





技术领域technical field
本公开涉及数据处理领域,尤其涉及车辆定位中的数据处理方法、装置、电子设备和自动驾驶车辆。The present disclosure relates to the field of data processing, and in particular, to a data processing method, apparatus, electronic device and autonomous driving vehicle in vehicle positioning.
背景技术Background technique
目前,在进行车辆定位时,通过传统的卡尔曼滤波方法,计算IMU的预测值与量测值之差作为新息,并结合当前的滤波预测矩阵和两侧的置信度进行加权来分配新息对预测值的修正,并无对车辆定位中滤波收敛错误将惯性测量单元(Inertial MeasurementUnit,简称为IMU)零偏估计错误的情况进行有效甄别处理。At present, when performing vehicle positioning, the traditional Kalman filtering method is used to calculate the difference between the predicted value and the measured value of the IMU as the new information, and combine the current filtering prediction matrix and the confidence on both sides to weight to allocate the new information. The correction of the predicted value does not effectively discriminate the situation that the inertial measurement unit (Inertial Measurement Unit, IMU) bias estimation is wrong due to the filter convergence error in the vehicle positioning.
发明内容SUMMARY OF THE INVENTION
本公开提供了一种用于定位数据处理的方法、装置、电子设备以及自动驾驶车辆。The present disclosure provides a method, an apparatus, an electronic device, and an autonomous vehicle for positioning data processing.
根据本公开的一方面,提供了一种定位数据处理方法,包括:获取目标车辆的多个新息结果,其中,每个新息结果为由目标车辆的量测定位结果和预测定位结果得到,量测定位结果为由目标车辆的一个量测模块对目标车辆进行定位得到,预测定位结果为基于对惯性测量单元的零偏数据进行补偿得到,零偏数据为由目标滤波器对转换到惯性单元中的多个测量定位结果进行融合得到;基于多个新息结果确定目标滤波器的收敛状态;基于收敛状态确定零偏数据的数据状态;基于数据状态确定是否输出预测定位结果。According to an aspect of the present disclosure, there is provided a positioning data processing method, comprising: acquiring multiple innovation results of a target vehicle, wherein each innovation result is obtained from a quantitative positioning result and a predicted positioning result of the target vehicle, The measurement positioning result is obtained by locating the target vehicle by a measurement module of the target vehicle, and the predicted positioning result is obtained by compensating the zero-bias data of the inertial measurement unit, and the zero-bias data is converted to the inertial unit by the target filter pair. It is obtained by fusing multiple measurement and positioning results in the system; determining the convergence state of the target filter based on the multiple innovation results; determining the data state of the zero-bias data based on the convergence state; determining whether to output the predicted positioning result based on the data state.
根据本公开的另一方面,提供了一种定位数据处理装置,包括:获取单元,用于获取目标车辆的多个新息结果,其中,每个新息结果为由目标车辆的量测定位结果和预测定位结果得到,量测定位结果为由目标车辆的一个量测模块对目标车辆进行定位得到,预测定位结果为基于对惯性测量单元的零偏数据进行补偿得到,零偏数据为由目标滤波器对转换到惯性测量单元中的多个量测定位结果进行融合得到;第一确定单元,用于基于多个欣喜接过确定目标滤波器的收敛状态;第二确定单元,用于基于收敛状态确定零偏数据的数据状态;第三确定单元,用于基于数据状态确定是否输出预测定位结果。According to another aspect of the present disclosure, there is provided a positioning data processing device, comprising: an obtaining unit for obtaining a plurality of innovation results of a target vehicle, wherein each innovation result is a positioning result determined by the measurement of the target vehicle and the predicted positioning result, the measurement positioning result is obtained by positioning the target vehicle by a measurement module of the target vehicle, the predicted positioning result is obtained based on the compensation of the zero offset data of the inertial measurement unit, and the zero offset data is filtered by the target. The first determination unit is used to determine the convergence state of the target filter based on a plurality of happy acceptances; the second determination unit is used to determine the convergence state based on the convergence state determining the data state of the zero offset data; and a third determining unit, configured to determine whether to output the predicted positioning result based on the data state.
根据本公开的另一方面,提供了一种电子设备,包括:至少一个处理器;以及与至少一个处理器通信连接的存储器;其中,存储器存储有可被至少一个处理器执行的指令,指令被至少一个处理器执行,以使至少一个处理器执行本公开实施例的定位数据处理的方法。According to another aspect of the present disclosure, there is provided an electronic device comprising: at least one processor; and a memory communicatively connected to the at least one processor; wherein the memory stores instructions executable by the at least one processor, the instructions being executed by the at least one processor. The at least one processor executes, so that the at least one processor executes the method for processing positioning data according to an embodiment of the present disclosure.
根据本公开的另一方面,提供了一种存储有计算机指令的非瞬时计算机可读存储介质,其中,计算机指令用于使计算机执行本公开实施例的定位数据处理的方法。According to another aspect of the present disclosure, a non-transitory computer-readable storage medium storing computer instructions is provided, wherein the computer instructions are used to cause a computer to perform the method for processing positioning data according to an embodiment of the present disclosure.
根据本公开的另一方面,提供了一种自动驾驶车辆,包括本公开实施例的定位数据处理装置或本公开实施例的电子设备。According to another aspect of the present disclosure, an autonomous driving vehicle is provided, including the positioning data processing apparatus of the embodiment of the present disclosure or the electronic device of the embodiment of the present disclosure.
应当理解,本部分所描述的内容并非旨在标识本公开的实施例的关键或重要特征,也不用于限制本公开的范围。本公开的其它特征将通过以下的说明书而变得容易理解。It should be understood that what is described in this section is not intended to identify key or critical features of embodiments of the disclosure, nor is it intended to limit the scope of the disclosure. Other features of the present disclosure will become readily understood from the following description.
附图说明Description of drawings
附图用于更好地理解本方案,不构成对本公开的限定。其中:The accompanying drawings are used for better understanding of the present solution, and do not constitute a limitation to the present disclosure. in:
图1是根据本公开实施例的一种定位数据处理的方法的流程图;1 is a flowchart of a method for processing positioning data according to an embodiment of the present disclosure;
图2是根据本公开实施例的一种基于多源信息的融合滤波质量探测原理的示意图;FIG. 2 is a schematic diagram of a multi-source information-based fusion filtering quality detection principle according to an embodiment of the present disclosure;
图3是根据本公开实施例的一种校验各量测模块的质量稳定性的流程图;3 is a flow chart of verifying the quality stability of each measurement module according to an embodiment of the present disclosure;
图4是根据本公开实施例的一种基于多源信息的融合滤波质量探测过程的流程图;4 is a flowchart of a multi-source information-based fusion filtering quality detection process according to an embodiment of the present disclosure;
图5是根据本公开实施例的一种定位数据处理装置的示意图;5 is a schematic diagram of a positioning data processing apparatus according to an embodiment of the present disclosure;
图6是根据本公开实施例的一种电子设备的示意性框图。FIG. 6 is a schematic block diagram of an electronic device according to an embodiment of the present disclosure.
具体实施方式Detailed ways
以下结合附图对本公开的示范性实施例做出说明,其中包括本公开实施例的各种细节以助于理解,应当将它们认为仅仅是示范性的。因此,本领域普通技术人员应当认识到,可以对这里描述的实施例做出各种改变和修改,而不会背离本公开的范围和精神。同样,为了清楚和简明,以下的描述中省略了对公知功能和结构的描述。Exemplary embodiments of the present disclosure are described below with reference to the accompanying drawings, which include various details of the embodiments of the present disclosure to facilitate understanding and should be considered as exemplary only. Accordingly, those of ordinary skill in the art will recognize that various changes and modifications of the embodiments described herein can be made without departing from the scope and spirit of the present disclosure. Also, descriptions of well-known functions and constructions are omitted from the following description for clarity and conciseness.
下面对本公开实施例的定位数据处理方法进行介绍。The following describes the positioning data processing method according to the embodiment of the present disclosure.
在无人车自动驾驶运行过程中,需要定位系统实时输出连续高频率且精确的定位结果,以确保路径规划、感知等模块的正常工作。受成本和器件特性的影响,车端定位模块搭载的IMU的加速度计和陀螺仪数据输出的误差项(零偏)较大,且开机零偏重复性也不稳定,无法出厂线下标定,需定位模块在线通过高精度量测值进行标定。但是,由于零偏重复性较大,有时候在开机之后或者运动轨迹单一直线情况下,定位使用的卡尔曼滤波没有充分收敛,此时IMU的加速度计的零偏没有被正确地估计,当车辆转弯时容易造成IMU递推误差过大,即使在多个模块的量测值正确的情况下,滤波依旧无法通过量测更新将递推过大的误差及时纠正回来,故出现定位实际漂移过大(0.5-10m),由于滤波的量测值都正常,且对应的置信度也很小,故卡尔曼滤波所输出的置信度依旧很小,定位没有正确的预报出定位已经漂移为不可用状态,下游继续使用的话则造成极大的安全隐患。In the process of autonomous driving of unmanned vehicles, the positioning system needs to output continuous high-frequency and accurate positioning results in real time to ensure the normal operation of modules such as path planning and perception. Affected by the cost and device characteristics, the error term (zero offset) of the data output of the accelerometer and gyroscope of the IMU mounted on the vehicle-end positioning module is relatively large, and the repeatability of the zero offset at startup is also unstable, so it cannot be calibrated offline. The positioning module is calibrated online through high-precision measurement values. However, due to the high repeatability of the zero offset, sometimes the Kalman filter used for positioning is not fully converged after power-on or when the motion trajectory is a single straight line. At this time, the zero offset of the accelerometer of the IMU is not correctly estimated. When turning, it is easy to cause the recursive error of the IMU to be too large. Even if the measurement values of multiple modules are correct, the filtering still cannot correct the excessive recursive error in time through the measurement update, so the actual positioning drift is too large. (0.5-10m), since the measured values of the filter are normal and the corresponding confidence is also very small, the confidence output by the Kalman filter is still very small, and the positioning has not been correctly predicted that the positioning has drifted to an unavailable state. , if the downstream continues to use it, it will cause great security risks.
图1是根据本公开实施例的一种定位数据处理的方法的流程图。如图1所示,该方法可以包括以下步骤:FIG. 1 is a flowchart of a method for processing positioning data according to an embodiment of the present disclosure. As shown in Figure 1, the method may include the following steps:
步骤S102,获取目标车辆的多个新息结果,其中,每个新息结果为由目标车辆的量测定位结果和预测定位结果得到,量测定位结果为由目标车辆的一个量测模块对目标车辆进行定位得到,预测定位结果为基于对惯性测量单元的零偏数据进行补偿得到,零偏数据为由目标滤波器对转换到惯性单元中的多个测量定位结果进行融合得到。Step S102, obtaining multiple innovation results of the target vehicle, wherein each innovation result is obtained from the measurement location result and the predicted location result of the target vehicle, and the measurement location result is obtained by a measurement module of the target vehicle on the target. The vehicle is positioned, and the predicted positioning result is obtained by compensating the zero-bias data of the inertial measurement unit. The zero-bias data is obtained by fusing multiple measurement and positioning results converted into the inertial unit by the target filter.
在本公开上述步骤S102提供的技术方案中,获取目标车辆的多个新息结果,其中,每个新息结果为由目标车辆的量测定位结果和预测定位结果得到,在卡尔曼滤波中,新息是观测值减去预测观测值,也就是说,新息结果可以是目标车辆的量测定位结果减去预测定位结果,量测定位结果为由目标车辆的一个量测模块对目标车辆进行定位得到,目标车辆的量测模块可以用于对目标车辆进行定位,然后输出对目标车辆的量测定位结果,预测定位结果为基于对惯性测量单元的零偏数据进行补偿得到,惯性测量单元即IMU,是测量物体三轴姿态角(或角速率)以及加速度的装置,零偏是IMU数据输出的误差项,通过对IMU数据输出的误差项进行补偿可以得到预测定位结果,零偏数据为由目标滤波器对转换到惯性单元中的多个测量定位结果进行融合得到。In the technical solution provided by the above step S102 of the present disclosure, a plurality of innovation results of the target vehicle are obtained, wherein each innovation result is obtained from the quantitative positioning result and the predicted positioning result of the target vehicle. In the Kalman filter, The innovation is the observation value minus the predicted observation value, that is to say, the innovation result can be the measurement positioning result of the target vehicle minus the predicted positioning result, and the measurement positioning result is the measurement of the target vehicle by a measurement module of the target vehicle. After the positioning is obtained, the measurement module of the target vehicle can be used to locate the target vehicle, and then output the measurement and positioning result of the target vehicle. The predicted positioning result is obtained based on the compensation of the zero offset data of the inertial measurement unit. The inertial measurement unit is IMU is a device for measuring the three-axis attitude angle (or angular rate) and acceleration of an object. The zero offset is the error term of the IMU data output. By compensating the error term of the IMU data output, the predicted positioning result can be obtained. The target filter is obtained by fusing the multiple measured localization results converted into the inertial unit.
在该实施例中,预测定位结果为基于对惯性测量单元的零偏数据进行补偿,可以是通过惯导递推得到预测定位结果。In this embodiment, the predicted positioning result is based on compensating the zero offset data of the inertial measurement unit, and the predicted positioning result may be obtained through inertial navigation recursion.
在该实施例中,零偏数据为由目标滤波器对转换到惯性单元中的多个测量定位结果进行融合得到,可以是通过卡尔曼滤波器融合了多个量测定位结果,从而估计得到IMU的零偏数据。In this embodiment, the zero-bias data is obtained by fusing multiple measurement and positioning results converted into the inertial unit by the target filter, and may be obtained by fusing multiple measurement and positioning results through a Kalman filter, thereby estimating the IMU zero-biased data.
在该实施例中,惯性测量单元IMU的主要元件可以是加速度计和陀螺仪,其精度直接影响到惯性系统的精度,一个IMU可以包含三个单轴的加速度计和三个单轴的陀螺仪,加速度计检测物体在载体(可以是目标车辆)坐标系统独立三轴的加速度信号,而陀螺仪检测载体相对于导航坐标系的角速度信号,通过测量物体在三维空间中的角速度和加速度,以此解算出物体的姿态。In this embodiment, the main components of the inertial measurement unit IMU may be accelerometers and gyroscopes, the accuracy of which directly affects the accuracy of the inertial system, and one IMU may include three single-axis accelerometers and three single-axis gyroscopes , the accelerometer detects the acceleration signal of the object in the independent three-axis coordinate system of the carrier (which can be the target vehicle), and the gyroscope detects the angular velocity signal of the carrier relative to the navigation coordinate system, by measuring the angular velocity and acceleration of the object in the three-dimensional space, so as to Solve the pose of the object.
在该实施例中,目标滤波器可以是卡尔曼滤波器(Kalman filtering),卡尔曼滤波器是一种利用线性状态方程,通过系统输入输出观测数据,对系统状态进行最有估计的算法,由于观测数据中包括系统中的噪声和干扰的影响,所以最优估计也可以看作是滤波过程,数据滤波是去除噪声还原真实数据的一种数据处理技术,卡尔曼滤波在测量方差已知的情况下能够从一系列存在测量噪声三维数据中,估计动态系统的状态。In this embodiment, the target filter may be Kalman filtering. Kalman filtering is an algorithm that uses a linear state equation to estimate the system state through the input and output observation data of the system. The observation data includes the influence of noise and interference in the system, so the optimal estimation can also be regarded as a filtering process. Data filtering is a data processing technique that removes noise and restores real data. Kalman filtering is when the measurement variance is known. It is possible to estimate the state of a dynamic system from a series of three-dimensional data in the presence of measurement noise.
步骤S104,基于多个新息结果确定目标滤波器的收敛状态。Step S104, determining the convergence state of the target filter based on the multiple innovation results.
在本公开上述步骤S104提供的技术方案中,基于多个新息结果确定目标滤波器的收敛状态,也就是说,在获取目标车辆的多个新息结果之后,基于多个新息结果确定卡尔曼滤波器有没有达到充分收敛的状态,卡尔曼滤波器达到充分收敛的状态也就是卡尔曼滤波器输出的P矩阵值减小至一个稳定的值。In the technical solution provided in the above step S104 of the present disclosure, the convergence state of the target filter is determined based on multiple innovation results, that is, after acquiring multiple innovation results of the target vehicle, the Carl is determined based on the multiple innovation results. Whether the Mann filter has reached a fully converged state, the Kalman filter has reached a fully converged state, that is, the value of the P matrix output by the Kalman filter is reduced to a stable value.
步骤S106,基于收敛状态确定零偏数据的数据状态。Step S106, determining the data state of the zero offset data based on the convergence state.
在本公开上述步骤S106提供的技术方案中,可以基于卡尔曼滤波的收敛状态确定IMU数据输出的误差项的数据状态。In the technical solution provided by the above step S106 of the present disclosure, the data state of the error term output by the IMU data can be determined based on the convergence state of the Kalman filter.
在该实施例中,判断是否达到收敛状态,也就是判断卡尔曼滤波器输出的P矩阵值是否减小至一个稳定的值。In this embodiment, it is determined whether the convergence state is reached, that is, it is determined whether the value of the P matrix output by the Kalman filter is reduced to a stable value.
在该实施例中,零偏数据的数据状态也就是IMU数据输出的误差项有没有被正确地估计。In this embodiment, whether the data state of the zero-biased data, that is, the error term of the IMU data output, is correctly estimated.
步骤S108,基于数据状态确定是否输出预测定位结果,当IMU数据输出的误差项被正确地估计的时候,则不会基于此数据状态输出预测定位结果;当IMU数据输出的误差项没有被正确地估计的时候,则基于此数据状态输出预测定位结果。In step S108, it is determined whether to output the predicted positioning result based on the data state. When the error term output by the IMU data is correctly estimated, the predicted positioning result will not be output based on the data state; when the error term output by the IMU data is not correctly When estimating, the predicted positioning result is output based on this data state.
在本公开上述步骤S108提供的技术方案中,所输出的预测定位结果可以是步骤S102中基于对惯性测量单元的零偏数据进行补偿得到。In the technical solution provided by the above step S108 of the present disclosure, the output predicted positioning result may be obtained by compensating the zero offset data of the inertial measurement unit in step S102.
通过上述步骤S102至步骤S108,获取目标车辆的多个新息结果,其中,每个新息结果为由目标车辆的量测定位结果和预测定位结果得到,量测定位结果为由目标车辆的一个量测模块对目标车辆进行定位得到,预测定位结果为基于对惯性测量单元的零偏数据进行补偿得到,零偏数据为由目标滤波器对转换到惯性单元中的多个测量定位结果进行融合得到;基于多个新息结果确定目标滤波器的收敛状态;基于收敛状态确定零偏数据的数据状态;基于数据状态确定是否输出预测定位结果。也就是说,本公开利用多量测值对应的新息结果,确定滤波器的收敛状态,可以有效地监测检测此时滤波器对IMU零偏的估计状态是否准确,以更好地对定位状态进行预报,解决了对车辆进行定位的可靠性差的技术问题,达到了提高对车辆进行定位的可靠性的技术效果。Through the above steps S102 to S108, a plurality of innovation results of the target vehicle are obtained, wherein each innovation result is obtained from the quantitative measurement positioning result and the predicted positioning result of the target vehicle, and the measurement positioning result is obtained by one of the target vehicle. The measurement module locates the target vehicle, and the predicted localization result is obtained by compensating the zero-bias data of the inertial measurement unit, and the zero-bias data is obtained by fusing multiple measurement and positioning results converted into the inertial unit by the target filter. ; Determine the convergence state of the target filter based on the multiple innovation results; determine the data state of the zero-bias data based on the convergence state; determine whether to output the predicted positioning result based on the data state. That is to say, the present disclosure utilizes the innovation results corresponding to the multi-measurement values to determine the convergence state of the filter, which can effectively monitor and detect whether the estimated state of the zero offset of the IMU by the filter at this time is accurate, so as to better determine the positioning state. The forecasting solves the technical problem of poor reliability of locating the vehicle, and achieves the technical effect of improving the reliability of locating the vehicle.
下面对该实施例的上述方法进行进一步地详细介绍。The above method of this embodiment will be further described in detail below.
作为一种可选的实施方式,步骤S104,基于多个新息结果确定目标滤波器的收敛状态包括:基于多个新息结果确定对应的多个量测模块符合目标条件,则基于每个量测模块的量测定位结果确定收敛状态,其中,目标条件用于表征量测模块的量测性能。As an optional implementation manner, in step S104, determining the convergence state of the target filter based on the multiple innovation results includes: determining, based on the multiple innovation results, that the corresponding multiple measurement modules meet the target condition, then based on each The measurement positioning result of the measurement module determines the convergence state, wherein the target condition is used to characterize the measurement performance of the measurement module.
在该实施例中,基于每个新息结果确定对应的多个量测模块符合目标条件,也就是说,在获取到目标车辆的多个新息结果之后,根据每个新息结果确定与其相对应的多个量测模块是否符合目标条件,进而根据每个量测模块的量测定位结果确定滤波是否达到了收敛状态。In this embodiment, it is determined based on each innovation result that the corresponding multiple measurement modules meet the target condition, that is, after acquiring multiple innovation results of the target vehicle, it is determined according to each innovation result that the corresponding measurement modules meet the target condition. Whether the corresponding multiple measurement modules meet the target condition, and then determine whether the filtering has reached a convergence state according to the measurement positioning result of each measurement module.
在该实施例中,基于每个量测模块的量测定位结果确定收敛状态,其中,收敛状态可以是卡尔曼滤波器输出的P矩阵值减小至一个稳定的值,也就是说,根据车辆的每一个量测模块对目标车辆进行定位得到的量测定位结果,判断卡尔曼滤波器输出的P矩阵值是否减小至一个稳定的值,进而确定收敛状态。In this embodiment, the convergence state is determined based on the measurement location results of each measurement module, wherein the convergence state may be that the value of the P matrix output by the Kalman filter is reduced to a stable value, that is, according to the vehicle Each of the measurement modules of the measurement module locates the target vehicle and obtains the measurement positioning result, and judges whether the P matrix value output by the Kalman filter is reduced to a stable value, and then determines the convergence state.
在该实施例中,目标条件用于表征量测模块的量测性能,在车辆定位系统初始化成功之后,首先需要校验各测量模块的量测性能,可选地,测量模块的量测性能可以是测量模块的质量稳定性。In this embodiment, the target condition is used to characterize the measurement performance of the measurement module. After the vehicle positioning system is successfully initialized, the measurement performance of each measurement module needs to be verified first. Optionally, the measurement performance of the measurement module can be is the quality stability of the measurement module.
在该实施例中,可选地,目标条件可以是各测量模块的输出质量稳定且一致,符合滤波质量探测条件。In this embodiment, optionally, the target condition may be that the output quality of each measurement module is stable and consistent, and meets the filtering quality detection condition.
作为一种可选的实施方式,基于每个量测模块的量测定位结果确定收敛状态包括:获取每个量测模块的量测定位结果的第一量测帧和第二量测帧之间的第一相对量,其中,第一量测帧和第二量测帧相邻;获取预测定位结果中与第一量测帧对应的第一子预测定位结果和与第二量测帧对应的第二子预测定位结果之间的第二相对量;基于每个量测模块对应的第一相对量和第二相对量确定收敛状态。As an optional implementation manner, determining the convergence state based on the measurement positioning result of each measurement module includes: acquiring the distance between the first measurement frame and the second measurement frame of the measurement positioning result of each measurement module The first relative quantity of the The second sub predicts the second relative quantity between the positioning results; the convergence state is determined based on the first relative quantity and the second relative quantity corresponding to each measurement module.
在该实施例中,获取每个量测模块的量测定位结果的第一量测帧和第二量测帧之间的第一相对量,其中,第一量测帧和第二量测帧相邻,也就是说,在基于每个新息结果确定对应的多个量测模块的质量一致性通过之后,获取每个量测模块输出的量测定位结果中的第一量测帧和第二量测帧之间的第一相对量,其中,第一量测帧和第二量测帧为测量模块输出的量测定位结果中的相邻的两帧测量值。In this embodiment, the first relative quantity between the first measurement frame and the second measurement frame of the measurement positioning result of each measurement module is obtained, wherein the first measurement frame and the second measurement frame Adjacent, that is to say, after determining that the quality consistency of the corresponding multiple measurement modules has passed based on each innovation result, the first measurement frame and the first measurement frame in the measurement positioning result output by each measurement module are obtained. The first relative quantity between two measurement frames, wherein the first measurement frame and the second measurement frame are measurement values of two adjacent frames in the measurement positioning result output by the measurement module.
在该实施例中,可选地,第一量测帧和第二量测帧为各自量测模块输出的量测定位结果中的最近的两帧量测值。In this embodiment, optionally, the first measurement frame and the second measurement frame are the measurement values of the two most recent frames in the measurement positioning results output by the respective measurement modules.
在该实施例中,可选地,第一相对量可以是根据各自量测模块输出的量测定位结果中的最近的两帧量测值进行相对位姿(pose)计算得到。In this embodiment, optionally, the first relative quantity may be obtained by performing relative pose calculation according to the measurement values of the two most recent frames in the measurement positioning results output by the respective measurement modules.
在该实施例中,获取预测定位结果中与第一量测帧对应的第一子预测定位结果和与第二量测帧对应的第二子预测定位结果之间的第二相对量,其中,第一子预测定位结果和第二子预测定位结果为基于对惯性测量单元的零偏数据进行补偿得到,惯性测量单元即IMU,是测量物体三轴姿态角(或角速率)以及加速度的装置,零偏是IMU数据输出的误差项,通过对IMU数据输出的误差项进行补偿可以得到预测定位结果中与第一量测帧对应的第一子预测定位结果和与第二量测帧对应的第二子预测定位结果,零偏数据为由目标滤波器对转换到惯性单元中的多个测量定位结果进行融合得到。In this embodiment, the second relative quantity between the first sub-prediction positioning result corresponding to the first measurement frame and the second sub-prediction positioning result corresponding to the second measurement frame in the prediction positioning result is obtained, wherein, The first sub-predicted positioning result and the second sub-predicted positioning result are obtained by compensating the zero-bias data of the inertial measurement unit. The inertial measurement unit, or IMU, is a device for measuring the three-axis attitude angle (or angular rate) and acceleration of an object, The zero offset is the error term output by the IMU data. By compensating the error term output by the IMU data, the first sub-prediction positioning result corresponding to the first measurement frame and the first sub-prediction positioning result corresponding to the second measurement frame in the prediction positioning result can be obtained. The two sub-prediction positioning results, and the zero-bias data are obtained by fusing multiple measurement positioning results converted into the inertial unit by the target filter.
在该实施例中,可选地,第二相对量可以是第一量测帧和第二量测帧之间融合定位的相对位置。In this embodiment, optionally, the second relative quantity may be the relative position of the fusion positioning between the first measurement frame and the second measurement frame.
在该实施例中,基于每个量测模块对应的第一相对量和第二相对量确定收敛状态,通过获取每个量测模块对应的第一相对量和第二相对量,可以确定滤波收敛状态。In this embodiment, the convergence state is determined based on the first relative quantity and the second relative quantity corresponding to each measurement module, and the filtering convergence can be determined by acquiring the first relative quantity and the second relative quantity corresponding to each measurement module. state.
在该实施例中,可选地,基于每个量测模块对应的第一相对量和第二相对量确定收敛状态,包括计算第一相对量和第二相对量之间的差值。In this embodiment, optionally, determining the convergence state based on the first relative quantity and the second relative quantity corresponding to each measurement module includes calculating the difference between the first relative quantity and the second relative quantity.
作为一种可选的实施方式,基于每个量测模块对应的第一相对量和第二相对量确定收敛状态包括:获取每个量测模块对应的第一相对量和第二相对量之间的第一差;确定第一差的第一分量与第一差的第二分量的平方和;确定平方和的开方小于第一目标阈值,则确定收敛状态用于表示目标滤波器正确收敛;确定平方和的开方不小于第一目标阈值,则确定收敛状态用于表示目标滤波器错误收敛。As an optional implementation manner, determining the convergence state based on the first relative quantity and the second relative quantity corresponding to each measurement module includes: acquiring the difference between the first relative quantity and the second relative quantity corresponding to each measurement module determine the sum of squares of the first component of the first difference and the second component of the first difference; determine that the square root of the sum of squares is less than the first target threshold, then determine that the convergence state is used to indicate that the target filter converges correctly; It is determined that the square root of the sum of squares is not less than the first target threshold, and then the convergence state is determined to indicate that the target filter has erroneously converged.
在该实施例中,获取每个量测模块对应的第一相对量和第二相对量之间的第一差,也就是说,在获取每个量测模块的量测定位结果的第一量测帧和第二量测帧之间的第一相对量和预测定位结果中与第一量测帧对应的第一子预测定位结果和与第二量测帧对应的第二子预测定位结果之间的第二相对量之后,计算第一相对量和第二相对量之间的差值,将该差值确定为第一差,进而获取第一差。In this embodiment, the first difference between the first relative quantity and the second relative quantity corresponding to each measurement module is obtained, that is, when the first quantity of the measurement positioning result of each measurement module is obtained The first relative quantity between the measurement frame and the second measurement frame and the predicted positioning result between the first sub-predicted positioning result corresponding to the first measurement frame and the second sub-predicted positioning result corresponding to the second measurement frame. After the second relative quantity between the two is calculated, the difference between the first relative quantity and the second relative quantity is calculated, the difference is determined as the first difference, and then the first difference is obtained.
在该实施例中,确定第一差的第一分量与第一差的第二分量的平方和,也就是说,在获取到每个量测模块对应的第一相对量和第二相对量之间的第一差之后,进而便确定了第一差在三维空间中的三个分量,计算第一差的第一分量和第二分量的平方和,获取该平方和的数值。In this embodiment, the sum of the squares of the first component of the first difference and the second component of the first difference is determined, that is, after obtaining the sum of the first relative quantity and the second relative quantity corresponding to each measurement module After the first difference between the two, the three components of the first difference in the three-dimensional space are further determined, the sum of squares of the first component and the second component of the first difference is calculated, and the value of the sum of squares is obtained.
在该实施例中,第一差的第一分量和第二分量可以是确定与重力方向垂直的平面的两个分量。In this embodiment, the first and second components of the first difference may be two components that define a plane perpendicular to the direction of gravity.
在该实施例中,确定平方和的开方小于第一目标阈值,则确定收敛状态用于表示目标滤波器正确收敛,也就是说,在获取到第一差的第一分量和第二分量的平方和数值之后,进一步计算该平方和的开方的数值,通过确定该平方和的开方的数值小于第一目标阈值之后,确定此时将收敛状态用于表征目标滤波器正确收敛,也即此时的收敛状态为目标滤波器输出的P矩阵值减小至一个稳定的值。In this embodiment, it is determined that the square root of the sum of squares is smaller than the first target threshold, and the convergence state is determined to indicate that the target filter has converged correctly, that is, after the first component and the second component of the first difference are obtained After the value of the sum of squares, the value of the square root of the sum of squares is further calculated. After determining that the value of the square root of the sum of squares is less than the first target threshold, it is determined that the convergence state is used to characterize the correct convergence of the target filter, that is, The convergence state at this time is that the value of the P matrix output by the target filter is reduced to a stable value.
在该实施例中,确定平方和的开方不小于第一目标阈值,则确定收敛状态用于表示目标滤波器错误收敛,也就是说,当第一差的第一分量和第二分量的平方和的开方的数值不小于第一目标阈值时,则此时的收敛状态为目标滤波器错误收敛,也即此时的收敛状态为目标滤波器输出的P矩阵值没有减小至一个稳定的值。In this embodiment, it is determined that the square root of the sum of squares is not less than the first target threshold, and the convergence state is determined to indicate that the target filter is erroneously converged, that is, when the square of the first component and the second component of the first difference is When the value of the square root of the sum is not less than the first target threshold, the convergence state at this time is the error convergence of the target filter, that is, the convergence state at this time is that the P matrix value output by the target filter has not decreased to a stable value. value.
在该实施例中,第一目标阈值可以是校验系数与当前的每个量测模块所对应的量测帧的融合水平速度的乘积,以及保底阈值之间的最大值。In this embodiment, the first target threshold may be the product of the verification coefficient and the fused horizontal velocity of the current measurement frame corresponding to each measurement module, and the maximum value between the minimum guarantee thresholds.
作为一种可选的实施方式,在确定收敛状态用于表示目标滤波器错误收敛之后,所述方法还包括:基于平方和的开方对量测定位结果中当前量测帧的下一量测帧的第一原始置信度进行更新,得到第一目标置信度;基于下一量测帧和第一目标置信度对零偏数据进行更新。As an optional implementation manner, after determining that the convergence state is used to indicate that the target filter has erroneously converged, the method further includes: measuring the next measurement of the current measurement frame in the measurement result based on the square root of the sum of squares The first original confidence level of the frame is updated to obtain the first target confidence level; the zero offset data is updated based on the next measurement frame and the first target confidence level.
在该实施例中,基于平方和的开方对量测定位结果中当前量测帧的下一量测帧的第一原始置信度进行更新,得到第一目标置信度,也就是说,当确定收敛状态用于表示目标滤波器错误收敛之后,也即收敛状态为目标滤波器输出的P矩阵值没有减小至一个稳定的值之后,则对量测定位结果中当前量测帧的下一量测帧的第一原始置信度进行更新,得到第一目标置信度,此时,第一目标置信度为新的置信度。In this embodiment, the first original confidence level of the next measurement frame of the current measurement frame in the measurement positioning result is updated based on the square root of the sum of squares to obtain the first target confidence level, that is, when determining The convergence state is used to indicate that after the target filter has converged incorrectly, that is, the convergence state is that the P matrix value output by the target filter has not decreased to a stable value, then the next measurement of the current measurement frame in the measurement result is measured. The first original confidence level of the measured frame is updated to obtain the first target confidence level. At this time, the first target confidence level is a new confidence level.
在该实施例中,基于平方和的开方对量测定位结果中当前量测帧的下一量测帧的第一原始置信度进行更新,得到第一目标置信度的计算过程可以是:首先,计算每个量测模块的第一差的第一分量与第一差的第二分量的平方和的开方,然后计算每个测量模块第一差的第一分量和第一差的第二分量的平方和的开方的平均值,其次,下一帧量测值的置信度未知,可以用一个代数指代,计算下一测量帧的第一分量和第二分量的平方和的方差的值,计算量测值调整系数、下一帧量测值的置信度以及该方差的乘积,最后,将乘积的结果除以上述平均值,得到第一目标置信度。In this embodiment, the first original confidence level of the next measurement frame of the current measurement frame in the measurement positioning result is updated based on the square root, and the calculation process for obtaining the first target confidence level may be: first , calculate the square root of the sum of the squares of the first component of the first difference and the second component of the first difference of each measurement module, and then calculate the first component of the first difference of each measurement module and the second difference of the first difference The average value of the square root of the sum of squares of the components, and secondly, the confidence of the measurement value of the next frame is unknown, which can be referred to by an algebra to calculate the variance of the sum of squares of the first component and the second component of the next measurement frame value, calculate the product of the measurement value adjustment coefficient, the confidence level of the measurement value in the next frame, and the variance, and finally, divide the result of the product by the above average value to obtain the first target confidence level.
在该实施例中,基于下一量测帧和第一目标置信度对零偏数据进行更新,也就是说,通过计算得到第一目标置信度之后,基于当前测量帧的下一测量帧和第一目标置信度对IMU的零偏数据进行更新。In this embodiment, the zero offset data is updated based on the next measurement frame and the first target confidence, that is, after the first target confidence is obtained by calculation, the next measurement frame and the first target based on the current measurement frame A target confidence level updates the zero-bias data of the IMU.
在该实施例中,基于下一量测帧和第一目标置信度对零偏数据进行更新,可以是将下一测量和第一目标置信度代入到卡尔曼滤波进行量测更新。In this embodiment, to update the zero offset data based on the next measurement frame and the first target confidence level, the next measurement and the first target confidence level may be substituted into Kalman filtering to perform measurement update.
作为一种可选的实施方式,在确定收敛状态用于表示目标滤波器错误收敛之后,所述方法还包括:基于平方和的开方对预测定位结果对应的第二原始置信度进行更新,得到第二目标置信度;输出第二目标置信度。As an optional implementation manner, after determining that the convergence state is used to indicate that the target filter has erroneously converged, the method further includes: based on the square root of the sum of squares, updating the second original confidence level corresponding to the predicted positioning result to obtain Second target confidence; output the second target confidence.
在该实施例中,基于平方和的开方对预测定位结果对应的第二原始置信度进行更新,得到第二目标置信度,通过对惯性测量单元的零偏数据进行补偿得到预测定位结果之后,也即通过对IMU数据输出的误差项进行补偿得到预测定位结果之后,基于平方和的开方对预测定位结果对应的第二原始置信度进行更新,得到第二目标置信度。In this embodiment, the second original confidence level corresponding to the predicted positioning result is updated based on the square root of the sum to obtain the second target confidence level, and after the predicted positioning result is obtained by compensating the zero offset data of the inertial measurement unit, That is, after the predicted positioning result is obtained by compensating the error term output by the IMU data, the second original confidence level corresponding to the predicted positioning result is updated based on the square root of the sum to obtain the second target confidence level.
在该实施例中,基于平方和的开方对预测定位结果对应的第二原始置信度进行更新,得到第二目标置信度的计算过程可以是:首先,计算每个量测模块的第一差的第一分量与第一差的第二分量的平方和的开方,然后计算每个测量模块第一差的第一分量和第一差的第二分量的平方和的开方的平均值,其次,计算放大系数与第一原始置信度的乘积,最后将上述平均值和乘积作求和运算,得到更新后的第二目标置信度。In this embodiment, the second original confidence level corresponding to the predicted positioning result is updated based on the square root, and the calculation process for obtaining the second target confidence level may be: first, calculating the first difference of each measurement module The square root of the sum of squares of the first component of the first difference and the second component of the first difference is then calculated for each measurement module. Next, the product of the amplification factor and the first original confidence level is calculated, and finally the above average value and the product are summed to obtain the updated second target confidence level.
在该实施例中,输出第二目标置信度,通过上述方法重新确定融合定位输出的量测置信度,提前预报。In this embodiment, the second target confidence level is output, the measurement confidence level of the fusion positioning output is re-determined by the above method, and the prediction is made in advance.
作为一种可选的实施方式,基于多个新息结果确定对应的多个量测模块符合目标条件包括:获取多个新息结果中每两个新息结果之间的第二差,得到多个第二差;确定每个第二差满足第二目标阈值,则确定每个第二差对应的两个量测模块符合目标条件。As an optional implementation manner, determining that the corresponding multiple measurement modules meet the target condition based on the multiple innovation results includes: obtaining the second difference between every two innovation results in the multiple innovation results, and obtaining the multiple innovation results. determining that each second difference satisfies the second target threshold, then determining that the two measurement modules corresponding to each second difference meet the target condition.
在该实施例中,获取多个新息结果中每两个新息结果之间的第二差,得到多个第二差,也就是说,获取每个量测模块输出的新息结果中的每两个新息结果之间的第二差。In this embodiment, the second difference between every two innovation results in the plurality of innovation results is obtained, and a plurality of second differences are obtained, that is, the difference between the innovation results output by each measurement module is obtained. The second difference between every two innovation results.
在该实施例中,确定每个第二差满足第二目标阈值,则确定每个第二差对应的两个量测模块符合目标条件,也就是说,在获取多个新息结果中每两个新息结果之间的第二差之后,判断每个第二差是否满足第二目标阈值,则进一步判断每个第二差对应的两个量测模块是否符合目标条件。In this embodiment, it is determined that each second difference satisfies the second target threshold, then it is determined that the two measurement modules corresponding to each second difference meet the target condition, that is, every two measurement modules in the acquisition of multiple innovation results After the second difference between the new information results, it is judged whether each second difference satisfies the second target threshold, and then it is further judged whether the two measurement modules corresponding to each second difference meet the target condition.
在该实施例中,确定每个第二差满足第二目标阈值,则确定每个第二差对应的两个量测模块符合目标条件,包括:当各量测模块符合目标条件时,计合格次数加一次,当滤波接收到下一帧量测值时,继续判断第二差是否满足第二目标阈值的步骤,满足第二目标条件则计合格次数加一次,不满足则置零,直到合格次数大于某个设定值,则确定各测量模块稳定且一致,即符合目标条件。In this embodiment, it is determined that each second difference satisfies the second target threshold, and then the two measurement modules corresponding to each second difference are determined to meet the target condition, including: when each measurement module meets the target condition, count the qualified The number of times is added once, when the filter receives the next frame measurement value, continue to judge whether the second difference satisfies the second target threshold. If the second target condition is met, the number of qualified times is added once, if not, it is set to zero until it is qualified If the number of times is greater than a certain set value, it is determined that each measurement module is stable and consistent, that is, it meets the target condition.
作为一种可选的实施方式,获取多个新息结果中每两个新息结果之间的第二差包括:在转换到惯性测量单元的坐标系中的多个新息结果中,获取每两个新息结果之间的第二差。As an optional implementation manner, acquiring the second difference between every two innovation results in the plurality of innovation results includes: in the plurality of innovation results converted to the coordinate system of the inertial measurement unit, acquiring each The second difference between the two innovation results.
在该实施例中,在转换到惯性测量单元的坐标系中的多个新息结果中,获取每两个新息结果之间的第二差,也就是说,各个量测模块输出的量测结果为不同坐标系的数据,其中,激光雷达模块(Laser Radar,简称为Lidar)和视觉算法模块输出的结果为UTM坐标数据,而全球导航卫星系统(Global Navigation Satellite System,简称为GNSS)模块输出的结果为经纬高坐标数据,需要将其转为UTM坐标的数据,互相校验各量测模块的新息一致性,解算两两模块新息之差,获取每两个新息结果之间的第二差。In this embodiment, among the plurality of innovation results converted into the coordinate system of the inertial measurement unit, the second difference between every two innovation results is obtained, that is, the measurement output by each measurement module The results are data of different coordinate systems, among which, the results output by the laser radar module (Laser Radar, referred to as Lidar) and the visual algorithm module are UTM coordinate data, and the global navigation satellite system (Global Navigation Satellite System, referred to as GNSS) module output The result is the latitude and longitude coordinate data, which needs to be converted into UTM coordinate data, check the innovation consistency of each measurement module with each other, calculate the difference between the innovations of the two modules, and obtain the difference between each two innovation results. the second worst.
在该实施例中,在转换到惯性测量单元的坐标系中的多个新息结果中,包括:将各量测结果均经过各自传感器杆臂值补偿到IMU中心点上。In this embodiment, converting the multiple innovation results into the coordinate system of the inertial measurement unit includes: compensating each measurement result to the center point of the IMU through the lever arm value of the respective sensor.
作为一种可选的实施方式,步骤S106基于收敛状态确定惯性测量单元的零偏数据的数据状态包括:确定收敛状态用于表示目标滤波器正确收敛,则确定数据状态为准确状态。As an optional implementation manner, the step S106 determining the data state of the zero-bias data of the inertial measurement unit based on the convergence state includes: determining the convergence state to indicate that the target filter has correctly converged, then determining that the data state is an accurate state.
在该实施例中,确定收敛状态用于表示目标滤波器正确收敛,则确定数据状态为准确状态,也就是说,当确定收敛状态为目标滤波器输出的P矩阵值减小至一个稳定的值的时候,表明目标滤波器正确收敛,则确定数据状态为准确状态。In this embodiment, the determination of the convergence state is used to indicate that the target filter has correctly converged, and the data state is determined to be an accurate state, that is, when the determined convergence state is that the value of the P matrix output by the target filter is reduced to a stable value When the target filter is correctly converged, the data state is determined to be accurate.
作为一种可选的实施方式,步骤S108,基于数据状态确定是否输出预测定位结果包括:确定数据状态为准确状态,则输出预测定位结果。As an optional implementation manner, in step S108, determining whether to output the predicted positioning result based on the data state includes: determining that the data state is an accurate state, and then outputting the predicted positioning result.
在该实施例中,确定数据状态为准确状态,则输出预测定位结果,也就是说,当滤波收敛之后,确定数据状态为准确状态,则输出预测定位结果,对定位状态进行预报。In this embodiment, if the data state is determined to be accurate, the predicted positioning result is output, that is, after the filtering converges, it is determined that the data state is accurate, the predicted positioning result is output, and the positioning state is predicted.
该实施例通过基于多个新息结果确定对应的多个量测模块符合目标条件,则基于每个量测模块的量测定位结果确定收敛状态,其中,目标条件用于表征量测模块的量测性能;确定收敛状态用于表示目标滤波器正确收敛,则确定数据状态为准确状态;确定数据状态为准确状态,则输出预测定位结果,解决了对车辆进行定位的可靠性差的技术问题,达到了提高对车辆进行定位的可靠性的技术效果。In this embodiment, by determining that the corresponding multiple measurement modules meet the target condition based on the multiple innovation results, the convergence state is determined based on the measurement positioning result of each measurement module, wherein the target condition is used to characterize the quantity of the measurement module If the convergence state is determined to indicate the correct convergence of the target filter, the data state is determined to be an accurate state; if the data state is determined to be an accurate state, the predicted positioning result is output, which solves the technical problem of poor reliability of vehicle positioning and achieves The technical effect of improving the reliability of positioning the vehicle is achieved.
下面结合优选的实施方式对本公开实施例的上述技术方案进行进一步地举例说明。The above technical solutions of the embodiments of the present disclosure will be further illustrated below with reference to the preferred embodiments.
图2是根据本公开实施例的一种基于多源信息的融合滤波质量探测原理的示意图,如图2所示,该原理可以包括如下内容:FIG. 2 is a schematic diagram of a multi-source information-based fusion filtering quality detection principle according to an embodiment of the present disclosure. As shown in FIG. 2 , the principle may include the following:
首先,定位使用的主要传感器有LiDAR、GNSS、相机以及IMU;First, the main sensors used for positioning are LiDAR, GNSS, camera and IMU;
其次,LiDAR、相机算法模块输出的结果为UTM坐标,GNSS模块输出的为经纬高坐标;Secondly, the output results of the LiDAR and camera algorithm modules are UTM coordinates, and the output of the GNSS module is the latitude, longitude and altitude coordinates;
然后,需要将GNSS模块输出的经纬高坐标的结果转为UTM坐标;Then, the result of the latitude, longitude and altitude coordinates output by the GNSS module needs to be converted into UTM coordinates;
再其次,将上述量测结果均经过各自传感器杆臂值补偿到IMU的坐标系下;Secondly, the above measurement results are compensated to the coordinate system of the IMU through the respective sensor lever arm values;
最后,IMU通过使用卡尔曼滤波融合LiDAR、视觉和GNSS输出的量测结果输出融合定位结果,也以UTM坐标进行表示。Finally, the IMU outputs the fused localization results by fusing the LiDAR, vision and GNSS output measurements using a Kalman filter, also expressed in UTM coordinates.
在该实施例中,通过将各量测结果转换到IMU坐标系下,使用卡尔曼滤波融合各量测结果并输出融合定位结果,实现了校验各量测模块的质量探测,进而在IMU零偏估计异常的情况下将滤波输出的定位置信度调整至更接近真实误差的结果,对定位状态进行预报,从而解决了对车辆进行定位的可靠性差的技术问题,达到了提高对车辆进行定位的可靠性的技术效果。In this embodiment, by converting each measurement result to the IMU coordinate system, using Kalman filter to fuse each measurement result and outputting the fusion positioning result, the quality detection of each measurement module is verified, and then the quality detection of each measurement module is verified at IMU zero. In the case of abnormal partial estimation, the positioning reliability of the filtering output is adjusted to a result closer to the real error, and the positioning state is predicted, thereby solving the technical problem of poor reliability of vehicle positioning, and improving the accuracy of vehicle positioning. The technical effect of reliability.
图3是根据本公开实施例的一种校验各量测模块的质量稳定性的流程图,如图3所示,该流程可以包括以下步骤:FIG. 3 is a flow chart of verifying the quality stability of each measurement module according to an embodiment of the present disclosure. As shown in FIG. 3 , the flow chart may include the following steps:
步骤S302,获取每个量测模块的量测值的新息。Step S302, acquiring the information of the measurement value of each measurement module.
在本公开上述步骤S302提供的技术方案中,获取每个量测模块的量测值的新息,以GNSS量测模块为例,当输出的gnss结果转为UTM坐标时,每来一帧GNSS的量测结果,记为对应时间记为T1,取此时T1内插得到的融合定位结果记为融合定位此时的相对于导航坐标系的姿态矩阵为按照下面公式计算得到该帧GNSS量测的新息结果Δpinno-G:In the technical solution provided by the above step S302 of the present disclosure, the information of the measurement value of each measurement module is obtained. Taking the GNSS measurement module as an example, when the output gnss result is converted into UTM coordinates, each frame of GNSS The measurement result of , denoted as The corresponding time is denoted as T1 , and the fusion positioning result obtained by the interpolation of T1 at this time is denoted as The attitude matrix relative to the navigation coordinate system at this time of fusion positioning is: Calculate the innovation result Δpinno-G of the GNSS measurement in this frame according to the following formula:
将Δpinno-G由导航坐标系转到IMU坐标系(x-y-z对应IMU坐标系的右-前-上),如下式得到Transfer Δpinno-G from the navigation coordinate system to the IMU coordinate system (xyz corresponds to the right-front-upper of the IMU coordinate system), as follows:
之后在一个窗口期内,以同样的方式得到离GNSS时间T1最近的LiDAR和视觉量测新息,分别记为和其中,窗口期表示时间段。Then in a window period, the LiDAR and visual measurement innovations closest to the GNSS time T1 are obtained in the same way, which are denoted as and Among them, the window period represents the time period.
可选地,窗口期可以是2秒,由于一般GNSS输出频率为1-5hz,LiDAR输出频率1-5hz,视觉输出频率1-5hz,所以在2s的时间长度,可以接收GNSS和LiDar以及视觉的结果,用来进行比较。Optionally, the window period can be 2 seconds. Since the general GNSS output frequency is 1-5hz, the LiDAR output frequency is 1-5hz, and the visual output frequency is 1-5hz, so in the time length of 2s, it is possible to receive GNSS and LiDar and visual The results are used for comparison.
步骤S304,互相校验各量测模块的新息一致性,解算两两模块新息之差。In step S304, the innovation consistency of each measurement module is checked with each other, and the difference between the innovations of the two modules is calculated.
在本公开上述步骤S304提供的技术方案中,可以通过计算两两模块新息之差来校验各量测模块的新息一致性,如下式:In the technical solution provided in the above step S304 of the present disclosure, the innovation consistency of each measurement module can be checked by calculating the difference between the innovations of the two modules, as follows:
当满足下式时,τ表示最大允许水平误差值(根据精度需要,这里取0.5米),ε表示最大允许横向误差值(根据精度需要,这里取0.3米),则认为此时各量测模块合格且一致,记合格Ncount加一次。When the following formula is satisfied, τ represents the maximum allowable horizontal error value (according to the accuracy requirements, here is 0.5 meters), ε represents the maximum allowable lateral error value (according to the accuracy requirements, here is 0.3 meters), it is considered that each measurement module at this time Qualified and consistent, record the qualified Ncount and add it once.
步骤S306,计各量测模块合格且一致的次数,判断是否符合滤波质量探测条件;Step S306, counting the qualified and consistent times of each measurement module, and judging whether the filter quality detection conditions are met;
在本公开上述步骤S306提供的技术方案中,当滤波接收到下一帧量测值时,继续执行步骤S302和S304,满足合格Ncount加一次,不满足则置0,若合格Ncount大于χ次,则认为各量测值模块稳定且一致,符合滤波质量探测条件。In the technical solution provided by the above step S306 of the present disclosure, when the measurement value of the next frame is received by filtering, the steps S302 and S304 are continued to be performed, and the qualified Ncount is added once, if not, it is set to 0, if the qualified Ncount is greater than χ times, it is considered that each measurement value module is stable and consistent, and meets the filtering quality detection conditions.
可选地,根据实际量测频率需要,χ可以取值为3。Optionally, according to actual measurement frequency requirements, χ can be set to be 3.
在该实施例中,通过获取每个量测模块的量测值的新息,互相校验各量测模块的新息一致性,解算两两模块新息之差,计各量测模块合格且一致的次数,进而判断是否符合滤波质量探测条件,实现了校验各量测模块模块的质量稳定性,以确定符合滤波质量探测条件。In this embodiment, by obtaining the innovation of the measurement value of each measurement module, verifying the consistency of the innovation of each measurement module with each other, calculating the difference between the innovations of the two modules, and calculating that each measurement module is qualified And the number of times is consistent, and then it is judged whether the filter quality detection conditions are met, and the quality stability of each measurement module module is verified to determine whether the filter quality detection conditions are met.
图4是根据本公开实施例的一种基于多源信息的融合滤波质量探测过程的流程图,如图3所示,该流程可以包括以下步骤:4 is a flowchart of a multi-source information-based fusion filtering quality detection process according to an embodiment of the present disclosure. As shown in FIG. 3 , the process may include the following steps:
步骤S402,确定各量测模块稳定且一致,符合滤波质量探测条件。Step S402, it is determined that each measurement module is stable and consistent, and meets the filtering quality detection conditions.
在本公开上述步骤S402提供的技术方案中,图3提供了确定各量测模块稳定且一致,符合滤波质量探测条件的具体内容,当滤波接收到下一帧量测值时,继续执行图3中的步骤S302和S304,满足合格Ncount加一次,不满足则置零,若合格Ncount大于χ次,则认为各量测值模块稳定且一致,符合滤波质量探测条件,执行步骤S404,否则继续执行步骤S402,其中,根据实际量测频率需要,χ可以取值为3。In the technical solution provided by the above step S402 of the present disclosure, FIG. 3 provides the specific content of determining that each measurement module is stable and consistent, and meets the filtering quality detection conditions. When the filtering receives the next frame of measurement value, continue to execute FIG. 3 In steps S302 and S304, if the qualified Ncount is added once, if the qualified N count is not satisfied, it is set to zero. If the qualified Ncount is greater than χ times, it is considered that each measurement value module is stable and consistent, and the filtering quality detection conditions are met, and step S404 is executed, otherwise Continue to perform step S402, wherein, according to the actual measurement frequency requirement, χ may be 3.
步骤S404,判断融合的卡尔曼滤波的状态,检测滤波对IMU零偏的估计状态是否准确。Step S404, judging the state of the fused Kalman filter, and detecting whether the estimated state of the IMU bias by the filter is accurate.
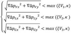
在本公开上述步骤S404提供的技术方案中,待各量测模块质量一致性通过时,取各自量模块的最近两帧量测值进行相对pose计算,并与对应时间的融合定位计算得到的相对pose进行比较。如上图1所示,当各模块通过步骤二的校验时,在T1收到视觉量测值,可以得到当前视觉量测帧与上一视觉量测帧的相对位置,记为ΔpV,同时得到两帧之间融合定位的相对位置,记为ΔPV,计算ΔpV与ΔPV之差如下式:In the technical solution provided in the above step S404 of the present disclosure, when the quality consistency of each measurement module is passed, the measurement values of the last two frames of each measurement module are taken for relative pose calculation, and the relative pose calculation obtained by the fusion positioning calculation at the corresponding time is carried out. pose for comparison. As shown in Figure 1 above, when each module passes the verification of step 2, the visual measurement value is received at T1 , and the relative position of the current visual measurement frame and the previous visual measurement frame can be obtained, which is denoted as ΔpV , At the same time, the relative position of the fusion positioning between the two frames is obtained, denoted as ΔPV , and the difference between ΔpV and ΔPV is calculated as follows:
同理得到T2时刻LiDAR量测帧对应的Similarly, the correspondingLiDAR measurement frame at time T2 is obtained.
T3时刻GNSS量测帧对应的Corresponding to the GNSS measurement frame at time T3
对上述变量进行如下判断:The above variables are judged as follows:
其中,ξ为校验系数,与速度相关,κ为保底阈值,V1为T1时刻视觉量测帧对应的融合水平速度,V2为T2时刻LiDAR量测帧对应的融合水平速度,V3为T3时刻GNSS量测帧对应的融合水平速度。Among them, ξ is the calibration coefficient, which is related to the speed, κ is the bottom guarantee threshold, V1 is the fusion horizontal speed corresponding to the visual measurement frame at time T1 , V2 is the fusion horizontal speed corresponding to the LiDAR measurement frame at time T2 , V3 is thefused horizontal velocity corresponding to the GNSS measurement frame at time T3.
可选地,ξ可以取值为0.1秒,κ可以取值为0.3米。Optionally, ξ can take a value of 0.1 seconds, and κ can take a value of 0.3 meters.
若满足上面公式其中一个,则认为此时滤波质量正常,IMU的零偏均得到正常估计,则不做处理,重新进入步骤一。若不满足,则认为此时滤波错误收敛,执行步骤S306。If one of the above formulas is satisfied, it is considered that the filtering quality is normal at this time, and the zero offset of the IMU is normally estimated, so no processing is performed, and step 1 is re-entered. If not, it is considered that the filtering error has converged at this time, and step S306 is executed.
步骤S406,在IMU零偏估计异常的情况下将滤波输出的定位置信度调整至更接近真实误差的结果,对定位状态进行预报。Step S406 , in the case that the IMU zero bias estimation is abnormal, the positioning reliability of the filtering output is adjusted to a result closer to the real error, and the positioning state is predicted.
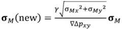
重新确定融合定位输出的量测置信度,提前预报,此时对当前融合定位模块即将输出的置信度做如下处理,记当前融合位置置信度σp(这里为标准差,非方差),记更新后的位置置信度σp(new):Re-determine the measurement confidence of the fusion positioning output and forecast in advance. At this time, the confidence that the current fusion positioning module is about to output is processed as follows, record the current fusion position confidenceσp (here is the standard deviation, non-variance), record the update Post position confidence σp (new):
其中,为放大系数,可选地,可以取值为3.0。in, is the magnification factor, optionally, Can take a value of 3.0.
同时提升量测的置信度,增强融合定位因imu零偏过大快速修正的能力,具体操作如下,设下一帧量测值的置信度为σM=[σMx σMy σMz]T(这里为标准差,非方差),进行置信度提升,处理如下:At the same time, the confidence of the measurement is improved, and the ability to quickly correct the fusion positioning due to too large imu zero offset is enhanced. The specific operation is as follows, and the confidence of the measurement value of the next frame is set as σM = [σMx σMy σMz ]T ( Here is the standard deviation, non-variance), to improve the confidence, the processing is as follows:
其中,γ为量测值调整系数,可选地,γ可以取值为2。Wherein, γ is a measurement value adjustment coefficient, and optionally, γ can take a value of 2.
更新完量测值的置信度后,接下来直接将量测值和新的置信度σM(new)代入到卡尔曼滤波进行量测更新即可。After updating the confidence of the measured value, then directly substitute the measured value and the new confidence σM (new) into the Kalman filter to update the measurement.
在该实施例中,通过确定各量测模块符合滤波质量探测条件之后,判断融合的卡尔曼滤波的状态,检测滤波对IMU零偏的估计状态是否准确,在IMU零偏估计异常的情况下将滤波输出的定位置信度调整至更接近真实误差的结果,对定位状态进行预报,解决了对车辆进行定位的可靠性差的技术问题,达到了提高对车辆进行定位的可靠性的技术效果。In this embodiment, after it is determined that each measurement module meets the filtering quality detection conditions, the state of the fused Kalman filter is judged to detect whether the estimated state of the IMU bias by the filter is accurate. The positioning reliability of the filtering output is adjusted to a result closer to the real error, and the positioning state is predicted, which solves the technical problem of poor positioning reliability of the vehicle, and achieves the technical effect of improving the reliability of positioning the vehicle.
本公开实施例还提供了一种用于执行图1所示的定位数据处理装置。An embodiment of the present disclosure further provides an apparatus for executing the positioning data processing shown in FIG. 1 .
图5是根据本公开实施例的一种定位数据处理装置的示意图。如图5所示,该定位数据处理装置50可以包括:获取单元51,第一确定单元52,第二确定单元53,第三确定单元54。FIG. 5 is a schematic diagram of a positioning data processing apparatus according to an embodiment of the present disclosure. As shown in FIG. 5 , the positioning data processing apparatus 50 may include: an acquisition unit 51 , a first determination unit 52 , a second determination unit 53 , and a third determination unit 54 .
获取单元51,用于获取目标车辆的多个新息结果,其中,每个新息结果为由目标车辆的量测定位结果和预测定位结果得到,量测定位结果为由目标车辆的一个量测模块对目标车辆进行定位得到,预测定位结果为基于对惯性测量单元的零偏数据进行补偿得到,零偏数据为由目标滤波器对转换到惯性单元中的多个测量定位结果进行融合得到。The obtaining unit 51 is used to obtain a plurality of innovation results of the target vehicle, wherein each innovation result is obtained from the measurement positioning result and the predicted positioning result of the target vehicle, and the measurement positioning result is obtained by a measurement of the target vehicle. The module locates the target vehicle, and the predicted positioning result is obtained by compensating the zero-bias data of the inertial measurement unit. The zero-bias data is obtained by fusing multiple measurement and positioning results converted into the inertial unit by the target filter.
第一确定单元52,用于基于多个新息结果确定目标滤波器的收敛状态。The first determining unit 52 is configured to determine the convergence state of the target filter based on the multiple innovation results.
第二确定单元53,用于基于收敛状态确定零偏数据的数据状态。The second determining unit 53 is configured to determine the data state of the zero offset data based on the convergence state.
第三确定单元54,用于基于数据状态确定是否输出预测定位结果。The third determining unit 54 is configured to determine whether to output the predicted positioning result based on the data state.
在该实施例中,通过获取单元51获取目标车辆的多个新息结果,第一确定单元52基于多个新息结果确定目标滤波器的收敛状态,第二确定单元53基于收敛状态确定零偏数据的数据状态,第三确定单元基于数据状态确定是否输出预测定位结果,实现了在IMU零偏估计异常的情况下将滤波输出的定位置信度调整至更接近真实误差的结果,对定位状态进行预报,从而解决了对车辆进行定位的可靠性差的技术问题,达到了提高对车辆进行定位的可靠性的技术效果。In this embodiment, the acquisition unit 51 acquires multiple innovation results of the target vehicle, the first determination unit 52 determines the convergence state of the target filter based on the multiple innovation results, and the second determination unit 53 determines the zero offset based on the convergence state The data state of the data, the third determination unit determines whether to output the predicted positioning result based on the data state, which realizes that the fixed position reliability of the filtering output is adjusted to a result closer to the real error in the case of abnormal IMU zero-bias estimation, and the positioning state is carried out. Therefore, the technical problem of poor reliability of positioning the vehicle is solved, and the technical effect of improving the reliability of positioning the vehicle is achieved.
本公开的技术方案中,所涉及的用户个人信息的获取,存储和应用等,均符合相关法律法规的规定,且不违背公序良俗。In the technical solution of the present disclosure, the acquisition, storage and application of the user's personal information involved are all in compliance with the provisions of relevant laws and regulations, and do not violate public order and good customs.
根据本公开的实施例,本公开还提供了一种电子设备、一种可读存储介质和一种计算机程序产品。According to embodiments of the present disclosure, the present disclosure also provides an electronic device, a readable storage medium, and a computer program product.
本公开的实施例提供了一种电子设备,该电子设备包括:至少一个处理器;以及与至少一个处理器通信连接的存储器;其中,存储器存储有可被至少一个处理器执行的指令,指令被至少一个处理器执行,以使至少一个处理器能够执行本公开实施例的定位数据处理的方法。Embodiments of the present disclosure provide an electronic device comprising: at least one processor; and a memory communicatively connected to the at least one processor; wherein the memory stores instructions executable by the at least one processor, and the instructions are executed by the at least one processor. The at least one processor executes, so that the at least one processor can execute the method for positioning data processing of the embodiment of the present disclosure.
可选地,上述电子设备还可以包括传输设备以及输入输出设备,其中,该传输设备和上述处理器连接,该输入输出设备和上述处理器连接。Optionally, the electronic device may further include a transmission device and an input/output device, wherein the transmission device is connected to the processor, and the input/output device is connected to the processor.
可选地,在本实施例中,上述非易失性存储介质可以被设备为存储用于执行以下步骤的计算机程序:Optionally, in this embodiment, the above-mentioned non-volatile storage medium may be used by the device to store a computer program for executing the following steps:
S102,获取目标车辆的多个新息结果,其中,每个新息结果为由目标车辆的量测定位结果和预测定位结果得到,量测定位结果为由目标车辆的一个量测模块对目标车辆进行定位得到,预测定位结果为基于对惯性测量单元的零偏数据进行补偿得到,零偏数据为由目标滤波器对转换到惯性单元中的多个测量定位结果进行融合得到;S102, acquiring a plurality of innovation results of the target vehicle, wherein each innovation result is obtained from the measurement positioning result and the predicted positioning result of the target vehicle, and the measurement positioning result is the measurement of the target vehicle by a measurement module of the target vehicle. Obtained by positioning, the predicted positioning result is obtained by compensating the zero-bias data of the inertial measurement unit, and the zero-bias data is obtained by fusing multiple measurement and positioning results converted into the inertial unit by the target filter;
S104,基于多个新息结果确定目标滤波器的收敛状态;S104, determining the convergence state of the target filter based on multiple innovation results;
S106,基于收敛状态确定零偏数据的数据状态;S106, determine the data state of the zero offset data based on the convergence state;
S108,基于数据状态确定是否输出预测定位结果。S108, based on the data state, determine whether to output the predicted positioning result.
可选地,在本实例中,上述非瞬时计算机可读存储介质可以包括但不限于电子的、磁性的、光学的、电磁的、红外的、或半导体系统、装置或设备,或者上述内容的任何合适组合。可读存储介质的更具体示例会包括基于一个或多个线的电气连接、便携式计算机盘、硬盘、随机存取存储器(RAM)、只读存储器(ROM)、可擦除可编程只读存储器(EPROM或快闪存储器)、光纤、便捷式紧凑盘只读存储器(CD-ROM)、光学储存设备、磁储存设备、或上述内容的任何合适组合。Optionally, in this example, the above-mentioned non-transitory computer-readable storage medium may include, but is not limited to, electronic, magnetic, optical, electromagnetic, infrared, or semiconductor systems, devices or devices, or any of the foregoing. suitable combination. More specific examples of readable storage media would include one or more wire-based electrical connections, portable computer disks, hard disks, random access memory (RAM), read only memory (ROM), erasable programmable read only memory ( EPROM or flash memory), fiber optics, compact disk read only memory (CD-ROM), optical storage devices, magnetic storage devices, or any suitable combination of the foregoing.
根据本公开的实施例,本公开还提供了一种计算机程序产品,包括计算机程序,该计算机程序在被处理器执行时实现以下步骤:According to an embodiment of the present disclosure, the present disclosure also provides a computer program product, including a computer program, the computer program implements the following steps when executed by a processor:
S102,获取目标车辆的多个新息结果,其中,每个新息结果为由目标车辆的量测定位结果和预测定位结果得到,量测定位结果为由目标车辆的一个量测模块对目标车辆进行定位得到,预测定位结果为基于对惯性测量单元的零偏数据进行补偿得到,零偏数据为由目标滤波器对转换到惯性单元中的多个测量定位结果进行融合得到;S102, acquiring a plurality of innovation results of the target vehicle, wherein each innovation result is obtained from the measurement positioning result and the predicted positioning result of the target vehicle, and the measurement positioning result is the measurement of the target vehicle by a measurement module of the target vehicle. Obtained by positioning, the predicted positioning result is obtained by compensating the zero-bias data of the inertial measurement unit, and the zero-bias data is obtained by fusing multiple measurement and positioning results converted into the inertial unit by the target filter;
S104,基于多个新息结果确定目标滤波器的收敛状态;S104, determining the convergence state of the target filter based on multiple innovation results;
S106,基于收敛状态确定零偏数据的数据状态;S106, determine the data state of the zero offset data based on the convergence state;
S108,基于数据状态确定是否输出预测定位结果。S108, based on the data state, determine whether to output the predicted positioning result.
根据本公开的实施例,本公开还提供了一种自动驾驶车辆,包括本公开实施例的定位数据处理装置或本公开实施例的电子设备。According to an embodiment of the present disclosure, the present disclosure further provides an autonomous driving vehicle, including the positioning data processing apparatus of the embodiment of the present disclosure or the electronic device of the embodiment of the present disclosure.
图6是根据本公开实施例的一种电子设备的示意性框图。电子设备旨在表示各种形式的数字计算机,诸如,膝上型计算机、台式计算机、工作台、个人数字助理、服务器、刀片式服务器、大型计算机、和其它适合的计算机。电子设备还可以表示各种形式的移动装置,诸如,个人数字处理、蜂窝电话、智能电话、可穿戴设备和其它类似的计算装置。本文所示的部件、它们的连接和关系、以及它们的功能仅仅作为示例,并且不意在限制本文中描述的和/或者要求的本公开的实现。FIG. 6 is a schematic block diagram of an electronic device according to an embodiment of the present disclosure. Electronic devices are intended to represent various forms of digital computers, such as laptops, desktops, workstations, personal digital assistants, servers, blade servers, mainframe computers, and other suitable computers. Electronic devices may also represent various forms of mobile devices, such as personal digital processors, cellular phones, smart phones, wearable devices, and other similar computing devices. The components shown herein, their connections and relationships, and their functions are by way of example only, and are not intended to limit implementations of the disclosure described and/or claimed herein.
如图6所示,设备600包括计算单元601,其可以根据存储在只读存储器(ROM)602中的计算机程序或者从存储单元608加载到随机访问存储器(RAM)603中的计算机程序,来执行各种适当的动作和处理。在RAM 603中,还可存储设备600操作所需的各种程序和数据。计算单元601、ROM 602以及RAM 603通过总线604彼此相连。输入/输出(I/O)接口605也连接至总线604。As shown in FIG. 6 , the
设备600中的多个部件连接至I/O接口605,包括:输入单元606,例如键盘、鼠标等;输出单元607,例如各种类型的显示器、扬声器等;存储单元608,例如磁盘、光盘等;以及通信单元609,例如网卡、调制解调器、无线通信收发机等。通信单元609允许设备600通过诸如因特网的计算机网络和/或各种电信网络与其他设备交换信息/数据。Various components in the
计算单元601可以是各种具有处理和计算能力的通用和/或专用处理组件。计算单元601的一些示例包括但不限于中央处理单元(CPU)、图形处理单元(GPU)、各种专用的人工智能(AI)计算芯片、各种运行机器学习模型算法的计算单元、数字信号处理器(DSP)、以及任何适当的处理器、控制器、微控制器等。计算单元601执行上文所描述的各个方法和处理,例如方法确定各量测模块符合滤波质量探测条件。例如,在一些实施例中,方法确定各量测模块符合滤波质量探测条件可被实现为计算机软件程序,其被有形地包含于机器可读介质,例如存储单元608。在一些实施例中,计算机程序的部分或者全部可以经由ROM 602和/或通信单元609而被载入和/或安装到设备600上。当计算机程序加载到RAM 603并由计算单元601执行时,可以执行上文描述的方法确定各量测模块符合滤波质量探测条件的一个或多个步骤。备选地,在其他实施例中,计算单元601可以通过其他任何适当的方式(例如,借助于固件)而被配置为执行方法确定各量测模块符合滤波质量探测条件。
本文中以上描述的系统和技术的各种实施方式可以在数字电子电路系统、集成电路系统、场可编程门阵列(FPGA)、专用集成电路(ASIC)、专用标准产品(ASSP)、芯片上系统的系统(SOC)、负载可编程逻辑设备(CPLD)、计算机硬件、固件、软件、和/或它们的组合中实现。这些各种实施方式可以包括:实施在一个或者多个计算机程序中,该一个或者多个计算机程序可在包括至少一个可编程处理器的可编程系统上执行和/或解释,该可编程处理器可以是专用或者通用可编程处理器,可以从存储系统、至少一个输入装置、和至少一个输出装置接收数据和指令,并且将数据和指令传输至该存储系统、该至少一个输入装置、和该至少一个输出装置。Various implementations of the systems and techniques described herein above may be implemented in digital electronic circuitry, integrated circuit systems, field programmable gate arrays (FPGAs), application specific integrated circuits (ASICs), application specific standard products (ASSPs), systems on chips system (SOC), load programmable logic device (CPLD), computer hardware, firmware, software, and/or combinations thereof. These various embodiments may include being implemented in one or more computer programs executable and/or interpretable on a programmable system including at least one programmable processor that The processor, which may be a special purpose or general-purpose programmable processor, may receive data and instructions from a storage system, at least one input device, and at least one output device, and transmit data and instructions to the storage system, the at least one input device, and the at least one output device an output device.
用于实施本公开的方法的程序代码可以采用一个或多个编程语言的任何组合来编写。这些程序代码可以提供给通用计算机、专用计算机或其他可编程数据处理装置的处理器或控制器,使得程序代码当由处理器或控制器执行时使流程图和/或框图中所规定的功能/操作被实施。程序代码可以完全在机器上执行、部分地在机器上执行,作为独立软件包部分地在机器上执行且部分地在远程机器上执行或完全在远程机器或服务器上执行。Program code for implementing the methods of the present disclosure may be written in any combination of one or more programming languages. These program codes may be provided to a processor or controller of a general purpose computer, special purpose computer or other programmable data processing apparatus, such that the program code, when executed by the processor or controller, performs the functions/functions specified in the flowcharts and/or block diagrams. Action is implemented. The program code may execute entirely on the machine, partly on the machine, partly on the machine and partly on a remote machine as a stand-alone software package or entirely on the remote machine or server.
在本公开的上下文中,机器可读介质可以是有形的介质,其可以包含或存储以供指令执行系统、装置或设备使用或与指令执行系统、装置或设备结合地使用的程序。机器可读介质可以是机器可读信号介质或机器可读储存介质。机器可读介质可以包括但不限于电子的、磁性的、光学的、电磁的、红外的、或半导体系统、装置或设备,或者上述内容的任何合适组合。机器可读存储介质的更具体示例会包括基于一个或多个线的电气连接、便携式计算机盘、硬盘、随机存取存储器(RAM)、只读存储器(ROM)、可擦除可编程只读存储器(EPROM或快闪存储器)、光纤、便捷式紧凑盘只读存储器(CD-ROM)、光学储存设备、磁储存设备、或上述内容的任何合适组合。In the context of the present disclosure, a machine-readable medium may be a tangible medium that may contain or store a program for use by or in connection with the instruction execution system, apparatus or device. The machine-readable medium may be a machine-readable signal medium or a machine-readable storage medium. Machine-readable media may include, but are not limited to, electronic, magnetic, optical, electromagnetic, infrared, or semiconductor systems, devices, or devices, or any suitable combination of the foregoing. More specific examples of machine-readable storage media would include one or more wire-based electrical connections, portable computer disks, hard disks, random access memory (RAM), read only memory (ROM), erasable programmable read only memory (EPROM or flash memory), fiber optics, compact disk read only memory (CD-ROM), optical storage, magnetic storage, or any suitable combination of the foregoing.
为了提供与用户的交互,可以在计算机上实施此处描述的系统和技术,该计算机具有:用于向用户显示信息的显示装置(例如,CRT(阴极射线管)或者LCD(液晶显示器)监视器);以及键盘和指向装置(例如,鼠标或者轨迹球),用户可以通过该键盘和该指向装置来将输入提供给计算机。其它种类的装置还可以用于提供与用户的交互;例如,提供给用户的反馈可以是任何形式的传感反馈(例如,视觉反馈、听觉反馈、或者触觉反馈);并且可以用任何形式(包括声输入、语音输入或者、触觉输入)来接收来自用户的输入。To provide interaction with a user, the systems and techniques described herein may be implemented on a computer having a display device (eg, a CRT (cathode ray tube) or LCD (liquid crystal display) monitor) for displaying information to the user ); and a keyboard and pointing device (eg, a mouse or trackball) through which a user can provide input to the computer. Other kinds of devices can also be used to provide interaction with the user; for example, the feedback provided to the user can be any form of sensory feedback (eg, visual feedback, auditory feedback, or tactile feedback); and can be in any form (including acoustic input, voice input, or tactile input) to receive input from the user.
可以将此处描述的系统和技术实施在包括后台部件的计算系统(例如,作为数据服务器)、或者包括中间件部件的计算系统(例如,应用服务器)、或者包括前端部件的计算系统(例如,具有图形用户界面或者网络浏览器的用户计算机,用户可以通过该图形用户界面或者该网络浏览器来与此处描述的系统和技术的实施方式交互)、或者包括这种后台部件、中间件部件、或者前端部件的任何组合的计算系统中。可以通过任何形式或者介质的数字数据通信(例如,通信网络)来将系统的部件相互连接。通信网络的示例包括:局域网(LAN)、广域网(WAN)和互联网。The systems and techniques described herein may be implemented on a computing system that includes back-end components (eg, as a data server), or a computing system that includes middleware components (eg, an application server), or a computing system that includes front-end components (eg, a user computer having a graphical user interface or web browser through which a user may interact with implementations of the systems and techniques described herein), or including such backend components, middleware components, Or any combination of front-end components in a computing system. The components of the system may be interconnected by any form or medium of digital data communication (eg, a communication network). Examples of communication networks include: Local Area Networks (LANs), Wide Area Networks (WANs), and the Internet.
计算机系统可以包括客户端和服务器。客户端和服务器一般远离彼此并且通常通过通信网络进行交互。通过在相应的计算机上运行并且彼此具有客户端-服务器关系的计算机程序来产生客户端和服务器的关系。服务器可以是云服务器,也可以为分布式系统的服务器,或者是结合了区块链的服务器。A computer system can include clients and servers. Clients and servers are generally remote from each other and usually interact through a communication network. The relationship of client and server arises by computer programs running on the respective computers and having a client-server relationship to each other. The server can be a cloud server, a distributed system server, or a server combined with blockchain.
应该理解,可以使用上面所示的各种形式的流程,重新排序、增加或删除步骤。例如,本发公开中记载的各步骤可以并行地执行也可以顺序地执行也可以不同的次序执行,只要能够实现本公开公开的技术方案所期望的结果,本文在此不进行限制。It should be understood that steps may be reordered, added or deleted using the various forms of flow shown above. For example, the steps described in the present disclosure can be executed in parallel, sequentially, or in different orders. As long as the desired results of the technical solutions disclosed in the present disclosure can be achieved, there is no limitation herein.
上述具体实施方式,并不构成对本公开保护范围的限制。本领域技术人员应该明白的是,根据设计要求和其他因素,可以进行各种修改、组合、子组合和替代。任何在本公开的精神和原则之内所作的修改、等同替换和改进等,均应包含在本公开保护范围之内。The above-mentioned specific embodiments do not constitute a limitation on the protection scope of the present disclosure. It should be understood by those skilled in the art that various modifications, combinations, sub-combinations and substitutions may occur depending on design requirements and other factors. Any modifications, equivalent replacements, and improvements made within the spirit and principles of the present disclosure should be included within the protection scope of the present disclosure.
| Application Number | Priority Date | Filing Date | Title |
|---|---|---|---|
| CN202111434332.7ACN114199236B (en) | 2021-11-29 | 2021-11-29 | Method, device, electronic device and autonomous driving vehicle for processing positioning data |
| Application Number | Priority Date | Filing Date | Title |
|---|---|---|---|
| CN202111434332.7ACN114199236B (en) | 2021-11-29 | 2021-11-29 | Method, device, electronic device and autonomous driving vehicle for processing positioning data |
| Publication Number | Publication Date |
|---|---|
| CN114199236Atrue CN114199236A (en) | 2022-03-18 |
| CN114199236B CN114199236B (en) | 2025-02-21 |
| Application Number | Title | Priority Date | Filing Date |
|---|---|---|---|
| CN202111434332.7AActiveCN114199236B (en) | 2021-11-29 | 2021-11-29 | Method, device, electronic device and autonomous driving vehicle for processing positioning data |
| Country | Link |
|---|---|
| CN (1) | CN114199236B (en) |
| Publication number | Priority date | Publication date | Assignee | Title |
|---|---|---|---|---|
| CN115127561A (en)* | 2022-06-29 | 2022-09-30 | 北京百度网讯科技有限公司 | Object localization methods, devices, autonomous vehicles, and edge computing platforms |
| CN115825999A (en)* | 2023-02-22 | 2023-03-21 | 广州导远电子科技有限公司 | Filter state monitoring method and device, electronic equipment and storage medium |
| Publication number | Priority date | Publication date | Assignee | Title |
|---|---|---|---|---|
| CN101770024A (en)* | 2010-01-25 | 2010-07-07 | 上海交通大学 | Multi-target tracking method |
| US20120022784A1 (en)* | 2010-06-25 | 2012-01-26 | Thales | Navigation filter for a navigation system using terrain correlation |
| RU2617565C1 (en)* | 2015-12-02 | 2017-04-25 | Акционерное общество "Раменское приборостроительное конструкторское бюро" | Method of inertial data estimation and its correction according to measurement of satellite navigation system |
| CN106885570A (en)* | 2017-02-24 | 2017-06-23 | 南京理工大学 | A kind of tight integration air navigation aid based on robust SCKF filtering |
| US20170299730A1 (en)* | 2015-06-29 | 2017-10-19 | Deere & Company | Satellite navigation receiver and method for switching between real-time kinematic mode and precise positioning mode |
| US20180095159A1 (en)* | 2015-04-01 | 2018-04-05 | Safran Electronics & Defense | Method for tracking the navigation of a mobile carrier with an extended kalman filter |
| CN108896986A (en)* | 2018-04-23 | 2018-11-27 | 电子科技大学 | A kind of measurement conversion Sequential filter maneuvering target tracking method based on predicted value |
| CN110017850A (en)* | 2019-04-19 | 2019-07-16 | 小狗电器互联网科技(北京)股份有限公司 | A kind of gyroscopic drift estimation method, device and positioning system |
| CN110879400A (en)* | 2019-11-27 | 2020-03-13 | 炬星科技(深圳)有限公司 | Method, equipment and storage medium for fusion positioning of laser radar and IMU |
| CN111811521A (en)* | 2020-07-09 | 2020-10-23 | 北京百度网讯科技有限公司 | Positioning method and device, electronic equipment, vehicle-end equipment, autonomous vehicle |
| CN112013836A (en)* | 2020-08-14 | 2020-12-01 | 北京航空航天大学 | Attitude heading reference system algorithm based on improved adaptive Kalman filtering |
| CN112987560A (en)* | 2021-04-19 | 2021-06-18 | 长沙智能驾驶研究院有限公司 | Filter control method, device, equipment and computer storage medium |
| US20210188312A1 (en)* | 2019-12-19 | 2021-06-24 | Motional Ad Llc | Foreground extraction using surface fitting |
| CN113551665A (en)* | 2021-06-25 | 2021-10-26 | 中国科学院国家空间科学中心 | High dynamic motion state sensing system and sensing method for motion carrier |
| Publication number | Priority date | Publication date | Assignee | Title |
|---|---|---|---|---|
| CN101770024A (en)* | 2010-01-25 | 2010-07-07 | 上海交通大学 | Multi-target tracking method |
| US20120022784A1 (en)* | 2010-06-25 | 2012-01-26 | Thales | Navigation filter for a navigation system using terrain correlation |
| US20180095159A1 (en)* | 2015-04-01 | 2018-04-05 | Safran Electronics & Defense | Method for tracking the navigation of a mobile carrier with an extended kalman filter |
| US20170299730A1 (en)* | 2015-06-29 | 2017-10-19 | Deere & Company | Satellite navigation receiver and method for switching between real-time kinematic mode and precise positioning mode |
| RU2617565C1 (en)* | 2015-12-02 | 2017-04-25 | Акционерное общество "Раменское приборостроительное конструкторское бюро" | Method of inertial data estimation and its correction according to measurement of satellite navigation system |
| CN106885570A (en)* | 2017-02-24 | 2017-06-23 | 南京理工大学 | A kind of tight integration air navigation aid based on robust SCKF filtering |
| CN108896986A (en)* | 2018-04-23 | 2018-11-27 | 电子科技大学 | A kind of measurement conversion Sequential filter maneuvering target tracking method based on predicted value |
| CN110017850A (en)* | 2019-04-19 | 2019-07-16 | 小狗电器互联网科技(北京)股份有限公司 | A kind of gyroscopic drift estimation method, device and positioning system |
| CN110879400A (en)* | 2019-11-27 | 2020-03-13 | 炬星科技(深圳)有限公司 | Method, equipment and storage medium for fusion positioning of laser radar and IMU |
| US20210188312A1 (en)* | 2019-12-19 | 2021-06-24 | Motional Ad Llc | Foreground extraction using surface fitting |
| CN111811521A (en)* | 2020-07-09 | 2020-10-23 | 北京百度网讯科技有限公司 | Positioning method and device, electronic equipment, vehicle-end equipment, autonomous vehicle |
| CN112013836A (en)* | 2020-08-14 | 2020-12-01 | 北京航空航天大学 | Attitude heading reference system algorithm based on improved adaptive Kalman filtering |
| CN112987560A (en)* | 2021-04-19 | 2021-06-18 | 长沙智能驾驶研究院有限公司 | Filter control method, device, equipment and computer storage medium |
| CN113551665A (en)* | 2021-06-25 | 2021-10-26 | 中国科学院国家空间科学中心 | High dynamic motion state sensing system and sensing method for motion carrier |
| Title |
|---|
| 彭文正;敖银辉;黄晓涛;王鹏飞;: "多传感器信息融合的自动驾驶车辆定位与速度估计", 传感技术学报, no. 08, 15 August 2020 (2020-08-15)* |
| 袁鸣;鲍泳林;武雨霞;: "基于MEMS的火箭制导平台INS与GPS组合导航算法", 太赫兹科学与电子信息学报, no. 05, 28 October 2018 (2018-10-28)* |
| 邵万开;石澄贤;: "动态背景下运动目标检测与跟踪研究", 计算机测量与控制, no. 08, 25 August 2016 (2016-08-25)* |
| 邵梦晗等: "INS/GNSS紧组合导航系统故障探测与隔离的改进研究", 航天控制, 31 December 2018 (2018-12-31)* |
| Publication number | Priority date | Publication date | Assignee | Title |
|---|---|---|---|---|
| CN115127561A (en)* | 2022-06-29 | 2022-09-30 | 北京百度网讯科技有限公司 | Object localization methods, devices, autonomous vehicles, and edge computing platforms |
| CN115825999A (en)* | 2023-02-22 | 2023-03-21 | 广州导远电子科技有限公司 | Filter state monitoring method and device, electronic equipment and storage medium |
| CN115825999B (en)* | 2023-02-22 | 2023-05-02 | 广州导远电子科技有限公司 | Filter state monitoring method and device, electronic equipment and storage medium |
| Publication number | Publication date |
|---|---|
| CN114199236B (en) | 2025-02-21 |
| Publication | Publication Date | Title |
|---|---|---|
| US20210206390A1 (en) | Positioning method and apparatus, vehicle device, and autonomous vehicle | |
| US11015957B2 (en) | Navigation system | |
| CN111077549A (en) | Position data correction method, apparatus and computer readable storage medium | |
| CN112946681B (en) | Laser radar positioning method fusing combined navigation information | |
| CN114179825A (en) | Multi-sensor fusion method to obtain measured value confidence and automatic driving vehicle | |
| CN114861725B (en) | A post-processing method, device, equipment and medium for target perception and tracking | |
| CN114396943A (en) | Fusion positioning method and terminal | |
| CN116817928B (en) | Multi-source fusion positioning method of satellite navigation/inertial navigation train based on factor graph optimization | |
| CN114199236A (en) | Positioning data processing method and device, electronic equipment and automatic driving vehicle | |
| CN113218389A (en) | Vehicle positioning method, device, storage medium and computer program product | |
| CN114915913A (en) | UWB-IMU combined indoor positioning method based on sliding window factor graph | |
| CN117785898A (en) | GNSS-combined state quantity updating method, GNSS-combined state quantity updating device, GNSS-combined state quantity updating equipment and GNSS-combined state quantity updating medium | |
| CN118960787B (en) | Fault location detection method, device, equipment, storage medium and program product | |
| CN111649762B (en) | Inertial Doppler full-parameter high-precision calibration method and device | |
| CN116718153B (en) | Deformation monitoring method and system based on GNSS and INS | |
| CN115164888B (en) | Error correction method and device, electronic equipment and storage medium | |
| CN114413929B (en) | Verification method, device and system for positioning information, unmanned vehicle and storage medium | |
| CN113218380B (en) | Electronic compass correction method and device, electronic equipment and storage medium | |
| CN114964229A (en) | Dead reckoning method, device and electronic equipment | |
| TWI636236B (en) | Method for determining states of a system by means of an estimation filter, device for determining a position of an object and unmanned aerial vehicle | |
| CN116045976A (en) | Pose determining method and related device, electronic equipment and storage medium | |
| CN115727871A (en) | Track quality detection method and device, electronic equipment and storage medium | |
| Girrbach et al. | Adaptive compensation of measurement delays in multi-sensor fusion for inertial motion tracking using moving horizon estimation | |
| CN116380056B (en) | Inertial positioning method, inertial positioning device, electronic equipment and storage medium | |
| CN118565434B (en) | Vehicle altitude analysis method and system based on dynamic air pressure monitoring |
| Date | Code | Title | Description |
|---|---|---|---|
| PB01 | Publication | ||
| PB01 | Publication | ||
| SE01 | Entry into force of request for substantive examination | ||
| SE01 | Entry into force of request for substantive examination | ||
| GR01 | Patent grant | ||
| GR01 | Patent grant |