


技术领域technical field
本发明涉及医疗检测领域,具体涉及一种人体皮肤激光散斑血流快速成像系统及其使用方法。The invention relates to the field of medical detection, in particular to a fast imaging system for laser speckle blood flow of human skin and a method for using the same.
背景技术Background technique
皮肤血流循环状态是血管通路、功能水平以及心血管疾病表征的主要标志。皮肤血流灌注的定义为单位时间内流过皮肤的血液量,是人体微循环监测、健康诊断、预后评估等过程中的重要指标之一。The state of cutaneous blood circulation is a major marker of vascular access, functional level, and characterization of cardiovascular disease. Skin perfusion is defined as the amount of blood flowing through the skin per unit time, and is one of the important indicators in the process of human microcirculation monitoring, health diagnosis, and prognosis assessment.
激光散斑血流成像技术具有无创、大视场、快速实时监测等诸多优点,可以实现对皮肤血流的大面积监测,能获得血流流速分布,在生物医疗光子成像领域有诸多应用,如对动物的脑皮层、内脏、眼底、视网膜、耳廓、皮肤等等,进行血流成像,进一步推进生物医疗的研究,对人体的应用有皮肤烧伤恢复监测、糖尿病的并发症糖尿病足的病理诊断、组织舒张压血流监测等。Laser speckle blood flow imaging technology has many advantages such as non-invasiveness, large field of view, fast real-time monitoring, etc. It can realize large-area monitoring of skin blood flow and obtain blood flow velocity distribution. It has many applications in the field of biomedical photonic imaging, such as Perform blood flow imaging on the cerebral cortex, viscera, fundus, retina, auricle, skin, etc. of animals to further promote biomedical research. The application to human body includes skin burn recovery monitoring, diabetes complications, and pathological diagnosis of diabetic foot. , tissue diastolic blood flow monitoring, etc.
现有技术中,照明光束的截面尺寸小,照明区域内光强不均匀,造成在激光散斑成像中,图像亮度或光强度空间分布梯度大,图像处理时误差大。另外,对于实际应用中图像采集设备难以确定采集区域。In the prior art, the cross-sectional size of the illumination beam is small, and the light intensity in the illumination area is not uniform, resulting in a large gradient of image brightness or spatial distribution of light intensity in laser speckle imaging, and a large error in image processing. In addition, it is difficult for the image acquisition device to determine the acquisition area in practical applications.
发明内容SUMMARY OF THE INVENTION
为解决以上问题,本发明一方面提供了一种人体皮肤激光散斑血流快速成像系统,包括激光器、激光扩束装置、反射镜、检偏器、滤光装置、图像采集模组、激光测距模组、激光定位模组、计算机,激光器、激光扩束装置、反射镜依次位于照明光路上,人体皮肤反射照明光,人体皮肤、检偏器、滤光装置、图像采集模组依次位于成像光路上,激光测距模组和激光定位模组发出激光,经人体皮肤反射后分别重新进入激光测距模组和激光定位模组,计算机分别与图像采集模组、激光测距模组、激光定位模组相连。In order to solve the above problems, one aspect of the present invention provides a rapid imaging system for laser speckle blood flow of human skin, including a laser, a laser beam expanding device, a reflector, an analyzer, a filter device, an image acquisition module, and a laser detector. The distance module, the laser positioning module, the computer, the laser, the laser beam expander, and the reflector are placed on the illumination light path in sequence, the human skin reflects the illumination light, and the human skin, the analyzer, the filter device, and the image acquisition module are placed in the imaging On the optical path, the laser ranging module and the laser positioning module emit laser light, and after being reflected by the human skin, they re-enter the laser ranging module and the laser positioning module respectively. The positioning module is connected.
更进一步地,激光测距模组的波长均为633纳米。Furthermore, the wavelengths of the laser ranging modules are all 633 nanometers.
更进一步地,激光器为半导体激光器。Furthermore, the laser is a semiconductor laser.
更进一步地,成像光路和激光测距模组、激光定位模组发出激光的光路平行。Furthermore, the imaging optical path is parallel to the optical path of the laser light emitted by the laser ranging module and the laser positioning module.
更进一步地,激光扩束装置包括平凹透镜和平凸透镜,平凹透镜靠近激光器一侧。Furthermore, the laser beam expanding device includes a plano-concave lens and a plano-convex lens, and the plano-concave lens is close to the side of the laser.
更进一步地,还包括线偏振器,线偏振器位于照明光路上激光器和激光扩束装置之间。Furthermore, a linear polarizer is also included, and the linear polarizer is located between the laser and the laser beam expanding device on the illumination light path.
另一方面,本发明还提供了一种人体皮肤激光散斑血流快速成像系统的使用方法,该使用方法包括如下步骤:On the other hand, the present invention also provides a method for using a laser speckle blood flow rapid imaging system for human skin, and the using method includes the following steps:
步骤1、应用激光测距模组和激光定位模组确定图像采集模组至皮肤的距离,定位人体皮肤区域;Step 1. Use the laser ranging module and the laser positioning module to determine the distance from the image acquisition module to the skin, and locate the human skin area;
步骤2、将激光光束照射到人体皮肤的待测区域;
步骤3、通过图像采集模组采集待测区域的图像,采集图像的帧数为N;
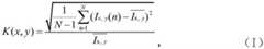
步骤4、计算公式(I)计算衬比度K(x,y),Step 4, calculation formula (1) calculates contrast K(x, y),
其中K(x,y)是在(x,y)象素处的衬比值,Ix,y(n)是在第n幅图像中(x,y)象素坐标处的光强,是N幅图像在(x,y)处光强的平均值;where K(x,y) is the contrast value at the (x,y) pixel, Ix,y (n) is the light intensity at the (x,y) pixel coordinate in the nth image, is the average value of the light intensity of N images at (x, y);
步骤5、利用衬比度计算血流速度v(x,y)=c/K2(x,y),其中c为校正系数。
更进一步地,在步骤3中,帧数N等于10。Further, in
更进一步地,在步骤4中,计算衬比度K(x,y)的区域大于激光光束照射的区域。Further, in step 4, the area where the contrast K(x, y) is calculated is larger than the area irradiated by the laser beam.
本发明的有益效果:本发明提供了一种人体皮肤激光散斑血流快速成像系统,包括激光器、激光扩束装置、反射镜、检偏器、滤光装置、图像采集模组、激光测距模组、激光定位模组、计算机,激光器、激光扩束装置、反射镜依次位于照明光路上,人体皮肤反射照明光,人体皮肤、检偏器、滤光装置、图像采集模组依次位于成像光路上,激光测距模组和激光定位模组发出激光,经人体皮肤反射后分别重新进入激光测距模组和激光定位模组,计算机分别与图像采集模组、激光测距模组、激光定位模组相连。与现有技术相比,本发明包括激光测距模组和激光定位模组,能够准确确定待测皮肤的位置和与图像采集模组之间的距离,所采集的图像便于数据处理;上位机图形化系统能够全程显示被检测区域的原始图像及采集到并处理后图像,便于操作人员能够清晰完整地查看到被检测皮肤的血流状态,极大的方便了用户的使用。Beneficial effects of the present invention: The present invention provides a laser speckle blood flow rapid imaging system for human skin, including a laser, a laser beam expanding device, a reflector, an analyzer, a filter device, an image acquisition module, and a laser ranging The module, the laser positioning module, the computer, the laser, the laser beam expander, and the reflector are located in sequence on the illumination light path, the human skin reflects the illumination light, and the human skin, the analyzer, the filter device, and the image acquisition module are located in the imaging light in sequence. On the road, the laser ranging module and the laser positioning module emit laser light, and after being reflected by the human skin, they re-enter the laser ranging module and the laser positioning module respectively. modules are connected. Compared with the prior art, the present invention includes a laser ranging module and a laser positioning module, which can accurately determine the position of the skin to be measured and the distance from the image acquisition module, and the collected images are convenient for data processing; The graphical system can display the original image of the detected area and the collected and processed images in the whole process, so that the operator can clearly and completely view the blood flow status of the detected skin, which greatly facilitates the use of the user.
以下将结合附图对本发明做进一步详细说明。The present invention will be further described in detail below with reference to the accompanying drawings.
附图说明Description of drawings
图1是本发明的人体皮肤激光散斑血流快速成像系统的示意图。FIG. 1 is a schematic diagram of the human skin laser speckle blood flow rapid imaging system of the present invention.
图2是激光扩束装置示意图。FIG. 2 is a schematic diagram of a laser beam expander device.
图3是本发明的激光散斑血流快速成像系统结合阻断后反应性充血对手部灌注量检测的效果图。FIG. 3 is a diagram showing the effect of the laser speckle blood flow rapid imaging system of the present invention combined with reactive hyperemia after occlusion on the detection of hand perfusion.
图中:1、激光器;2、激光扩束装置;3、反射镜;4、人体皮肤;5、检偏器;6、滤光装置;7、图像采集模组;8、激光测距模组;9、激光定位模组;10、计算机。In the figure: 1. Laser; 2. Laser beam expanding device; 3. Reflector; 4. Human skin; 5. Analyzer; 6. Filter device; 7. Image acquisition module; 8.
具体实施方式Detailed ways
为使本申请的目的、技术方案及优点更加清楚明白,以下参照附图并举实施例,对本申请作进一步详细说明。In order to make the purpose, technical solutions and advantages of the present application more clearly understood, the present application will be described in further detail below with reference to the accompanying drawings and examples.
实施例1Example 1
本发明提供了一种人体皮肤激光散斑血流快速成像系统,如图1所示,包括激光器1、激光扩束装置2、反射镜3、检偏器5、滤光装置6、图像采集模组7、激光测距模组8、激光定位模组9、计算机10。激光器1为氦氖激光器或半导体激光器。优选地,激光器1为半导体激光器。检偏器5为偏振片。滤光装置6为滤光片。图像采集模组7包括光电成像器件。激光器1、激光扩束装置2、反射镜3依次位于照明光路上。如图2所示,激光扩束装置2为伽利略扩束结构,激光扩束装置2包括平凹透镜和平凸透镜,平凹透镜靠近激光器1一侧。经激光扩束装置2后,激光光斑增大,照射人体皮肤4的面积增加,图像采集时,可以采集均匀照射区域,相邻像素之间的差值小,后续处理时,误差小。人体皮肤4反射照明光。人体皮肤4、检偏器5、滤光装置6、图像采集模组7依次位于成像光路上。图像采集模组7包括光电成像器件。光电成像器件为面阵数字CCD相机或CCD摄像机或CMOS相机或CMOS摄像机。滤光片位于成像光路上,在人体皮肤4和光电成像器件之间;检偏器5位于成像光路上滤光片和光电成像器件之间。激光测距模组8和激光定位模组9发出激光,经人体皮肤4反射后分别重新进入激光测距模组8和激光标定位组9。激光测距模组8的波长均为633纳米。成像光路和激光测距模组8发出激光的光路平行,便于准确测量人体皮肤4和图像采集模组7中成像装置之间的距离。激光定位模组9用于标注成像的具体位置,能够确定人体皮肤4采集待测区域。激光测距模组8测量图像采集模组7中光电成像器件至待测人体皮肤4的距离,用于调节光电成像器件的光学参数,例如CCD相机的焦距等,使得采集的激光散斑图像更清晰。激光测距模组的波长为950纳米。计算机10分别与图像采集模组7、激光测距模组8、激光定位模组9相连。计算机10形成上位机,图像采集模组7采集原始激光散斑血流图像后,传输给上位机,上位机编程一套实时时空联合算法和计算血流灌注量的算法的图形化软件系统。另外,计算机10连接显示装置,显示装置用于显示计算机10获取或根据预设逻辑计算出的参数信息,这些参数信息包括图像信息、曲线信息和数据信息。上位机图形化系统能够全程显示被检测区域的原始图像及处理后的图像,便于操作人员能够清晰完整地查看到被检测人体皮肤4的血流状态,极大地方便了用户的使用。更进一步地,还包括线偏振器,线偏振器位于照明光路上激光器1和激光扩束装置2之间。The present invention provides a fast imaging system for laser speckle blood flow of human skin, as shown in FIG. 1 , including a laser 1, a laser
在本发明中,激光器1发射的光经过激光扩束装置2扩束,再经过反射镜3照射在被测对象人体皮肤4上,人体皮肤4产生散射,经过图像采集模组7形成散斑图像,散斑图像传输进入计算机10,计算机10采用时空联合算法计算血流相对速度并形成分布图。本发明采用激光散斑血流检测方法实时监测血流速度,可以通过不同阶段的血流速度变化来判断血管情况和供血循环情况,可实时观测微循环的血流状态;另外,本发明提出以伽利略扩束结构设计扩束器,扩展激光光路,结合反射镜3、滤光装置6、检偏器5使其光路结构可调并简洁;另外,还设计了一套波长633nm激光测距模组8和激光定位模组9,以调节图像采集模组7的相关参数和定位成像具体位置,提高了装置的成像性能,便于后续图像计算。In the present invention, the light emitted by the laser 1 is expanded by the laser
实施例2Example 2
本发明还提供了一种人体皮肤激光散斑血流快速成像系统的使用方法,该使用方法包括如下步骤:The present invention also provides a method for using a laser speckle blood flow rapid imaging system for human skin, which includes the following steps:
步骤1、应用激光测距模组8和激光定位模组9确定图像采集模组7至人体皮肤4的距离和定位人体皮肤4区域;Step 1, use the
步骤2、将激光光束照射到人体皮肤4的待测区域;
步骤3、通过图像采集模组采集待测区域的图像,采集图像的帧数为N,帧数N等于10;
步骤4、计算公式(I)计算衬比度K(x,y),Step 4, calculation formula (1) calculates contrast K(x, y),
其中K(x,y)是在(x,y)象素处的衬比值,Ix,y(n)是在第n幅图像中(x,y)象素坐标处的光强,是N幅图像在(x,y)处光强的平均值,计算衬比度K(x,y)的区域大于激光光束照射的区域。计算衬比度的区域大于激光光束照射的区域可以保证计算的衬比度包含感兴趣的区域,然后从中把感兴趣区域提出出来。是N幅图像在(x,y)处光强的平均值,是指不同帧时(x,y)处的平均值。where K(x,y) is the contrast value at the (x,y) pixel, Ix,y (n) is the light intensity at the (x,y) pixel coordinate in the nth image, is the average value of the light intensity of N images at (x, y), and the area where the contrast K(x, y) is calculated is larger than the area irradiated by the laser beam. The area where the contrast is calculated is larger than the area irradiated by the laser beam to ensure that the calculated contrast contains the area of interest, and then the area of interest is extracted from it. is the average value of the light intensity at (x, y) of N images, which refers to the average value at (x, y) at different frames.
步骤5、利用衬比度计算血流速度v(x,y)=c/K2(x,y),其中c为校正系数。另外,血流速度正比于而速度正比于T/τc,其中T是电荷耦合器的曝光时间,τc是自相关时间。
本发明采用时空联合算法计算衬比度的方法是取多张采集到的原始激光散斑图像,在时间和空间维度取得这些原始散斑图像中的一系列像素点的光强值,计算得到衬比度的值后,再得到相对血流速度分布。In the present invention, the method of calculating the contrast by using the spatio-temporal joint algorithm is to take a plurality of original laser speckle images collected, obtain the light intensity values of a series of pixel points in these original speckle images in the time and space dimensions, and calculate the contrast. After the ratio value, the relative blood flow velocity distribution is obtained.
图3为激光散斑血流快速成像系统结合阻断后反应性充血对手部灌注量检测的效果图。图a、c、e分别是人体手臂阻断后反应性充血过程中手指原始激光散斑图像,依次对应该实验中的正常、缺血、再灌注过程中的三种状态。图b、d、f分别对应三种状态下由原始激光散斑图像处理得到的血流速度图。图a、c、e看不出明显变化,但是从图b、d、f可以看出,在灌注状态下血流速度大于正常状态下血流速度,正常状态下血流速度大于缺血状态下血流速度。实验结果本发明中的方法能够准确地测定血流速度。Figure 3 shows the effect of the laser speckle blood flow rapid imaging system combined with reactive hyperemia after occlusion on the detection of hand perfusion. Figures a, c, and e are the original laser speckle images of the finger during reactive hyperemia after arm occlusion, respectively, corresponding to the three states of normal, ischemia, and reperfusion in this experiment. Figures b, d, and f correspond to the blood flow velocity maps obtained from the original laser speckle image processing in three states, respectively. No obvious changes can be seen in Figures a, c, and e, but it can be seen from Figures b, d, and f that the blood flow velocity in the perfusion state is greater than that in the normal state, and the blood flow velocity in the normal state is greater than that in the ischemic state. blood flow rate. Experimental Results The method of the present invention can accurately measure blood flow velocity.
现有技术中,对激光散斑血流灌注量测量时,通常采用的方法复杂、不易实现。本发明提出的激光散斑血流灌注量测量方法简单,容易实现,该方法可以用于人体皮肤4血流灌注量的血流流速分布获取,具有对待测皮肤组织进行全面、实时测量及表征的优点。In the prior art, when measuring the blood flow perfusion of laser speckle, the method usually adopted is complicated and difficult to realize. The laser speckle blood flow perfusion measurement method proposed by the present invention is simple and easy to implement. The method can be used to obtain the blood flow velocity distribution of the blood flow perfusion of human skin, and has the capability of comprehensively and real-time measurement and characterization of the skin tissue to be measured. advantage.
以上所述仅为本申请的较佳实施例而已,并不用以限制本申请,凡在本申请的精神和原则之内,所做的任何修改、等同替换、改进等,均应包含在本申请保护的范围之内。The above descriptions are only preferred embodiments of the present application, and are not intended to limit the present application. Any modifications, equivalent replacements, improvements, etc. made within the spirit and principles of the present application shall be included in the present application. within the scope of protection.
| Application Number | Priority Date | Filing Date | Title |
|---|---|---|---|
| CN202111584441.7ACN114305377A (en) | 2021-12-23 | 2021-12-23 | Rapid imaging system for human skin laser speckle blood flow and use method thereof |
| Application Number | Priority Date | Filing Date | Title |
|---|---|---|---|
| CN202111584441.7ACN114305377A (en) | 2021-12-23 | 2021-12-23 | Rapid imaging system for human skin laser speckle blood flow and use method thereof |
| Publication Number | Publication Date |
|---|---|
| CN114305377Atrue CN114305377A (en) | 2022-04-12 |
| Application Number | Title | Priority Date | Filing Date |
|---|---|---|---|
| CN202111584441.7APendingCN114305377A (en) | 2021-12-23 | 2021-12-23 | Rapid imaging system for human skin laser speckle blood flow and use method thereof |
| Country | Link |
|---|---|
| CN (1) | CN114305377A (en) |
| Publication number | Priority date | Publication date | Assignee | Title |
|---|---|---|---|---|
| US5020904A (en)* | 1989-09-06 | 1991-06-04 | Mcmahan Jr Robert K | Dynamic laser speckle profilometer and method |
| JP2013217826A (en)* | 2012-04-11 | 2013-10-24 | National Institute Of Advanced Industrial & Technology | Surface change detector by laser light |
| CN105433906A (en)* | 2015-12-14 | 2016-03-30 | 华中科技大学 | Scanning dark field laser speckle blood flow imaging method and device |
| CN108230267A (en)* | 2017-12-20 | 2018-06-29 | 佛山科学技术学院 | A kind of laser speckle blood current imaging image processing method |
| CN216777062U (en)* | 2021-12-23 | 2022-06-21 | 武汉格谱光电科技有限公司 | Rapid imaging system for human skin laser speckle blood flow |
| Publication number | Priority date | Publication date | Assignee | Title |
|---|---|---|---|---|
| US5020904A (en)* | 1989-09-06 | 1991-06-04 | Mcmahan Jr Robert K | Dynamic laser speckle profilometer and method |
| JP2013217826A (en)* | 2012-04-11 | 2013-10-24 | National Institute Of Advanced Industrial & Technology | Surface change detector by laser light |
| CN105433906A (en)* | 2015-12-14 | 2016-03-30 | 华中科技大学 | Scanning dark field laser speckle blood flow imaging method and device |
| CN108230267A (en)* | 2017-12-20 | 2018-06-29 | 佛山科学技术学院 | A kind of laser speckle blood current imaging image processing method |
| CN216777062U (en)* | 2021-12-23 | 2022-06-21 | 武汉格谱光电科技有限公司 | Rapid imaging system for human skin laser speckle blood flow |
| Title |
|---|
| 李方正 等: "激光原理与技术基础", vol. 1, 31 October 1996, 河南大学出版社, pages: 96 - 99* |
| Publication | Publication Date | Title |
|---|---|---|
| JP2023082712A (en) | Depth tissue flow rate measurement using diffusion speckle contrast analysis | |
| Draijer et al. | Review of laser speckle contrast techniques for visualizing tissue perfusion | |
| CN102187188B (en) | Miniaturized multispectral imager for real-time tissue oxygenation measurement | |
| JP4675372B2 (en) | Lower limb perfusion measurement device | |
| EP2840957B1 (en) | Optical coherent imaging medical device and method | |
| JP7228276B2 (en) | Apparatus for multimodal analysis of allergic reactions in skin tests, hybrid method for multispectral imaging of allergic reactions in skin tests and its use for automatic evaluation of results of these tests | |
| KR101746763B1 (en) | Diagnostic technique and imaging method of retinal and choroidal optical coherence tomography angiography | |
| CN111481171A (en) | Multi-mode monitoring system and method for brain surgery | |
| JP6682291B2 (en) | Image processing apparatus, image processing method and program | |
| CN216777062U (en) | Rapid imaging system for human skin laser speckle blood flow | |
| CN116831528A (en) | A method for predicting diabetic foot based on multi-scale information fusion using hyperspectral reconstruction | |
| CN100502771C (en) | A high-resolution imaging method and device for transcranial cerebral blood flow | |
| JP2005319290A (en) | Non-invasive method for observing microcirculation | |
| CN114305377A (en) | Rapid imaging system for human skin laser speckle blood flow and use method thereof | |
| CN111696687A (en) | Method for realizing microcirculation and pulse synchronous monitoring by adopting mobile phone camera | |
| Applegate et al. | Real-time handheld probe tracking and image formation using digital frequency-domain diffuse optical spectroscopy | |
| JP2008237432A (en) | Fundus blood flow imaging device | |
| CN1216566C (en) | Method and equipment for high-definition dynamic digital infrared imaging | |
| CN109717861A (en) | A kind of the laser speckle detection method and detection device of blood flow velocity | |
| CN113303787B (en) | Pressure sore wound detection computing system based on infrared imaging technology | |
| US8275450B2 (en) | Multiple images, multiple exposure times, optical imaging of blood circulation velocities | |
| CN113012112B (en) | An evaluation system for thrombus detection | |
| CN114998193A (en) | Laser damage assessment method and system based on optical image | |
| Frassineti et al. | Evaluation of spatial distribution of skin blood flow using optical imaging | |
| KR101488775B1 (en) | Segmental analysis and disease diagnosis by representative blood flow dynamics value |
| Date | Code | Title | Description |
|---|---|---|---|
| PB01 | Publication | ||
| PB01 | Publication | ||
| SE01 | Entry into force of request for substantive examination | ||
| SE01 | Entry into force of request for substantive examination | ||
| RJ01 | Rejection of invention patent application after publication | Application publication date:20220412 |