Movatterモバイル変換


[0]ホーム

URL:


CN114173379A - Multi-user computing unloading method based on 5G private network shunt - Google Patents

Multi-user computing unloading method based on 5G private network shunt
Download PDF

Info

Publication number
CN114173379A
CN114173379ACN202111519999.7ACN202111519999ACN114173379ACN 114173379 ACN114173379 ACN 114173379ACN 202111519999 ACN202111519999 ACN 202111519999ACN 114173379 ACN114173379 ACN 114173379A
Authority
CN
China
Prior art keywords
resource
objective function
unloading
service node
user
Prior art date
Legal status (The legal status is an assumption and is not a legal conclusion. Google has not performed a legal analysis and makes no representation as to the accuracy of the status listed.)
Granted
Application number
CN202111519999.7A
Other languages
Chinese (zh)
Other versions
CN114173379B (en
Inventor
蒋溢
黎晨熙
胡昆
熊安萍
Current Assignee (The listed assignees may be inaccurate. Google has not performed a legal analysis and makes no representation or warranty as to the accuracy of the list.)
Chongqing University of Post and Telecommunications
Original Assignee
Chongqing University of Post and Telecommunications
Priority date (The priority date is an assumption and is not a legal conclusion. Google has not performed a legal analysis and makes no representation as to the accuracy of the date listed.)
Filing date
Publication date
Application filed by Chongqing University of Post and TelecommunicationsfiledCriticalChongqing University of Post and Telecommunications
Priority to CN202111519999.7ApriorityCriticalpatent/CN114173379B/en
Publication of CN114173379ApublicationCriticalpatent/CN114173379A/en
Application grantedgrantedCritical
Publication of CN114173379BpublicationCriticalpatent/CN114173379B/en
Activelegal-statusCriticalCurrent
Anticipated expirationlegal-statusCritical

Links

Images

Classifications

Landscapes

Abstract

The invention belongs to the field of wireless communication, and particularly relates to a multi-user computing unloading method based on a 5G private network shunt; the method comprises the following steps: constructing a multi-user computing unloading framework based on the 5G private network shunt; constructing an objective function of the combined unloading total time delay and the resource allocation balance degree according to the multi-user computing unloading framework; solving an objective function combining the total unloading time delay and the resource allocation balance degree to obtain an optimal solution of the objective function; determining an unloading decision by a user according to the optimal solution of the objective function; the user unloads the task according to the determined unloading decision; the invention has good expansibility and safety, effectively utilizes the bandwidth and the throughput of each UE device, strengthens the network data processing capability and improves the flexibility and the usability of the network; the method can effectively reduce the average unloading time delay and the average transmission time delay of multiple users, simultaneously balance the workload of each mobile edge terminal device or edge server, and has good economic benefit.

Description

Multi-user computing unloading method based on 5G private network shunt
Technical Field
The invention belongs to the field of wireless communication, and particularly relates to a multi-user computing unloading method based on a 5G private network shunt.
Background
In recent years, mobile user equipment (mobile phones, tablets, etc.) are becoming an important tool for learning, entertainment, social networking and business development, with the rapid growth of mobile data traffic, and this growth is expected to continue in the future. The amount of computing and data exchange between mobile user equipment and the cloud is also increasing dramatically due to the rapid growth of mobile data traffic. To address this situation, Mobile Edge Computing (MEC) technology has been introduced to supplement and enrich cloud Computing. Because a Mobile Edge Computing (MECS) Server is directly deployed on a base station in the Mobile Edge Computing technology, a Mobile user equipment needing Computing and unloading does not need to select a remote cloud Server, but can adopt a near strategy, namely, the Computing load is unloaded to the Edge Server nearby or directly unloaded to a terminal node with other idle resource capacity in the local, so that the Mobile user can receive the near cloud Computing service in the coverage of a wireless access network, and enjoy high-quality network experience, namely, the Mobile Edge Computing expands the Computing resources and storage resources from a core wide area network to the Edge network.
The problems currently encountered by mobile user equipment in offloading local computing tasks to the MECS are: the data transmission of the offloading process causes non-negligible delay between the mobile device and the MECS, and how to cooperatively handle different resource requirements of multiple users in the case that the multiple mobile users need to compute offloading remains difficult. In the prior art, most methods predict the processing time of each task on each candidate MECS using linear regression, while offloading the mobile user's computing tasks to the appropriate MECS based on the previously observed states of the MECS. However, when the number of mobile users needing to compute offload is large and there are multiple MECS to accept offload services, how to solve the problem of minimizing the total delay of multi-user offload and balancing the load of multiple MECS at the same time still lacks a practical solution.
Disclosure of Invention
In view of this, the present invention provides a multi-user computing offloading method based on a 5G private network splitter, including: .
S1: constructing a multi-user computing unloading framework based on the 5G private network shunt; the 5G private network splitter comprises user plane function equipment UPF and a small mobile edge computing platform miniMEP;
s2: constructing an objective function of the combined unloading total time delay and the resource allocation balance degree according to the multi-user computing unloading framework;
s3: solving an objective function combining the total unloading time delay and the resource allocation balance degree to obtain an optimal solution of the objective function; determining an unloading decision by a user according to the optimal solution of the objective function;
s4: and the user unloads the task according to the determined unloading decision.
Preferably, the building of the multi-user computation uninstalling framework based on the 5G private network splitter comprises building of a computation uninstalling total delay framework and building of a computation resource distribution balance framework.
Further, the constructing of the computation offload total latency framework includes:
taking miniMEP as a mobile edge computing cooperative server, and recording the resource available state of each idle service node; using federated resource pairs (p)j,cj) Represents the availability status of the computing and storage resources of service node j, where pjRepresenting computing resources of the service node, cjRepresenting a storage resource of the service node; defining the intensive computing task of a mobile user k as TkUsing a federated resource pair (z)k,ek) Representing the resource requirement of a mobile user k, wherein the service node is a task TkThe provided computing resource is zkService node is task TkThe storage resource provided is ek
Every t time, the mobile user k couples its own joint resource requirements (z)k,ek) Sending to miniMEP;
miniMEP according to the residual computing resources, the residual storage resources and the combined resource demand pair (z) of the mobile user of each service nodek,ek) And calculating the total unloading time delay of each mobile user.
Further, the formula for calculating the total unloading time delay is as follows:
Figure BDA0003408368080000031
Figure BDA0003408368080000032
Figure BDA0003408368080000033
wherein f is1(x, y) represents an objective function of the total time delay of the offloading, K represents the total number of users, M represents the total number of service nodes, dkjRepresenting the computational resource margin of the mobile edge compute collaboration server, ziIndicating the computing resources requested by the user, eiRepresenting the storage resources applied by the user, J representing the service node set, xkjIndicating an unload decision parameter.
Further, the computing resource allocation balance framework comprises:
defining a concentration degree parameter u representing that each unloading decision occupies each service node resource, and defining a vector A ═ a (a) representing the accumulated load of each five-fortune node resource1,a2,a3...aM) (ii) a Wherein, ajRepresents the normalized cumulative workload of service node j;
and calculating the resource allocation balance degree according to the concentration degree parameter and the vector of the resource accumulated load of each service node.
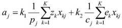
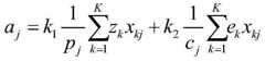
Further, each service node resource accumulation load ajIs defined as:
Figure BDA0003408368080000034
wherein, ajRepresents the normalized cumulative workload, k, of the service node j1Indicating the degree of importance to the use of computing resources, k2Expressing the degree of importance to the use of the storage resource, K expressing the total number of users, xkjIndicating unload decision parameterAnd (4) counting.
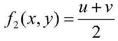
Further, the formula for calculating the resource allocation balance degree is as follows:
Figure BDA0003408368080000035
Figure BDA0003408368080000036
Figure BDA0003408368080000041
wherein f is2(x, y) represents an objective function of resource allocation balance, M represents the total number of service nodes, y represents the total number of service nodesjIndicates a busy decision parameter, ajElements in the vector representing the cumulative load of each service node resource,
Figure BDA0003408368080000042
and v represents the mean value of the accumulated load of each service node resource, and the mean square error of the accumulated load of each service node resource.
Preferably, the objective function of the joint offload total latency and the resource allocation balance degree is as follows:
min[f(x,y)]=min[w1f1(x,y)+w2f2(x,y)]
C1:0≤w1≤1,0≤w2≤1;
C2:w1+w2=1
C3:
Figure BDA0003408368080000043
C4:
Figure BDA0003408368080000044
wherein f is1(x, y) an objective function representing the total delay of the unloading, f2(x, y) denotes resource allocation balancingTarget function of scale, w1Weight value, w, assigned to the sum of the unloaded delays2Representing a weight value for resource allocation with a degree of balance, K representing a total number of users, M representing a total number of service nodes, zkIndicating a service node as a task TkProvided computing resource, xkjDenotes an unload decision parameter, pjRepresenting the computational resources of the service node, yjIndicates a busy decision parameter, ekIndicating a service node as a task TkStorage resources provided, cjRepresenting the storage resources of the serving node.
Preferably, the process of solving the objective function of the combined total time delay for offloading and the resource allocation balance degree includes: solving the objective function by adopting a weighted resource optimization algorithm, wherein the solving step comprises the following steps:
s1: determining an objective function f1Weight w of (x, y)1Function f2Weight w of (x, y)2
S2: according to the weight w1And a weight w2Preprocessing an objective function and an inequality constraint condition to obtain a coefficient matrix x of each variable in the objective function;
s3: traversing elements in the coefficient matrix x, and sequentially taking the elements in the coefficient matrix as the value of intcon;
s4: initializing a coefficient matrix A of inequality constraint conditions and a constraint vector b of the inequality constraint conditions; initializing an equality constraint coefficient matrix Aeq and a constraint vector beq of equality constraints; the optimization interval lb of the variable x is an all-zero vector, and ub is an all-1 vector;
s5: and calling an introping () function to implement linear programming on the target function f (x, y) according to the coefficient matrix A of the initialized inequality constraint condition, the constraint vector b of the initialized inequality constraint condition, the coefficient matrix Aeq of the initialized equality constraint condition, the constraint vector beq of the initialized equality constraint condition and the value of intcon, wherein the finally obtained x is the optimal solution xopt.
Further, the formula for solving the objective function by using the weighted resource optimization algorithm is as follows:
[x,f(x,y)]=intlinprog(f,intcon,A,b,Aeq,beq,lb,ub)
A×x≤b
Aeq×x=beq
lb≤x≤ub
wherein x represents a coefficient matrix of a variable in an objective function, f (x, y) is the objective function, intling () is a function for performing linear programming on the objective function, intcon represents the position of an integer decision variable in x, a represents a coefficient matrix of an inequality constraint, b represents a constraint vector of the inequality constraint, Aeq represents a coefficient matrix of an equality constraint, beq represents a constraint vector of the equality constraint, lb represents a lower constraint interval limit of the variable x, and ub represents an upper constraint interval limit of the variable x.
The invention has the beneficial effects that: the invention provides a multi-user computing unloading method based on UPF equipment, mini MEP and other 5G private network shunts, which has good expansibility and safety, ensures high availability of industrial Internet equipment through a cluster consisting of a plurality of edge terminal equipment with idle resources, effectively utilizes the bandwidth and throughput of each UE equipment through load balancing, strengthens the network data processing capacity, and improves the flexibility and availability of the network; the method can effectively reduce the average unloading time delay and the average transmission time delay of multiple users, simultaneously balance the workload of each mobile edge terminal device or edge server, and has good economic benefit.
Drawings
FIG. 1 is a block diagram of a system framework of the present invention;
FIG. 2 is a flow chart of a method for multi-user computational offloading incorporating UPF and miniMEP in accordance with the present invention;
FIG. 3 is a flow chart of the present invention for constructing a linear optimization objective function;
FIG. 4 is a flowchart of a weighted resource optimization algorithm of the present invention.
Detailed Description
The technical solutions in the embodiments of the present invention will be clearly and completely described below with reference to the drawings in the embodiments of the present invention, and it is obvious that the described embodiments are only a part of the embodiments of the present invention, and not all of the embodiments. All other embodiments, which can be derived by a person skilled in the art from the embodiments given herein without making any creative effort, shall fall within the protection scope of the present invention.
The invention has proposed a multi-user calculation unloading method based on 5G private network shunt, the structure of the system frame of the invention is shown in figure 1, mainly include the integral framework and user Plane functional equipment UPF (user Plane function) that needs under the applicable 5G scene, small-scale Mobile Edge computing platform miniMEP (mini Mobile Edge platform) and local terminal equipment appear in the position; the base station bound with the mini UPF is used for acquiring data information of the industrial internet equipment transmitted by the CPE and task information which is required to be unloaded by the local equipment, and transmitting the data information to the mini UPF for data screening processing; the miniUPF equipment is used for receiving and acquiring data information transmitted by the base station, screening and judging the data information, receiving data packets which accord with rules into factory edge cloud, collecting the load condition of each CPE by the mini MEP, carrying out corresponding processing, and forwarding the data packets which do not accord with the rules into the core network, so that the time delay that the data packets which visit the local network must pass through the core network is reduced. The mini MEP is used as an edge cooperative server for cooperating the mobile edge terminal and the server, collects the unloading tasks and related information sent from the current user terminal equipment, judges which edge terminal equipment and servers in a local network have sufficient calculation and storage resources, and judges which edge terminal equipment and service to unload to after calculation of an objective function is optimal, thereby solving the problem that the current terminal equipment does not have sufficient calculation task capacity.
The overall process of implementing user offloading according to UPF and miniMEP in the present invention is as shown in fig. 2, specifically, as shown in fig. 3, a method for implementing multi-user computing offloading based on a 5G private network splitter in the present invention includes:
s1: constructing a multi-user computing unloading framework based on the 5G private network shunt; the 5G private network flow divider comprises UPF equipment and a small mobile edge computing platform miniMEP;
s2: constructing an objective function of the combined unloading total time delay and the resource allocation balance degree according to the multi-user computing unloading framework; the unloading total time delay comprises unloading time delay and transmission time delay;
s3: solving an objective function combining the total unloading time delay and the resource allocation balance degree to obtain an optimal solution of the objective function; determining an unloading decision by a user according to the optimal solution of the objective function;
s4: and the user unloads the task according to the determined unloading decision.
Constructing a multi-user calculation unloading framework based on the 5G private network shunt comprises constructing a calculation unloading total time delay framework and constructing a calculation resource distribution balance degree framework; the computation unloading framework based on the 5G private network shunt can ensure that user data directly enters a local enterprise network through UPF shunt without passing through a core network, thereby reducing transmission delay and improving the safety of the whole unloading process; the method for constructing the total computation and unloading delay framework comprises the following steps: taking miniMEP as a mobile edge computing cooperative server, and recording the resource available state of each idle service node; using federated resource pairs (p)j,cj) Represents the availability status of the computing and storage resources of service node j, where pjRepresenting computing resources of the service node, cjRepresenting a storage resource of the service node; defining the intensive computing task of a mobile user k as TkUsing a federated resource pair (z)k,ek) Representing the resource requirement of a mobile user k, wherein the service node is a task TkThe provided computing resource is zkService node is task TkThe storage resource provided is ek(ii) a The service node comprises a mobile edge terminal and an edge server; every t time, at the beginning of each t time period, the mobile user k couples the own joint resource requirement (z)k,ek) Sending to miniMEP; miniMEP according to the residual computing resources, the residual storage resources and the combined resource demand pair (z) of the mobile user of each service nodek,ek) The total offload delay is calculated for each mobile user.
Computing resource margin d of mobile edge computing collaboration serverkjComprises the following steps:
Figure BDA0003408368080000071
wherein z isiIndicating the computing resources requested by the user, eiThe storage resources applied by the user are represented, and J represents a service node set.
In order to represent the service and served relationship between mobile users and mobile edge terminals and edge servers, a matrix X is introducedi1×MRepresenting the overall unloading decision, k rows and j columns of the matrix, and using the element x of the matrixkjDefined as an offload decision parameter, indicating whether the mobile user K offloads the computing task to the service node j, where K belongs to K and j belongs to M. K is the total number of mobile users, M is the total number of service nodes, and the unloading judgment parameter xkjThe assignments are as follows:
Figure BDA0003408368080000081
it is assumed that a mobile terminal can only offload computation tasks to at most one edge terminal node or edge server, and therefore at most one of the elements in each row of the matrix X has a value of 1, and the remaining elements in this row are all 0. Further, the lead-in vector Y is Yi1×MTo identify whether service node j offers offload services for mobile users, its element yi(j belongs to M) is defined as a busy judgment parameter which indicates whether the service node j provides the unloading service for the mobile user, and the busy judgment parameter is assigned as follows:
Figure BDA0003408368080000082
the method for constructing the frame of the computing resource allocation balance degree comprises the following steps:
to evaluate the load balancing of the offloading decision, two parameters are defined: one is a parameter u characterizing the concentration degree of the unloading scheme occupying the service node, and the other is a vector A ═ of the accumulated load of the edge terminal node or the edge server resource (a)1,a2,a3...aM). Element a of Aj(j. epsilon. M) and the parameter u are normalized parameters with values of [0,1 [ ]]Within the scope, the concentration level parameter u is defined as:
Figure BDA0003408368080000083
the vector A of the resource accumulation load of each service node is equal to (a)1,a2,a3...aM) Middle element ajIs defined as:
Figure BDA0003408368080000084
wherein, aj(j ∈ M) represents the normalized cumulative workload of service node j (comprehensively considering the computing resource and storage resource usage loads), and the normalized resource cumulative loads a of all M service nodes1,a2,a3...aMComponent resource cumulative load vector a ═ a1,a2,a3...aM);k1Indicating the degree of importance to the use of computing resources, k2Representing the degree of importance of the use of the storage resource, the weight k1And k2K is more than or equal to 01,k2Is less than or equal to 1, and k1+k21 is ═ 1; preferably, the same importance is attached to the usage of the computing resources and storage resources of the edge terminal node or edge server, i.e. k1=k2=0.5。
The method for constructing the objective function of the total time delay of the joint unloading and the resource allocation balance degree comprises the following steps:
firstly, minimizing the total time delay of the calculation unloading of the mobile user, improving the experience of the mobile user, secondly, balancing the resource use load on the service node, and avoiding that the unbalanced calculation unloading scheme prematurely exhausts the resource on the service node as much as possible, therefore, the optimization of the calculation unloading decision is the optimization of two targets of the total time delay of the unloading and the resource distribution balance degree, and the two targets are converted into a linear optimization problem based on an integer, so that an objective function combining the total time delay of the unloading and the resource distribution balance degree is constructed:
min[f(x,y)]=min[w1f1(x,y)+w2f2(x,y)]
C1:0≤w1≤1,0≤w2≤1;
C2:w1+w2=1
C3:
Figure BDA0003408368080000091
C4:
Figure BDA0003408368080000092
Figure BDA0003408368080000093
Figure BDA0003408368080000094
Figure BDA0003408368080000095
wherein f is1(x, y) an objective function representing the total delay of the unloading, f2(x, y) an objective function representing the degree of balance of resource allocation, w1Weight value, w, assigned to the sum of the unloaded delays2A weight value indicating an assignment of a resource utilization balance,
Figure BDA0003408368080000096
and v represents the mean value of the accumulated load of each service node resource, and the mean square error of the accumulated load of each service node resource.
The method for solving the objective function of the combined unloading total time delay and the resource allocation balance degree adopts a weighted resource optimization algorithm to solve the objective function, and comprises the following steps:
for a fully distributed computing offload scheme, when all edge terminals or edge servers have completionWhen the resource use loads of the same proportion are all the same, f2(x, y) takes a minimum possible value of 0; as the difference of the resource utilization load ratios of different edge terminals or edge servers becomes larger, and the distribution of the edge terminals or edge servers occupied by the unloading calculation tends to be concentrated, f2The value of (x, y) also increases, asymptotically reaching 1, and the imbalance degree of resource usage is the highest. The constraint on the resource load of each edge terminal or edge server is simple, that is, the sum of the resources allocated to each mobile user must not exceed the total resource upper limit. Using linear weighting to weight the function f1(x,y)、f2(x, y) are aggregated together to obtain an objective function f (x, y) representing the whole optimization problem, and when f (x, y) obtains the minimum value, the total unloading time delay of the calculation unloading scheme and the resource allocation balance degree of the service node are generally optimal; as shown in fig. 4, the step of solving includes:
s1: determining an objective function f1Weight w of (x, y)1Function f2Weight w of (x, y)2
S2: according to the weight w1And a weight w2Preprocessing an objective function and an inequality constraint condition to obtain a coefficient matrix x of each variable in the objective function;
s3: traversing elements in the coefficient matrix x, and sequentially taking the elements in the coefficient matrix as the value of intcon;
s4: initializing a coefficient matrix A of inequality constraint conditions and a constraint vector b of the inequality constraint conditions; initializing an equality constraint coefficient matrix Aeq and a constraint vector beq of equality constraints; the optimization interval lb of the variable x is an all-zero vector, and ub is an all-1 vector;
s5: and calling an introping () function to implement linear programming on the target function f (x, y) according to the coefficient matrix A of the initialized inequality constraint condition, the constraint vector b of the initialized inequality constraint condition, the coefficient matrix Aeq of the initialized equality constraint condition, the constraint vector beq of the initialized equality constraint condition and the value of intcon, wherein the finally obtained x is the optimal solution xopt.
The formula for solving the objective function by adopting the weighted resource optimization algorithm is as follows:
[x,f(x,y)]=intlinprog(f,intcon,A,b,Aeq,beq,lb,ub)
A×x≤b
Aeq×x=beq
lb≤x≤ub
wherein x represents a coefficient matrix of a variable in an objective function, f (x, y) is the objective function, intling () is a function for performing linear programming on the objective function, intcon represents the position of an integer decision variable in x, a represents a coefficient matrix of an inequality constraint, b represents a constraint vector of the inequality constraint, Aeq represents a coefficient matrix of an equality constraint, beq represents a constraint vector of the equality constraint, lb represents a lower constraint interval limit of the variable x, and ub represents an upper constraint interval limit of the variable x.
The optimal solution xopt is the optimal solution of an objective function of the joint unloading total time delay and the resource allocation balance degree, and then the system guides each mobile terminal to carry out unloading according to an unloading scheme corresponding to xopt.
The invention provides a multi-user computing unloading method based on UPF equipment, mini MEP and other 5G private network shunts, which has good expansibility and safety, ensures high availability of industrial Internet equipment through a cluster consisting of a plurality of edge terminal equipment with idle resources, effectively utilizes the bandwidth and throughput of each UE equipment through load balancing, strengthens the network data processing capacity, and improves the flexibility and availability of the network; the method can effectively reduce the average unloading time delay and the average transmission time delay of multiple users, simultaneously balance the workload of each mobile edge terminal device or edge server, and has good economic benefit.
The above-mentioned embodiments, which further illustrate the objects, technical solutions and advantages of the present invention, should be understood that the above-mentioned embodiments are only preferred embodiments of the present invention, and should not be construed as limiting the present invention, and any modifications, equivalents, improvements, etc. made within the spirit and principle of the present invention should be included in the protection scope of the present invention.

Claims (10)

1. A multi-user computing unloading method based on a 5G private network splitter is characterized by comprising the following steps:
s1: constructing a multi-user computing unloading framework based on the 5G private network shunt; the 5G private network splitter comprises user plane function equipment UPF and a small mobile edge computing platform miniMEP;
s2: constructing an objective function of the combined unloading total time delay and the resource allocation balance degree according to the multi-user computing unloading framework;
s3: solving an objective function combining the total unloading time delay and the resource allocation balance degree to obtain an optimal solution of the objective function; determining an unloading decision by a user according to the optimal solution of the objective function;
s4: and the user unloads the task according to the determined unloading decision.
2. The method according to claim 1, wherein the constructing of the multi-user computation offload framework based on the 5G private network splitter comprises constructing a computation offload total delay framework and constructing a computation resource allocation balance framework.
3. The method of claim 2, wherein the constructing of the total delay frame for computation offload comprises:
taking miniMEP as a mobile edge computing cooperative server, and recording the resource available state of each idle service node; using federated resource pairs (p)j,cj) Represents the availability status of the computing and storage resources of service node j, where pjRepresenting computing resources of the service node, cjRepresenting a storage resource of the service node; defining the intensive computing task of a mobile user k as TkUsing a federated resource pair (z)k,ek) Representing the resource requirement of a mobile user k, wherein the service node is a task TkThe provided computing resource is zkService node is task TkThe storage resource provided is ek
Every t times, mobile user k will be selfThe already federated resource requirement pairs (z)k,ek) Sending to miniMEP;
miniMEP according to the residual computing resources, the residual storage resources and the combined resource demand pair (z) of the mobile user of each service nodek,ek) And calculating the total unloading time delay of each mobile user.
4. The multi-user calculation unloading method based on the 5G private network splitter according to claim 3, wherein the total calculation unloading delay formula is as follows:
Figure FDA0003408368070000021
Figure FDA0003408368070000022
Figure FDA0003408368070000023
wherein f is1(x, y) represents an objective function of the total time delay of the offloading, K represents the total number of users, M represents the total number of service nodes, dkjRepresenting the computational resource margin of the mobile edge compute collaboration server, ziIndicating the computing resources requested by the user, eiRepresenting the storage resources applied by the user, J representing the service node set, xkjIndicating an unload decision parameter.
5. The multi-user computing offloading method based on the 5G private network splitter according to claim 2, wherein constructing the computing resource allocation balance framework comprises:
defining a concentration degree parameter u representing that unloading decisions occupy resources of each service node, and defining a vector A which represents the accumulated load of the resources of each service node as (a)1,a2,a3...aM) (ii) a Wherein, ajRepresents the normalized cumulative workload of service node j;
and calculating the resource allocation balance degree according to the concentration degree parameter and the vector of the resource accumulated load of each service node.
6. The method of claim 5, wherein the cumulative load a of each service node resource is used as a load for the multi-user computation offload based on the 5G private network splitterjThe expression of (a) is:
Figure FDA0003408368070000024
wherein, ajRepresents the normalized cumulative workload, k, of the service node j1Indicating the degree of importance to the use of computing resources, k2Expressing the degree of importance to the use of the storage resource, K expressing the total number of users, xkjIndicating an unload decision parameter.
7. The multi-user computing offloading method based on the 5G private network splitter according to claim 5, wherein the computing resource allocation balance formula is:
Figure FDA0003408368070000031
Figure FDA0003408368070000032
Figure FDA0003408368070000033
wherein f is2(x, y) represents an objective function of resource allocation balance, M represents the total number of service nodes, y represents the total number of service nodesjIndicates a busy decision parameter, ajIndicating that each service node resource is cumulatively negativeThe elements in the vector of the charges are,
Figure FDA0003408368070000036
and v represents the mean value of the accumulated load of each service node resource, and the mean square error of the accumulated load of each service node resource.
8. The multi-user computing offloading method based on the 5G private network splitter according to claim 1, wherein an objective function combining total offloading delay and resource allocation balance is:
min[f(x,y)]=min[w1f1(x,y)+w2f2(x,y)]
C1:0≤w1≤1,0≤w2≤1;
C2:w1+w2=1
C3:
Figure FDA0003408368070000034
C4:
Figure FDA0003408368070000035
wherein f is1(x, y) an objective function representing the total delay of the unloading, f2(x, y) an objective function representing the degree of balance of resource allocation, w1Weight value, w, assigned to the sum of the unloaded delays2Representing a weight value for resource allocation with a degree of balance, K representing a total number of users, M representing a total number of service nodes, zkIndicating a service node as a task TkProvided computing resource, xkjDenotes an unload decision parameter, pjRepresenting the computational resources of the service node, yjIndicates a busy decision parameter, ekIndicating a service node as a task TkStorage resources provided, cjRepresenting the storage resources of the serving node.
9. The multi-user computing offloading method based on the 5G private network splitter according to claim 1, wherein the process of solving the objective function combining the total offloading delay and the resource allocation balance degree comprises: solving the objective function by adopting a weighted resource optimization algorithm, wherein the solving step comprises the following steps:
s1: determining an objective function f1Weight w of (x, y)1Function f2Weight w of (x, y)2
S2: according to the weight w1And a weight w2Preprocessing an objective function and an inequality constraint condition to obtain a coefficient matrix x of each variable in the objective function;
s3: traversing elements in the coefficient matrix x, and sequentially taking the elements in the coefficient matrix as the value of intcon;
s4: initializing a coefficient matrix A of inequality constraint conditions and a constraint vector b of the inequality constraint conditions; initializing an equality constraint coefficient matrix Aeq and a constraint vector beq of equality constraints; the optimization interval lb of the variable x is an all-zero vector, and ub is an all-1 vector;
s5: and calling an introping () function to implement linear programming on the target function f (x, y) according to the coefficient matrix A of the initialized inequality constraint condition, the constraint vector b of the initialized inequality constraint condition, the coefficient matrix Aeq of the initialized equality constraint condition, the constraint vector beq of the initialized equality constraint condition and the value of intcon, wherein the finally obtained x is the optimal solution xopt.
10. The multi-user computing offloading method based on the 5G private network splitter according to claim 9, wherein a formula for solving the objective function by using a weighted resource optimization algorithm is as follows:
[x,f(x,y)]=intlinprog(f,intcon,A,b,Aeq,beq,lb,ub)
A×x≤b
Aeq×x=beq
lb≤x≤ub
wherein x represents a coefficient matrix of a variable in an objective function, f (x, y) is the objective function, intling () is a function for performing linear programming on the objective function, intcon represents the position of an integer decision variable in x, a represents a coefficient matrix of an inequality constraint, b represents a constraint vector of the inequality constraint, Aeq represents a coefficient matrix of an equality constraint, beq represents a constraint vector of the equality constraint, lb represents a lower constraint interval limit of the variable x, and ub represents an upper constraint interval limit of the variable x.
CN202111519999.7A2021-12-132021-12-13 A multi-user computing offloading method based on 5G private network splitterActiveCN114173379B (en)

Priority Applications (1)

Application NumberPriority DateFiling DateTitle
CN202111519999.7ACN114173379B (en)2021-12-132021-12-13 A multi-user computing offloading method based on 5G private network splitter

Applications Claiming Priority (1)

Application NumberPriority DateFiling DateTitle
CN202111519999.7ACN114173379B (en)2021-12-132021-12-13 A multi-user computing offloading method based on 5G private network splitter

Publications (2)

Publication NumberPublication Date
CN114173379Atrue CN114173379A (en)2022-03-11
CN114173379B CN114173379B (en)2024-11-12

Family

ID=80486330

Family Applications (1)

Application NumberTitlePriority DateFiling Date
CN202111519999.7AActiveCN114173379B (en)2021-12-132021-12-13 A multi-user computing offloading method based on 5G private network splitter

Country Status (1)

CountryLink
CN (1)CN114173379B (en)

Cited By (9)

* Cited by examiner, † Cited by third party
Publication numberPriority datePublication dateAssigneeTitle
US11843953B1 (en)2022-08-022023-12-12Digital Global Systems, Inc.System, method, and apparatus for providing optimized network resources
US11849305B1 (en)*2022-08-022023-12-19Digital Global Systems, Inc.System, method, and apparatus for providing optimized network resources
US20240048994A1 (en)*2022-08-022024-02-08Digital Global Systems, Inc.System, method, and apparatus for providing optimized network resources
US11930370B2 (en)2022-08-022024-03-12Digital Global Systems, Inc.System, method, and apparatus for providing optimized network resources
US12156037B2 (en)2022-08-022024-11-26Digital Global Systems, Inc.System, method, and apparatus for providing optimized network resources
US12250558B2 (en)2022-08-022025-03-11Digital Global Systems, Inc.System, method, and apparatus for providing optimized network resources
US12262214B2 (en)2022-08-022025-03-25Digital Global Systems, Inc.System, method, and apparatus for providing optimized network resources
US12294865B2 (en)2022-08-022025-05-06Digital Global Systems, Inc.System, method, and apparatus for providing optimized network resources
US12445858B1 (en)2025-06-242025-10-14Digital Global Systems, Inc.System, method, and apparatus for providing optimized network resources

Citations (4)

* Cited by examiner, † Cited by third party
Publication numberPriority datePublication dateAssigneeTitle
CN108174421A (en)*2018-03-052018-06-15重庆邮电大学 A MEC-assisted data offloading method in a 5G network
CN111586762A (en)*2020-04-292020-08-25重庆邮电大学Task unloading and resource allocation joint optimization method based on edge cooperation
CN111641973A (en)*2020-05-292020-09-08重庆邮电大学Load balancing method based on fog node cooperation in fog computing network
US20210160888A1 (en)*2019-11-252021-05-27University-Industry Cooperation Group Of Kyung Hee UniversityApparatus for constructing energy-efficient communication and computation resource allocation framework for multiple communication service and method thereof

Patent Citations (4)

* Cited by examiner, † Cited by third party
Publication numberPriority datePublication dateAssigneeTitle
CN108174421A (en)*2018-03-052018-06-15重庆邮电大学 A MEC-assisted data offloading method in a 5G network
US20210160888A1 (en)*2019-11-252021-05-27University-Industry Cooperation Group Of Kyung Hee UniversityApparatus for constructing energy-efficient communication and computation resource allocation framework for multiple communication service and method thereof
CN111586762A (en)*2020-04-292020-08-25重庆邮电大学Task unloading and resource allocation joint optimization method based on edge cooperation
CN111641973A (en)*2020-05-292020-09-08重庆邮电大学Load balancing method based on fog node cooperation in fog computing network

Non-Patent Citations (1)

* Cited by examiner, † Cited by third party
Title
苑莹莹: "《移动边缘计算中基于协作计算的卸载策略研究》", CNKI, 15 May 2021 (2021-05-15), pages 1 - 66*

Cited By (89)

* Cited by examiner, † Cited by third party
Publication numberPriority datePublication dateAssigneeTitle
US11843953B1 (en)2022-08-022023-12-12Digital Global Systems, Inc.System, method, and apparatus for providing optimized network resources
US11849305B1 (en)*2022-08-022023-12-19Digital Global Systems, Inc.System, method, and apparatus for providing optimized network resources
US20240048994A1 (en)*2022-08-022024-02-08Digital Global Systems, Inc.System, method, and apparatus for providing optimized network resources
US11930370B2 (en)2022-08-022024-03-12Digital Global Systems, Inc.System, method, and apparatus for providing optimized network resources
US11968539B2 (en)2022-08-022024-04-23Digital Global Systems, Inc.System, method, and apparatus for providing optimized network resources
US11985509B2 (en)*2022-08-022024-05-14Digital Global Systems, Inc.System, method, and apparatus for providing optimized network resources
US11997502B2 (en)2022-08-022024-05-28Digital Global Systems, Inc.System, method, and apparatus for providing optimized network resources
US12022297B2 (en)2022-08-022024-06-25Digital Global Systems, Inc.System, method, and apparatus for providing optimized network resources
US12041460B2 (en)2022-08-022024-07-16Digital Global Systems, Inc.System, method, and apparatus for providing optimized network resources
US12052574B2 (en)2022-08-022024-07-30Digital Global Systems, Inc.System, method, and apparatus for providing optimized network resources
US12052575B2 (en)2022-08-022024-07-30Digital Global Systems, Inc.System, method, and apparatus for providing optimized network resources
US12052577B1 (en)2022-08-022024-07-30Digital Global Systems, Inc.System, method, and apparatus for providing optimized network resources
US12052576B2 (en)2022-08-022024-07-30Digital Global Systems, Inc.System, method, and apparatus for providing optimized network resources
US12052578B1 (en)2022-08-022024-07-30Digital Global Systems, Inc.System, method, and apparatus for providing optimized network resources
US12058530B2 (en)2022-08-022024-08-06Digital Global Systems, Inc.System, method, and apparatus for providing optimized network resources
US12058529B2 (en)2022-08-022024-08-06Digital Global Systems, Inc.System, method, and apparatus for providing optimized network resources
US12075259B2 (en)2022-08-022024-08-27Digital Global Systems, Inc.System, method, and apparatus for providing optimized network resources
US12096228B2 (en)2022-08-022024-09-17Digital Global Systems, Inc.System, method, and apparatus for providing optimized network resources
US12096227B2 (en)2022-08-022024-09-17Digital Global Systems, Inc.System, method, and apparatus for providing optimized network resources
US12101639B2 (en)2022-08-022024-09-24Digital Global Systems, Inc.System, method, and apparatus for providing optimized network resources
US12108258B2 (en)2022-08-022024-10-01Digital Global Systems, Inc.System, method, and apparatus for providing optimized network resources
US12114171B2 (en)2022-08-022024-10-08Digital Global Systems, Inc.System, method, and apparatus for providing optimized network resources
US12114170B2 (en)2022-08-022024-10-08Digital Global Systems, Inc.System, method, and apparatus for providing optimized network resources
US12120528B2 (en)2022-08-022024-10-15Digital Global Systems, Inc.System, method, and apparatus for providing optimized network resources
US12120529B1 (en)2022-08-022024-10-15Digital Global Systems, Inc.System, method, and apparatus for providing optimized network resources
US12127008B2 (en)2022-08-022024-10-22Digital Global Systems, Inc.System, method, and apparatus for providing optimized network resources
US12149946B2 (en)2022-08-022024-11-19Digital Global Systems, Inc.System, method, and apparatus for providing optimized network resources
US12156037B2 (en)2022-08-022024-11-26Digital Global Systems, Inc.System, method, and apparatus for providing optimized network resources
US12167245B2 (en)2022-08-022024-12-10Digital Global Systems, Inc.System, method, and apparatus for providing optimized network resources
US12177677B2 (en)2022-08-022024-12-24Digital Global Systems, Inc.System, method, and apparatus for providing optimized network resources
US12185114B2 (en)2022-08-022024-12-31Digital Global Systems, Inc.System, method, and apparatus for providing optimized network resources
US12185116B2 (en)2022-08-022024-12-31Digital Global Systems, Inc.System, method, and apparatus for providing optimized network resources
US12185115B2 (en)2022-08-022024-12-31Digital Global Systems, Inc.System, method, and apparatus for providing optimized network resources
US12192776B2 (en)2022-08-022025-01-07Digital Global Systems, Inc.System, method, and apparatus for providing optimized network resources
US12192778B2 (en)2022-08-022025-01-07Digital Global Systems, Inc.System, method, and apparatus for providing optimized network resources
US12207097B2 (en)2022-08-022025-01-21Digital Global Systems, Inc.System, method, and apparatus for providing optimized network resources
US12212973B2 (en)2022-08-022025-01-28Digital Global Systems, Inc.System, method, and apparatus for providing optimized network resources
US12219364B2 (en)2022-08-022025-02-04Digital Global Systems, Inc.System, method, and apparatus for providing optimized network resources
US12225386B2 (en)2022-08-022025-02-11Digital Global Systems, Inc.System, method, and apparatus for providing optimized network resources
US12231902B2 (en)2022-08-022025-02-18Digital Global Systems, Inc.System, method, and apparatus for providing optimized network resources
US12231906B1 (en)2022-08-022025-02-18Digital Global Systems, Inc.System, method, and apparatus for providing optimized network resources
US12238526B2 (en)2022-08-022025-02-25Digital Global Systems, Inc.System, method, and apparatus for providing optimized network resources
US12245046B2 (en)2022-08-022025-03-04Digital Global Systems, Inc.System, method, and apparatus for providing optimized network resources
US12250558B2 (en)2022-08-022025-03-11Digital Global Systems, Inc.System, method, and apparatus for providing optimized network resources
US12250559B2 (en)2022-08-022025-03-11Digital Global Systems, Inc.System, method, and apparatus for providing optimized network resources
US12262214B2 (en)2022-08-022025-03-25Digital Global Systems, Inc.System, method, and apparatus for providing optimized network resources
US12262212B2 (en)2022-08-022025-03-25Digital Global Systems, Inc.System, method, and apparatus for providing optimized network resources
US12273728B2 (en)2022-08-022025-04-08Digital Global Systems, Inc.System, method, and apparatus for providing optimized network resources
US12273730B2 (en)2022-08-022025-04-08Digital Global Systems, Inc.System, method, and apparatus for providing optimized network resources
US12273729B2 (en)2022-08-022025-04-08Digital Global Systems, Inc.System, method, and apparatus for providing optimized network resources
US12273726B2 (en)2022-08-022025-04-08Digital Global Systems, Inc.System, method, and apparatus for providing optimized network resources
US12284527B2 (en)2022-08-022025-04-22Digital Global Systems, Inc.System, method, and apparatus for providing optimized network resources
US12284526B2 (en)2022-08-022025-04-22Digital Global Systems, Inc.System, method, and apparatus for providing optimized network resources
US12289602B2 (en)2022-08-022025-04-29Digital Global Systems, Inc.System, method, and apparatus for providing optimized network resources
US12289604B2 (en)2022-08-022025-04-29Digital Global Systems, Inc.System, method, and apparatus for providing optimized network resources
US12289603B2 (en)2022-08-022025-04-29Digital Global Systems, Inc.System, method, and apparatus for providing optimized network resources
US12294865B2 (en)2022-08-022025-05-06Digital Global Systems, Inc.System, method, and apparatus for providing optimized network resources
US12294867B2 (en)2022-08-022025-05-06Digital Global Systems, Inc.System, method, and apparatus for providing optimized network resources
US12302115B2 (en)2022-08-022025-05-13Digital Global Systems, Inc.System, method, and apparatus for providing optimized network resources
US12302111B2 (en)2022-08-022025-05-13Digital Global Systems, Inc.System, method, and apparatus for providing optimized network resources
US12309598B2 (en)2022-08-022025-05-20Digital Global Systems, Inc.System, method, and apparatus for providing optimized network resources
US12309604B2 (en)2022-08-022025-05-20Digital Global Systems, Inc.System, method, and apparatus for providing optimized network resources
US12309605B2 (en)2022-08-022025-05-20Digital Global Systems, Inc.System, method, and apparatus for providing optimized network resources
US12317090B2 (en)2022-08-022025-05-27Digital Global Systems, Inc.System, method, and apparatus for providing optimized network resources
US12323814B2 (en)2022-08-022025-06-03Digital Global Systems, Inc.System, method, and apparatus for providing optimized network resources
US12323815B2 (en)2022-08-022025-06-03Digital Global Systems, Inc.System, method, and apparatus for providing optimized network resources
US12328592B2 (en)2022-08-022025-06-10Digital Global Systems, Inc.System, method, and apparatus for providing optimized network resources
US12328591B2 (en)2022-08-022025-06-10Digital Global Systems, Inc.System, method, and apparatus for providing optimized network resources
US12335743B2 (en)2022-08-022025-06-17Digital Global Systems, Inc.System, method, and apparatus for providing optimized network resources
US12342174B2 (en)2022-08-022025-06-24Digital Global Systems, Inc.System, method, and apparatus for providing optimized network resources
US12348973B2 (en)2022-08-022025-07-01Digital Global Systems, Inc.System, method, and apparatus for providing optimized network resources
US12348974B2 (en)2022-08-022025-07-01Digital Global Systems, Inc.System, method, and apparatus for providing optimized network resources
US12348975B2 (en)2022-08-022025-07-01Digital Global Systems, Inc.System, method, and apparatus for providing optimized network resources
US12363550B2 (en)2022-08-022025-07-15Digital Global Systems, Inc.System, method, and apparatus for providing optimized network resources
US12369040B2 (en)2022-08-022025-07-22Digital Global Systems, Inc.System, method, and apparatus for providing optimized network resources
US12375933B1 (en)2022-08-022025-07-29Digital Global Systems, Inc.System, method, and apparatus for providing optimized network resources
US12375932B2 (en)2022-08-022025-07-29Digital Global Systems, Inc.System, method, and apparatus for providing optimized network resources
US12375931B2 (en)2022-08-022025-07-29Digital Global Systems, Inc.System, method, and apparatus for providing optimized network resources
US12382297B2 (en)2022-08-022025-08-05Digital Global Systems, Inc.System, method, and apparatus for providing optimized network resources
US12382299B2 (en)2022-08-022025-08-05Digital Global Systems, Inc.System, method, and apparatus for providing optimized network resources
US12395854B2 (en)2022-08-022025-08-19Digital Global Systems, Inc.System, method, and apparatus for providing optimized network resources
US12402014B1 (en)2022-08-022025-08-26Digital Global Systems, Inc.System, method, and apparatus for providing optimized network resources
US12432569B2 (en)2022-08-022025-09-30Digital Global Systems, Inc.System, method, and apparatus for providing optimized network resources
US12432570B2 (en)2022-08-022025-09-30Digital Global Systems, Inc.System, method, and apparatus for providing optimized network resources
US12439265B1 (en)2022-08-022025-10-07Digital Global Systems, Inc.System, method, and apparatus for providing optimized network resources
US12445855B2 (en)2025-02-212025-10-14Digital Global Systems, Inc.System, method, and apparatus for providing optimized network resources
US12445856B1 (en)2025-06-232025-10-14Digital Global Systems, Inc.System, method, and apparatus for providing optimized network resources
US12445857B1 (en)2025-06-232025-10-14Digital Global Systems, Inc.System, method, and apparatus for providing optimized network resources
US12445858B1 (en)2025-06-242025-10-14Digital Global Systems, Inc.System, method, and apparatus for providing optimized network resources

Also Published As

Publication numberPublication date
CN114173379B (en)2024-11-12

Similar Documents

PublicationPublication DateTitle
CN114173379A (en)Multi-user computing unloading method based on 5G private network shunt
CN108920279B (en)Mobile edge computing task unloading method under multi-user scene
CN109684075B (en)Method for unloading computing tasks based on edge computing and cloud computing cooperation
CN110234127B (en)SDN-based fog network task unloading method
US10230659B2 (en)Method and system to allocate bandwidth based on task deadline in cloud computing networks
US11071020B2 (en)Service provisioning using abstracted network resource requirements
CN110062026A (en)Mobile edge calculations resources in network distribution and calculating unloading combined optimization scheme
WO2023040022A1 (en)Computing and network collaboration-based distributed computation offloading method in random network
CN110087318A (en)Task unloading and resource allocation joint optimization method based on the mobile edge calculations of 5G
CN108541027A (en)A kind of communication computing resource method of replacing based on edge cloud network
Dao et al.SGCO: Stabilized green crosshaul orchestration for dense IoT offloading services
JPH11341154A (en)Resource allocation and route selection method for multiple service virtual private network
CN111182570A (en)User association and edge computing unloading method for improving utility of operator
CN116389491A (en)Cloud edge computing power resource self-adaptive computing system
CN117608806A (en)Calculation task fog-cloud optimization method under smart grid cloud edge cooperative mechanism
Kassir et al.Service placement for real-time applications: Rate-adaptation and load-balancing at the network edge
CN112148482B (en) An edge computing task scheduling method based on combined load balancing
CN112084034B (en)MCT scheduling method based on edge platform layer adjustment coefficient
CN110856215B (en) A resource allocation algorithm for multi-access edge computing
CN115865930A (en) A method for dynamic adjustment of MEC based on 5G power Internet of Things
CN118785489A (en) A method, system, device and medium for allocating communication resources
JP5632803B2 (en) Communication resource allocation method for subscriber accommodation system, subscriber management apparatus, and subscriber accommodation system
Wang et al.Offloading strategies for mobile edge computing based on multi-attribute preferences in smart grids
CN114615705A (en)Single user resource allocation strategy method based on 5G network
Myyara et al.A Resource Allocation Strategy to Enhance User Experience for IoT Devices in Multi-access Edge Computing

Legal Events

DateCodeTitleDescription
PB01Publication
PB01Publication
SE01Entry into force of request for substantive examination
SE01Entry into force of request for substantive examination
GR01Patent grant
GR01Patent grant

[8]ページ先頭

©2009-2025 Movatter.jp