Movatterモバイル変換


[0]ホーム

URL:


CN114184724B - Method and device for compensating carrier gas flow of chromatograph and storage medium thereof - Google Patents

Method and device for compensating carrier gas flow of chromatograph and storage medium thereof
Download PDF

Info

Publication number
CN114184724B
CN114184724BCN202210135597.5ACN202210135597ACN114184724BCN 114184724 BCN114184724 BCN 114184724BCN 202210135597 ACN202210135597 ACN 202210135597ACN 114184724 BCN114184724 BCN 114184724B
Authority
CN
China
Prior art keywords
flow
carrier gas
gas flow
determining
chromatograph
Prior art date
Legal status (The legal status is an assumption and is not a legal conclusion. Google has not performed a legal analysis and makes no representation as to the accuracy of the status listed.)
Active
Application number
CN202210135597.5A
Other languages
Chinese (zh)
Other versions
CN114184724A (en
Inventor
王东强
卜玉乾
Current Assignee (The listed assignees may be inaccurate. Google has not performed a legal analysis and makes no representation or warranty as to the accuracy of the list.)
China Spectrum Tech Beijing Technology Co ltd
Original Assignee
China Spectrum Tech Beijing Technology Co ltd
Priority date (The priority date is an assumption and is not a legal conclusion. Google has not performed a legal analysis and makes no representation as to the accuracy of the date listed.)
Filing date
Publication date
Application filed by China Spectrum Tech Beijing Technology Co ltdfiledCriticalChina Spectrum Tech Beijing Technology Co ltd
Priority to CN202210135597.5ApriorityCriticalpatent/CN114184724B/en
Publication of CN114184724ApublicationCriticalpatent/CN114184724A/en
Application grantedgrantedCritical
Publication of CN114184724BpublicationCriticalpatent/CN114184724B/en
Activelegal-statusCriticalCurrent
Anticipated expirationlegal-statusCritical

Links

Images

Classifications

Landscapes

Abstract

The application relates to the technical field of accurate control of chromatographs, in particular to a method and a device for compensating carrier gas flow of a chromatograph and a storage medium thereof; the method comprises the following steps: determining a carrier gas interval according to the initial flow and the target flow; determining a plurality of carrier gas flow control areas according to the carrier gas interval; acquiring actual flow rates of a plurality of carrier gas flow control areas, and determining a carrier gas flow difference value according to a set carrier gas flow ideal value; controlling the flow through a flow-flow rate corresponding algorithm according to the acquired carrier gas flow difference value; recording a flow change curve and an instantaneous flow speed change curve in the process; determining a compensation coefficient; recording the AD value change curve of the gas flow controller in the process; determining control parameters according to the recorded data; the method is characterized in that based on the characteristics of carrier gas of an online gas chromatograph, a plurality of curves are introduced by setting a flow-flow rate algorithm, and the carrier gas flow can be accurately controlled based on the obtained control parameters through comparison among the curves.

Description

Method and device for compensating carrier gas flow of chromatograph and storage medium thereof
Technical Field
The application relates to the technical field of accurate control of chromatographs, in particular to a method and a device for compensating carrier gas flow of a chromatograph and a storage medium thereof. .
Background
The on-line gas chromatograph is an instrument which is installed on a working site, is directly connected with a measured medium (gas) through a gas path pipeline, automatically measures the content of corresponding gas components through automatic acquisition and automatic sample injection, and can store and remotely transmit the measurement result, and is mainly used for continuously measuring the gas components in natural gas or atmospheric environment in real time; in the long-term use, what can't be avoided is that online gas chromatograph's part is ageing, and its each item test result appears the deviation, and when the above condition that appears, will cause the influence to the stability of carrier gas flow, the test result of online gas chromatograph is influenced to carrier gas flow rate stability is comparatively important, need compensate the processing to it, guarantees the accuracy of test result in the use.
However, in the conventional compensation method for an online gas chromatograph, data needs to be acquired manually and visually, and the compensation effect needs to be optimized empirically, which has a certain error, and indirectly causes inaccuracy of the compensation effect.
Disclosure of Invention
The embodiment of the application provides a chromatograph carrier gas flow compensation method, which is applied to a chromatograph carrier gas control system and comprises the following steps:
determining a carrier gas interval according to the initial flow and the target flow;
determining a plurality of carrier gas flow control areas according to the carrier gas interval;
acquiring actual flow rates of a plurality of carrier gas flow control areas, and determining a carrier gas flow difference value according to a set carrier gas flow ideal value;
controlling the flow through a flow-flow rate corresponding algorithm according to the acquired carrier gas flow difference until the flow of the plurality of carrier gas flow control areas is the same as the ideal carrier gas flow rate;
recording a flow change curve and an instantaneous flow speed change curve in the process;
determining a compensation coefficient based on a flow-flow velocity algorithm according to the recorded data;
recording the AD value change curve of the gas flow controller in the process;
from the recorded data, control parameters are determined.
Further, wherein the compensation coefficient is determined based on a flow-flow rate algorithm according to the recorded data, in a specific manner:
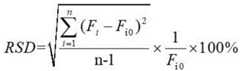
Figure 100002_DEST_PATH_IMAGE001
wherein RSD is a carrier gas flow compensation coefficient of an online gas chromatograph;
Fia carrier gas flow rate value in the on-line gas chromatograph for the calibration carrier gas obtained at the ith time;
Fi0an instantaneous flow rate of the calibration carrier gas into the online gas chromatograph for the ith acquisition;
n is the number of times of introducing carrier gas.
Further, the control parameter is determined according to the recorded data, and the specific mode is as follows:
and respectively calculating an influence factor delta RSD on the compensation coefficient RSD according to the difference value of the flow change curve and the ideal flow curve and the AD value change curve of the gas flow controller.
Further, before determining the carrier gas interval according to the initial flow rate and the target flow rate, the method further comprises:
setting a conventional gas type;
the gas type is determined.
Further, when the obtained carrier gas flow difference value is larger than 0, the flow is controlled through a flow-flow rate corresponding algorithm.
Further, the number of the carrier gas flow control sections is at least two.
Further, the determination of the ideal flow curve specifically includes the following steps:
determining a gas movement process meeting the flow threshold requirement in a final state;
determining flow data passing through at least two carrier gas flow control areas in the gas movement process;
the curve formed by the flow change is the ideal flow curve.
In a second aspect, an embodiment of the present application further provides a carrier gas flow compensation device for a chromatograph, which is applied to a flow compensation system of the chromatograph, and includes: the flow determining module is used for determining a carrier gas flow control interval according to the initial flow and the target flow: the flow partition module is used for determining a plurality of carrier gas flow control areas according to the carrier gas interval; the AD value determining module is used for determining the real-time AD value of the gas flow controller; the flow control module is used for carrying out flow compensation according to the obtained current flow and controlling the flow through a flow-flow velocity algorithm when the current flow is smaller than a flow threshold value; and when the current flow is equal to the flow threshold value, stopping the flow control module.
Further, the flow control module comprises a flow-flow rate algorithm submodule,
wherein the flow-flow rate algorithm submodule is configured to:
respectively calculating an influence factor delta RSD of a current control parameter RSD of the flow-flow rate algorithm according to the flow change curve, the AD value change curve of the gas flow controller and the instantaneous flow rate change curve; and calculating a new control parameter based on the RSD and the Delta RSD.
In a third aspect, embodiments of the present application further provide a computer-readable storage medium, where a computer program is stored in the storage medium, and when the computer program is executed by a processor, the method for compensating a carrier gas flow rate of a chromatograph according to the first aspect of the embodiments of the present application is implemented.
According to the technical scheme, the method for controlling the flow rate of the carrier gas of the chromatograph can be achieved by obtaining the control parameters, a plurality of curves are introduced by setting a flow-flow rate algorithm based on the characteristics of the carrier gas of the online gas chromatograph, and the flow rate of the carrier gas can be accurately controlled based on the obtained control parameters through comparison among the curves.
Drawings
In order to more clearly illustrate the technical solutions in the embodiments of the present application, the drawings needed to be used in the description of the embodiments are briefly introduced below, and it is obvious that the drawings in the following description are only some embodiments of the present application, and it is obvious for those skilled in the art to obtain other drawings based on these drawings without creative efforts.
The methods, systems, and/or processes of the figures are further described in accordance with the exemplary embodiments. These exemplary embodiments will be described in detail with reference to the drawings. These exemplary embodiments are non-limiting exemplary embodiments in which example numbers represent similar mechanisms throughout the various views of the drawings.
Fig. 1 is a schematic view of a scenario of a method of compensating for a carrier gas flow in a chromatograph according to some embodiments of the present application;
fig. 2 is a flow chart of a method of compensating for a carrier gas flow in a chromatograph according to some embodiments of the present application;
fig. 3 is a functional block schematic diagram of a chromatograph carrier gas flow compensation arrangement according to some embodiments of the present application;
fig. 4 is a schematic diagram of a control submodule of a chromatograph carrier gas flow compensation arrangement according to some embodiments of the present application.
Detailed Description
In order to better understand the technical solutions, the technical solutions of the present application are described in detail below with reference to the drawings and specific embodiments, and it should be understood that the specific features in the embodiments and examples of the present application are detailed descriptions of the technical solutions of the present application, and are not limitations of the technical solutions of the present application, and the technical features in the embodiments and examples of the present application may be combined with each other without conflict.
In the following detailed description, numerous specific details are set forth by way of examples in order to provide a thorough understanding of the relevant guidance. It will be apparent, however, to one skilled in the art that the present application may be practiced without these specific details. In other instances, well-known methods, procedures, systems, compositions, and/or circuits have been described at a relatively high-level, without detail, in order to avoid unnecessarily obscuring aspects of the present application.
Flowcharts are used herein to illustrate the implementations performed by systems according to embodiments of the present application. It should be expressly understood that the processes performed by the flowcharts may be performed out of order. Rather, these implementations may be performed in the reverse order or simultaneously. In addition, at least one other implementation may be added to the flowchart. One or more implementations may be deleted from the flowchart.
Some embodiments are provided as a server comprising an object spatial position detection device, a memory, a processor, and a communication unit. The memory, processor and communication unit components are electrically connected to each other, directly or indirectly, to enable data transfer or interaction. For example, the components may be electrically connected to each other via one or more communication buses or signal lines. The object space position detection device includes at least one software function module which can be stored in a memory in the form of software or firmware (firmware) or is solidified in an Operating System (OS) of the electronic device. The processor is used to execute executable modules stored in the memory, such as software functional modules and computer programs included in the chromatography-based sample determination device.
The Memory may be, but is not limited to, a Random Access Memory (RAM), a Read Only Memory (ROM), a Programmable Read-Only Memory (PROM), an Erasable Read-Only Memory (EPROM), an electrically Erasable Read-Only Memory (EEPROM), and the like. The memory is used for storing programs, and the processor executes the programs after receiving the execution instructions. The communication unit is used for establishing communication connection between the sample server and the inquiry terminal through a network and receiving and sending data through the network.
The processor may be an integrated circuit chip having signal processing capabilities. The Processor may be a general-purpose Processor, including a Central Processing Unit (CPU), a Network Processor (NP), and the like; but may also be a Digital Signal Processor (DSP)), an Application Specific Integrated Circuit (ASIC), a Field Programmable Gate Array (FPGA) or other programmable logic device, discrete gate or transistor logic device, discrete hardware components. The various methods, steps and logic blocks disclosed in the embodiments of the present invention may be implemented or performed. A general purpose processor may be a microprocessor or the processor may be any conventional processor or the like.
Referring to fig. 1, an application scenario of the method for compensating a carrier gas flow of a chromatograph according to the present embodiment is schematically illustrated.
As shown in fig. 1, the chromatograph includes a carrier gas system 100, a separation system 200, a detection and recording system 300, and a sample injection system 400, the present invention provides a method for compensating carrier gas flow of the chromatograph, which is applied to the carrier gas system of the chromatograph, and the carrier gas system 100 includes a sensor for measuring flow and flow rate and an air intake device for increasing the carrier gas flow in a channel.
On the basis, as shown in fig. 2, the method for compensating the carrier gas flow rate of the chromatograph provided by the invention comprises the following steps:
in step S1, a carrier gas interval is determined based on the initial flow rate and the target flow rate.
In this embodiment, the initial flow rate refers to the gas flow rate of the current environment of the device, which can be obtained by a sensor disposed in the channel, and the target flow rate refers to the optimal gas flow rate in the preset expected working environment.
In step S2, a plurality of carrier gas flow control areas are determined according to the carrier gas interval.
The carrier gas flow control section is provided for performing an optimum compensation process. When the length of the region through which the gas flows is not uniform, the efficiency of the loss of the gas is also not uniform.
By determining the carrier gas flow control area, compensation for the carrier gas amount is preferably performed. In this embodiment, the carrier gas flow region includes at least two regions, one of which is to perform instantaneous compensation at the entrance of the gas into the detection space, and the other of which is at any position in the compensation region.
If during a longer path, more carrier gas flow control zones can be provided for the purpose of meeting the carrier gas flow and instantaneous flow rate.
And step S3, acquiring actual flow rates of a plurality of carrier gas flow control areas, and determining a carrier gas flow difference value according to the set carrier gas flow ideal value.
In the embodiment, the compensation for the gas flow rate is performed for a plurality of control regions, and the difference between the flow rate of each control region and the ideal value needs to be determined.
And step S4, controlling the flow through a flow-flow rate corresponding algorithm according to the acquired carrier gas flow difference until the flow of the plurality of carrier gas flow control areas is the same as the ideal carrier gas flow rate.
The flow control in this embodiment is not simply to compensate the gas amount, but the gas needs to have a constant flow rate at the observation node because the gas needs to have a constant flow rate in the chromatogram, and therefore the flow needs to be compensated according to the correspondence between the flow rate and the flow rate, that is, the compensation gas needs to have a constant flow rate in the compensation.
And step S5, recording the flow rate change curve and the instantaneous speed change curve in the process.
The carrier gas flow compensation method in this embodiment aims to provide a method capable of real-time adjustment, because the effect generated by gas compensation has a certain time delay, and there will be some loss in the gas flowing process and some attenuation of power due to force action. Therefore, it is necessary to perform regression processing on a large number of data to obtain a method capable of performing continuous adjustment.
Aiming at the flow change curve, the curve can be obtained through the flow change of the paths of a plurality of carrier gas flow control areas, and the data of the flow change in the process is recorded; similarly, the instantaneous velocity profile is also a profile of the flow rate change of the flow rate passing through the plurality of carrier gas flow rate control sections, and data of the flow rate change in the process is described.
Step S6, determining a compensation factor based on a flow-flow rate algorithm based on the recorded data.
In this embodiment, the determination of the compensation coefficient is mainly realized by a flow-flow rate algorithm, wherein the flow-flow rate algorithm includes the following specific contents:
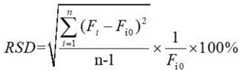
Figure 635983DEST_PATH_IMAGE001
wherein, RSD is a carrier gas flow compensation coefficient of an online gas chromatograph;
Fia carrier gas flow rate value in the on-line gas chromatograph for the calibration carrier gas obtained at the ith time;
Fi0an instantaneous flow rate of the calibration carrier gas into the online gas chromatograph for the ith acquisition;
n is the number of times of introducing carrier gas.
And step S7, recording the AD value change curve of the gas flow controller in the process, and determining the control parameters according to the specific data.
And step S71, determining the gas movement process meeting the flow threshold requirement in the final state.
Step S72, determining flow data passing through at least two carrier gas flow control zones during the gas movement.
And step S73, determining the change of the flow data, and drawing a curve, wherein the curve is an ideal flow curve.
And step S74, respectively obtaining an influence factor Delta RSD on the compensation coefficient RSD according to the difference value between the flow change curve and the ideal flow curve and the AD value change curve of the gas flow controller.
After the equipment is used for one time, the flow change curve and the gas flow control AD value change curve in the whole using process are recorded, the relation between the flow change curve and the gas flow control AD value change curve is calculated and used for dynamically adjusting the compensation coefficient determined by the flow-flow rate algorithm, and the compensation coefficient of the flow-flow rate algorithm is more accurate and reasonable.
And step S8, adjusting the determination method of the carrier gas flow control area according to the recorded flow change curve.
The division of the carrier gas flow control area is mainly related to the gas flow change curve, and the division of the carrier gas flow control area is properly adjusted according to the obvious subareas or rules presented in the gas flow change curve, so that the control efficiency can be further improved.
Referring to fig. 3, the present embodiment further provides a carrier gas flow compensation device for a chromatograph, which is applied to a carrier gas system of the chromatograph, and includes:
and theflow determining module 110 is used for determining a carrier gas flow control interval according to the initial flow and the target flow.
The method also comprises the steps of determining the type of the gas before determining, and determining the nature and the category of the gas.
And aflow partition module 120 configured to determine a plurality of carrier gas flow control areas according to the carrier gas interval.
And a flowrate determination module 130 for determining the flow rate of the gas under the implementation condition.
The ADvalue determination module 140 uses which one determines the real-time AD value of the gas flow controller.
And theflow control module 150 is configured to perform flow compensation according to the acquired current flow, and control the flow through a flow-flow rate algorithm when the current flow is smaller than a flow threshold. And when the current flow is equal to the flow threshold value, the flow control module stops working.
In this embodiment, theflow control module 150 includes a flow-flowrate algorithm sub-module 151, configured to respectively calculate an influence factor Δ RSD on a current control parameter RSD of the flow-flow rate algorithm according to a flow change curve, an AD value change curve of the gas flow controller, and an instantaneous flow rate change curve.
And adding correction of the influence factors on the basis of the original control parameter RSD to obtain a new control parameter for the target temperature. When the chromatograph is operated next time and the flow control is carried out by using the self-adaptive algorithm, the new control parameters are adopted.
Since the principle of each step is described and separated in the above-mentioned online chromatograph control method, each module of the online chromatograph control device is used for executing each step of the above-mentioned method, and the process and principle thereof are not described again here.
Embodiments of the present application also provide a computer-readable storage medium having a computer program stored thereon, which, when executed on a computer, causes the computer to execute the method for compensating a carrier gas flow rate of a chromatograph provided in the embodiments of the present application.
It should be understood that, for technical terms that are not noun-explained in the above, a person skilled in the art can deduce and unambiguously determine the meaning of the reference according to the above disclosure, for example, for terms such as some thresholds and coefficients, a person skilled in the art can deduce and determine according to the logical relationship before and after, and the value range of these values can be selected according to the actual situation, for example, 0.1 to 1, for example, 1 to 10, for example, 50 to 100, and is not limited herein.
The skilled person can determine some preset, reference, predetermined, set and preference labels of technical features/technical terms, such as threshold, threshold interval, threshold range, etc., without any doubt according to the above disclosure. For some technical characteristic terms which are not explained, the technical solution can be clearly and completely implemented by those skilled in the art by reasonably and unambiguously deriving the technical solution based on the logical relations in the previous and following paragraphs. The prefixes of unexplained technical feature terms, such as "first," "second," "example," "target," and the like, may be unambiguously derived and determined from the context. Suffixes of technical feature terms not explained, such as "set", "list", etc., can also be derived and determined unambiguously from the preceding and following text.
The above disclosure of the embodiments of the present application will be apparent to those skilled in the art from the above disclosure. It should be understood that the process of deriving and analyzing technical terms, which are not explained, by those skilled in the art based on the above disclosure is based on the contents described in the present application, and thus the above contents are not an inventive judgment of the overall scheme.
Having thus described the basic concept, it will be apparent to those skilled in the art that the foregoing detailed disclosure is to be considered merely illustrative and not restrictive of the broad application. Various modifications, improvements and adaptations to the present application may occur to those skilled in the art, although not explicitly described herein. Such modifications, improvements and adaptations are proposed in the present application and thus fall within the spirit and scope of the exemplary embodiments of the present application.
Also, this application uses specific terminology to describe embodiments of the application. Reference throughout this specification to "one embodiment," "an embodiment," and/or "some embodiments" means that a particular feature, structure, or characteristic described in connection with at least one embodiment of the present application is included in at least one embodiment of the present application. Therefore, it is emphasized and should be appreciated that two or more references to "an embodiment" or "one embodiment" or "an alternative embodiment" in various portions of this specification are not necessarily all referring to the same embodiment. Furthermore, some features, structures, or characteristics of at least one embodiment of the present application may be combined as appropriate.
In addition, those skilled in the art will recognize that the various aspects of the application may be illustrated and described in terms of several patentable species or contexts, including any new and useful combination of procedures, machines, articles, or materials, or any new and useful modifications thereof. Accordingly, aspects of the present application may be embodied entirely in hardware, entirely in software (including firmware, resident software, micro-code, etc.) or in a combination of hardware and software. The above hardware or software may be referred to as a "unit", "component", or "system". Furthermore, aspects of the present application may be represented as a computer product, including computer readable program code, embodied in at least one computer readable medium.
A computer readable signal medium may comprise a propagated data signal with computer program code embodied therein, for example, on a baseband or as part of a carrier wave. The propagated signal may take any of a variety of forms, including electromagnetic, optical, and the like, or any suitable combination. A computer readable signal medium may be any computer readable medium that is not a computer readable storage medium and that can communicate, propagate, or transport a program for use by or in connection with an instruction execution system, apparatus, or device. Program code on a computer readable signal medium may be propagated over any suitable medium, including radio, electrical cable, fiber optic cable, RF, or the like, or any combination of the preceding.
Computer program code required for the execution of aspects of the present application may be written in any combination of one or more programming languages, including object oriented programming, such as Java, Scala, Smalltalk, Eiffel, JADE, Emerald, C + +, C #, VB.NET, Python, and the like, or similar conventional programming languages, such as the "C" programming language, Visual Basic, Fortran 2003, Perl, COBOL 2002, PHP, ABAP, dynamic programming languages, such as Python, Ruby, and Groovy, or other programming languages. The programming code may execute entirely on the user's computer, as a stand-alone software package, partly on the user's computer, partly on a remote computer or entirely on the remote computer or server. In the latter scenario, the remote computer may be connected to the user's computer through any network format, such as a Local Area Network (LAN) or a Wide Area Network (WAN), or the connection may be made to an external computer (for example, through the Internet), or in a cloud computing environment, or as a service, such as a software as a service (SaaS).
Additionally, the order of the process elements and sequences described herein, the use of numerical letters, or other designations are not intended to limit the order of the processes and methods unless otherwise indicated in the claims. While various presently contemplated embodiments of the invention have been discussed in the foregoing disclosure by way of example, it should be understood that such detail is solely for that purpose and that the appended claims are not limited to the disclosed embodiments, but, on the contrary, are intended to cover all modifications and equivalent arrangements that are within the spirit and scope of the embodiments herein. For example, although the system components described above may be implemented by hardware means, they may also be implemented by software-only solutions, such as installing the described system on an existing server or mobile device.
It should also be appreciated that in the foregoing description of embodiments of the present application, various features are sometimes grouped together in a single embodiment, figure, or description thereof for the purpose of streamlining the disclosure aiding in the understanding of at least one embodiment of the invention. However, this method of disclosure is not intended to require more features than are expressly recited in the claims. Indeed, the embodiments may be characterized as having less than all of the features of a single embodiment disclosed above.

Claims (9)

1. A carrier gas flow compensation method of a chromatograph is applied to a carrier gas control system of the chromatograph, and is characterized by comprising the following steps:
determining a carrier gas interval according to the initial flow and the target flow;
determining a plurality of carrier gas flow control areas according to the carrier gas interval;
acquiring actual flow rates of a plurality of carrier gas flow control areas, and determining a carrier gas flow difference value according to a set carrier gas flow ideal value;
controlling the flow through a flow-flow rate corresponding algorithm according to the acquired carrier gas flow difference until the flow of the plurality of carrier gas flow control areas is the same as the ideal carrier gas flow rate;
recording a flow change curve and an instantaneous flow speed change curve in the process;
determining a compensation coefficient based on a flow-flow velocity algorithm according to the recorded data;
recording the AD value change curve of the gas flow controller in the process;
determining a control parameter according to the recorded data, and determining a compensation coefficient based on a flow-flow velocity algorithm according to the recorded data, wherein the specific mode is as follows:
Figure DEST_PATH_IMAGE001
wherein RSD is a carrier gas flow compensation coefficient of an online gas chromatograph;
Fia carrier gas flow rate value of the calibration carrier gas obtained at the ith time in the online gas chromatograph;
Fi0instantaneous flow of calibration carrier gas into the on-line gas chromatograph for the ith acquisition;
n is the number of times of introducing carrier gas;
and adjusting the determination mode of the carrier gas flow control area according to the recorded flow change curve.
2. The method of compensating for a carrier gas flow of a chromatograph of claim 1, wherein the determining of the control parameter based on the recorded data is performed by:
and respectively calculating an influence factor delta RSD on a compensation coefficient RSD according to the difference value of the flow change curve and the ideal flow curve and the AD value change curve of the gas flow controller.
3. The chromatograph carrier gas flow compensation method of claim 1, wherein determining the carrier gas interval based on the initial flow rate and the target flow rate further comprises:
setting a conventional gas type;
the gas type is determined.
4. The method of compensating for a carrier gas flow of a chromatograph of claim 1, wherein when the obtained difference in carrier gas flow is greater than 0, the flow is controlled by a flow-flow rate correspondence algorithm.
5. The carrier gas flow compensation method for chromatograph of claim 1, wherein the number of carrier gas flow control zones is at least two.
6. The method for compensating a carrier gas flow rate in a chromatograph according to claim 2, characterized in that the ideal flow rate profile is determined in the following manner:
determining a gas movement process meeting the flow threshold requirement in a final state;
determining flow data passing through at least two carrier gas flow control areas in the gas movement process;
the curve formed by the flow change is the ideal flow curve.
7. A carrier gas flow compensation device for a chromatograph, which is applied to a flow compensation system for a chromatograph based on the carrier gas flow compensation method for a chromatograph according to any one of claims 1 to 6, comprising:
the flow determining module is used for determining a carrier gas flow control interval according to the initial flow and the target flow:
the flow partition module is used for determining a plurality of carrier gas flow control areas according to the carrier gas interval;
the flow rate determining module is used for determining the flow rate under the real-time condition;
the AD value determining module is used for determining the real-time AD value of the gas flow controller;
the flow control module is used for carrying out flow compensation according to the obtained current flow and controlling the flow through a flow-flow velocity algorithm when the current flow is smaller than a flow threshold value; and when the current flow is equal to the flow threshold value, stopping the flow control module.
8. The on-board chromatograph gas flow compensation apparatus of claim 7, wherein the flow control module comprises a flow-rate algorithm sub-module,
the flow-flow rate algorithm submodule is used for:
respectively calculating an influence factor delta RSD of a current control parameter RSD of the flow-flow rate algorithm according to the flow change curve, the AD value change curve of the gas flow controller and the instantaneous flow rate change curve;
and calculating a new control parameter based on the RSD and the Delta RSD.
9. A computer-readable storage medium, on which a computer program is stored, characterized in that the program, when executed by a processor, implements the on-board gas flow compensation method of a chromatograph according to any of claims 1-6.
CN202210135597.5A2022-02-152022-02-15Method and device for compensating carrier gas flow of chromatograph and storage medium thereofActiveCN114184724B (en)

Priority Applications (1)

Application NumberPriority DateFiling DateTitle
CN202210135597.5ACN114184724B (en)2022-02-152022-02-15Method and device for compensating carrier gas flow of chromatograph and storage medium thereof

Applications Claiming Priority (1)

Application NumberPriority DateFiling DateTitle
CN202210135597.5ACN114184724B (en)2022-02-152022-02-15Method and device for compensating carrier gas flow of chromatograph and storage medium thereof

Publications (2)

Publication NumberPublication Date
CN114184724A CN114184724A (en)2022-03-15
CN114184724Btrue CN114184724B (en)2022-05-17

Family

ID=80545960

Family Applications (1)

Application NumberTitlePriority DateFiling Date
CN202210135597.5AActiveCN114184724B (en)2022-02-152022-02-15Method and device for compensating carrier gas flow of chromatograph and storage medium thereof

Country Status (1)

CountryLink
CN (1)CN114184724B (en)

Citations (14)

* Cited by examiner, † Cited by third party
Publication numberPriority datePublication dateAssigneeTitle
CN201662567U (en)*2010-03-162010-12-01浙江福立分析仪器有限公司Tubular differential pressure flow control system used for gas chromatograph
CN105675777A (en)*2016-01-132016-06-15国家电网公司Flow self-adaptation method and system of gas chromatography apparatus based on multidimensional air passage
CN105702553A (en)*2016-04-192016-06-22东华理工大学 A kind of ion mobility spectrometer and its carrier gas flow control method
CN106404969A (en)*2016-08-312017-02-15浙江福立分析仪器股份有限公司Flow regulation monitoring system for gas chromatograph and application method thereof
CN106441472A (en)*2016-09-282017-02-22合肥科迈捷智能传感技术有限公司Method for temperature drift inhibition of constant power type thermal type gas flowmeter
CN108170173A (en)*2017-12-262018-06-15迈克医疗电子有限公司Flow control methods and device, analytical instrument and computer readable storage medium
CN109312674A (en)*2016-06-212019-02-05斯堪尼亚商用车有限公司 Method for determining proper operation of valves in gas tank systems
CN109667750A (en)*2018-12-142019-04-23北京卫星制造厂有限公司A kind of multiaxis collaboration high-precision liquid phase method for controlling pump based on online compensation
CN111122519A (en)*2018-10-302020-05-08重庆民泰新农业科技发展集团有限公司Closed-loop flow control system and control method for atomic fluorescence instrument
CN210572152U (en)*2019-08-292020-05-19朗析仪器(上海)有限公司Gas-carrying gas-saving system for gas chromatography
CN111458446A (en)*2019-08-102020-07-28北京高斯匹克技术有限公司Multi-channel microflow control system
CN111766327A (en)*2020-07-092020-10-13安东仪器仪表检测有限公司Calibration method of on-line gas chromatograph
CN112484798A (en)*2020-11-272021-03-12江西中科智慧水产业研究股份有限公司Time difference ultrasonic flow measuring method based on improved Kalman filter
CN113176347A (en)*2020-01-272021-07-27株式会社岛津制作所Analysis system

Family Cites Families (5)

* Cited by examiner, † Cited by third party
Publication numberPriority datePublication dateAssigneeTitle
CN1014833B (en)*1987-10-121991-11-20中国科学院大连化学物理研究所Flow distribute type multidimensional gas chromatographic instrument
AU729790B2 (en)*1995-03-012001-02-08Perkin-Elmer Corporation, TheFlow regulation in gas chromatograph
GB201011921D0 (en)*2010-07-152010-09-01Sutan AnwarMethod for gas chromatography analysis and maintenance
CN108577845B (en)*2018-04-182021-04-06中国科学院电子学研究所Throttling element, differential pressure type lung function parameter monitoring device and flow determining method
CN108693277A (en)*2018-07-032018-10-23常州磐诺仪器有限公司Chromatographic analysis systems and its analysis method

Patent Citations (14)

* Cited by examiner, † Cited by third party
Publication numberPriority datePublication dateAssigneeTitle
CN201662567U (en)*2010-03-162010-12-01浙江福立分析仪器有限公司Tubular differential pressure flow control system used for gas chromatograph
CN105675777A (en)*2016-01-132016-06-15国家电网公司Flow self-adaptation method and system of gas chromatography apparatus based on multidimensional air passage
CN105702553A (en)*2016-04-192016-06-22东华理工大学 A kind of ion mobility spectrometer and its carrier gas flow control method
CN109312674A (en)*2016-06-212019-02-05斯堪尼亚商用车有限公司 Method for determining proper operation of valves in gas tank systems
CN106404969A (en)*2016-08-312017-02-15浙江福立分析仪器股份有限公司Flow regulation monitoring system for gas chromatograph and application method thereof
CN106441472A (en)*2016-09-282017-02-22合肥科迈捷智能传感技术有限公司Method for temperature drift inhibition of constant power type thermal type gas flowmeter
CN108170173A (en)*2017-12-262018-06-15迈克医疗电子有限公司Flow control methods and device, analytical instrument and computer readable storage medium
CN111122519A (en)*2018-10-302020-05-08重庆民泰新农业科技发展集团有限公司Closed-loop flow control system and control method for atomic fluorescence instrument
CN109667750A (en)*2018-12-142019-04-23北京卫星制造厂有限公司A kind of multiaxis collaboration high-precision liquid phase method for controlling pump based on online compensation
CN111458446A (en)*2019-08-102020-07-28北京高斯匹克技术有限公司Multi-channel microflow control system
CN210572152U (en)*2019-08-292020-05-19朗析仪器(上海)有限公司Gas-carrying gas-saving system for gas chromatography
CN113176347A (en)*2020-01-272021-07-27株式会社岛津制作所Analysis system
CN111766327A (en)*2020-07-092020-10-13安东仪器仪表检测有限公司Calibration method of on-line gas chromatograph
CN112484798A (en)*2020-11-272021-03-12江西中科智慧水产业研究股份有限公司Time difference ultrasonic flow measuring method based on improved Kalman filter

Non-Patent Citations (1)

* Cited by examiner, † Cited by third party
Title
激光剥蚀-电感耦合等离子体质谱分析中激光剥蚀池载气对信号响应影响的研究;池俏俏 等;《分析测试学报》;20130228;第32卷(第2期);第233-238页*

Also Published As

Publication numberPublication date
CN114184724A (en)2022-03-15

Similar Documents

PublicationPublication DateTitle
US5911873A (en)Apparatus and method for operating an ISFET at multiple drain currents and gate-source voltages allowing for diagnostics and control of isopotential points
US9488516B2 (en)On-tool mass flow controller diagnostic systems and methods
US11274621B2 (en)Air flow measurement device
US10871786B2 (en)Substrate processing system and method of determining flow rate of gas
US9605992B2 (en)On-tool mass flow controller diagnostic systems and methods
CN111998919B (en)Gas meter calibration method and device
US20160033340A1 (en)Sensor calibration method and apparatus
US20190094404A1 (en)Proximity sensor
CN110736769A (en)Automatic calibration device and method for gas alarm
KR102256904B1 (en)Thermal flowmeter and flow compensating method
US11585797B2 (en)Dynamic and real-time correction of differential measurement offsets in a gas analysis system
ITMI941889A1 (en) METHOD AND DEVICE FOR THE CONTROL OF THE FLOW RATE OF CARRIER GAS IN GAS CHROMATOGRAPHIC APPLIANCES
CN115712316A (en)Temperature compensation method and device of temperature controller
CN114184724B (en)Method and device for compensating carrier gas flow of chromatograph and storage medium thereof
CN117970978A (en)Automatic regulation and control system of constant temperature and humidity experiment box suitable for experiments
US10067105B2 (en)Method for operating a measuring site
CN113447099B (en)Automatic zero correction method for electromagnetic water meter
KR102007241B1 (en)System and method for gas analysis value correction of the standard insulating oil
KR20180028127A (en)Temperature measure apparatus of thermocouple and data measure system for performance verification test of marine large engine using the same
Rusby et al.Considerations relating to type 1 and type 3 non-uniqueness in SPRT interpolations of the ITS-90
Polcar et al.Calibration and its use in measuring fuel consumption with the can-bus network
US11995617B2 (en)Maintenance method for zirconia-type oxygen analyzer, maintenance system, and zirconia-type oxygen analyzer
EP3660498A1 (en)Ambient sensor with actuator
CN116593031A (en) A temperature compensation method and device
CN116295528A (en)Nonlinear piecewise temperature compensation method for MEMS gyroscope

Legal Events

DateCodeTitleDescription
PB01Publication
PB01Publication
SE01Entry into force of request for substantive examination
SE01Entry into force of request for substantive examination
GR01Patent grant
GR01Patent grant

[8]ページ先頭

©2009-2025 Movatter.jp