Movatterモバイル変換


[0]ホーム

URL:


CN114236547A - A high-voltage line detection method for millimeter-wave radar images - Google Patents

A high-voltage line detection method for millimeter-wave radar images
Download PDF

Info

Publication number
CN114236547A
CN114236547ACN202111358276.3ACN202111358276ACN114236547ACN 114236547 ACN114236547 ACN 114236547ACN 202111358276 ACN202111358276 ACN 202111358276ACN 114236547 ACN114236547 ACN 114236547A
Authority
CN
China
Prior art keywords
voltage
voltage line
tower
point
candidate
Prior art date
Legal status (The legal status is an assumption and is not a legal conclusion. Google has not performed a legal analysis and makes no representation as to the accuracy of the status listed.)
Pending
Application number
CN202111358276.3A
Other languages
Chinese (zh)
Inventor
严忠平
熊伟
罗旌胜
Current Assignee (The listed assignees may be inaccurate. Google has not performed a legal analysis and makes no representation or warranty as to the accuracy of the list.)
Leihua Electronic Technology Research Institute Aviation Industry Corp of China
Original Assignee
Leihua Electronic Technology Research Institute Aviation Industry Corp of China
Priority date (The priority date is an assumption and is not a legal conclusion. Google has not performed a legal analysis and makes no representation as to the accuracy of the date listed.)
Filing date
Publication date
Application filed by Leihua Electronic Technology Research Institute Aviation Industry Corp of ChinafiledCriticalLeihua Electronic Technology Research Institute Aviation Industry Corp of China
Priority to CN202111358276.3ApriorityCriticalpatent/CN114236547A/en
Publication of CN114236547ApublicationCriticalpatent/CN114236547A/en
Pendinglegal-statusCriticalCurrent

Links

Images

Classifications

Landscapes

Abstract

The invention provides a high-voltage line detection method of a millimeter wave radar image, which comprises the following steps: s1: obtaining a target measuring point; s2: iterative agglomeration; s3: eliminating clutter area data; s4: dividing a high-voltage tower point and a high-voltage line point; s5: converting coordinates of the condensation points; s6: extracting a straight line as a candidate high-voltage line based on Hough transformation; s7: setting a characteristic segment of a candidate high-voltage wire; s8: extracting a plurality of suspected high-voltage wires according to the Bragg effect characteristics; s9: associating a plurality of suspected high-voltage wires to identify the high-voltage wires; s10: and combining the high-voltage wires at the overlapped part to obtain a final high-voltage wire detection result. The method aims at the problem of high-voltage wire identification of the high-resolution millimeter wave radar image, comprehensively utilizes the special Bragg effect characteristics of the high-voltage wires, reduces the degree of dependence on high-voltage tower detection, has high-voltage wire extraction accuracy, can detect and identify a plurality of high-voltage wires distributed in the same group of high-voltage towers, and can be applied to the field of millimeter wave radar collision avoidance.

Description

High-voltage line detection method for millimeter wave radar image
Technical Field
The invention belongs to the technical field of millimeter wave radars, and particularly relates to a high-voltage line detection method for a millimeter wave radar image.
Background
The helicopter/large and medium-sized unmanned aerial vehicle runs in mountainous areas, forests, cities and the like for a long time, faces low-altitude obstacles such as high-voltage lines and the like and complex terrains in the process of flying, and seriously threatens the flight safety of the helicopter/large and medium-sized unmanned aerial vehicle. According to statistics, accidents such as collision of the helicopter with the ground and low-altitude obstacles caused by factors such as severe weather and low visibility account for more than 60% of all flight accidents of the helicopter. In order to meet the safe flight requirement of the helicopter/large and medium-sized unmanned aerial vehicle for executing tasks in the environments of complex meteorology and terrain, the millimeter wave radar becomes an important sensor for the helicopter/large and medium-sized unmanned aerial vehicle to detect the complex terrain and effectively avoid low-altitude obstacles such as high-voltage lines. With the increasing distance resolution of the millimeter wave radar, even centimeter level, the high-voltage line detection method of the high-resolution millimeter wave radar image is broken through, and the low-altitude flight and safety obstacle avoidance capability of the helicopter/large and medium unmanned aerial vehicle is promoted.
However, many detection methods of millimeter wave radars in the prior art have low resolution, and only one high-voltage line can be detected for a plurality of layers of high-voltage lines distributed in a high-voltage tower, and when the high-voltage tower/line point detection is missing or the target detection has more false alarms, the high-voltage line cannot be extracted or the direction of the high-voltage line is judged incorrectly.
Therefore, it is necessary to provide a method for solving the application problem of the millimeter wave radar in the prior art in the detection of the high voltage line.
Disclosure of Invention
Aiming at the problems, the invention provides a high-voltage line detection method of a high-resolution millimeter wave radar image so as to improve the low-altitude flight and safe obstacle avoidance capability of a helicopter/large and medium unmanned aerial vehicle.
The invention aims to provide a high-voltage line detection method of a millimeter wave radar image, which comprises the following steps:
s1: performing Constant False Alarm Rate (CFAR) detection on radar echoes in one antenna scanning period to obtain a target measuring point;
s2: performing iterative agglomeration on the target point;
s3: eliminating clutter area data;
s4: dividing a high-voltage tower point and a high-voltage line point;
s5: converting the coordinates of the condensation points into coordinates in a three-dimensional rectangular coordinate system with the radar as an origin;
s6: extracting a straight line as a candidate high-voltage line based on Hough transform (Hough transform); a
S7: setting a characteristic segment of a candidate high-voltage wire;
s8: extracting a plurality of suspected high-voltage wires according to Bragg effect (Bragg effect) characteristics;
s9: associating a plurality of suspected high-voltage wires to identify the high-voltage wires;
s10: and combining the high-voltage wires at the overlapped part to obtain a final high-voltage wire detection result.
The high-voltage line detection method of the millimeter wave radar image provided by the invention is further characterized in that iterative agglomeration is carried out according to the threshold values of the distance and the orientation in the step S2 so as to remove the false alarm in the target measuring point obtained in the step S1.
The method for detecting the high-voltage line of the millimeter wave radar image further has the characteristic that clutter region data are removed according to the radial distance and the azimuth threshold of the clutter region in the step S3.
The method for detecting the high-voltage line of the millimeter wave radar image, provided by the invention, is further characterized in that the step S4 comprises the following steps:
s4.1: setting a radial distance threshold range and an azimuth threshold range of a high-voltage tower point, wherein the radial distance threshold of the high-voltage tower point is smaller than a radial distance threshold of a clutter area, and the azimuth threshold of the high-voltage tower point is smaller than the azimuth threshold of the clutter area;
s4.2: and selecting candidate high-voltage tower points from the residual data after the clutter area data are removed in the S3, wherein the distance length and the direction bit length of the candidate high-voltage tower points are both in the range set by the S4.1, and the rest points are candidate high-voltage line points.
The method for detecting the high-voltage line of the millimeter wave radar image further has the characteristic that in S7, the incidence angle of the current radar wave is recorded as alpha, and the incidence angle range is selected as alpha in the candidate high-voltage linedown≤α≤αupThe straight line segment of the candidate high-voltage line is taken as a characteristic segment of the candidate high-voltage line.
The method for detecting the high-voltage line of the millimeter wave radar image, provided by the invention, is further characterized in that the step S8 comprises the following steps:
s8.1: extracting an angle-power relation curve of a candidate high-voltage line characteristic section from radar echoes, and searching a maximum power peak value angle and marking as beta based on an incidence angle alpha of a current radar wave;
s8.2: over a range of incident angles [ alpha ]downBeta) searching the maximum peak point in turn, and recording the incidence angle as alphad1With a power of Pd1,Δα1=β-αd1
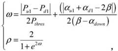
S8.3: setting the incidence angle range of the symmetrical peak point search as delta and a power judgment threshold PthresFrom the range of incident angles [ beta + delta alpha ]1-δ/2,β+Δα1+δ/2]The maximum peak point is searched, wherein,
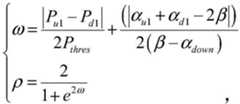
β+Δα1+δ/2≤αupif the maximum peak point is searched, the incidence angle is recorded as alphau1And its power Pu1Satisfy constraint | Pu1-Pd1|≤PthresCalculating a recognition confidence coefficient rho:
Figure BDA0003358092120000041
s8.4: if rho is greater than 0.8, the candidate high-voltage line is considered to have the Bragg effect, and the candidate high-voltage line is identified as a suspected high-voltage line; otherwise, the next step is carried out:
s8.5: in the range [ alpha ]downBeta) searching the peak point with the second highest power, and recording the corresponding incidence angle as alphad2With a power of Pd2,Δα2=β-αd2At its corresponding incident angle range [ beta + delta alpha ]2-δ/2,β+Δα2+δ/2]Searching for the second largest peak point, where β + Δ α2+δ/2≤αupAnd judging whether the peak point power meets the constraint condition | Pu2-Pd2|≤PthresIf yes, calculating confidence coefficient, otherwise, analogizing, and calculating the confidence coefficient at [ alpha ]downBeta) at most before co-completion of NpeakSearching for the maximum peak point.
The method for detecting the high-voltage line of the millimeter wave radar image, provided by the invention, is further characterized in that the step S9 comprises the following steps:
s9.1: judging whether the slopes of the suspected high-voltage lines are the same or not, performing S9.2 on the same suspected high-voltage line data, and performing S9.3 on different suspected high-voltage line data:
s9.2: a calculation of the confidence of the association recognition is performed,
Figure BDA0003358092120000042
wherein n is the number of suspected high-voltage lines with the same slope, and S9.4 is carried out after calculation;
s9.3: the associated identification confidence coefficient corresponding to the suspected high-voltage line with the slope different from the data of the rest suspected high-voltage lines is zetai=ρiThen S9.4 is carried out;
s9.4: setting a threshold, respectively judging the associated identification confidence degrees of the suspected high-voltage wires acquired in S9.2 and S9.3, if the associated identification confidence degrees are not greater than the threshold, judging the suspected high-voltage wires as false high-voltage wires, otherwise, judging the suspected high-voltage wires as real high-voltage wires.
The method for detecting a high-voltage line of a millimeter wave radar image provided by the invention is further characterized in that the step S10 comprises the following steps:
s10.1: setting the radial distance threshold and the azimuth threshold of the high-voltage wire combination as R respectivelytower_thresAnd thetatower_thres
S10.2: selecting an end point of a certain high-voltage line, and calculating the absolute values of the radial distance difference and the azimuth difference between the end point and a line point and a tower point on the other high-voltage line to be delta RtowerAnd Δ θtowerWhen Δ R istower<Rtower_thresAnd Δ θtowertower_thresIf so, judging that the end point falls on the other high-voltage line, judging whether the other end point on the high-voltage line has a coincidence point on the other high-voltage line, and if so, judging that the high-voltage line is coincident with the other high-voltage line;
s10.3: if the superposed high-voltage wires exist, merging is carried out, the strip containing the largest number of the tower wire points is reserved, and if the superposed high-voltage wires do not exist, data are directly output.
Compared with the prior art, the invention has the beneficial effects that:
the high-voltage wire detection method of the millimeter wave radar image provided by the invention aims at the high-voltage wire identification problem of the high-resolution millimeter wave radar image, comprehensively utilizes the special Bragg effect characteristics of the high-voltage wire, reduces the degree of dependence on the high-voltage tower detection, has high-voltage wire extraction accuracy, can detect and identify a plurality of high-voltage wires in the distribution of the same group of high-voltage towers, and can be applied to the field of millimeter wave radar collision avoidance.
Drawings
In order to more clearly illustrate the technical solution of the present invention, the drawings needed to be used in the embodiments will be briefly described below, and it is obvious that the drawings in the following description are only some embodiments of the present invention, and it is obvious for those skilled in the art that other drawings can be obtained according to the drawings without creative efforts.
FIG. 1: the flow chart of the high-voltage wire detection method provided by the embodiment of the invention is shown;
FIG. 2: the embodiment of the invention provides a radar echo diagram of the high-voltage line detection method;
FIG. 3: the high-voltage tower line detected by the embodiment of the invention;
FIG. 4: the CFAR target detection point distribution diagram in the detection method provided by the embodiment of the invention;
FIG. 5: the CFAR detection points in the detection method provided by the embodiment of the invention are subjected to distribution diagram after condensation treatment and coordinate conversion;
FIG. 6: in the detection method provided by the embodiment of the invention, the schematic diagram of the candidate high-voltage line extracted from the Hough transformation diagram 5(b) is provided;
FIG. 7: extracting a Bragg scattering point distribution map of a candidate high-voltage line in the detection method provided by the embodiment of the invention;
FIG. 8: the result of the detection method provided by the embodiment of the invention displays a picture.
Detailed Description
In order to make the technical means, the creation features, the achievement purposes and the effects of the invention easy to understand, the following embodiments are specifically described in the detection method provided by the invention with reference to the drawings.
In the description of the embodiments of the present invention, it should be understood that the terms "central", "longitudinal", "lateral", "upper", "lower", "front", "rear", "left", "right", "vertical", "horizontal", "top", "bottom", "inner", "outer", etc. indicate orientations or positional relationships based on those shown in the drawings, and are only used for convenience in describing and simplifying the description of the present invention, but do not indicate or imply that the referred device or element must have a specific orientation, be constructed and operated in a specific orientation, and thus, should not be construed as limiting the present invention.
Furthermore, the terms "first," "second," "third," and the like are used for descriptive purposes only and are not to be construed as indicating or implying relative importance or implicit to a number of indicated technical features. Thus, a feature defined as "first," "second," etc. may explicitly or implicitly include one or more of that feature. In the description of the invention, the meaning of "a plurality" is two or more unless otherwise specified.
The terms "mounted," "connected," and "coupled" are to be construed broadly and may, for example, be fixedly coupled, detachably coupled, or integrally coupled; can be mechanically or electrically connected; they may be connected directly or indirectly through intervening media, or they may be interconnected between two elements. The specific meaning of the above terms in the creation of the present invention can be understood by those of ordinary skill in the art through specific situations.
As shown in fig. 1, a method for detecting a high-voltage line of a millimeter wave radar image includes the following steps:
s1: performing Constant False Alarm Rate (CFAR) detection on radar echoes in one antenna scanning period to obtain a target measuring point;
s2: iterative agglomeration of target points:
setting neighborhood radial distance threshold RthresAnd an orientation threshold thetathresA radial distance threshold RthresAnd an orientation threshold thetathresThe target detection points in the neighborhood are condensed into a target point, and the radial distance and the azimuth value of the target point are condensedFocusing the mean value of the radial distance and the azimuth of the target point, and similarly, performing iterative condensation;
s3: eliminating clutter area data:
setting radial distance threshold of clutter area
Figure BDA0003358092120000081
And azimuth threshold
Figure BDA0003358092120000082
The elimination distance in the condensation point is longer than
Figure BDA0003358092120000083
Or an azimuthal length greater than
Figure BDA0003358092120000084
A clutter zone of;
s4: dividing a high-voltage tower point and a high-voltage line point;
s5: converting the radial distance, azimuth angle and pitch angle of the condensation point into a three-dimensional rectangular coordinate system with radar as the origin, wherein the height direction is the Z axis, and projecting the Z axis into an X-Y rectangular coordinate system
S6: extracting straight lines as candidate high-voltage lines based on Hough transformation (Hough transformation) in the condensation point X-Y rectangular coordinate system distribution diagram obtained at S5;
s7: recording the incidence angle of the current radar wave as alpha, and selecting the incidence angle range as alpha in the candidate high-voltage linedown≤α≤αupThe straight line segment of the candidate high-voltage line is taken as a characteristic segment of the candidate high-voltage line;
s8: extracting a plurality of suspected high-voltage wires according to Bragg effect (Bragg effect) characteristics;
s9: associating a plurality of suspected high-voltage wires to identify the high-voltage wires;
s10: and combining the high-voltage wires at the overlapped part to obtain a final high-voltage wire detection result.
In some embodiments, iterative clustering is performed according to the distance and orientation thresholds in S2 to remove false alarms in the target station obtained in S1.
In some embodiments, clutter region data is removed based on the clutter region radial distance and the bearing threshold in S3.
In some embodiments, the S4 includes the following steps:
s4.1: setting a radial distance threshold range and an azimuth threshold range of a high-voltage tower point, wherein the radial distance threshold of the high-voltage tower point is smaller than a radial distance threshold of a clutter area, and the azimuth threshold of the high-voltage tower point is smaller than the azimuth threshold of the clutter area;
s4.2: and selecting candidate high-voltage tower points from the residual data after the clutter area data are removed in the S3, wherein the distance length and the direction bit length of the candidate high-voltage tower points are both in the range set by the S4.1, and the rest points are candidate high-voltage line points.
In some embodiments, in S7, the incident angle of the current radar wave is recorded as α, and the incident angle range is selected as α in the candidate high-voltage linedown≤α≤αupThe straight line segment of the candidate high-voltage line is taken as a characteristic segment of the candidate high-voltage line.
In some embodiments, the S8 includes the following steps:
s8.1: extracting an angle-power relation curve of a candidate high-voltage line characteristic section from radar echoes, and searching a maximum power peak value angle and marking as beta based on an incidence angle alpha of a current radar wave;
s8.2: over a range of incident angles [ alpha ]downBeta) searching the maximum peak point in turn, and recording the incidence angle as alphad1With a power of Pd1,Δα1=β-αd1
S8.3: setting the incidence angle range of the symmetrical peak point search as delta and a power judgment threshold PthresFrom the range of incident angles [ beta + delta alpha ]1-δ/2,β+Δα1+δ/2]The maximum peak point is searched, wherein,
β+Δα1+δ/2≤αupif the maximum peak point is searched, the incidence angle is recorded as alphau1And its power Pu1Satisfy constraint | Pu1-Pd1|≤PthresCalculating a recognition confidence coefficient rho:
Figure BDA0003358092120000091
s8.4: if rho is greater than 0.8, the candidate high-voltage line is considered to have the Bragg effect, and the candidate high-voltage line is identified as a suspected high-voltage line; otherwise, the next step is carried out:
s8.5: in the range [ alpha ]downBeta) searching the peak point with the second highest power, and recording the corresponding incidence angle as alphad2With a power of Pd2,Δα2=β-αd2At its corresponding incident angle range [ beta + delta alpha ]2-δ/2,β+Δα2+δ/2]Searching for the second largest peak point, where β + Δ α2+δ/2≤αupAnd judging whether the peak point power meets the constraint condition | Pu2-Pd2|≤PthresIf yes, calculating confidence coefficient, otherwise, analogizing, and calculating the confidence coefficient at [ alpha ]downBeta) at most before co-completion of NpeakSearching for the maximum peak point.
In some embodiments, the S9 includes the following steps:
s9.1: judging whether the slopes of the suspected high-voltage lines are the same or not, performing S9.2 on the same suspected high-voltage line data, and performing S9.3 on different suspected high-voltage line data:
s9.2: a calculation of the confidence of the association recognition is performed,
Figure BDA0003358092120000101
wherein n is the number of suspected high-voltage lines with the same slope, and S9.4 is carried out after calculation;
s9.3: the associated identification confidence coefficient corresponding to the suspected high-voltage line with the slope different from the data of the rest suspected high-voltage lines is zetai=ρiThen S9.4 is carried out;
s9.4: setting a threshold, respectively judging the associated identification confidence degrees of the suspected high-voltage wires acquired in S9.2 and S9.3, if the associated identification confidence degrees are not greater than the threshold, judging the suspected high-voltage wires as false high-voltage wires, otherwise, judging the suspected high-voltage wires as real high-voltage wires.
In some embodiments, the S10 includes:
s10.1: setting the radial distance threshold and the azimuth threshold of the high-voltage wire combination as R respectivelytower_thresAnd thetatower_thres
S10.2: selecting an end point of a certain high-voltage line, and calculating the absolute values of the radial distance difference and the azimuth difference between the end point and a line point and a tower point on the other high-voltage line to be delta RtowerAnd Δ θtowerWhen Δ R istower<Rtower_thresAnd Δ θtowertower_thresIf so, judging that the end point falls on the other high-voltage line, judging whether the other end point on the high-voltage line has a coincidence point on the other high-voltage line, and if so, judging that the high-voltage line is coincident with the other high-voltage line;
s10.3: if the superposed high-voltage wires exist, merging is carried out, the strip containing the largest number of the tower wire points is reserved, and if the superposed high-voltage wires do not exist, data are directly output.
In some embodiments, the test is performed using high voltage line echo data collected by certain W-band FMCW millimeter wave radar radiation with a range resolution of 0.15 meters, an antenna scan cycle millimeter wave radar echo pattern is shown in FIG. 2, where the antenna scans ranging from-50 to 50 in azimuth and 100 to 600 in radial azimuth, FIG. 2(b) is an enlarged view of the incident angle range [ -525 ] and radial distance range [ 450510 ] of FIG. 2(a), and the optical image of the high voltage tower/line in the radiation scene is shown in FIG. 3,
step 1: performing CFAR detection on radar echoes in one antenna scanning period to obtain target detection points, wherein the length of a protection window half window of the CFAR detection is 5, the length of a reference window half window is 20, a detection threshold is 80 decibels, and fig. 4 is a target detection point distribution diagram of a corresponding area in fig. 2;
step 2: taking neighborhood distance threshold Rthres0.5 and an orientation threshold θthresCarrying out iterative aggregation on the candidate target detection points as 0.4;
and step 3: the radial distance of the clutter zone is set to the threshold
Figure BDA0003358092120000111
And an azimuth threshold of
Figure BDA0003358092120000112
Removing impuritiesWave zone processing;
and 4, step 4: respectively selecting the distance direction threshold of the condensation high-pressure tower point as Rthres1=1.5,Rthres210 and an orientation threshold θthres1=0.5,θthres2Determining candidate high-voltage towers and high-voltage line points as 2;
and 5: converting the condensation points into a three-dimensional rectangular coordinate system with the radar as the origin, and projecting the three-dimensional rectangular coordinate system into an X-Y rectangular coordinate system, wherein the distribution of the XY rectangular coordinate system of the regional condensation points shown in FIG. 4 is shown in FIG. 5;
step 6: extracting a straight line as a candidate high-voltage line based on Hough transformation in the rectangular coordinate system distribution diagram of the condensation points X-Y obtained by the processing of thestep 5;
and 7: take alpha respectivelydownAnd alphaupThe feature segments of the 4 selected candidate high-voltage lines are shown in fig. 7 and 30 degrees, and are respectively represented by different lines, the "+" signs of the corresponding lines respectively represent candidate high-voltage tower points and high-voltage line points on the candidate high-voltage lines, and fig. 6 is a schematic diagram of the candidate high-voltage lines extracted in fig. 5(b), and the schematic diagram is sequentially named as a first candidate high-voltage line, a second candidate high-voltage line, a third candidate high-voltage line and a fourth candidate high-voltage line from top to bottom.
And 8: the distribution of the Bragg scattering points of the characteristic segments of the 4 candidate high-voltage wires is shown in FIG. 7, wherein N is takenpeak=5,δ=1,PthresTaking a third candidate high-voltage line characteristic segment as an example, where the maximum peak point corresponds to an incident angle β of 11.4 °, and the maximum peak points are searched within a range of [ -5 °,11.4 °, and the incident angles are α, respectivelyd12.5 DEG, power Pd1135.1 db,. DELTA.alpha1At [19.8 °,20.8 ° ], 8.9 °]Searching the corresponding peak point with the incidence angle alphau120.1 deg. and power Pd1The power difference is 3.1 db, 132 db, and the confidence in the identification of the third candidate high voltage line is calculated to be 0.85. Similarly, the confidence of the identification of the second, first and fourth candidate high voltage lines is 0.89,0.86 and 0.82, respectively.
And step 9: calculating the associated recognition confidence coefficients of the 4 high-voltage line groups with the same slope as follows: 0.97,1,0.98 and 0.94, the group of suspected high voltage lines are all identified as high voltage lines.
Step 10: selecting the distance difference threshold of the merging of the high-voltage lines as Rtower_thresThe azimuth difference threshold is theta 3tower_thresAnd (5) combining and outputting high-voltage wires which possibly have an overlapping part or are close to each other in tower points. Fig. 8 is a result of the detection, identification and enhanced display of the high voltage lines in fig. 2(b), wherein the high voltage lines are all represented by distinct lines.
The above description is only for the purpose of illustrating the preferred embodiments of the present invention and is not to be construed as limiting the invention, and any modifications, equivalents and improvements made within the spirit and principle of the present invention are intended to be included within the scope of the present invention. The above description is only a preferred embodiment of the present invention, and it should be noted that, for those skilled in the art, several modifications and variations can be made without departing from the technical principle of the present invention, and these modifications and variations should also be regarded as the protection scope of the present invention.

Claims (8)

1. A high-voltage line detection method of a millimeter wave radar image is characterized by comprising the following steps:
s1: performing constant false alarm detection on radar echoes in one antenna scanning period to obtain a target measuring point;
s2: performing iterative agglomeration on the target point;
s3: eliminating clutter area data;
s4: dividing a high-voltage tower point and a high-voltage line point;
s5: converting the coordinates of the condensation points into coordinates in a three-dimensional rectangular coordinate system with the radar as an origin;
s6: extracting a straight line as a candidate high-voltage line based on Hough transformation; a
S7: setting a characteristic segment of a candidate high-voltage wire;
s8: extracting a plurality of suspected high-voltage wires according to the Bragg effect characteristics;
s9: associating a plurality of suspected high-voltage wires to identify the high-voltage wires;
s10: and combining the high-voltage wires at the overlapped part to obtain a final high-voltage wire detection result.
2. The method for detecting the high-voltage line of the millimeter wave radar image as claimed in claim 1, wherein in the step S2, iterative condensation is performed according to the threshold values of the distance and the orientation to remove the false alarm in the step S1 where the target measuring point is obtained.
3. The method for detecting a high voltage line according to a millimeter wave radar image of claim 1, wherein clutter region data is removed in S3 based on a clutter region radial distance and an azimuth threshold.
4. The method for detecting a high-voltage line of a millimeter wave radar image according to claim 1, wherein said S4 comprises the steps of:
s4.1: setting a radial distance threshold range and an azimuth threshold range of a high-voltage tower point, wherein the radial distance threshold of the high-voltage tower point is smaller than a radial distance threshold of a clutter area, and the azimuth threshold of the high-voltage tower point is smaller than the azimuth threshold of the clutter area;
s4.2: and selecting candidate high-voltage tower points from the residual data after the clutter area data are removed in the S3, wherein the distance length and the direction bit length of the candidate high-voltage tower points are both in the range set by the S4.1, and the rest points are candidate high-voltage line points.
5. The method for detecting a high-voltage line in a millimeter wave radar image according to claim 1, wherein in S7, the incident angle of the current radar wave is recorded as α, and the incident angle range is selected as α in the candidate high-voltage linedown≤α≤αupThe straight line segment of the candidate high-voltage line is taken as a characteristic segment of the candidate high-voltage line.
6. The method for detecting a high-voltage line of a millimeter wave radar image according to claim 5, wherein said S8 includes the steps of:
s8.1: extracting an angle-power relation curve of a candidate high-voltage line characteristic section from radar echoes, and searching a maximum power peak value angle and marking as beta based on an incidence angle alpha of a current radar wave;
s8.2: over a range of incident angles [ alpha ]downBeta) searching the maximum peak point in turn, and recording the incidence angle as alphad1With a power of Pd1,Δα1=β-αd1
S8.3: setting the incidence angle range of the symmetrical peak point search as delta and a power judgment threshold PthresFrom the range of incident angles [ beta + delta alpha ]1-δ/2,β+Δα1+δ/2]Searching for a maximum peak point, wherein β + Δ α1+δ/2≤αupIf the maximum peak point is searched, the incidence angle is recorded as alphau1And its power Pu1Satisfy constraint | Pu1-Pd1|≤PthresCalculating a recognition confidence coefficient rho:
Figure FDA0003358092110000031
s8.4: if rho is greater than 0.8, the candidate high-voltage line is considered to have the Bragg effect, and the candidate high-voltage line is identified as a suspected high-voltage line; otherwise, the next step is carried out:
s8.5: in the range [ alpha ]downBeta) searching the peak point with the second highest power, and recording the corresponding incidence angle as alphad2With a power of Pd2,Δα2=β-αd2At its corresponding incident angle range [ beta + delta alpha ]2-δ/2,β+Δα2+δ/2]Searching for the second largest peak point, where β + Δ α2+δ/2≤αupAnd judging whether the peak point power meets the constraint condition | Pu2-Pd2|≤PthresIf yes, calculating confidence coefficient, otherwise, analogizing, and calculating the confidence coefficient at [ alpha ]downBeta) at most before co-completion of NpeakSearching for the maximum peak point.
7. The method for detecting the high-voltage line of the millimeter wave radar image according to claim 6, wherein the step S9 comprises the steps of:
s9.1: judging whether the slopes of the suspected high-voltage lines are the same or not, performing S9.2 on the same suspected high-voltage line data, and performing S9.3 on different suspected high-voltage line data:
s9.2: a calculation of the confidence of the association recognition is performed,
Figure FDA0003358092110000032
wherein n is the number of suspected high-voltage lines with the same slope, and S9.4 is carried out after calculation;
s9.3: the associated identification confidence coefficient corresponding to the suspected high-voltage line with the slope different from the data of the rest suspected high-voltage lines is zetai=ρiThen S9.4 is carried out;
s9.4: setting a threshold, respectively judging the associated identification confidence degrees of the suspected high-voltage wires acquired in S9.2 and S9.3, if the associated identification confidence degrees are not greater than the threshold, judging the suspected high-voltage wires as false high-voltage wires, otherwise, judging the suspected high-voltage wires as real high-voltage wires.
8. The method for detecting a high-voltage line of a millimeter wave radar image according to claim 1, wherein said S10 includes:
s10.1: setting the radial distance threshold and the azimuth threshold of the high-voltage wire combination as R respectivelytower_thresAnd thetatower_thres
S10.2: selecting an end point of a certain high-voltage line, and calculating the absolute values of the radial distance difference and the azimuth difference between the end point and a line point and a tower point on the other high-voltage line to be delta RtowerAnd Δ θtowerWhen Δ R istower<Rtower_thresAnd Δ θtowertower_thresIf so, judging that the end point falls on the other high-voltage line, judging whether the other end point on the high-voltage line has a coincidence point on the other high-voltage line, and if so, judging that the high-voltage line is coincident with the other high-voltage line;
s10.3: if the superposed high-voltage wires exist, merging is carried out, the strip containing the largest number of the tower wire points is reserved, and if the superposed high-voltage wires do not exist, data are directly output.
CN202111358276.3A2021-11-162021-11-16 A high-voltage line detection method for millimeter-wave radar imagesPendingCN114236547A (en)

Priority Applications (1)

Application NumberPriority DateFiling DateTitle
CN202111358276.3ACN114236547A (en)2021-11-162021-11-16 A high-voltage line detection method for millimeter-wave radar images

Applications Claiming Priority (1)

Application NumberPriority DateFiling DateTitle
CN202111358276.3ACN114236547A (en)2021-11-162021-11-16 A high-voltage line detection method for millimeter-wave radar images

Publications (1)

Publication NumberPublication Date
CN114236547Atrue CN114236547A (en)2022-03-25

Family

ID=80749732

Family Applications (1)

Application NumberTitlePriority DateFiling Date
CN202111358276.3APendingCN114236547A (en)2021-11-162021-11-16 A high-voltage line detection method for millimeter-wave radar images

Country Status (1)

CountryLink
CN (1)CN114236547A (en)

Cited By (1)

* Cited by examiner, † Cited by third party
Publication numberPriority datePublication dateAssigneeTitle
CN119535431A (en)*2024-11-062025-02-28国网山西省电力公司忻州供电公司 High-voltage line detection and ranging method, system and device based on millimeter-wave radar

Citations (7)

* Cited by examiner, † Cited by third party
Publication numberPriority datePublication dateAssigneeTitle
JP2001013240A (en)*1999-06-292001-01-19Nec CorpFm-cw radar device
US20030019932A1 (en)*1998-03-242003-01-30Tsikos Constantine J.Method of speckle-noise pattern reduction and apparatus therefor based on reducing the temporal-coherence of the planar laser illumination beam before it illuminates the target object by applying temporal frequency modulation techniques during the transmission of the PLIB towards the target
JP2005300305A (en)*2004-04-092005-10-27Rigaku CorpX-ray analyzing method and x-ray analyzer
US20170315232A1 (en)*2016-04-272017-11-02Codar Ocean Sensors, Ltd.Coastal hf radar system for tsunami warning
CN110428424A (en)*2019-07-022019-11-08中国航空工业集团公司雷华电子技术研究所Radar echo map image height crimping dividing method based on deep learning
CN112084955A (en)*2020-09-112020-12-15中国航空工业集团公司雷华电子技术研究所High-voltage line detection and identification method and device and electronic equipment
CN113552563A (en)*2021-07-162021-10-26哈尔滨工业大学Method for analyzing correspondence between vertical measurement information and high-frequency ground wave radar clutter information

Patent Citations (7)

* Cited by examiner, † Cited by third party
Publication numberPriority datePublication dateAssigneeTitle
US20030019932A1 (en)*1998-03-242003-01-30Tsikos Constantine J.Method of speckle-noise pattern reduction and apparatus therefor based on reducing the temporal-coherence of the planar laser illumination beam before it illuminates the target object by applying temporal frequency modulation techniques during the transmission of the PLIB towards the target
JP2001013240A (en)*1999-06-292001-01-19Nec CorpFm-cw radar device
JP2005300305A (en)*2004-04-092005-10-27Rigaku CorpX-ray analyzing method and x-ray analyzer
US20170315232A1 (en)*2016-04-272017-11-02Codar Ocean Sensors, Ltd.Coastal hf radar system for tsunami warning
CN110428424A (en)*2019-07-022019-11-08中国航空工业集团公司雷华电子技术研究所Radar echo map image height crimping dividing method based on deep learning
CN112084955A (en)*2020-09-112020-12-15中国航空工业集团公司雷华电子技术研究所High-voltage line detection and identification method and device and electronic equipment
CN113552563A (en)*2021-07-162021-10-26哈尔滨工业大学Method for analyzing correspondence between vertical measurement information and high-frequency ground wave radar clutter information

Non-Patent Citations (2)

* Cited by examiner, † Cited by third party
Title
QIRONG MA: "An Algorithm for Power Line Detection and Warning Based on a Millimeter-Wave Radar Video", 《IEEE TRANSACTIONS ON IMAGE PROCESSING》, 31 December 2011 (2011-12-31), pages 3534 - 3543, XP011411946, DOI: 10.1109/TIP.2011.2155079*
罗旌胜;贺治华;熊伟;陶飞翔;: "毫米波雷达高压线检测技术的研究进展", 电讯技术, no. 10, 28 October 2016 (2016-10-28)*

Cited By (1)

* Cited by examiner, † Cited by third party
Publication numberPriority datePublication dateAssigneeTitle
CN119535431A (en)*2024-11-062025-02-28国网山西省电力公司忻州供电公司 High-voltage line detection and ranging method, system and device based on millimeter-wave radar

Similar Documents

PublicationPublication DateTitle
US7868811B1 (en)Weather radar system and method using data from a lightning sensor
US8089391B1 (en)Weather radar system and method using data from a lightning sensor
CN107064902B (en)Target condensation method for airport scene surveillance radar system
Barbat et al.Automated iceberg tracking with a machine learning approach applied to SAR imagery: A Weddell sea case study
US20240053468A1 (en)Vehicle-mounted bsd millimeter wave radar based method for obstacle recognition at low speed
US11474237B2 (en)Method for retrieval of lost radial velocity in weather radar, recording medium and device for performing the method
CN113253257B (en)Strip mine obstacle detection method based on multi-millimeter-wave radar and vision
WO2018019278A1 (en)Small radar-based thunder and lightning monitoring and warning method for electric transmission line, and storage medium
CN113156417B (en)Anti-unmanned aerial vehicle detection system, method and radar equipment
CN111880196A (en)Unmanned mine car anti-interference method, system and computer equipment
CN112084955B (en)High-voltage line detection and identification method and device and electronic equipment
CN112462368B (en)Obstacle detection method and device, vehicle and storage medium
CN111337928B (en)Radar echo movement information calculation method and device
CN114019503A (en) Airport runway foreign object detection method, equipment and storage medium based on FOD detection system
CN114236547A (en) A high-voltage line detection method for millimeter-wave radar images
CN113504524A (en)Low-altitude radar false track comprehensive suppression method based on feature statistics
CN111308468B (en)Method for automatically identifying deformation risk area based on InSAR technology
Wang et al.Research of obstacle recognition method for USV based on laser radar
US20220397639A1 (en)Method for correction of reflectivity on identified bright band based on polarimetric observations, recording medium and device for performing the method
CN115128571A (en)Multi-person and non-motor vehicle identification method based on millimeter wave radar
CN118209951A (en)Millimeter wave anti-collision radar target detection and recognition processing method for low-altitude flight platform
CN111487619A (en)Method for detecting ground inclination angle of transmission tower by utilizing SAR-X high-resolution bunching mode
Yang et al.Shape feature aided target detection method for micro-drone surveillance radar
Sun et al.Lightning activity and microphysical structure characteristics during the convective cell mergers in an extreme mesoscale convective system
CN111751796B (en)Traffic radar angle measurement method, system and device based on one-dimensional linear array

Legal Events

DateCodeTitleDescription
PB01Publication
PB01Publication
SE01Entry into force of request for substantive examination
SE01Entry into force of request for substantive examination

[8]ページ先頭

©2009-2025 Movatter.jp