Movatterモバイル変換


[0]ホーム

URL:


CN114244224A - Control method and system for solving abnormity of position sensor - Google Patents

Control method and system for solving abnormity of position sensor
Download PDF

Info

Publication number
CN114244224A
CN114244224ACN202111388933.9ACN202111388933ACN114244224ACN 114244224 ACN114244224 ACN 114244224ACN 202111388933 ACN202111388933 ACN 202111388933ACN 114244224 ACN114244224 ACN 114244224A
Authority
CN
China
Prior art keywords
motor
position sensor
control
resistor
current
Prior art date
Legal status (The legal status is an assumption and is not a legal conclusion. Google has not performed a legal analysis and makes no representation as to the accuracy of the status listed.)
Granted
Application number
CN202111388933.9A
Other languages
Chinese (zh)
Other versions
CN114244224B (en
Inventor
武志强
陈学帮
周渊
吴文淦
朱巨华
Current Assignee (The listed assignees may be inaccurate. Google has not performed a legal analysis and makes no representation or warranty as to the accuracy of the list.)
Hangzhou Cober Technology Co ltd
Original Assignee
Hangzhou Cober Technology Co ltd
Priority date (The priority date is an assumption and is not a legal conclusion. Google has not performed a legal analysis and makes no representation as to the accuracy of the date listed.)
Filing date
Publication date
Application filed by Hangzhou Cober Technology Co ltdfiledCriticalHangzhou Cober Technology Co ltd
Priority to CN202111388933.9ApriorityCriticalpatent/CN114244224B/en
Publication of CN114244224ApublicationCriticalpatent/CN114244224A/en
Application grantedgrantedCritical
Publication of CN114244224BpublicationCriticalpatent/CN114244224B/en
Activelegal-statusCriticalCurrent
Anticipated expirationlegal-statusCritical

Links

Images

Classifications

Landscapes

Abstract

The invention relates to a control method and a control system for solving the problem of position sensor abnormity, which comprises the following steps: monitoring whether the position angle signals acquired by the position sensor are abnormal in real time, if so, executing a step S2, otherwise, executing a step S3; s2, switching to a no-position control mode, and performing motor control on a no-position angle signal obtained by calculation of the no-position control mode; s3, motor control is carried out by adopting the position angle signals collected by the position sensor, the invention introduces a position-free control mode on the basis of the existing position sensing control mode to realize a dual-mode working mode, when the position sensor is detected to be abnormal, the mode can be quickly switched into the position-free sensor mode, so that the vehicle can continue to run normally, the condition of waiting for rescue is avoided, and the vehicle control can be normally carried out when the position sensor is abnormal.

Description

Control method and system for solving abnormity of position sensor
Technical Field
The invention belongs to the technical field of vehicle control, and particularly relates to a control method and a control system for solving the problem of position sensor abnormity.
Background
The position sensor of the existing motor controller generally comprises a hall sensor, a magnetic (or photoelectric) encoder, a rotary transformer and the like, wherein the rotary transformer is mainly applied to a vehicle and has relatively high reliability and precision. However, in any position sensor, identification and decoding circuits are required, which has some disadvantages: when the sensor body is abnormal or the decoding circuit has a problem, the vehicle cannot run and only waits for rescue; in addition, when the vehicle runs at a high speed, due to the existence of the hardware structure error of the sensor and the decoding delay, the recognition of the controller to the motor position has accuracy deviation, so that the efficiency is low, and even the vehicle control is unstable.
Disclosure of Invention
The invention aims to provide a control method and a control system for solving the problem of abnormality of a position sensor, so that vehicle control can be normally carried out even when the position sensor is abnormal.
In order to solve the technical problem, the invention discloses a control method for solving the abnormity of a position sensor, which comprises the following steps:
s1, monitoring whether the position angle signals collected by the position sensor are abnormal in real time, if so, executing a step S2, otherwise, executing a step S3;
s2, switching to a no-position control mode, and performing motor control on a no-position angle signal obtained by calculation of the no-position control mode;
and S3, controlling the motor by adopting the position angle signal collected by the position sensor.
Further, the step S3 specifically includes the following steps:
and judging whether the current vehicle is in a high-speed driving mode, if so, performing motor control on a position angle signal which is obtained by calculating in a position control free mode and a compensated angle signal which is obtained after position compensation is performed on the position angle signal collected by the position sensor, otherwise, performing motor control on the position angle signal collected by the position sensor.
Further, the step S3 of determining whether the current vehicle is in the high-speed driving mode specifically includes: and judging whether the rotating speed of a motor of the current vehicle reaches a preset threshold value, if so, enabling the current vehicle to be in a high-speed running mode, and if not, enabling the current vehicle not to be in the high-speed running mode.
Further, the step S2 further includes: and sending out a position abnormity alarm signal for prompting.
Further, the position-free angle signal obtained by the calculation of the position-free control mode is specifically: .
In order to solve the technical problem, the invention also discloses a control system for solving the abnormity of the position sensor, which is applied to the control method for solving the abnormity of the position sensor and comprises a rotary transformer decoding circuit, wherein the rotary transformer decoding circuit comprises a rotary transformer digital converter, two signal amplifying circuits and two push-pull circuits;
the sine wave excitation negative signal and the sine wave excitation positive signal of the rotary digital converter are respectively and electrically connected with one input end of one path of signal amplification circuit, the output end of each path of signal amplification circuit is electrically connected with the input end of one path of push-pull circuit, and the output end of each path of push-pull circuit is electrically connected with one excitation end of the motor.
Further, the other input end of each signal amplification circuit is connected with a bias voltage circuit.
Furthermore, a sine positive end, a sine negative end, a cosine positive end and a cosine negative end of the rotary variable digital converter are respectively output to four corresponding motor rotary variable output signal ends after passing through an RC filter circuit and a load resistor.
Further, the motor rotation output signal is also electrically connected with a bias voltage circuit.
Furthermore, the rotary digital converter also comprises a power supply filter capacitor, an oscillating circuit and a peripheral connecting circuit;
the rotary digital converter is electrically connected with the main control chip through a peripheral connecting circuit, and the oscillating circuit provides reference frequency for the rotary digital converter.
Advantageous effects
A control method and a control system for solving the abnormality of a position sensor introduce a position-free control mode on the basis of the existing position sensing control mode to realize a dual-mode working mode, and can be quickly switched into the position-free mode when the abnormality of the position sensor is detected, so that a vehicle can continue to normally run, the condition of waiting for rescue is avoided, and the vehicle can be normally controlled when the abnormality of the position sensor occurs.
Drawings
FIG. 1 is a schematic diagram of a control method for resolving an anomaly of a position sensor;
FIG. 2 is a flowchart illustrating a control method for resolving an abnormality of a position sensor;
FIG. 3 is a block diagram of a control method for resolving position sensor anomalies in a control scheme without a position control mode;
FIG. 4 is a block diagram of a control system for resolving position sensor anomalies;
FIG. 5 is a schematic circuit diagram of a resolver decoding circuit in a control system for resolving position sensor anomalies;
FIG. 6 is a schematic diagram of a signal waveform of a resolver decoding circuit in a control system for resolving an abnormality of a position sensor;
FIG. 7 is a timing diagram of a serial interface of a resolver decoding circuit in a control system for resolving position sensor anomalies.
Detailed Description
The present invention is further described in detail below with reference to examples so that those skilled in the art can practice the invention with reference to the description.
It will be understood that terms such as "having," "including," and "comprising," when used herein, do not preclude the presence or addition of one or more other elements or groups thereof.
Example one
As shown in fig. 1 to 3, a control method for solving an abnormality of a position sensor includes the steps of:
s1, monitoring whether the position angle signals collected by the position sensor are abnormal in real time, if so, executing a step S2, otherwise, executing a step S3;
s2, switching to a no-position control mode, and performing motor control on a no-position angle signal obtained by calculation of the no-position control mode;
as shown in fig. 2, when the position angle signal collected by the monitoring position sensor is abnormal, a position abnormal alarm signal needs to be sent out to prompt. Meanwhile, the position-free angle signal obtained by calculating the position-free control mode also needs to be used after being subjected to software filtering.
As shown in fig. 3, the non-position angle signal obtained by the non-position control mode calculation is specifically:
s21, obtaining a command current through PI regulation according to the deviation between the command rotating speed and the actual rotating speed;
the command rotation speed is set by the MCU itself, and the command currents on the D-axis and the Q-axis correspond to IdR and IqR in fig. 2, respectively.
S22, obtaining D-axis voltage through PI regulation according to the deviation of the instruction current and the collection current of the D-axis, obtaining Q-axis voltage through PI regulation according to the deviation of the instruction current and the collection current of the Q-axis, and mathematically transforming the D-axis voltage and the Q-axis voltage into U, V, W three-phase voltage applied to the motor;
in fig. 2, the command current Idse, the pickup current IdR, and the D-axis voltage vd on the D-axis, and the command current Iqse, the pickup current IqR, and the Q-axis voltage vr on the Q-axis are shown.
S23, detecting the current of the motor through a current transformer, then mathematically converting the current into IdSS and IqSS, and mathematically converting the IdSS and the IqSS into the acquisition current of a D shaft and the acquisition current of a Q shaft of the motor according to the angle difference;
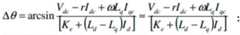
s24, the observer calculates the angle difference between the actual angle of the motor and the applied control angle according to the motor parameter, the voltage of the D axis, the collected current of the D axis and the collected current of the Q axis, and the estimated applied control angle is consistent with the actual angle of the running motor by adjusting the speed, wherein the formula of the angle difference delta theta is as follows:
Figure BDA0003368109230000041
in the formula, VdcIs the D-axis voltage, IdcAnd IdAre all D-axis currents, IqcIs the Q-axis current, r is the motor impedance, KeIs the back electromotive force of the motor, LdIs D-axis inductance, L, of the motorqIs the Q-axis inductance of the motor and ω is the angular velocity of the motor.
And S3, controlling the motor by adopting the position angle signal collected by the position sensor.
As shown in fig. 2, step S3 specifically includes the following steps:
and judging whether the current vehicle is in a high-speed driving mode, if so, performing motor control on a position angle signal which is obtained by calculating in a position control-free mode and a compensated angle signal which is obtained after position compensation is performed on the position angle signal collected by a position sensor, otherwise, performing motor control on the motor by adopting the position angle signal collected by the position sensor.
In step S3, the specific steps of determining whether the current vehicle is in the high-speed driving mode are: and judging whether the rotating speed of the motor of the current vehicle reaches a preset threshold value, if so, enabling the current vehicle to be in a high-speed running mode, and otherwise, enabling the current vehicle not to be in the high-speed running mode.
After the angle signal is obtained, the operation of the motor is controlled after angle calculation, coordinate transformation, PI regulation, SVPWM generation and dead-zone compensation are controlled.
Therefore, the non-position control mode is started when the motor runs, and the position information estimated by the non-position control mode is only used for comparison and is not used for control when the non-high-speed running mode is adopted and the position sensor and the related circuit are not abnormal. And under the high-speed mode of traveling, preset threshold value is 8000 revolutions in this embodiment, then when motor speed reaches 8000 revolutions, no position control mode will send out the application of shaking hands, updates the compensation to motor position information in real time to avoid position sensor structural error and time delay problem, improve the operating efficiency of control accuracy and motor, also improved the stationarity that reliability and vehicle travel simultaneously, let the vehicle travel more steadily comfortable.
Example two
As shown in fig. 4 to 7, the present invention further discloses a control system for solving the abnormality of the position sensor, which is applied to a control method for solving the abnormality of the position sensor in the first embodiment, the control method comprises a motor controller portion, a motor, an electric door lock, a gear switch, an electronic throttle, an instrument and a computer parameter setting port, and the present embodiment mainly limits a rotary transformer decoding circuit in the motor controller.
In this embodiment, the rotation-conversion decoding circuit includes a rotation-conversion digital converter, two signal amplifying circuits and two push-pull circuits; the sine wave excitation negative signal and the sine wave excitation positive signal of the rotary digital converter are respectively and electrically connected with one input end of one path of signal amplification circuit, the other input end of each path of signal amplification circuit is connected with a bias voltage circuit, the output end of each path of signal amplification circuit is electrically connected with the input end of one path of push-pull circuit, and the output end of each path of push-pull circuit is electrically connected with one excitation end of the motor.
The sine positive end, the sine negative end, the cosine positive end and the cosine negative end of the rotary variable digital converter are respectively output to four corresponding motor rotary variable output signal ends after passing through an RC filter circuit and a load resistor, and the motor rotary variable output signals are also electrically connected with a bias voltage circuit.
The rotary digital converter also comprises a power supply filter capacitor, an oscillating circuit and a peripheral connecting circuit;
the rotation digital converter is electrically connected with the main control chip through a peripheral connecting circuit, and the oscillating circuit provides reference frequency for the rotation digital converter.
Referring to fig. 5, the present rotary digital converter employs a decoding chip AD2S1210 of AD company, which is a 10-bit to 16-bit resolution rotary digital converter integrated with an on-chip programmable sine wave oscillator for providing sine wave excitation to the rotary converter, wherein the rotary digital converter in fig. 5 provides its port number, so that the port name can be known clearly according to the above-mentioned limited decoding chip and the port number in fig. 5.
The sine wave excitation negative signal of the rotary digital converter is transmitted to a signal amplifying circuit through a resistor R241, a resistor R242 and a capacitor C127, the resistor R127 is an amplifying circuit input resistor, the capacitor C83 is phase compensation, the resistor R131 is an amplifying proportional resistor, an operational amplifier output signal provides a driving signal for a push-pull circuit triode N19 and P9 through a resistor R221, a resistor D18, a resistor R125 and a resistor R129, the resistor R124 and the resistor R134 provide bias voltage for a triode N19 and a triode P9, the resistor R126, the resistor R211, the resistor R128, the resistor R233 and the triodes N19 and P9 form a push-pull circuit, and the push-pull output signal is transmitted to the excitation negative of the motor through a pi-type filter circuit formed by the capacitor C45, the resistor R222 and the capacitor C91 (R2).
The sine wave excitation positive signal of the rotary digital converter is transmitted to a signal amplifying circuit through a resistor R243, a resistor R244 and a capacitor C132, the resistor R123 is an amplifying circuit input resistor, the capacitor C139 is phase compensation, the resistor R130 is an amplifying proportional resistor, an operational amplifier output signal provides a driving signal for a push-pull circuit triode N21 and a push-pull circuit triode P10 through resistors R238, D19, R139 and R144, the resistor R138 and the resistor R157 provide bias voltage for the triodes N21 and P10, the resistor R152, the resistor R237, the resistor R154, the resistor R240, the triodes N21 and P10 form a push-pull circuit, and the push-pull output signal is transmitted to the excitation positive of the motor (R1) through a pi-type filter circuit formed by the capacitor C136, the resistor R239 and the capacitor C126.
The resistor R135 and the resistor R136 are divided by apower supply 12V to provide reference voltage for the operational amplifier, and the capacitor C135 is a reference voltage filter capacitor;
the +5V power supply provides bias voltage for motor rotary output signals COS + (S1), COS- (S3), SIN + (S2) and SIN- (S4) through a resistor R137, a resistor R192, a resistor R234 and a resistor R235 by voltage division through a resistor R202 and a resistor R216. The motor rotary transformer output signals COS + (S1) and COS- (S3) are connected to a load resistor R121 after passing through a resistor R119 and a resistor R120, and the two signals are input to a decoding chip AD2S1210 after being filtered by an RC formed by a resistor R133, a capacitor C81, a resistor R201 and a capacitor C84; motor rotary-transformer output signals SIN + (S2) and SIN- (S4) pass through a resistor R115 and a resistor R116 and then are connected to a load resistor R122, and the two signals are input into a decoding chip AD2S1210 after being filtered by an RC (resistor-capacitor) consisting of a resistor R232, a capacitor C90, a resistor R236 and a capacitor C93;
the decoding chip AD2S1210 is connected to the main control chip through a resistor R140, a resistor R141, a resistor R142, a resistor R143, a resistor R145, a resistor R146, a resistor R147, a resistor R148, a resistor R149, a resistor R156, a resistor R158, a resistor R159, a resistor R160, and a resistor R163 to perform related data transmission, wherein a capacitor C89, a capacitor C92, a capacitor C94, a capacitor C95, a capacitor C96, a capacitor C97, a capacitor C140, and a capacitor C141 in the circuit are power filter capacitors of the decoding chip AD2S1210, and the resistor R150, the resistor R151, the resistor R153, the resistor R155, the crystal oscillator X2, the capacitor C137, and the capacitor C138 form an oscillation circuit to provide a reference frequency for the decoding chip AD2S 1210.
On the basis, for convenience of understanding, the following model definitions are made for the used devices in the present embodiment, but the device is not limited thereto as long as the model of the device conforms to the functional definition thereof, and specifically the following are made:
the resistance of the resistor R241 is 10, the resistance of the resistor R242 is 100K, the resistance of the capacitor C127 is 105, the resistance of the resistor R127 is 10K, the resistance of the capacitor C83 is 120P, the resistance of the resistor R131 is 15K, the resistance of the resistor R221 is 100, the resistance of D18 selects BAVS9A7, the resistances of the resistor R125 and the resistor R129 is 3.3, the resistance of the triode N19 is ZXTN2010ZIA, the resistance of the triode P9 is ZXTP2010ZIA, the resistances of the resistor R124 and the resistor R134 are 2.2K, the resistances of the resistor R126 and the resistor R128 are 10, the resistances of the resistor R211 and the resistor R233 are 20, the resistance of the capacitor C45 is 103, the resistance of the resistor R222 is 5.1, and the resistance of the capacitor C91 is 102.
The resistance of the resistor R243 is 10, the resistance of the resistor R244 is 100K, the resistance of the capacitor C132 is 105, the resistance of the resistor R123 is 10K, the resistance of the capacitor C139 is 120P, the resistance of the resistor R130 is 15K, the resistance of the resistor R238 is 100, D19 selects BAVS9a7, the resistances of the resistor R139 and the resistor R144 are 3.3, the transistor N21 is ZXTN2010ZIA, the transistor P10ZXTP2010ZIA, the resistances of the resistor R138 and the resistor R157 are 2.2K, the resistances of the resistor R152 and the resistor R154 are 10, the resistances of the resistor R237 and the resistor R240 are 20, the resistance of the capacitor C136 is 103, the resistance of the resistor R239 is 5.1, and the resistance of the capacitor C126 is 102.
The resistance of the resistor R135 is 22k, the resistance of the resistor R136 is 10k, the resistance of the capacitor C135 is 104, and the models of the amplifiers U11A and U11B are AD5662 ARZ.
The resistances of the resistors R202 and R216 are 10k, the resistances of the resistors R137, R192, R234, and R235 are 100k, the resistances of the resistors R121 and R122 are 22k, the resistances of the resistors R119, R120, R133, R201, R115, R116, R232, and R236 are 1k, and the resistances of the capacitor C81, the capacitor C84, the capacitor C90, and the capacitor C93 are 471
The resistance values of the resistor R140, the resistor R141, the resistor R142, the resistor R143, the resistor R145, the resistor R146, the resistor R147, the resistor R148, the resistor R149, the resistor R156, the resistor R158, the resistor R159, the resistor R160 and the resistor R163 are all 100, the resistance values of the capacitor C89, the capacitor C94, the capacitor C95, the capacitor C140 and 106, the resistance values of the capacitor C92, the capacitor C96, the capacitor C97 and the capacitor C141 are 104, the resistance values of the resistor R150, the resistor R151, the resistor R153 and the resistor R155 are 1k, the reference frequency of the crystal oscillator X2 is 8.192MHZ, and the resistance values of the capacitor C137 and the capacitor C138 are 22P.
While embodiments of the invention have been described above, it is not limited to the applications set forth in the description and the embodiments, which are fully applicable to various fields of endeavor for which the invention may be embodied with additional modifications as would be readily apparent to those skilled in the art, and the invention is therefore not limited to the details given herein and to the embodiments shown and described without departing from the generic concept as defined by the claims and their equivalents.

Claims (10)

1. A control method for solving abnormality of a position sensor, comprising the steps of:
s1, monitoring whether the position angle signals collected by the position sensor are abnormal in real time, if so, executing a step S2, otherwise, executing a step S3;
s2, switching to a no-position control mode, and performing motor control on a no-position angle signal obtained by calculation of the no-position control mode;
and S3, controlling the motor by adopting the position angle signal collected by the position sensor.
2. The control method for solving the abnormality of the position sensor according to claim 1, wherein the step S3 specifically includes the steps of:
and judging whether the current vehicle is in a high-speed driving mode, if so, performing motor control on a position angle signal which is obtained by calculating in a position control free mode and a compensated angle signal which is obtained after position compensation is performed on the position angle signal collected by the position sensor, otherwise, performing motor control on the position angle signal collected by the position sensor.
3. A control method for solving the problem of the abnormality of the position sensor according to claim 2, wherein the step S3 of determining whether the vehicle is currently in the high speed running mode includes: and judging whether the rotating speed of a motor of the current vehicle reaches a preset threshold value, if so, enabling the current vehicle to be in a high-speed running mode, and if not, enabling the current vehicle not to be in the high-speed running mode.
4. A control method for resolving abnormality of a position sensor according to claim 3, wherein said step S2 further includes: and sending out a position abnormity alarm signal for prompting.
5. A control method for solving the problem of abnormality of the position sensor according to claim 3, wherein the non-position angle signal calculated in the non-position control mode is specifically:
obtaining a command current through PI regulation according to the deviation between the command rotating speed and the actual rotating speed;
obtaining D-axis voltage through PI regulation according to the deviation of the instruction current and the collected current of the D axis, obtaining Q-axis voltage through PI regulation according to the deviation of the instruction current and the collected current of the Q axis, and mathematically transforming the D-axis voltage and the Q-axis voltage into U, V, W three-phase voltage applied to the motor;
detecting the current of the motor through a current transformer, then mathematically converting the current into IdSS and IqSS, and mathematically converting the IdSS and the IqSS into the acquisition current of a D shaft and the acquisition current of a Q shaft of the motor according to the angle difference;
calculating the angle difference between the actual angle of the motor and the applied control angle according to the motor parameters, the voltage of the D shaft, the acquired current of the D shaft and the acquired current of the Q shaft, and adjusting the speed to achieve the consistency between the estimated applied control angle and the actual angle of the running motor, wherein the formula of the angle difference delta theta is as follows:
Figure FDA0003368109220000021
in the formula, VdcIs the D-axis voltage, IdcAnd IdAre all D-axis currents, IqcIs the Q-axis current, r is the motor impedance, KeIs the back electromotive force of the motor, LdIs D-axis inductance, L, of the motorqIs the Q-axis inductance of the motor and ω is the angular velocity of the motor.
6. A control system for solving an abnormality of a position sensor, applied to the control method for solving an abnormality of a position sensor according to any one of claims 1 to 5, characterized in that: the rotary transformer decoding circuit comprises a rotary transformer digital converter, two signal amplifying circuits and two push-pull circuits;
the sine wave excitation negative signal and the sine wave excitation positive signal of the rotary digital converter are respectively and electrically connected with one input end of one path of signal amplification circuit, the output end of each path of signal amplification circuit is electrically connected with the input end of one path of push-pull circuit, and the output end of each path of push-pull circuit is electrically connected with one excitation end of the motor.
7. A control system for resolving an abnormality of a position sensor as set forth in claim 6, wherein: and the other input end of each path of signal amplification circuit is connected with a bias voltage circuit.
8. A control system for resolving an abnormality of a position sensor as set forth in claim 6, wherein: the sine positive end, the sine negative end, the cosine positive end and the cosine negative end of the rotary variable digital converter are respectively output to four corresponding motor rotary variable output signal ends after passing through an RC filter circuit and a load resistor.
9. A control system for resolving an abnormality of a position sensor as set forth in claim 8, wherein: the motor rotary-change output signal is also electrically connected with a bias voltage circuit.
10. A control system for resolving an abnormality of a position sensor as set forth in claim 6, wherein: the rotary digital converter also comprises a power supply filter capacitor, an oscillating circuit and a peripheral connecting circuit;
the rotary digital converter is electrically connected with the main control chip through a peripheral connecting circuit, and the oscillating circuit provides reference frequency for the rotary digital converter.
CN202111388933.9A2021-11-222021-11-22Control method and system for solving position sensor abnormalityActiveCN114244224B (en)

Priority Applications (1)

Application NumberPriority DateFiling DateTitle
CN202111388933.9ACN114244224B (en)2021-11-222021-11-22Control method and system for solving position sensor abnormality

Applications Claiming Priority (1)

Application NumberPriority DateFiling DateTitle
CN202111388933.9ACN114244224B (en)2021-11-222021-11-22Control method and system for solving position sensor abnormality

Publications (2)

Publication NumberPublication Date
CN114244224Atrue CN114244224A (en)2022-03-25
CN114244224B CN114244224B (en)2023-09-22

Family

ID=80750365

Family Applications (1)

Application NumberTitlePriority DateFiling Date
CN202111388933.9AActiveCN114244224B (en)2021-11-222021-11-22Control method and system for solving position sensor abnormality

Country Status (1)

CountryLink
CN (1)CN114244224B (en)

Citations (9)

* Cited by examiner, † Cited by third party
Publication numberPriority datePublication dateAssigneeTitle
US4270077A (en)*1980-03-101981-05-26Sperry CorporationDemodulatorless synchro position sensor apparatus utilizing square wave excitation
US5661380A (en)*1994-11-071997-08-26Hitachi, Ltd.Method and apparatus for operating an electric vehicle drive system during periods of sensor malfunction
US20130033207A1 (en)*2011-08-012013-02-07Denso CorporationMulti-phase rotary machine control apparatus and electric power steering system using the same
CN204271968U (en)*2014-11-282015-04-15湖北三江航天红峰控制有限公司 A Digital Decoding Control Circuit of Resolver Based on DSP
WO2015141254A1 (en)*2014-03-192015-09-24日立オートモティブシステムズステアリング株式会社Power steering device and power steering device control device
CN206363185U (en)*2016-12-122017-07-28北京中瑞蓝科电动汽车技术有限公司Signals of rotating transformer process circuit
CN107017822A (en)*2017-06-012017-08-04北京工业大学A kind of fault tolerant control method of brushless DC motor rotor position sensor failure
JP2020114057A (en)*2019-01-092020-07-27日立オートモティブシステムズ株式会社Abnormality diagnosis device for motor rotation angle sensor, and motor control apparatus
CN113364382A (en)*2021-06-222021-09-07东风电子科技股份有限公司Method, device and processor for optimizing rotary position sensor in new energy automobile motor drive and computer readable storage medium thereof

Patent Citations (9)

* Cited by examiner, † Cited by third party
Publication numberPriority datePublication dateAssigneeTitle
US4270077A (en)*1980-03-101981-05-26Sperry CorporationDemodulatorless synchro position sensor apparatus utilizing square wave excitation
US5661380A (en)*1994-11-071997-08-26Hitachi, Ltd.Method and apparatus for operating an electric vehicle drive system during periods of sensor malfunction
US20130033207A1 (en)*2011-08-012013-02-07Denso CorporationMulti-phase rotary machine control apparatus and electric power steering system using the same
WO2015141254A1 (en)*2014-03-192015-09-24日立オートモティブシステムズステアリング株式会社Power steering device and power steering device control device
CN204271968U (en)*2014-11-282015-04-15湖北三江航天红峰控制有限公司 A Digital Decoding Control Circuit of Resolver Based on DSP
CN206363185U (en)*2016-12-122017-07-28北京中瑞蓝科电动汽车技术有限公司Signals of rotating transformer process circuit
CN107017822A (en)*2017-06-012017-08-04北京工业大学A kind of fault tolerant control method of brushless DC motor rotor position sensor failure
JP2020114057A (en)*2019-01-092020-07-27日立オートモティブシステムズ株式会社Abnormality diagnosis device for motor rotation angle sensor, and motor control apparatus
CN113364382A (en)*2021-06-222021-09-07东风电子科技股份有限公司Method, device and processor for optimizing rotary position sensor in new energy automobile motor drive and computer readable storage medium thereof

Also Published As

Publication numberPublication date
CN114244224B (en)2023-09-22

Similar Documents

PublicationPublication DateTitle
US9463713B2 (en)System and method for error correction in angular position sensors
CN109167545B (en)Permanent magnet synchronous generator flux linkage online identification method and system
US11515813B2 (en)Torque ripple compensation in motor control systems
US20080201041A1 (en)Control device for electric power steering apparatus
US11424706B2 (en)Battery current limiting of permanent magnet synchronous motor drives using operation condition monitoring
KR100329247B1 (en) Variable speed control device of induction motor
CN112838798B (en) Power Management of Permanent Magnet Synchronous Motor Drives Using Machine Current Limitation
US10895866B1 (en)Position error correction for electric motors
CN107210690A (en)The angular error means for correcting of position detector and angular error bearing calibration
CN102205507A (en)Controller for spindle with encoder
CN113794404A (en)Phase deviation compensation control method for double-shaft precision centrifugal machine
CN114244224B (en)Control method and system for solving position sensor abnormality
CN113644852A (en)Robust three-vector model prediction flux linkage control method for permanent magnet synchronous motor
CN111211720B (en)Method for setting PI (proportional integral) parameter of current loop of permanent magnet synchronous motor controller
Adigintla et al.Improved constant phase fractional order approximation method for induction motor FOPI speed controller
CN119491798A (en) A third-order half-tangent wind turbine generator position and speed estimation method and system
CN119298751A (en) Permanent magnet synchronous motor torque compensation method, device, equipment and storage medium
CN118137916A (en)Rotor angle estimation dynamic compensation method
CN103411482A (en)Double closed-loop electric lock loop control method based on virtual speed inner ring
CN116938070A (en)Calibration method and device for zero initial angle, electronic equipment and storage medium
CN112152540B (en)Single-winding feedback full-angle position resolving method for rotary transformer
Wang et al.A novel dynamic state observation method based on modified adaptive BP neural network for PMSM drive
JP6876311B1 (en) Modulated wave resolver device and rotation angle measurement Interpolation correction method
CN117526789A (en)Resolver initial position calibration method based on high-frequency voltage injection
CN115102445A (en)Motor driving method and device, motor system and storage medium

Legal Events

DateCodeTitleDescription
PB01Publication
PB01Publication
SE01Entry into force of request for substantive examination
SE01Entry into force of request for substantive examination
GR01Patent grant
GR01Patent grant

[8]ページ先頭

©2009-2025 Movatter.jp