Movatterモバイル変換


[0]ホーム

URL:


CN114343641A - Learning difficulty intervention training guidance method and system thereof - Google Patents

Learning difficulty intervention training guidance method and system thereof
Download PDF

Info

Publication number
CN114343641A
CN114343641ACN202210076823.7ACN202210076823ACN114343641ACN 114343641 ACN114343641 ACN 114343641ACN 202210076823 ACN202210076823 ACN 202210076823ACN 114343641 ACN114343641 ACN 114343641A
Authority
CN
China
Prior art keywords
user
training
detection
data
attention
Prior art date
Legal status (The legal status is an assumption and is not a legal conclusion. Google has not performed a legal analysis and makes no representation as to the accuracy of the status listed.)
Withdrawn
Application number
CN202210076823.7A
Other languages
Chinese (zh)
Inventor
李熠华
Current Assignee (The listed assignees may be inaccurate. Google has not performed a legal analysis and makes no representation or warranty as to the accuracy of the list.)
Guangzhou Yihua Education Consulting Service Co ltd
Original Assignee
Guangzhou Yihua Education Consulting Service Co ltd
Priority date (The priority date is an assumption and is not a legal conclusion. Google has not performed a legal analysis and makes no representation as to the accuracy of the date listed.)
Filing date
Publication date
Application filed by Guangzhou Yihua Education Consulting Service Co ltdfiledCriticalGuangzhou Yihua Education Consulting Service Co ltd
Priority to CN202210076823.7ApriorityCriticalpatent/CN114343641A/en
Publication of CN114343641ApublicationCriticalpatent/CN114343641A/en
Withdrawnlegal-statusCriticalCurrent

Links

Images

Landscapes

Abstract

The invention provides a learning difficulty intervention training system, which comprises a detection device, a training device, an acquisition device and a processor, wherein the processor is respectively in control connection with the detection device, the training device and the acquisition device; the detection device is used for detecting the used physiological parameters; the training device is used for training a user; the acquisition device is used for acquiring image or video data of the movement range or the movement of a user; the detection device comprises a detection mechanism and a storage mechanism, wherein the storage mechanism is used for storing detection data of a user, and the detection mechanism is used for collecting physiological data of the user. The invention enables the data of the detection device to be transmitted to the training device by adopting the mutual cooperation of the detection device and the training device, and the processor carries out evaluation based on the data of the detection device and is used for determining different training types of the user.

Description

Learning difficulty intervention training guidance method and system thereof
Technical Field
The invention relates to a learning difficulty intervention training guidance method and a system thereof.
Background
Attention deficit can lead to hyperactivity disorders and learning disorders. It is most seen in children and adolescents, and has two prominent manifestations: hyperactivity and distraction. The infant cannot receive good education, and has boredom, escape and reduced performance in schools; after the growth, the basic knowledge is poor, the skills necessary for life are difficult to learn, and the employment is difficult, so that the life is influenced. The current treatment of attention deficit hyperactivity disorder is mainly limited to neurostimulation and sedation drugs, which have many side effects and cause much harm to children in physical development.
A large number of existing technologies such as KR104128364B1, EP2472996B1 and US07210396B1 are found through retrieval, the existing technologies mainly aim at exercise treatment, a currently adopted unicycle, a ladder stand device and a rope puller are mainly used for training to improve the coordination of the body of a child, the upper limb and hand strength training is single in the unicycle training, the lower limb and hand strength of the child are mainly exercised, the body coordination cannot be systematically adjusted, meanwhile, when the child treads the unicycle, the training is carried out for individual projects, the learning interest of the child is not reduced, and the attention of the child is difficult to concentrate for a long time.
The invention aims to solve the problems that the detection means is lack, the evaluation means is inaccurate, the training echelon cannot be adjusted, the comfort is poor, the training cannot be aimed at and the like in the field.
Disclosure of Invention
The invention aims to provide a training guidance method and a system for learning difficulty intervention aiming at the defects of the current attention training.
In order to overcome the defects of the prior art, the invention adopts the following technical scheme:
a training system for learning difficulty intervention comprises a detection device, a training device, an acquisition device and a processor, wherein the processor is respectively in control connection with the detection device, the training device and the acquisition device; the detection device is used for detecting the used physiological parameters; the training device is used for training the user; the acquisition device is used for acquiring image or video data of the movement range or the movement of a user; the detection device comprises a detection mechanism and a storage mechanism, wherein the storage mechanism is used for storing detection data of the user, and the detection mechanism is used for acquiring physiological data of the user; wherein the physiological data comprises heartbeat, frequency of motion, and distance moved;
the detection mechanism comprises a detection probe and a fixed seat, the detection probe is arranged on one side end face of the fixed seat, an accommodating cavity is formed in the end face and used for storing the detection probe, the detection probe extends towards one side of the body of the user, and the detection probe is in contact with the skin of the user in the using process; the detection probe comprises a plurality of vibration sensors and an accelerometer, and each vibration sensor is used for sensing vibration or displacement data generated by the user; the accelerometer is used for capturing the rotation direction of the limbs of the user, if the user generates movement, several groups of speed parameters of the accelerometer are acquired,
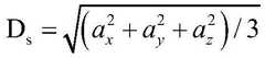
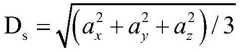
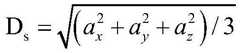
wherein the several sets of vibration parameters include ax,ay,azCorresponding to the vibration quantity of the accelerometer in the directions of the x axis, the y axis and the z axis and the action vibration quantity D of the users
Figure BDA0003484395920000021
Assume that the initial position of the in-use action is Q (x)1,y1,z1) There is:
Figure BDA0003484395920000022
wherein,
Figure BDA0003484395920000023
is the motion offset; (x)r,yr,zz) A destination location for the user movement; s is any point on the plane determined by the initial position Q; omegazThe occupation proportion of the user on the S plane is shown;
Figure BDA0003484395920000024
is the operation of a coordinate matrix;
Figure BDA0003484395920000025
wherein, BδEvaluating the description for the action; y isγThe amplitude parameter is an amplitude parameter of the user not doing the action, and when the value is 0, the user does not do the action; omega0Is a vibration threshold on a spatial axis; g is a calibration parameter whose value is related to the frequency of the user's movements per unit time and is measured directly by the vibration sensor.
Optionally, the detection device further includes a fixing mechanism, the detection mechanism is disposed on the fixing mechanism to form a detection portion, and the detection portion is worn on the wrist or body of the user to collect data of the user; the fixing mechanism comprises a fixing strap and a locking member for locking the fixing strap; the fixing belts are arranged on two sides of the detection mechanism and used for fixing with the user to detect the physiological data of the user.
Optionally, the training device includes a display terminal, a task management module and a list issuing module, where the display terminal is used for collecting the input of the user and feeding the input back to the processor; the task management module is used for managing the evaluation data corresponding to the user; the list issuing module is used for verifying the identity of the user and issuing a corresponding list through manual or automatic identification.
Optionally, the acquisition device includes an acquisition mechanism and a steering mechanism, and the acquisition mechanism is used for acquiring image data or video data of a training place and the user; the steering mechanism is used for adjusting the detection angle of the acquisition mechanism; the acquisition mechanism is used for acquiring parameters of the actions of the user; wherein the parameters include data of motion, attention and gaze.
Optionally, the collecting mechanism includes a collecting probe, a fixing member and a wearing member, and the collecting probe is respectively disposed on the fixing member and the wearing member and is used for collecting data of a user; wherein the wearing member is for wearing on the forehead; the fixing component is arranged on the display terminal, extends out towards one side of the user and detects the action of the user.
Optionally, the acquisition mechanism further includes a trigger component, the trigger component is configured to control data connection between the fixing component and the wearing component, so as to perform data connection between the processor and the display terminal, the trigger component includes a trigger module and a connection module, and the fixing component and the wearing component are connected to the processor or the display terminal through the connection module; the triggering module is used for determining the connection request of the connection module so as to establish a stable transmission path.
In addition, the invention also provides a learning difficulty intervention training guidance method, which comprises the following steps: evaluating a user by a detection device to determine a training type of the user; and establishing different models based on the determined training type, wherein the models comprise: staring at a training model, a meditation training model, a chart training model, a repeat training model, an object-finding game model, a celestial beauty flower scattering method and a picture-viewing training model; the training types correspond to one or more scenarios, and items in the scenarios are adjusted based on an evaluation of an acquisition device.
Optionally, the training method includes distributing, by the processor, set scene items based on the selected scene, training according to the scene items, and performing each training operation in the scene items at any time; wherein, in the training process, the real-time data of the user is acquired through the detection device and the acquisition device; and if the real-time data fed back by the detection device and the acquisition device has interruption, updating the project through a processor.
Optionally, the training method includes determining the identity of the user, and monitoring the state of the user during the interaction process to determine the attention or behavior habit of the user; when the attention of the user is lower than a set minimum threshold, detecting the time consumed by the user between an initial stage and an end stage of attention training and timing; then, an interrupt is generated at the executing list, a training list for the attention is placed, and the executing training list is placed.
Optionally, the training method comprises applying sensory detection to the user during the detection period using the acquisition device, the sensory stimulation being associated with a bias of attention, wherein the bias of attention indicates that attention input is impaired with or without sensory detection;
measuring the subject's response to the applied sensory stimulus at time N using a detection device that measures the response to the corresponding physiological response;
calculating a real-time attention deviation score of the user in the detection period, wherein the real-time attention deviation score is based on the following steps: the measured response of the user to the time applies a sensory test over a test period; a measured response in time of the subject to the applied sensory detection; real-time attention bias feedback at the detection period is output in real-time indicative of the real-time attention bias score calculated at the detection period using an output device, the real-time attention bias feedback being relative to a corresponding attention bias table output by the detection apparatus.
The beneficial effects obtained by the invention are as follows:
1. the training device is matched with the detection device, the training type of a user is determined through data interaction, meanwhile, the training device is also matched with the acquisition device, so that data of the acquisition device can be fed back to the training device, the data detected by the acquisition device is fed back in real time in the training process, and the attention deviation table of attention or special attention is judged through the action of the user;
2. by adopting the detection device to be matched with the training device, the data of the detection device can be transmitted to the training device, and the processor carries out evaluation based on the data of the detection device so as to determine different training types of the user;
3. the detection device is arranged on the wrist or any position of limbs of a user and is in direct contact with the skin so as to detect the physiological data of the user;
4. the data of the cloud platform is downloaded or issued, so that a user can independently train;
5. determining an assessment of the user by flagging normal signals and abnormal signals; namely: the evaluation data is used for processing abnormal signal values, so that the influence of normal signal values on the evaluation precision is effectively avoided;
6. the attention or concentration can be judged through the attention or concentration data to obtain an attention deviation scale;
7. the wearing member is used for wearing coaching of the user on the face or forehead of the person, and data of attention or concentration of the user are collected;
8. the state of the user is subjected to video or image data acquisition through the fixing component so as to acquire the attention or concentration data of the user, so that the accuracy of the attention deviation meter is higher.
Drawings
The invention will be further understood from the following description in conjunction with the accompanying drawings. The components in the figures are not necessarily to scale, emphasis instead being placed upon illustrating the principles of the embodiments. Like reference numerals designate corresponding parts throughout the different views.
FIG. 1 is a schematic control flow diagram of the present invention.
Fig. 2 is a schematic structural view of the display terminal, a user and a fixing member.
Fig. 3 is a schematic structural diagram of the display terminal and the acquisition mechanism.
Fig. 4 is a schematic structural view of the fixing member.
Fig. 5 is a schematic structural view of the driving portion and the fixing member.
Fig. 6 is a schematic structural view of the detection mechanism and the fixing mechanism.
Fig. 7 is a schematic structural view of the fixing strap and the fixing base.
Fig. 8 is a schematic structural view of the wearing member.
Fig. 9 is a schematic view of an application scenario of the wearing member and the user.
The reference numbers illustrate: 1-a display terminal; 2-a fixation member; 3-a connecting rod; 4-magnetic attraction seat; 5-fixing the base; 6, fixing the belt; 7-a locking member; 8-elastic band; 9-a support seat; 10-a storage tank; 11-a steering section; 12-a movable groove; 13-a detection probe; 14-voice alarm module.
Detailed Description
In order to make the objects, technical solutions and advantages of the present invention more apparent, the present invention is further described in detail below with reference to embodiments thereof; it should be understood that the specific embodiments described herein are merely illustrative of the invention and are not intended to limit the invention. Other systems, methods, and/or features of the present embodiments will become apparent to those skilled in the art upon review of the following detailed description. It is intended that all such additional systems, methods, features and advantages be included within this description, be within the scope of the invention, and be protected by the accompanying claims. Additional features of the disclosed embodiments are described in, and will be apparent from, the detailed description that follows.
The same or similar reference numerals in the drawings of the embodiments of the present invention correspond to the same or similar components; in the description of the present invention, it should be understood that if there is an orientation or positional relationship indicated by the terms "upper", "lower", "left", "right", etc. based on the orientation or positional relationship shown in the drawings, it is only for convenience of describing the present invention and simplifying the description, but it is not intended to indicate or imply that the device or component referred to must have a specific orientation, be constructed in a specific orientation, and be operated, and therefore, the terms describing the positional relationship in the drawings are only used for illustrative purposes and are not to be construed as limiting the present patent, and the specific meaning of the terms described above will be understood by those of ordinary skill in the art according to the specific circumstances.
The first embodiment is as follows: according to fig. 1 to 9, the present embodiment provides a training system for learning difficult intervention, where the training system includes a detection device, a training device, an acquisition device, and a processor, and the processor is respectively in control connection with the detection device, the training device, and the acquisition device, and performs accurate control on each device based on the centralized control of the processor; the training system also comprises a communication device, wherein the communication device is used for mutually transmitting the acquisition device, the training device and the detection device, so that data among the detection device, the acquisition device and the training device can be transmitted, and the data of each device can be interactively transmitted and communicated; the detection device is arranged on the wrist of the user or any position of limbs and is in direct contact with the skin to detect physiological data of the user, and is preferably worn on the wrist of the user so that the movement or action process of the wrist of the user can be collected, and meanwhile, the detection device is matched with the training device so that the data of the detection device can be transmitted to the training device and evaluated by the processor based on the data of the detection device to determine different training types of the user;
the training system further comprises a cloud platform and a mobile terminal, wherein the mobile terminal is connected with the cloud platform, so that data corresponding to the cloud platform can be transmitted to the mobile terminal; the cloud platform is in control connection with the processor and is based on centralized control of the processor; in addition, the cloud platform needs to verify the identity of the mobile terminal in the process of connecting with the mobile terminal, and after the identity is determined, the access of the mobile terminal to the cloud platform is authorized, and only the access right to the file of the user is granted; the mobile terminal includes, but is not limited to, the following listed several: mobile devices such as smart phones, tablets or computers; after the training type of the user is determined, uploading the training type to a cloud platform, and enabling the user to train autonomously through data downloading or issuing of the cloud platform;
the detection device is used for detecting the used physiological parameters; the training device is used for training the user; the acquisition device is used for acquiring image or video data of the movement range or the movement of a user; the physiological parameters include, but are not limited to, the following listed ones: heartbeat, temperature, vibration, and movement acceleration, etc.;
the detection device comprises a detection mechanism and a storage mechanism, wherein the storage mechanism is used for storing detection data of the user, and the detection mechanism is used for acquiring physiological data of the user; wherein the physiological data comprises heartbeat, frequency of motion, and distance moved; the storage mechanism is matched with the detection mechanism and is used for detecting the physiological data or the movement data of the user so as to determine the training type of the user; in this embodiment, an abnormal learning habit (referred to as CASH for short) is corrected, and a learning or attention-focusing effect is achieved by training a defect that the user does not have good actions or does not focus on attention; the storage mechanism comprises a storage unit and a register, wherein the register is used for preliminarily storing operation or training data of the user in the training process, and the operation or training data can be stored in the storage unit after being further authorized; the storage unit is used for storing the whole data of the user, so that the training data or the detection data of the user can be stored in the storage unit;
the detection device further comprises a fixing mechanism, the detection mechanism is arranged on the fixing mechanism to form a detection part, and the detection part is worn on the wrist or body of the user to collect data of the user; the fixing mechanism comprises a fixing strap and a locking member for locking the fixing strap; the fixing belts are arranged on two sides of the detection mechanism and used for fixing with the user so as to detect the physiological data of the user;
optionally, the detection mechanism includes a detection probe and a fixing seat, the detection probe is disposed on an end surface of one side of the fixing seat, and the end surface is provided with an accommodating cavity for the detection probe to be stored, and the detection probe extends out towards one side of the body of the user, wherein the detection probe contacts with the skin of the user in the using process; the fixing belts are arranged on two side walls of the fixing seat and hinged with the side walls, and the other ends of the fixing belts are connected with the fixing component to bind the wrist of the user; preferably, the fixing mechanism and the detecting mechanism are bound on the wrist; in addition, the detection mechanism is arranged on the fixed seat, extends out towards one side of the skin of the user and is used for measuring the physiological data of the user; meanwhile, the locking member is used for binding the fixing bands symmetrically arranged with the fixing seat on the wrist of the user, which is a means well known to those skilled in the art, and those skilled in the art can query a related technical manual or the technology, so that details are not repeated in this embodiment;
the detection probe comprises a plurality of vibration sensors and an accelerometer, and each vibration sensor is used for sensing vibration or displacement data generated by the user; the detection mechanism is arranged on the fixing mechanism, is fixed or bound with the wrist or the body of the user through the fixing mechanism and is used for fixing the position of the detection mechanism; each of the vibration sensors is used for detecting the vibration generated by the user or the slight vibration generated by the movement, is captured by each vibration sensor and is stored in the storage unit; if the vibration data of the vibration sensor exceeds a set allowable maximum threshold value; will be stored in the speaking memory cell and marked as an abnormal signal; determining an assessment of the user by flagging normal signals and abnormal signals; namely: the evaluation data is used for processing abnormal signal values, so that the influence of normal signal values on the evaluation precision is effectively avoided; the accelerometer is used for capturing the rotation direction of the limbs of the user, if the user generates movement, several groups of speed parameters of the accelerometer are acquired,
wherein the several sets of vibration parameters include ax,ay,azCorresponding to the vibration quantity of the accelerometer in the directions of the x axis, the y axis and the z axis and the action vibration quantity D of the users
Figure BDA0003484395920000081
Assume that the initial position of the in-use action is Q (x)1,y1,z1) There is:
Figure BDA0003484395920000082
wherein,
Figure BDA0003484395920000083
is the motion offset; (x)r,yr,zz) A destination location for the user movement; s is any point on the plane determined by the initial position Q; omegazThe occupation proportion of the user on the S plane is shown;
Figure BDA0003484395920000084
is the operation of a coordinate matrix;
Figure BDA0003484395920000085
wherein, BδEvaluating the description for the action; y isγThe amplitude parameter is an amplitude parameter of the user not doing the action, and when the value is 0, the user does not do the action; omega0Is a vibration threshold on a spatial axis; g is a calibration parameter, the value of which is the frequency of the user's actions per unit timeIn this connection, the measurement is made directly by means of a vibration sensor.
The g can be obtained according to vibration signals detected by the vibration sensors, so that the frequency of the user's actions is collected, and particularly, the data of the frequency of the vibration comprises normal vibration and abnormal vibration signals; when the accelerometer is used for a user, an allowable vibration threshold value needs to be set so as to prevent the vibration action of the normal action of the user from being triggered by mistake; in this example, a set vibration threshold is exceeded before being captured by the accelerometer, and the sensitivity of the accelerometer corresponding to the set vibration threshold may be adjusted prior to use to prevent false triggering; when the vibration is lower than a set threshold value, the vibration is considered to be normal or allowable, and at the moment, the accelerometer cannot be triggered.
Optionally, the training device includes a display terminal, a task management module and a list issuing module, where the display terminal is used for collecting the input of the user and feeding the input back to the processor; the task management module is used for managing the evaluation data corresponding to the user; the list issuing module is used for verifying the identity of the user and issuing a corresponding list through manual or automatic identification; the display terminal can be used as training equipment of a user, the user trains the attention or coordination ability of the user by acting on the display terminal in the training process, and the state of the user during training is collected in the training process; in addition, the task management module is matched with the list issuing module to determine that the data of the user is accurately issued; before the training process, the identity of the user needs to be verified, and the training items of the user are determined; wherein the determined training items are based on the type of the user determined after the plurality of items of the detection data of the detection device; the training device is matched with the detection device, and data interaction is carried out to determine the training type of the user;
meanwhile, the training device is matched with the acquisition device, so that data of the acquisition device can be fed back to the training device, the data detected by the acquisition device is fed back in real time in the training process, the attention deviation table of attention or concentration is judged through the action of the user, if the data is lower than a set allowable minimum threshold value, interruption is generated in the training process, and the attention or the concentration is preferentially trained to ensure the training effect of the user; the lowest threshold value may be adjusted artificially according to an examination standard, or adaptively according to parameters such as the age of the user, which are not described in detail herein;
optionally, the acquisition device includes an acquisition mechanism and a steering mechanism, and the acquisition mechanism is used for acquiring image data or video data of a training place and the user; the steering mechanism is used for adjusting the detection angle of the acquisition mechanism; the acquisition mechanism is used for acquiring parameters of the actions of the user; wherein the parameters include data of motion, attention and gaze; optionally, the collecting mechanism includes a collecting probe, a fixing member and a wearing member, and the collecting probe is respectively disposed on the fixing member and the wearing member and is used for collecting data of a user; wherein the wearing member is for wearing on the forehead; the fixing component is arranged on the display terminal, extends out towards one side of the user and detects the action of the user; the steering mechanism is matched with the detection mechanism, so that the detection mechanism can adjust the detection position of the detection mechanism, and particularly, the steering mechanism adjusts the detection angle of the steering probe to realize the adjustment of the detection position of the detection probe; the detection probe is in driving connection with the steering mechanism to form a steering part, and the steering part is arranged on the fixed component and the wearing component; in addition, the wearing member is used for wearing the coaching of the user on the face or forehead of the person and collecting the data of the attention or the concentration of the user; wherein the acquired data comprises video or picture data, and evaluation is performed according to the image or video data; meanwhile, the fixed component and the steering part arranged in the fixed component are sucked above the display terminal, and the detection probe faces the face of the user so as to acquire the attention or concentration data of the user; -said attention or concentration can be assessed by said attention or concentration data to obtain an attention deviation scale;
the fixing component comprises a fixing seat, a connecting rod, a magnetic attraction piece and a magnetic attraction seat, wherein the magnetic attraction seat is arranged at the upper top of the display terminal and used for attracting the fixing component; the connecting rod is arranged on one side of the fixed seat and connected with the fixed seat, and the other end of the connecting rod is connected with the magnetic attraction piece; the magnetic part and the magnetic base are attracted with each other to realize stable support of the fixed base; the fixed seat is provided with a storage cavity accommodated by the steering part, and the inner wall of the storage cavity is provided with a movable groove for steering the steering part; the detection probe faces the movable groove and performs left and right operations as well as pitch and pitch operations under the steering operation of the steering mechanism; in addition, the groove length of the movable groove is matched with the steering angle of the steering part;
the wearing component comprises a supporting seat and an elastic band, the elastic band is arranged on one side of the supporting seat, two ends of the elastic band are hinged with the supporting seat to form nested rings, when the wearing component needs to be worn, the elastic band is nested with the head of a user through the nested rings, and the elasticity of the elastic band is utilized to fix the wearing component; in addition, a storage groove for the steering part is arranged at the front end of the supporting seat, and the storage groove is arranged on one side of the supporting seat, which is far away from the elastic band, and is opened towards the direction of the user; in addition, the groove length of the storage groove is matched with the steering angle of the steering part;
optionally, the acquisition mechanism further includes a trigger component, the trigger component is configured to control data connection between the fixing component and the wearing component, so as to perform data connection between the processor and the display terminal, the trigger component includes a trigger module and a connection module, and the fixing component and the wearing component are connected to the processor or the display terminal through the connection module; the trigger module is used for determining a connection request of the connection module so as to establish a stable transmission path; the triggering component respectively controls the connection or triggering signal of the fixing component and the wearing component so as to form a stable data transmission path;
in addition, the embodiment also provides a learning difficulty intervention training guidance method, which includes: evaluating a user by a detection device to determine a training type of the user; and establishing different models based on the determined training type, wherein the models comprise: staring at a training model, a meditation training model, a chart training model, a repeat training model, an object-finding game model, a celestial beauty flower scattering method and a picture-viewing training model; the training types correspond to one or more scenes, and items in the scenes are adjusted based on evaluation of an acquisition device; through selecting different models for use, the concentration or attention of the user is trained, and the use feeling of the user is improved.
Optionally, the training method includes distributing, by the processor, set scene items based on the selected scene, training according to the scene items, and performing each training operation in the scene items at any time; wherein, in the training process, the real-time data of the user is acquired through the detection device and the acquisition device; if the real-time data fed back by the detection device and the acquisition device has interruption, updating the project through a processor; monitoring the state of the user in real time through the acquisition device, and if the user is not used or has weak control force, inserting the training or hobbies liked by the user through interruption to improve the attention or interest points of the user;
optionally, the training method includes determining the identity of the user, and monitoring the state of the user during the interaction process to determine the attention or behavior habit of the user; when the attention of the user is lower than a set minimum threshold, detecting the time consumed by the user between an initial stage and an end stage of attention training and timing; generating interruption at the executed list, putting the training list for attention, and putting the executed training list;
optionally, the training method comprises applying sensory detection to the user during the detection period using the acquisition device, the sensory stimulation being associated with a bias of attention, wherein the bias of attention indicates that attention input is impaired with or without sensory detection; measuring the subject's response to the applied sensory stimulus at time N using a detection device that measures the response to the corresponding physiological response; calculating a real-time attention deviation score of the user in the detection period, wherein the real-time attention deviation score is based on the following steps: the measured response of the user to the time applies a sensory test over a test period; a measured response in time of the subject to the applied sensory detection; real-time attention bias feedback at the detection period is output in real-time indicative of the real-time attention bias score calculated at the detection period using an output device, the real-time attention bias feedback being relative to a corresponding attention bias table output by the detection apparatus.
Example two: the present embodiment should be understood to include at least all the features of any one of the foregoing embodiments and further improved on the basis thereof, according to fig. 1-9, it further includes a gaze training module, a meditation training module, a graph training module, a repeat training module, an object-seeking game module, a sky-girl blossoming method and a picture-viewing training module, wherein the gaze training module draws a plurality of dots on a display terminal in the order of top-down, self-enlargement and small by a user with a red pen on the display terminal, the user sits, relaxes, guides the user, looks at the topmost dot during the line drawing process, and is prompted by the display terminal with voice, so that the user can perform training operations according to the voice prompt contents to realize that the user feels that the red dot is gradually becoming bigger and clearer; when staring at the round points, encouraging the user to prolong the non-blinking time as much as possible, and then sequentially changing to small red points for continuous training; each training is performed 1 time each day in the morning and afternoon with the degree of not feeling the fatigue of eyes, the reminding is performed through a display terminal and a voice alarm module arranged on the display terminal, meanwhile, data are collected through a fixing component arranged on the upper end face of the display terminal and are fed back to a processor, and the processor evaluates and records the training scores; at home or in other application scenes, training can be carried out by the mobile terminal, when the training data is submitted or uploaded to a corresponding folder in the cloud server, automatic evaluation guidance is carried out by the system, and a training suggestion is provided;
the meditation training module is used for carrying out meditation training on the user by matching wearing a detection device with the mobile terminal or the display terminal, and the meditation training is carried out for 5min each time; the user relaxes and lies on the bed, guides the user to inhale slowly and deeply and simultaneously develops positive imagination, imagines that the warm golden sun penetrates to the abdomen from the head and neck part of the user, then imagines that the sun runs to the heel part of the user from the abdomen and penetrates out during exhalation, leads the user to make efforts for coordination on the energy obtained in respiration and imagination, and prompts that the whole body capacity is effectively concentrated when the energy flows throughout the body along with the inhalation-exhalation process; meanwhile, data are collected through the fixing component arranged on the upper end face of the display terminal and fed back to the processor, and the processor evaluates and records the training results; at home or in other application scenes, training can be carried out by the mobile terminal, when the training data is submitted or uploaded to a corresponding folder in the cloud server, automatic evaluation guidance is carried out by the system, and a training suggestion is provided;
for a chart training module, a form with 25 small squares is prepared, the sequence of 1-25 numbers is disorganized and randomly filled in the form, a user counts from 1 to 25 at the fastest speed, reads and points out corresponding numbers at the same time, each row carries out 1 training each time every morning and afternoon, the accuracy and the completion time are recorded, and the user can be immediately affirmed and raised when the speed and the accuracy are improved; meanwhile, data are collected through the fixing component arranged on the upper end face of the display terminal and fed back to the processor, and the processor evaluates and records the training results; at home or in other application scenes, training can be carried out by the mobile terminal, when the training data is submitted or uploaded to a corresponding folder in the cloud server, automatic evaluation guidance is carried out by the system, and a training suggestion is provided;
for the repeating training module, a user can repeat the training by reciting a group of digit strings consisting of 5-6 digits, the training is carried out 2 times a day, each time lasts for 5-10 min, the training result is recorded, and the user can immediately raise and confirm the progress; meanwhile, data are collected through the fixing component arranged on the upper end face of the display terminal and fed back to the processor, and the processor evaluates and records the training results; at home or in other application scenes, training can be carried out by the mobile terminal, when the training data is submitted or uploaded to a corresponding folder in the cloud server, automatic evaluation guidance is carried out by the system, and a training suggestion is provided;
in the object searching game module, the user is guided to mix daily common life objects at one place, the user optionally speaks the object name, the user finds out the object name, the speed of the pronunciation of the object is reasonably accelerated along with the progress of the reaction capability of the user, the training is carried out for 2-3 times every day, 10min each time, and the training implementation mode is the same as the repeating method; (6) a method of dispersing flowers for Tiannu; the user mixes 25-30 colorful balls with different colors and moderate sizes into one position, the user rapidly picks up two balls from the position and throws the balls with two hands, so that the balls roll on the table from the hands at the same time, after all the balls fall down, the user checks the colors (timing) of the balls, then speaks the number of the balls with various colors back to the balls, records the accuracy and the use time, and timely affirms the progress of the user to be displayed, meanwhile, the data is collected by the fixing component arranged on the upper end surface of the display terminal and is fed back to the processor, and the processor evaluates and records the training performance; at home or in other application scenes, training can be carried out by the mobile terminal, when the training data is submitted or uploaded to a corresponding folder in the cloud server, automatic evaluation guidance is carried out by the system, and a training suggestion is provided;
in the picture-viewing training module, a user uses a mobile terminal as a tool, shows a picture which is favored by the user every day, describes the picture content in a picture-viewing speaking mode, wakes up the picture by combining the picture mood to guide the past life memory, trains for 5-10 min every time for 1-2 times every day, records the training result, and raises the training result in time and consciously leads the user to develop divergent thinking in a focused manner; meanwhile, data are collected through the fixing component arranged on the upper end face of the display terminal and fed back to the processor, and the processor evaluates and records the training results; at home or in other application scenarios, training can be performed by the mobile terminal, and when the training data is submitted or uploaded to a corresponding folder in the cloud server, the system performs automatic evaluation guidance and provides training suggestions.
In the above embodiments, the descriptions of the respective embodiments have respective emphasis, and reference may be made to the related descriptions of other embodiments for parts that are not described or illustrated in a certain embodiment.
Although the invention has been described above with reference to various embodiments, it should be understood that many changes and modifications may be made without departing from the scope of the invention. That is, the methods, systems, and devices discussed above are examples. Various configurations may omit, substitute, or add various procedures or components as appropriate. For example, in alternative configurations, the methods may be performed in an order different than that described, and/or various components may be added, omitted, and/or combined. Moreover, features described with respect to certain configurations may be combined in various other configurations, as different aspects and elements of the configurations may be combined in a similar manner. Further, elements therein may be updated as technology evolves, i.e., many elements are examples and do not limit the scope of the disclosure or claims.
Specific details are given in the description to provide a thorough understanding of the exemplary configurations including implementations. However, configurations may be practiced without these specific details, for example, well-known circuits, processes, algorithms, structures, and techniques have been shown without unnecessary detail in order to avoid obscuring the configurations. This description provides example configurations only, and does not limit the scope, applicability, or configuration of the claims. Rather, the foregoing description of the configurations will provide those skilled in the art with an enabling description for implementing the described techniques. Various changes may be made in the function and arrangement of elements without departing from the spirit or scope of the disclosure.
In conclusion, it is intended that the foregoing detailed description be regarded as illustrative rather than limiting, and that it be understood that these examples are illustrative only and are not intended to limit the scope of the invention. After reading the description of the invention, the skilled person can make various changes or modifications to the invention, and these equivalent changes and modifications also fall into the scope of the invention defined by the claims.

Claims (10)

1. The training system is characterized by comprising a detection device, a training device, an acquisition device and a processor, wherein the processor is respectively in control connection with the detection device, the training device and the acquisition device; the detection device is used for detecting the used physiological parameters; the training device is used for training the user; the acquisition device is used for acquiring image or video data of the movement range or the movement of a user; the detection device comprises a detection mechanism and a storage mechanism, wherein the storage mechanism is used for storing detection data of the user, and the detection mechanism is used for acquiring physiological data of the user; wherein the physiological data comprises heartbeat, frequency of motion, and distance moved;
the detection mechanism comprises a detection probe and a fixed seat, the detection probe is arranged on one side end face of the fixed seat, an accommodating cavity is formed in the end face and used for storing the detection probe, the detection probe extends towards one side of the body of the user, and the detection probe is in contact with the skin of the user in the using process;
the detection probe comprises a plurality of vibration sensors and an accelerometer, and each vibration sensor is used for sensing vibration or displacement data generated by the user; the accelerometer is used for capturing the rotation direction of the limbs of the user, and if the user moves, several groups of speed parameters of the accelerometer are acquired, wherein the several groups of vibration parameters comprise ax,ay,azCorresponding to the vibration quantity of the accelerometer in the directions of the x axis, the y axis and the z axis and the action vibration quantity D of the users
Figure FDA0003484395910000011
Assume that the initial position of the in-use action is Q (x)1,y1,z1) There is:
Figure FDA0003484395910000012
wherein,
Figure FDA0003484395910000013
is the motion offset; (x)r,yr,zz) A destination location for the user movement; s is any point on the plane determined by the initial position Q; omegazThe occupation proportion of the user on the S plane is shown;
Figure FDA0003484395910000014
is the operation of a coordinate matrix;
Figure FDA0003484395910000015
wherein, BδEvaluating the description for the action; y isγThe amplitude parameter is an amplitude parameter of the user not doing the action, and when the value is 0, the user does not do the action; omega0Is a vibration threshold on a spatial axis; g is a calibration parameter whose value is related to the frequency of the user's movements per unit time and is measured directly by the vibration sensor.
2. The system for learning and difficult intervention training of claim 1, wherein the detection device further comprises a fixing mechanism, the detection mechanism is disposed on the fixing mechanism to form a detection part, and the detection part is worn on the wrist or body of the user to collect data of the user; the fixing mechanism comprises a fixing strap and a locking member for locking the fixing strap; the fixing belts are arranged on two sides of the detection mechanism and used for fixing with the user to detect the physiological data of the user.
3. The system for learning difficulty intervention training of claim 2, wherein the training device comprises a display terminal, a task management module and a list issuing module, wherein the display terminal is used for collecting the input of the user and feeding the input back to the processor; the task management module is used for managing the evaluation data corresponding to the user; the list issuing module is used for verifying the identity of the user and issuing a corresponding list through manual or automatic identification.
4. The system for learning and difficult intervention training of claim 3, wherein the collecting device comprises a collecting mechanism and a steering mechanism, the collecting mechanism is used for collecting image data or video data of a training place and the user; the steering mechanism is used for adjusting the detection angle of the acquisition mechanism; the acquisition mechanism is used for acquiring parameters of the actions of the user; wherein the parameters include data of motion, attention and gaze.
5. The learning difficulty intervention training system of claim 4, wherein the acquisition mechanism comprises an acquisition probe, a fixed member and a wearing member, the acquisition probe is respectively arranged on the fixed member and the wearing member for acquiring data of a user; wherein the wearing member is for wearing on the forehead; the fixing component is arranged on the display terminal, extends out towards one side of the user and detects the action of the user.
6. The system for learning difficult intervention training according to claim 5, wherein the acquisition mechanism further comprises a triggering member, the triggering member is used for controlling data connection between the fixing member and the wearing member so as to perform data connection between the processor and the display terminal, the triggering member comprises a triggering module and a connecting module, and the fixing member and the wearing member are connected with the processor or the display terminal through the connecting module; the triggering module is used for determining the connection request of the connection module so as to establish a stable transmission path.
7. A learning-difficult interventional training guidance method applying the interventional training system of claim 6, characterized in that the guidance method comprises: evaluating a user by a detection device to determine a training type of the user; and establishing different models based on the determined training type, wherein the models comprise: staring at a training model, a meditation training model, a chart training model, a repeat training model, an object-finding game model, a celestial beauty flower scattering method and a picture-viewing training model; the training types correspond to one or more scenarios, and items in the scenarios are adjusted based on an evaluation of an acquisition device.
8. The learning difficulty intervention training guidance method of claim 7, wherein the training method comprises the steps of distributing set scene items by a processor based on selected scenes, training according to the scene items, and executing each training operation in the scene items at any time; wherein, in the training process, the real-time data of the user is acquired through the detection device and the acquisition device; and if the real-time data fed back by the detection device and the acquisition device has interruption, updating the project through a processor.
9. The learning difficulty intervention training guidance method of claim 8, wherein the training method comprises determining the identity of the user and monitoring the status of the user during interaction to determine the attention or behavior habits of the user; when the attention of the user is lower than a set minimum threshold, detecting the time consumed by the user between an initial stage and an end stage of attention training and timing; then, an interrupt is generated at the executing list, a training list for the attention is placed, and the executing training list is placed.
10. A learning difficulty intervention training guidance method according to claim 9, wherein the training method comprises applying sensory detection to the user during the detection period using the collecting means, the sensory stimulation being associated with a bias of attention, wherein the bias of attention indicates that attention input is impaired with or without sensory detection;
measuring the subject's response to the applied sensory stimulus at time N using a detection device that measures the response to the corresponding physiological response;
calculating a real-time attention deviation score of the user in the detection period, wherein the real-time attention deviation score is based on the following steps: the measured response of the user to the time applies a sensory test over a test period; a measured response in time of the subject to the applied sensory detection; real-time attention bias feedback at the detection period is output in real-time indicative of the real-time attention bias score calculated at the detection period using an output device, the real-time attention bias feedback being relative to a corresponding attention bias table output by the detection apparatus.
CN202210076823.7A2022-01-242022-01-24Learning difficulty intervention training guidance method and system thereofWithdrawnCN114343641A (en)

Priority Applications (1)

Application NumberPriority DateFiling DateTitle
CN202210076823.7ACN114343641A (en)2022-01-242022-01-24Learning difficulty intervention training guidance method and system thereof

Applications Claiming Priority (1)

Application NumberPriority DateFiling DateTitle
CN202210076823.7ACN114343641A (en)2022-01-242022-01-24Learning difficulty intervention training guidance method and system thereof

Publications (1)

Publication NumberPublication Date
CN114343641Atrue CN114343641A (en)2022-04-15

Family

ID=81091293

Family Applications (1)

Application NumberTitlePriority DateFiling Date
CN202210076823.7AWithdrawnCN114343641A (en)2022-01-242022-01-24Learning difficulty intervention training guidance method and system thereof

Country Status (1)

CountryLink
CN (1)CN114343641A (en)

Cited By (2)

* Cited by examiner, † Cited by third party
Publication numberPriority datePublication dateAssigneeTitle
CN116312102A (en)*2023-01-032023-06-23重庆长安汽车股份有限公司Positive idea meditation training device, vehicle, method, and storage medium
CN118320260A (en)*2024-04-152024-07-12南通市第一人民医院Cognitive training instrument for old people based on AI technology

Citations (15)

* Cited by examiner, † Cited by third party
Publication numberPriority datePublication dateAssigneeTitle
CN101405563A (en)*2006-03-232009-04-08瑞尼斯豪公司Apparatus and method of measuring workpieces
CN106691441A (en)*2016-12-222017-05-24蓝色传感(北京)科技有限公司Attention training system based on brain electricity and movement state feedback and method thereof
US20170337834A1 (en)*2016-05-172017-11-23Rajaa ShindiInteractive brain trainer
CN107438398A (en)*2015-01-062017-12-05大卫·伯顿 Mobile Wearable Monitoring System
CN107577343A (en)*2017-08-252018-01-12北京航空航天大学It is a kind of based on the notice of haptic device and electroencephalogramsignal signal analyzing training and evaluating apparatus
CN108182541A (en)*2018-01-102018-06-19张木华A kind of blended learning recruitment evaluation and interference method and device
CN109806552A (en)*2019-01-282019-05-28北京航空航天大学 An attention training method and system based on synergistic control of breathing and force touch
US20190227536A1 (en)*2016-05-092019-07-25Strong Force Iot Portfolio 2016, LlcSystems, methods and apparatus for providing a reduced dimensionality view of data collected on a self-organizing network
US20200205748A1 (en)*2018-12-262020-07-02General Electric CompanySystems and methods for detecting patient state in a medical imaging session
CN111366332A (en)*2020-04-282020-07-03中山大学Three-degree-of-freedom decomposition mooring structure measurement experimental device
CN111603160A (en)*2020-05-212020-09-01江苏学典教育科技有限公司Concentration training method based on child electroencephalogram physiological parameter acquisition and emotion detection
CN111693024A (en)*2020-06-112020-09-22秦奕天Wearable human body sensing monitoring equipment based on nine-axis inertia measurement unit
CN112025700A (en)*2014-09-022020-12-04Mbl有限公司Robot control method and system for executing specific field application
US10876912B1 (en)*2014-03-202020-12-29Invent.Ly, LlcWearable user input device and sensor system to detect injury
JP2021051542A (en)*2019-09-252021-04-01トヨタ自動車株式会社Learning data collection device

Patent Citations (15)

* Cited by examiner, † Cited by third party
Publication numberPriority datePublication dateAssigneeTitle
CN101405563A (en)*2006-03-232009-04-08瑞尼斯豪公司Apparatus and method of measuring workpieces
US10876912B1 (en)*2014-03-202020-12-29Invent.Ly, LlcWearable user input device and sensor system to detect injury
CN112025700A (en)*2014-09-022020-12-04Mbl有限公司Robot control method and system for executing specific field application
CN107438398A (en)*2015-01-062017-12-05大卫·伯顿 Mobile Wearable Monitoring System
US20190227536A1 (en)*2016-05-092019-07-25Strong Force Iot Portfolio 2016, LlcSystems, methods and apparatus for providing a reduced dimensionality view of data collected on a self-organizing network
US20170337834A1 (en)*2016-05-172017-11-23Rajaa ShindiInteractive brain trainer
CN106691441A (en)*2016-12-222017-05-24蓝色传感(北京)科技有限公司Attention training system based on brain electricity and movement state feedback and method thereof
CN107577343A (en)*2017-08-252018-01-12北京航空航天大学It is a kind of based on the notice of haptic device and electroencephalogramsignal signal analyzing training and evaluating apparatus
CN108182541A (en)*2018-01-102018-06-19张木华A kind of blended learning recruitment evaluation and interference method and device
US20200205748A1 (en)*2018-12-262020-07-02General Electric CompanySystems and methods for detecting patient state in a medical imaging session
CN109806552A (en)*2019-01-282019-05-28北京航空航天大学 An attention training method and system based on synergistic control of breathing and force touch
JP2021051542A (en)*2019-09-252021-04-01トヨタ自動車株式会社Learning data collection device
CN111366332A (en)*2020-04-282020-07-03中山大学Three-degree-of-freedom decomposition mooring structure measurement experimental device
CN111603160A (en)*2020-05-212020-09-01江苏学典教育科技有限公司Concentration training method based on child electroencephalogram physiological parameter acquisition and emotion detection
CN111693024A (en)*2020-06-112020-09-22秦奕天Wearable human body sensing monitoring equipment based on nine-axis inertia measurement unit

Cited By (2)

* Cited by examiner, † Cited by third party
Publication numberPriority datePublication dateAssigneeTitle
CN116312102A (en)*2023-01-032023-06-23重庆长安汽车股份有限公司Positive idea meditation training device, vehicle, method, and storage medium
CN118320260A (en)*2024-04-152024-07-12南通市第一人民医院Cognitive training instrument for old people based on AI technology

Similar Documents

PublicationPublication DateTitle
US20200330033A1 (en)System for Training a Subject to Improve Psychophysiological Function for Performance Under Stress
KR102199189B1 (en)Acupuncture training system using mixed reality and acupuncture training method thereof
WO2018087408A1 (en)System for integrally measuring clinical parameters of visual function
KR101999748B1 (en)IoT FITNESS EQUIPMENT, EXERCISE INSTRUCTION SYSTEM, AND EXERCISE INSTRUCTION METHOD USING THEREOF
CN114343641A (en)Learning difficulty intervention training guidance method and system thereof
US10448868B2 (en)Systems and methods for monitoring hand and wrist movement
KR102712457B1 (en) Sports training aid with motion detector
US12179117B2 (en)Seat system and seat experience device
EP4148707A1 (en)Three-dimensional cognitive ability evaluation system
US20200168311A1 (en)Methods and systems of embodiment training in a virtual-reality environment
US10773123B1 (en)Systems and methods for wearable devices that determine balance indices
US20200100692A1 (en)Portable and wearable electromyographic biofeedback for spinal cord injury to enhance neuroplasticity
Champney et al.Recovery from virtual environment exposure: Expected time course of symptoms and potential readaptation strategies
WO2013040642A1 (en)Activity training apparatus and method
CN110721431B (en)Sensory integration detuning testing and training device and system based on visual and auditory pathways
CN110786825B (en)Spatial perception detuning training system based on virtual reality visual and auditory pathway
McDaniel et al.Vibrotactile feedback of motor performance errors for enhancing motor learning
KR102457614B1 (en)Physical fitness management method using the physical fitness management system
Cvetković et al.Mobile application to stimulate physical activity in schoolchildren
JP2023027386A (en)Apparatus for assessing balance and operation method thereof
CN107376202A (en)A kind of pupil's examination rope skipping
CN114822127A (en)Training method and training device based on virtual reality equipment
Gan et al.Accelerometer ranges for different static postures
AlankusMotion-based video games for stroke rehabilitation with reduced compensatory motions
KR20180000709U (en)A health system with a device Fitness for Beginners

Legal Events

DateCodeTitleDescription
PB01Publication
PB01Publication
SE01Entry into force of request for substantive examination
SE01Entry into force of request for substantive examination
WW01Invention patent application withdrawn after publication

Application publication date:20220415

WW01Invention patent application withdrawn after publication

[8]ページ先頭

©2009-2025 Movatter.jp