Movatterモバイル変換


[0]ホーム

URL:


CN114167601B - Triple pupil expanding device - Google Patents

Triple pupil expanding device
Download PDF

Info

Publication number
CN114167601B
CN114167601BCN202111326995.7ACN202111326995ACN114167601BCN 114167601 BCN114167601 BCN 114167601BCN 202111326995 ACN202111326995 ACN 202111326995ACN 114167601 BCN114167601 BCN 114167601B
Authority
CN
China
Prior art keywords
light
splitting unit
beam splitters
light splitting
pupil
Prior art date
Legal status (The legal status is an assumption and is not a legal conclusion. Google has not performed a legal analysis and makes no representation as to the accuracy of the status listed.)
Active
Application number
CN202111326995.7A
Other languages
Chinese (zh)
Other versions
CN114167601A (en
Inventor
顾志远
赵鑫
郑昱
Current Assignee (The listed assignees may be inaccurate. Google has not performed a legal analysis and makes no representation or warranty as to the accuracy of the list.)
Journey Technology Ltd
Original Assignee
Journey Technology Ltd
Priority date (The priority date is an assumption and is not a legal conclusion. Google has not performed a legal analysis and makes no representation as to the accuracy of the date listed.)
Filing date
Publication date
Application filed by Journey Technology LtdfiledCriticalJourney Technology Ltd
Priority to CN202111326995.7ApriorityCriticalpatent/CN114167601B/en
Publication of CN114167601ApublicationCriticalpatent/CN114167601A/en
Application grantedgrantedCritical
Publication of CN114167601BpublicationCriticalpatent/CN114167601B/en
Activelegal-statusCriticalCurrent
Anticipated expirationlegal-statusCritical

Links

Images

Classifications

Landscapes

Abstract

The invention discloses a pupil expanding device, which comprises a first waveguide structure and a second waveguide structure which are sequentially arranged along a first direction; a second structure subsection is added in the first waveguide structure, the second structure subsection comprises a second beam splitting unit and a second beam splitting unit which are sequentially arranged along the first direction, and the first part of light rays incident into the second structure subsection are reflected by the second beam splitting unit, the third beam splitting unit and the fourth beam splitting unit in sequence to form a triple-expansion pupil and then are emitted; the third part of light rays are reflected by the second light splitting unit, the first light splitting unit and the fourth light splitting unit in sequence to form a third expanded pupil and then exit; and the fourth part of light rays are transmitted by the second light splitting unit and are emitted after being reflected by the fourth light splitting unit. Under the condition of keeping the field angle, the eye box and the exit pupil distance unchanged, the size of the two-dimensional waveguide sheet can be reduced, full-field image display is realized, the two-dimensional waveguide sheet is more suitable for the optimal position of human vision, the machining difficulty is reduced, and the light energy utilization rate is improved.

Description

Triple pupil expanding device
Technical Field
The embodiment of the invention relates to the technical field of display, in particular to a triple pupil expanding device.
Background
Augmented Reality (AR) technology is a technology for skillfully fusing virtual information and a real world, and can be applied to the real world after simulating virtual information such as characters, images, three-dimensional models, music, videos and the like generated by a computer, so as to supplement real information in the real world and realize 'augmentation' of the real world. The head-mounted display utilizing the augmented reality technology can enable people to project virtual images to human eyes while looking up the surrounding environment, and has important significance in the fields of military affairs, industry, entertainment, medical treatment, transportation and the like.
In the transmissive type head mounted display currently used for augmented reality, the main techniques include: the Birdbath, prism, free form surface and optical waveguide technology, compared with other technologies, the head-mounted display adopting the optical waveguide technology has smaller volume and is more like a pair of glasses. The optical waveguide technology mainly includes an array optical waveguide, a surface relief grating waveguide and a volume holographic waveguide, wherein the color expression and the light energy utilization rate of the array optical waveguide are superior to those of a diffraction optical waveguide and a volume holographic waveguide, and particularly, the array optical waveguide adopting the two-dimensional exit pupil expansion technology has the advantages of small coupled light machine volume, large exit pupil distance, large eye box and the like.
As people demand more and more for immersive experiences and the appearance of AR glasses, technicians need to increase the field angle of the display system and also require the display system to be similar in shape and volume to ordinary glasses. Due to the asymmetry of the existing two-dimensional exit pupil expansion technology, if a common material with a lower refractive index (e.g., H-BAK5, n = 1.56) is used to transmit a larger field angle (e.g., 55 ° of diagonal), the volume of the two-dimensional waveguide sheet will increase, and the deviation between the effective display area center and the optimal position of human eyes is larger; if a material with a high refractive index is used, the processing difficulty and cost of the two-dimensional waveguide sheet will be greatly increased, the asymmetry of the structure of the two-dimensional waveguide sheet cannot be changed, and the problem of volume increase is also faced when a larger field angle is transmitted.
Disclosure of Invention
In view of this, embodiments of the present invention provide a pupil expanding device, in which a second structural part is added in an upper waveguide structure of a two-dimensional waveguide sheet in the prior art, an entrance pupil light beam is split into left and right view fields after being expanded in a horizontal direction for one time, and then the light beam reaches a lower waveguide structure after being expanded in the horizontal direction for emergence, so that the light beam realizes secondary pupil expansion in the horizontal direction in the upper waveguide structure, and the lower waveguide structure performs vertical pupil expansion.
In a first aspect, embodiments of the present invention provide a pupil expanding device, comprising a first plane and a second plane arranged in parallel, and a first waveguide structure and a second waveguide structure arranged between the first plane and the second plane, the first waveguide structure and the second waveguide structure are sequentially arranged along a first direction; the first waveguide structure comprises a first structure subsection, a second structure subsection and a third structure subsection arranged in sequence along a second direction, the first direction is parallel to the first plane, and the second direction intersects the first direction;
the first structure subsection comprises a first light splitting unit, the second structure subsection comprises a second light splitting unit and a second light splitting unit which are sequentially arranged along the first direction, the third structure subsection comprises a third light splitting unit, and the second waveguide structure comprises a fourth light splitting unit;
the light rays entering the second structural part form a first part of light rays and a second part of light rays, and the first part of light rays are emitted after being reflected by the second light splitting unit, the third light splitting unit and the fourth light splitting unit in sequence; the second part of light is transmitted to the second diethyl light splitting unit through the second dimethyl light splitting unit to form a third part of light and a fourth part of light, and the third part of light is emitted after being reflected by the second diethyl light splitting unit, the first light splitting unit and the fourth light splitting unit in sequence; and the fourth part of light rays are transmitted by the second diethyl light splitting unit and are emitted after being reflected by the fourth light splitting unit.
Optionally, the first light splitting unit includes a plurality of first beam splitters, and the plurality of first beam splitters are sequentially arranged in parallel along the second direction;
the second light splitting unit comprises a plurality of second beam splitters which are arranged in parallel, the second beam splitting unit comprises a plurality of second beam splitters which are arranged in parallel, the first part of light is reflected by the second beam splitters and then enters the third structure part, the second part of light is transmitted to the second beam splitters through the second beam splitters to form a third part of light and a fourth part of light, the third part of light is reflected by the second beam splitters and then enters the first structure part, and the fourth part of light is transmitted by the second beam splitters and then enters the second waveguide structure;
the third light splitting unit comprises a plurality of third beam splitters, and the third beam splitters are sequentially arranged in parallel along the second direction;
the fourth light splitting unit comprises a plurality of fourth beam splitting mirrors, and the fourth beam splitting mirrors are sequentially arranged in parallel along the first direction.
Optionally, the second beam splitter and the second beam splitter are symmetrically arranged along the first direction.
Optionally, a plurality of the second beam splitters are arranged in parallel and at equal intervals;
and the second beam splitters are arranged in parallel at equal intervals.
Optionally, an included angle between the second beam splitter and the first direction is α, and an included angle between a normal direction of the second beam splitter and a normal direction of the first plane is γ; an included angle between the second beam splitter and the first direction is beta, and an included angle between the normal direction of the second beam splitter and the normal direction of the first plane is gamma; the included angle between the second beam splitter and the second beam splitter is alpha + beta;
an included angle between the normal direction of the fourth beam splitter and the normal direction of the first plane is theta;
wherein alpha is more than 0 and less than 90 degrees, beta is more than 0 and less than 90 degrees, gamma is more than 80 degrees and less than 90 degrees, and theta is more than 20 degrees and less than 28 degrees.
Optionally, the plurality of first beam splitters and the second beam splitter are sequentially arranged in parallel along the second direction; and the third beam splitters and the second beam splitters are sequentially arranged in parallel along the second direction.
Optionally, the plurality of first beam splitters are sequentially arranged in parallel at equal intervals along the second direction;
the third beam splitters are arranged in parallel at equal intervals along the second direction in sequence;
the fourth beam splitters are sequentially arranged in parallel at equal intervals along the first direction.
Optionally, the pupil expanding device further comprises a coupling-in structure;
the coupling-in structure comprises a triangular prism and is used for coupling parallel light beams emitted by the light machine into the second structure subsection.
Optionally, the pupil expanding device further includes a first glass sheet, the first glass sheet is located between the third structural subsection and the second waveguide structure along the first direction, and a height of the first glass sheet is equal to a height of the second optical splitting unit.
Optionally, the pupil expanding device further includes a second glass sheet, the second glass sheet is located on a side of the first structure subsection away from the second waveguide structure along the first direction, and a surface of the second glass sheet on the side away from the second waveguide structure is flush with a surface of the third structure subsection away from the second waveguide structure.
The pupil expanding device comprises a first waveguide structure and a second waveguide structure which are sequentially arranged along a first direction, wherein a second structure subsection is added to the first waveguide structure and comprises a second beam splitting unit and a second beam splitting unit which are sequentially arranged along the first direction, so that a first part of light rays incident into the second structure subsection are sequentially reflected by the second beam splitting unit, the third beam splitting unit and the fourth beam splitting unit to form a third pupil expanding and then exit; the second part of light is transmitted to the second diethyl light splitting unit through the second light splitting unit to form a third part of light, and the third part of light is emitted after being reflected by the second diethyl light splitting unit, the first light splitting unit and the fourth light splitting unit in sequence to form a third expanding pupil; and a fourth part of light formed by the second part of light transmitted to the second diethyl light splitting unit by the second dimethyl light splitting unit is emitted after being transmitted by the second diethyl light splitting unit and reflected by the fourth light splitting unit. Under the condition of keeping the angle of field, the eye box and the exit pupil distance unchanged, the size of the two-dimensional waveguide sheet can be effectively reduced, the image display of the full field of view is realized, the two-dimensional waveguide sheet is more suitable for the optimal position of human eye vision, the machining difficulty is reduced, and the light energy utilization rate is improved.
Drawings
Other features, objects and advantages of the invention will become more apparent upon reading of the detailed description of non-limiting embodiments thereof, made with reference to the following drawings:
FIG. 1 is a three-dimensional view of a conventional two-dimensional waveguide sheet structure of the prior art;
FIG. 2 is a diagram of a light path from a point A 'to a point B' in a conventional two-dimensional waveguide structure according to the prior art;
FIG. 3 is an equivalent optical path diagram of a light ray in a general two-dimensional waveguide structure in the prior art;
FIG. 4 is a schematic shape diagram of a conventional two-dimensional waveguide slice structure with a diagonal viewing angle of 55 degrees in the prior art;
figure 5 is a schematic structural diagram of a triple pupil dilation device according to an embodiment of the present invention;
fig. 6 is a schematic structural diagram of a first waveguide structure according to an embodiment of the present invention;
fig. 7 is a schematic structural diagram of another first waveguide structure according to an embodiment of the present invention;
figure 8 is a schematic optical path diagram of a triple pupil expansion device according to an embodiment of the present invention;
FIG. 9 is a schematic diagram of a second structural subsection in accordance with an embodiment of the present invention;
FIG. 10 is a schematic view of another second structural subsection provided in accordance with an embodiment of the present invention;
FIG. 11 is a schematic view of another second structural subsection provided in accordance with an embodiment of the present invention;
FIG. 12 is a schematic view of another second structural subsection provided in accordance with an embodiment of the present invention;
figure 13 is a schematic diagram of the left field of view optical path of a pupil expanding device according to an embodiment of the present invention.
Detailed Description
In order to make the objects, technical solutions and advantages of the present invention clearer, the technical solutions of the present invention will be fully described by the detailed description with reference to the accompanying drawings in the embodiments of the present invention. It is to be understood that the embodiments described are only a few embodiments of the present invention and that all other embodiments, which can be derived by one of ordinary skill in the art without inventive faculty, based on the embodiments of the present invention, are within the scope of the present invention.
Examples
FIG. 1 shows three views of a conventional two-dimensional waveguide sheet; FIG. 2 is a diagram of a light path from point A 'to point B' in a conventional two-dimensional waveguide structure according to the prior art; FIG. 3 is an equivalent optical path diagram of a light ray in a conventional two-dimensional waveguide structure in the prior art; fig. 4 is a shape diagram of a conventional two-dimensional waveguide structure with a diagonal field angle of 55 ° in the prior art. As shown in fig. 1 to 4, a structure of a general two-dimensional waveguide sheet includes an upper structure waveguide sheet and a lower structure waveguide sheet; the upper structure waveguide sheet comprises twosurfaces 1 and 2 which are parallel to each other, and a series ofparallel beam splitters 1 are embedded in thesurfaces 1 and 2, the structure mainly has the function of turning light beams coupled into the structure to exit, and each beam splitter can form a primary image for the exit pupil, so that the horizontal pupil expansion is realized; the lower structure waveguide plate is similar to a common one-dimensional array waveguide, and comprises two mutuallyparallel surfaces 3 and 4, and a series ofparallel beam splitters 2 embedded in thesurfaces 3 and 4, and the main function of the structure is to couple out the light beams which are bent by the upper structure waveguide plate, so that the light beams are received by human eyes and the pupil expansion in the vertical direction is realized. Wherein,surface 1 andsurface 3,surface 2 andsurface 4 are the coplanar, the existing two-dimensional waveguide slice has the volume and weight to be great, the actual position of human eye and the best position deviation of human eye are great, the problem of the light energy utilization rate is lower, combine fig. 1-4, analyze as follows:
fig. 2 (a) shows a light path diagram of a light ray transmitted from a point a 'to a point B' in the upper structured waveguide sheet, and fig. 2 (B) shows a light path diagram of a light ray transmitted from a point a 'to a point B' on the surface of the upper structured waveguide sheet, wherein the path length traveled by the light ray in the waveguide sheet is 2L, the path length traveled by the light ray on the surface of the waveguide sheet is D, and the incident angle of the light ray is α, as can be seen from the geometrical relationship in the figure, the following formula 1.1 is satisfied:
D=2L*sinα, (1.1);
according to the formula 1.1, it can be understood that the waveguide sheet with the width D has an equivalent length or spread length D/sin α for the light with the incident angle α, and therefore, the separation distance of the beam splitter is D, the incident angle of the light is α, and the equivalent separation or spread interval is D/sin α.
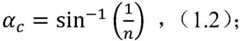
Taking the general two-dimensional waveguide sheet shown in fig. 1 as an example, assuming that the mirror interval d is sufficiently small, referring to fig. 3, fig. 3 shows an equivalent optical path diagram in which the division is madeThe inclination angle of the beam-formingmirror 1 to the X direction (i.e. horizontal direction) is 45 °, the thickness H of the two-dimensional waveguide sheet is 1.7mm, the glass material is H-BAK5 (refractive index n = 1.56), the diagonal field angle of the coupled-in image in the waveguide sheet is 55 ° (16: 9 screen is used, horizontal field × longitudinal field is 48.8 ° × 28.63 °), the exit pupil of the coupling-in optical machine is 5.5mm, the exit pupil distance is 20mm, and the horizontal eye box is 10mm. According to the given parameters, the critical angle alpha of total reflection can be obtainedc Satisfies formula 1.2:
Figure BDA0003347539970000071
considering the assembly tolerance and the distortion of the optical machine, the minimum incident angle in the two-dimensional waveguide sheet should be slightly larger than the critical angle of 39.87 °, so the total reflection transmission angle of the light in the two-dimensional waveguide sheet is in the range of (40.88 °, 61.92 °), and the central incident angle is 50 °. And combining the formula (1.1), the equivalent length or the expansion length of the light ray in the lower structural waveguide sheet is about 21.12mm, and combining the obtained data, the equivalent height of the upper structural waveguide sheet is about 28.98mm and the equivalent length is about 65.9mm by using the principle of reversible light path, as shown in fig. 3, the actual size of the upper structural waveguide sheet is about 50.48mm × 22.2mm by reversely pushing according to the formula (1.1). For example, 6reflectors 2 are embedded in the lower structured waveguide sheet, and the height of the lower structured waveguide sheet is at least 23mm in consideration of the processing technology according to the design concept of the common one-dimensional waveguide sheet.
From the above analysis, referring to fig. 4, fig. 4 shows the structural shape of a general two-dimensional waveguide sheet with a diagonal field angle of 55 °. It can be seen that in the structure, the deviation between the actual position of the human eye and the optimal position of the human eye is large, and the actual position of the human eye is probably positioned on the waveguide sheet
Figure BDA0003347539970000081
The position department, redundant too much, the structure of ordinary two-dimensional waveguide piece has not only increased two-dimensional waveguide piece volume and weight, the light energy utilization who still reduces.
In view of the above problems, embodiments of the present invention provide a pupil expanding device, which can perform secondary pupil expansion in the horizontal direction and primary pupil expansion in the vertical direction. Figure 5 is a three-view diagram of a pupil expansion device configuration according to an embodiment of the present invention; fig. 6 is a schematic structural diagram of a first waveguide structure according to an embodiment of the present invention; fig. 7 is a schematic structural diagram of another first waveguide structure provided in the embodiment of the present invention; figure 8 is a schematic diagram of an optical path of a triple pupil expanding device according to an embodiment of the present invention; FIG. 9 is a schematic diagram of a second structural subsection according to an embodiment of the present invention. As shown in fig. 5 to 9, the pupil expanding device according to the embodiment of the present invention includes a first plane S1 and a second plane S2 disposed in parallel, and afirst waveguide structure 1 and asecond waveguide structure 2 disposed between the first plane S1 and the second plane S2, where thefirst waveguide structure 1 and thesecond waveguide structure 2 are sequentially disposed along a first direction (as shown in the Y direction in fig. 5); thefirst waveguide structure 1 comprises a firststructural subsection 11, a secondstructural subsection 12 and a thirdstructural subsection 13 arranged in sequence along a second direction (shown as the X-direction in fig. 6 and 7), the first direction being parallel to the first plane S1 and the second direction intersecting the first direction;
the firststructural subsection 11 comprises a firstbeam splitting unit 111, the secondstructural subsection 12 comprises a secondbeam splitting unit 121 and a secondbeam splitting unit 122 arranged in sequence along the first direction, the third structural subsection comprises a thirdbeam splitting unit 131, and thesecond waveguide structure 2 comprises a fourthbeam splitting unit 21;
the light incident into the secondstructural subsection 12 forms a first part of light and a second part of light, and the first part of light is emitted after being reflected by the secondlight splitting unit 121, the thirdlight splitting unit 131 and the fourthlight splitting unit 21 in sequence; the second part of light is transmitted to the secondlight splitting unit 122 through the secondlight splitting unit 121 to form a third part of light and a fourth part of light, and the third part of light is emitted after being reflected by the secondlight splitting unit 122, the firstlight splitting unit 111 and the fourthlight splitting unit 21 in sequence; the fourth part of the light is transmitted by the secondbeam splitting unit 122 and reflected by the fourthbeam splitting unit 21 to exit.
Exemplarily, as shown in fig. 5 to 9, thefirst waveguide structure 1 and thesecond waveguide structure 2 are disposed between the first plane S1 and the second plane S2 of the triple pupil expansion device, and thefirst waveguide structure 1 and thesecond waveguide structure 2 are disposed up and down along the Y direction in fig. 5. Thefirst waveguide structure 1 and thesecond waveguide structure 2 may use a common lower refractive index material, for example H-BAK5, with a refractive index n =1.56. Thefirst waveguide structure 1 performs secondary X-direction (horizontal direction) pupil expansion on incident parallel light beams, thesecond waveguide structure 2 performs primary Y-direction (vertical direction) pupil expansion on the light beams passing through the pupil expansion of thefirst waveguide structure 1, the requirement of the two-dimensional waveguide structure on the pupil expansion of incident light beams is met, and the three-time pupil expansion of the incident light beams is realized. Specifically, thefirst waveguide structure 1 includes afirst structure subsection 11, asecond structure subsection 12, and athird structure subsection 13, which are sequentially arranged in the X direction in fig. 5. Wherein the X direction is parallel to the first plane S1 and the Y direction intersects the first direction, e.g., the Y direction is orthogonal to the X direction.
Thefirst structure subsection 11 includes a firstbeam splitting unit 111, the third structure subsection includes a thirdbeam splitting unit 131, asecond structure subsection 12 is added in the middle area of thefirst waveguide structure 1, thesecond structure subsection 12 includes a secondbeam splitting unit 121 and a secondbeam splitting unit 122 which are sequentially arranged along the X direction, the parallel light beams are split into a left view field light beam, a middle view field light beam and a right view field light beam, the firstbeam splitting unit 111, the secondbeam splitting unit 121, the secondbeam splitting unit 122, the thirdbeam splitting unit 131 and the fourthbeam splitting unit 21 have the functions of splitting and turning the light beams, and the light beam propagation direction is adjusted. For example, the incident surface of the light splitting unit is additionally coated with a reflective film and a transmissive film to split the incident beam. Specifically, the middle position of the entrance pupil in the first waveguide structure 1 is adjusted, and along the Y direction in the figure, when parallel light beams emitted by the optical engine sequentially enter the second dichroic unit 121 and the second dichroic unit 122 of the second structure subsection 12 through the entrance pupil, the light beams reaching the second dichroic unit 121 are split into a first part of light rays and a second part of light rays, the first part of light rays are reflected by the second dichroic unit 121 to reach the third dichroic unit 131 after expanding the pupil along the horizontal direction for the first time, the light rays are reflected by the third dichroic unit 131 to reach the fourth dichroic unit 21 after expanding the pupil along the horizontal direction for the second time, the light rays are reflected by the fourth dichroic unit 21 to realize the exit after expanding the pupil along the vertical direction for the first time and reach the user's eye for imaging, and the right-field triple-expansion pupil imaging is formed; the second part of light rays are transmitted by the second light splitting unit 121 to form third part of light rays and fourth part of light rays, the third part of light rays are reflected by the second light splitting unit 122 to realize the first pupil expansion along the horizontal direction and then reach the first light splitting unit 111, are reflected by the first light splitting unit 111 to realize the second pupil expansion along the horizontal direction and then reach the fourth light splitting unit 21, are reflected by the fourth light splitting unit 21 to realize the first pupil expansion along the vertical direction and then are emitted to the eyes of a user to form a left view field triple pupil expansion image; the fourth part of light is transmitted by the second diethyl light splitting unit 122, reflected by the fourth light splitting unit 21, and emitted to the eyes of the user for imaging. The field angle, the eye box and the exit pupil distance are kept unchanged, thesecond structure subsection 12 is added, the pupil expanding times of incident light rays in the horizontal direction can be increased, the pupil expanding range in the horizontal direction is enlarged, the position of an entrance pupil is adjusted, the size of the two-dimensional waveguide sheet can be effectively reduced, image display of a full field of view is realized, the two-dimensional waveguide sheet is more suitable for the optimal position of human vision, the machining difficulty is reduced, and the light energy utilization rate is improved.
In summary, in the pupil expanding device provided by the present invention, the second structure subsection is added to the first waveguide structure, and the second structure subsection includes the second beam splitting unit and the second beam splitting unit which are sequentially arranged along the first direction, so that the first part of light incident into the second structure subsection is reflected by the second beam splitting unit, the third beam splitting unit and the fourth beam splitting unit sequentially to form the third pupil expanding and then exits; the second part of light is transmitted to the second diethyl light splitting unit through the second light splitting unit to form a third part of light, and the third part of light is reflected by the second diethyl light splitting unit, the first light splitting unit and the fourth light splitting unit in sequence to form a third pupil expanding and then is emitted; and a fourth part of light formed by the second part of light transmitted to the second diethyl light splitting unit by the second dimethyl light splitting unit is emitted after being transmitted by the second diethyl light splitting unit and reflected by the fourth light splitting unit. Under the condition that the field angle, the eye box and the exit pupil distance are kept unchanged, the pupil expanding frequency of incident light rays in the horizontal direction is increased, the pupil expanding range in the horizontal direction is expanded, the size of the two-dimensional waveguide sheet can be effectively reduced, image display of the full field of view is realized, the optical fiber laser positioning system is more suitable for the optimal position of human eye vision, the machining difficulty is reduced, and the light energy utilization rate is improved.
Optionally, referring to fig. 5, the triple pupil expanding device further comprises a coupling structure R; the coupling-in structure R comprises a prism and is used for coupling the parallel light beams emitted by the light machine into the second structure subsection. The capacity utilization rate of light can be improved, and the field-of-view imaging effect can be improved.
FIG. 9 is a schematic diagram of a second structural subsection in accordance with an embodiment of the present invention; FIG. 10 is a schematic structural view of a second alternative structural subsection provided in accordance with an embodiment of the present invention; FIG. 11 is a schematic structural view of a second alternative structural subsection provided in accordance with an embodiment of the present invention; fig. 12 is a schematic structural diagram of another second structural subsection provided in accordance with an embodiment of the present invention. On the basis of the above embodiment, as shown in fig. 5-12, optionally, the firstbeam splitting unit 111 includes a plurality of first beam splitting mirrors 1111, and the plurality of first beam splitting mirrors 1111 are sequentially arranged in parallel along the second direction (shown by the X direction in the figure); the secondlight splitting unit 121 includes a plurality ofsecond beam splitters 1211 arranged in parallel, the secondlight splitting unit 122 includes a plurality ofsecond beam splitters 1221 arranged in parallel, the first part of light is reflected by the plurality ofsecond beam splitters 1211 and then enters thethird structure branch 13, the second part of light is transmitted to thesecond beam splitter 1221 through thesecond beam splitter 1211 to form a third part of light and a fourth part of light, the third part of light is reflected by thesecond beam splitter 1221 and then enters thefirst structure branch 11, and the fourth part of light is transmitted by thesecond beam splitter 1221 and then enters thesecond waveguide structure 2;
the thirdlight splitting unit 13 includes a plurality ofthird beam splitters 1311, and the plurality ofthird beam splitters 1311 are sequentially arranged in parallel along the second direction; the fourthlight splitting unit 21 includes a plurality offourth beam splitters 211, and the plurality offourth beam splitters 211 are sequentially arranged in parallel along the first direction (as shown in the Y direction in the figure).
Illustratively, referring to fig. 5 to 12, the secondlight splitting unit 121 includes a plurality ofsecond beam splitters 1211 disposed in parallel, the secondlight splitting unit 122 includes a plurality ofsecond beam splitters 1221 disposed in parallel, 2second beam splitters 1211 and 2second beam splitters 1221 are taken as examples in fig. 9 and 10, 3second beam splitters 1211 and 3second beam splitters 1221 are taken as examples in fig. 11 and 12, and 8first beam splitters 1111, 8third beam splitters 1311, and 6fourth beam splitters 211 are taken as examples in fig. 5 and 7, and further combinations of the fractional mirrors are not listed.
With reference to fig. 6-9 and 12, in this structure, the parallel light beam carrying the virtual image information exiting from the optical engine enters through the entrance pupil to reach the surface of thesecond beam splitter 1211 and is split into a first partial light and a second partial light, and the entire field of view of the virtual image is split into two parts, i.e., left and right fields of view, by thesecond beam splitter 1211 and the second beam splitter 1212. As shown in fig. 6, in the direction of the right field of view, the first part of light rays are reflected by the second beam splitter 1211 and then sequentially reach the plurality of third beam splitters 1311 arranged in parallel, the light beams are turned for multiple times and then reach the second waveguide structure 2 along the Y direction and then enter the eyes of the user, each of the second beam splitters 1211 and each of the third beam splitters 1311 form a primary image of the exit pupil, that is, the first pupil expansion is performed along the horizontal direction by the second beam splitter 1211, and the second pupil expansion is performed by the third beam splitter 1311 in the horizontal direction, so that the secondary pupil expansion of the right field of view in the horizontal direction is realized; in the left visual field direction, the second part of light rays pass through the second beam splitter 1211 and reach the second beam splitter unit 122, and then are split into a third part of light rays and a fourth part of light rays, the third part of light rays sequentially reach the plurality of first beam splitters 1111 arranged in parallel after being reflected by the second beam splitter 1212, the light beams are turned for multiple times and then reach the second waveguide structure 2, and then enter the eyes of the user, each second beam splitter 1212 and each first beam splitter 1111 form primary images on the exit pupil, namely, the first pupil expansion is performed along the horizontal direction by the second beam splitter 1212, and the second pupil expansion is performed by the first beam splitter 1111 in the horizontal direction, so that the secondary pupil expansion of the left visual field in the horizontal direction is realized; the light beam reaching the second waveguide structure 2 is sequentially refracted and coupled out to the eyes of the user by the plurality of fourth beam splitters 211 so as to be received by the eyes of the user, and each fourth beam splitter 211 forms an image of the exit pupil once and realizes the pupil expansion in the vertical direction, so that the full-field imaging of the virtual image information in the eyes of the user is realized.
As shown in fig. 10 and fig. 11, the first part of light is reflected by the seconddichroic unit 121 to realize first pupil expansion along the horizontal direction, and then the first part of light may also reach the firstdichroic unit 111, so as to form a left field beam; the third part of light is reflected by the secondbeam splitting unit 122 to realize the first pupil expansion along the horizontal direction and then reach the thirdbeam splitting unit 131 to form a right field beam, and the arrangement structures of the secondbeam splitting unit 121 and the secondbeam splitting unit 122 are arranged to realize the beam splitting in the horizontal direction and the first pupil expansion.
The plurality of parallelsecond beam splitters 1211 and the plurality of parallel second beam splitters 1212 are arranged in the horizontal direction, the field of view is changed to the middle area, the light beam enters the middle area of thefirst waveguide structure 1 through the entrance pupil, the left field of view and the right field of view can be separately transmitted, the height of the first waveguide structure 1 (the upper structure waveguide plate) only needs to meet the transmission of a half field of view to realize the display of the full field of view, and the preferred mode is as shown in fig. 7. In addition, because the second structure subsection 12 (middle structure) also plays a role of pupil expansion for the first time in the horizontal direction, the distance between two beam splitters in the first waveguide structure 1 (upper structure) can be increased, the processing difficulty of the upper structure is indirectly reduced, the visual angle, the eye box and the exit pupil distance can be kept unchanged by adopting common low-refractive-index materials, the imaging visual field range of the triple pupil expansion device can be reasonably adjusted, and the purpose of user visual experience is improved.
Alternatively, thesecond beam splitter 1211 and thesecond beam splitter 1221 are symmetrically disposed in the first direction (shown by the X direction in the drawing). By adopting the symmetrical structure, the parallel light beams which are emitted by the optical machine and carry virtual image information are controlled to enter thesecond beam splitter 1211 and the second beam splitter 1212 through the entrance pupil, the left and right view field ranges formed by beam splitting are controlled, and full view field virtual image display is realized.
Optionally, the second beam splitters are arranged in parallel at equal intervals; the second plurality of beam splitters are arranged in parallel at equal intervals. The parallel light beams which are emitted by the light machine and carry virtual image information are controlled to enter thesecond beam splitter 1211 and the second beam splitter 1212 through the entrance pupil, and primary imaging is performed in the horizontal direction respectively, so that the imaging uniformity of the virtual image is improved, and the visual imaging effect is improved.
On the basis of the above embodiment, as shown in fig. 5 to 12, optionally, an included angle between the second beam splitter and the first direction is α, and an included angle between the normal direction of the second beam splitter and the normal direction of the first plane is γ; the included angle between the second beam splitter and the first direction is beta, and the included angle between the normal direction of the second beam splitter and the normal direction of the first plane is gamma; the included angle between the second beam splitter and the second beam splitter is alpha + beta; the included angle between the normal direction of the fourth beam splitter and the normal direction of the first plane is theta;
wherein alpha is more than 0 and less than 90 degrees, beta is more than 0 and less than 90 degrees, gamma is more than 80 degrees and less than 90 degrees, and theta is more than 20 and less than 28 degrees.
Exemplarily, as shown in the front view and the left view of the pupil expanding device in fig. 5, the second beam splitter 1211 is disposed at an angle α with respect to the first direction (X direction in the figure), 0 < α <90 °, preferably, α =45 °, and the normal direction of the second beam splitter is disposed at an angle γ (not shown in the figure) with respect to the normal direction of the first plane, and 80 ° < γ <90 ° is used for reflecting the light toward the eye of the user, and the light beam entering the pupil reaches the second beam splitter 1211 and is reflected to the first light splitting unit 111 to form a left field light beam; an angle between the second beam splitter 1212 and the first direction is set to be β,0 < β <90 °, preferably, β =45 °, and an angle between a normal direction of the second beam splitter 1212 and a normal direction of the first plane is set to be γ (not shown in the figure), the light beam incident through the entrance pupil reaches the second beam splitter 1212 and is reflected to the third light splitting unit 131, so as to form a right field of view light beam, and an angle between the second beam splitter 1211 and the second beam splitter 1212 is set to be α + β, so that the entrance pupil light beam completely irradiates the surfaces of the second beam splitter 1211 and the second beam splitter 1212, thereby improving the energy utilization rate of the entrance pupil light beam.
Further, as shown in the left view of the pupil expanding device in fig. 5, in consideration of the most comfortable field of view of human eyes, the angle between the normal direction of thefourth beam splitter 211 and the normal direction of the first plane S1 is set to be θ, where θ is more than 20 and less than 28 °, and the exit pupil beam reflected and coupled out by thefourth beam splitter 211 is adjusted to couple into the eyes of the user at the optimal viewing angle, so that the visual effect is optimal.
Further, as shown in fig. 9-12, thesecond splitter 1211 and the second splitter 1212 have a plurality of structural configurations, and theoretically, the larger the number of thesecond splitter 1211 and the second splitter 1212 is, the larger the width of the first pupil expansion in the horizontal direction of the entrance pupil light beam is, and the specific number needs to be set in accordance with actual needs. It should be noted that, by adjusting the respective angles between thesecond beam splitter 1211 and thesecond beam splitter 1221 and the horizontal direction, the first part of the light beam can reach the thirdlight splitting unit 1311 after being reflected by thesecond beam splitter 1211, and the third part of the light beam can reach the firstlight splitting unit 1111 after being reflected by thesecond beam splitter 1221, as shown in fig. 9 and 12; alternatively, the first part of the light is reflected by thesecond beam splitter 1211 and reaches the firstlight splitting unit 1111, and the third part of the light is reflected by thesecond beam splitter 1221 and reaches the thirdlight splitting unit 1311, as shown in fig. 10 and 11, both of these structures can implement left and right field splitting. The above embodiments only list some possible arrangement structures, and more structure arrangements satisfying the light splitting are not listed here. Through the structural arrangement, the height of thefirst waveguide structure 1 can realize the display of a full view field only by meeting the transmission of a half view field, the volume of the triple pupil expanding device is reduced, the processing difficulty is reduced, and meanwhile, the visual imaging experience is higher.
Referring to the following description of the drawings, fig. 13 is a schematic view of a left-view optical path of a pupil expansion device according to an embodiment of the present invention. Referring to fig. 9, the triple pupil expanding device provided by the embodiment of the present invention is used, taking 8first beam splitters 1111, 8third beam splitters 1311 and 6fourth beam splitters 211 as examples, and combining equation 1.3 and equation 1.4, where the length unit in fig. 5-13 is mm (millimeters):
n*sinαh-in =sinαh , (1.3);
h≈L/2*tanαh-in , (1.4);
where n is the refractive index of the beam splitter, h is the height of thefirst waveguide structure 1 after decreasing in the first direction, αh Is the longitudinal field angle of the exit pupil beam, αh-in At the longitudinal field angle of the exit pupil light beam in thesecond waveguide structure 2, 2L is the path length traveled by the light beam within thefirst waveguide structure 1.
As shown in fig. 13, by adding a plurality of parallelsecond beam splitters 1211 and a plurality of parallel second beam splitters 1212, the entrance pupil of the incident light beam is incident from the middle area of thefirst waveguide structure 1, and the field of view is changed to the middle area, so that the size of the two-dimensional waveguide plate can be effectively reduced while keeping the field angle of view 55 °, the eye box 10mm and the exit pupil distance 20mm unchanged, that is, the height h of thefirst waveguide structure 1 is about 14.18mm, and compared with the existing ordinary two-position waveguide structure with a structural waveguide plate height of 22.2mm, the height is reduced, the size is reduced, the processing difficulty and cost are reduced, the structure is more compact, and the light energy utilization rate is improved; the pupil expanding device not only expands the pupil for 2 times in the horizontal direction, but also expands the pupil once in the vertical direction, so that the full field range is expanded, the positions of human eyes are closer to the optimal positions for watching images, and the visual experience effect is improved.
On the basis of the above-mentioned embodiment, as shown in fig. 5-12, optionally, a plurality offirst beam splitters 1111 andsecond beam splitters 1211 are sequentially arranged in parallel along the second direction (X direction in the figure); thethird beam splitter 1311 and the second beam splitter 1212 are sequentially arranged in parallel in the second direction. Through the structural arrangement, the included angle between thefirst beam splitters 1111 and the first direction is also alpha, alpha is more than 0 and less than 90 degrees, the included angle between thethird beam splitters 1311 and the first direction is preferably alpha =45 degrees, beta is more than 0 and less than 90 degrees, and the included angle is preferably beta =45 degrees, so that a symmetrical structure of left and right view field beams is formed, the number of the beam splitters is reduced, the processing difficulty is reduced, and the light energy utilization rate is improved.
On the basis of the above embodiments, as shown in fig. 5 to fig. 8, optionally, a plurality offirst beam splitters 1111 are sequentially arranged in parallel at equal intervals along the second direction (shown in the X direction in the figure); the plurality ofthird beam splitters 1311 are sequentially arranged in parallel at equal intervals along the second direction; the plurality offourth beam splitters 211 are sequentially arranged in parallel at equal intervals along the first direction.
Illustratively, as shown in fig. 5 to 8, a plurality offirst beam splitters 1111 and a plurality ofthird beam splitters 1311 are respectively arranged at equal intervals along the X direction in the figure, and a light beam incident from an entrance pupil forms a primary image at equal intervals after being split by thesecond structure sub-assembly 12 and then being bent by thefirst beam splitters 1111 and thethird beam splitters 1311, so as to realize the equal-interval pupil expansion in the horizontal direction.
Optionally, with continued reference to fig. 7, the pupil expanding device further comprises afirst glass plate 14, and thefirst glass plate 14 is located between the thirdstructural subsection 13 and thesecond waveguide structure 2 along the first direction (shown as the X direction in the figure), and the height of thefirst glass plate 14 is equal to the height of the second splitting unit 1212. In the actual manufacturing process, the firststructural subsection 11 and the thirdstructural subsection 13 are usually manufactured together, that is, the firststructural subsection 11 and the thirdstructural subsection 13 have the same structure, since thesecond beam splitter 1211 and the second beam splitter unit 1212 are arranged in the vertical direction, so that the left and right field beams have the thickness difference of the second beam splitter unit 1212 in the vertical direction, and thefirst glass sheet 14 is disposed between the thirdstructural subsection 13 and thesecond waveguide structure 2, so as to play the roles of padding up and balancing the left and right fields.
Optionally, with continued reference to fig. 7, the pupil expanding device further comprises asecond glass sheet 15, thesecond glass sheet 15 being located on the side of thefirst structure section 11 facing away from thesecond waveguide structure 2 in the first direction, the surface of thesecond glass sheet 15 on the side facing away from thesecond waveguide structure 2 being flush with the surface of thethird structure section 13 on the side facing away from thesecond waveguide structure 2. The encapsulation of the pupil expanding device is facilitated by the addition of asecond glass plate 15 serving to fill thefirst waveguide structure 1.
Note that, instead of thefirst glass plate 14 and thesecond glass plate 15, the height of thefirst beam splitter 1111 and thethird beam splitter 1311 in the vertical direction may be increased, and as shown in fig. 6, the horizontal pupil expansion may be achieved by using this configuration.
It is to be noted that the foregoing is only illustrative of the preferred embodiments of the present invention and the technical principles employed. Those skilled in the art will appreciate that the present invention is not limited to the specific embodiments described herein, but rather, features of the various embodiments of the invention may be partially or fully coupled or combined with each other and yet still cooperate with each other and be technically driven in various ways. Numerous variations, rearrangements, combinations, and substitutions will now become apparent to those skilled in the art without departing from the scope of the invention. Therefore, although the present invention has been described in greater detail by the above embodiments, the present invention is not limited to the above embodiments, and may include other equivalent embodiments without departing from the spirit of the present invention, and the scope of the present invention is determined by the scope of the appended claims.

Claims (8)

1. The pupil expanding device is characterized by comprising a first plane, a second plane, a first waveguide structure and a second waveguide structure, wherein the first plane and the second plane are arranged in parallel, and the first waveguide structure and the second waveguide structure are arranged between the first plane and the second plane in sequence along a first direction; the first waveguide structure comprises a first structure subsection, a second structure subsection and a third structure subsection arranged in sequence along a second direction, the first direction is parallel to the first plane, and the second direction intersects the first direction;
the first structure subsection comprises a first light splitting unit, the second structure subsection comprises a second light splitting unit and a second light splitting unit which are sequentially arranged along the first direction, the third structure subsection comprises a third light splitting unit, and the second waveguide structure comprises a fourth light splitting unit;
the light rays entering the second structural part form a first part of light rays and a second part of light rays, and the first part of light rays are emitted after being reflected by the second light splitting unit, the third light splitting unit and the fourth light splitting unit in sequence; the second part of light rays are transmitted to the second light splitting unit through the second light splitting unit to form a third part of light rays and a fourth part of light rays, and the third part of light rays are emitted after being reflected by the second light splitting unit, the first light splitting unit and the fourth light splitting unit in sequence; the fourth part of light rays are transmitted by the second diethyl light splitting unit and reflected by the fourth light splitting unit and then exit;
the first light splitting unit comprises a plurality of first beam splitters, and the first beam splitters are sequentially arranged in parallel along the second direction;
the second light splitting unit comprises a plurality of second beam splitters which are arranged in parallel, the second beam splitting unit comprises a plurality of second beam splitters which are arranged in parallel, the first part of light is reflected by the second beam splitters and then enters the third structure part, the second part of light is transmitted to the second beam splitters through the second beam splitters to form a third part of light and a fourth part of light, the third part of light is reflected by the second beam splitters and then enters the first structure part, and the fourth part of light is transmitted by the second beam splitters and then enters the second waveguide structure;
the third light splitting unit comprises a plurality of third beam splitters which are sequentially arranged in parallel along the second direction;
the fourth light splitting unit comprises a plurality of fourth beam splitters, and the fourth beam splitters are sequentially arranged in parallel along the first direction;
the first beam splitter and the second beam splitter are sequentially arranged in parallel along the second direction;
the third beam splitters and the second beam splitters are sequentially arranged in parallel along the second direction;
an included angle between the second beam splitter and the first direction is alpha, and an included angle between the normal direction of the second beam splitter and the normal direction of the first plane is gamma; an included angle between the second beam splitter and the first direction is beta, and an included angle between the normal direction of the second beam splitter and the normal direction of the first plane is gamma; the included angle between the second beam splitter and the second beam splitter is alpha + beta;
an included angle between the normal direction of the fourth beam splitter and the normal direction of the first plane is theta;
wherein alpha is more than 0 and less than 90 degrees, beta is more than 0 and less than 90 degrees, gamma is more than 80 degrees and less than 90 degrees, and theta is more than 20 degrees and less than 28 degrees.
2. The pupil expanding device according to claim 1, wherein the second beam splitter and the second beam splitter are symmetrically arranged along the first direction.
3. The pupil expanding device according to claim 1, wherein a plurality of the second sub-beam splitters are arranged in parallel and equally spaced;
and the second beam splitters are arranged in parallel at equal intervals.
4. The pupil expanding device according to claim 1, wherein a plurality of the first beam splitter and the second beam splitter are arranged in parallel in the second direction; and the third beam splitters and the second beam splitter are sequentially arranged in parallel along the second direction.
5. The pupil expanding device according to claim 1, wherein a plurality of the first beam splitters are sequentially arranged in parallel at equal intervals along the second direction;
the third beam splitters are arranged in parallel along the second direction at equal intervals in sequence;
the fourth beam splitters are sequentially arranged in parallel at equal intervals along the first direction.
6. The pupil expanding device according to claim 1, characterized in that it further comprises a coupling structure;
the coupling-in structure comprises a triangular prism and is used for coupling parallel beams emitted by the optical machine into the second structure subsection.
7. The pupil device according to claim 1, wherein the pupil device further comprises a first glass plate located between the third structural subsection and the second waveguide structure along the first direction, the height of the first glass plate being equal to the height of the second secondary splitting unit.
8. The pupil device according to claim 1, wherein the pupil device further comprises a second glass plate, which is located on the side of the first structural section facing away from the second waveguide structure in the first direction, the surface of the second glass plate on the side facing away from the second waveguide structure being flush with the surface of the third structural section on the side facing away from the second waveguide structure.
CN202111326995.7A2021-11-102021-11-10Triple pupil expanding deviceActiveCN114167601B (en)

Priority Applications (1)

Application NumberPriority DateFiling DateTitle
CN202111326995.7ACN114167601B (en)2021-11-102021-11-10Triple pupil expanding device

Applications Claiming Priority (1)

Application NumberPriority DateFiling DateTitle
CN202111326995.7ACN114167601B (en)2021-11-102021-11-10Triple pupil expanding device

Publications (2)

Publication NumberPublication Date
CN114167601A CN114167601A (en)2022-03-11
CN114167601Btrue CN114167601B (en)2022-11-18

Family

ID=80478583

Family Applications (1)

Application NumberTitlePriority DateFiling Date
CN202111326995.7AActiveCN114167601B (en)2021-11-102021-11-10Triple pupil expanding device

Country Status (1)

CountryLink
CN (1)CN114167601B (en)

Families Citing this family (1)

* Cited by examiner, † Cited by third party
Publication numberPriority datePublication dateAssigneeTitle
CN118707728A (en)*2024-07-122024-09-27北京灵犀微光科技有限公司 A symmetrical pupil expansion device and near-eye display device

Family Cites Families (8)

* Cited by examiner, † Cited by third party
Publication numberPriority datePublication dateAssigneeTitle
US10429645B2 (en)*2015-10-072019-10-01Microsoft Technology Licensing, LlcDiffractive optical element with integrated in-coupling, exit pupil expansion, and out-coupling
AU2017228307B2 (en)*2016-02-292021-11-04Magic Leap, Inc.Virtual and augmented reality systems and methods
CN108738358B (en)*2017-02-222021-03-26鲁姆斯有限公司 Light guide optics
EP3625616B1 (en)*2017-05-162025-06-25Magic Leap, Inc.Systems and methods for mixed reality
CN108983425A (en)*2018-08-292018-12-11深圳珑璟光电技术有限公司A kind of nearly optics of the eye display device of two-dimensional exit pupil extension waveguide
MX2021008808A (en)*2019-01-242021-08-24Lumus LtdOptical systems including loe with three stage expansion.
CN111812845B (en)*2020-07-312024-06-28深圳珑璟光电技术有限公司Near-to-eye display equipment and display method
CN113504604B (en)*2021-08-042025-04-22北京灵犀微光科技有限公司 Pupil dilation device and AR equipment

Also Published As

Publication numberPublication date
CN114167601A (en)2022-03-11

Similar Documents

PublicationPublication DateTitle
US10955676B2 (en)Head mounted imaging apparatus with optical coupling
KR102775782B1 (en) Waveguide structure for head-up display
US10386642B2 (en)Holographic see-through optical device, stereoscopic imaging system, and multimedia head mounted system
US10007117B2 (en)Imaging light guide with reflective turning array
US8582206B2 (en)Laser-scanning virtual image display
TW201835636A (en)Augmented reality imaging system
US11209653B2 (en)Near-eye display apparatus
JP2010538313A (en) Realistic image display device with wide viewing angle
CN109073909A (en)The imaging light guide of array is turned to reflection
US11994684B2 (en)Image light guide with zoned diffractive optic
CN110058410B (en) Waveguide assemblies and near-eye display devices
JP2019521384A (en) Head-mounted imager using optical coupling
EP4184235A1 (en)Viewing angle adjusting method and near-eye display device
CN112782852B (en) near eye optical system
US10962782B2 (en)Exit pupil expansion via curved waveguide
JP2013532297A (en) Embedded lattice structure
CN107238926A (en)The manufacture method of optical element, display device and optical element
CN112415753A (en)Near-to-eye display device and preparation method
CN113885212B (en)Pupil expanding device
JP2023549313A (en) Slab waveguide and projector with intermodal coupling
US12072535B2 (en)Display device
CN114167601B (en)Triple pupil expanding device
US20240385364A1 (en)Double-sided waveguide
WO2023123920A1 (en)Optical transmission structure and head-mounted display device
WO2025119208A1 (en)Optical imaging module, array imaging module, floating display apparatus, and multi-layer display device

Legal Events

DateCodeTitleDescription
PB01Publication
PB01Publication
SE01Entry into force of request for substantive examination
SE01Entry into force of request for substantive examination
GR01Patent grant
GR01Patent grant

[8]ページ先頭

©2009-2025 Movatter.jp