the present application, which is described in conjunction with the steps shown in FIG. 3A .
步骤101中,获取目标对象的特征数据集合以及行动轨迹,其中,行动轨迹包括至少一个途径的历史兴趣点。In
在获取目标对象的特征数据集合以及行动轨迹之前,在目标对象携带的终端的显示界面显示信息获取的许可弹窗,该许可弹窗用于提示特征数据集合以及行动轨迹这些数据的获取、使用、处理等需要获得用户许可、授权或者同意,当许可弹窗上的同意按钮被触发时,说明目标对象的特征数据集合以及行动轨迹这些数据的获取、使用、处理等已获得用户许可、授权或者同意。Before acquiring the feature data set and action trajectory of the target object, a permission pop-up window for information acquisition is displayed on the display interface of the terminal carried by the target object. The permission pop-up window is used to prompt the acquisition, use, Processing, etc. requires the user's permission, authorization or consent. When the consent button on the permission pop-up window is triggered, it indicates that the acquisition, use, and processing of the target object's characteristic data set and action trajectory have obtained the user's permission, authorization, or consent. .
作为获取目标对象的特征数据集合以及行动轨迹的示例,在目标对象的特征数据集合以及行动轨迹这些数据的获取、使用、处理等已获得用户许可、授权或者同意的情况下,当目标对象(即真实对象)携带终端进行移动,改变了当前所在的兴趣点,终端自动获取针对兴趣点的预测请求(包括目标对象的行动轨迹),并将针对兴趣点的预测请求发送至服务器,服务器解析针对兴趣点的预测请求,获取目标对象的账号,并基于目标对象的账号在分布式文件系统(HDFS,The Hadoop Distributed File System)中获取目标对象的特征数据集合。As an example of acquiring the feature data set and action trajectory of the target object, if the acquisition, use, processing, etc. of the target object's feature data set and action trajectory data have obtained the user's permission, authorization or consent, when the target object (ie real object) carrying the terminal to move, changing the current point of interest, the terminal automatically obtains the prediction request for the point of interest (including the action trajectory of the target object), and sends the prediction request for the point of interest to the server, and the server parses the prediction request for the point of interest Point prediction request, obtain the account of the target object, and obtain the feature data set of the target object in the distributed file system (HDFS, The Hadoop Distributed File System) based on the account of the target object.
需要说明的是,特征数据集合包括基础特征数据集合、业务垂直类型特性。基于对象历史行为数据,构建出丰富的基础特征,包括:对象基础属性、设备基础属性、网络连接属性等。例如,对象基础属性(年龄:男)、设备基础属性(手机品牌:XX)、网络连接属性(本周连接Wi-Fi次数为10次)。基于业务特性,构建业务垂直类型特征,垂直类型特征包括对象对特定类型推荐信息的点击率、转化率等。在获取目标对象的特征数据集合之前,能够预先构建各种对象的特征数据集合,并存储至HDFS,以便后续能够快速根据目标对象的账号,获取目标对象的特征数据集合。It should be noted that the feature data set includes a basic feature data set and business vertical type characteristics. Based on the historical behavior data of the object, a rich basic feature is constructed, including: basic object attributes, basic device attributes, network connection attributes, etc. For example, the basic attribute of the object (age: male), the basic attribute of the device (mobile phone brand: XX), and the network connection attribute (the number of times of Wi-Fi connection this week is 10). Based on business characteristics, construct business vertical type features, which include the click rate and conversion rate of objects to specific types of recommended information. Before acquiring the feature data set of the target object, the feature data set of various objects can be pre-built and stored in HDFS, so that the feature data set of the target object can be quickly obtained according to the account number of the target object in the future.
需要说明的是,在本申请实施例中,涉及到目标对象的特征数据集合以及行动轨迹,当本申请实施例运用到具体产品或技术中时,这些数据的获取、使用、处理等需要获得用户许可、授权或者同意,且相关数据、信息等的收集、使用和处理需要遵守相关国家和地区的相关法律法规和标准。It should be noted that, in the embodiments of the present application, the feature data sets and action trajectories of the target object are involved. When the embodiments of the present application are applied to specific products or technologies, the acquisition, use, processing, etc. of these data needs to obtain the user License, authorization or consent, and the collection, use and processing of relevant data and information need to comply with relevant laws, regulations and standards of relevant countries and regions.
步骤102中,对目标对象的特征数据集合以及行动轨迹进行特征提取处理,得到目标对象针对行动轨迹的对象特征。In
例如,在获取目标对象的特征数据集合以及行动轨迹后,需要通过特征提取模型进行特征提取,以获取目标对象针对行动轨迹的对象特征,后续能够基于目标对象针对行动轨迹的对象特征进行轨迹分类。其中,目标对象针对行动轨迹的对象特征包括能够准确表示目标对象的特征数据集合以及行动轨迹的特征。For example, after obtaining the feature data set and action trajectory of the target object, feature extraction needs to be performed through a feature extraction model to obtain the object features of the target object for the action trajectory, and then the trajectory classification can be performed based on the object features of the target object for the action trajectory. Wherein, the object feature of the target object with respect to the action track includes a feature data set that can accurately represent the target object and the feature of the action track.
参见图3B,图3B是本申请实施例提供的基于人工智能的网络请求处理方法的一个可选的流程示意图,图3A示出的步骤102通过图3B中的步骤1021-步骤1022实现:在步骤1021中,对目标对象的特征数据集合以及行动轨迹进行融合处理,得到目标对象的融合信息;对目标对象的融合信息进行特征提取处理,得到目标对象针对行动轨迹的对象特征。Referring to FIG. 3B , FIG. 3B is an optional schematic flowchart of an artificial intelligence-based network request processing method provided by an embodiment of the present application. Step 102 shown in FIG. 3A is implemented by
例如,将目标对象的特征数据集合以及行动轨迹共同作为输入,以进行特征提取处理,提取到目标对象针对行动轨迹的对象特征。其中,对目标对象的特征数据集合以及行动轨迹进行融合处理,可以通过以下方案实现:方案1、对目标对象的特征数据集合以及行动轨迹进行拼接处理,得到目标对象的融合信息,从而通过简单的拼接操作,能够输入所有的目标对象的特征数据集合以及行动轨迹,避免遗漏信息;方案2、对目标对象的特征数据集合以及行动轨迹进行加权求和处理,得到目标对象的融合信息,从而考虑到目标对象的特征数据集合以及行动轨迹的重要性,以准确提取目标对象针对行动轨迹的对象特征。For example, the feature data set of the target object and the action track are used as input to perform feature extraction processing, and the object features of the target object for the action track are extracted. Among them, the fusion processing of the feature data set and the action trajectory of the target object can be realized by the following schemes:
在一些实施例中,特征提取处理是通过特征提取模型实现的,特征提取模型包括多个级联的特征提取层;对目标对象的融合信息进行特征提取处理,得到目标对象针对行动轨迹的对象特征,包括:通过多个级联的特征提取层中的第一个特征提取层,对目标对象的融合信息进行特征提取处理;将第一个特征提取层的特征提取结果输出到后续级联的特征提取层,通过后续级联的特征提取层继续进行特征提取处理和特征提取结果输出,直至输出到最后一个特征提取层;将最后一个特征提取层输出的特征提取结果作为目标对象针对行动轨迹的对象特征。In some embodiments, the feature extraction process is implemented by a feature extraction model, and the feature extraction model includes a plurality of cascaded feature extraction layers; the feature extraction process is performed on the fusion information of the target object to obtain the object features of the target object for the action trajectory , including: performing feature extraction processing on the fusion information of the target object through the first feature extraction layer in multiple cascaded feature extraction layers; outputting the feature extraction results of the first feature extraction layer to the subsequent cascaded features Extraction layer, continue to perform feature extraction processing and feature extraction result output through subsequent cascaded feature extraction layers until output to the last feature extraction layer; take the feature extraction result output by the last feature extraction layer as the target object for the object of the action trajectory feature.
例如,特征提取模型(由特征提取器实现)包括级联的特征提取层,通过级联的特征提取层依次进行特征提取,从而通过级联的特征提取处理,能够获取精度渐进的对象特征,最后获取准确包含所有语义信息的对象特征,以准确表征目标对象的特征数据集合以及行动轨迹。For example, a feature extraction model (implemented by a feature extractor) includes cascaded feature extraction layers, and feature extraction is performed in sequence through the cascaded feature extraction layers, so that through the cascaded feature extraction process, object features with progressive accuracy can be obtained, and finally Obtain object features that accurately contain all semantic information to accurately characterize the feature data set and action trajectory of the target object.
例如,通过第1个特征提取层,对目标对象的融合信息进行特征提取处理;将第1个特征提取层的特征提取结果输出到地2个特征提取层,通过地2个特征提取层继续进行特征提取处理和特征提取结果输出,迭代特征提取处理和特征提取结果输出,将最后一个特征提取层输出的特征提取结果作为目标对象针对行动轨迹的对象特征。For example, through the first feature extraction layer, the feature extraction process is performed on the fusion information of the target object; the feature extraction results of the first feature extraction layer are output to the first two feature extraction layers, and the process continues through the first two feature extraction layers. Feature extraction processing and feature extraction result output, iterative feature extraction processing and feature extraction result output, and the feature extraction result output by the last feature extraction layer as the object feature of the target object for the action trajectory.
在一些实施例中,通过后续级联的特征提取层继续进行特征提取处理和特征提取结果输出,包括:通过多个级联的特征提取层的第j个特征提取层执行以下处理:对第j-1个特征提取层的特征提取结果进行随机卷积处理,得到第j个深层特征;对第j个深层特征进行池化处理,得到第j个特征提取层的特征提取结果;通过第j个特征提取层输出第j个特征提取层的特征提取结果;其中,j为递增的自然数且取值范围为1<j≤N,N为特征提取层的数量,N为大于1的正整数。In some embodiments, continuing feature extraction processing and feature extraction result output through subsequent cascaded feature extraction layers includes: performing the following processing through the jth feature extraction layer of the multiple cascaded feature extraction layers: for the jth feature extraction layer - Perform random convolution on the feature extraction results of the 1 feature extraction layer to obtain the jth deep feature; perform pooling processing on the jth deep feature to obtain the feature extraction result of the jth feature extraction layer; The feature extraction layer outputs the feature extraction result of the jth feature extraction layer; among them, j is an increasing natural number and the value range is 1<j≤N, N is the number of feature extraction layers, and N is a positive integer greater than 1.
例如,如图9所示,每一层特征提取层包括随机卷积层以及池化层。通过第j个特征提取层中的随机卷积层对第j-1个特征提取层的特征提取结果进行随机卷积处理,利用卷积层挖掘输入序列(目标对象的特征数据集合以及行动轨迹)的深层特征,得到第j个深层特征,通过第j个特征提取层中的池化层对第j个深层特征进行池化处理,利用池化层去除冗余特征,得到第j个特征提取层的特征提取结果,通过第j个特征提取层输出第j个特征提取层的特征提取结果。For example, as shown in Figure 9, each feature extraction layer includes a random convolution layer and a pooling layer. Perform random convolution processing on the feature extraction results of the j-1th feature extraction layer through the random convolution layer in the jth feature extraction layer, and use the convolution layer to mine the input sequence (the feature data set of the target object and the action trajectory) The deep feature of the jth is obtained, the jth deep feature is obtained, the jth deep feature is pooled by the pooling layer in the jth feature extraction layer, and the redundant feature is removed by the pooling layer, and the jth feature extraction layer is obtained. The feature extraction result of , and the feature extraction result of the jth feature extraction layer is output through the jth feature extraction layer.
需要说明的是,随机卷积层类似卷积神经网络(CNN,Convolutional NeuralNetwork)中的卷积层,通过卷积操作学习输入向量的局部特征表示。与CNN中的卷积层不同的是,随机卷积层中的卷积核中的每个元素都是随机生成的,不需要微调,以提高模型训练的速度。It should be noted that the random convolution layer is similar to the convolution layer in the Convolutional Neural Network (CNN, Convolutional Neural Network), which learns the local feature representation of the input vector through the convolution operation. Different from the convolution layer in CNN, each element in the convolution kernel in the random convolution layer is randomly generated and does not require fine-tuning to improve the speed of model training.
步骤103中,基于目标对象针对行动轨迹的对象特征,对目标对象的行动轨迹进行轨迹分类处理,得到行动轨迹所属的轨迹类别。In
例如,在提取到目标对象针对行动轨迹的对象特征后,通过轨迹分类模型进行轨迹分类处理,得到行动轨迹所属的轨迹类别,以便后续基于行动轨迹所属的轨迹类别进行兴趣点预测,提高兴趣点预测的准确性。For example, after extracting the object features of the target object for the action trajectory, the trajectory classification model is used for trajectory classification processing to obtain the trajectory category to which the action trajectory belongs, so that the interest point prediction can be performed based on the trajectory category to which the action trajectory belongs, and the interest point prediction can be improved. accuracy.
例如,轨迹类别为行动轨迹归属的对象模式,例如轨迹类别为上班类型(即上班族)、上学类别(即学生)、逛街类别(即购物者)、游戏类型(游戏玩家)等。For example, the trajectory category is the object pattern to which the action trajectory belongs, for example, the trajectory category is work type (ie office worker), school category (ie student), shopping category (ie shopper), game type (gamer) and so on.
参见图3C,图3C是本申请实施例提供的基于人工智能的网络请求处理方法的一个可选的流程示意图,图3A示出的步骤102通过图3C中的步骤1031-步骤1032实现:在步骤1031中,对目标对象针对行动轨迹的对象特征进行时序编码处理,得到行动轨迹的时序特征;在步骤1032中,对行动轨迹的时序特征进行映射处理,得到行动轨迹所属的轨迹类别。Referring to FIG. 3C, FIG. 3C is an optional schematic flowchart of an artificial intelligence-based network request processing method provided by an embodiment of the present application. Step 102 shown in FIG. 3A is implemented by
例如,轨迹分类模型由双向长短时记忆网络(BLSTM,Bidirectional Long Short-Term Memory)实现,通过BLSTM对目标对象针对行动轨迹的对象特征进行时序编码处理,以提取目标对象针对行动轨迹的对象特征的过去和未来的时间信息,得到行动轨迹的时序特征,并对行动轨迹的时序特征进行映射处理,得到行动轨迹所属的轨迹类别。For example, the trajectory classification model is implemented by a bidirectional long short-term memory network (BLSTM, Bidirectional Long Short-Term Memory). The BLSTM is used to perform time-series coding processing on the object features of the target object for the action track to extract the target object for the action track. The time information of the past and the future is used to obtain the time series feature of the action track, and the time series feature of the action track is mapped to obtain the track category to which the action track belongs.
在一些实施例中,对目标对象针对行动轨迹的对象特征进行时序编码处理,得到行动轨迹的时序特征,包括:对目标对象针对行动轨迹的对象特征进行正向时序编码处理,得到行动轨迹的正向时序特征;对目标对象针对行动轨迹的对象特征进行反向时序编码处理,得到行动轨迹的反向时序特征;对正向时序特征以及反向时序特征进行拼接处理,得到行动轨迹的时序特征。In some embodiments, performing time-series coding processing on the object features of the target object for the action track to obtain the time-series features of the action track includes: performing forward time-series encoding processing on the object features of the target object for the action track to obtain the positive time-series features of the action track. Forward timing features; perform reverse timing coding processing on the object features of the target object for the action trajectory to obtain the reverse timing features of the action trajectory; splicing the forward timing features and reverse timing features to obtain the timing features of the action trajectory.
例如,BLSTM是正向时间递归神经网络算法(LSTM,Long Short-Term Memory)和反向LSTM算法的结合,通过正向LSTM提取行动轨迹的正向时序特征,通过反向LSTM提取行动轨迹的反向时序特征,并拼接正向时序特征以及反向时序特征,以获取行动轨迹的时序特征,通过行动轨迹的时序特征反映目标对象的行动轨迹的时间依赖关系,用于提取目标对象的行动轨迹过去和未来的时间信息。For example, BLSTM is a combination of a forward temporal recurrent neural network algorithm (LSTM, Long Short-Term Memory) and a reverse LSTM algorithm. The forward temporal features of the action trajectory are extracted through the forward LSTM, and the reverse direction of the action trajectory is extracted through the reverse LSTM. Time series features, and splicing forward time series features and reverse time series features to obtain the time series features of the action trajectory, reflecting the time dependency of the target object’s action trajectory through the action trajectory’s time series features, used to extract the target object’s action trajectory past and future time information.
在一些实施例中,对目标对象针对行动轨迹的对象特征进行正向时序编码处理,得到行动轨迹的正向时序特征,包括:基于第i-1个正向时序特征对对象特征进行基于遗忘门的正向筛选处理,得到遗忘门的正向输出特征;基于第i-1个正向时序特征对对象特征进行基于输入门的正向更新处理,得到输入门的正向输出特征;基于第i-1个正向时序特征对对象特征进行基于输出门的正向映射处理,得到输出门的正向输出特征;对遗忘门的正向输出特征、输入门的正向输出特征以及输出门的正向输出特征进行非线性映射处理,得到第i个正向时序特征;将M个正向时序特征的集合作为行动轨迹的正向时序特征;其中,i为递增的自然数且取值范围为1<i≤M,M为对象特征的特征数量,M为大于1的正整数。In some embodiments, performing forward sequential coding processing on the object feature of the target object for the action track to obtain the forward time sequence feature of the action track, including: performing a forget gate-based forget gate based on the i-1 th forward time sequence feature The forward screening process of the input gate is performed to obtain the forward output feature of the forget gate; the object feature is subjected to the forward update process based on the input gate based on the i-1th forward time sequence feature, and the forward output feature of the input gate is obtained; based on the i-th forward time series feature -1 forward time series feature performs forward mapping processing based on the output gate on the object feature, and obtains the forward output feature of the output gate; the forward output feature of the forget gate, the forward output feature of the input gate, and the positive output feature of the output gate are obtained. Perform nonlinear mapping processing on the output feature to obtain the i-th forward time series feature; use the set of M forward time series features as the forward time series feature of the action trajectory; where i is an increasing natural number and the value range is 1< i≤M, M is the number of features of the object feature, and M is a positive integer greater than 1.
例如,正向LSTM是由一系列的记忆单元组成。记忆单元包含三个门结构:遗忘门、输入门和输出门,正向LSTM能够通过三个门结构确定输入信息的保留和丢弃,实现输入信息的循环更新。输入序列xt(第t时刻的输入(第i-1个正向时序特征))经过遗忘门决定保留和忘记信息。信息的保留和忘记通过一个sigmoid函数来判断。若sigmoid值为0,则丢弃全部信息;若为1,则保留所有信息。For example, a forward LSTM is composed of a series of memory cells. The memory unit contains three gate structures: forget gate, input gate and output gate. Forward LSTM can determine the retention and discard of input information through the three gate structures, and realize cyclic update of input information. The input sequence xt (the input at the t-th time (the i-1th forward sequential feature)) passes through the forgetting gate to decide to retain and forget the information. The retention and forgetting of information is judged by a sigmoid function. If the sigmoid value is 0, all information is discarded; if it is 1, all information is retained.
基于第i-1个正向时序特征对对象特征进行基于遗忘门的正向筛选处理,得到遗忘门的正向输出特征ft=σ(Wf[xt,ht-1]+bf),其中,ft表示遗忘门在t时刻的输出,σ表示sigmoid函数,Wf表示遗忘门的权重,bf表示偏置。Based on the i-1 th forward time series feature, the object feature is subjected to the forward filtering process based on the forget gate, and the forward output feature of the forget gate ft =σ(Wf [xt ,ht-1 ]+bf is obtained ), where ft represents the output of the forget gate at time t, σ represents the sigmoid function, Wf represents the weight of the forget gate, and bf represents the bias.
基于第i-1个正向时序特征对对象特征进行基于输入门的正向更新处理,得到输入门的正向输出特征(it=σ(Wi[xt,ht-1]+bi)以及gt=tanh(Wg[xt,ht-1]+bg)),其中,it表示t时刻的输出,能够确定更新的信息。gt表示候选细胞信息。Based on the i-1th forward time series feature, the object feature is subjected to forward update processing based on the input gate, and the forward output feature of the input gate is obtained (it =σ(Wi [xt ,ht-1 ]+bi ) and gt =tanh(Wg [xt ,ht-1 ]+bg )), where it represents the output at time t, and the updated information can be determined.gt represents candidate cell information.
基于第i-1个正向时序特征对对象特征进行基于输出门的正向映射处理,得到输出门的正向输出特征ot=σ(Wo[xt,ht-1]+bo),输出门确定输出信息,通过sigmoid函数确定将哪些信息输出。Based on the i-1 th forward time series feature, the object feature is subjected to forward mapping processing based on the output gate, and the forward output feature of the output gate is obtained ot =σ(Wo [xt ,ht-1 ]+bo ), the output gate determines the output information, and the sigmoid function determines which information is output.
对遗忘门的正向输出特征、输入门的正向输出特征以及输出门的正向输出特征进行非线性映射处理,得到第i个正向时序特征Perform nonlinear mapping processing on the forward output feature of the forget gate, the forward output feature of the input gate, and the forward output feature of the output gate to obtain the i-th forward sequential feature.
在一些实施例中,对目标对象针对行动轨迹的对象特征进行反向时序编码处理,得到行动轨迹的反向时序特征,包括:基于第e+1个反向时序特征对对象特征进行基于遗忘门的反向筛选处理,得到遗忘门的反向输出特征;基于第e+1个反向时序特征对对象特征进行基于输入门的反向更新处理,得到输入门的反向输出特征;基于第e+1个反向时序特征对对象特征进行基于输出门的反向映射处理,得到输出门的反向输出特征;对遗忘门的反向输出特征、输入门的反向输出特征以及输出门的反向输出特征进行非线性映射处理,得到第e个反向时序特征;将M个反向时序特征的集合作为行动轨迹的反向时序特征;其中,e为递减的自然数且取值范围为1≤e≤M-1,M为对象特征的特征数量,M为大于1的正整数。In some embodiments, performing reverse temporal encoding processing on the object features of the target object for the action trajectory to obtain the reverse temporal features of the action track, including: performing a forget gate-based forget gate based on the e+1 th reverse temporal feature The reverse screening process of the input gate is performed to obtain the reverse output feature of the forget gate; based on the e+1 reverse sequence feature, the object feature is subjected to reverse update processing based on the input gate, and the reverse output feature of the input gate is obtained; +1 reverse sequence feature Perform reverse mapping processing based on the output gate on the object feature to obtain the reverse output feature of the output gate; reverse the output feature of the forget gate, the reverse output feature of the input gate and the reverse output gate of the output gate. Perform nonlinear mapping processing on the output feature to obtain the e-th reverse sequence feature; use the set of M reverse sequence features as the reverse sequence feature of the action trajectory; where e is a decreasing natural number and the value range is 1≤ e≤M-1, M is the number of features of the object feature, and M is a positive integer greater than 1.
例如,反向LSTM是由一系列的记忆单元组成。记忆单元包含三个门结构:遗忘门、输入门和输出门,反向LSTM能够通过三个门结构确定输入信息的保留和丢弃,实现输入信息的循环更新。输入序列xt(第t时刻的输入(第i-1个反向时序特征))经过遗忘门决定保留和忘记信息。信息的保留和忘记通过一个sigmoid函数来判断。若sigmoid值为0,则丢弃全部信息;若为1,则保留所有信息。For example, an inverse LSTM consists of a series of memory cells. The memory unit contains three gate structures: forget gate, input gate and output gate. Inverse LSTM can determine the retention and discard of input information through the three gate structures, and realize cyclic update of input information. The input sequence xt (the input at the t-th time (the i-1th reverse sequence feature)) passes through the forgetting gate to decide to retain and forget the information. The retention and forgetting of information is judged by a sigmoid function. If the sigmoid value is 0, all information is discarded; if it is 1, all information is retained.
基于第i-1个反向时序特征对对象特征进行基于遗忘门的反向筛选处理,得到遗忘门的反向输出特征ft’=σ(Wf’[xt,ht+1]+bf’),其中,ft’表示遗忘门在t时刻的输出,σ表示sigmoid函数,Wf’表示遗忘门的权重,bf’表示偏置。Based on the i-1 reverse time series feature, the object feature is subjected to the reverse screening process based on the forget gate, and the reverse output feature of the forget gate ft' =σ(Wf' [xt ,ht+1 ]+ bf' ), where ft' represents the output of the forget gate at time t, σ represents the sigmoid function, Wf' represents the weight of the forget gate, and bf' represents the bias.
基于第i-1个反向时序特征对对象特征进行基于输入门的反向更新处理,得到输入门的反向输出特征(it’=σ(Wi’[xt,ht+1]+bi’)以及gt’=tanh(Wg’[xt,ht+1]+bg’)),其中,it’表示t时刻的输出,能够确定更新的信息。gt’表示候选细胞信息。Based on the i-1 th reverse time series feature, perform reverse update processing based on the input gate on the object feature, and obtain the reverse output feature of the input gate (it' =σ(Wi' [xt ,ht+1 ] +bi' ) and gt '=tanh(Wg '[xt ,ht+1 ]+bg ')), where it' represents the output at time t, and the updated information can be determined.gt' represents candidate cell information.
基于第i-1个反向时序特征对对象特征进行基于输出门的反向映射处理,得到输出门的反向输出特征ot’=σ(Wo’[xt,ht+1]+bo’),输出门确定输出信息,通过sigmoid函数确定将哪些信息输出。Based on the i-1 th reverse time series feature, the object feature is subjected to the reverse mapping process based on the output gate, and the reverse output feature of the output gate ot' =σ(Wo' [xt ,ht+1 ]+ bo' ), the output gate determines the output information, and the sigmoid function determines which information is output.
对遗忘门的反向输出特征、输入门的反向输出特征以及输出门的反向输出特征进行非线性映射处理,得到第i个反向时序特征Perform nonlinear mapping processing on the reverse output feature of the forget gate, the reverse output feature of the input gate, and the reverse output feature of the output gate to obtain the i-th reverse sequential feature.
步骤104中,基于行动轨迹所属的轨迹类别进行基于元学习的兴趣点预测处理,得到行动轨迹将要途径的目标兴趣点。In
例如,通过元学习模型对行动轨迹所属的轨迹类别进行基于元学习的兴趣点预测处理,得到行动轨迹将要途径的目标兴趣点(即行动轨迹将要途径的下一个兴趣点)。通过元学习模型进行兴趣点预测,能够缓解行动轨迹稀疏问题,同时强制模型对行动轨迹的负样本不敏感,从而能够提升兴趣点预测的准确率。For example, a meta-learning-based interest point prediction process is performed on the trajectory category to which the action trajectory belongs through the meta-learning model, and the target interest point that the action trajectory will pass through (ie, the next interest point that the action trajectory will pass through) is obtained. Predicting interest points through a meta-learning model can alleviate the problem of sparse action trajectories, and at the same time force the model to be insensitive to negative samples of action trajectories, thereby improving the accuracy of interest point prediction.
在一些实施例中,兴趣点预测处理是通过元学习模型实现的,元学习模型的训练过程包括:基于行动轨迹所属的轨迹类别进行基于元学习的兴趣点预测处理,得到行动轨迹将要途径的目标兴趣点,包括:基于多个行动轨迹样本构建查询集和支持集,支持集包括至少一个支持子集,每个支持子集包括多个行动轨迹样本中的至少一个第一行动轨迹样本,不同的支持子集包括不同轨迹类别的行动轨迹样本,查询集包括多个行动轨迹样本中的至少一个第二行动轨迹样本;通过初始化的元学习模型执行以下处理:对支持子集包括的第一行动轨迹样本进行基于元学习的兴趣点预测处理,得到第一行动轨迹样本将要途径的第一预测兴趣点;对查询集包括的第二行动轨迹样本进行基于元学习的兴趣点预测处理,得到第二行动轨迹样本将要途径的第二预测兴趣点;基于第一预测兴趣点、第一行动轨迹样本对应的兴趣点标注、第二预测兴趣点、第二行动轨迹样本对应的兴趣点标注,构建元学习模型的损失函数;基于损失函数更新元学习模型的参数,将元学习模型的更新的参数作为训练后的元学习模型的参数。In some embodiments, the interest point prediction processing is implemented by a meta-learning model, and the training process of the meta-learning model includes: performing a meta-learning-based interest point prediction process based on the trajectory category to which the action trajectory belongs, to obtain a target to be routed by the action trajectory Points of interest, including: constructing a query set and a support set based on multiple action trajectory samples, the support set includes at least one support subset, each support subset includes at least one first action trajectory sample among the multiple action trajectory samples, different The support subset includes action trajectory samples of different trajectory categories, and the query set includes at least one second action trajectory sample among the plurality of action trajectory samples; the initialized meta-learning model performs the following processing: for the first action trajectory included in the support subset The sample is subjected to meta-learning-based interest point prediction processing, and the first predicted interest point that the first action trajectory sample will pass through is obtained; the second action trajectory sample included in the query set is subjected to meta-learning-based interest point prediction processing to obtain the second action. The second predicted interest point that the trajectory sample will pass through; the meta-learning model is constructed based on the first predicted interest point, the interest point label corresponding to the first action trajectory sample, the second predicted interest point, and the interest point label corresponding to the second action trajectory sample The loss function of ; update the parameters of the meta-learning model based on the loss function, and use the updated parameters of the meta-learning model as the parameters of the trained meta-learning model.
例如,确定元学习模型的损失函数的值后,可以判断损失函数的值是否达到预设阈值,当损失函数的值未达到预设阈值时,基于损失函数确定元学习模型的误差信号,将误差信息在元学习模型中反向传播,并在传播的过程中更新各个层的模型参数。For example, after determining the value of the loss function of the meta-learning model, it can be determined whether the value of the loss function reaches a preset threshold, and when the value of the loss function does not reach the preset threshold, the error signal of the meta-learning model is determined based on the loss function, and the error The information is back-propagated in the meta-learning model, and the model parameters of each layer are updated in the process of propagation.
这里,对反向传播进行说明,将训练样本数据输入到神经网络模型的输入层,经过隐藏层,最后达到输出层并输出结果,这是神经网络模型的前向传播过程,由于神经网络模型的输出结果与实际结果有误差,则计算输出结果与实际值之间的误差,并将该误差从输出层向隐藏层反向传播,直至传播到输入层,在反向传播的过程中,根据误差调整模型参数的值,即根据输出结果与实际值之间的误差构建损失函数,并逐层求出损失函数对模型参数的偏导数,生成损失函数对各层模型参数的梯度,由于梯度的方向表明误差扩大的方向,因此对模型参数的梯度取反,与以各层模型的原始参数求和,将得到的求和结果作为更新后的各层模型参数,从而减小模型参数引起的误差;不断迭代上述过程,直至收敛。其中,元学习模型属于神经网络模型。Here, the backpropagation is explained. The training sample data is input into the input layer of the neural network model, passes through the hidden layer, and finally reaches the output layer and outputs the result. This is the forward propagation process of the neural network model. If there is an error between the output result and the actual result, calculate the error between the output result and the actual value, and propagate the error back from the output layer to the hidden layer until it propagates to the input layer. In the process of back propagation, according to the error Adjust the value of the model parameters, that is, construct the loss function according to the error between the output result and the actual value, and obtain the partial derivative of the loss function to the model parameters layer by layer, and generate the gradient of the loss function to the model parameters of each layer, due to the direction of the gradient Indicates the direction of error expansion, so the gradient of the model parameters is reversed, and the original parameters of each layer model are summed, and the obtained summation result is used as the updated model parameters of each layer, thereby reducing the error caused by the model parameters; Iterate the above process continuously until convergence. Among them, the meta-learning model belongs to the neural network model.
步骤105中,针对目标对象应用与目标兴趣点匹配的网络服务模式。In
例如,在获取行动轨迹将要途径的下一个兴趣点后,能够针对下一个兴趣点应用针对性的网络服务模式应用,从而提高网络请求处理的准确性,例如,当下一个兴趣点为咖啡馆等场景,则应用WiFi加强应用,即可提升WiFi的速度;当下一个兴趣点为家庭、住宅小区或酒店等场景,则应用WiFi保护应用,即可实现WiFi保护功能;当下一个兴趣点为网吧等场景,则应用游戏加速应用,即可加速游戏的网络速度,避免卡顿。For example, after obtaining the next point of interest that the action trajectory will pass through, the targeted network service mode application can be applied to the next point of interest, thereby improving the accuracy of network request processing. For example, when the next point of interest is a cafe and other scenarios , the WiFi enhancement application can be used to increase the speed of WiFi; when the next point of interest is a home, residential area or hotel, etc., the WiFi protection application can be used to realize the WiFi protection function; when the next point of interest is an Internet cafe and other scenarios, Then apply the game acceleration application to speed up the network speed of the game and avoid stuttering.
在一些实施例中,针对目标对象应用与目标兴趣点匹配的网络服务模式,包括:基于目标兴趣点,查询不同兴趣点与候选网络服务模式的对应关系,将查询到的候选网络服务模式作为与目标兴趣点匹配的网络服务模式;显示网络服务模式的推荐信息;响应于基于推荐信息针对网络服务模式的应用操作,针对目标对象对应的终端应用网络服务模式。In some embodiments, applying a network service mode matching the target interest point to the target object includes: based on the target interest point, querying the correspondence between different interest points and candidate network service modes, and using the queried candidate network service mode as the The network service mode matched with the target interest point; the recommendation information of the network service mode is displayed; in response to the application operation for the network service mode based on the recommendation information, the network service mode is applied to the terminal corresponding to the target object.
例如,不同的兴趣点可能关联不同的网络服务模式,在确定了与目标兴趣点匹配的网络服务模式后,可以先向目标对象推荐与目标兴趣点匹配的网络服务模式,响应于目标对象的手动选择后,即可应用与目标兴趣点匹配的网络服务模式。从而考虑到当前目标对象的实际情况,可手动选择是否需要切换网络服务模式。For example, different POIs may be associated with different network service modes. After determining the network service mode matching the target POI, the network service mode matching the target POI can be recommended to the target object. Once selected, the web service mode that matches the target POI can be applied. Therefore, considering the actual situation of the current target object, whether to switch the network service mode can be manually selected.
在一些实施例中,针对目标对象应用与目标兴趣点匹配的网络服务模式,包括:基于目标兴趣点,查询不同兴趣点与候选网络服务模式的对应关系,将查询到的候选网络服务模式作为与目标兴趣点匹配的网络服务模式;针对目标对象对应的终端应用与目标兴趣点匹配的网络服务模式。In some embodiments, applying a network service mode matching the target interest point to the target object includes: based on the target interest point, querying the correspondence between different interest points and candidate network service modes, and using the queried candidate network service mode as the The network service mode matching the target POI; the network service mode matching the target POI for the terminal application corresponding to the target object.
例如,不同的兴趣点可能关联不同的网络服务模式,在确定了与目标兴趣点匹配的网络服务模式后,可以自动切换网络服务模式,以实现智能化的网络服务模式应用。For example, different POIs may be associated with different network service modes. After the network service mode matching the target POI is determined, the network service mode can be automatically switched to realize intelligent network service mode application.
需要说明的是,针对目标对象对应的终端应用与目标兴趣点匹配的网络服务模式,包括:获取目标对象对应的终端到目标兴趣点的距离;当距离小于距离阈值时,针对目标对象对应的终端应用与目标兴趣点匹配的网络服务模式。It should be noted that applying the network service mode matching the target interest point to the terminal corresponding to the target object includes: obtaining the distance from the terminal corresponding to the target object to the target interest point; when the distance is less than the distance threshold, applying the terminal corresponding to the target object to Apply a web service pattern that matches the target POI.
例如,只有当快到达目标兴趣点时,才会自动切换网络服务模式,避免后续目标对象改变了行程,不会到达目标兴趣点,应用错误的网络服务模式。For example, the network service mode will be automatically switched only when the target POI is about to be reached, so as to avoid the subsequent target object changing its itinerary, not reaching the target POI, and applying the wrong network service mode.
需要说明的是,当与目标兴趣点匹配的网络服务模式为多个时,针对目标对象对应的终端应用与目标兴趣点匹配的网络服务模式,包括:获取到达目标兴趣点时所处的目标时间段;从与目标兴趣点匹配的多个网络服务模式中,确定与目标时间段匹配的网络服务模式;针对目标对象对应的终端应用与目标时间段匹配的网络服务模式。It should be noted that when there are multiple network service modes matching the target POI, applying the network service mode matching the target POI to the terminal corresponding to the target object includes: obtaining the target time when the target POI is reached. segment; from multiple network service modes matching the target POI, determine the network service mode matching the target time period; apply the network service mode matching the target time period to the terminal corresponding to the target object.
例如,考虑到不同时间段可能应用的网络服务模式不同,因此,当与目标兴趣点匹配的网络服务模式为多个时,确定与当前时间匹配的网络服务模式,针对目标对象对应的终端应用与当前时间匹配的网络服务模式,从而提高网络服务模式应用的准确性。For example, considering that different network service modes may be applied in different time periods, when there are multiple network service modes matching the target POI, the network service mode matching the current time is determined, and the terminal application corresponding to the target object and the The network service mode that matches the current time, thereby improving the accuracy of the application of the network service mode.
下面,将说明本申请实施例在一个实际的应用场景中的示例性应用。Below, an exemplary application of the embodiments of the present application in a practical application scenario will be described.
本申请实施例可应用于各种对象移动模式识别的场景,例如对于WiFi助手,当预测到下一个POI后,及时推送WiFi各种场景下的应用,例如WiFi增强包等。The embodiments of the present application can be applied to various object movement pattern recognition scenarios. For example, for the WiFi assistant, when the next POI is predicted, applications in various WiFi scenarios, such as WiFi enhancement packages, are pushed in time.
需要说明的是,WiFi助手是一款WiFi管理软件,支持上亿公共WiFi热点,无需输入密码就可一键连接,并通过WiFi标准对这些热点进行全方位的安全、连接速度、网络质量等进行全面评估,确保无僵尸、风险、虚假WiFi。It should be noted that WiFi Assistant is a WiFi management software that supports hundreds of millions of public WiFi hotspots, one-click connection without entering a password, and comprehensive security, connection speed, network quality, etc. for these hotspots through WiFi standards. Comprehensive assessment to ensure no zombies, risks, fake WiFi.
对象对WiFi的场景需求,往往与对象的移动模式息息相关,比如对象当前的POI是在咖啡馆,那么可能对网络的速度具有较强的需求,此时基于产品推送“WiFi增强包”能带来较好的用户体验。因此,搭建一套高精准的对象移动模式识别系统,对于产品运营有着重要意义。The object's demand for WiFi scenarios is often closely related to the object's movement mode. For example, the object's current POI is in a coffee shop, so it may have a strong demand for the speed of the network. At this time, pushing the "WiFi Enhancement Pack" based on the product can bring better user experience. Therefore, building a high-precision object movement pattern recognition system is of great significance for product operation.
WiFi助手各个场景与强匹配的POI对应关系,如下所示:The corresponding relationship between each scenario of WiFi Assistant and the POI with strong matching is as follows:
场景1、如图4所示的WiFi增强包功能,用于服务对网络要求高的场景。在该场景下,对象对网络的速度和稳定性有较高要求。而WiFi助手的增强包能从技术角度实现WiFi的稳定度和速度的提升。当通过移动模式识别模型,识别到对象将处于咖啡馆或网吧等场景后,会主动推送如图4所示的WiFi加强包给对象,点击“立即体验”按钮401,即可提升WiFi的速度。数据显示,对象在咖啡馆和网吧的POI下,点击使用WiFi加强包的对象占比,比大盘随机对象高192%。
场景2、如图5所示的家庭WiFi保护计划(即WiFi保护功能),用于对象填写自己的家庭WiFi,以方便产品提供WiFi保护功能,保护功能包括:网速维护、连接WiFi对象数管理、防蹭网等。当通过移动模式识别模型,识别到对象将处于家庭、住宅小区或酒店等场景后,会主动推送如图5所示的家庭WiFi保护计划给对象,点击“确认”按钮501,即可实现WiFi保护功能。数据显示,对象在家庭、住宅小区和酒店的POI下,点击加入家庭WiFi保护计划的对象占比,比大盘随机对象高410%。
场景3、应用加速(例如,如图6A所示的视频加速以及如图6B所示的游戏加速)是WiFi助手基于技术手段对单点应用(App)提供的网速保护和专线网络的加速服务功能。当通过移动模式识别模型,识别到对象将处于奶茶店等场景后,会主动推送应用加速功能给对象,例如当对象在看视频时,向对象推送如图6A所示的视频加速,点击“启动加速”按钮601,即可加速视频的网络速度,避免卡顿;当对象在玩游戏时,向对象推送如图6B所示的游戏加速,点击“启动加速”602,即可加速游戏的网络速度,避免卡顿。数据显示,对象在奶茶店等POI下,点击使用应用加速的对象占比,比大盘随机对象高704%。
下面结合对象移动模式识别场景进行说明:The following description is combined with the object movement pattern recognition scene:
相关技术中具有如下对象移动模式识别的方法:The related art has the following methods for object movement pattern recognition:
A)基于人工经验确定数据规则。产品运营基于业务经验,设定人工识别的规则,比如“年纪为15-20岁、上一个访问POI为游戏厅”的对象,则该对象下一个POI为公交车或地铁的可能性更高。但是,这种方案不仅使用规则数量非常有限,而且无法捕捉规则之间交互的高维特征信息,最重要的是无法确定每个规则的最优参数。A) Determine data rules based on human experience. Product operation is based on business experience, and rules for manual identification are set. For example, if the object is "aged 15-20 years old, and the last POI visited was a game hall", the probability that the next POI of the object is a bus or subway is higher. However, this scheme not only uses a very limited number of rules, but also cannot capture the high-dimensional feature information of interactions between rules, and most importantly, cannot determine the optimal parameters of each rule.
B)基于非深度学习的数据挖掘方法,通过构建多维特征和模型训练的方法,预测当前对象属于不同移动模式的概率。但是,在对象移动模式识别场景,由于行为特征较为复杂,特征信息在数据表征上很难显式表达。B) Non-deep learning-based data mining methods, by constructing multi-dimensional features and model training methods, predict the probability that the current object belongs to different movement patterns. However, in the scene of object movement pattern recognition, it is difficult to express the feature information explicitly in the data representation due to the complex behavioral features.
为了解决上述问题,本申请实施例提供一种基于人工智能的网络请求处理方法,成功应用在对象移动模式识别的业务场景,为了解决移动模式识别中的位置恢复问题和轨迹用户链接识别的性能,本申请实施例利用特征提取器(由极限学习机实现)和双向长短时记忆网络(BLSTM,Bidirectional Long Short-Term Memory)相结合的算法框架,局部感受域的极限学习机用于挖掘输入序列的深层特征,并利用池化层去除冗余信息,双向长短时记忆网络用于提取输入序列的过去和未来的时间信息,以有效反映序列对时间的依赖关系。为了解决数据稀疏和模型容易受到负样本的影响问题,本申请实施例提出基于元学习框架(MetaMove),基于元学习网络,在元学习和自适应两个层次上使用无标签轨迹数据,缓解数据稀疏问题,同时强制模型对负样本不敏感。本申请实施例能够提升对象移动模式识别的准确率。In order to solve the above problems, the embodiment of the present application provides a network request processing method based on artificial intelligence, which is successfully applied in the business scenario of object movement pattern recognition, in order to solve the problem of position recovery in movement pattern recognition and the performance of trajectory user link recognition, The embodiment of the present application uses an algorithm framework combining a feature extractor (implemented by an extreme learning machine) and a bidirectional long short-term memory network (BLSTM, Bidirectional Long Short-Term Memory). The extreme learning machine of the local receptive field is used to mine the input sequence. Deep features, and use the pooling layer to remove redundant information, the bidirectional long and short-term memory network is used to extract the past and future temporal information of the input sequence to effectively reflect the sequence's dependence on time. In order to solve the problem of data sparseness and the model being easily affected by negative samples, the embodiments of this application propose a meta-learning framework (MetaMove) based on a meta-learning network, using unlabeled trajectory data at two levels of meta-learning and self-adaptation. Sparse problem while forcing the model to be insensitive to negative samples. The embodiments of the present application can improve the accuracy of object movement pattern recognition.
如图7所示的架构图,下面具体说明本申请实施例提供的基基于人工智能的网络请求处理方法:As shown in the architecture diagram in FIG. 7 , the artificial intelligence-based network request processing method provided by the embodiment of the present application is specifically described below:
本申请实施例的技术方案架构包括以下部分:The technical solution architecture of the embodiments of the present application includes the following parts:
1)样本准备。基于人工标注和业务经验,获取与业务强相关、数据分布正常、目标对象特征数据集合合理的正负训练样本。1) Sample preparation. Based on manual annotation and business experience, obtain positive and negative training samples with strong business correlation, normal data distribution, and reasonable target object feature data collection.
2)特征构建。构建训练样本的基础特征,并基于特征的垂直特性,结合时间维度、不同特征处理方法,产出高维特征向量。2) Feature construction. The basic features of the training samples are constructed, and based on the vertical characteristics of the features, combined with the time dimension and different feature processing methods, high-dimensional feature vectors are produced.
3)特征提取器。该算法用于提取序列中的局部空间特征和充分考虑序列中的长时间依赖关系。3) Feature Extractor. The algorithm is used to extract local spatial features in sequences and fully consider long-term dependencies in sequences.
4)元学习模型(MetaMove模型)。该模型基于元学习的挖掘人类移动模式的模型,并且将移动预测和分类模型统一在一个框架内,以输出预测的对象下一个POI的概率。4) Meta-learning model (MetaMove model). The model is based on a meta-learning model that mines human movement patterns, and unifies the movement prediction and classification models in one framework to output the probability of the predicted object's next POI.
下面结合图8具体说明样本准备、特征构建、特征提取器、BLSTM以及MetaMove模型:The following describes the sample preparation, feature construction, feature extractor, BLSTM and MetaMove model in detail with reference to Figure 8:
通过以下方式实现样本准备工作:Sample preparation is achieved by:
步骤1、基于人工标注或业务逻辑,获取带有标签(Label)标记的种子对象。
例如,基于筛选规则粗召回一批种子对象,然后基于人工筛查的方式进行过滤,最后基于业务逻辑进行验证。For example, a batch of seed objects is roughly recalled based on screening rules, then filtered based on manual screening, and finally verified based on business logic.
步骤2、获取种子对象的基础特征。Step 2: Obtain the basic features of the seed object.
例如,基础特征包括对象在应用内的一些非隐私行为数据,比如是否安装手机管家、是否使用手机管家骚扰拦截功能等。For example, the basic features include some non-private behavior data of the object in the application, such as whether to install the mobile housekeeper, whether to use the mobile housekeeper harassment blocking function, etc.
步骤3、计算异常对象类型评价指标。Step 3: Calculate the evaluation index of abnormal object type.
例如,在真实业务场景,会存在虚假对象、电脑操控手机的情况。为了剔除非真实对象对建模分析的影响,会基于业务经验设置异常对象检测指标,比如对象在应用内的流量使用情况、流量产生的时间分布等。For example, in real business scenarios, there will be fake objects and computers controlling mobile phones. In order to eliminate the influence of non-real objects on modeling and analysis, abnormal object detection indicators are set based on business experience, such as the traffic usage of objects in the application and the time distribution of traffic generation.
步骤4、基于分布异常定理,过滤异常种子对象。Step 4: Filter the abnormal seed objects based on the distribution anomaly theorem.
例如,使用“拉依达准则”进行异常值判断标准。具体做法如下:假设一组检测数据只含有随机误差,对其进行计算处理得到标准偏差,按设定概率确定一个区间,则认为凡超过这个区间的误差,就不属于随机误差而是粗大误差,含有该粗大误差的数据应予以剔除。For example, use the "Laida Criterion" for outlier judgment criteria. The specific method is as follows: Assuming that a set of test data only contains random errors, calculate and process them to obtain the standard deviation, and determine an interval according to the set probability, then it is considered that any errors exceeding this interval are not random errors but gross errors. Data with this gross error should be excluded.
通过以下方式实现特征构建工作:Feature building works by:
步骤5、构建对象特征。Step 5. Build object features.
需要说明的是,对象特征包括基础特征以及垂直类型特征,其中基础特征以及垂直类型特征的构建过程如下所示:It should be noted that the object features include basic features and vertical type features, and the construction process of the basic features and vertical type features is as follows:
1、构建基础特征。基于对象历史行为数据,构建出丰富的目标对象特征数据集合,包括:对象基础属性、设备基础属性、网络连接属性等。例如,对象基础属性(年龄:男)、设备基础属性(手机品牌:XX)、网络连接属性(本周连接Wi-Fi次数为10次)。1. Build basic features. Based on object historical behavior data, a rich set of target object feature data is constructed, including: object basic attributes, device basic attributes, network connection attributes, etc. For example, the basic attribute of the object (age: male), the basic attribute of the device (mobile phone brand: XX), and the network connection attribute (the number of times of Wi-Fi connection this week is 10).
2、基于业务特性,构建垂直类型特征。垂直类型特征包括对象对特定类型推荐信息的点击率、转化率等。2. Based on business characteristics, build vertical type characteristics. The vertical type features include the click-through rate, conversion rate, etc. of an object to a specific type of recommendation information.
步骤6、结合时间维度,构建聚合特征。Step 6. Combine the time dimension to construct aggregated features.
例如,聚合不同时间跨度的基础特征和业务特征,得到聚合特征。例如,计算对象最近半年、最近3个月、最近1个月、最近1周的聚合特征,聚合的方法选用求和、中位数、平均数(平均池化)、标准差三种。如图9所示,采用平均池化对某基础特征进行聚合处理,得到聚合特征。For example, aggregate basic features and business features of different time spans to obtain aggregated features. For example, to calculate the aggregation characteristics of the object in the last half year, the last 3 months, the last month, and the last week, the aggregation methods are sum, median, average (average pooling), and standard deviation. As shown in Figure 9, average pooling is used to aggregate a basic feature to obtain aggregated features.
步骤7、特征处理:归一化数值型特征、离散化非数值型特征。
例如,离散化处理包括以下方法:For example, the discretization process includes the following methods:
i.独热编码(One-Hot Encoding)。例如对于对象性别特征,One-Hot Encoding变为:男:(1,0)、女:(0,1)。i. One-Hot Encoding. For example, for the gender feature of the object, One-Hot Encoding becomes: male: (1, 0), female: (0, 1).
ii.计数编码(Count Encoding)。例如对于对象的POI特征,会用Count Encoding来标识对象和这个POI的兴趣程度。比如对象当周去了“美食-中国菜-粤菜”这个POI共3次。ii. Count Encoding. For example, for the POI feature of an object, Count Encoding will be used to identify the object and the degree of interest of this POI. For example, the subject went to the POI of "Food-Chinese-Cantonese Cuisine" a total of 3 times that week.
iii.合并编码(Consolidation Encoding)。某些类目变量下有多个取值,可以将其归纳成同一个信息。比如安卓手机的系统版本特征的多个取值里包括“4.2”、“4.4”和“5.0”三个,基于经验可以将这三个值归纳为“低版本安卓系统”。Consolidation Encoding处理方式,比直接将“安卓系统版本”特征One-Hot Encoding能带来更大的正向收益。iii. Consolidation Encoding. Some category variables have multiple values, which can be summarized into the same information. For example, the multiple values of the system version feature of an Android phone include "4.2", "4.4" and "5.0". Based on experience, these three values can be summarized as "low version Android system". The Consolidation Encoding processing method can bring greater positive benefits than directly using the "Android system version" feature One-Hot Encoding.
步骤8、将处理后的特征进行合并、并离线存储在分布式文件系统(HDFS,TheHadoop Distributed File System)。Step 8: Combine the processed features and store them in a distributed file system (HDFS, TheHadoop Distributed File System) offline.
例如,将处理后的特征进行合并、并离线存储在HDFS后,便于后续特征的快速访问,即基于目标对象的标识,即可从HDFS中快速获取对象特征(即目标对象的特征数据集合)。对于每一个对象,输入到模型的数据是一个N*1的数值型向量,比如(1,0,31,4,0.2,9.3,8.8,…,0,0,1,2,34)。For example, after the processed features are merged and stored offline in HDFS, it is convenient for quick access of subsequent features, that is, based on the identification of the target object, the object features (ie, the feature data set of the target object) can be quickly obtained from HDFS. For each object, the data input to the model is an N*1 numeric vector, such as (1,0,31,4,0.2,9.3,8.8,…,0,0,1,2,34).
步骤9、将输入序列(即对象特征)输入特征提取器,利用多个卷积层挖掘输入序列的深层特征,利用池化层去除冗余特征,并将最后一个池化层的输出作为BLSTM层的输入。
需要说明的是,如图10所示,特征提取器以及BLSTM算法框架包括三个部分,分别为特征提取器、BLSTM层以及Softmax输出层。下面具体说明特征提取器以及BLSTM算法框架包括的三个部分:It should be noted that, as shown in Figure 10, the feature extractor and the BLSTM algorithm framework include three parts, namely the feature extractor, the BLSTM layer and the Softmax output layer. The following describes the three parts of the feature extractor and the BLSTM algorithm framework in detail:
关于特征提取器:About feature extractor:
特征提取器包括3个依次交替的随机卷积层和池化层,利用多个卷积层挖掘输入序列(输入特征)的深层特征,利用池化层去除冗余特征,随机卷积层和池化层交替出现,最后一个池化层的输出作为BLSTM层的输入。The feature extractor consists of 3 alternating random convolutional layers and pooling layers in sequence, using multiple convolutional layers to mine the deep features of the input sequence (input features), using the pooling layer to remove redundant features, random convolutional layers and pooling The pooling layers alternate, and the output of the last pooling layer is used as the input of the BLSTM layer.
需要说明的是,随机卷积层类似卷积神经网络(CNN,Convolutional NeuralNetwork)中的卷积层,通过卷积操作学习输入向量的局部特征表示。与CNN中的卷积层不同的是,随机卷积层中的卷积核中的每个元素都是随机生成的,不需要微调。假设模型的输入是大小为d*1的向量,卷积核为r*1,共有K个特征图,根据卷积操作的原理,每个特征图的大小为d-r+1,则每个随机卷积层的输出值计算方式如公式(1)所示:It should be noted that the random convolution layer is similar to the convolution layer in the Convolutional Neural Network (CNN, Convolutional Neural Network), which learns the local feature representation of the input vector through the convolution operation. Unlike convolutional layers in CNNs, each element in the convolution kernels in random convolutional layers is randomly generated and does not require fine-tuning. Assuming that the input of the model is a vector of size d*1, the convolution kernel is r*1, and there are K feature maps in total. According to the principle of convolution operation, the size of each feature map is d-
其中,ci,1,k(x)表示在特征图中节点(i,1)处的输出值。where ci,1,k (x) represents the output value at node (i,1) in the feature map.
如图11所示的随机卷积层中一维卷积过程,对序列(1,2,3)通过卷积核卷积后,得到序列(1,2)。In the one-dimensional convolution process in the random convolution layer shown in Figure 11, the sequence (1, 2, 3) is convolved with the convolution kernel to obtain the sequence (1, 2).
需要说明的是,本申请实施例的池化层选择最大池化,能够去除冗余信息,减少特征维度,进而减少算法参数,降低复杂度。设池化大小为s,池化层不会改变特征图的个数,第k个特征图的输出h的计算公式如公式(2)所示:It should be noted that the pooling layer in this embodiment of the present application selects maximum pooling, which can remove redundant information, reduce feature dimensions, and further reduce algorithm parameters and complexity. Let the pooling size be s, the pooling layer will not change the number of feature maps, and the calculation formula of the output h of the k-th feature map is shown in formula (2):
其中,p,q=1,…,(d-r+1)Among them, p,q=1,...,(d-r+1)
如图12所示的一维最大池化过程,对序列(1,2,3,4)通过最大池化后,得到序列(2,4)。The one-dimensional max-pooling process shown in Figure 12, the sequence (2, 4) is obtained after the sequence (1, 2, 3, 4) is max-pooled.
步骤10、通过正向LSTM和反向LSTM算法的结合,反映输入序列的时间依赖关系,提取输入序列过去和未来的时间信息。Step 10: Through the combination of forward LSTM and reverse LSTM algorithms, the time dependence of the input sequence is reflected, and the past and future time information of the input sequence is extracted.
需要说明的是,BLSTM层是正向时间递归神经网络算法(LSTM,Long Short-TermMemory)和反向LSTM算法的结合,能反映输入序列的时间依赖关系,用于提取输入序列过去和未来的时间信息。假设正向LSTM和反向LSTM的隐层输出分别为h=(h1,h2,…,hn)和h’=(h’1,h’2,,…,h’n,),将h和h,进行拼接,即得到BLSTM的隐层输出(h;h’)。It should be noted that the BLSTM layer is a combination of the forward temporal recurrent neural network algorithm (LSTM, Long Short-Term Memory) and the reverse LSTM algorithm, which can reflect the temporal dependency of the input sequence and is used to extract the past and future time information of the input sequence. . Assuming that the hidden layer outputs of forward LSTM and reverse LSTM are h=(h1 , h2 ,...,hn ) and h'=(h'1 ,h'2 ,,...,h'n ,), respectively, By splicing h and h, the hidden layer output (h; h' ) of BLSTM is obtained.
如图13所示的BLSTM的算法结构,对于每个时刻的输入xt,都会有两个相反方向的LSTM与其链接,当前时刻的输出yt为两个LSTM的组合,即正向和反向的LSTM共同决定当前时刻的输出。The algorithm structure of BLSTM shown in Figure 13, for the input xt at each moment, there will be two LSTMs in opposite directions linked to it, and the output yt at the current moment is a combination of two LSTMs, that is, forward and reverse LSTMs jointly determine the output at the current moment.
需要说明的是,LSTM是由一系列的记忆单元组成。记忆单元包含三个门结构:遗忘门、输入门和输出门,LSTM能够通过三个门结构确定输入信息的保留和丢弃,实现输入信息的循环更新。It should be noted that LSTM is composed of a series of memory units. The memory unit contains three gate structures: forget gate, input gate and output gate. LSTM can determine the retention and discard of input information through the three gate structures, and realize the cyclic update of input information.
输入序列xt(第t时刻的输入)经过遗忘门决定保留和忘记信息。信息的保留和忘记通过一个sigmoid函数来判断。若sigmoid值为0,则丢弃全部信息;若为1,则保留所有信息。其计算公式如公式(3)所示:The input sequence xt (the input at time t) goes through the forgetting gate to decide to keep and forget the information. The retention and forgetting of information is judged by a sigmoid function. If the sigmoid value is 0, all information is discarded; if it is 1, all information is retained. Its calculation formula is shown in formula (3):
ft=σ(Wf[xt,ht-1]+bf) (3)ft =σ(Wf [xt ,ht-1 ]+bf ) (3)
其中,xt是t时刻的输入,ft表示遗忘门在t时刻的输出,σ表示sigmoid函数,Wf表示遗忘门的权重,bf表示偏置。where xt is the input at time t, ft is the output of the forget gate at time t, σ is the sigmoid function, Wf is the weight of the forget gate, and bf is the bias.
输入门的计算公式如公式(4)-(5)所示:The calculation formula of the input gate is shown in formulas (4)-(5):
it=σ(Wi[xt,ht-1]+bi) (4)it =σ(Wi [xt ,ht-1 ]+bi ) (4)
gt=tanh(Wg[xt,ht-1]+bg) (5)gt =tanh(Wg [xt ,ht-1 ]+bg ) (5)
其中,it表示t时刻的输出,能够确定更新的信息。gt表示候选细胞信息。Among them, it represents the output at timet , and the updated information can be determined.gt represents candidate cell information.
输出门确定输出信息,通过sigmoid函数确定将哪些信息输出,计算公式如公式(6)所示:The output gate determines the output information, and the sigmoid function determines which information to output. The calculation formula is shown in formula (6):
ot=σ(Wo[xt,ht-1]+bo) (6)ot =σ(Wo [xt ,ht-1 ]+bo ) (6)
细胞状态ct经过tanh函数作用后的输出和输出门的输出的Hadamard乘积为隐藏层在t时刻的输出ht,计算公式如公式(7)-(8)所示:The Hadamard product of the output of the cell state ct after the action of the tanh function and the output of the output gate is the output ht of the hidden layer at time t. The calculation formula is shown in formulas (7)-(8):
其中,表示Hadamard乘积。in, Represents the Hadamard product.
综上,BLSTM的计算公式如公式(9)-(11)所示:In summary, the calculation formula of BLSTM is shown in formulas (9)-(11):
yt=[ht;h’t] (11)yt =[ht ; h't ] (11)
步骤11、使用激活函数对输入序列进行分类,得到轨迹所属的类别。Step 11. Use the activation function to classify the input sequence to obtain the category to which the trajectory belongs.
例如,利用激活函数(如softmax函数)对输入序列进行分类,softmax函数对定义如公式(12)所示:For example, the input sequence is classified using an activation function such as the softmax function, which is defined as Equation (12):
其中,N表示输入数据数量,j表示类别,xi表示第i个输入,w表示学习参数,P(yi=j|xi)表示xi为类别j的概率。Among them, N represents the number of input data, j represents the category,xi represents the ith input, w represents the learning parameter, and P(yi =j|xi ) represents the probability thatxi is the category j.
步骤12、基于MetaMove模型预测对象的下一个POI。Step 12: Predict the next POI of the object based on the MetaMove model.
例如,在通过MetaMove模型预测对象的下一个POI之前,需要对MetaMove模型进行训练,其训练过程如下所示:For example, before predicting the next POI of an object through the MetaMove model, the MetaMove model needs to be trained, and the training process is as follows:
如图14所示的MetaMove模型,通过支持集以及查询集,即算损失函数,并基于损失函数更新模型参数,最后通过训练后的模型进行POI预测。The MetaMove model shown in Figure 14 calculates the loss function through the support set and query set, updates the model parameters based on the loss function, and finally performs POI prediction through the trained model.
需要说明的是,在模型训练之前需要进行任务采样。It should be noted that task sampling is required before model training.
元学习环境中,数据集分为元训练集D_train和元测试数据集D_test。将在D_train上训练的模型M转移到D_test上测试模型,D_test中的类别标签在D_train是不可见的。本申请实施例在元训练的过程中改变测试范式,即可以输出训练集不曾出现的POI。In the meta-learning environment, the dataset is divided into a meta-training set D_train and a meta-testing dataset D_test. Transfer the model M trained on D_train to D_test to test the model, and the class labels in D_test are not visible in D_train. In the embodiment of the present application, the test paradigm is changed in the process of meta-training, that is, POIs that do not appear in the training set can be output.
在模型训练过程中,通过预先定义的损失函数L来减小损失值,从而达到降低预测误差的目的。MetaMove模型通过生成各种采样数据集,以加快模型学习,特别是在看不见的类别标签上。详细过程如下伪代码所示:In the model training process, the loss value is reduced by the predefined loss function L, so as to achieve the purpose of reducing the prediction error. MetaMove models accelerate model learning by generating various sampled datasets, especially on unseen class labels. The detailed process is shown in the following pseudo code:
关于训练MetaMove模型,模型训练的优化目标如公式(13)所示:Regarding training the MetaMove model, the optimization objective of model training is shown in formula (13):
其中,表示一个优化器,它学习如何在支持集上更新学习器模型fθ的参数,这也被称为元学习器。优化器的参数以及元学习器的参数θ,二者互相协调以达到目标最优解。in, represents an optimizer that learns how to update the parameters of the learner model fθ on the support set, which is also known as a meta-learner. Parameters of the optimizer And the parameter θ of the meta-learner, the two coordinate with each other to achieve the target optimal solution.
为了训练元移动,本申请实施例使用模型无关元学习优化模型来优化元模型fθ的适应性,具体公式如公式(14)所示:In order to train the meta-movement, the embodiment of the present application uses a model-independent meta-learning optimization model to optimize the adaptability of the meta-model fθ , and the specific formula is shown in formula (14):
其中,α表示指定的超参数代表任务学习率,L是用支持集数据Si计算的任务相关损失。该模型被训练来优化在所有采样任务中的性能,当推广到新任务时,模型参数θi的表示变为where α represents the specified hyperparameter representing the task learning rate, and L is the task-dependent losscomputed with the support set data Si. The model is trained to optimize Performance across all sampled tasks, when generalized to new tasks, the representation of the model parametersθi becomes
模型的参数优化过程如公式(15)所示:The parameter optimization process of the model is shown in formula (15):
其中,β表示元学习率,模型基于梯度下降进行学习,过程如公式(16)所示:Among them, β represents the meta learning rate, and the model learns based on gradient descent. The process is shown in formula (16):
模型训练过程如下伪代码所示:The model training process is shown in the following pseudocode:
上述的训练过程遵循元数据的纯监督分类,支持集中的数据均有标签。为了更好的提高模型的性能,本申请实施例利用未标记的数据实现性能提高的目标。放宽支持集Si的要求,以包含少量未标记的样本,具体如图15所示,学习Si中有标签的轨迹和S’中无标记的轨迹,以推断查询集Si上的结果。The training process described above follows a purely supervised classification of metadata, and the data in the support set is labeled. In order to better improve the performance of the model, the embodiment of the present application uses unlabeled data to achieve the goal of improving the performance.Relax the requirements of the support set Si to include a small number of unlabeled samples, as shown in Figure 15, to learn the labeled trajectories in Si and theunlabeled trajectories in S' toinfer the results on the query set Si.
考虑到对象的移动性偏好受地理距离的限制,即对象更喜欢访问附近的POI,并且大多数对象的活动是在少数区域。因此如图16所示,可以通过计算无标签样本与每个已知类的聚类中心之间的欧式距离来区分未标记数据,并用最集的标签标记无标签数据。Considering that the mobility preference of objects is limited by geographic distance, that is, objects prefer to visit nearby POIs, and most of the objects' activities are in a few areas. Therefore, as shown in Figure 16, the unlabeled data can be distinguished by calculating the Euclidean distance between the unlabeled samples and the cluster centers of each known class, and the unlabeled data can be labeled with the largest set of labels.
为了验证本申请实施例所带来的效果,进行了如图17的效果对比,由图17可知,从推荐信息点击率来看,本申请实施例的方案相比其它技术方案,平均提高182.7%的点击率,从推荐信息转化率来看,本申请实施例的方案相比其它技术方案,平均提高178.41%的转化率。In order to verify the effects brought by the embodiments of the present application, a comparison of the effects as shown in Figure 17 is carried out. From Figure 17, it can be seen from Figure 17 that, from the point of view of the click-through rate of the recommended information, the solution of the embodiment of the present application has an average increase of 182.7% compared with other technical solutions. From the point of view of the conversion rate of recommended information, the solution in the embodiment of the present application improves the conversion rate by an average of 178.41% compared with other technical solutions.
至此已经结合本申请实施例提供的电子设备的示例性应用和实施,说明本申请实施例提供的基于人工智能的网络请求处理方法。本申请实施例还提供基于人工智能的网络请求处理装置,实际应用中,基于人工智能的网络请求处理装置中的各功能模块可以由电子设备(如终端、服务器或服务器集群)的硬件资源,如处理器等计算资源、通信资源(如用于支持实现光缆、蜂窝等各种方式通信)、存储器协同实现。图2示出了存储在存储器550中的基于人工智能的网络请求处理装置555,其可以是程序和插件等形式的软件,例如,软件C/C++、Java等编程语言设计的软件模块、C/C++、Java等编程语言设计的应用软件或大型软件系统中的专用软件模块、应用程序接口、插件、云服务等实现方式,下面对不同的实现方式举例说明。So far, the artificial intelligence-based network request processing method provided by the embodiment of the present application has been described with reference to the exemplary application and implementation of the electronic device provided by the embodiment of the present application. The embodiments of the present application also provide an artificial intelligence-based network request processing apparatus. In practical applications, each functional module in the artificial intelligence-based network request processing apparatus may be composed of hardware resources of electronic devices (such as terminals, servers, or server clusters), such as Computational resources such as processors, communication resources (for example, to support communication in various ways such as optical cable and cellular), and memory are implemented collaboratively. FIG. 2 shows an artificial intelligence-based network request processing device 555 stored in the memory 550, which can be software in the form of programs and plug-ins, for example, software modules designed in programming languages such as software C/C++, Java, C/C Application software designed in programming languages such as C++, Java, or special software modules, application program interfaces, plug-ins, and cloud services in large-scale software systems are implemented. The following examples illustrate different implementation methods.
其中,基于人工智能的网络请求处理装置555包括一系列的模块,包括获取模块5551、特征提取模块5552、分类模块5553、预测模块5554以及应用模块5555。下面继续说明本申请实施例提供的基于人工智能的网络请求处理装置555中各个模块配合实现网络请求处理方案。The artificial intelligence-based network request processing device 555 includes a series of modules, including an acquisition module 5551 , a feature extraction module 5552 , a classification module 5553 , a prediction module 5554 and an application module 5555 . The following continues to describe the network request processing solution implemented by the cooperation of each module in the artificial intelligence-based network request processing apparatus 555 provided by the embodiment of the present application.
获取模块5551,用于获取目标对象的特征数据集合以及行动轨迹,其中,所述行动轨迹包括至少一个途径的历史兴趣点;特征提取模块5552,用于对所述目标对象的特征数据集合以及行动轨迹进行特征提取处理,得到所述目标对象针对所述行动轨迹的对象特征;分类模块5553,用于基于所述目标对象针对所述行动轨迹的对象特征,对所述目标对象的行动轨迹进行轨迹分类处理,得到所述行动轨迹所属的轨迹类别;预测模块5554,用于基于所述行动轨迹所属的轨迹类别进行基于元学习的兴趣点预测处理,得到所述行动轨迹将要途径的目标兴趣点;应用模块5555,用于针对所述目标对象应用与所述目标兴趣点匹配的网络服务模式。The acquisition module 5551 is used to acquire the feature data set and action track of the target object, wherein the action track includes historical interest points of at least one approach; the feature extraction module 5552 is used to obtain the feature data set and action track of the target object. The feature extraction process is performed on the track to obtain the object feature of the target object for the action track; the classification module 5553 is used to track the action track of the target object based on the object feature of the target object for the action track Classification processing, to obtain the track category to which the action track belongs; prediction module 5554, for performing meta-learning-based interest point prediction processing based on the track category to which the action track belongs, to obtain the target interest point that the action track will pass through; An application module 5555, configured to apply a network service mode matching the target POI to the target object.
在一些实施例中,所述特征提取模块5552还用于对所述目标对象的特征数据集合以及行动轨迹进行融合处理,得到所述目标对象的融合信息;对所述目标对象的融合信息进行特征提取处理,得到所述目标对象针对所述行动轨迹的对象特征。In some embodiments, the feature extraction module 5552 is further configured to perform fusion processing on the feature data set and the action trajectory of the target object to obtain fusion information of the target object; perform feature extraction on the fusion information of the target object The extraction process is performed to obtain the object feature of the target object with respect to the action trajectory.
在一些实施例中,所述特征提取处理是通过特征提取模型实现的,所述特征提取模型包括多个级联的特征提取层;所述特征提取模块5552还用于通过所述多个级联的特征提取层中的第一个特征提取层,对所述目标对象的融合信息进行特征提取处理;将所述第一个特征提取层的特征提取结果输出到后续级联的特征提取层,通过所述后续级联的特征提取层继续进行特征提取处理和特征提取结果输出,直至输出到最后一个特征提取层;将所述最后一个特征提取层输出的特征提取结果作为所述目标对象针对所述行动轨迹的对象特征。In some embodiments, the feature extraction process is implemented by a feature extraction model, and the feature extraction model includes multiple cascaded feature extraction layers; the feature extraction module 5552 is further configured to pass the multiple cascaded feature extraction layers. The first feature extraction layer in the feature extraction layer is to perform feature extraction processing on the fusion information of the target object; the feature extraction result of the first feature extraction layer is output to the subsequent cascaded feature extraction layers, through The subsequent cascaded feature extraction layers continue to perform feature extraction processing and feature extraction result output until they are output to the last feature extraction layer; take the feature extraction result output by the last feature extraction layer as the target object for the Object features for action trajectories.
在一些实施例中,所述特征提取模块5552还用于通过所述多个级联的特征提取层的第j个特征提取层执行以下处理:对第j-1个特征提取层的特征提取结果进行随机卷积处理,得到第j个深层特征;对所述第j个深层特征进行池化处理,得到所述第j个特征提取层的特征提取结果;通过所述第j个特征提取层输出所述第j个特征提取层的特征提取结果;其中,j为递增的自然数且取值范围为1<j≤N,N为所述特征提取层的数量,N为大于1的正整数。In some embodiments, the feature extraction module 5552 is further configured to perform the following processing through the jth feature extraction layer of the plurality of cascaded feature extraction layers: the feature extraction result of the j-1th feature extraction layer Perform random convolution processing to obtain the jth deep feature; perform pooling processing on the jth deep feature to obtain the feature extraction result of the jth feature extraction layer; output through the jth feature extraction layer The feature extraction result of the jth feature extraction layer; wherein, j is an increasing natural number with a value range of 1<j≤N, N is the number of the feature extraction layers, and N is a positive integer greater than 1.
在一些实施例中,所述分类模块5553还用于对所述目标对象针对所述行动轨迹的对象特征进行时序编码处理,得到所述行动轨迹的时序特征;对所述行动轨迹的时序特征进行映射处理,得到所述行动轨迹所属的轨迹类别。In some embodiments, the classification module 5553 is further configured to perform time-series encoding processing on the object features of the action track by the target object to obtain the time-series features of the action track; The mapping process is performed to obtain the trajectory category to which the action trajectory belongs.
在一些实施例中,所述分类模块5553还用于对所述目标对象针对所述行动轨迹的对象特征进行正向时序编码处理,得到所述行动轨迹的正向时序特征;对所述目标对象针对所述行动轨迹的对象特征进行反向时序编码处理,得到所述行动轨迹的反向时序特征;对所述正向时序特征以及所述反向时序特征进行拼接处理,得到所述行动轨迹的时序特征。In some embodiments, the classification module 5553 is further configured to perform forward temporal coding processing on the object features of the target object with respect to the action track, so as to obtain the forward time sequence features of the action track; Perform reverse sequence coding processing on the object features of the action track to obtain the reverse sequence feature of the action track; perform splicing processing on the forward sequence feature and the reverse sequence feature to obtain the action track's timing characteristics.
在一些实施例中,所述分类模块5553还用于基于第i-1个正向时序特征对所述对象特征进行基于遗忘门的正向筛选处理,得到所述遗忘门的正向输出特征;基于第i-1个正向时序特征对所述对象特征进行基于输入门的正向更新处理,得到所述输入门的正向输出特征;基于第i-1个正向时序特征对所述对象特征进行基于输出门的正向映射处理,得到所述输出门的正向输出特征;对所述遗忘门的正向输出特征、所述输入门的正向输出特征以及所述输出门的正向输出特征进行非线性映射处理,得到第i个正向时序特征;将M个正向时序特征的集合作为所述行动轨迹的正向时序特征;其中,i为递增的自然数且取值范围为1<i≤M,M为所述对象特征的特征数量,M为大于1的正整数。In some embodiments, the classification module 5553 is further configured to perform a forget gate-based forward screening process on the object feature based on the i-1 th forward time sequence feature, to obtain the forward output feature of the forget gate; Perform forward update processing based on the input gate on the object feature based on the i-1 th forward time sequence feature to obtain the forward output feature of the input gate; The feature is subjected to forward mapping processing based on the output gate, and the forward output feature of the output gate is obtained; the forward output feature of the forget gate, the forward output feature of the input gate and the forward output feature of the output gate are obtained. The output feature is subjected to nonlinear mapping processing to obtain the i-th forward sequence feature; the set of M forward sequence features is used as the forward sequence feature of the action trajectory; wherein, i is an increasing natural number and the value range is 1 <i≤M, M is the feature quantity of the object feature, and M is a positive integer greater than 1.
在一些实施例中,所述分类模块5553还用于基于第e+1个反向时序特征对所述对象特征进行基于遗忘门的反向筛选处理,得到所述遗忘门的反向输出特征;基于第e+1个反向时序特征对所述对象特征进行基于输入门的反向更新处理,得到所述输入门的反向输出特征;基于第e+1个反向时序特征对所述对象特征进行基于输出门的反向映射处理,得到所述输出门的反向输出特征;对所述遗忘门的反向输出特征、所述输入门的反向输出特征以及所述输出门的反向输出特征进行非线性映射处理,得到第e个反向时序特征;将M个反向时序特征的集合作为所述行动轨迹的反向时序特征;其中,e为递减的自然数且取值范围为1≤e≤M-1,M为所述对象特征的特征数量,M为大于1的正整数。In some embodiments, the classification module 5553 is further configured to perform a forget gate-based reverse screening process on the object feature based on the e+1 th reverse time sequence feature, to obtain a reverse output feature of the forget gate; Perform reverse update processing based on the input gate on the object feature based on the e+1 th reverse sequence feature, and obtain the reverse output feature of the input gate; The feature is subjected to reverse mapping processing based on the output gate to obtain the reverse output feature of the output gate; the reverse output feature of the forget gate, the reverse output feature of the input gate and the reverse output feature of the output gate The output feature is subjected to nonlinear mapping processing to obtain the e-th reverse sequence feature; the set of M reverse sequence features is used as the reverse sequence feature of the action trajectory; where e is a decreasing natural number and the value range is 1 ≤e≤M-1, M is the feature quantity of the object feature, and M is a positive integer greater than 1.
在一些实施例中,所述兴趣点预测处理是通过元学习模型实现的,所述元学习模型的训练过程包括:基于多个行动轨迹样本构建查询集和支持集,所述支持集包括至少一个支持子集,每个所述支持子集包括所述多个行动轨迹样本中的至少一个第一行动轨迹样本,不同的所述支持子集包括不同轨迹类别的行动轨迹样本,所述查询集包括所述多个行动轨迹样本中的至少一个第二行动轨迹样本;通过初始化的所述元学习模型执行以下处理:对所述支持子集包括的第一行动轨迹样本进行基于元学习的兴趣点预测处理,得到所述第一行动轨迹样本将要途径的第一预测兴趣点;对所述查询集包括的第二行动轨迹样本进行基于元学习的兴趣点预测处理,得到所述第二行动轨迹样本将要途径的第二预测兴趣点;基于所述第一预测兴趣点、所述第一行动轨迹样本对应的兴趣点标注、所述第二预测兴趣点、所述第二行动轨迹样本对应的兴趣点标注,构建所述元学习模型的损失函数;基于所述损失函数更新所述元学习模型的参数,将所述元学习模型的更新的参数作为训练后的所述元学习模型的参数。In some embodiments, the interest point prediction process is implemented by a meta-learning model, and the training process of the meta-learning model includes: constructing a query set and a support set based on a plurality of action trajectory samples, the support set including at least one support subsets, each of the support subsets includes at least one first action trajectory sample among the plurality of action trajectory samples, the different support subsets include action trajectory samples of different trajectory categories, and the query set includes at least one second action trajectory sample among the plurality of action trajectory samples; the initialized meta-learning model performs the following processing: performing meta-learning-based interest point prediction on the first action trajectory sample included in the support subset processing, to obtain the first predicted point of interest that the first action trajectory sample will pass through; perform meta-learning-based interest point prediction processing on the second action trajectory sample included in the query set, and obtain the second action trajectory sample to be The second predicted interest point of the approach; based on the first predicted interest point, the interest point label corresponding to the first action trajectory sample, the second predicted interest point, and the interest point label corresponding to the second action trajectory sample , constructing the loss function of the meta-learning model; updating the parameters of the meta-learning model based on the loss function, and using the updated parameters of the meta-learning model as the parameters of the meta-learning model after training.
在一些实施例中,所述应用模块5555还用于基于所述目标兴趣点,查询不同兴趣点与候选网络服务模式的对应关系,将查询到的候选网络服务模式作为与所述目标兴趣点匹配的网络服务模式;显示所述网络服务模式的推荐信息;响应于基于所述推荐信息针对所述网络服务模式的应用操作,针对所述目标对象对应的终端应用所述网络服务模式。In some embodiments, the application module 5555 is further configured to, based on the target POI, query the correspondence between different POIs and candidate network service modes, and use the queried candidate network service modes as matching the target POI The network service mode is displayed; the recommendation information of the network service mode is displayed; in response to an application operation for the network service mode based on the recommendation information, the network service mode is applied to the terminal corresponding to the target object.
在一些实施例中,所述应用模块5555还用于基于所述目标兴趣点,查询不同兴趣点与候选网络服务模式的对应关系,将查询到的候选网络服务模式作为与所述目标兴趣点匹配的网络服务模式;针对所述目标对象对应的终端应用与所述目标兴趣点匹配的网络服务模式。In some embodiments, the application module 5555 is further configured to, based on the target POI, query the correspondence between different POIs and candidate network service modes, and use the queried candidate network service modes as matching the target POI The network service mode is applied to the terminal corresponding to the target object, and the network service mode matching the target POI is applied.
在一些实施例中,所述应用模块5555还用于获取所述目标对象对应的终端到所述目标兴趣点的距离;当所述距离小于距离阈值时,针对所述目标对象对应的终端应用与所述目标兴趣点匹配的网络服务模式。In some embodiments, the application module 5555 is further configured to obtain the distance from the terminal corresponding to the target object to the target point of interest; when the distance is less than the distance threshold, the terminal application corresponding to the target object and The network service mode matched by the target POI.
在一些实施例中,当与所述目标兴趣点匹配的网络服务模式为多个时,所述应用模块5555还用于获取到达所述目标兴趣点时所处的目标时间段;从与所述目标兴趣点匹配的多个网络服务模式中,确定与所述目标时间段匹配的网络服务模式;针对所述目标对象对应的终端应用与所述目标时间段匹配的网络服务模式。In some embodiments, when there are multiple network service modes matching the target POI, the application module 5555 is further configured to acquire the target time period when the target POI is reached; Among the multiple network service modes matched with the target point of interest, the network service mode matching the target time period is determined; the network service mode matching the target time period is applied to the terminal corresponding to the target object.
本申请实施例提供了一种计算机程序产品或计算机程序,该计算机程序产品或计算机程序包括计算机指令,该计算机指令存储在计算机可读存储介质中。电子设备的处理器从计算机可读存储介质读取该计算机指令,处理器执行该计算机指令,使得该电子设备执行本申请实施例上述的基于人工智能的网络请求处理方法。Embodiments of the present application provide a computer program product or computer program, where the computer program product or computer program includes computer instructions, and the computer instructions are stored in a computer-readable storage medium. The processor of the electronic device reads the computer instruction from the computer-readable storage medium, and the processor executes the computer instruction, so that the electronic device executes the above-mentioned artificial intelligence-based network request processing method.
本申请实施例提供一种存储有可执行指令的计算机可读存储介质,其中存储有可执行指令,当可执行指令被处理器执行时,将引起处理器执行本申请实施例提供的基于人工智能的网络请求处理方法,例如,如图3A-图3C示出的基于人工智能的网络请求处理方法。The embodiments of the present application provide a computer-readable storage medium storing executable instructions, wherein the executable instructions are stored, and when the executable instructions are executed by a processor, the processor will cause the processor to execute the artificial intelligence-based artificial intelligence provided by the embodiments of the present application. The network request processing method, for example, the artificial intelligence-based network request processing method shown in FIG. 3A-FIG. 3C.
在一些实施例中,计算机可读存储介质可以是FRAM、ROM、PROM、EPROM、EEPROM、闪存、磁表面存储器、光盘、或CD-ROM等存储器;也可以是包括上述存储器之一或任意组合的各种设备。In some embodiments, the computer-readable storage medium may be memory such as FRAM, ROM, PROM, EPROM, EEPROM, flash memory, magnetic surface memory, optical disk, or CD-ROM; it may also include one or any combination of the foregoing memories Various equipment.
在一些实施例中,可执行指令可以采用程序、软件、软件模块、脚本或代码的形式,按任意形式的编程语言(包括编译或解释语言,或者声明性或过程性语言)来编写,并且其可按任意形式部署,包括被部署为独立的程序或者被部署为模块、组件、子例程或者适合在计算环境中使用的其它单元。In some embodiments, executable instructions may take the form of programs, software, software modules, scripts, or code, written in any form of programming language, including compiled or interpreted languages, or declarative or procedural languages, and which Deployment may be in any form, including as a stand-alone program or as a module, component, subroutine, or other unit suitable for use in a computing environment.
作为示例,可执行指令可以但不一定对应于文件系统中的文件,可以可被存储在保存其它程序或数据的文件的一部分,例如,存储在超文本标记语言(HTML,Hyper TextMarkup Language)文档中的一个或多个脚本中,存储在专用于所讨论的程序的单个文件中,或者,存储在多个协同文件(例如,存储一个或多个模块、子程序或代码部分的文件)中。As an example, executable instructions may, but do not necessarily correspond to files in a file system, may be stored as part of a file that holds other programs or data, for example, in a Hyper Text Markup Language (HTML) document One or more scripts of a , stored in a single file dedicated to the program in question, or in multiple cooperating files (eg, files that store one or more modules, subroutines, or code sections).
作为示例,可执行指令可被部署为在一个计算设备上执行,或者在位于一个地点的多个计算设备上执行,又或者,在分布在多个地点且通过通信网络互连的多个计算设备上执行。As an example, executable instructions may be deployed to be executed on one computing device, or on multiple computing devices located at one site, or alternatively, distributed across multiple sites and interconnected by a communication network execute on.
以上所述,仅为本申请的实施例而已,并非用于限定本申请的保护范围。凡在本申请的精神和范围之内所作的任何修改、等同替换和改进等,均包含在本申请的保护范围之内。The above descriptions are merely examples of the present application, and are not intended to limit the protection scope of the present application. Any modifications, equivalent replacements and improvements made within the spirit and scope of this application are included within the protection scope of this application.
| Application Number | Priority Date | Filing Date | Title |
|---|---|---|---|
| CN202111616862.3ACN114357319A (en) | 2021-12-27 | 2021-12-27 | Network request processing method, apparatus, device, storage medium and program product |
| Application Number | Priority Date | Filing Date | Title |
|---|---|---|---|
| CN202111616862.3ACN114357319A (en) | 2021-12-27 | 2021-12-27 | Network request processing method, apparatus, device, storage medium and program product |
| Publication Number | Publication Date |
|---|---|
| CN114357319Atrue CN114357319A (en) | 2022-04-15 |
| Application Number | Title | Priority Date | Filing Date |
|---|---|---|---|
| CN202111616862.3APendingCN114357319A (en) | 2021-12-27 | 2021-12-27 | Network request processing method, apparatus, device, storage medium and program product |
| Country | Link |
|---|---|
| CN (1) | CN114357319A (en) |
| Publication number | Priority date | Publication date | Assignee | Title |
|---|---|---|---|---|
| CN115002870A (en)* | 2022-08-08 | 2022-09-02 | 深圳传音控股股份有限公司 | Processing method, communication device, and storage medium |
| CN115720191A (en)* | 2022-10-09 | 2023-02-28 | 福建星网智慧软件有限公司 | Method, system and network equipment for automatically configuring QoS based on network service |
| CN116993307A (en)* | 2023-09-28 | 2023-11-03 | 广东省信息工程有限公司 | Collaborative office method and system with artificial intelligence learning capability |
| Publication number | Priority date | Publication date | Assignee | Title |
|---|---|---|---|---|
| CN102365554A (en)* | 2009-01-28 | 2012-02-29 | 海德沃特合作I有限公司 | Network-based service policy implementation with net neutrality and user privacy |
| CN105138590A (en)* | 2015-07-31 | 2015-12-09 | 北京嘀嘀无限科技发展有限公司 | Trajectory prediction method and apparatus |
| US20160337264A1 (en)* | 2015-05-15 | 2016-11-17 | Ringcentral, Inc. | Systems and Methods for Determining Routing Information for a Network Request |
| CN112996042A (en)* | 2019-12-13 | 2021-06-18 | 华为技术有限公司 | Network acceleration method, terminal device, server and storage medium |
| Publication number | Priority date | Publication date | Assignee | Title |
|---|---|---|---|---|
| CN102365554A (en)* | 2009-01-28 | 2012-02-29 | 海德沃特合作I有限公司 | Network-based service policy implementation with net neutrality and user privacy |
| US20160337264A1 (en)* | 2015-05-15 | 2016-11-17 | Ringcentral, Inc. | Systems and Methods for Determining Routing Information for a Network Request |
| CN105138590A (en)* | 2015-07-31 | 2015-12-09 | 北京嘀嘀无限科技发展有限公司 | Trajectory prediction method and apparatus |
| CN112996042A (en)* | 2019-12-13 | 2021-06-18 | 华为技术有限公司 | Network acceleration method, terminal device, server and storage medium |
| Title |
|---|
| 刘昕: "基于云学习和变分生成网络的用户移动模式挖掘", 信息科技辑, 15 July 2020 (2020-07-15), pages 11 - 52* |
| Publication number | Priority date | Publication date | Assignee | Title |
|---|---|---|---|---|
| CN115002870A (en)* | 2022-08-08 | 2022-09-02 | 深圳传音控股股份有限公司 | Processing method, communication device, and storage medium |
| CN115002870B (en)* | 2022-08-08 | 2022-12-06 | 深圳传音控股股份有限公司 | Processing method, communication device, and storage medium |
| CN115720191A (en)* | 2022-10-09 | 2023-02-28 | 福建星网智慧软件有限公司 | Method, system and network equipment for automatically configuring QoS based on network service |
| CN116993307A (en)* | 2023-09-28 | 2023-11-03 | 广东省信息工程有限公司 | Collaborative office method and system with artificial intelligence learning capability |
| CN116993307B (en)* | 2023-09-28 | 2024-01-05 | 广东省信息工程有限公司 | Collaborative office method and system with artificial intelligence learning capability |
| Publication | Publication Date | Title |
|---|---|---|
| CN114357319A (en) | Network request processing method, apparatus, device, storage medium and program product | |
| US20200234144A1 (en) | Generating training datasets for training neural networks | |
| CN113626719A (en) | Information recommendation method, device, equipment, storage medium and computer program product | |
| CN112015896B (en) | Emotion classification method and device based on artificial intelligence | |
| CN106845644A (en) | A kind of heterogeneous network of the contact for learning user and Mobile solution by correlation | |
| CN111914178A (en) | Information recommendation method and device based on artificial intelligence, electronic equipment and storage medium | |
| CN113643532B (en) | Regional traffic prediction method and device | |
| CN113068131A (en) | Method, device, equipment and storage medium for predicting user movement mode and track | |
| CN115423190A (en) | Method and system for training model and method and system for predicting sequence data | |
| CN117332033B (en) | A method, device, computer equipment and storage medium for generating space-time trajectory | |
| CN115221396A (en) | Information recommendation method, device and electronic device based on artificial intelligence | |
| CN116204709A (en) | Data processing method and related device | |
| US20220414689A1 (en) | Method and apparatus for training path representation model | |
| CN116523104A (en) | Abnormal group flow prediction method and device based on context awareness and deep learning | |
| CN112861474B (en) | Information labeling method, device, equipment and computer readable storage medium | |
| CN111414538A (en) | Artificial intelligence-based text recommendation method, device and electronic device | |
| CN110263250A (en) | A kind of generation method and device of recommended models | |
| CN117132958B (en) | Road element identification method and related device | |
| CN113191527A (en) | Prediction method and device for population prediction based on prediction model | |
| CN112183824A (en) | An online-offline-related urban passenger flow forecasting method | |
| CN114880565B (en) | Information recommendation method, model training method and related device | |
| CN114358186B (en) | A data processing method, device and computer readable storage medium | |
| CN116150699A (en) | Traffic flow prediction method, device, equipment and medium based on deep learning | |
| HK40067590A (en) | Network request processing method, device, equipment, storage medium and program product | |
| CN116150289A (en) | Method and device for representing position information, electronic equipment and storage medium |
| Date | Code | Title | Description |
|---|---|---|---|
| PB01 | Publication | ||
| PB01 | Publication | ||
| REG | Reference to a national code | Ref country code:HK Ref legal event code:DE Ref document number:40067590 Country of ref document:HK | |
| SE01 | Entry into force of request for substantive examination | ||
| SE01 | Entry into force of request for substantive examination |