Movatterモバイル変換


[0]ホーム

URL:


CN114299719B - Track-based lane temporary pointing identification method and system in end cloud system - Google Patents

Track-based lane temporary pointing identification method and system in end cloud system
Download PDF

Info

Publication number
CN114299719B
CN114299719BCN202111644305.2ACN202111644305ACN114299719BCN 114299719 BCN114299719 BCN 114299719BCN 202111644305 ACN202111644305 ACN 202111644305ACN 114299719 BCN114299719 BCN 114299719B
Authority
CN
China
Prior art keywords
lane
vehicle
vehicles
variable
range
Prior art date
Legal status (The legal status is an assumption and is not a legal conclusion. Google has not performed a legal analysis and makes no representation as to the accuracy of the status listed.)
Active
Application number
CN202111644305.2A
Other languages
Chinese (zh)
Other versions
CN114299719A (en
Inventor
邢亚东
张卫庆
刘健
盛磊
李超群
吕苗苗
Current Assignee (The listed assignees may be inaccurate. Google has not performed a legal analysis and makes no representation or warranty as to the accuracy of the list.)
Zhongke Meiluo Technology Co ltd
Original Assignee
Zhongke Meiluo Technology Co ltd
Priority date (The priority date is an assumption and is not a legal conclusion. Google has not performed a legal analysis and makes no representation as to the accuracy of the date listed.)
Filing date
Publication date
Application filed by Zhongke Meiluo Technology Co ltdfiledCriticalZhongke Meiluo Technology Co ltd
Priority to CN202111644305.2ApriorityCriticalpatent/CN114299719B/en
Publication of CN114299719ApublicationCriticalpatent/CN114299719A/en
Application grantedgrantedCritical
Publication of CN114299719BpublicationCriticalpatent/CN114299719B/en
Activelegal-statusCriticalCurrent
Anticipated expirationlegal-statusCritical

Links

Images

Landscapes

Abstract

The invention provides a method and a system for identifying temporary lane pointing based on a track in an end cloud system, wherein the method comprises the following steps: aiming at a target vehicle, acquiring the driving tracks of vehicles in front of an intersection provided with a variable vehicle road; identifying each lane change behavior contained in the traveling vehicle track according to the change of the traveling direction of the vehicle contained in the traveling vehicle track; and acquiring statistical characteristics aiming at the lane change behavior, and determining the lane direction of the front variable lane according to the statistical characteristics. By applying the embodiment of the invention, the road passing efficiency is improved.

Description

Track-based lane temporary pointing identification method and system in end cloud system
Technical Field
The invention relates to the technical field of Internet of vehicles, in particular to a method and a system for identifying temporary lane pointing based on tracks in an end cloud system.
Background
As the process of urbanization advances, many cities suffer from traffic congestion to different extents, and in order to alleviate traffic congestion, a technology of variable lanes is increasingly applied to arterial roads: for example, the partition lane on the same side as the left-turn lane is set as a variable lane, and when the left-turn lane pressure is high, the variable lane can be temporarily changed into the left-turn lane, and when the left-turn lane pressure is low, the straight lane pressure is high, the lane can be changed into the straight lane; moreover, the traffic management department can set the variable lanes according to the driving characteristics of the peaks in the morning and evening, and temporarily change the trend of the lanes, so as to further realize the relief of traffic jam pressure. In the peak time of the morning and evening, more vehicles are on the road, when a driver looks at the variable lane guideboard and then finds out that the road is close to the intersection, the road is difficult to change, and traffic accidents are easy to be caused by changing the road in the peak time, so that the driver is necessary to know the current state of the variable lane as soon as possible.
In the prior art, a road intersection steering identification method and system based on vehicle data acquisition in the document number of CN103413437B are used for identifying lane attributes of a variable lane according to steering behaviors of a front vehicle at an intersection, but the prior art is used for identifying after the front vehicle has entered the intersection. If the traffic police uses the remote controller to temporarily redirect the variable lane at this time, the following vehicles outside the visible distance cannot know that the variable lane has been redirected under the condition that the preceding vehicle occupying the variable lane has not advanced yet. The vehicles on the road are dense in peak time, the space for changing the lane is not available after the rear vehicle of the lane indication board enters the visible distance of the variable lane, and the occupation time of the rear vehicle to the road can be prolonged due to the fact that the rear vehicle occupies the wrong lane.
Therefore, in the prior art, under the condition that the variable lane is temporarily changed and the front vehicle does not advance, the rear vehicle outside the sight distance cannot predict the temporary direction of the variable lane, so that the technical problem of lower road passing efficiency is caused.
Disclosure of Invention
The technical problem to be solved by the invention is how to provide a method and a system for identifying the temporary direction of a track-based lane in an end cloud system so as to improve the traffic efficiency of a road.
The invention solves the technical problems by the following technical means:
the invention provides a method for identifying temporary lane pointing based on a track in an end cloud system, which comprises the following steps:
aiming at a target vehicle, acquiring the driving tracks of vehicles in front of an intersection provided with a variable vehicle road;
identifying each lane change behavior contained in the traveling vehicle track according to the change of the traveling direction of the vehicle contained in the traveling vehicle track;
and acquiring statistical characteristics aiming at the lane change behavior, and determining the lane direction of the front variable lane according to the statistical characteristics.
Optionally, the acquiring the track of each front vehicle driving to the intersection provided with the variable vehicle road includes:
a visible range, a high-frequency sampling triggering range and an early warning range are sequentially arranged from a lane indication board along the reverse traffic direction of a road in advance, wherein the visible range is a distance from which the outline of a guiding arrow on the lane indication board can be distinguished by naked eyes;
for each front vehicle, after the front vehicle enters a high-frequency sampling triggering range, sending an instruction for increasing the sampling frequency to the front vehicle so as to enable the front vehicle to return positioning sampling data under the high sampling frequency;
After the front vehicle enters the visible range, acquiring the driving track of the front vehicle;
after the step of identifying each lane change behavior contained in the lane change trajectory, the method further includes:
and after the target vehicle enters the early warning range, the lane direction is sent to the target vehicle.
Optionally, the acquiring the track of each front vehicle driving to the intersection provided with the variable vehicle road includes:
a visible range, a high-frequency sampling triggering range and an early warning range are sequentially arranged from the lane indication board along the reverse traffic flow direction of the road in advance;
after the target vehicle enters the early warning range, sending an instruction for increasing the sampling frequency to the front vehicle so as to enable the front vehicle entering the high-frequency sampling triggering range to return positioning sampling data under the increased sampling frequency;
after the front vehicle enters the visible range, acquiring the driving track of the front vehicle;
after the step of identifying each lane change behavior contained in the lane change trajectory, the method further includes:
and after the target vehicle enters the early warning range, the lane direction is sent to the target vehicle.
Optionally, the method for obtaining the visual range includes:
identifying the lane changing behaviors of vehicles on all lanes within a first set length from an intersection provided with a variable lane;
Taking the maximum visible range from the intersection with the variable lane to the history as a target interval, and dividing the target interval into a plurality of subintervals along the reverse direction of the extending direction of the road according to a second set length which is smaller than the first set length and comprises one of a preset length range or a vehicle body length range;
taking each subinterval as a boundary, counting the first lane changing frequency of the vehicle in the road range facing the road indication board before the subinterval and the second lane changing frequency of the vehicle in the first set length from the history maximum visible range at the intersection to the intersection;
when the difference between the first lane changing frequency and the second lane changing frequency is larger than the first set frequency, the interval is taken as a visual boundary, and the distance from the interval to the road sign is taken as a visual range.
Optionally, the method for obtaining the visual range includes:
within a third set length from the intersection provided with the variable lane, recognizing the lane changing behaviors of the vehicles on all lanes in the range at the current moment and coordinates of the occurrence of the lane changing behaviors;
calculating the distance between the lane change behavior and the lane indication board according to the coordinates, and drawing a lane change statistical curve by taking the distance from the lane indication board as a horizontal axis and the number of the lane change as a vertical axis;
Dividing the third set length into a plurality of subintervals along the extending direction of the road according to the fourth set length as the subinterval length;
accumulating the variable pass numbers in each interval to obtain an updated variable pass statistical curve;
detecting whether a peak appears on the vertical axis; if yes, taking the distance from the middle point of the subinterval where the peak value is located to the lane indication board as a visible range; if the peak value does not appear, the length of each subinterval is increased according to a fifth set length to obtain a new fourth set length, and the step of accumulating the variable number of the subintervals to obtain an updated variable-channel statistical curve is carried out again until the peak value appears, wherein the fifth set length is smaller than the fourth set length, and the fourth set length is smaller than the third set length.
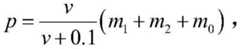
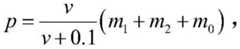
Optionally, the calculating process of the high-frequency sampling trigger range is as follows:
by means of the formula (i),
Figure SMS_1
a high frequency sampling trigger range is calculated, wherein,
l is a high-frequency sampling trigger range; v is the visible range;
Figure SMS_2
average vehicle speed for n preceding vehicles; Δt is instruction transmission time-consuming; ρcur The density of the road vehicles in the visible range at the current moment; ρmax The historical maximum density of the road vehicles in the visible range; h is the average distance of the lane change of the vehicle.
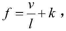
Optionally, the calculation process of the increased sampling frequency is:
by means of the formula (i),
Figure SMS_3
a high sampling frequency is calculated, wherein,
f is a high sampling frequency; v is the speed of the preceding vehicle; l is the length of the body of the front vehicle; k is a preset compensation sampling frequency.
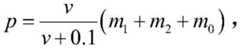
Optionally, the obtaining the statistical feature for the lane change behavior, and determining the lane direction of the front variable lane according to the statistical feature includes:
judging whether the vehicles generating the lane change behavior have the overtaking behaviors of changing back to the original lane after changing the lane, aiming at the driving trails of each front vehicle, if not, adding the front vehicles into a target vehicle set;
for a set of target vehicles, obtaining a first number of vehicles from a variable lane to a straight lane, a second number of vehicles from a variable lane to a steered lane, a third number of vehicles from a straight lane to a variable lane, a fourth number of vehicles from a steered lane to a variable lane, wherein the steered lane comprises: one or a combination of a left-turn lane and a right-turn lane;
acquiring a first ratio of the number of first vehicles to the total number of vehicles in a variable lane at the current moment, a second ratio of the number of second vehicles to the total number of vehicles in the variable lane at the current moment, a third ratio of the number of third vehicles to the total number of vehicles in a straight lane at the current moment, and a fourth ratio of the number of fourth vehicles to the total number of vehicles in a steering lane at the current moment;
When the first ratio and/or the third ratio are/is larger than a first preset threshold value, determining that the lane direction of the variable lane at the current moment is steering;
and when the second ratio and/or the fourth ratio are/is larger than a second preset threshold value, judging that the lane direction of the variable lane at the current moment is straight.
Optionally, when calculating the number of vehicles, the number of vehicles includes: one or a combination of the first vehicle, the second vehicle number, the third vehicle number, and the fourth vehicle number, the method further comprising:
for each front vehicle, assigning a basic counting coefficient to the front vehicle, wherein the basic counting coefficient is one;
when the historical total lane change frequency of the front vehicle is lower than a second set frequency and the number of lane change times in the visible range is larger than the set times, taking the number of changed lanes as a first counting coefficient of the front vehicle;
when the historical total lane change frequency of the front vehicle is greater than or equal to a third set frequency, a second count coefficient is given to the front vehicle, the second count coefficient is smaller than zero, and the third set frequency is greater than twice the second set frequency;
by means of the formula (i),
Figure SMS_4
calculating a corresponding adjusted vehicle count equivalent value for the preceding vehicle, taking the count equivalent value as the corresponding number of vehicles for the vehicle, wherein,
p is the count value of the preceding vehicle; v is the front vehicle speed; m is m0 Is a basic technical coefficient; m is m1 Is a first count coefficient; m is m2 Is the second count coefficient.
The invention also provides a track-based lane temporary pointing recognition system in the end cloud system, which comprises:
the acquisition module is used for acquiring the driving tracks of vehicles in front of the crossing provided with the variable vehicle road aiming at the target vehicle;
the identification module is used for identifying each lane change behavior contained in the traveling vehicle track according to the change of the traveling direction of the vehicle contained in the traveling vehicle track;
and the sending module is used for acquiring the statistical characteristics aiming at the lane change behavior and determining the lane direction of the front variable lane according to the statistical characteristics.
The invention has the advantages that:
by applying the embodiment of the invention, under the condition that the variable lanes are temporarily changed and the vehicles at the intersection do not advance, the rear vehicles outside the sight distance cannot predict the temporary pointing of the variable lanes according to the steering characteristics of the vehicles at the intersection, and the front vehicles occupy the wrong road because of sudden change of the road. In the embodiment of the invention, when the front vehicle does not reach the intersection yet, if the front vehicle occupies the wrong road, the driver of the front vehicle can change the road in advance according to the lane indication board, and the variable lane guiding is pre-judged according to the lane changing behavior of the front vehicle, so that even if the vehicle at the intersection does not act, the rear vehicle can know the lane direction of the variable lane at the current moment in time, thereby reducing the probability of the rear vehicle occupying the wrong road and improving the road passing efficiency.
In addition, the distance between the rear vehicle and the intersection is increased to the sum of the distance between the rear vehicle and the front vehicle and the distance between the front vehicle and the intersection, and compared with the prior art that the direction information of the variable lane can be detected only when the front vehicle reaches the intersection, the embodiment of the invention can reserve more abundant lane changing space for the rear vehicle, further reduces the probability of the rear vehicle occupying the wrong lane, and improves the road passing efficiency.
Drawings
Fig. 1 is a flow chart of a method for identifying temporary lane pointing based on a track in an end cloud system according to an embodiment of the present invention;
fig. 2 is a schematic distribution diagram of vehicles and lanes on a road in a method for identifying temporary lane pointing based on a track in an end cloud system according to an embodiment of the present invention;
fig. 3 is a schematic structural diagram of a track-based lane temporary pointing recognition system in an end cloud system according to an embodiment of the present invention.
Detailed Description
For the purpose of making the objects, technical solutions and advantages of the embodiments of the present invention more apparent, the technical solutions in the embodiments of the present invention will be clearly and completely described in the following in conjunction with the embodiments of the present invention, and it is apparent that the described embodiments are some embodiments of the present invention, but not all embodiments. All other embodiments, which can be made by those skilled in the art based on the embodiments of the invention without making any inventive effort, are intended to be within the scope of the invention.
A variable lane is a type of lane in which the lane pointing direction can be changed, thereby adjusting the forward direction of traffic on the lane. Common variable lanes are typically set their lane direction according to time periods, e.g., 7:00-9:00 early and 17:00-19:00 late lane directions are straight, other time periods are left or right turns; or in the early 7:00-9:00, and in the late 17:00-19:00 lanes are directed to left or right turns, other periods are straight. It should be emphasized that the variable lane referred to in the embodiments of the present invention means that only the lane is adjusted to point to whether to turn or go straight; rather than a tidal lane (the lane of which is directed opposite to the lanes of other time periods in a particular time period). However, the traffic flow change on the road accords with the time interval division as a whole, but some special traffic flow change situations which are not matched with the time interval division are generated in some cases, so that the lane direction adjustment of the variable lanes in the fixed time interval is relatively fixed and inflexible. Further, the traffic control department optimizes the lane direction of the variable lane, for example, when the lane direction of the variable lane is straight at the early time of 7:00-9:00, the traffic control department can temporarily adjust the lane direction of the variable lane according to the traffic flow condition on the road in the peak period, so that the traffic control department is more flexible, but when the traffic control department temporarily adjusts the lane direction to be different from the pre-planned lane direction, the front vehicle does not advance to give a signal, the rear vehicle outside the sight distance cannot predict the temporary direction of the variable lane, and the rear vehicle outside the sight distance cannot know the lane direction of the variable lane at the current moment.
In the prior art, variable lane pointing recognition is performed based on images shot by a vehicle recorder, but three problems exist in the technology:
1. the video is required to be uploaded to a server, the server performs image processing and recognition, and the time consumption of the whole process is long from the video uploading to the analysis recognition and then to the recognition result returning; in addition, the sight distance of the automobile data recorder is limited, so that when the automobile data recorder can shoot the variable lane direction, the automobile is very close to the intersection, the rear automobile is very difficult to observe the variable lane direction clearly, and enough lane changing time is reserved for the automobile which is close to the front automobile; furthermore, in the peak time of the morning and evening, lane change is more difficult, and the lane change is easy to cause the rear vehicle to occupy the wrong lane under the condition of insufficient lane change distance, so that the traffic efficiency is reduced.
2. In addition, the effective shooting distance of the automobile data recorder is relatively short when the automobile data recorder moves, so that the lane direction of the variable lane is difficult to clearly shoot, and the front automobile is required to be close to the lane indication board enough to clearly shoot the direction information of the variable lane;
3. the automobile data recorder is basically useless in severe weather such as rain and snow haze weather or in curves or in the case of shielding of overpass trees, and therefore, the comprehensive effect of the automobile data recorder is not good.
Therefore, how to reliably provide the temporary adjusted lane direction of the variable lane for the target vehicle in the peak period is a technical problem to be solved urgently, and road traffic efficiency is further improved.
Example 1
Firstly, it is explained that the embodiment of the present invention is preferably deployed in the scheduling software or the map software of the cloud platform, for example, the lane pointing may be performed according to thevariable lanes 2013.
Fig. 1 is a flow chart of a method for identifying temporary lane pointing based on a track in an end cloud system according to an embodiment of the present invention, as shown in fig. 1, where the method includes:
s1: the following track of each preceding vehicle on the road provided with thevariable lane 2013 is acquired, and the preceding vehicle is a vehicle that is moving toward the intersection provided with thevariable lane 2013.
Fig. 2 is a schematic diagram of distribution of vehicles and lanes on a road in the method for identifying temporary lane pointing based on a track in an end cloud system according to an embodiment of the present invention, where the road is divided into left and right half-width roads by a centralgreen belt 2015, as shown in fig. 2, and the embodiment of the present invention is illustrated by taking the right half-width road shown in fig. 2 as an example.
S101: avisible range 201, a high-frequencysampling trigger range 203 and anearly warning range 205 are sequentially arranged in the road reverse traffic direction from thelane indicator 2011 in advance. The direction of the traffic flow in fig. 2 is the direction indicated by the arrow from the bottom up, and the reverse direction of the traffic flow along the road is the direction opposite to the lane guiding arrow on the lane, that is, the direction from the top down shown in fig. 2. Theindication area 2017 in thelane indicator 2011 is a display area of a lane guide arrow corresponding to the vehicle flow direction of thevariable lane 2013.
Thevisual range 201 is smaller than the high-frequencysampling trigger range 203, and the high-frequencysampling trigger range 203 is smaller than theearly warning range 205, wherein thevisual range 201 is a distance from which the outline of the guiding arrow on thelane indicator 2011 can be distinguished by naked eyes. Thevisibility range 201 may be measured in advance by a scheduling software or map software provider, or the atmospheric visibility of the location may be obtained from real-time weather forecast, or may be implemented by a visibility measuring sensor deployed at the road side.
In a first aspect, the visual range may be determined in the following manner.
Firstly, modern cities are bigger and bigger, and buildings in the cities are uneven in height, so that an air flow field in the cities is complex; the pollutant sources in the city are multiple and dispersed, so that the distribution of substances influencing the atmospheric dissipation coefficient, such as pollutants, water vapor and the like, is quite different under the action of a complex air flow field, namely, the proportion of the influence factors, such as particulate matters, water content, light scattering, backlight, light pollution and the like, in different local areas in the city are quite different, and the visibility of different positions is quite different. The visibility measuring device can only measure the atmospheric dissipation coefficient at the device, the measured area range is smaller, and the punctiform visibility measuring result is obtained; the overall cumulative visibility of distances of tens or even hundreds of meters cannot be measured; in addition, the atmospheric flow can cause the measuring beam to distort and shake, so that the measuring accuracy is directly affected, and further, larger errors exist between the visible range calculated according to the visibility measuring equipment and the actual visible range, and further, the reliability of the result measured by the visibility measuring sensor is insufficient.
In order to solve the above problem, the embodiment of the present invention uses the following method to implement visibility detection, and further determines thevisible range 201 according to the visibility: taking the first set length from the variable lane crossing 2013 as 300 meters, the history maximum visible range is a range of 200 meters along the reverse direction of the road from thelane indicators 2011 as an example.
Identifying the lane change behaviors of vehicles on all lanes within the range corresponding to the first set length; the target interval of 20-200 meters is divided into 36 subintervals according to a second set length of 5 meters. Counting a first lane change frequency of a vehicle in a road range facing the road sign before each subinterval by taking each subinterval as a boundary, and a second lane change frequency of the vehicle in the interval from a position of 200 meters of a history maximum visible range at the intersection to a position of 300 meters of a first set length at the intersection, wherein the first set length can be 1.1-2 times of the history maximum visible range; the 20 meter value is derived from the length of thesolid line 2019 located at the intersection on the lane. If the difference between the first lane changing frequency and the second lane changing frequency is greater than the first setting frequency, it indicates that the driver sees the road sign, and needs to adjust the lane occupation, so that frequent lane changing occurs, and therefore the subinterval is a visual boundary, and the distance from the subinterval to the road sign is taken as avisual range 201. According to the embodiment of the invention, the visibility detection is realized based on the vehicle track, when a driver can see the road indication board, the lane can be adjusted according to the indication board, and the visible range observed by the driver is a real visible range; and when the driver can observe thelane indicator 2011, most drivers who need to change the lane can start to adjust the lane, or the lane can be adjusted within a certain distance after the driver can observe thelane indicator 2011, so that the number of change passes is increased, namely the frequency of the change lane is increased, and therefore whether thelane indicator 2011 is visible to the driver of the front vehicle or not can be identified according to the change trend, and the identification accuracy can be improved. Meanwhile, the hardware installation and maintenance expenditure of the visibility detection equipment can be reduced, and the cost is reduced.
In practical applications, in order to reduce the calculation amount and improve the flexibility of sub-section division at the same time, the body length of each front vehicle may be determined according to the vehicle model uploaded by the front vehicle, and the body length of the front vehicle may be taken as the second preset length. And different subinterval dividing results can be obtained for different front vehicles, so that the number of subintervals of the front vehicle of the long vehicle body is small, the number of subintervals of the short vehicle body is large, the number of subintervals is reduced compared with the case that the shortest vehicle body is used as a second set length for dividing the subintervals, the fineness of the subinterval division can be improved compared with the case that the subinterval division is carried out by using a longer second set length, the problem that whether the lane change behavior division caused by lane change of the short vehicle body belongs to the current subinterval before or after the current subinterval is caused is avoided, and the accuracy of the division is further improved. Then, the average value, the minimum value, or the maximum value of the visible range obtained by different front vehicles is used as the visible range for the intersection provided with the changeable lane.
And two,: in practical application, it is found that the lane change frequency of the vehicle is calculated according to the subinterval, so that some scenes with little lane change frequency change may be missed, and the manner is relatively mechanical, so that a certain degree of missed judgment is caused, and therefore, the embodiment of the invention adopts the lane change frequency distribution curve to judge the visible range.
The third set length of the intersection with thevariable lane 2013, such as 300 meters, can be used for identifying the lane changing behaviors of the vehicles on all lanes in the range at the current moment and the coordinates of the occurrence of the lane changing behaviors, calculating the distance between the lane changing behaviors and thelane indication board 2011 according to the coordinates, then drawing a lane changing statistical curve by taking the distance from thelane indication board 2011 as a horizontal axis and the lane changing number as a vertical axis, and accumulating the lane changing number in the word area according to the fourth set length, such as 5 meters, to obtain an updated lane changing statistical curve; detecting whether a peak appears on the vertical axis; if yes, taking the distance from the middle point of the subinterval where the peak appears to thelane indicator 2011 as a visible range; if the peak value does not appear, the length of each subinterval is increased according to the fifth set length as a step length, for example, 1 meter, so as to obtain a new fourth set length; and returning to execute the step of accumulating the variable number of the sub-interval to obtain an updated variable-channel statistical curve until a peak value appears.
When the driver can observe thelane indicator 2011, most drivers needing lane change can start to adjust the lane, or the lane can be adjusted within a certain distance after the driver can observe thelane indicator 2011, so that a peak value of increasing lane changing times is generated, the peak value is identified, coordinates corresponding to the peak value are obtained, a visible range under the current condition can be obtained, and compared with the simple mechanical judgment by using the threshold value, the embodiment of the invention can not generate the condition of missed judgment and can more accurately identify the visible range.
It should be emphasized that the numerical range of 300 meters may be set to 70%, or 50% or the like of the distance between the intersection where thevariable lane 2013 is located and the previous intersection, or be set by the platform operation and maintenance personnel according to the actual situation of each intersection, and the specific numerical values of the first set length and the third set length are not limited in this embodiment of the present invention. The value of the subinterval may be 1 meter, 3 meters, 4 meters, 5 meters, 7 meters, 10 meters, or the like. In practical application, the visible range can be calculated every other hour or every two hours and used as a calculation basis of the visible range in the period of time so as to reduce the calculated amount of the cloud platform.
In a second aspect, the formula may be utilized,
Figure SMS_5
calculating a high-frequency sampling trigger range, wherein L is the high-frequency sampling trigger range; v is the visible range; />
Figure SMS_6
Average vehicle speed for n preceding vehicles; Δt is instruction transmission time-consuming; ρcur The density of the road vehicles in the visible range at the current moment; ρmax The historical maximum density of the road vehicles in the visible range; h is the average distance of the lane change of the vehicle.
It should be emphasized that, as shown in fig. 2, the high-frequencysampling trigger range 203 refers to a range extending reversely along the road from the intersection provided with thevariable lane 2013, and the definition of the visible range and the early warning range are similar.
In practical application, the front vehicles need to enter a stable sampling state to be triggered according to the instructions of the cloud platform, the cloud platform judges according to the coordinates and the vehicle speed of each front vehicle, the judging results are modulated and sent, and the front vehicles need to receive and demodulate signals and execute a certain time, so that a certain delay exists.
S102: for each of the preceding vehicles, after the preceding vehicle enters the high-frequencysampling trigger range 203, an instruction to increase the sampling frequency is issued to the preceding vehicle to return the preceding vehicle to the positioning sampling data at the high sampling frequency. The embodiment of the present invention will be described with reference to thevehicle 207 as a target vehicle and thevehicle 209 as one of the preceding vehicles. When the vehicle runs, the mobile phone or the vehicle-mounted terminal of the driver continuously collects and uploads the positioning data of thefront vehicle 209 at the frequency of 1-5Hz, and the cloud platform receives and stores the positioning data. The cloud platform judges whether thefront vehicle 209 enters the high-frequencysampling triggering range 203 according to the real-time positioning data of thefront vehicle 209; if so, the cloud platform issues an instruction to increase the sampling frequency to thefront vehicle 209.
Typically, the cloud platform may add the increased sampling frequency to the instruction for transmission to thefront vehicle 209; or the cloud platform only sends an instruction for increasing the sampling frequency to thefront vehicle 209, and thefront vehicle 209 calculates the increased sampling frequency according to a preset calculation method.
In practical applications, the formula may be used,
Figure SMS_7
calculating a high sampling frequency, wherein f is the high sampling frequency; v is the speed of the preceding vehicle; l is the length of the body of the front vehicle; k is a preset compensation sampling frequency.
By using the length of the vehicle body as a sampling interval, a more continuous and accurate vehicle track can be obtained; in addition, the speed of each vehicle is different, if a fixed sampling frequency is set, and the frequency is too low for vehicles with higher speed, the distance between every two sampling intervals is longer, and the problem that the vehicle finishes lane change between the two sampling intervals, so that some lane change behaviors are missed easily, and the analysis effect of the vehicle track is poor can occur. And for vehicles with slower speed, the problem of overlapping of sampling points caused by too small sampling point spacing is easily generated, so that a plurality of sampling points without utilization value are generated, and the data pressure of the server is increased. Finally, in the embodiment of the invention, the purpose of using the length of the vehicle body as the basis of the sampling interval of the vehicle is that some drivers drive more rapidly, or some drivers have better technology, the overtaking is rapid and keeps a closer distance from the overtaking vehicle to the front and the rear, if the space interval corresponding to the sampling is larger, the sampling is easy to cause the missing, and any driver is difficult to finish overtaking within the range of one vehicle body length, so that the vehicle body length is reasonable as the sampling interval.
Furthermore, the embodiment of the invention adds the compensation sampling frequency, thereby further avoiding the interference of the ultra-short distance overtaking behaviors of some drivers on the analysis of the lane change behaviors. As same asAnother purpose of setting the compensation sampling frequency is to compensate when the error generated in the calculation process of the vehicle speed and the length of the vehicle body is large, wherein the value range of the compensation sampling frequency k is generally between
Figure SMS_8
From 0.1 to 0.6 times, preferably from 0.15 times to 0.35 times.
It should be emphasized that the target vehicle is a rear vehicle that enters the warning range, but the driver cannot see the outline of the guide arrow on the lane sign.
S103: after the front vehicle enters the visible range, acquiring the driving track of the front vehicle;
after receiving the instruction for increasing the sampling frequency, each vehicle in front increases the self positioning coordinate sampling frequency to a high sampling frequency to perform positioning data sampling, and then sends the sampling result, the corresponding sampling time stamp, the vehicle identification and other information to the cloud platform. The cloud platform acquires the positioning coordinates of each front vehicle at each moment, and then, aiming at each front vehicle, the positioning points of each front vehicle are connected in series according to the time sequence to obtain the track of the front vehicle.
S2: and identifying each lane change behavior contained in the traveling vehicle track according to the change of the traveling direction of the vehicle contained in the traveling vehicle track.
In practical application, HD-map data of a road is stored in advance in a cloud platform, the HD-map data includes positioning data of lane boundaries, and whether the front vehicle changes lanes is determined according to whether the lane boundaries intersect with the track of the front vehicle obtained in step S1.
Further, whether the front vehicle has lane change behavior can be judged according to whether the curvature of the driving track is larger than the curvature of the lane where the point is located.
S3: and acquiring statistical characteristics aiming at the lane change behavior, determining the lane direction of the frontvariable lane 2013 according to the statistical characteristics, and transmitting the lane direction to the target vehicle.
The method can comprise the following substeps:
s301: judging whether the vehicles generating the lane change behavior have the overtaking behaviors of changing back to the original lane after changing the lane, aiming at the driving trails of each front vehicle, if not, adding the front vehicles into a target vehicle set; for example, the overtaking track in the driving track can be identified according to the characteristic that the track leaves the current lane, then enters an adjacent lane and then returns to the current lane; and then adding the front vehicle without the driving track of the overtaking behavior into the target vehicle set so as to reduce the interference of the overtaking behavior on the lane change behavior data.
Further, some vehicles in front may have overtaking behaviors and lane changing behaviors at the same time, so in the embodiment of the present invention, for each lane, the overtaking behaviors in each lane are identified, and then the lane corresponding to the overtaking behaviors is deleted and replaced with the lane center line identical to the lane center line. Therefore, no track of overtaking behaviors exists in all the running tracks, then, each lane changing behavior is counted, and the front vehicles with the lane changing behaviors are added into the target vehicle set, so that the interference of the overtaking behaviors on lane changing behavior data is further reduced.
S302: for a target set of vehicles, obtaining a first number of vehicles that change from avariable lane 2013 to a straight lane, a second number of vehicles that change from thevariable lane 2013 to a steered lane, a third number of vehicles that change from the straight lane to thevariable lane 2013, a fourth number of vehicles that change from the steered lane to thevariable lane 2013, wherein the steered lane comprises: one or a combination of left-turn lanes and right-turn lanes.
It is to be understood that a left turn+straight variable lane is assumed asvariable lane 1 and a right turn+straight variable lane is assumed as variable lane 2. In practice, there is rarely a case where one intersection exists simultaneously with the two variable lanes. Therefore, in the embodiments of the present invention, only two are generally described in terms of description, and only one variable lane is generally processed in the actual policy implementation process. Even if there is an extreme case, one intersection has both thevariable lane 1 and the variable lane 2, and in the embodiment of the present invention, the two variable lanes are processed separately.
Furthermore, if two adjacent lanes are simultaneously set as variable lanes at the same intersection, for example, two lanes adjacent to a left-turning vehicle are simultaneously set as left-turning+straight variable lanes, the two variable lanes can be combined into one lane for processing in the embodiment of the invention, so that the processing is simpler, and the result does not change obviously.
S303: a first ratio of a first number of vehicles to the total number of vehicles in the variable lane at the current time, a second ratio of a second number of vehicles to the total number of vehicles in thevariable lane 2013 at the current time, a third ratio of a third number of vehicles to the total number of vehicles in the straight lane at the current time, and a fourth ratio of a fourth number of vehicles to the total number of vehicles in the steering lane at the current time are obtained.
S304: and when the first ratio and/or the third ratio are/is larger than a first preset threshold value, determining that the lane direction of thevariable lane 2013 at the current moment is steering.
S305: and when the second ratio and/or the fourth ratio are/is larger than a second preset threshold value, determining that the lane direction of thevariable lane 2013 at the current moment is straight.
S306: after the target vehicle enters the warning range, the lane pointing direction is sent to thetarget vehicle 207. After receiving the pointing information of thevariable lane 2013 sent by the cloud platform, the driver of thetarget vehicle 207 performs a lane keeping operation or an advanced lane changing operation according to the lane condition where the driver is located.
Example 2
In embodiment 2 of the present invention, the following step may be used instead of step S1 inembodiment 1.
S501 (not shown in the figure): a visible range, a high-frequency sampling trigger range and an early warning range are sequentially arranged in advance from thelane indicator 2011 along the reverse traffic direction of the road.
S502 (not shown in the figure): after the target vehicle enters the early warning range, an instruction for increasing the sampling frequency is sent to the front vehicle, so that the front vehicle after entering the high-frequency sampling triggering range returns positioning sampling data under the increased sampling frequency.
In this step, the sampling frequency of the preceding vehicle is increased only when thetarget vehicle 207 exists within the early warning range, so that the amount of data received by the server can be reduced.
In theembodiment 1 of the present invention, whether thetarget vehicle 207 exists in the early warning range or not, the front vehicle is required to increase the sampling frequency so as to obtain the corresponding driving track, and the obtained data has a wider time range and is more timely, and the discrimination of thevariable lane 2013 is more accurate, although the data burden of the server is increased.
S503 (not shown in the figure): after the front vehicle enters the visible range, the track of the front vehicle is acquired.
Other steps in embodiment 2 of the present invention are the same as steps S2 and S3 inembodiment 1, and embodiment 2 of the present invention is not described herein.
Example 3
Based onembodiment 1 of the present invention, embodiment 3 of the present invention adds the following steps when calculating the number of vehicles:
it is first emphasized that the calculated number of vehicles includes: one or a combination of the first vehicle, the second vehicle number, the third vehicle number, and the fourth vehicle number.
S302A (not shown in the figure): for each front vehicle, assigning a basic counting coefficient to the front vehicle, wherein the basic counting coefficient is one;
S302B (not shown in the figure): and when the historical total lane change frequency of the front vehicle is lower than the second set frequency and the number of the lane change times in the visible range is larger than the set times, taking the number of the changed lanes as a first counting coefficient of the front vehicle.
In this step, the historical total lane change frequency of the preceding vehicle is lower than the second set frequency to measure whether the driving style of the driver belongs to the aggressive style. In general, a driver with a driving style in a driving manner is more likely to generate lane change or overtaking behaviors, and one overtaking behavior can be decomposed into two lane change behaviors when the first coefficient is calculated, so that the recognition degree is improved. Similarly, the driver with stable driving style is less likely to generate high-frequency lane change or high-frequency overtaking, so that the lane change behavior of the driver with stable driving style has more reference value, and therefore, the lane change behavior with more reference value can be rapidly screened under the condition of lower calculated amount by simply distinguishing the driving style based on the second set frequency.
S302C (not shown in the figure): and when the historical total lane change frequency of the front vehicle is greater than or equal to a third set frequency, a second count coefficient is given to the front vehicle, the second count coefficient is smaller than zero, and the third set frequency is greater than twice the second set frequency.
In this step, based on the similar reason in step S302B, the second count coefficient of the vehicle corresponding to the driver with the driving style in progress is set to a negative value, so that the influence of the driver with the driving style in progress on the lane change behavior detection is further reduced, the reference value between the driver with the driving style in progress and the driver with the driving style in stable progress is further increased, and the recognition degree of the vehicle of the driver with the driving style in stable progress is improved.
S302D (not shown in the figure): by means of the formula (i),
Figure SMS_9
calculating a corresponding adjusted vehicle count equivalent value for the preceding vehicle, taking the count equivalent value as the corresponding number of vehicles for the vehicle, wherein,
p is the count value of the preceding vehicle; v is the front vehicle speed; m is m0 Is a basic technical coefficient; m is m1 Is a first count coefficient; m is m2 Is the second count coefficient.
Adding calculation of the vehicle speed, so that the vehicle with zero speed can be excluded;
in the embodiment of the invention, the vehicle speed is used for calculation instead of directly using distance calculation, because the queuing lengths of different lanes are different, for example, the queuing of a left-turn lane and an adjacent straight lane is shorter, lane changing can be continued, and the queuing of other straight lanes which are more right is longer, if a boundary line is set, the lane changing vehicle according to the direction of thevariable lane 2013 is missed, the accuracy of the result is affected, and in the embodiment of the invention, the vehicle speed factor is added, the stationary vehicle is planed, and the calculation can be carried out according to the lanes, so that the result can be more accurate.
Example 4
Corresponding to any one of theembodiments 1 to 3 of the present invention, the present invention also provides a system for identifying temporary lane pointing based on a track in an end cloud system.
Fig. 3 is a schematic structural diagram of an identification system for temporary lane pointing based on a track in an end cloud system according to an embodiment of the present invention, where, as shown in fig. 3, the system includes:
anacquisition module 301, configured to acquire a track of each front vehicle on a road provided with avariable lane 2013, where the front vehicle is a vehicle moving toward an intersection provided with thevariable lane 2013;
the identifyingmodule 302 is configured to identify each lane-changing behavior included in the travel track according to a change of a traveling direction of the vehicle included in the travel track;
the sendingmodule 303 is configured to obtain statistical characteristics for the lane change behavior, and determine a lane direction of the frontvariable lane 2013 according to the statistical characteristics.
The above embodiments are only for illustrating the technical solution of the present invention, and are not limiting; although the invention has been described in detail with reference to the foregoing embodiments, it will be understood by those of ordinary skill in the art that: the technical scheme described in the foregoing embodiments can be modified or some technical features thereof can be replaced by equivalents; such modifications and substitutions do not depart from the spirit and scope of the technical solutions of the embodiments of the present invention.

Claims (9)

1. The method for identifying the temporary lane pointing based on the track in the end cloud system is characterized by comprising the following steps:
for a target vehicle, acquiring the driving tracks of vehicles in front of an intersection provided with a variable vehicle road, wherein the driving tracks specifically comprise: a visible range, a high-frequency sampling triggering range and an early warning range are sequentially arranged from a lane indication board along the reverse traffic direction of a road in advance, wherein the visible range is a distance from which the outline of a guiding arrow on the lane indication board can be distinguished by naked eyes; after the front vehicle enters the visible range, acquiring the driving track of the front vehicle;
identifying each lane change behavior contained in the traveling vehicle track according to the change of the traveling direction of the vehicle contained in the traveling vehicle track;
the method comprises the steps of obtaining statistical characteristics aiming at the lane change behavior, and determining the lane direction of a front variable lane according to the statistical characteristics, wherein the method specifically comprises the following steps: judging whether the vehicles generating the lane change behavior have the overtaking behaviors of changing back to the original lane after changing the lane, aiming at the driving trails of each front vehicle, if not, adding the front vehicles into a target vehicle set; for a set of target vehicles, obtaining a first number of vehicles from a variable lane to a straight lane, a second number of vehicles from a variable lane to a steered lane, a third number of vehicles from a straight lane to a variable lane, a fourth number of vehicles from a steered lane to a variable lane, wherein the steered lane comprises: one or a combination of a left-turn lane and a right-turn lane; acquiring a first ratio of the number of first vehicles to the total number of vehicles in a variable lane at the current moment, a second ratio of the number of second vehicles to the total number of vehicles in the variable lane at the current moment, a third ratio of the number of third vehicles to the total number of vehicles in a straight lane at the current moment, and a fourth ratio of the number of fourth vehicles to the total number of vehicles in a steering lane at the current moment; when the first ratio and/or the third ratio are/is larger than a first preset threshold value, determining that the lane direction of the variable lane at the current moment is steering; when the second ratio and/or the fourth ratio are/is larger than a second preset threshold value, judging that the lane direction of the variable lane at the current moment is straight;
And after the target vehicle enters the early warning range, the lane direction is sent to the target vehicle.
2. The method for identifying a temporary lane pointing based on a track in an end cloud system according to claim 1, wherein when the track of each preceding vehicle driving to an intersection provided with a variable road is acquired, the method further comprises:
for each front vehicle, after the front vehicle enters the high-frequency sampling triggering range, an instruction for increasing the sampling frequency is sent to the front vehicle so as to enable the front vehicle to return positioning sampling data under the high sampling frequency.
3. The method for identifying a temporary lane pointing based on a track in an end cloud system according to claim 1, wherein the acquiring the track of each vehicle ahead of an intersection provided with a variable road comprises:
a visible range, a high-frequency sampling triggering range and an early warning range are sequentially arranged from the lane indication board along the reverse traffic flow direction of the road in advance;
after the target vehicle enters the early warning range, sending an instruction for increasing the sampling frequency to the front vehicle so as to enable the front vehicle entering the high-frequency sampling triggering range to return positioning sampling data under the increased sampling frequency;
After the front vehicle enters the visible range, acquiring the driving track of the front vehicle;
after the step of identifying each lane change behavior contained in the lane change trajectory, the method further includes:
and after the target vehicle enters the early warning range, the lane direction is sent to the target vehicle.
4. A method for identifying a temporary lane pointing based on a track in an end cloud system according to claim 2 or 3, wherein the method for obtaining a visual range comprises:
identifying the lane changing behaviors of vehicles on all lanes within a first set length from an intersection provided with a variable lane;
taking the maximum visible range from the intersection with the variable lane to the history as a target interval, and dividing the target interval into a plurality of subintervals along the reverse direction of the extending direction of the road according to a second set length which is smaller than the first set length and comprises one of a preset length range or a vehicle body length range;
taking each subinterval as a boundary, counting the first lane changing frequency of the vehicle in the road range facing the road indication board before the subinterval and the second lane changing frequency of the vehicle in the first set length from the history maximum visible range at the intersection to the intersection;
When the difference between the first lane changing frequency and the second lane changing frequency is larger than the first set frequency, the interval is taken as a visual boundary, and the distance from the interval to the road sign is taken as a visual range.
5. A method for identifying a temporary lane pointing based on a track in an end cloud system according to claim 2 or 3, wherein the method for obtaining a visual range comprises:
within a third set length from the intersection provided with the variable lane, recognizing the lane changing behaviors of the vehicles on all lanes in the range at the current moment and coordinates of the occurrence of the lane changing behaviors;
calculating the distance between the lane change behavior and the lane indication board according to the coordinates, and drawing a lane change statistical curve by taking the distance from the lane indication board as a horizontal axis and the number of the lane change as a vertical axis;
dividing the third set length into a plurality of subintervals along the extending direction of the road according to the fourth set length as the subinterval length;
accumulating the variable pass numbers in each interval to obtain an updated variable pass statistical curve;
detecting whether a peak appears on the vertical axis; if yes, taking the distance from the middle point of the subinterval where the peak value is located to the lane indication board as a visible range; if the peak value does not appear, the length of each subinterval is increased according to a fifth set length to obtain a new fourth set length, and the step of accumulating the variable number of the subintervals to obtain an updated variable-channel statistical curve is carried out again until the peak value appears, wherein the fifth set length is smaller than the fourth set length, and the fourth set length is smaller than the third set length.
6. A method for identifying a temporary lane pointing based on a track in an end cloud system according to claim 2 or 3, wherein the calculation process of the high-frequency sampling trigger range is as follows:
by means of the formula (i),
Figure FDA0004130050120000041
a high frequency sampling trigger range is calculated, wherein,
l is a high-frequency sampling trigger range; v is the visible range;
Figure FDA0004130050120000042
average vehicle speed for n preceding vehicles; Δt is instruction transmission time-consuming; ρcur The density of the road vehicles in the visible range at the current moment; ρmax The historical maximum density of the road vehicles in the visible range; h is the average distance of the lane change of the vehicle.
7. The method for identifying the temporary lane pointing based on the track in the end cloud system according to claim 6, wherein the calculation process of the increased sampling frequency is as follows:
by means of the formula (i),
Figure FDA0004130050120000043
a high sampling frequency is calculated, wherein,
f is a high sampling frequency; v is the speed of the preceding vehicle; l is the length of the body of the front vehicle; k is a preset compensation sampling frequency.
8. The method for identifying a temporary lane pointing based on a track in an end cloud system according to claim 1, wherein when calculating a number of vehicles, the number of vehicles comprises: one or a combination of the first vehicle, the second vehicle number, the third vehicle number, and the fourth vehicle number, the method further comprising:
For each front vehicle, assigning a basic counting coefficient to the front vehicle, wherein the basic counting coefficient is one;
when the historical total lane change frequency of the front vehicle is lower than a second set frequency and the number of lane change times in the visible range is larger than the set times, taking the number of changed lanes as a first counting coefficient of the front vehicle;
when the historical total lane change frequency of the front vehicle is greater than or equal to a third set frequency, a second count coefficient is given to the front vehicle, the second count coefficient is smaller than zero, and the third set frequency is greater than twice the second set frequency;
by means of the formula (i),
Figure FDA0004130050120000051
calculating a corresponding adjusted vehicle count equivalent value for the preceding vehicle, taking the count equivalent value as the corresponding number of vehicles for the vehicle, wherein,
p is the count value of the preceding vehicle; v is the front vehicle speed; m is m0 Is a basic technical coefficient; m is m1 Is a first count coefficient; m is m2 Is the second count coefficient.
9. The system for identifying the temporary lane pointing based on the track in the end cloud system is characterized by comprising the following steps:
the acquisition module is used for acquiring the driving tracks of vehicles in front of the crossing provided with the variable vehicle road aiming at the target vehicle, and specifically comprises the following steps: a visible range, a high-frequency sampling triggering range and an early warning range are sequentially arranged from a lane indication board along the reverse traffic direction of a road in advance, wherein the visible range is a distance from which the outline of a guiding arrow on the lane indication board can be distinguished by naked eyes; after the front vehicle enters the visible range, acquiring the driving track of the front vehicle;
The identification module is used for identifying each lane change behavior contained in the traveling vehicle track according to the change of the traveling direction of the vehicle contained in the traveling vehicle track;
the sending module is used for obtaining statistical characteristics aiming at the lane change behavior, determining the lane direction of the front variable lane according to the statistical characteristics, and sending the lane direction to the target vehicle after the target vehicle enters the early warning range, wherein the obtaining of the statistical characteristics aiming at the lane change behavior, and determining the lane direction of the front variable lane according to the statistical characteristics specifically comprises: judging whether the vehicles generating the lane change behavior have the overtaking behaviors of changing back to the original lane after changing the lane, aiming at the driving trails of each front vehicle, if not, adding the front vehicles into a target vehicle set; for a set of target vehicles, obtaining a first number of vehicles from a variable lane to a straight lane, a second number of vehicles from a variable lane to a steered lane, a third number of vehicles from a straight lane to a variable lane, a fourth number of vehicles from a steered lane to a variable lane, wherein the steered lane comprises: one or a combination of a left-turn lane and a right-turn lane; acquiring a first ratio of the number of first vehicles to the total number of vehicles in a variable lane at the current moment, a second ratio of the number of second vehicles to the total number of vehicles in the variable lane at the current moment, a third ratio of the number of third vehicles to the total number of vehicles in a straight lane at the current moment, and a fourth ratio of the number of fourth vehicles to the total number of vehicles in a steering lane at the current moment; when the first ratio and/or the third ratio are/is larger than a first preset threshold value, determining that the lane direction of the variable lane at the current moment is steering; and when the second ratio and/or the fourth ratio are/is larger than a second preset threshold value, judging that the lane direction of the variable lane at the current moment is straight.
CN202111644305.2A2021-12-302021-12-30Track-based lane temporary pointing identification method and system in end cloud systemActiveCN114299719B (en)

Priority Applications (1)

Application NumberPriority DateFiling DateTitle
CN202111644305.2ACN114299719B (en)2021-12-302021-12-30Track-based lane temporary pointing identification method and system in end cloud system

Applications Claiming Priority (1)

Application NumberPriority DateFiling DateTitle
CN202111644305.2ACN114299719B (en)2021-12-302021-12-30Track-based lane temporary pointing identification method and system in end cloud system

Publications (2)

Publication NumberPublication Date
CN114299719A CN114299719A (en)2022-04-08
CN114299719Btrue CN114299719B (en)2023-05-16

Family

ID=80971127

Family Applications (1)

Application NumberTitlePriority DateFiling Date
CN202111644305.2AActiveCN114299719B (en)2021-12-302021-12-30Track-based lane temporary pointing identification method and system in end cloud system

Country Status (1)

CountryLink
CN (1)CN114299719B (en)

Families Citing this family (2)

* Cited by examiner, † Cited by third party
Publication numberPriority datePublication dateAssigneeTitle
CN115127579A (en)*2022-07-012022-09-30潍柴动力股份有限公司 Display method, device and vehicle for driving route map
CN119541216B (en)*2025-01-212025-04-11浙江云通数达科技有限公司 A variable lane setting method, device, medium and equipment

Family Cites Families (5)

* Cited by examiner, † Cited by third party
Publication numberPriority datePublication dateAssigneeTitle
KR20110035264A (en)*2009-09-302011-04-06주식회사 비츠로시스 Lane guidance system
CN104157137B (en)*2013-05-142017-06-23高德软件有限公司A kind of traffic acquisition methods and device
CN103413437B (en)*2013-07-312015-04-29福建工程学院Method and system for identifying road intersection steering based on vehicle data collection
DE102015100748B4 (en)*2015-01-202017-01-12Deutsche Telekom Ag Method and system for in particular lane-precise directional location of vehicles on lanes and output of warnings during wrong-way driving
CN113345237A (en)*2021-06-292021-09-03山东高速建设管理集团有限公司Lane-changing identification and prediction method, system, equipment and storage medium for extracting vehicle track by using roadside laser radar data

Also Published As

Publication numberPublication date
CN114299719A (en)2022-04-08

Similar Documents

PublicationPublication DateTitle
CN111223302B (en)External coordinate real-time three-dimensional road condition auxiliary device for mobile carrier and system
CN112837535B (en)Traffic information processing method, device, system, equipment and storage medium
CN108550262B (en)Urban traffic sensing system based on millimeter wave radar
CN104851295B (en)Obtain the method and system of traffic information
CN111613070B (en)Traffic signal lamp control method, traffic signal lamp control device, electronic equipment and computer storage medium
US12146961B2 (en)Vehicle behavior detection device and detection system
CN114299719B (en)Track-based lane temporary pointing identification method and system in end cloud system
CN108039046B (en) A C-V2X-based pedestrian detection and recognition system at urban intersections
US11914041B2 (en)Detection device and detection system
US20240046787A1 (en)Method And System For Traffic Clearance At Signalized Intersections Based On Lidar And Trajectory Prediction
CN111932876A (en)Road surface induction system and method based on wide area radar
CN104392612A (en)Urban traffic state monitoring method based on novel detection vehicles
CN114049760B (en)Traffic control method, device and system based on intersection
CN117523840B (en)Intelligent lane information management system and method based on digital analysis
CN107564336B (en)Signalized intersection left turn conflict early warning system and early warning method
CN115019514B (en)Highway inspection system based on car networking
CN114049761A (en)Intersection control method based on intelligent variable lane
CN117253367A (en)Highway casting object detection and avoidance early warning method driven by track data
CN114038189B (en)Self-adaptive variable lane switching method based on video analysis algorithm
CN113128847A (en)Entrance ramp real-time risk early warning system and method based on laser radar
CN113936456B (en)Street-crossing traffic identification and feature analysis method based on millimeter wave radar
CN115148018B (en)Traffic event detection device and method
CN119252048B (en)Digital twin city internet of things data integration and processing system
EP4418181A1 (en)Local server and method for controlling road traffic
CN119418532B (en) A 5G-based intelligent traffic information management system

Legal Events

DateCodeTitleDescription
PB01Publication
PB01Publication
SE01Entry into force of request for substantive examination
SE01Entry into force of request for substantive examination
CB02Change of applicant information

Address after:10 / F, R & D building, Hefei Institute of technology innovation, Chinese Academy of Sciences, 2666 Xiyou Road, Hefei hi tech Zone, Hefei, Anhui 230000

Applicant after:Zhongke Meiluo Technology Co., Ltd.

Address before:10 / F, R & D building, Hefei Institute of technology innovation, Chinese Academy of Sciences, 2666 Xiyou Road, Hefei hi tech Zone, Hefei, Anhui 230000

Applicant before:ANHUI ZHONGKE MEILUO INFORMATION TECHNOLOGY CO.,LTD.

CB02Change of applicant information
GR01Patent grant
GR01Patent grant

[8]ページ先頭

©2009-2025 Movatter.jp