






技术领域technical field
本发明涉及穿戴设备技术领域,尤其涉及一种脉冲信号的输出方法、装置、电脉冲按摩设备及存储介质。The invention relates to the technical field of wearable devices, and in particular, to a pulse signal output method, a device, an electric pulse massage device and a storage medium.
背景技术Background technique
目前,市场上的穿戴式电刺激按摩设备主要是采用低频电脉冲信号,且大部分按摩设备使用的是干电极(金属、硅胶、纺织材料和橡胶等)。当人体的皮肤干燥时,干电极与皮肤之间的接触阻抗非常大,使用3~5分钟后才会慢慢有按摩的感觉。At present, the wearable electrical stimulation massage devices on the market mainly use low-frequency electrical pulse signals, and most of the massage devices use dry electrodes (metal, silicone, textile materials, and rubber, etc.). When the skin of the human body is dry, the contact impedance between the dry electrode and the skin is very large, and the massage will gradually feel after 3 to 5 minutes of use.
现有技术中应对接触阻抗带来的问题主要采取两种方案:①采用水凝胶电极代替干电极;②给干电极涂抹啫喱或水。第一种方案,使用水凝胶电极,水凝胶材质与皮肤接触良好,接触阻抗几乎为零,但是水凝胶在使用的过程中会失水变干,因此需要时常更换电极,加大了使用成本;第二种方案,给干电极涂抹啫喱或水,其原理是用啫喱或水去填充干电极与皮肤之间的间隙,减小接触阻抗,但是这种方案不仅增加了耗材,加大了使用成本,还会增加用户的使用复杂度。In the prior art, two solutions are mainly adopted to deal with the problems caused by contact impedance: (1) using a hydrogel electrode instead of a dry electrode; (2) applying gel or water to the dry electrode. The first solution is to use hydrogel electrodes. The hydrogel material has good contact with the skin, and the contact impedance is almost zero. However, the hydrogel will lose water and dry out during use. Therefore, the electrodes need to be replaced frequently, increasing the Cost of use; the second solution is to apply gel or water to the dry electrode. The principle is to use gel or water to fill the gap between the dry electrode and the skin to reduce the contact resistance, but this solution not only increases the consumables, but also increases the In addition to the cost of use, it will also increase the complexity of the user's use.
发明内容SUMMARY OF THE INVENTION
本发明的目的旨在至少能解决上述的技术缺陷之一,特别是现有技术中应对接触阻抗带来的问题所采取的方案,不仅加大使用成本,还会增加用户的使用复杂度的技术缺陷。The purpose of the present invention is to solve at least one of the above-mentioned technical defects, especially the solution adopted in the prior art to deal with the problems caused by contact impedance, which not only increases the use cost, but also increases the user's use complexity. defect.
本发明提供了一种脉冲信号的输出方法,所述方法应用于电脉冲按摩设备,所述方法包括:The present invention provides a pulse signal output method, the method is applied to electric pulse massage equipment, and the method includes:
接收按摩启动信号,输出第一脉冲信号以作用于人体进行按摩;Receive the massage start signal, and output the first pulse signal to act on the human body to massage;
在所述第一脉冲信号输出过程中,获取所述电脉冲按摩设备与所述人体之间的接触阻抗;In the process of outputting the first pulse signal, obtain the contact impedance between the electric pulse massage device and the human body;
当所述接触阻抗不大于第一预设阻抗阈值时,将所述第一脉冲信号切换至第二脉冲信号,所述第二脉冲信号的频率小于所述第一脉冲信号的频率。When the contact impedance is not greater than a first preset impedance threshold, the first pulse signal is switched to a second pulse signal, and the frequency of the second pulse signal is lower than the frequency of the first pulse signal.
可选地,所述的脉冲信号的输出方法,还包括:Optionally, the output method of the pulse signal further includes:
若所述接触阻抗大于所述第一预设阻抗阈值,则持续输出所述第一脉冲信号,直至所述接触阻抗不大于第一预设阻抗阈值或所述第一脉冲信号的输出时长满足设定时长。If the contact impedance is greater than the first preset impedance threshold, the first pulse signal is continuously output until the contact impedance is not greater than the first preset impedance threshold or the output duration of the first pulse signal satisfies a preset value long time.
可选地,所述的脉冲信号的输出方法,还包括:Optionally, the output method of the pulse signal further includes:
当所述第一脉冲信号的输出时长满足所述设定时长,将所述第一脉冲信号切换至所述第二脉冲信号。When the output duration of the first pulse signal satisfies the set duration, the first pulse signal is switched to the second pulse signal.
可选地,所述的脉冲信号的输出方法,还包括:Optionally, the output method of the pulse signal further includes:
若所述接触阻抗大于第二预设阻抗阈值或小于第三预设阻抗阈值,则停止输出所述第一脉冲信号或所述第二脉冲信号,其中,所述第二预设阻抗阈值大于所述第一预设阻抗阈值,所述第三预设阻抗阈值小于所述第一预设阻抗阈值。If the contact impedance is greater than a second preset impedance threshold or less than a third preset impedance threshold, stop outputting the first pulse signal or the second pulse signal, wherein the second preset impedance threshold is greater than the the first preset impedance threshold, and the third preset impedance threshold is smaller than the first preset impedance threshold.
可选地,所述接收按摩启动信号,输出第一脉冲信号以作用于人体进行按摩的步骤,包括:Optionally, the step of receiving a massage start signal and outputting a first pulse signal to act on the human body to massage includes:
接收按摩启动信号,根据所述按摩启动信号获取所述电脉冲按摩设备的电池电量;Receive a massage start signal, and obtain the battery power of the electric pulse massage device according to the massage start signal;
在所述电脉冲按摩设备的电池电量满足第一脉冲信号输出条件时,输出第一脉冲信号以作用于人体进行按摩。When the battery power of the electric pulse massage device satisfies the first pulse signal output condition, the first pulse signal is output to act on the human body to massage.
可选地,所述的脉冲信号的输出方法,还包括:Optionally, the output method of the pulse signal further includes:
在所述电脉冲按摩设备的电池电量满足第二脉冲信号输出条件时,输出第二脉冲信号以作用于人体进行按摩。When the battery power of the electric pulse massage device satisfies the output condition of the second pulse signal, the second pulse signal is output to act on the human body to massage.
可选地,所述的脉冲信号的输出方法,还包括:Optionally, the output method of the pulse signal further includes:
在所述电脉冲按摩设备的电池电量不满足所述第一脉冲信号输出条件以及所述第二脉冲信号输出条件时,停止输出脉冲信号。When the battery power of the electric pulse massage device does not satisfy the first pulse signal output condition and the second pulse signal output condition, the output of the pulse signal is stopped.
可选地,所述接收按摩启动信号,输出第一脉冲信号以作用于人体进行按摩的步骤,包括:Optionally, the step of receiving a massage start signal and outputting a first pulse signal to act on the human body to massage includes:
在接收到按摩启动信号后,根据用户选择的档位信息确定对应的目标电压;After receiving the massage start signal, determine the corresponding target voltage according to the gear information selected by the user;
在所述第一脉冲信号输出过程中,将所述电脉冲按摩设备的输出电压上升至所述目标电压,并使用所述目标电压下的第一脉冲信号作用于人体进行按摩。In the process of outputting the first pulse signal, the output voltage of the electric pulse massage device is raised to the target voltage, and the first pulse signal under the target voltage is used to act on the human body for massage.
可选地,所述的脉冲信号的输出方法,还包括:Optionally, the output method of the pulse signal further includes:
若所述接触阻抗大于所述第一预设阻抗阈值,则持续输出所述第一脉冲信号,在所述第一脉冲信号输出过程中,对所述目标电压进行至少一次增幅调整,并使用增幅调整后的目标电压下的第一脉冲信号作用于人体进行按摩。If the contact impedance is greater than the first preset impedance threshold, the first pulse signal is continuously output, and during the output process of the first pulse signal, the target voltage is adjusted for at least one amplification, and the amplification is used. The first pulse signal under the adjusted target voltage acts on the human body to massage.
可选地,所述对所述目标电压进行至少一次增幅调整的步骤,包括:Optionally, the step of performing at least one amplification adjustment on the target voltage includes:
基于所述目标电压的当前幅值,以及与所述当前幅值对应的权重,确定所述目标电压的增加幅值,其中,所述目标电压的增加幅值随调整次数的增加逐渐降低;determining the increasing amplitude of the target voltage based on the current amplitude of the target voltage and the weight corresponding to the current amplitude, wherein the increasing amplitude of the target voltage gradually decreases as the number of adjustments increases;
基于所述目标电压的增加幅值对所述目标电压的当前幅值进行增幅调整,直到调整后的目标电压达到设定幅值阈值。The current amplitude of the target voltage is adjusted in increments based on the increased amplitude of the target voltage until the adjusted target voltage reaches the set amplitude threshold.
可选地,所述将所述第一脉冲信号切换至第二脉冲信号的步骤,包括:Optionally, the step of switching the first pulse signal to the second pulse signal includes:
按照预设的调整策略,将所述第一脉冲信号逐级切换至第二脉冲信号。According to a preset adjustment strategy, the first pulse signal is switched to the second pulse signal step by step.
可选地,所述按照预设的调整策略,将所述第一脉冲信号逐级切换至第二脉冲信号的步骤,包括:Optionally, the step of switching the first pulse signal to the second pulse signal step by step according to a preset adjustment strategy includes:
按照所述第一脉冲信号的频率随调整次数的增加,频率变化量逐渐减小的形式,将所述第一脉冲信号逐级切换至第二脉冲信号。The first pulse signal is switched to the second pulse signal step by step according to the form that the frequency of the first pulse signal gradually decreases as the frequency of the adjustment times increases.
可选地,所述在所述第一脉冲信号输出过程中,获取所述电脉冲按摩设备与所述人体之间的接触阻抗的步骤,包括:Optionally, in the process of outputting the first pulse signal, the step of acquiring the contact impedance between the electric pulse massage device and the human body includes:
在所述第一脉冲信号输出过程中,利用预先构建的所述电脉冲按摩设备与所述人体之间的阻抗检测电路,实时采集并计算所述电脉冲按摩设备与所述人体之间的接触阻抗。In the process of outputting the first pulse signal, the pre-built impedance detection circuit between the electric pulse massage device and the human body is used to collect and calculate the contact between the electric pulse massage device and the human body in real time. impedance.
可选地,所述第一脉冲信号为中频脉冲信号,所述第二脉冲信号为低频脉冲信号。Optionally, the first pulse signal is an intermediate frequency pulse signal, and the second pulse signal is a low frequency pulse signal.
本发明还提供了一种脉冲信号的输出装置,所述装置应用于电脉冲按摩设备,包括:The present invention also provides a pulse signal output device, the device is applied to electric pulse massage equipment, including:
脉冲输出模块,用于接收按摩启动信号,输出第一脉冲信号以作用于人体进行按摩;The pulse output module is used to receive the massage start signal and output the first pulse signal to act on the human body to massage;
接触阻抗获取模块,用于在所述第一脉冲信号输出过程中,获取所述电脉冲按摩设备与所述人体之间的接触阻抗;a contact impedance acquisition module, configured to acquire the contact impedance between the electric pulse massage device and the human body during the output process of the first pulse signal;
脉冲切换模块,用于当所述接触阻抗不大于第一预设阻抗阈值时,将所述第一脉冲信号切换至第二脉冲信号,所述第二脉冲信号的频率小于所述第一脉冲信号的频率。a pulse switching module, configured to switch the first pulse signal to a second pulse signal when the contact impedance is not greater than a first preset impedance threshold, the frequency of the second pulse signal is lower than that of the first pulse signal Frequency of.
本发明还提供了一种电脉冲按摩设备,所述电脉冲按摩设备包括电源模块、控制模块和电极片;The present invention also provides an electric pulse massage device, the electric pulse massage device includes a power supply module, a control module and an electrode sheet;
所述电源模块用于为所述控制模块进行供电;The power supply module is used for supplying power to the control module;
所述控制模块包括存储器和处理器,所述存储器中存储有计算机可读指令,所述计算机可读指令被一个或多个处理器执行时,使得一个或多个处理器执行如上述实施例中任一项所述的脉冲信号的输出方法;The control module includes a memory and a processor, the memory stores computer-readable instructions, and when the computer-readable instructions are executed by one or more processors, causes the one or more processors to execute the above-mentioned embodiments. The output method of any one of the pulse signals;
所述电极片与人体接触,用于将所述控制模块的输出作用于所述人体。The electrode sheet is in contact with the human body, and is used to act on the human body with the output of the control module.
本发明还提供了一种存储介质,所述存储介质中存储有计算机可读指令,所述计算机可读指令被一个或多个处理器执行时,使得一个或多个处理器执行如上述实施例中任一项所述的脉冲信号的输出方法。The present invention also provides a storage medium, where computer-readable instructions are stored in the storage medium, and when the computer-readable instructions are executed by one or more processors, cause the one or more processors to execute the above embodiments The output method of the pulse signal described in any one.
从以上技术方案可以看出,本发明实施例具有以下优点:As can be seen from the above technical solutions, the embodiments of the present invention have the following advantages:
本发明提供的脉冲信号的输出方法、装置、电脉冲按摩设备及存储介质,在接收到按摩启动信号后,首先输出第一脉冲信号以作用于人体进行按摩,并在第一脉冲信号输出过程中,获取按摩设备与人体之间的接触阻抗,当该接触阻抗不大于第一预设阻抗阈值时,将第一脉冲信号切换至频率较小的第二脉冲信号;本申请中,由于电脉冲按摩设备启动时使用的第一脉冲信号的频率大于第二脉冲信号,相对于直接使用第二脉冲信号而言,频率较大的第一脉冲信号能够在一定程度上减小电脉冲按摩设备与人体之间的接触阻抗,使用户可以在第一时间感受到电脉冲按摩设备的按摩力度;并且,本申请在检测到接触阻抗不大于第一预设阻抗阈值时,将第一脉冲信号切换至第二脉冲信号,这样不仅能够保证电脉冲按摩设备的正常工作,还能够避免长时间使用第一脉冲信号进行按摩导致的电量损耗过大的问题;另外,本申请在脉冲信号切换的过程中无需借助其他辅助工具,相对于现有技术而言,不仅降低了使用成本,还避免了复杂的使用过程,有利于提升用户体验。The pulse signal output method, device, electric pulse massage device and storage medium provided by the present invention, after receiving the massage start signal, first output the first pulse signal to act on the human body to massage, and in the process of outputting the first pulse signal , obtain the contact impedance between the massage device and the human body, and when the contact impedance is not greater than the first preset impedance threshold, switch the first pulse signal to the second pulse signal with a smaller frequency; in this application, due to the electric pulse massage The frequency of the first pulse signal used when the device is started is greater than that of the second pulse signal. Compared with the direct use of the second pulse signal, the first pulse signal with a higher frequency can reduce the contact between the electric pulse massage device and the human body to a certain extent. The contact impedance between the two, so that the user can feel the massage strength of the electric pulse massage device at the first time; and, the application switches the first pulse signal to the second when it is detected that the contact impedance is not greater than the first preset impedance threshold. pulse signal, which can not only ensure the normal operation of the electric pulse massage equipment, but also avoid the problem of excessive power consumption caused by using the first pulse signal for massage for a long time; Compared with the prior art, the auxiliary tool not only reduces the use cost, but also avoids the complicated use process, which is beneficial to improve the user experience.
附图说明Description of drawings
为了更清楚地说明本发明实施例或现有技术中的技术方案,下面将对实施例或现有技术描述中所需要使用的附图作简单地介绍,显而易见地,下面描述中的附图仅仅是本发明的一些实施例,对于本领域普通技术人员来讲,在不付出创造性劳动性的前提下,还可以根据这些附图获得其它的附图。In order to explain the embodiments of the present invention or the technical solutions in the prior art more clearly, the following briefly introduces the accompanying drawings that need to be used in the description of the embodiments or the prior art. Obviously, the accompanying drawings in the following description are only These are some embodiments of the present invention. For those of ordinary skill in the art, other drawings can also be obtained based on these drawings without any creative effort.
图1为本发明实施例提供的一种脉冲信号的输出方法的流程示意图;1 is a schematic flowchart of a method for outputting a pulse signal according to an embodiment of the present invention;
图2为本发明实施例提供的第一脉冲信号的波形结构示意图;2 is a schematic diagram of a waveform structure of a first pulse signal provided by an embodiment of the present invention;
图3为本发明实施例提供的由高斯函数计算得出的权重的变化示意图;3 is a schematic diagram of the variation of the weight calculated by the Gaussian function provided by an embodiment of the present invention;
图4为本发明实施例提供的脉冲信号频率变化示意图;4 is a schematic diagram of frequency variation of a pulse signal provided by an embodiment of the present invention;
图5为本发明实施例提供的阻抗检测电路的结构示意图;5 is a schematic structural diagram of an impedance detection circuit provided by an embodiment of the present invention;
图6为本发明实施例提供的一种脉冲信号的输出装置的结构示意图;6 is a schematic structural diagram of a pulse signal output device provided by an embodiment of the present invention;
图7为本发明实施例提供的一种电脉冲按摩设备的结构示意图。FIG. 7 is a schematic structural diagram of an electric pulse massage device according to an embodiment of the present invention.
具体实施方式Detailed ways
下面将结合本发明实施例中的附图,对本发明实施例中的技术方案进行清楚、完整地描述,显然,所描述的实施例仅仅是本发明一部分实施例,而不是全部的实施例。基于本发明中的实施例,本领域普通技术人员在没有做出创造性劳动前提下所获得的所有其他实施例,都属于本发明保护的范围。The technical solutions in the embodiments of the present invention will be clearly and completely described below with reference to the accompanying drawings in the embodiments of the present invention. Obviously, the described embodiments are only a part of the embodiments of the present invention, but not all of the embodiments. Based on the embodiments of the present invention, all other embodiments obtained by those of ordinary skill in the art without creative efforts shall fall within the protection scope of the present invention.
现有技术中应对接触阻抗带来的问题主要采取两种方案:①采用水凝胶电极代替干电极;②给干电极涂抹啫喱或水。第一种方案,使用水凝胶电极,水凝胶材质与皮肤接触良好,接触阻抗几乎为零,但是水凝胶在使用的过程中会失水变干,因此需要时常更换电极,加大了使用成本;第二种方案,给干电极涂抹啫喱或水,其原理是用啫喱或水去填充干电极与皮肤之间的间隙,减小接触阻抗,但是这种方案不仅增加了耗材,加大了使用成本,还会增加用户的使用复杂度。In the prior art, two solutions are mainly adopted to deal with the problems caused by contact impedance: (1) using a hydrogel electrode instead of a dry electrode; (2) applying gel or water to the dry electrode. The first solution is to use hydrogel electrodes. The hydrogel material has good contact with the skin, and the contact impedance is almost zero. However, the hydrogel will lose water and dry out during use. Therefore, the electrodes need to be replaced frequently, increasing the Cost of use; the second solution is to apply gel or water to the dry electrode. The principle is to use gel or water to fill the gap between the dry electrode and the skin to reduce the contact resistance, but this solution not only increases the consumables, but also increases the In addition to the cost of use, it will also increase the complexity of the user's use.
而本申请正是为了解决上述技术问题,进而提出了如下技术方案,具体如下所示:And the present application is to solve the above-mentioned technical problems, and then proposes the following technical solutions, which are specifically as follows:
在一个实施例中,如图1所示,图1为本发明实施例提供的一种脉冲信号的输出方法的流程示意图;本发明提供了一种脉冲信号的输出方法,所述方法包括:In one embodiment, as shown in FIG. 1 , FIG. 1 is a schematic flowchart of a method for outputting a pulse signal according to an embodiment of the present invention; the present invention provides a method for outputting a pulse signal, and the method includes:
S110:接收按摩启动信号,输出第一脉冲信号以作用于人体进行按摩。S110: Receive a massage start signal, and output a first pulse signal to act on the human body to massage.
本步骤中,在接收到电脉冲按摩设备发出的按摩启动信号时,可以输出第一脉冲信号,此时,电脉冲按摩设备中与人体表面接触的电极片便会将该第一脉冲信号传输至人体,以促进局部血液循环,达到按摩效果。In this step, when receiving the massage start signal sent by the electric pulse massage device, the first pulse signal can be output. Human body to promote local blood circulation and achieve massage effect.
可以理解的是,本申请中的电脉冲按摩设备包括但不限于颈椎按摩仪、肩背按摩仪和腰部按摩仪等使用电极片且需要与皮肤接触的产品。其中,电脉冲按摩设备可以包括至少两个电极片,电脉冲按摩设备中的脉冲输出电路可以与电极片连接,并在电脉冲按摩设备中的处理器的控制下向电极片输出脉冲信号,通过电极片向人体表面传输脉冲信号,该脉冲信号作用于人体皮肤后,可产生相应的按摩效果。It can be understood that the electric pulse massage devices in the present application include but are not limited to products that use electrode pads and need to be in contact with the skin, such as cervical spine massager, shoulder and back massager, and waist massager. Wherein, the electric pulse massage device may include at least two electrode pads, and the pulse output circuit in the electric pulse massage device may be connected to the electrode pads, and output pulse signals to the electrode pads under the control of the processor in the electric pulse massage device, through the The electrode sheet transmits a pulse signal to the surface of the human body, and after the pulse signal acts on the skin of the human body, a corresponding massage effect can be produced.
而本申请所使用的第一脉冲信号,相较于传统的电脉冲按摩设备中的低频脉冲信号而言,其脉冲频率相对较高,因此,使用第一脉冲信号作用于人体后,可以减小电脉冲按摩设备与人体之间的接触阻抗,进而有效提高用户对电脉冲按摩设备的感知度。The pulse frequency of the first pulse signal used in the present application is relatively high compared to the low-frequency pulse signal in the traditional electric pulse massage equipment. The contact impedance between the electric pulse massage device and the human body can effectively improve the user's perception of the electric pulse massage device.
举例来说,一般将频率1000Hz以下的脉冲信号称作低频脉冲信号,而传统的电脉冲按摩设备在使用时,输出的低频脉冲信号一般低于500Hz,本申请在使用第一脉冲信号作用于人体时,可以选用高于500Hz的脉冲信号,如500Hz-800Hz的脉冲信号,也可以选用1000Hz以上的脉冲信号,具体可依据实际情况进行调整,在此不做限制。For example, a pulse signal with a frequency below 1000 Hz is generally referred to as a low-frequency pulse signal, while the low-frequency pulse signal output by a traditional electric pulse massage device is generally lower than 500 Hz when in use. The present application uses the first pulse signal to act on the human body. When the pulse signal is higher than 500Hz, such as the pulse signal of 500Hz-800Hz, or the pulse signal above 1000Hz, it can be adjusted according to the actual situation, which is not limited here.
这里需要说明的是,由于人体的皮肤表面是凹凸不平的,而电脉冲按摩设备的电极片又是刚性材料,其形态不会随着皮肤肌肉纹理的改变而改变。因此,用户刚佩戴按摩设备时,其皮肤与按摩设备中的电极片表面存在间隙,使得电极片与人体皮肤之间的接触面积较小,而间隙内的空气介电常数较大,从而导致人体与电脉冲按摩设备之间的接触阻抗较大,减小了电脉冲按摩设备的按摩力度。It should be noted here that since the skin surface of the human body is uneven, and the electrode pads of the electric pulse massage device are rigid materials, their shape will not change with the change of the skin and muscle texture. Therefore, when the user just wears the massage device, there is a gap between his skin and the surface of the electrode pads in the massage device, so that the contact area between the electrode pads and the human skin is small, and the dielectric constant of the air in the gap is large, which causes the human body to suffer. The contact impedance with the electric pulse massage device is relatively large, which reduces the massage force of the electric pulse massage device.
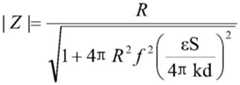
本申请使用脉冲频率相对较高的第一脉冲信号作用于人体后,可减小人体与电脉冲按摩设备之间的接触阻抗,具体参见下述公式:After the application uses the first pulse signal with a relatively high pulse frequency to act on the human body, the contact impedance between the human body and the electric pulse massage device can be reduced. For details, refer to the following formula:
上述公式为接触阻抗的计算模型,其中,Z为接触阻抗,R为电阻,f为脉冲频率,ε为介电常数,S为接触面积,k为静电力常数,d为距离。The above formula is the calculation model of contact impedance, where Z is the contact impedance, R is the resistance, f is the pulse frequency, ε is the dielectric constant, S is the contact area, k is the electrostatic force constant, and d is the distance.
由上述公式可知,本发明可以将电极片与人体皮肤之间的阻抗模型等效为阻容并联模型,即是将电极片中与皮肤接触的部分等效为电阻,未接触的部分等效为电容,通过提高脉冲频率的大小,可以有效减小人体与电脉冲按摩设备之间的接触阻抗。It can be seen from the above formula that the present invention can equivalently equate the impedance model between the electrode sheet and the human skin as a resistance-capacitance parallel model, that is, the part of the electrode sheet in contact with the skin is equivalent to a resistance, and the uncontacted part is equivalent to Capacitance, by increasing the size of the pulse frequency, can effectively reduce the contact impedance between the human body and the electric pulse massage device.
S120:在第一脉冲信号输出过程中,获取电脉冲按摩设备与人体之间的接触阻抗。S120: In the process of outputting the first pulse signal, obtain the contact impedance between the electric pulse massage device and the human body.
本步骤中,通过S110使用第一脉冲信号作用于人体后,在第一脉冲信号输出过程中,可以获取电脉冲按摩设备与人体之间的接触阻抗。In this step, after using the first pulse signal to act on the human body through S110, in the process of outputting the first pulse signal, the contact impedance between the electric pulse massage device and the human body can be obtained.
具体地,本申请可以将电极片与人体皮肤之间的阻抗模型等效为阻容并联模型,即是将电极片中与皮肤接触的部分等效为电阻,未接触的部分等效为电容,并通过阻抗检测电路的设计,在第一脉冲信号输出过程中,实时获取电脉冲按摩设备与人体之间的接触阻抗。Specifically, in this application, the impedance model between the electrode sheet and the human skin can be equivalent to a resistance-capacitor parallel model, that is, the part of the electrode sheet in contact with the skin is equivalent to a resistance, and the uncontacted part is equivalent to a capacitance, And through the design of the impedance detection circuit, in the process of outputting the first pulse signal, the contact impedance between the electric pulse massage device and the human body is obtained in real time.
进一步地,本申请中电脉冲按摩设备可以包括MCU,通过MCU的ADC采样引脚可以采集阻抗检测电路中的电信号。为了保证每次的采样都是有效的,本申请在输出脉冲信号时可以同步触发ADC转换,并且考虑到误差的存在,ADC采样转换及数据处理可以控制在脉冲信号的脉宽时间内完成。如图2所示,图2为本发明实施例提供的第一脉冲信号的波形结构示意图;图2中,X轴表示时间,单位为us,Y轴为第一脉冲信号的幅度,单位为v,由图2可知,本申请中第一脉冲信号的脉宽可以为250us,频率可以为1000Hz,当电脉冲按摩设备上电后,可以配置Timer触发ADC转换及DMA发送第一脉冲信号,配置ADC结果由DMA传输至内存,当发送第一脉冲信号,如中频脉冲后,可以执行ADC-DMA传输,完成中断触发,并在完成触发后,将ADC值放入队列后再次启动ADC等待传输,每10ms定时溢出,并在队列数据滤波后求平均,计算得出10ms内平均ADC值,若平均ADC值大于第一预设阻抗阈值,则表明接触阻抗已满足要求,此时可将脉冲频率调低,例如将中频脉冲切换至低频,ADC采样转换及数据处理可以控制在200us内完成。Further, the electric pulse massage device in the present application may include an MCU, and the electric signal in the impedance detection circuit can be collected through the ADC sampling pin of the MCU. In order to ensure that each sampling is valid, the application can trigger ADC conversion synchronously when outputting a pulse signal, and considering the existence of errors, ADC sampling conversion and data processing can be controlled to be completed within the pulse width time of the pulse signal. As shown in FIG. 2, FIG. 2 is a schematic diagram of the waveform structure of the first pulse signal provided by an embodiment of the present invention; in FIG. 2, the X axis represents time, the unit is us, the Y axis is the amplitude of the first pulse signal, the unit is v , it can be seen from Figure 2 that the pulse width of the first pulse signal in this application can be 250us, and the frequency can be 1000Hz. When the electric pulse massage device is powered on, the Timer can be configured to trigger ADC conversion and DMA to send the first pulse signal, and the ADC can be configured The result is transferred to the memory by DMA. When the first pulse signal, such as an intermediate frequency pulse, is sent, the ADC-DMA transfer can be performed, the interrupt trigger is completed, and after the trigger is completed, the ADC value is put into the queue and the ADC is started again to wait for the transfer. The 10ms timer overflows, and the queue data is filtered and averaged, and the average ADC value within 10ms is calculated. If the average ADC value is greater than the first preset impedance threshold, it indicates that the contact impedance has met the requirements, and the pulse frequency can be reduced at this time. , such as switching the intermediate frequency pulse to low frequency, ADC sampling conversion and data processing can be controlled within 200us.
S130:当所述接触阻抗不大于第一预设阻抗阈值时,将第一脉冲信号切换至第二脉冲信号,第二脉冲信号的频率小于第一脉冲信号的频率。S130: When the contact impedance is not greater than the first preset impedance threshold, switch the first pulse signal to the second pulse signal, and the frequency of the second pulse signal is lower than the frequency of the first pulse signal.
本步骤中,通过S120获取到电脉冲按摩设备与人体之间的接触阻抗后,接着,可以判断获取的接触阻抗是否不大于第一预设阻抗阈值,若不大于,则进行脉冲信号的切换操作,将第一脉冲信号切换至第二脉冲信号,由于该第二脉冲信号的频率比第一脉冲信号的频率小,因此耗费的电量较低,且同样能够达到按摩的效果。In this step, after obtaining the contact impedance between the electric pulse massage device and the human body through S120, then it can be determined whether the obtained contact impedance is not greater than the first preset impedance threshold, and if not greater than the pulse signal switching operation is performed , switch the first pulse signal to the second pulse signal, since the frequency of the second pulse signal is lower than that of the first pulse signal, the power consumption is lower, and the massage effect can also be achieved.
可以理解的是,本申请在获取电脉冲按摩设备与人体之间的接触阻抗后,为进一步确定脉冲信号的转换时机,使得电脉冲按摩设备正常使用的情况下,在按摩的过程中电量消耗较小,可以预先设置对应的第一阻抗阈值,该第一阻抗阈值可以用于判断当前阻抗检测电路中的接触阻抗是否过大,若大于第一预设阻抗阈值,则表明当前电脉冲按摩设备与人体之间的接触阻抗较大,不宜切换脉冲信号;若不大于第一预设阻抗阈值,则表明当前电脉冲按摩设备与人体之间的接触阻抗较小,可以切换脉冲信号。It can be understood that, after obtaining the contact impedance between the electric pulse massage device and the human body, in order to further determine the conversion timing of the pulse signal, the power consumption during the massage process is relatively low when the electric pulse massage device is in normal use. Small, the corresponding first impedance threshold can be preset, and the first impedance threshold can be used to judge whether the contact impedance in the current impedance detection circuit is too large. If it is greater than the first preset impedance threshold, it indicates that the current electric pulse massage The contact impedance between the human body is large, and it is not suitable to switch the pulse signal; if it is not greater than the first preset impedance threshold, it indicates that the current contact impedance between the electric pulse massage device and the human body is small, and the pulse signal can be switched.
并且,本申请为了减少运算时间,第一预设阻抗阈值可以以ADC值的形式呈现,在ADC转换结束后即可直接与第一预设阻抗阈值比较。In addition, in order to reduce the operation time of the present application, the first preset impedance threshold may be presented in the form of an ADC value, which can be directly compared with the first preset impedance threshold after the ADC conversion is completed.
具体地,当本申请使用第一脉冲信号作用于人体一定时间后,电极片与皮肤之间有了一定的吸力,从而逐渐排空电极片与皮肤之间的空气,使得电极片与皮肤之间的间隙变小,接触面积变大,从而进一步减小接触阻抗,当接触阻抗降低至不大于第一预设阻抗阈值的情况下,将第一脉冲信号切换至第二脉冲信号,即将电脉冲按摩设备逐步过渡到正常的低频按摩脉冲,此时,既可以保持按摩状态的正常进行,又可以减少电量的损耗。Specifically, when the application uses the first pulse signal to act on the human body for a certain period of time, there is a certain suction force between the electrode sheet and the skin, so that the air between the electrode sheet and the skin is gradually evacuated, so that the space between the electrode sheet and the skin is gradually evacuated. The gap becomes smaller and the contact area becomes larger, thereby further reducing the contact impedance. When the contact impedance is reduced to not greater than the first preset impedance threshold, the first pulse signal is switched to the second pulse signal, that is, the electric pulse massage The device gradually transitions to normal low-frequency massage pulses. At this time, it can not only maintain the normal operation of the massage state, but also reduce the power consumption.
进一步地,为了使得用户在无感的情况下进行脉冲频率的切换,防止用户感受到频率切换带来的不适感,本申请还可以对脉冲频率的切换过程进行控制,以使第一脉冲信号能够逐级切换至第二脉冲信号,例如将1000Hz的脉冲信号通过每次减100Hz的方式逐级切换到300Hz。Further, in order to enable the user to switch the pulse frequency without feeling, and prevent the user from feeling the discomfort caused by the frequency switching, the present application can also control the switching process of the pulse frequency, so that the first pulse signal can Switch to the second pulse signal step by step, for example, switch the pulse signal of 1000 Hz to 300 Hz step by step by decreasing 100 Hz each time.
本实施例中,在接收到按摩启动信号后,首先输出第一脉冲信号以作用于人体进行按摩,并在第一脉冲信号输出过程中,获取按摩设备与人体之间的接触阻抗,当该接触阻抗不大于第一预设阻抗阈值时,将第一脉冲信号切换至频率较小的第二脉冲信号;本申请中,由于电脉冲按摩设备启动时使用的第一脉冲信号的频率大于第二脉冲信号,相对于直接使用第二脉冲信号而言,频率较大的第一脉冲信号能够在一定程度上减小电脉冲按摩设备与人体之间的接触阻抗,使用户可以在第一时间感受到电脉冲按摩设备的按摩力度;并且,本申请在检测到接触阻抗不大于第一预设阻抗阈值时,将第一脉冲信号切换至第二脉冲信号,这样不仅能够保证电脉冲按摩设备的正常工作,还能够避免长时间使用第一脉冲信号进行按摩导致的电量损耗过大的问题;另外,本申请在脉冲信号切换的过程中无需借助其他辅助工具,相对于现有技术而言,不仅降低了使用成本,还避免了复杂的使用过程,有利于提升用户体验。In this embodiment, after receiving the massage start signal, the first pulse signal is output to act on the human body to massage, and during the output of the first pulse signal, the contact impedance between the massage device and the human body is obtained. When the impedance is not greater than the first preset impedance threshold, the first pulse signal is switched to a second pulse signal with a smaller frequency; in this application, since the frequency of the first pulse signal used when the electric pulse massage device is started is greater than the second pulse Compared with the direct use of the second pulse signal, the first pulse signal with a higher frequency can reduce the contact impedance between the electric pulse massage device and the human body to a certain extent, so that the user can feel the electricity in the first time. The massage intensity of the pulse massage device; and, when detecting that the contact impedance is not greater than the first preset impedance threshold, the application switches the first pulse signal to the second pulse signal, which can not only ensure the normal operation of the electric pulse massage device, It can also avoid the problem of excessive power consumption caused by using the first pulse signal for massage for a long time; in addition, the present application does not need to use other auxiliary tools in the process of switching the pulse signal, which not only reduces the use of It also avoids the complicated use process, which is beneficial to improve the user experience.
上述实施例对本申请中的脉冲信号的输出方法进行了展开描述,下面将对本申请中的脉冲信号的输出方法进行进一步说明。The above embodiments describe the output method of the pulse signal in the present application, and the output method of the pulse signal in the present application will be further described below.
在一个实施例中,所述的脉冲信号的切换方法,还可以包括:In one embodiment, the pulse signal switching method may further include:
S140:若所述接触阻抗大于所述第一预设阻抗阈值,则持续输出所述第一脉冲信号,直至所述接触阻抗不大于所述第一预设阻抗阈值或所述第一脉冲信号的输出时长满足设定时长。S140: If the contact impedance is greater than the first preset impedance threshold, continue to output the first pulse signal until the contact impedance is not greater than the first preset impedance threshold or the first pulse signal The output duration meets the set duration.
本实施例中,如图1所示,当检测到电脉冲按摩设备与人体之间的接触阻抗大于第一预设阻抗阈值时,则表明此时不宜切换脉冲频率。因此,本申请可以持续输出第一脉冲信号,直到第一脉冲信号的输出时长满足设定时长,或者在第一脉冲信号持续输出的过程中,电脉冲按摩设备与人体之间的接触阻抗持续变小,直到不大于第一预设阻抗阈值。In this embodiment, as shown in FIG. 1 , when it is detected that the contact impedance between the electric pulse massage device and the human body is greater than the first preset impedance threshold, it indicates that it is not suitable to switch the pulse frequency at this time. Therefore, the present application can continue to output the first pulse signal until the output duration of the first pulse signal satisfies the set duration, or during the continuous output of the first pulse signal, the contact impedance between the electric pulse massage device and the human body continues to change small until it is not greater than the first preset impedance threshold.
可以理解的是,本申请在使用第一脉冲信号作用于人体之前,还可以对第一脉冲信号的输出时长进行设置(即设置前述的设定时长),以避免长时间使用第一脉冲信号后导致电量消耗较快,无法持续进行按摩的情况发生。It can be understood that, before using the first pulse signal to act on the human body, the application can also set the output duration of the first pulse signal (that is, set the aforementioned set duration), so as to avoid using the first pulse signal for a long time. As a result, the power consumption is fast and the massage cannot be continued.
进一步地,第一脉冲信号的输出时长可以依据多次重复实验后的数据进行确定,如使用上述阻抗检测电路进行检测时,记录每一次接触阻抗不大于第一预设阻抗阈值时第一脉冲信号的输出时长,接着可以根据每一次记录的第一脉冲信号的输出时长来确定最终的第一脉冲信号的设定时长。Further, the output duration of the first pulse signal can be determined according to the data after repeated experiments. For example, when the above impedance detection circuit is used for detection, the first pulse signal is recorded when the contact impedance is not greater than the first preset impedance threshold each time. The output duration of the first pulse signal can then be determined according to the output duration of the first pulse signal recorded each time to determine the final set duration of the first pulse signal.
当第一脉冲信号的输出时长到达设定时长时,可以直接将第一脉冲信号切换为第二脉冲信号,并使用第二脉冲信号对人体进行按摩,直至按摩时间结束为止。When the output duration of the first pulse signal reaches the set duration, the first pulse signal can be directly switched to the second pulse signal, and the second pulse signal is used to massage the human body until the massage time ends.
另外,当本申请检测到当前的接触阻抗大于第一预设阻抗阈值时,还可以表明此时电脉冲按摩设备与人体之间的接触阻抗还未减小至不大于第一预设阻抗阈值,因此,本申请在持续输出第一脉冲信号的过程中,还可以继续检测电脉冲按摩设备与人体之间的接触阻抗,当检测到接触阻抗不大于第一预设阻抗阈值时,则可以将第一脉冲信号切换至第二脉冲信号。In addition, when the present application detects that the current contact impedance is greater than the first preset impedance threshold, it can also indicate that the contact impedance between the electric pulse massage device and the human body has not been reduced to not greater than the first preset impedance threshold at this time, Therefore, in the process of continuously outputting the first pulse signal, the present application can also continue to detect the contact impedance between the electric pulse massage device and the human body, and when it is detected that the contact impedance is not greater than the first preset impedance threshold, the first A pulse signal is switched to a second pulse signal.
更进一步地,本申请还可以在第一脉冲信号的作用时长满足设定时长的同时,按摩设备与人体之间的接触阻抗不大于预设阻抗阈值的情况下,将第一脉冲信号切换至第二脉冲信号,从而有效避免第一脉冲信号使用时间过长导致按摩设备的电量损耗过快的情况发生。Further, the application can also switch the first pulse signal to the first pulse signal when the action duration of the first pulse signal meets the set duration and the contact impedance between the massage device and the human body is not greater than the preset impedance threshold. The second pulse signal can effectively avoid the situation where the first pulse signal is used for too long and the power consumption of the massage device is too fast.
在一个实施例中,所述的脉冲信号的输出方法,还可以包括:In one embodiment, the output method of the pulse signal may further include:
S150:当所述第一脉冲信号的输出时长满足所述设定时长,将所述第一脉冲信号切换至所述第二脉冲信号。S150: When the output duration of the first pulse signal satisfies the set duration, switch the first pulse signal to the second pulse signal.
本申请中,当第一脉冲信号的输出时长到达设定时长时,可以直接将第一脉冲信号切换为第二脉冲信号,并使用第二脉冲信号对人体进行按摩,直至按摩时间结束为止。该方式可以有效避免第一脉冲信号使用时间过长导致电脉冲按摩设备的电量损耗过快的情况发生。In the present application, when the output duration of the first pulse signal reaches the set duration, the first pulse signal can be directly switched to the second pulse signal, and the second pulse signal can be used to massage the human body until the massage time ends. This method can effectively avoid the situation that the first pulse signal is used for too long, which causes the electric pulse massage device to lose power too quickly.
在一个实施例中,所述的脉冲信号的输出方法,还可以包括:In one embodiment, the output method of the pulse signal may further include:
S160:若所述接触阻抗大于第二预设阻抗阈值或小于第三预设阻抗阈值,则停止输出所述第一脉冲信号或所述第二脉冲信号。S160: If the contact impedance is greater than a second preset impedance threshold or less than a third preset impedance threshold, stop outputting the first pulse signal or the second pulse signal.
本实施例中,在输出第一脉冲信号作用于人体的过程中,可以实时获取电脉冲按摩设备与人体之间的接触阻抗,并将该接触阻抗分别与第一预设阻抗阈值、第二预设阻抗阈值以及第三阈值阻抗阈值之间进行比对,最后根据比对结果来采取相应措施。In this embodiment, in the process of outputting the first pulse signal to act on the human body, the contact impedance between the electric pulse massage device and the human body can be acquired in real time, and the contact impedance can be compared with the first preset impedance threshold value, the second preset impedance threshold value and the second preset impedance threshold value respectively. A comparison is performed between the impedance threshold and the third threshold impedance threshold, and finally corresponding measures are taken according to the comparison result.
其中,第二预设阻抗阈值大于第一预设阻抗阈值,由于第二预设阻抗阈值用于判断当前阻抗检测电路中的接触阻抗是否过大,若接触阻抗大于第二预设阻抗阈值,则表明此时电极片与皮肤之间的间隙很大,接触面积很小,甚至可能并未接触,若接触阻抗大于第二预设阻抗阈值,则表明用户并未佩戴电脉冲按摩设备,因此,可以停止输出第一脉冲信号或第二脉冲信号。The second preset impedance threshold is greater than the first preset impedance threshold. Since the second preset impedance threshold is used to determine whether the contact impedance in the current impedance detection circuit is too large, if the contact impedance is greater than the second preset impedance threshold, then It indicates that the gap between the electrode pads and the skin is very large, the contact area is small, and may not even be in contact. If the contact impedance is greater than the second preset impedance threshold, it indicates that the user is not wearing the electric pulse massage device. Therefore, it is possible to Stop outputting the first pulse signal or the second pulse signal.
进一步地,本申请中的第三预设阻抗阈值小于第一预设阻抗阈值,第三预设阻抗阈值用于判断是否出现短路,若检测到的接触阻抗小于第三预设阻抗阈值,则可以推测电脉冲按摩设备处于短路状态,此时也可以停止输出第一脉冲信号或第二脉冲信号,避免发生意外。Further, the third preset impedance threshold in the present application is smaller than the first preset impedance threshold, and the third preset impedance threshold is used to determine whether a short circuit occurs. If the detected contact impedance is smaller than the third preset impedance threshold, it can be It is speculated that the electric pulse massage device is in a short-circuit state, and the output of the first pulse signal or the second pulse signal can also be stopped at this time to avoid accidents.
上述实施例对本申请中的脉冲信号的输出方法进行进一步说明,下面将对本申请中如何使用脉冲信号作用于人体的过程进行说明。The above embodiment further describes the output method of the pulse signal in the present application, and the following describes the process of how the pulse signal is used to act on the human body in the present application.
在一个实施例中,S110中接收按摩启动信号,输出第一脉冲信号以作用于人体进行按摩的步骤,可以包括:In one embodiment, the step of receiving the massage start signal in S110 and outputting the first pulse signal to act on the human body to massage may include:
S111:接收按摩启动信号,根据所述按摩启动信号获取所述电脉冲按摩设备的电池电量。S111 : Receive a massage start signal, and obtain the battery power of the electric pulse massage device according to the massage start signal.
S112:在所述电脉冲按摩设备的电池电量满足第一脉冲信号输出条件时,输出第一脉冲信号以作用于人体进行按摩。S112: When the battery power of the electric pulse massage device satisfies the first pulse signal output condition, output the first pulse signal to act on the human body to massage.
本实施例中,在电脉冲按摩设备启动,并输出第一脉冲信号作用于人体时,可以先获取电脉冲按摩设备自身的电池电量,并判断当前的电池电量是否满足第一脉冲信号输出条件,若满足,则输出第一脉冲信号作用于人体,若不满足,则表明当前电池电量较低,无法输出第一脉冲信号,此时可通过语音或指示灯的形式提醒用户充电,或直接不响应用户的触发操作,以提醒用户当前电池电量较低。In this embodiment, when the electric pulse massage device starts and outputs the first pulse signal to act on the human body, the battery power of the electric pulse massage device itself can be obtained first, and it is judged whether the current battery power meets the output condition of the first pulse signal. If it is satisfied, the first pulse signal will be output to act on the human body. If it is not satisfied, it means that the current battery power is low and the first pulse signal cannot be output. At this time, the user can be reminded to charge by voice or indicator light, or not respond directly. User's trigger action to alert the user that the current battery level is low.
例如,当用户按下电源开关后,电脉冲按摩设备中的MCU首先可以对硬件进行初始化操作,并检测电池电量,如果电池电量较高,例如超过3.6V时,则表明当前电池电量可以在一定时长内满足第一脉冲信号的输出,因而可以启动第一脉冲信号对应的脉冲输出电路。For example, after the user presses the power switch, the MCU in the electric pulse massage device can initialize the hardware and detect the battery power. The output of the first pulse signal is satisfied within the time period, so the pulse output circuit corresponding to the first pulse signal can be started.
在一个实施例中,所述的脉冲信号的输出方法,还可以包括:In one embodiment, the output method of the pulse signal may further include:
S113:在所述电脉冲按摩设备的电池电量满足第二脉冲信号输出条件时,输出第二脉冲信号以作用于人体进行按摩。S113: When the battery power of the electric pulse massage device satisfies the second pulse signal output condition, output the second pulse signal to act on the human body to massage.
本实施例中,若检测到当前的电池电量较低,满足第二脉冲信号输出条件,如低于3.6V时,则可以直接输出第二脉冲信号。由于第二脉冲信号的脉冲频率低于第一脉冲信号的脉冲频率,因此,在电池电量较低时,为了满足用户的按摩需求,可以直接输出第二脉冲信号作用于人体。In this embodiment, if it is detected that the current battery power is low and the second pulse signal output condition is satisfied, for example, when it is lower than 3.6V, the second pulse signal can be directly output. Since the pulse frequency of the second pulse signal is lower than the pulse frequency of the first pulse signal, when the battery power is low, in order to meet the user's massage needs, the second pulse signal can be directly output to act on the human body.
在一个实施例中,所述的脉冲信号的输出方法,还可以包括:In one embodiment, the output method of the pulse signal may further include:
S114:在所述电脉冲按摩设备的电池电量不满足所述第一脉冲信号输出条件以及所述第二脉冲信号输出条件时,停止输出脉冲信号。S114: When the battery power of the electric pulse massage device does not satisfy the first pulse signal output condition and the second pulse signal output condition, stop outputting the pulse signal.
本实施例中,若检测到当前电脉冲按摩设备的电池电量既不满足第一脉冲信号输出条件,又不满足第二脉冲信号输出条件,即当前电池电量低至无法输出脉冲信号时,则停止输出脉冲信号,避免电池受损。In this embodiment, if it is detected that the current battery power of the electric pulse massage device neither meets the first pulse signal output condition nor the second pulse signal output condition, that is, when the current battery power is so low that the pulse signal cannot be output, stop Output pulse signal to avoid battery damage.
上述实施例对本申请中如何使用脉冲信号作用于人体的过程进行说明,下面将对本申请中如何使用第一脉冲信号作用于人体的过程进行进一步说明。The above embodiments describe the process of using the pulse signal to act on the human body in the present application, and the following further describes the process of using the first pulse signal to act on the human body in the present application.
在一个实施例中,S110中接收按摩启动信号,输出第一脉冲信号以作用于人体进行按摩的步骤,可以包括:In one embodiment, the step of receiving the massage start signal in S110 and outputting the first pulse signal to act on the human body to massage may include:
S211:在接收到按摩启动信号后,根据用户选择的档位信息确定对应的目标电压。S211: After receiving the massage start signal, determine the corresponding target voltage according to the gear position information selected by the user.
S212:在所述第一脉冲信号输出过程中,将所述电脉冲按摩设备的输出电压上升至所述目标电压,并使用所述目标电压下的第一脉冲信号作用于人体。S212: In the process of outputting the first pulse signal, increase the output voltage of the electric pulse massage device to the target voltage, and use the first pulse signal at the target voltage to act on the human body.
本实施例中,当用户按下电源开关并启动电脉冲按摩设备时,还可以根据用户选择的档位信息来确定对应的目标电压,在使用第一脉冲信号作用于人体的过程中,可以将电脉冲按摩设备的电压上升至目标电压,并使用目标电压下的第一脉冲信号作用于人体。In this embodiment, when the user presses the power switch and starts the electric pulse massage device, the corresponding target voltage can also be determined according to the gear information selected by the user. In the process of using the first pulse signal to act on the human body, the The voltage of the electric pulse massage device rises to the target voltage, and uses the first pulse signal under the target voltage to act on the human body.
可以理解的是,电脉冲按摩设备可以设置有多个不同的档位,不同的档位分别对应有不同的目标电压,该目标电压指的是用户当前选择的档位对应的电压。当用户选择不同的档位后,电脉冲按摩设备根据该档位输出不同的目标电压,并通过电极片作用于人体,以使人体感受到不同的按摩力度。It can be understood that the electric pulse massage device can be provided with a plurality of different gears, and different gears correspond to different target voltages, and the target voltage refers to the voltage corresponding to the gear currently selected by the user. When the user selects a different gear, the electric pulse massage device outputs different target voltages according to the gear, and acts on the human body through the electrode pads, so that the human body can feel different massage strengths.
进一步地,电脉冲按摩设备中可以包括升压模块,该升压模块可以与MCU连接,当MCU接收到用户选择的档位信息后,可以根据该档位信息确定对应的目标电压,并通过升压模块将电压值上升至目标电压对应的电压值。Further, the electric pulse massage device may include a boosting module, and the boosting module may be connected to the MCU. After the MCU receives the gear information selected by the user, the corresponding target voltage can be determined according to the gear information, and the The voltage module increases the voltage value to the voltage value corresponding to the target voltage.
上述实施例对本申请中如何使用第一脉冲信号作用于人体的过程进行进一步说明,下面将对本申请中的目标电压的增幅过程进行说明。The above embodiments further describe the process of using the first pulse signal to act on the human body in the present application, and the amplification process of the target voltage in the present application will be explained below.
在一个实施例中,所述的脉冲信号的输出方法,还可以包括:In one embodiment, the output method of the pulse signal may further include:
S213:若所述接触阻抗大于所述第一预设阻抗阈值,则持续输出所述第一脉冲信号,在所述第一脉冲信号输出过程中,对所述目标电压进行至少一次增幅调整,并使用增幅调整后的目标电压下的第一脉冲信号作用于人体进行按摩。S213: If the contact impedance is greater than the first preset impedance threshold, continuously output the first pulse signal, and during the process of outputting the first pulse signal, perform at least one amplification adjustment on the target voltage, and Use the first pulse signal under the target voltage adjusted by the amplification to act on the human body to massage.
本实施例中,若检测到当前人体与电脉冲按摩设备之间的接触阻抗大于第一预设阻抗阈值,则持续输出第一脉冲信号,以使人体与电脉冲按摩设备之间的接触阻抗持续减小,并且,在使用第一脉冲信号持续作用于人体的过程中,可以对目标电压进行至少一次增幅调整,以便提高按摩力度。In this embodiment, if it is detected that the current contact impedance between the human body and the electric pulse massage device is greater than the first preset impedance threshold, the first pulse signal is continuously output, so that the contact impedance between the human body and the electric pulse massage device continues. In addition, in the process of using the first pulse signal to continuously act on the human body, the target voltage can be adjusted to increase at least once, so as to increase the massage intensity.
进一步地,本申请可以在第一脉冲信号输出过程中,实时检测电脉冲按摩设备与人体之间的接触阻抗,若接触阻抗大于第一预设阻抗阈值,则可以对目标电压进行多次增幅调整,以便使用增幅后的目标电压下的第一脉冲信号作用于人体,由于增幅后的目标电压可以提高按摩力度,因此,在第一脉冲信号保持不变的情况下,对目标电压进行增幅,可以快速降低接触阻抗。Further, in the process of outputting the first pulse signal, the present application can detect the contact impedance between the electric pulse massage device and the human body in real time, and if the contact impedance is greater than the first preset impedance threshold, the target voltage can be adjusted for multiple amplifications. , in order to use the first pulse signal under the amplified target voltage to act on the human body. Since the amplified target voltage can increase the massage intensity, therefore, when the first pulse signal remains unchanged, the target voltage can be amplified by increasing the target voltage. Quickly reduce contact resistance.
举例来说,增幅调整后的目标电压可以比调整前大3-6V,或者大5%-20%,例如当前档位的目标电压是20V,通过增幅调整可以增大到24V,以进一步提高按摩力度。For example, the target voltage after the adjustment can be increased by 3-6V, or 5%-20% larger than that before the adjustment. For example, the target voltage of the current gear is 20V, which can be increased to 24V through the adjustment to further improve the massage. strength.
在一个实施例中,S213中对所述目标电压进行至少一次增幅调整的步骤,可以包括:In one embodiment, the step of performing at least one increase adjustment on the target voltage in S213 may include:
S311:基于所述目标电压的当前幅值,以及与所述当前幅值对应的权重,确定所述目标电压的增加幅值,其中,所述目标电压的增加幅值随调整次数的增加逐渐降低。S311: Based on the current amplitude of the target voltage and the weight corresponding to the current amplitude, determine an increase amplitude of the target voltage, wherein the increase amplitude of the target voltage gradually decreases as the number of adjustments increases .
S312:基于所述目标电压的增加幅值对所述目标电压的当前幅值进行增幅调整,直到调整后的目标电压达到设定幅值阈值。S312: Increase and adjust the current amplitude of the target voltage based on the increased amplitude of the target voltage until the adjusted target voltage reaches a set amplitude threshold.
本实施例中,在对目标电压进行至少一次增幅调整时,可以根据目标电压的当前幅值,以及对当前幅值对应的权重,来确定目标电压的增加幅值,并根据该增加幅值来对目标电压的当前幅值进行增幅调整,直到调整后的目标电压达到设定幅值阈值为止。In this embodiment, when the target voltage is adjusted for at least one increase, the increase amplitude of the target voltage can be determined according to the current amplitude of the target voltage and the weight corresponding to the current amplitude, and the increase amplitude can be determined according to the increase amplitude. The current amplitude of the target voltage is adjusted in increments until the adjusted target voltage reaches the set amplitude threshold.
具体地,本申请在第一脉冲信号输出过程中,可以实时检测电脉冲按摩设备与人体之间的接触阻抗,若接触阻抗大于第一预设阻抗阈值,则可以对目标电压进行多次增幅调整,以便使用增幅后的目标电压下的第一脉冲信号作用于人体。Specifically, in the process of outputting the first pulse signal, the present application can detect the contact impedance between the electric pulse massage device and the human body in real time, and if the contact impedance is greater than the first preset impedance threshold, the target voltage can be increased and adjusted multiple times , so as to use the first pulse signal under the amplified target voltage to act on the human body.
进一步地,本申请在对目标电压进行增幅调整之前,还可以设置与增幅调整后的目标电压对应的权重,这样,每一次在确定目标电压的增加幅值时,可以根据目标电压的当前幅值,以及与当前幅值对应的权重来确定。Further, the present application can also set a weight corresponding to the target voltage after the amplification adjustment before performing the amplification adjustment on the target voltage. , and the weight corresponding to the current amplitude is determined.
示意性地,如图3所示,图3为本发明实施例提供的由高斯函数计算得出的权重的变化示意图;图3中,X轴为增幅调整的次数,次数可以用n表示,n的取值范围可以根据具体情况进行设置;Y轴为权重,权重可以用p表示,p的取值范围也可以根据具体情况进行设置,本申请设置p的取值范围在0到1之间;每次调整时的增加幅值=p*1V,目标电压的增加幅值随调整次数的增加逐渐降低,直至达到设定幅值阈值。Schematically, as shown in FIG. 3, FIG. 3 is a schematic diagram of the variation of the weight calculated by the Gaussian function provided by the embodiment of the present invention; The value range of p can be set according to the specific situation; the Y axis is the weight, and the weight can be represented by p, and the value range of p can also be set according to the specific situation. This application sets the value range of p between 0 and 1; The increase amplitude of each adjustment = p*1V, and the increase amplitude of the target voltage gradually decreases with the increase of the adjustment times until it reaches the set amplitude threshold.
可以理解的是,本申请在接触阻抗大于第一预设阻抗阈值的情况下,考虑到用户因接触阻抗过大,体验到的按摩力度较弱,通过执行几次调压的操作,尽量让用户能够感受到按摩力度。而根据用户体验,当一个档位的电压在原有基础上增加一定幅值后,则力度会有明显提升,为了保持用户不同档位之间的按摩力度的不同,本申请在调整后的目标电压达到设定幅值阈值后,不再调整目标电压。It can be understood that, in the present application, when the contact impedance is greater than the first preset impedance threshold, considering that the user experiences a weak massage due to the excessive contact impedance, by performing several pressure-adjusting operations, the user can try his best to let the user experience a weaker massage. You can feel the strength of the massage. According to the user experience, when the voltage of a gear is increased by a certain amplitude on the original basis, the strength will be significantly improved. In order to maintain the difference in the massage strength between different gears of the user, the adjusted target voltage After reaching the set amplitude threshold, the target voltage is no longer adjusted.
上述实施例对本申请中的目标电压的增幅过程进行说明,下面将对本申请的脉冲信号切换过程进行说明。The above embodiments describe the amplification process of the target voltage in the present application, and the pulse signal switching process of the present application will be described below.
在一个实施例中,S140中将所述第一脉冲信号切换至第二脉冲信号的步骤,可以包括:按照预设的调整策略,将所述第一脉冲信号逐级切换至第二脉冲信号。In one embodiment, the step of switching the first pulse signal to the second pulse signal in S140 may include: switching the first pulse signal to the second pulse signal step by step according to a preset adjustment strategy.
本实施例中,在将第一脉冲信号切换至第二脉冲信号的过程中,可以按照预设的调整策略进行平稳切换。In this embodiment, in the process of switching the first pulse signal to the second pulse signal, the smooth switching may be performed according to a preset adjustment strategy.
其中,这里的预设的调整策略指的是预先设置的能够保证第一脉冲信号平稳切换至第二脉冲信号的策略。The preset adjustment strategy here refers to a preset strategy that can ensure the smooth switching of the first pulse signal to the second pulse signal.
具体地,预设的调整策略可以是在预设的时间段内对第一脉冲信号的频率进行持续且平滑地下降调整,以减少因脉冲信号的切换所导致的明显的落差感。Specifically, the preset adjustment strategy may be to continuously and smoothly decrease the frequency of the first pulse signal within a preset period of time, so as to reduce the obvious sense of drop caused by the switching of the pulse signal.
在一个实施例中,所述按照预设的调整策略,将所述第一脉冲信号逐级切换至第二脉冲信号的步骤,可以包括:In one embodiment, the step of switching the first pulse signal to the second pulse signal step by step according to a preset adjustment strategy may include:
按照所述第一脉冲信号的频率随调整次数的增加,频率变化量逐渐减小的形式,将所述第一脉冲信号逐级切换至第二脉冲信号。The first pulse signal is switched to the second pulse signal step by step according to the form that the frequency of the first pulse signal gradually decreases as the frequency of the adjustment times increases.
本实施例中,在按照预设的调整策略将第一脉冲信号切换至第二脉冲信号的过程中,可以按照第一脉冲信号的频率随调整次数的增加,频率变化量逐渐减小的形式,将第一脉冲信号平稳切换至第二脉冲信号。In this embodiment, in the process of switching the first pulse signal to the second pulse signal according to the preset adjustment strategy, the frequency of the first pulse signal may be gradually reduced as the frequency of the first pulse signal increases with the number of adjustments. The first pulse signal is smoothly switched to the second pulse signal.
具体地,如图4所示,图4为本发明实施例提供的脉冲信号频率变化示意图;图4中,X轴为频率调整的次数,次数可以用x表示,x的取值范围可以根据具体情况进行设置;Y轴为调整后的脉冲信号的频率,具体可以根据实际情况进行设置,本申请中脉冲信号的频率可以从1KHz调整至100Hz以下;由图4可知,在将第一脉冲信号切换至第二脉冲信号的过程中,可以设置一定的时间间隔,如每100ms调整一次脉冲频率,直到频率小于100Hz。而调整后的脉冲频率则可以根据当前脉冲频率进行计算,计算公式如下:Specifically, as shown in FIG. 4, FIG. 4 is a schematic diagram of frequency variation of a pulse signal provided by an embodiment of the present invention; in FIG. 4, the X-axis is the number of times of frequency adjustment, and the number of times can be represented by x, and the value range of x can be determined according to the specific The frequency of the pulse signal after adjustment can be set according to the actual situation. The frequency of the pulse signal in this application can be adjusted from 1KHz to below 100Hz; it can be seen from Figure 4 that when the first pulse signal is switched In the process of reaching the second pulse signal, a certain time interval can be set, such as adjusting the pulse frequency every 100ms until the frequency is less than 100Hz. The adjusted pulse frequency can be calculated according to the current pulse frequency. The calculation formula is as follows:
其中,x为调整次数,f为脉冲频率。Among them, x is the adjustment times, and f is the pulse frequency.
本申请使用上述方式对脉冲信号进行切换,可以在2s内将脉冲频率下降至100Hz以内,以使用户感觉不到明显落差。The present application uses the above method to switch the pulse signal, and the pulse frequency can be reduced to less than 100 Hz within 2s, so that the user does not feel the obvious drop.
在一个实施例中,S120中在所述第一脉冲信号输出过程中,获取所述电脉冲按摩设备与所述人体之间的接触阻抗的步骤,可以包括:In one embodiment, in the process of outputting the first pulse signal in S120, the step of acquiring the contact impedance between the electric pulse massage device and the human body may include:
S121:在所述第一脉冲信号输出过程中,利用预先构建的所述电脉冲按摩设备与所述人体之间的阻抗检测电路,实时采集并计算所述电脉冲按摩设备与所述人体之间的接触阻抗。S121: In the process of outputting the first pulse signal, use a pre-built impedance detection circuit between the electric pulse massage device and the human body to collect and calculate the difference between the electric pulse massage device and the human body in real time. contact resistance.
本实施例中,在第一脉冲信号输出过程中,可以利用预先构建的电脉冲按摩设备与人体之间的阻抗检测电路,来实时采集电路中的电阻值,并通过该电阻值、第一脉冲信号的脉冲频率、电脉冲按摩设备中的电极片与人体之间的接触面积、皮肤与按摩设备中的电极片表面之间的间隙距离,以及间隙内的空气介电常数等来计算电脉冲按摩设备与人体之间的接触阻抗。In this embodiment, in the process of outputting the first pulse signal, a pre-built impedance detection circuit between the electric pulse massage device and the human body can be used to collect the resistance value in the circuit in real time, and through the resistance value, the first pulse The pulse frequency of the signal, the contact area between the electrode pads in the electric pulse massage device and the human body, the gap distance between the skin and the surface of the electrode pads in the massage device, and the dielectric constant of the air in the gap, etc. to calculate the electric pulse massage The contact impedance between the device and the human body.
示意性地,本申请中的阻抗检测电路如图5所示,图5为本发明实施例提供的阻抗检测电路的结构示意图;图5中,HV是电脉冲按摩设备的输出电压,R3是电脉冲按摩设备的内阻,假设电脉冲按摩设备有两个电极片,R4&C4是电极片A与皮肤之间的阻抗,R5&C5是电极片B与皮肤之间的阻抗,R6、R7和R8也是电脉冲按摩设备的内阻,其中,R6和R7用于分压。Schematically, the impedance detection circuit in this application is shown in FIG. 5, which is a schematic structural diagram of an impedance detection circuit provided by an embodiment of the present invention; in FIG. 5, HV is the output voltage of the electric pulse massage device, and R3 is the electrical The internal resistance of the pulse massage device, assuming that the electric pulse massage device has two electrode pads, R4&C4 is the impedance between the electrode pad A and the skin, R5&C5 is the impedance between the electrode pad B and the skin, and R6, R7 and R8 are also electrical pulses The internal resistance of the massage device, where R6 and R7 are used to divide the pressure.
本申请可以在已知R7的情况下,先采集R7两端的电压U1,然后计算回路中的电流I=U1/R7,当确定回路中的电流后,可以计算出接触阻抗两端的电压U2=HV-I*(R6+R7+R3),并进一步得出阻抗检测电路中的电阻R=U2/I,在阻抗检测电路中的电阻R和脉冲信号的频率已知的情况下,可通过接触阻抗的计算公式计算出相应的接触阻抗。In this application, when R7 is known, the voltage U1 at both ends of R7 can be collected first, and then the current I=U1/R7 in the loop can be calculated. After the current in the loop is determined, the voltage at both ends of the contact impedance U2=HV can be calculated. -I*(R6+R7+R3), and further obtain the resistance R=U2/I in the impedance detection circuit. When the resistance R in the impedance detection circuit and the frequency of the pulse signal are known, the contact impedance can be The calculation formula of , calculates the corresponding contact impedance.
在一个实施例中,所述第一脉冲信号可以为中频脉冲信号,所述第二脉冲信号可以为低频脉冲信号。In one embodiment, the first pulse signal may be an intermediate frequency pulse signal, and the second pulse signal may be a low frequency pulse signal.
本实施例中,第一脉冲信号可以为中频脉冲信号,该中频脉冲信号可以选用1000Hz左右的脉冲信号,而第二脉冲信号可以为低频脉冲信号,该低频脉冲信号可以选用500Hz脉冲信号,具体可依据实际情况进行调整,在此不做限制。In this embodiment, the first pulse signal may be an intermediate frequency pulse signal, and the intermediate frequency pulse signal may be a pulse signal of about 1000 Hz, and the second pulse signal may be a low frequency pulse signal, and the low frequency pulse signal may be a 500 Hz pulse signal. Adjust according to the actual situation, and there is no limit here.
下面对本申请实施例提供的脉冲信号的输出装置进行描述,下文描述的脉冲信号的输出装置与上文描述的脉冲信号的输出方法可相互对应参照。The following describes the pulse signal output device provided by the embodiments of the present application, and the pulse signal output device described below and the pulse signal output method described above can be referred to each other correspondingly.
在一个实施例中,如图6所示,图6为本发明实施例提供的一种脉冲信号的输出装置的结构示意图;本发明还提供了一种脉冲信号的输出装置,包括脉冲输出模块210、接触阻抗获取模块220、脉冲切换模块230,具体包括如下:In one embodiment, as shown in FIG. 6 , FIG. 6 is a schematic structural diagram of a pulse signal output device provided by an embodiment of the present invention; the present invention also provides a pulse signal output device, including a
脉冲输出模块210,用于接收按摩启动信号,输出第一脉冲信号以作用于人体进行按摩。The
接触阻抗获取模块220,用于在所述第一脉冲信号输出过程中,获取所述电脉冲按摩设备与所述人体之间的接触阻抗;a contact
脉冲切换模块230,用于当所述接触阻抗不大于预设阻抗阈值时,将所述第一脉冲信号切换至第二脉冲信号,所述第二脉冲信号的频率小于所述第一脉冲信号的频率。The
本实施例中,在接收到按摩启动信号后,首先输出第一脉冲信号以作用于人体进行按摩,并在第一脉冲信号输出过程中,获取按摩设备与人体之间的接触阻抗,当该接触阻抗不大于第一预设阻抗阈值时,将第一脉冲信号切换至频率较小的第二脉冲信号;本申请中,由于电脉冲按摩设备启动时使用的第一脉冲信号的频率大于第二脉冲信号,相对于直接使用第二脉冲信号而言,频率较大的第一脉冲信号能够在一定程度上减小电脉冲按摩设备与人体之间的接触阻抗,使用户可以在第一时间感受到电脉冲按摩设备的按摩力度;并且,本申请在检测到接触阻抗不大于第一预设阻抗阈值时,将第一脉冲信号切换至第二脉冲信号,这样不仅能够保证电脉冲按摩设备的正常工作,还能够避免长时间使用第一脉冲信号进行按摩导致的电量损耗过大的问题;另外,本申请在脉冲信号切换的过程中无需借助其他辅助工具,相对于现有技术而言,不仅降低了使用成本,还避免了复杂的使用过程,有利于提升用户体验。In this embodiment, after receiving the massage start signal, the first pulse signal is output to act on the human body to massage, and during the output of the first pulse signal, the contact impedance between the massage device and the human body is obtained. When the impedance is not greater than the first preset impedance threshold, the first pulse signal is switched to the second pulse signal with a smaller frequency; in this application, since the frequency of the first pulse signal used when the electric pulse massage device is started is greater than that of the second pulse Compared with the direct use of the second pulse signal, the first pulse signal with a higher frequency can reduce the contact impedance between the electric pulse massage device and the human body to a certain extent, so that the user can feel the electricity in the first time. The massage intensity of the pulse massage device; and, when detecting that the contact impedance is not greater than the first preset impedance threshold, the application switches the first pulse signal to the second pulse signal, which can not only ensure the normal operation of the electric pulse massage device, It can also avoid the problem of excessive power consumption caused by using the first pulse signal for massage for a long time; in addition, the present application does not need to use other auxiliary tools in the process of switching the pulse signal, which not only reduces the use of It also avoids the complicated usage process, which is beneficial to improve the user experience.
在一个实施例中,所述的脉冲信号的输出装置,还可以包括:In one embodiment, the output device for the pulse signal may further include:
持续输出模块,用于若所述接触阻抗大于所述第一预设阻抗阈值,则持续输出所述第一脉冲信号,直至所述接触阻抗不大于第一预设阻抗阈值或所述第一脉冲信号的输出时长满足设定时长。A continuous output module, configured to continuously output the first pulse signal if the contact impedance is greater than the first preset impedance threshold until the contact impedance is not greater than the first preset impedance threshold or the first pulse The output duration of the signal meets the set duration.
在一个实施例中,所述的脉冲信号的输出装置,还可以包括:In one embodiment, the output device for the pulse signal may further include:
输出切换模块,用于当所述第一脉冲信号的输出时长满足所述设定时长,将所述第一脉冲信号切换至所述第二脉冲信号。An output switching module, configured to switch the first pulse signal to the second pulse signal when the output duration of the first pulse signal satisfies the set duration.
在一个实施例中,所述的脉冲信号的输出装置,还可以包括:In one embodiment, the output device for the pulse signal may further include:
停止输出模块,用于若所述接触阻抗大于第二预设阻抗阈值或小于第三预设阻抗阈值,则停止输出所述第一脉冲信号或所述第二脉冲信号,其中,所述第二预设阻抗阈值大于所述第一预设阻抗阈值,所述第三预设阻抗阈值小于所述第一预设阻抗阈值。A stop output module, configured to stop outputting the first pulse signal or the second pulse signal if the contact impedance is greater than a second preset impedance threshold or less than a third preset impedance threshold, wherein the second pulse signal The preset impedance threshold is greater than the first preset impedance threshold, and the third preset impedance threshold is smaller than the first preset impedance threshold.
在一个实施例中,所述脉冲输出模块210可以包括:In one embodiment, the
电池电量获取模块,用于接收按摩启动信号,根据所述按摩启动信号获取所述电脉冲按摩设备的电池电量。The battery power acquisition module is configured to receive a massage start signal, and obtain the battery power of the electric pulse massage device according to the massage start signal.
第一脉冲作用模块,用于在所述电脉冲按摩设备的电池电量满足第一脉冲信号输出条件时,使用第一脉冲信号作用于人体。The first pulse action module is configured to use the first pulse signal to act on the human body when the battery power of the electric pulse massage device satisfies the first pulse signal output condition.
在一个实施例中,所述的脉冲信号的输出装置,还可以包括:In one embodiment, the output device for the pulse signal may further include:
第二脉冲作用模块,用于在所述电脉冲按摩设备的电池电量满足第二脉冲信号输出条件时,输出第二脉冲信号以作用于人体进行按摩。The second pulse action module is used for outputting a second pulse signal to act on the human body for massage when the battery power of the electric pulse massage device satisfies the second pulse signal output condition.
在一个实施例中,所述的脉冲信号的输出装置,还可以包括:In one embodiment, the output device for the pulse signal may further include:
停止作用模块,用于在所述电脉冲按摩设备的电池电量不满足所述第一脉冲信号输出条件以及所述第二脉冲信号输出条件时,停止输出脉冲信号。The stop action module is configured to stop outputting the pulse signal when the battery power of the electric pulse massage device does not satisfy the output condition of the first pulse signal and the output condition of the second pulse signal.
在一个实施例中,所述脉冲输出模块210可以包括:In one embodiment, the
电压确定模块,用于在接收到按摩启动信号后,根据用户选择的档位信息确定对应的目标电压。The voltage determination module is used to determine the corresponding target voltage according to the gear information selected by the user after receiving the massage start signal.
电压作用模块,用于在所述第一脉冲信号输出过程中,将所述电脉冲按摩设备的输出电压上升至所述目标电压,并使用所述目标电压下的第一脉冲信号作用于人体。The voltage action module is used to raise the output voltage of the electric pulse massage device to the target voltage during the output process of the first pulse signal, and use the first pulse signal under the target voltage to act on the human body.
在一个实施例中,所述的脉冲信号的切换装置,还可以包括:In one embodiment, the pulse signal switching device may further include:
增幅调整模块,用于若所述接触阻抗大于所述第一预设阻抗阈值,则持续输出所述第一脉冲信号,在所述第一脉冲信号输出过程中,对所述目标电压进行至少一次增幅调整,并使用增幅调整后的目标电压下的第一脉冲信号作用于人体进行按摩。an amplification adjustment module, configured to continuously output the first pulse signal if the contact impedance is greater than the first preset impedance threshold, and perform at least one operation on the target voltage during the output of the first pulse signal Amplification adjustment, and use the first pulse signal under the target voltage after the amplification adjustment to act on the human body to massage.
在一个实施例中,所述增幅调整模块可以包括:In one embodiment, the amplification adjustment module may include:
增加幅值确定模块,用于基于所述目标电压的当前幅值,以及与所述当前幅值对应的权重,确定所述目标电压的增加幅值,其中,所述目标电压的增加幅值随调整次数的增加逐渐降低。An increase amplitude determination module, configured to determine the increase amplitude of the target voltage based on the current amplitude of the target voltage and the weight corresponding to the current amplitude, wherein the increase amplitude of the target voltage varies with The increase in the number of adjustments gradually decreases.
调整模块,用于基于所述目标电压的增加幅值对所述目标电压的当前幅值进行增幅调整,直到调整后的目标电压达到设定幅值阈值。An adjustment module, configured to increase and adjust the current amplitude of the target voltage based on the increased amplitude of the target voltage until the adjusted target voltage reaches a set amplitude threshold.
在一个实施例中,所述脉冲切换模块240可以包括:In one embodiment, the pulse switching module 240 may include:
平稳切换模块,用于按照预设的调整策略,将所述第一脉冲信号逐级切换至第二脉冲信号。The smooth switching module is used for switching the first pulse signal to the second pulse signal step by step according to a preset adjustment strategy.
在一个实施例中,所述平稳切换模块可以包括:In one embodiment, the smooth switching module may include:
切换子模块,用于按照所述第一脉冲信号的频率随调整次数的增加,频率变化量逐渐减小的形式,将所述第一脉冲信号逐级切换至第二脉冲信号。The switching sub-module is configured to switch the first pulse signal to the second pulse signal step by step according to the form that the frequency of the first pulse signal gradually decreases with the increase of the adjustment times.
在一个实施例中,所述接触阻抗获取模块220可以包括:In one embodiment, the contact
采集计算模块,用于在所述第一脉冲信号输出过程中,利用预先构建的所述电脉冲按摩设备与所述人体之间的阻抗检测电路,实时采集并计算所述电脉冲按摩设备与所述人体之间的接触阻抗。The acquisition and calculation module is used for real-time acquisition and calculation of the relationship between the electric pulse massage device and the body by using the pre-built impedance detection circuit between the electric pulse massage device and the human body during the output process of the first pulse signal. the contact impedance between the human body.
在一个实施例中,所述第一脉冲信号为中频脉冲信号,所述第二脉冲信号为低频脉冲信号。In one embodiment, the first pulse signal is an intermediate frequency pulse signal, and the second pulse signal is a low frequency pulse signal.
在一个实施例中,如图7所示,图7为本发明实施例提供的一种电脉冲按摩设备的结构示意图;本发明还提供了一种电脉冲按摩设备,所述电脉冲按摩设备包括电源模块、控制模块和电极片。In one embodiment, as shown in FIG. 7 , FIG. 7 is a schematic structural diagram of an electric pulse massage device provided by an embodiment of the present invention; the present invention further provides an electric pulse massage device, wherein the electric pulse massage device includes: Power modules, control modules and electrode pads.
所述电源模块用于为所述控制模块进行供电。The power module is used for supplying power to the control module.
其中,如图7所示,电源模块可以包括电源、充电管理和开关,电源可以采用可充电锂电池;充电管理部分可以包括Type-C USB及充电IC,充电时设备由Type-C USB供电;开关为常开按键,按下后控制模块通电。Among them, as shown in Figure 7, the power module can include a power supply, charging management and switches, and the power supply can use a rechargeable lithium battery; the charging management part can include Type-C USB and charging IC, and the device is powered by Type-C USB during charging; The switch is a normally open button, and the control module is powered on after being pressed.
所述控制模块包括存储器和处理器,所述存储器中存储有计算机可读指令,所述计算机可读指令被一个或多个处理器执行时,使得一个或多个处理器执行如上述实施例中任一项所述的脉冲信号的输出方法。The control module includes a memory and a processor, the memory stores computer-readable instructions, and when the computer-readable instructions are executed by one or more processors, causes the one or more processors to execute the above-mentioned embodiments. The output method of any one of the pulse signals.
所述电极片与人体接触,用于将所述控制模块的输出作用于所述人体。The electrode sheet is in contact with the human body, and is used to act on the human body with the output of the control module.
本实施例中,如图7所示,控制模块可以包括MCU、升压模块、脉冲输出和阻抗检测,MCU实现整个控制逻辑,通过升压模块提高电压,调节按摩力度,通过脉冲输出控制脉冲频率和脉宽,最终电脉冲通过电极片作用于人体。同时,通过阻抗检测来检测回路中的电流并计算接触阻抗,根据接触阻抗来调节电压和脉冲频率,以此形成闭环系统。In this embodiment, as shown in FIG. 7 , the control module may include an MCU, a booster module, pulse output and impedance detection. The MCU implements the entire control logic, increases the voltage through the booster module, adjusts the massage intensity, and controls the pulse frequency through the pulse output. and pulse width, and finally the electrical pulse acts on the human body through the electrode pads. At the same time, the current in the loop is detected by impedance detection, the contact impedance is calculated, and the voltage and pulse frequency are adjusted according to the contact impedance to form a closed-loop system.
在一个实施例中,本发明还提供了一种存储介质,所述存储介质中存储有计算机可读指令,所述计算机可读指令被一个或多个处理器执行时,使得一个或多个处理器执行如上述实施例中任一项所述的脉冲信号的输出方法。In one embodiment, the present invention also provides a storage medium storing computer-readable instructions that, when executed by one or more processors, cause one or more processing The controller executes the pulse signal output method as described in any one of the above embodiments.
最后,还需要说明的是,在本文中,诸如第一和第二等之类的关系术语仅仅用来将一个实体或者操作与另一个实体或操作区分开来,而不一定要求或者暗示这些实体或操作之间存在任何这种实际的关系或者顺序。而且,术语“包括”、“包含”或者其任何其他变体意在涵盖非排他性的包含,从而使得包括一系列要素的过程、方法、物品或者设备不仅包括那些要素,而且还包括没有明确列出的其他要素,或者是还包括为这种过程、方法、物品或者设备所固有的要素。在没有更多限制的情况下,由语句“包括一个……”限定的要素,并不排除在包括所述要素的过程、方法、物品或者设备中还存在另外的相同要素。Finally, it should also be noted that in this document, relational terms such as first and second are used only to distinguish one entity or operation from another, and do not necessarily require or imply these entities or that there is any such actual relationship or sequence between operations. Moreover, the terms "comprising", "comprising" or any other variation thereof are intended to encompass a non-exclusive inclusion such that a process, method, article or device that includes a list of elements includes not only those elements, but also includes not explicitly listed or other elements inherent to such a process, method, article or apparatus. Without further limitation, an element qualified by the phrase "comprising a..." does not preclude the presence of additional identical elements in a process, method, article or apparatus that includes the element.
本说明书中各个实施例采用递进的方式描述,每个实施例重点说明的都是与其他实施例的不同之处,各个实施例之间可以根据需要进行组合,且相同相似部分互相参见即可。The various embodiments in this specification are described in a progressive manner, and each embodiment focuses on the differences from other embodiments. The various embodiments can be combined as required, and the same and similar parts can be referred to each other. .
对所公开的实施例的上述说明,使本领域专业技术人员能够实现或使用本申请。对这些实施例的多种修改对本领域的专业技术人员来说将是显而易见的,本文中所定义的一般原理可以在不脱离本申请的精神或范围的情况下,在其它实施例中实现。因此,本申请将不会被限制于本文所示的这些实施例,而是要符合与本文所公开的原理和新颖特点相一致的最宽的范围。The above description of the disclosed embodiments enables any person skilled in the art to make or use the present application. Various modifications to these embodiments will be readily apparent to those skilled in the art, and the generic principles defined herein may be implemented in other embodiments without departing from the spirit or scope of the present application. Therefore, this application is not intended to be limited to the embodiments shown herein, but is to be accorded the widest scope consistent with the principles and novel features disclosed herein.
| Application Number | Priority Date | Filing Date | Title |
|---|---|---|---|
| CN202111630685.4ACN114288551B (en) | 2021-12-28 | 2021-12-28 | Pulse signal output method, device, electric pulse massage equipment and storage medium |
| Application Number | Priority Date | Filing Date | Title |
|---|---|---|---|
| CN202111630685.4ACN114288551B (en) | 2021-12-28 | 2021-12-28 | Pulse signal output method, device, electric pulse massage equipment and storage medium |
| Publication Number | Publication Date |
|---|---|
| CN114288551Atrue CN114288551A (en) | 2022-04-08 |
| CN114288551B CN114288551B (en) | 2025-07-04 |
| Application Number | Title | Priority Date | Filing Date |
|---|---|---|---|
| CN202111630685.4AActiveCN114288551B (en) | 2021-12-28 | 2021-12-28 | Pulse signal output method, device, electric pulse massage equipment and storage medium |
| Country | Link |
|---|---|
| CN (1) | CN114288551B (en) |
| Publication number | Priority date | Publication date | Assignee | Title |
|---|---|---|---|---|
| CN114812892A (en)* | 2022-05-08 | 2022-07-29 | 湖南非雀医疗科技有限公司 | Pressure detection method and system for probe of mechanical arm |
| CN117959596A (en)* | 2024-02-02 | 2024-05-03 | 深圳市宏强兴电子有限公司 | Physiotherapy equipment and intelligent control method thereof |
| Publication number | Priority date | Publication date | Assignee | Title |
|---|---|---|---|---|
| CN1053012A (en)* | 1990-01-04 | 1991-07-17 | 福建省霞浦电子仪器厂 | The medium and low frequency channels and collaterals therapeutic instrument |
| JP2004049536A (en)* | 2002-07-19 | 2004-02-19 | Minato Ikagaku Kk | Pulsing electrostimulator |
| CN106075726A (en)* | 2016-07-08 | 2016-11-09 | 上海力声特医学科技有限公司 | Stimulation state adjustment method in sacral nerve stimulator |
| WO2017075359A2 (en)* | 2015-10-29 | 2017-05-04 | Elira Therapeutics Llc | Systems and methods for managing symptoms associated with dysmenorrhea using an electro-dermal patch |
| US20170345621A1 (en)* | 2015-01-06 | 2017-11-30 | Beijing Naura Microelectronics Equipment Co., Ltd | Impedance matching method and device for pulsed radio frequency power supply |
| CN107412948A (en)* | 2015-04-24 | 2017-12-01 | 株式会社Mtg | Muscular electrostimulation device |
| US20180200503A1 (en)* | 2017-01-13 | 2018-07-19 | Orthofix Inc. | Systems and Methods for Musculoskeletal Tissue Treatment |
| US20190022397A1 (en)* | 2017-07-18 | 2019-01-24 | Boston Scientific Neuromodulation Corporation | Sensor-based pain management systems and methods |
| CN208641547U (en)* | 2017-09-20 | 2019-03-26 | 生茂系统开发有限公司 | Portable USB low-frequency massager |
| CN111760191A (en)* | 2020-06-05 | 2020-10-13 | 未来穿戴(深圳)有限公司 | Pulse current output control method, pulse current output control device, electronic device, and storage medium |
| CN112234830A (en)* | 2020-09-29 | 2021-01-15 | 深圳数联天下智能科技有限公司 | EMS and RF function switching circuit and massager |
| CN113318349A (en)* | 2021-06-30 | 2021-08-31 | 未来穿戴技术有限公司 | Wearable massage apparatus, energy parameter adjustment method, device and storage medium |
| CN214971167U (en)* | 2021-05-14 | 2021-12-03 | 未来穿戴技术有限公司 | Massage device |
| Publication number | Priority date | Publication date | Assignee | Title |
|---|---|---|---|---|
| CN1053012A (en)* | 1990-01-04 | 1991-07-17 | 福建省霞浦电子仪器厂 | The medium and low frequency channels and collaterals therapeutic instrument |
| JP2004049536A (en)* | 2002-07-19 | 2004-02-19 | Minato Ikagaku Kk | Pulsing electrostimulator |
| US20170345621A1 (en)* | 2015-01-06 | 2017-11-30 | Beijing Naura Microelectronics Equipment Co., Ltd | Impedance matching method and device for pulsed radio frequency power supply |
| CN107412948A (en)* | 2015-04-24 | 2017-12-01 | 株式会社Mtg | Muscular electrostimulation device |
| WO2017075359A2 (en)* | 2015-10-29 | 2017-05-04 | Elira Therapeutics Llc | Systems and methods for managing symptoms associated with dysmenorrhea using an electro-dermal patch |
| CN106075726A (en)* | 2016-07-08 | 2016-11-09 | 上海力声特医学科技有限公司 | Stimulation state adjustment method in sacral nerve stimulator |
| US20180200503A1 (en)* | 2017-01-13 | 2018-07-19 | Orthofix Inc. | Systems and Methods for Musculoskeletal Tissue Treatment |
| US20190022397A1 (en)* | 2017-07-18 | 2019-01-24 | Boston Scientific Neuromodulation Corporation | Sensor-based pain management systems and methods |
| CN208641547U (en)* | 2017-09-20 | 2019-03-26 | 生茂系统开发有限公司 | Portable USB low-frequency massager |
| CN111760191A (en)* | 2020-06-05 | 2020-10-13 | 未来穿戴(深圳)有限公司 | Pulse current output control method, pulse current output control device, electronic device, and storage medium |
| CN112234830A (en)* | 2020-09-29 | 2021-01-15 | 深圳数联天下智能科技有限公司 | EMS and RF function switching circuit and massager |
| CN214971167U (en)* | 2021-05-14 | 2021-12-03 | 未来穿戴技术有限公司 | Massage device |
| CN113318349A (en)* | 2021-06-30 | 2021-08-31 | 未来穿戴技术有限公司 | Wearable massage apparatus, energy parameter adjustment method, device and storage medium |
| Publication number | Priority date | Publication date | Assignee | Title |
|---|---|---|---|---|
| CN114812892A (en)* | 2022-05-08 | 2022-07-29 | 湖南非雀医疗科技有限公司 | Pressure detection method and system for probe of mechanical arm |
| CN114812892B (en)* | 2022-05-08 | 2023-06-06 | 湖南非雀医疗科技有限公司 | Pressure detection method and system for probe of mechanical arm |
| CN117959596A (en)* | 2024-02-02 | 2024-05-03 | 深圳市宏强兴电子有限公司 | Physiotherapy equipment and intelligent control method thereof |
| Publication number | Publication date |
|---|---|
| CN114288551B (en) | 2025-07-04 |
| Publication | Publication Date | Title |
|---|---|---|
| US20170036019A1 (en) | Electrical muscle stimulation device | |
| CN211383459U (en) | skin management device | |
| EP3615133B1 (en) | Adaptive trigger for a microcurrent stimulation device | |
| CN114288551A (en) | Pulse signal output method, device, electric pulse massage equipment and storage medium | |
| JP2014533525A5 (en) | Device for relieving pain using transcutaneous electrical nerve stimulation and electrode arrangement | |
| TW201701918A (en) | Electrode member capable of effectively stimulating an abdominal muscle | |
| CN108670532A (en) | A kind of snore stopper and snore relieving method based on Bluetooth communication electro photoluminescence | |
| JP2024091849A (en) | Cosmetic device and control method thereof | |
| CN107233669A (en) | Multifunctional physiotherapy instrument | |
| CN108525124A (en) | Through cranium galvanic current stimulation equipment | |
| CN111544769B (en) | A low power consumption neuromuscular stimulator | |
| US8972014B2 (en) | Enuresis electroconditioner | |
| CN114288552A (en) | Pulse signal output method and device, electric pulse massage equipment and storage medium | |
| US20220126096A1 (en) | Method for using a sinus treatment device | |
| KR20190065380A (en) | Electroplating apparatus and method for controlling an electroporation apparatus | |
| US20050187497A1 (en) | Electrical impulse apparatus for facial massage | |
| CN103405849B (en) | Rehabilitation system | |
| CN109718472A (en) | A kind of electrode handle device of defibrillator | |
| CN217246259U (en) | Electrical stimulation pelvic floor muscle repairing instrument | |
| CN117578747A (en) | Wireless charging system and wireless charging method for implantable medical device | |
| CN212491149U (en) | Low-power neuromuscular stimulator | |
| CN116549841A (en) | Safety control method, device, terminal and medium for transcranial direct current stimulation | |
| KR20200027106A (en) | a low frequency massage machine for body shape managemen | |
| CN117462846B (en) | A control method for a headache and insomnia physiotherapy device, a physiotherapy device and a readable storage medium | |
| CN112057741A (en) | An intelligent pelvic floor muscle therapy device |
| Date | Code | Title | Description |
|---|---|---|---|
| PB01 | Publication | ||
| PB01 | Publication | ||
| SE01 | Entry into force of request for substantive examination | ||
| SE01 | Entry into force of request for substantive examination | ||
| GR01 | Patent grant | ||
| GR01 | Patent grant |