




技术领域technical field
本发明属于信号测向技术领域,涉及一种基于1-bit可编程超表面的信号测向系统及方法。The invention belongs to the technical field of signal direction finding, and relates to a signal direction finding system and method based on a 1-bit programmable metasurface.
背景技术Background technique
传统的测向方法可以分为多射频链和单射频链两大类。多射频链类的测向方法多需要获取多个通道的相位差、幅值差或到达时间差等用来估计信号方向,这使得整个系统的结构非常复杂。而现有的单射频链测向方法虽然做到了结构的简化,但大多方法都存在计算复杂度高、稳定性要求高等缺点。近年来诞生了一些基于时间调制阵列的测向方法,该类方法属于单射频链测向,其原理是通过周期性的开关或相移调制使输出的信号包含基波和各次谐波分量,而信号入射方向不同会导致分量之间的相对关系发生变化,故可以通过分析分量之间的数学关系进行角度的计算,它相比传统单射频链测向方法有着更加简单的数学运算需求。然而,时间调制阵列本身也属于天线阵列,其阵元需要根据工作频段定制化设计,且阵元尺寸受到工作波长的限制难以轻量化、小型化。因此,当前在信号测向领域缺少低复杂度、低成本、易部署且能精度也达到一定要求的方法。Traditional direction finding methods can be divided into two categories: multi-RF chains and single-RF chains. The direction finding method of the multi-radio chain type mostly needs to obtain the phase difference, amplitude difference or arrival time difference of multiple channels to estimate the signal direction, which makes the structure of the whole system very complicated. While the existing single-RF chain direction finding methods have achieved the simplification of the structure, most of the methods have the disadvantages of high computational complexity and high stability requirements. In recent years, some direction finding methods based on time-modulated arrays have been born. These methods belong to the direction finding of a single radio frequency chain. The principle is that the output signal contains the fundamental wave and various harmonic components through periodic switching or phase shift modulation. Different signal incident directions will cause the relative relationship between the components to change. Therefore, the angle can be calculated by analyzing the mathematical relationship between the components. Compared with the traditional single-RF chain direction finding method, it has simpler mathematical operation requirements. However, the time-modulated array itself is also an antenna array, and its array elements need to be customized according to the working frequency band, and the size of the array element is limited by the working wavelength, which is difficult to be lightweight and miniaturized. Therefore, there is currently a lack of low-complexity, low-cost, and easy-to-deploy methods in the field of signal direction finding that can meet certain requirements of accuracy.
可编程超表面是一种新兴的人工电磁材料,其结构是一种具有若干个人工单元的薄板,每个人工单元可以对入射的信号施加设计好的相移后使其出射,因为造价低、单元尺寸比传统阵元小、易于部署,被认为是具有潜力的新型相控阵的解决方案。Programmable metasurface is an emerging artificial electromagnetic material. Its structure is a thin plate with several artificial units. Each artificial unit can apply a designed phase shift to the incident signal and then make it out. The element size is smaller than traditional array elements and easy to deploy, and it is considered as a potential new phased array solution.
发明内容SUMMARY OF THE INVENTION
有鉴于此,本发明的目的在于提供一种基于1-bit可编程超表面的信号测向系统及方法。In view of this, the purpose of the present invention is to provide a signal direction finding system and method based on a 1-bit programmable metasurface.
为达到上述目的,一方面,本发明提供如下技术方案:In order to achieve the above object, on the one hand, the present invention provides the following technical solutions:
一种基于1-bit可编程超表面的信号测向系统,包括1-bit可编程超表面,若所述可编程超表面为反射型,则其接收信号的一面分布有M×N个单元天线,若为透射型,则两面对称分布有M×N个单元天线,其中M为单元天线的行数,N为单元天线的列数;所述可编程超表面还连接有用于对单元天线施加周期性调制序列的控制器;在距离所述可编程超表面几何中心一定距离处设有接收天线,所述接收天线连接接收机,所述接收机内设有信号处理模块和角度计算模块;所述信号处理模块用于通过快速傅里叶变换FFT或离散傅里叶变换DFT处理接收信号;所述角度计算模块用于根据各单元天线的周期性调制序列和接收信号处理模块的结果,计算出入射信号的方向。A signal direction finding system based on a 1-bit programmable metasurface, comprising a 1-bit programmable metasurface. If the programmable metasurface is a reflective type, M×N unit antennas are distributed on the side that receives the signal. , if it is a transmission type, there are M×N unit antennas symmetrically distributed on both sides, where M is the number of rows of the unit antennas, and N is the number of columns of the unit antennas; the programmable metasurface is also connected to the unit antenna. A controller of a linear modulation sequence; a receiving antenna is arranged at a certain distance from the geometric center of the programmable metasurface, the receiving antenna is connected to a receiver, and a signal processing module and an angle calculation module are arranged in the receiver; the The signal processing module is used to process the received signal through fast Fourier transform FFT or discrete Fourier transform DFT; the angle calculation module is used to calculate the incident signal according to the periodic modulation sequence of each element antenna and the result of the received signal processing module direction of the signal.
另一方面,本发明提供一种基于1-bit可编程超表面的信号测向方法,包括以下步骤:In another aspect, the present invention provides a signal direction finding method based on a 1-bit programmable metasurface, comprising the following steps:
S1:通过1-bit可编程超表面上的各单元天线接收入射信号;S1: Receive the incident signal through each element antenna on the 1-bit programmable metasurface;
S2:对各单元天线施加周期性调制序列;S2: apply a periodic modulation sequence to each element antenna;
S3:各单元天线对入射信号施加上相移后射出,被接收天线接收;S3: Each element antenna applies an upper phase shift to the incident signal and then emits it, and is received by the receiving antenna;
S4:根据周期性调制序列计算出各单元天线的基波分量和一次谐波分量对应的傅里叶系数;S4: Calculate the Fourier coefficients corresponding to the fundamental wave component and the first harmonic component of each element antenna according to the periodic modulation sequence;
S5:计算出接收天线处的基波分量和一次谐波分量;S5: Calculate the fundamental wave component and the first harmonic component at the receiving antenna;
S6:得到一次谐波分量与基波分量的比值与入射信号方向的函数关系;S6: Obtain the functional relationship between the ratio of the first harmonic component and the fundamental component and the direction of the incident signal;
S7:根据实际测得的一次谐波分量与基波分量的比值,计算出入射信号的方向。S7: Calculate the direction of the incident signal according to the ratio of the first harmonic component to the fundamental component actually measured.
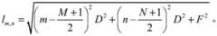
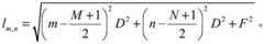
进一步,所述步骤S1中,1-bit可编程超表面的单元天线间距D为半波长,接收天线位于超表面中心正前方,距离为F;1-bit可编程超表面上有M×N个单元天线,其中M为单元天线的行数,N为单元天线的列;在笛卡尔坐标系中,第(m,n)单元天线的坐标为[(m-(M+1)/2)D,(n-(N+1)/2)D,0],其中m表示该单元天线所在行数,n表示该单元天线所在列数,接收天线坐标为[0,0,F],则第(m,n)单元天线与接收天线的距离lm,n为:Further, in the step S1, the unit antenna spacing D of the 1-bit programmable metasurface is half a wavelength, the receiving antenna is located directly in front of the center of the metasurface, and the distance is F; there are M×N on the 1-bit programmable metasurface Element antenna, where M is the row number of the element antenna, and N is the column of the element antenna; in the Cartesian coordinate system, the coordinates of the (m, n)th element antenna are [(m-(M+1)/2)D ,(n-(N+1)/2)D,0], where m represents the row number of the unit antenna, n represents the column number of the unit antenna, and the coordinates of the receiving antenna are [0,0,F], then the first (m,n) The distance lm,n between the unit antenna and the receiving antenna is:
进一步,步骤S2中所述周期性调制序列包括:Further, the periodic modulation sequence in step S2 includes:
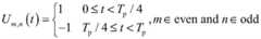
引入第(m,n)单元的周期性切换函数Um,n(t),其值域为{1,-1},代表0和π两种相移;在一个时间调制周期Tp内,所述周期性切换函数Um,n(t)表示为The periodic switching function Um,n (t) of the (m,n)th unit is introduced, and its value range is {1,-1}, representing two phase shifts of 0 and π; in a time modulation period Tp , The periodic switching function Um,n (t) is expressed as
进一步,所述步骤S3中,一个频点为Fc的正弦信号从方向入射,θ为俯仰角,为方位角,θ∈(-π/2,π/2),各单元天线的方向图为lm,n导致的路径损耗为a(lm,n),引入周期性调制序列后,超表面和接收天线组成的接收系统的瞬时方向图函数为:Further, in the step S3, a sinusoidal signal whose frequency point is Fc is from direction incident, θ is the pitch angle, is the azimuth, θ∈(-π/2,π/2), The pattern of each element antenna is The path loss caused by lm,n is a(lm,n ). After introducing the periodic modulation sequence, the instantaneous pattern function of the receiving system composed of the metasurface and the receiving antenna is:
其中,表示信号从各单元天线出射到接收天线方向的增益,dm,n表示信号到达各单元天线的波程差,j表示虚数符号,λ表示入射信号的波长。in, Represents the gain of the signal from each element antenna to the direction of the receiving antenna, dm,n represents the wave path difference of the signal reaching each element antenna, j represents the imaginary number symbol, and λ represents the wavelength of the incident signal.
进一步,在所述步骤S4中,Um,n(t)满足Um,n(t)=Um,n(t+nTp),τm,n,on和τm,n,off分别表示第(m,n)单元归一化的相移π的开启时间和关闭时间;作为周期性函数,Um,n(t)以傅里叶级数的形式展开为:Further, in the step S4, Um,n (t) satisfies Um,n (t)=Um,n (t+nTp ), τm,n,on and τm,n,off are respectively represents the on-time and off-time of the normalized phase shift π of the (m,n)th element; as a periodic function, Um,n (t) is expanded in the form of a Fourier series as:
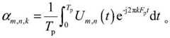
其中,αm,n,k是第k次谐波的傅里叶系数,通过下式计算:where αm,n,k are the Fourier coefficients of the kth harmonic, calculated by the following formula:
进一步,步骤S5中所述接收天线处的基波分量和一次谐波分量为:Further, the fundamental wave component and the first harmonic component at the receiving antenna described in step S5 are:
进一步,步骤S6中所述一次谐波分量和基波分量的比值与入射信号方向的函数关系为:Further, the functional relationship between the ratio of the first harmonic component and the fundamental wave component and the direction of the incident signal in step S6 is:
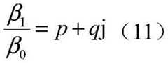
进一步,令实际测得的一次谐波与基波的比值为p+qj,当根据m、n的奇偶将所有单元天线划分为4个子阵,则向各单元天线施加的周期性调制序列Um,n(t)表示为:Further, let the ratio of the first harmonic actually measured to the fundamental wave be p+qj, when all the element antennas are divided into 4 sub-arrays according to the parity of m and n, the periodic modulation sequence Um applied to each element antenna,n (t) is expressed as:
则入射信号的方向估计值由下式计算:Then the estimated value of the direction of the incident signal Calculated by:
其中:in:
本发明的有益效果在于:本发明将1-bit可编程超表面与时间调制技术相结合,实现了信号的二维测向。本发明所提出的测向系统结构简洁,成本低,易于部署,仅需要FFT或DFT对信号进行处理,数学运算简单,具有低成本、低复杂度的优势。The beneficial effect of the present invention is that: the present invention combines the 1-bit programmable metasurface and the time modulation technology to realize the two-dimensional direction finding of the signal. The direction finding system proposed by the invention has the advantages of simple structure, low cost, easy deployment, only needs FFT or DFT to process the signal, simple mathematical operation, low cost and low complexity.
本发明的其他优点、目标和特征在某种程度上将在随后的说明书中进行阐述,并且在某种程度上,基于对下文的考察研究对本领域技术人员而言将是显而易见的,或者可以从本发明的实践中得到教导。本发明的目标和其他优点可以通过下面的说明书来实现和获得。Other advantages, objects and features of the present invention will be set forth in the description which follows, to the extent that will be apparent to those skilled in the art based on a study of the following, or may be learned from is taught in the practice of the present invention. The objectives and other advantages of the present invention may be realized and attained by the following description.
附图说明Description of drawings
图1为本发明所述基于1-bit可编程超表面的信号测向系统结构示意图;1 is a schematic structural diagram of a signal direction finding system based on a 1-bit programmable metasurface according to the present invention;
图2为本发明所述可编程超表面与喇叭天线位置示意图;2 is a schematic diagram of the positions of the programmable metasurface and the horn antenna according to the present invention;
图3为本实施例中施加的周期性调制序列示意图;3 is a schematic diagram of a periodic modulation sequence applied in this embodiment;
图4为本实施例中对接收信号进行FFT得到的结果图;FIG. 4 is a result diagram obtained by performing FFT on the received signal in the present embodiment;
图5为通过1000次蒙特卡洛得到的SNR在0至20时的均方误差曲线。Figure 5 is the mean square error curve of SNR from 0 to 20 obtained by 1000 times of Monte Carlo.
具体实施方式Detailed ways
可编程超表面本身为无源器件,作为接收状态使用时,入射信号被施加改变后会出射然后被天线接收。可编程超表面一般配有实时控制器(通常为FPGA或DSP),其单元可以达到极快的相移响应切换速度,因此可以将时间调制技术引入到超表面的实时控制中以实现测向功能。1-bit可编程超表面是结构最简单、成本最低廉的可编程超表面,其单元能够对入射的电磁波施加0或π的相移。The programmable metasurface itself is a passive device. When used as a receiving state, the incident signal will be emitted after being changed and then received by the antenna. Programmable metasurfaces are generally equipped with real-time controllers (usually FPGAs or DSPs), whose units can achieve extremely fast phase-shift response switching speeds, so time modulation techniques can be introduced into the real-time control of metasurfaces to achieve direction finding functions . 1-bit programmable metasurfaces are the simplest and cheapest programmable metasurfaces, and their units can apply a phase shift of 0 or π to incident electromagnetic waves.
本发明提供了一种基于1-bit可编程超表面时间调制的低复杂度、低成本的信号测向系统。The invention provides a low-complexity and low-cost signal direction finding system based on 1-bit programmable metasurface time modulation.
1-bitM×N可编程超表面可以为透射型或反射型,超表面相邻单元间距一般为半波长λ2,根据超表面的类型,将接收天线置于超表面几何中心正前方(对应反射型超表面)或正后方(对应透射型超表面),通过馈线与接收机相连。采用控制器施加周期性调制序列,通过快速傅里叶变换(FFT)或离散傅里叶变换(DFT)处理接收信号,解析信号入射方向。在本实施例中,单元天线为贴片天线,接收天线为喇叭天线。The 1-bitM×N programmable metasurface can be either transmissive or reflective, and the spacing between adjacent units of the metasurface is generally half-wavelength λ2. metasurface) or directly behind (corresponding to the transmissive metasurface), which is connected to the receiver through a feeder. A controller is used to apply a periodic modulation sequence, and the received signal is processed through Fast Fourier Transform (FFT) or Discrete Fourier Transform (DFT) to resolve the direction of incidence of the signal. In this embodiment, the unit antenna is a patch antenna, and the receiving antenna is a horn antenna.
1-bitM×N反射型可编程超表面的单元间距为D=λ2,即半波长,接收天线位于超表面中心正前方,距离为F。如图2所示,在笛卡尔坐标系中,第(m,n)单元的坐标为[(m-(M+1)/2)D,(n-(N+1)/2)D,0],接收天线坐标为[0,0,F],则第(m,n)单元与接收天线的距离为The unit spacing of the 1-bitM×N reflective programmable metasurface is D=λ2, which is half a wavelength. The receiving antenna is located directly in front of the center of the metasurface, and the distance is F. As shown in Figure 2, in the Cartesian coordinate system, the coordinates of the (m, n)th unit are [(m-(M+1)/2)D, (n-(N+1)/2)D, 0], the coordinates of the receiving antenna are [0,0,F], then the distance between the (m,n)th unit and the receiving antenna is
入射信号被各单元接收,被1比特单元施加上相移后出射,最后被接收天线接收。假设各单元的方向图为由于lm,n导致的路径损耗为a(lm,n),则可以求出该超表面和接收天线组成的接收系统的瞬时方向图函数The incident signal is received by each unit, is phase-shifted by a 1-bit unit, and then exits, and is finally received by the receiving antenna. Assume that the direction map of each unit is Since the path loss caused by lm,n is a(lm,n ), the instantaneous pattern function of the receiving system composed of the metasurface and the receiving antenna can be obtained
其中,wm,n是(m,n)th单元上移相器的权值,有0和1两种取值,分别对应0和π两种相移。Among them, wm,n is the weight of the phase shifter on the (m,n)th unit, and there are two values of 0 and 1, corresponding to the two phase shifts of 0 and π respectively.
一个频点为Fc的正弦信号从方向入射,θ为俯仰角,为方位角,θ∈(-π/2,π/2),A sinusoidal signal with frequencyFc from direction incident, θ is the pitch angle, is the azimuth, θ∈(-π/2,π/2),
通过FPGA或DSP设备对各单元施加周期性调制序列,在此引入第(m,n)单元的周期性切换函数Um,n(t),其值域为{1,-1},代表0和π两种相移,则公式(2)引入时间维度后,可以得到新的方向图函数A periodic modulation sequence is applied to each unit through FPGA or DSP equipment, and the periodic switching function Um,n (t) of the (m,n)th unit is introduced here, and its value range is {1,-1}, representing 0 and π two phase shifts, then formula (2) can get a new pattern function after introducing the time dimension
在一个时间调制周期Tp内,函数Um,n(t)可以表示为In a time modulation period Tp , the function Um,n (t) can be expressed as
Um,n(t)满足Um,n(t)=Um,n(t+nTp),τm,n,on和τm,n,off分别表示第(m,n)单元归一化的相移π的开启时间和关闭时间。作为周期性函数,Um,n(t)可以以傅里叶级数的形式展开为Um,n (t) satisfies Um,n (t)=Um,n (t+nTp ), τm,n,on and τm,n,off represent the (m,n)th unit normalization respectively Normalized phase shift π on time and off time. As a periodic function, Um,n (t) can be expanded in the form of a Fourier series as
αm,n,k是第k次谐波的傅里叶系数,可以通过下式计算:αm,n,k are the Fourier coefficients of the kth harmonic, which can be calculated by:
此时分别将基波和一次谐波分量的傅里叶系数代入公式(4)可以表示出接收天线处的基波和一次谐波:At this time, the Fourier coefficients of the fundamental wave and the first harmonic component are respectively substituted into formula (4) to express the fundamental wave and the first harmonic at the receiving antenna:
则可以计算一次谐波和基波分量的比值Then the ratio of the first harmonic to the fundamental component can be calculated
若实际测得的一次谐波与基波的比值为p+qj,我们可以得到等式If the ratio of the first harmonic actually measured to the fundamental is p+qj, we can get the equation
设计各单元的调制函数Um,n(t),可以通过求解(11)估计出入射信号的方向By designing the modulation function Um,n (t) of each unit, the direction of the incident signal can be estimated by solving (11)
实施例1:Example 1:
本实施例中,测向系统结构如图1到图2所示,接收信号为频点是29GHz的单音信号,1比特20×20反射型可编程超表面的单元间距D等于该频点下的半波长λ/2,接收天线位于超表面中心正前方,距离为5λ。将可编程超表面的人工单元按照行列序号(m,n)编号,根据m、n的奇偶将众多单元划分为4个子阵,如图3所示,控制器向1比特20×20反射型可编程超表面各单元施加的周期性调制序列Um,n(t)表示为In this embodiment, the structure of the direction finding system is shown in Figures 1 to 2. The received signal is a single-tone signal with a frequency of 29 GHz, and the unit spacing D of a 1-
根据公式(6)可计算出各单元的基波分量和一次谐波分量对应的傅里叶系数According to formula (6), the Fourier coefficient corresponding to the fundamental wave component and the first harmonic component of each unit can be calculated
代入公式(9)就可以计算出一次谐波分量与基波分量的比值Substituting into formula (9), the ratio of the first harmonic component to the fundamental component can be calculated
令make
有Have
若实际测得的一次谐波与基波的比值为p+qj,根据公式(11)可以得到If the ratio of the first harmonic to the fundamental wave actually measured is p+qj, it can be obtained according to formula (11)
由(15)和(17)可以求解出x和y的值,则来波方向的估计值可由下式计算The values of x and y can be solved by (15) and (17), then the estimated value of the incoming wave direction can be calculated by the following formula
本实施例基于MATLAB仿真验证了本发明的效果。令信号从(30°,-40°)方向入射,时间调制频率设置为Tp=1MHz,按信噪比为SNR=10添加加性高斯白噪声(AWGN),对接收信号进行FFT得到的结果如图4所示,通过FFT结果中一次谐波和基波的比值,根据公式(16)(17)计算出表1展示了此参数场景下10次独立测向的结果。This embodiment verifies the effect of the present invention based on MATLAB simulation. The signal is incident from the (30°, -40°) direction, the time modulation frequency is set to Tp = 1MHz, the SNR = 10 is added with additive white Gaussian noise (AWGN) according to the signal-to-noise ratio, and the result obtained by performing FFT on the received signal As shown in Figure 4, through the ratio of the first harmonic to the fundamental wave in the FFT result, it can be calculated according to formulas (16) and (17) Table 1 shows the results of 10 independent direction finding times under this parameter scenario.
表1Table 1
图5为SNR从0变化至20时,通过1000次蒙特卡洛得到的信噪比(SNR)在0至20时的均方误差(MSE)曲线,可以看出随SNR提高,θ和估计的均方误差趋近于0,估计精度提高。Figure 5 shows the mean square error (MSE) curve of the signal-to-noise ratio (SNR) obtained by 1000 times of Monte Carlo from 0 to 20 when the SNR changes from 0 to 20. It can be seen that with the increase of SNR, θ and The estimated mean square error approaches 0, and the estimation accuracy is improved.
本实施例验证了本发明提供的一种基于1-bit可编程超表面的信号测向系统及方法的有效性。This embodiment verifies the effectiveness of a signal direction finding system and method based on a 1-bit programmable metasurface provided by the present invention.
最后说明的是,以上实施例仅用以说明本发明的技术方案而非限制,尽管参照较佳实施例对本发明进行了详细说明,本领域的普通技术人员应当理解,可以对本发明的技术方案进行修改或者等同替换,而不脱离本技术方案的宗旨和范围,其均应涵盖在本发明的权利要求范围当中。Finally, it should be noted that the above embodiments are only used to illustrate the technical solutions of the present invention and not to limit them. Although the present invention has been described in detail with reference to the preferred embodiments, those of ordinary skill in the art should understand that the technical solutions of the present invention can be Modifications or equivalent replacements, without departing from the spirit and scope of the technical solution, should all be included in the scope of the claims of the present invention.
| Application Number | Priority Date | Filing Date | Title |
|---|---|---|---|
| CN202111581767.4ACN114252843B (en) | 2021-12-22 | 2021-12-22 | Signal direction finding system and method based on 1-bit programmable metasurface |
| Application Number | Priority Date | Filing Date | Title |
|---|---|---|---|
| CN202111581767.4ACN114252843B (en) | 2021-12-22 | 2021-12-22 | Signal direction finding system and method based on 1-bit programmable metasurface |
| Publication Number | Publication Date |
|---|---|
| CN114252843Atrue CN114252843A (en) | 2022-03-29 |
| CN114252843B CN114252843B (en) | 2025-06-27 |
| Application Number | Title | Priority Date | Filing Date |
|---|---|---|---|
| CN202111581767.4AActiveCN114252843B (en) | 2021-12-22 | 2021-12-22 | Signal direction finding system and method based on 1-bit programmable metasurface |
| Country | Link |
|---|---|
| CN (1) | CN114252843B (en) |
| Publication number | Priority date | Publication date | Assignee | Title |
|---|---|---|---|---|
| CN119743175A (en)* | 2024-12-20 | 2025-04-01 | 西安电子科技大学 | A fundamental wave beamforming method and system based on 1-bit time modulation metasurface |
| Publication number | Priority date | Publication date | Assignee | Title |
|---|---|---|---|---|
| US4041496A (en)* | 1976-04-26 | 1977-08-09 | Norris Paul R | Automatic direction finding system |
| US4236159A (en)* | 1975-02-03 | 1980-11-25 | The United States Of America As Represented By The Secretary Of The Navy | Passive direction finding system |
| CN107861095A (en)* | 2017-10-10 | 2018-03-30 | 上海交通大学 | A kind of single radio-frequency channel two dimensional wireless electricity direction-finding system |
| CN110336627A (en)* | 2019-07-10 | 2019-10-15 | 电子科技大学 | Array Antenna Amplitude and Phase Control System Based on Time Modulation and Its Realization Method |
| US20190386712A1 (en)* | 2018-06-14 | 2019-12-19 | Metawave Corporation | Virtual beam steering using mimo radar |
| US20210006441A1 (en)* | 2018-04-17 | 2021-01-07 | Southeast University | Direct radiation wireless digital communications system and method based on digital coding metamaterial |
| CN112881815A (en)* | 2021-01-22 | 2021-06-01 | 北京航空航天大学 | Programmable super-surface reflective array-based field simulator |
| CN112910531A (en)* | 2021-04-15 | 2021-06-04 | 东南大学 | User tracking and wireless digital transmission method based on programmable super surface |
| CN112968288A (en)* | 2021-03-29 | 2021-06-15 | 广州智讯通信系统有限公司 | Electromagnetic vortex super-surface system with signal transmission array elements and broadband electric regulation |
| CN113067616A (en)* | 2021-03-12 | 2021-07-02 | 上海航天电子有限公司 | DBF phased array system based on time modulation digital super surface |
| KR20210085487A (en)* | 2019-12-30 | 2021-07-08 | 성균관대학교산학협력단 | Metasurface autoencoder-based communication system |
| CN113093094A (en)* | 2021-04-08 | 2021-07-09 | 浙江大学 | Intelligent incident wave direction detection method based on phase control super surface |
| Publication number | Priority date | Publication date | Assignee | Title |
|---|---|---|---|---|
| US4236159A (en)* | 1975-02-03 | 1980-11-25 | The United States Of America As Represented By The Secretary Of The Navy | Passive direction finding system |
| US4041496A (en)* | 1976-04-26 | 1977-08-09 | Norris Paul R | Automatic direction finding system |
| CN107861095A (en)* | 2017-10-10 | 2018-03-30 | 上海交通大学 | A kind of single radio-frequency channel two dimensional wireless electricity direction-finding system |
| US20210006441A1 (en)* | 2018-04-17 | 2021-01-07 | Southeast University | Direct radiation wireless digital communications system and method based on digital coding metamaterial |
| US20190386712A1 (en)* | 2018-06-14 | 2019-12-19 | Metawave Corporation | Virtual beam steering using mimo radar |
| CN110336627A (en)* | 2019-07-10 | 2019-10-15 | 电子科技大学 | Array Antenna Amplitude and Phase Control System Based on Time Modulation and Its Realization Method |
| KR20210085487A (en)* | 2019-12-30 | 2021-07-08 | 성균관대학교산학협력단 | Metasurface autoencoder-based communication system |
| CN112881815A (en)* | 2021-01-22 | 2021-06-01 | 北京航空航天大学 | Programmable super-surface reflective array-based field simulator |
| CN113067616A (en)* | 2021-03-12 | 2021-07-02 | 上海航天电子有限公司 | DBF phased array system based on time modulation digital super surface |
| CN112968288A (en)* | 2021-03-29 | 2021-06-15 | 广州智讯通信系统有限公司 | Electromagnetic vortex super-surface system with signal transmission array elements and broadband electric regulation |
| CN113093094A (en)* | 2021-04-08 | 2021-07-09 | 浙江大学 | Intelligent incident wave direction detection method based on phase control super surface |
| CN112910531A (en)* | 2021-04-15 | 2021-06-04 | 东南大学 | User tracking and wireless digital transmission method based on programmable super surface |
| Title |
|---|
| LIN, MINGTUAN;XU, MING;WAN, XIANG;ETC.: "Single Sensor to Estimate DOA With Programmable Metasurface", IEEE INTERNET OF THINGS JOURNAL, vol. 8, no. 12, 30 June 2021 (2021-06-30)* |
| WANG, XIAOYI;CALOZ, CHRISTOPHE: "Direction-of-Arrival (DOA) Estimation based on Spacetime-Modulated Metasurface", 2019 IEEE INTERNATIONAL SYMPOSIUM ON ANTENNAS AND PROPAGATION AND USNC-URSI RADIO SCIENCE MEETING, 31 December 2019 (2019-12-31)* |
| XU, HE-XIU;WANG, CHAOHUI;HU, GUANGWEI等: "Spin-Encoded Wavelength-Direction Multitasking Janus Metasurfaces", ADVANCED OPTICAL MATERIALS, vol. 9, no. 11, 30 June 2021 (2021-06-30)* |
| 曹岸杰;曲耀斌;贺冲等;: "基于谐波特征分析的时间调制阵列测向研究进展", 电波科学学报, vol. 36, no. 2, 30 April 2021 (2021-04-30)* |
| 陈思: "高性能超表面天线及阵列的研究", 中国博士学位论文全文数据库信息科技, no. 2020, 15 June 2020 (2020-06-15)* |
| 陈靖峰: "时间调制阵列理论与测向技术研究", 中国博士学位论文全文数据库, no. 2020, 31 January 2020 (2020-01-31), pages 50 - 52* |
| Publication number | Priority date | Publication date | Assignee | Title |
|---|---|---|---|---|
| CN119743175A (en)* | 2024-12-20 | 2025-04-01 | 西安电子科技大学 | A fundamental wave beamforming method and system based on 1-bit time modulation metasurface |
| Publication number | Publication date |
|---|---|
| CN114252843B (en) | 2025-06-27 |
| Publication | Publication Date | Title |
|---|---|---|
| CN113343588B (en) | Method and device for designing multi-constraint millimeter wave vehicle-mounted MIMO radar antenna array | |
| JP7369852B2 (en) | Radar systems and vehicles | |
| CN105301580B (en) | A kind of passive detection method based on division battle array cross-spectrum phase difference variance weighted | |
| CN106546983A (en) | radar device | |
| JP7502848B2 (en) | Radar beamforming method | |
| CN106569171B (en) | Direction of arrival angle estimation method based on two-layer hybrid array | |
| CN108682964B (en) | A time-domain metamaterial | |
| CN106374235B (en) | A kind of MIMO radar device based on submatrix four-dimensional antenna array | |
| EP2624475B1 (en) | Combined Power Transmission | |
| CN106096218A (en) | A kind of mobile satellite communication bare cloth planar antenna array optimization method | |
| CN108120953A (en) | A kind of radio location method based on Mutual coupling | |
| CN114252843B (en) | Signal direction finding system and method based on 1-bit programmable metasurface | |
| CN112698263A (en) | Orthogonal propagation operator-based single-basis co-prime MIMO array DOA estimation algorithm | |
| CN115616476A (en) | An intelligent metasurface, system and method for measuring two-dimensional direction of arrival | |
| CN113759777A (en) | Phased Array Antenna Beam Steering Method | |
| CN107271989A (en) | A kind of low beam side lobe MIMO sonar formations with the optimal anglec of rotation | |
| CN113391301A (en) | Super-beam forming method and system based on time modulation linear array | |
| CN110635248B (en) | Phased array direction-finding antenna based on periodic phase modulation and application method thereof | |
| Grice et al. | Direction of arrival estimation using advanced signal processing | |
| Ariyarathna et al. | Circular Array N-Beam Digital Beamformer Having Low Arithmetic Complexity: 16 Simultaneous 100 MHz Beams at 2.4 GHz | |
| Hussain et al. | Low complexity DOA estimation of multiple coherent sources using a single direct data snapshot | |
| CN119808442B (en) | Construction method and system of multifunctional self-adaptive direction backtracking Doppler stealth cloak | |
| CN112946615A (en) | Amplitude-phase error correction method for phased array system | |
| CN110988812A (en) | Method for realizing ultra-wideband signal reception digital beam forming | |
| Lee et al. | Real-time direction-finding system using time-modulated array and USRP |
| Date | Code | Title | Description |
|---|---|---|---|
| PB01 | Publication | ||
| PB01 | Publication | ||
| SE01 | Entry into force of request for substantive examination | ||
| SE01 | Entry into force of request for substantive examination | ||
| GR01 | Patent grant | ||
| GR01 | Patent grant |