

技术领域technical field
本发明属于桥梁成桥线形评价技术领域,具体涉及一种基于列车行车性能的铁路桥梁成桥线形评价方法。The invention belongs to the technical field of bridge alignment evaluation technology, and in particular relates to a railway bridge alignment evaluation method based on train running performance.
背景技术Background technique
为适用我国经济建设的发展需求,高速铁路桥梁向更大跨度、更为复杂结构形式发展,近年来,我国已经规划了诸多主跨超千米级的公铁两用桥梁。In order to meet the development needs of my country's economic construction, high-speed railway bridges have developed into larger spans and more complex structures. In recent years, my country has planned many highway-railway bridges with main spans exceeding one kilometer.
大跨度铁路桥梁具有工程规模巨大、体系复杂、结构轻柔和位移量大等特点,在修建过程中通常会受到钢梁制造误差、施工误差等因素影响,其成桥线形往往与设计线形存在偏差,这些偏差在一定范围内是允许的,而超过一定范围则是不合规的,目前对于成桥线形是否合规的评价是简单地通过成桥线形与设计线形的绝对高程偏差来评价成桥线形施工偏差,但是其评价结果往往无法满足限值要求,缺乏评价的基准,不能作为有依据的、准确的评价结果。Long-span railway bridges have the characteristics of huge engineering scale, complex system, light structure and large displacement. During the construction process, they are usually affected by factors such as steel girder manufacturing errors and construction errors. The alignment of the bridge is often deviated from the designed alignment. These deviations are permissible within a certain range, and beyond a certain range is not compliant. At present, the evaluation of whether the bridging alignment is compliant is simply to evaluate the bridging alignment by the absolute elevation deviation between the bridging alignment and the design alignment. Construction deviation, but its evaluation results often fail to meet the limit requirements, lack of evaluation benchmarks, and cannot be used as a basis for accurate evaluation results.
因此,如何准确合理地对大跨度桥梁成桥线形进行评价,保证工程项目的正常验收,避免对桥上列车正常运营产生不利影响,是本领域技术人员亟待解决的技术问题。Therefore, how to accurately and reasonably evaluate the alignment of long-span bridges, ensure the normal acceptance of engineering projects, and avoid adverse effects on the normal operation of trains on the bridges is a technical problem to be solved urgently by those skilled in the art.
发明内容SUMMARY OF THE INVENTION
本发明的目的是为了解决现有技术不能合理、准确地对大跨度桥梁成桥线形进行是否合规的评价,提出了一种基于列车行车性能的铁路桥梁成桥线形评价方法。The purpose of the present invention is to solve the problem that the prior art cannot reasonably and accurately evaluate the alignment of long-span bridges, and proposes a method for evaluating the alignment of railway bridges based on train running performance.
本发明的技术方案为:一种基于列车行车性能的铁路桥梁成桥线形评价方法,所述方法包括以下步骤:The technical scheme of the present invention is: a method for evaluating the alignment of railway bridges based on train running performance, the method comprises the following steps:
S1、获取所述桥梁的成桥线形;S1. Obtain the bridging alignment of the bridge;
S2、基于傅里叶级数和以道砟铺设厚度形成的约束条件对成桥线形进行拟合获得拟合曲线,并确定出车体振动加速度敏感波长范围和获取所述拟合曲线的波长和幅值;S2. Fit the bridge alignment based on the Fourier series and the constraint condition formed by the thickness of the ballast to obtain a fitting curve, and determine the vehicle body vibration acceleration sensitive wavelength range and obtain the wavelength sum of the fitting curve. Amplitude;
S3、根据所述拟合曲线中位于所述车体振动加速度敏感波长范围内的中波线形和长波线形确定出预测车体振动加速度,根据所述拟合曲线中超出所述车体振动加速度敏感波长范围的长波线形确定出预测车体离心加速度;S3. Determine the predicted vehicle body vibration acceleration according to the medium wave line shape and the long wave line shape located in the vehicle body vibration acceleration sensitive wavelength range in the fitting curve, and according to the fitting curve exceeding the vehicle body vibration acceleration sensitivity The long-wave linear shape of the wavelength range determines the predicted centrifugal acceleration of the car body;
S4、基于所述预测车体振动加速度和所述预测车体离心加速度确定总体加速度响应;S4, determining an overall acceleration response based on the predicted vehicle body vibration acceleration and the predicted vehicle body centrifugal acceleration;
S5、若所述总体加速度响应超过指定响应限值,则所述成桥线形不满足线路平顺性要求,若所述总体加速度响应不超过指定响应限值,则所述成桥线形满足线路平顺性要求。S5. If the overall acceleration response exceeds the specified response limit, the bridge-forming line shape does not meet the line comfort requirements; if the overall acceleration response does not exceed the specified response limit, the bridge-forming line shape meets the line comfort requirements Require.
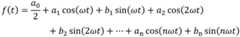
进一步地,所述步骤S2中具体通过如下公式对成桥线形进行拟合:Further, in the step S2, the bridging line shape is fitted by the following formula:
式中,f(t)为拟合曲线,a0为常数项,an为第n阶余弦波的幅值,bn为第n阶正弦波的幅值,nω为第n阶的周期,t为线路里程。In the formula, f(t) is the fitting curve, a0 is a constant term, an is the amplitude of the nth order cosine wave, bn is the amplitude of thenth order sine wave, nω is the nth order period, t is the line mileage.
进一步地,所述约束条件具体为:所述道砟铺设厚度的主跨范围为330mm-440mm,所述道砟铺设厚度的边跨范围为330mm-450mm。Further, the constraints are specifically: the main span range of the ballast laying thickness is 330mm-440mm, and the side span range of the ballast laying thickness is 330mm-450mm.
进一步地,所述步骤S3中具体通过弦测法确定所述预测车体振动加速度,通过曲率确定所述预测车体离心加速度。Further, in the step S3, the predicted vehicle body vibration acceleration is specifically determined by a string measurement method, and the predicted vehicle body centrifugal acceleration is determined by the curvature.
进一步地,所述步骤S5中若所述总体加速度响应超过指定响应限值,则所述成桥线形不满足线路平顺性要求,其具体包括以下分步骤:Further, in the step S5, if the overall acceleration response exceeds the specified response limit, the bridged alignment does not meet the line smoothness requirement, which specifically includes the following sub-steps:
S51、若所述总体加速度响应超过指定响应限值,则判断所述拟合曲线中的最小波长是否小于所述车体振动加速度敏感波长范围,若否,则执行步骤S52,若是,则所述成桥线形不满足线路平顺性要求;S51. If the overall acceleration response exceeds the specified response limit, determine whether the minimum wavelength in the fitting curve is smaller than the vehicle body vibration acceleration sensitive wavelength range, if not, execute step S52, if so, the The line shape of the bridge does not meet the requirements of line smoothness;
S52、增加所述傅里叶级数的阶数,并重新对所述成桥线形进行拟合得到更新后的拟合曲线,直到更新后的拟合曲线中的最小波长小于所述车体振动加速度敏感波长范围时停止更新;S52 , increasing the order of the Fourier series, and re-fitting the bridging line shape to obtain an updated fitting curve, until the minimum wavelength in the updated fitting curve is less than the vibration of the vehicle body Stop updating when the acceleration-sensitive wavelength is in the range;
S53、判断更新后的拟合曲线对应的总体加速度响应是否超过指定响应限值,若是,则所述成桥线形不满足线路平顺性要求,若否,则所述成桥线形满足线路平顺性要求。S53. Determine whether the overall acceleration response corresponding to the updated fitting curve exceeds the specified response limit. If yes, the bridging alignment does not meet the line smoothness requirement; if not, the bridging alignment meets the line smoothness requirement. .
与现有技术相比,本发明具备以下有益效果:Compared with the prior art, the present invention has the following beneficial effects:
本发明通过先获取所述桥梁的成桥线形;基于傅里叶级数和以道砟铺设厚度形成的约束条件对成桥线形进行拟合获得拟合曲线,并确定出车体振动加速度敏感波长和获取所述拟合曲线的波长和幅值;根据所述拟合曲线中位于所述车体振动加速度敏感波长范围内的中波线形和长波线形确定出预测车体振动加速度,根据所述拟合曲线中超出所述车体振动加速度敏感波长范围的长波线形确定出预设车体离心加速度;基于所述预测车体振动加速度和所述车体离心加速度确定总体加速度响应;若所述总体加速度响应超过指定响应限值,则所述成桥线形不满足线路平顺性要求,若所述总体加速度响应不超过指定响应限值,则所述成桥线形满足线路平顺性要求,实现了准确合理地对大跨度桥梁成桥线形进行评价。The present invention obtains the bridge alignment of the bridge first; fits the alignment of the bridge based on the Fourier series and the constraint condition formed by the thickness of the ballast to obtain a fitting curve, and determines the vehicle body vibration acceleration sensitive wavelength and obtain the wavelength and amplitude of the fitting curve; determine the predicted vehicle body vibration acceleration according to the mid-wave line shape and long-wave line shape located in the vehicle body vibration acceleration sensitive wavelength range in the fitting curve, and determine the predicted vehicle body vibration acceleration according to the fitting curve. The long-wave linear shape in the composite curve that exceeds the sensitive wavelength range of the vehicle body vibration acceleration determines the preset vehicle body centrifugal acceleration; determines the overall acceleration response based on the predicted vehicle body vibration acceleration and the vehicle body centrifugal acceleration; if the overall acceleration If the response exceeds the specified response limit, the bridging line shape does not meet the line smoothness requirements. If the overall acceleration response does not exceed the specified response limit, the bridge line shape meets the line comfort requirements and achieves an accurate and reasonable response. Evaluate the alignment of long-span bridges.
附图说明Description of drawings
图1所示为本发明实施例提供的一种基于列车行车性能的铁路桥梁成桥线形评价方法的流程示意图;1 shows a schematic flowchart of a method for evaluating the alignment of a railway bridge based on train running performance provided by an embodiment of the present invention;
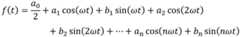
图2所示为本发明实施例中大桥的成桥线形示意图。FIG. 2 is a schematic diagram of a bridge-forming line in the embodiment of the present invention.
具体实施方式Detailed ways
下面将结合本申请实施例中的附图,对本申请实施例中的技术方案进行清楚、完整地描述,显然,所描述的实施例仅仅是本申请一部分实施例,而不是全部的实施例。基于本申请中的实施例,本领域普通技术人员在没有作出创造性劳动前提下所获得的所有其他实施例,都属于本申请保护的范围。The technical solutions in the embodiments of the present application will be clearly and completely described below with reference to the drawings in the embodiments of the present application. Obviously, the described embodiments are only a part of the embodiments of the present application, but not all of the embodiments. Based on the embodiments in the present application, all other embodiments obtained by those of ordinary skill in the art without creative work fall within the protection scope of the present application.
本申请提出了一种基于列车行车性能的铁路桥梁成桥线形评价方法,如图1所示为其流程图,该方法包括以下步骤:The present application proposes a method for evaluating the alignment of railway bridges based on the running performance of trains, as shown in FIG. 1 as a flow chart. The method includes the following steps:
步骤S1、获取所述桥梁的成桥线形。Step S1, acquiring the bridge alignment of the bridge.
具体的,通过高精度控制网及位移传感器,可以测量得到桥梁沿线路里程上的绝对高程,从而测得大跨度铁路桥梁的成桥线形,大桥的成桥线形如图2所示。Specifically, through the high-precision control network and displacement sensor, the absolute elevation of the bridge along the line mileage can be measured, so as to measure the bridge alignment of the long-span railway bridge, as shown in Figure 2.
步骤S2、基于傅里叶级数和以道砟铺设厚度形成的约束条件对成桥线形进行拟合获得拟合曲线,并确定出车体振动加速度敏感波长和获取所述拟合曲线的波长和幅值。Step S2, based on the Fourier series and the constraint conditions formed by the thickness of the ballast, the alignment of the bridge is fitted to obtain a fitting curve, and the sensitivity wavelength of the vehicle body vibration acceleration and the wavelength sum of the fitting curve are determined. Amplitude.
在本申请实施例中,所述步骤S2中具体通过如下公式对成桥线形进行拟合:In the embodiment of the present application, in the step S2, the bridging line shape is fitted by the following formula:
式中,f(t)为拟合曲线,a0为常数项,an为第n阶余弦波的幅值,bn为第n阶正弦波的幅值,nω为第n阶的周期,t为线路里程。In the formula, f(t) is the fitting curve, a0 is a constant term, an is the amplitude of the nth order cosine wave, bn is the amplitude of thenth order sine wave, nω is the nth order period, t is the line mileage.
具体的,成桥线形的波长信息为Specifically, the wavelength information of the bridging line is:
本发明将傅里叶级数作为对成桥线形进行拟合的公式,该公式具备拟合任意线形且可直观反映线形波长及幅值信息,通过与车体敏感波长对比,可直观判断拟合线形对列车行车性能的影响。In the present invention, the Fourier series is used as the formula for fitting the line shape of the bridge. The formula can fit any line shape and can directly reflect the line shape wavelength and amplitude information. By comparing with the sensitive wavelength of the vehicle body, the fitting can be judged intuitively. Influence of alignment on train running performance.
在本申请实施例中,所述约束条件具体为:所述道砟铺设厚度的主跨范围为330mm-440mm,所述道砟铺设厚度的边跨范围为330mm-450mm。In the embodiment of the present application, the constraints are specifically: the main span range of the ballast laying thickness is 330mm-440mm, and the side span range of the ballast laying thickness is 330mm-450mm.
具体的,计算不同运营时速下车体振动加速度,然后基于频谱分析确定列车车体振动加速度敏感波长范围,采用傅里叶级数拟合成桥线形得到拟合曲线,该拟合曲线的波长和幅值如下表1所示:Specifically, the vibration acceleration of the train body under different operating speeds is calculated, and then the sensitive wavelength range of the vibration acceleration of the train body is determined based on the spectrum analysis, and the Fourier series is used to fit the bridge line shape to obtain a fitting curve. The amplitudes are shown in Table 1 below:
表1Table 1
在具体应用场景中,本申请使用多次动力仿真的方式获得车体垂向加速度响应,进而得到某一种车型加速度功率谱密度图,从而确定高速铁路车体敏感波长范围为30m-200m。In a specific application scenario, the application uses multiple dynamic simulations to obtain the vertical acceleration response of the car body, and then obtains the acceleration power spectral density map of a certain vehicle type, thereby determining the sensitive wavelength range of the high-speed railway car body to be 30m-200m.
步骤S3、根据所述拟合曲线中位于所述车体振动加速度敏感波长范围内的中波线形和长波线形确定出预测车体振动加速度,根据所述拟合曲线中超出所述车体振动加速度敏感波长范围的长波线形确定出预测车体离心加速度。Step S3, determine the predicted vehicle body vibration acceleration according to the medium wave line shape and the long wave line shape located in the vehicle body vibration acceleration sensitive wavelength range in the fitting curve, and according to the fitting curve exceeding the vehicle body vibration acceleration The long wave shape of the sensitive wavelength range is determined to predict the centrifugal acceleration of the car body.
在本申请实施例中,所述步骤S3中具体通过弦测法确定所述预测车体振动加速度,通过曲率确定所述预测车体离心加速度。In the embodiment of the present application, in the step S3, the predicted vehicle body vibration acceleration is specifically determined by a string measurement method, and the predicted vehicle body centrifugal acceleration is determined by the curvature.
具体的,选用60m弦长的弦测法计算拟合曲线中位于所述车体振动加速度敏感波长范围内的中波线形和长波线形得到弦测幅值,然后根据该弦测幅值确定出预测车体振动加速度,通过拟合曲线中超出所述车体振动加速度敏感波长范围的长波线形的曲率值,通过如下公式确定出预测车体离心加速度a:Specifically, a chord measurement method with a chord length of 60 m is used to calculate the medium-wave shape and long-wave shape in the fitting curve within the vehicle body vibration acceleration sensitive wavelength range to obtain the chord measurement amplitude value, and then the prediction is determined according to the chord measurement value. For the vehicle body vibration acceleration, the predicted vehicle body centrifugal acceleration a is determined by the following formula by fitting the curvature value of the long-wave linear shape in the curve that exceeds the sensitive wavelength range of the vehicle body vibration acceleration:
a=v2/Ra=v2 /R
式中,R为曲率半径,v为车速。where R is the radius of curvature, and v is the vehicle speed.
其中,弦测法确定振动加速度主要依据为:弦测法的弦测幅值与车体加速度间的统计相关性来确定,该相关性可参考铁路线路设计规范中的长波平顺性管理标准,总体加速度响应等于预测振动加速度和预测车体离心加速度的响应的叠加和,然后取其中的最大值,将该最大值来判断是否超过指定响应限值。Among them, the vibration acceleration determined by the chord measurement method is mainly based on the statistical correlation between the chord measurement amplitude of the chord measurement method and the acceleration of the vehicle body. The acceleration response is equal to the superposition of the predicted vibration acceleration and the predicted centrifugal acceleration of the vehicle body, and then the maximum value is taken to determine whether the specified response limit is exceeded.
步骤S4、基于所述预测车体振动加速度和所述预测车体离心加速度确定总体加速度响应。Step S4, determining an overall acceleration response based on the predicted vehicle body vibration acceleration and the predicted vehicle body centrifugal acceleration.
本发明基于车体振动加速度和弦测法弦测幅值的统计相关性、及车体离心加速度和曲率半径的相关性,将弦测法及曲率法用于快速评估拟合线形对车体加速度响应的评估,为评价成桥线形施工偏差、形成成桥线形施工偏差控制标准及开展后续施工偏差控制等提供有效支撑。Based on the statistical correlation between the vibration acceleration of the vehicle body and the amplitude value of the string measurement method, and the correlation between the centrifugal acceleration and the radius of curvature of the vehicle body, the string measurement method and the curvature method are used to quickly evaluate the response of the fitted line shape to the acceleration of the vehicle body. It provides effective support for evaluating the deviation of the completed bridge alignment construction, forming a bridge alignment construction deviation control standard, and carrying out the follow-up construction deviation control.
步骤S5、若所述总体加速度响应超过指定响应限值,则所述成桥线形不满足线路平顺性要求,若所述总体加速度响应不超过指定响应限值,则所述成桥线形满足线路平顺性要求。Step S5, if the overall acceleration response exceeds the specified response limit value, the bridged alignment does not meet the line smoothness requirement; if the overall acceleration response does not exceed the specified response limit, the bridged alignment meets the line smoothness requirement. sexual requirements.
在本申请实施例中,所述步骤S5中若所述总体加速度响应超过指定响应限值,则所述成桥线形不满足线路平顺性要求,其具体包括以下分步骤:In the embodiment of the present application, if the overall acceleration response exceeds the specified response limit in the step S5, the bridged line shape does not meet the line smoothness requirement, which specifically includes the following sub-steps:
S51、若所述总体加速度响应超过指定响应限值,则判断所述拟合曲线中的最小波长是否小于所述车体振动加速度敏感波长范围,若否,则执行步骤S52,若是,则所述成桥线形不满足线路平顺性要求;S51. If the overall acceleration response exceeds the specified response limit, determine whether the minimum wavelength in the fitting curve is smaller than the vehicle body vibration acceleration sensitive wavelength range, if not, execute step S52, if so, the The line shape of the bridge does not meet the requirements of line smoothness;
S52、增加所述傅里叶级数的阶数,并重新对所述成桥线形进行拟合得到更新后的拟合曲线,直到更新后的拟合曲线中的最小波长小于所述车体振动加速度敏感波长范围时停止更新;S52 , increasing the order of the Fourier series, and re-fitting the bridging line shape to obtain an updated fitting curve, until the minimum wavelength in the updated fitting curve is less than the vibration of the vehicle body Stop updating when the acceleration-sensitive wavelength is in the range;
本发明所采用的傅里叶级数原理拟合成桥线形,能够围绕列车行车性能,穷举可以实现的铺轨线形,可在满足道床厚度要求的前提下,更为全面地评价成桥线形是否满足线路平顺性的要求。The Fourier series principle adopted in the present invention is fitted into the bridge alignment, which can be based on the running performance of the train, exhaustively enumerate the achievable track laying alignments, and can more comprehensively evaluate whether the resulting bridge alignments are not on the premise of meeting the requirements of the thickness of the track bed. Meet the requirements of line smoothness.
S53、判断更新后的拟合曲线对应的总体加速度响应是否超过指定响应限值,若是,则所述成桥线形不满足线路平顺性要求,若否,则所述成桥线形满足线路平顺性要求。S53. Determine whether the overall acceleration response corresponding to the updated fitting curve exceeds the specified response limit. If yes, the bridging alignment does not meet the line smoothness requirement; if not, the bridging alignment meets the line smoothness requirement. .
具体的,通过增加拟合公式的项数,即引入更小波长,一定能拟合出满足道砟厚度铺设条件的轨面线形,但需控制最小波长成分,参考敏感波长区间的最小值为30m。Specifically, by increasing the number of items in the fitting formula, that is, introducing a smaller wavelength, the track surface alignment that satisfies the ballast thickness laying conditions can be fitted, but the minimum wavelength component needs to be controlled, and the minimum reference sensitive wavelength range is 30m .
本发明从可实现的铺轨线形角度出发,评价桥梁成桥线形。该评价方法通过依据未来轨面状态来评估当下成桥线形施工偏差,不仅回答了基于成桥线形拟合的铺轨线形能否铺设出来的问题,也回答了未来铺轨线形能否满足线路平顺性及行车性能要求的问题,评价方法更科学,评价结果更准确。The invention evaluates the bridge alignment from the angle of the achievable track laying alignment. This evaluation method evaluates the construction deviation of the current bridge alignment according to the future track surface state, which not only answers the question of whether the track laying alignment based on the fitting of the completed bridge alignment can be laid, but also answers whether the future track laying alignment can meet the line smoothness and reliability. For the problem of driving performance requirements, the evaluation method is more scientific and the evaluation results are more accurate.
本领域的普通技术人员将会意识到,这里所述的实施例是为了帮助读者理解本发明的原理,应被理解为本发明的保护范围并不局限于这样的特别陈述和实施例。本领域的普通技术人员可以根据本发明公开的这些技术启示做出各种不脱离本发明实质的其它各种具体变形和组合,这些变形和组合仍然在本发明的保护范围内。Those of ordinary skill in the art will appreciate that the embodiments described herein are intended to assist readers in understanding the principles of the present invention, and it should be understood that the scope of protection of the present invention is not limited to such specific statements and embodiments. Those skilled in the art can make various other specific modifications and combinations without departing from the essence of the present invention according to the technical teaching disclosed in the present invention, and these modifications and combinations still fall within the protection scope of the present invention.
| Application Number | Priority Date | Filing Date | Title |
|---|---|---|---|
| CN202111678412.7ACN114329726B (en) | 2021-12-31 | 2021-12-31 | A method for evaluating the alignment of railway bridges based on train running performance |
| Application Number | Priority Date | Filing Date | Title |
|---|---|---|---|
| CN202111678412.7ACN114329726B (en) | 2021-12-31 | 2021-12-31 | A method for evaluating the alignment of railway bridges based on train running performance |
| Publication Number | Publication Date |
|---|---|
| CN114329726A CN114329726A (en) | 2022-04-12 |
| CN114329726Btrue CN114329726B (en) | 2022-08-12 |
| Application Number | Title | Priority Date | Filing Date |
|---|---|---|---|
| CN202111678412.7AActiveCN114329726B (en) | 2021-12-31 | 2021-12-31 | A method for evaluating the alignment of railway bridges based on train running performance |
| Country | Link |
|---|---|
| CN (1) | CN114329726B (en) |
| Publication number | Priority date | Publication date | Assignee | Title |
|---|---|---|---|---|
| CN114707352B (en)* | 2022-04-21 | 2022-11-08 | 西南交通大学 | A method for controlling the alignment deviation of railway bridges based on train running performance |
| CN115618686B (en)* | 2022-11-08 | 2023-09-12 | 西南交通大学 | A stiffness assessment method for long-span railway bridges based on driving stability |
| CN117172136B (en)* | 2023-11-02 | 2024-01-05 | 成都理工大学 | Vibration response prediction method for windmill bridge system based on SSA-LSTM algorithm |
| Publication number | Priority date | Publication date | Assignee | Title |
|---|---|---|---|---|
| CN106596002A (en)* | 2016-12-14 | 2017-04-26 | 东南大学 | High-speed railway steel truss arch bridge vehicle-bridge resonance curve measuring method |
| CN107064010A (en)* | 2016-12-15 | 2017-08-18 | 姜正晖 | Soft clay area Road surface quality evaluation method |
| CN111324925A (en)* | 2020-02-17 | 2020-06-23 | 中铁二院工程集团有限责任公司 | A method for evaluating the overall stiffness of railway bridges |
| CN112785631A (en)* | 2020-12-31 | 2021-05-11 | 杭州鲁尔物联科技有限公司 | Point cloud data registration method based on DLG |
| Publication number | Priority date | Publication date | Assignee | Title |
|---|---|---|---|---|
| US6074180A (en)* | 1996-05-03 | 2000-06-13 | Medquest Products, Inc. | Hybrid magnetically suspended and rotated centrifugal pumping apparatus and method |
| JP5229932B2 (en)* | 2006-12-28 | 2013-07-03 | 稔 紙屋 | Mechanical seismic isolation device |
| AU2009289682B2 (en)* | 2008-09-02 | 2016-06-09 | Société des Produits Nestlé S.A. | Controlled beverage production device using centrifugal forces |
| CN103076640B (en)* | 2013-01-17 | 2015-03-18 | 中国科学院测量与地球物理研究所 | Method for inverting earth gravitational field by using variance-covariance diagonal tensor principle |
| CN104636562B (en)* | 2015-02-12 | 2017-07-14 | 中国铁路设计集团有限公司 | A kind of high-speed railway circuit method for designing based on fare system dynamics |
| DE102016214347B3 (en)* | 2016-08-03 | 2018-01-11 | Schaeffler Technologies AG & Co. KG | Method and device for mounting a tapered roller bearing |
| CN107895060B (en)* | 2017-09-25 | 2021-12-10 | 中铁二院工程集团有限责任公司 | Vertical displacement control method for high-speed railway large-span arch bridge |
| CN111027213A (en)* | 2019-12-11 | 2020-04-17 | 西南交通大学 | A calculation method for vehicle-induced lateral vibration response of bridges based on frequency domain method |
| CN111723428A (en)* | 2020-06-24 | 2020-09-29 | 云南省公路科学技术研究院 | Continuous rigid frame bridge forming pre-camber setting method based on displacement influence line distribution |
| CN111928991B (en)* | 2020-09-10 | 2025-03-18 | 中国地震局工程力学研究所 | Integrated micro pore pressure sensor |
| CN113192063B (en)* | 2021-05-25 | 2024-02-02 | 中铁第四勘察设计院集团有限公司 | Bridge line-shaped monitoring system and bridge line-shaped monitoring method |
| CN113373827B (en)* | 2021-08-11 | 2021-11-09 | 北京交通大学 | Ballastless track smoothness control method for bridge pier settlement section |
| Publication number | Priority date | Publication date | Assignee | Title |
|---|---|---|---|---|
| CN106596002A (en)* | 2016-12-14 | 2017-04-26 | 东南大学 | High-speed railway steel truss arch bridge vehicle-bridge resonance curve measuring method |
| CN107064010A (en)* | 2016-12-15 | 2017-08-18 | 姜正晖 | Soft clay area Road surface quality evaluation method |
| CN111324925A (en)* | 2020-02-17 | 2020-06-23 | 中铁二院工程集团有限责任公司 | A method for evaluating the overall stiffness of railway bridges |
| CN112785631A (en)* | 2020-12-31 | 2021-05-11 | 杭州鲁尔物联科技有限公司 | Point cloud data registration method based on DLG |
| Publication number | Publication date |
|---|---|
| CN114329726A (en) | 2022-04-12 |
| Publication | Publication Date | Title |
|---|---|---|
| CN114329726B (en) | A method for evaluating the alignment of railway bridges based on train running performance | |
| CN114444177B (en) | Railway bridge upper-laying line shape optimization method based on Fourier series fitting | |
| CN101281117B (en) | Damage identification method for long-span rail transit bridges | |
| CN111324925B (en) | Method for judging overall rigidity of railway bridge | |
| US20120203402A1 (en) | Intelligent Railway System for Preventing Accidents at Railway Passing Points and Damage to the Rail Track | |
| CN103207097B (en) | Orbit rigidity dynamic testing method | |
| CN105923014B (en) | A kind of track transition Amplitude Estimation method based on evidential reasoning rule | |
| CN113609565B (en) | Acceptance method and device for static long wave irregularity of railway bridge track | |
| CN115618686B (en) | A stiffness assessment method for long-span railway bridges based on driving stability | |
| CN113239481A (en) | Dynamic deflection monitoring method for standard simply supported beam of 32-meter high-speed rail | |
| Aceituno et al. | An alternative procedure to measure railroad track irregularities. Application to a scaled track | |
| CN111945499A (en) | A monitoring system and monitoring method thereof | |
| CN112964551A (en) | Dynamic test method for road surface bearing capacity based on strain and frequency | |
| CN105241543A (en) | Rapid prediction method for ground vibration caused by elevated rail transit | |
| CN114707352B (en) | A method for controlling the alignment deviation of railway bridges based on train running performance | |
| Chen et al. | Mapping the relationship between the temperature gradient of CRTS Ⅲ slab track on bridge and rail deformation in high-speed railways | |
| CN111832618B (en) | Matching method of track dynamic and static inspection data | |
| CN110344327A (en) | A kind of cable-stayed bridge upper rail control net real-time grid DEM method of CPIII point | |
| Zhu et al. | Investigation of temperature-induced effect on rail-road suspension bridges during operation | |
| CN116822024A (en) | A method for determining the most unfavorable intersection location of multi-line trains on a railway bridge | |
| Machelski | Stiffness of railway soil-steel structures | |
| Zhang et al. | Early warning limits for uneven settlement of metro tunnels based on vehicle–track interaction simulations | |
| Zhang et al. | Over 25-year monitoring of the Tsing Ma suspension bridge in Hong Kong | |
| CN113051705B (en) | Method for accurately predicting rail temperature of steel rail | |
| CN118220240A (en) | Method and equipment for detecting geometrical state of integrated overhead track |
| Date | Code | Title | Description |
|---|---|---|---|
| PB01 | Publication | ||
| PB01 | Publication | ||
| SE01 | Entry into force of request for substantive examination | ||
| SE01 | Entry into force of request for substantive examination | ||
| GR01 | Patent grant | ||
| GR01 | Patent grant |