Movatterモバイル変換


[0]ホーム

URL:


CN114167326A - A fluxgate current sensor with closed-loop control - Google Patents

A fluxgate current sensor with closed-loop control
Download PDF

Info

Publication number
CN114167326A
CN114167326ACN202111449225.1ACN202111449225ACN114167326ACN 114167326 ACN114167326 ACN 114167326ACN 202111449225 ACN202111449225 ACN 202111449225ACN 114167326 ACN114167326 ACN 114167326A
Authority
CN
China
Prior art keywords
current
circuit
feedback
magnetic core
closed
Prior art date
Legal status (The legal status is an assumption and is not a legal conclusion. Google has not performed a legal analysis and makes no representation as to the accuracy of the status listed.)
Granted
Application number
CN202111449225.1A
Other languages
Chinese (zh)
Other versions
CN114167326B (en
Inventor
陈为
何明警
孙千钰
陈耀东
Current Assignee (The listed assignees may be inaccurate. Google has not performed a legal analysis and makes no representation or warranty as to the accuracy of the list.)
Fuzhou University
Original Assignee
Fuzhou University
Priority date (The priority date is an assumption and is not a legal conclusion. Google has not performed a legal analysis and makes no representation as to the accuracy of the date listed.)
Filing date
Publication date
Application filed by Fuzhou UniversityfiledCriticalFuzhou University
Priority to CN202111449225.1ApriorityCriticalpatent/CN114167326B/en
Publication of CN114167326ApublicationCriticalpatent/CN114167326A/en
Application grantedgrantedCritical
Publication of CN114167326BpublicationCriticalpatent/CN114167326B/en
Activelegal-statusCriticalCurrent
Anticipated expirationlegal-statusCritical

Links

Images

Classifications

Landscapes

Abstract

The invention relates to a fluxgate current sensor with closed-loop control. The transformer comprises a transformer magnetic core, a square wave excitation circuit, a low-pass filter circuit, an integrating circuit and a voltage-current conversion circuit. The magnetic flux of the magnetic core is detected through the low-pass filter circuit and the integrating circuit, the magnetic flux in the magnetic core tends to zero, a feedback loop is formed through the voltage-current conversion circuit, feedback current is generated in the feedback winding, the magnetic flux generated by the feedback current and the magnetic flux generated by residual current are mutually offset, the magnetic core works in a zero magnetic flux state, and the current detection precision is improved. Meanwhile, the single magnetic core structure is adopted, so that the size of the current sensor is reduced, and the cost is reduced. The fluxgate current sensor provided by the invention can be used for detecting complex residual currents such as alternating current and direct current.

Description

Fluxgate current sensor with closed-loop control
Technical Field
The invention relates to a fluxgate current sensor with closed-loop control.
Background
Electric energy is one of the most important energy sources in modern society, the rapid development of electric power industry promotes social progress, and great convenience is brought to the life of people. However, with the increasing of the power consumption, personal electric shock and electric fire accidents become important concerns in power consumption safety. Residual current is the sum of instantaneous current values through the phases in the electrical circuit, also known as leakage current. Leakage current from distribution lines in low voltage distribution systems is a significant cause of electrical fire and personal electrical shock. At present, the residual current protection technology is generally adopted at home and abroad to protect against electrical fire and personal electric shock accidents, and the corresponding protective electric appliance is called as a residual current protector.
Nowadays, the fields of electric vehicles, photovoltaic power generation, direct current power distribution and the like are rapidly developed, and a large number of power electronic technologies such as rectification, inversion, frequency conversion, filtering and the like are applied to the emerging fields. The generated ground fault residual current is more and more complex, and besides the common power frequency alternating current residual current, various high-frequency alternating currents, pulsating direct currents, smooth direct currents, complex waves and other residual current types exist. When the residual current contains a direct current component, the key detection element in the residual current protector, namely the residual current transformer, can not induce induced electromotive force which is proportional to the residual current in the secondary winding, and the residual current protector can not work normally. The methods currently available for direct current measurement mainly include: a hall current sensor and a fluxgate current sensor. The hall current sensor can detect large current of hundreds of amperes to thousands of amperes, but because the magnetic core of the hall current sensor has an air gap, the hall current sensor is easily interfered by temperature and an external magnetic field, and therefore the hall current sensor is not suitable for detecting weak current such as residual current and the like, and the application range of the hall current sensor is limited. The fluxgate current sensor is based on the magnetic modulation principle, and compared with the Hall current sensor, the fluxgate current sensor has the advantages of no air gap in a magnetic core, strong anti-interference capability and difficult interference of an external magnetic field.
At present, most of fluxgate current sensors work in an open-loop state, when residual current passes through the current sensors, magnetic cores of the current sensors work in a magnetic biasing state, and the current detection precision is limited; when the residual current is too large, the magnetic core can be continuously saturated in a certain direction, so that the sensor cannot work normally. The existing closed-loop fluxgate current sensor mostly adopts a double-magnetic-core or three-magnetic-core structure, and has the disadvantages of complex structure, large volume and high cost.
The residual current is a weak differential current under a large load, and a non-contact current detection method is generally adopted to detect the residual current. The current common non-contact current detection methods mainly include an electromagnetic current transformer method, a hall current transformer method and a fluxgate current transformer method.
The working principle of the electromagnetic current transformer is shown in figure 1, wherein N is2The number of turns of a secondary winding of the transformer is set; i.e. iL、iNIs the line load current; i.e. iΔInducing current for a secondary loop of the transformer; e2Inducing a potential for the secondary loop; z2Is the secondary loop impedance. Residual current i in the lineP=iL+iNUnder normal conditions iP0. When there is a residual current in the line, i.e. iPWhen the magnetic flux is not equal to 0, the magnetic flux phi generated by the secondary winding of the mutual inductor in the residual currentΔUnder the action of the magnetic field, an induced potential E is generated2So as to generate an induced current i in the secondary circuit of the transformer, which is proportional to the residual currentΔBy detecting iΔThe measurement of the residual current can be realized.
The hall current transformer is a magnetoelectric conversion device which converts a current magnetic field signal into an electric signal by using the hall effect. According to different working modes, the hall current transformers can be divided into an open-loop hall current transformer and a closed-loop hall current transformer, as shown in fig. 2. The magnetic cores of the two Hall current transformers are provided with air gaps, and the Hall elements are placed in the air gaps. For the open-loop Hall current transformer, the Hall voltage is amplified by the signal amplifying circuit and then is used as an output signal U of the transformerO. For the closed-loop Hall current transformer, the Hall voltage is amplified by the signal amplifying circuit and then fed back to the compensating winding to generate the compensating current ISSo that the magnetic core is in a zero-flux state, at which the compensation current ISWith the measured current iPIs in direct proportion. No matter which type of Hall current sensor, the mutual inductor is easy to be influenced by the outside due to the magnetic leakage effect generated by the air gap of the magnetic coreThe detection error is increased due to the influence of a large-current magnetic field; and due to the influence of magnetic core hysteresis, the detection error of the transformer is increased when the measured current contains a large direct-current component.
The working principle of the fluxgate current transformer is shown in fig. 3. The fluxgate current transformer is based on a magnetic modulation principle, which is a method for measuring a weak magnetic field by utilizing a nonlinear relation between the magnetic induction intensity and the magnetic field intensity of a ferromagnetic material magnetic core in the measured magnetic field under the saturated excitation condition of an alternating magnetic field. Applying square wave excitation voltage to a secondary circuit of the fluxgate current transformer to enable the magnetic core to work in positive saturation and negative saturation states, wherein when the residual current in the circuit is zero, the time for the excitation current of the secondary circuit of the transformer to reach the positive saturation and the negative saturation is the same, the excitation current waveform is positive and negative symmetrical, and the average value is zero; when residual current exists in the circuit, the waveform of the exciting current is not in positive-negative symmetry any more, and the average value is not zero, namely the residual current is modulated into the exciting current. The output voltage is U after passing through the low-pass filter circuit and the signal amplification circuitOAt this time, the output voltage UOAnd residual current iPProportional, by measuring output voltage UOThe measurement of the residual current can be realized.
In the conventional method for detecting the residual current, the electromagnetic current transformer is based on the law of electromagnetic induction, and can only detect the alternating current component in the residual current signal, but cannot detect the direct current component in the residual current signal. Hall current transformer can be used to detect direct current and exchange residual current, however, because there is the air gap in the Hall current transformer magnetic core, receives external heavy current magnetic field's interference easily, makes detection error increase, detects the precision and is difficult to satisfy the requirement. The fluxgate current transformer can detect residual current with any waveform, and has performance superior to that of a Hall current sensor, but the existing closed-loop fluxgate current transformer mostly adopts a double-magnetic core or three-magnetic core structure, and has complex structure, large volume and high cost; open-loop fluxgate current transformer's magnetic core work in the state of biasing magnetism, and the current detection precision can receive the restriction to when the residual current was too big, the magnetic core can be in certain direction and last saturation and make the unable normal work of mutual-inductor.
Disclosure of Invention
The invention aims to provide a fluxgate current sensor with closed-loop control, which reduces the volume and the cost by adopting a single magnetic core structure; and the closed-loop control strategy is adopted to improve the residual current detection precision.
In order to achieve the purpose, the technical scheme of the invention is as follows: a main circuit of the fluxgate current sensor with closed-loop control is based on an open-loop structure, closed-loop control is formed by additionally arranging a feedback loop, and the fluxgate current sensor with closed-loop control adopts a single magnetic core structure.
In one embodiment of the invention, a fluxgate current sensor with closed-loop control comprises a mutual inductor magnetic core, a square wave excitation circuit, a low-pass filter circuit, an integrating circuit and a voltage-current conversion circuit; the square wave excitation circuit is used for outputting positive and negative square wave voltages to an excitation winding of the magnetic core of the mutual inductor so as to enable the magnetic core of the mutual inductor to work in a positive saturation state and a negative saturation state; when residual current exists in the circuit, a feedback loop is formed by the low-pass filter circuit, the integrating circuit and the voltage-current conversion circuit, feedback current is generated in a feedback winding of the magnetic core of the mutual inductor, and magnetic flux generated by the feedback current and magnetic flux generated by the residual current are mutually offset, so that the magnetic core of the mutual inductor works in a zero magnetic flux state.
In an embodiment of the present invention, the working principle of the fluxgate current sensor with closed-loop control is as follows: the square wave excitation circuit is a self-excited oscillation circuit, and a resistor R is sampled by collecting excitation currentSVoltage U onSComparing with a set threshold voltage when U is detectedSWhen the set threshold voltage is reached, the polarity of the output voltage of the self-oscillation circuit is reversed, so that positive and negative square wave voltages are output in a reciprocating manner and are applied to an excitation winding of the magnetic core of the mutual inductor; sampling resistor RSThe average voltage value of (d) can be expressed as:
Figure BDA0003385710970000031
wherein N isSFor number of turns of field winding, IPIs a residual current iPAverage value in one excitation period; under normal conditions, IP0; when a residual current, i.e. I, is present in the linePWhen not equal to 0, USIs also not zero, USAfter passing through a feedback loop consisting of a low-pass filter circuit, an integrating circuit and a voltage-current conversion circuit, a feedback current i is generated in a feedback winding of the magnetic core of the mutual inductorTFeedback current iTMagnetic flux and residual current i generated in the magnetic core of the transformerPThe generated magnetic flux is in the opposite direction, and the integral circuit in the feedback loop makes the magnetic flux in the transformer core tend to zero, so that the feedback loop current iTWill tend to iP/NT,NTIs the number of feedback winding turns.
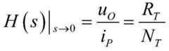
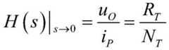
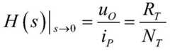
In an embodiment of the present invention, the transfer function of the fluxgate current sensor with closed-loop control is expressed as:
Figure BDA0003385710970000032
wherein R isSResistance sampled for excitation current, NSFor number of turns of exciting winding, RTSampling the resistance for feedback current, NTFor feedback of winding turns, k, T1Amplification factor and time constant, T, of the low-pass filter circuit, respectively2Is the integrator circuit time constant;
the direct current gain is known as follows through the transfer function:
Figure BDA0003385710970000033
namely:
Figure BDA0003385710970000041
as can be seen from the above equation, the residual current iPAnd the output voltage u of the integration circuitOIn a proportional relationship when remainingBy measuring the output voltage u when the current is DCOThe detection of the residual current can be realized; when the residual current is a non-linear current, the non-linear current can be equivalent to a direct current with a short duration in each excitation period, and the output voltage u can still be measuredOAnd realizing the detection of the residual current.
Compared with the prior art, the invention has the following beneficial effects: compared with an open-loop fluxgate current sensor, the fluxgate current sensor with closed-loop control provided by the invention has the advantages that the circuit works in a zero-flux state, and the current detection precision is higher; compared with the existing closed-loop fluxgate current sensor, the circuit adopts a single magnetic core structure and has the advantages of small volume, low cost and the like. The fluxgate current sensor has good theoretical significance and practical engineering significance.
Drawings
Fig. 1 is a working schematic diagram of an electromagnetic current transformer.
Fig. 2 is a working schematic diagram of the hall current transformer, wherein, (a) is an open-loop hall current transformer working schematic diagram, and (b) is a closed-loop hall current transformer working schematic diagram.
Fig. 3 is a working schematic diagram of the fluxgate current transformer.
Fig. 4 shows a circuit structure of a closed-loop fluxgate current sensor according to the present invention.
Fig. 5 is a block diagram of a closed loop fluxgate current sensor system according to the present invention.
Fig. 6 shows the excitation current waveform in the open loop state.
Fig. 7 shows the excitation current waveform in the closed loop state.
Fig. 8 shows a residual current waveform and a sensor detection waveform.
Detailed Description
The technical scheme of the invention is specifically explained below with reference to the accompanying drawings.
The invention relates to a fluxgate current sensor with closed-loop control, wherein a main circuit of the fluxgate current sensor with closed-loop control is based on an open-loop structure, closed-loop control is formed by additionally arranging a feedback loop, and the fluxgate current sensor with closed-loop control adopts a single magnetic core structure and comprises a mutual inductor magnetic core, a square wave excitation circuit, a low-pass filter circuit, an integrating circuit and a voltage-current conversion circuit; the square wave excitation circuit is used for outputting positive and negative square wave voltages to an excitation winding of the magnetic core of the mutual inductor so as to enable the magnetic core of the mutual inductor to work in a positive saturation state and a negative saturation state; when residual current exists in the circuit, a feedback loop is formed by the low-pass filter circuit, the integrating circuit and the voltage-current conversion circuit, feedback current is generated in a feedback winding of the magnetic core of the mutual inductor, and magnetic flux generated by the feedback current and magnetic flux generated by the residual current are mutually offset, so that the magnetic core of the mutual inductor works in a zero magnetic flux state.
The following is a specific implementation process of the present invention.
The circuit structure of the open-loop fluxgate current sensor is shown in fig. 3, the fluxgate current sensor main circuit with closed-loop control provided by the invention is based on the open-loop structure, the closed-loop control is formed by additionally arranging a feedback circuit, and the circuit structure is shown in fig. 4. The circuit mainly comprises a mutual inductor magnetic core, a square wave excitation circuit, a low-pass filter circuit, an integrating circuit and a voltage-current conversion circuit. Wherein N isTFor feedback of winding turns, RTFor feeding back winding current iTSampling resistor, NSFor number of turns of exciting winding, RSIs an exciting current iSThe resistance is sampled.
The working principle is as follows:
the square wave excitation circuit in FIG. 4 is a self-excited oscillation circuit, which samples the resistance R by collecting the excitation currentSVoltage U onSComparing with a set threshold voltage when U is detectedSWhen the voltage reaches the set threshold voltage, the polarity of the output voltage of the self-oscillation circuit is reversed, so that positive and negative square wave voltages are output to the excitation winding in a reciprocating manner. Sampling resistor RSThe average voltage value of (d) can be expressed as:
Figure BDA0003385710970000051
wherein, IPIs a residual current iPAveraging over one excitation periodA value; under normal conditions, IP0; when a residual current, i.e. I, is present in the linePWhen not equal to 0, USIs also not zero, USAfter passing through a feedback loop consisting of a low-pass filter circuit, an integrating circuit and a voltage-current conversion circuit, a feedback current i is generated in a feedback winding of the magnetic core of the mutual inductorTFeedback current iTMagnetic flux and residual current i generated in the magnetic core of the transformerPThe generated magnetic flux is in the opposite direction, and the integral circuit in the feedback loop makes the magnetic flux in the transformer core tend to zero, so that the feedback loop current iTWill tend to iP/NT,NTIs the number of feedback winding turns.
The closed loop fluxgate current sensor system of fig. 4 is configured as shown in fig. 5.
The transfer function is expressed as:
Figure BDA0003385710970000052
wherein R isSResistance sampled for excitation current, NSFor number of turns of exciting winding, RTSampling the resistance for feedback current, NTFor feedback of winding turns, k, T1Amplification factor and time constant, T, of the low-pass filter circuit, respectively2Is the integrator circuit time constant;
the direct current gain is known as follows through the transfer function:
Figure BDA0003385710970000053
namely:
Figure BDA0003385710970000061
as can be seen from the above equation, the residual current iPAnd the output voltage u of the integration circuitOProportional relation, by measuring output voltage u when residual current is DCOCan realize thatDetecting residual current; when the residual current is a non-linear current, the non-linear current can be equivalent to a direct current with a short duration in each excitation period, and the output voltage u can still be measuredOAnd realizing the detection of the residual current.
In summary, compared with the open-loop fluxgate current sensor, the novel closed-loop fluxgate current sensor circuit provided by the invention works in a zero-flux state, and has higher current detection precision; compared with the existing closed-loop fluxgate current sensor, the circuit adopts a single magnetic core structure and has the advantages of small volume, low cost and the like. The fluxgate current sensor has good theoretical significance and practical engineering significance.
Example (c):
designed closed loop fluxgate current sensor excitation winding turn number NS100 turns, exciting current sampling resistor RSThe voltage is 50 omega, the number of turns of the feedback winding is 4 turns, the feedback current sampling resistance is 100 omega, and the excitation voltage is +/-10V.
When the residual current is 400mA dc current and the sensor is operating in an open loop state, the excitation current waveform is as shown in fig. 6. It can be seen that the excitation current waveform is asymmetric in positive and negative, and the magnetic core does not work in a zero magnetic flux state. When the residual current is 400mA dc current and the sensor operates in the closed loop state, the excitation current waveform is as shown in fig. 7. It can be seen that the excitation current waveform is positive and negative symmetrical at the moment, and the circuit works in a zero magnetic flux state, so that the closed-loop control effect is achieved.
When the residual current waveform is a triangular wave and a sinusoidal wave with an amplitude of 400mA, the residual current waveform and the sensor detection waveform are as shown in fig. 8.
The above are preferred embodiments of the present invention, and all changes made according to the technical scheme of the present invention that produce functional effects do not exceed the scope of the technical scheme of the present invention belong to the protection scope of the present invention.

Claims (4)

1. A fluxgate current sensor with closed-loop control is characterized in that a main circuit of the fluxgate current sensor with closed-loop control is based on an open-loop structure, closed-loop control is formed by additionally arranging a feedback loop, and the fluxgate current sensor with closed-loop control adopts a single magnetic core structure.
2. The fluxgate current sensor with closed loop control of claim 1 comprising a transformer core, a square wave excitation circuit, a low pass filter circuit, an integration circuit and a voltage-current conversion circuit; the square wave excitation circuit is used for outputting positive and negative square wave voltages to an excitation winding of the magnetic core of the mutual inductor so as to enable the magnetic core of the mutual inductor to work in a positive saturation state and a negative saturation state; when residual current exists in the circuit, a feedback loop is formed by the low-pass filter circuit, the integrating circuit and the voltage-current conversion circuit, feedback current is generated in a feedback winding of the magnetic core of the mutual inductor, and magnetic flux generated by the feedback current and magnetic flux generated by the residual current are mutually offset, so that the magnetic core of the mutual inductor works in a zero magnetic flux state.
3. The fluxgate current sensor with closed-loop control of claim 1 wherein the fluxgate current sensor with closed-loop control operates according to the principle of: the square wave excitation circuit is a self-excited oscillation circuit, and a resistor R is sampled by collecting excitation currentSVoltage U onSComparing with a set threshold voltage when U is detectedSWhen the set threshold voltage is reached, the polarity of the output voltage of the self-oscillation circuit is reversed, so that positive and negative square wave voltages are output in a reciprocating manner and are applied to an excitation winding of the magnetic core of the mutual inductor; sampling resistor RSThe average voltage value of (d) can be expressed as:
Figure FDA0003385710960000011
wherein N isSFor number of turns of field winding, IPIs a residual current iPAverage value in one excitation period; under normal conditions, IP0; when a residual current, i.e. I, is present in the linePWhen not equal to 0, USIs also not zero, USThrough a low-pass filter circuit and productAfter a feedback loop consisting of the branch circuit and the voltage-current conversion circuit, a feedback current i can be generated in a feedback winding of the magnetic core of the mutual inductorTFeedback current iTMagnetic flux and residual current i generated in the magnetic core of the transformerPThe generated magnetic flux is in the opposite direction, and the integral circuit in the feedback loop makes the magnetic flux in the transformer core tend to zero, so that the feedback loop current iTWill tend to iP/NT,NTIs the number of feedback winding turns.
4. A fluxgate current sensor with closed loop control according to claim 3 wherein the transfer function of the fluxgate current sensor with closed loop control is expressed as:
Figure FDA0003385710960000012
wherein R isSResistance sampled for excitation current, NSFor number of turns of exciting winding, RTSampling the resistance for feedback current, NTFor feedback of winding turns, k, T1Amplification factor and time constant, T, of the low-pass filter circuit, respectively2Is the integrator circuit time constant;
the direct current gain is known as follows through the transfer function:
Figure FDA0003385710960000021
namely:
Figure FDA0003385710960000022
as can be seen from the above equation, the residual current iPAnd the output voltage u of the integration circuitOProportional relation, by measuring output voltage u when residual current is DCOThe detection of the residual current can be realized; when the residual current is notIn the case of linear current, the nonlinear current can be equivalent to a short-duration direct current in each excitation cycle, and the output voltage u can still be measuredOAnd realizing the detection of the residual current.
CN202111449225.1A2021-12-012021-12-01Fluxgate current sensor with closed-loop controlActiveCN114167326B (en)

Priority Applications (1)

Application NumberPriority DateFiling DateTitle
CN202111449225.1ACN114167326B (en)2021-12-012021-12-01Fluxgate current sensor with closed-loop control

Applications Claiming Priority (1)

Application NumberPriority DateFiling DateTitle
CN202111449225.1ACN114167326B (en)2021-12-012021-12-01Fluxgate current sensor with closed-loop control

Publications (2)

Publication NumberPublication Date
CN114167326Atrue CN114167326A (en)2022-03-11
CN114167326B CN114167326B (en)2024-08-13

Family

ID=80481967

Family Applications (1)

Application NumberTitlePriority DateFiling Date
CN202111449225.1AActiveCN114167326B (en)2021-12-012021-12-01Fluxgate current sensor with closed-loop control

Country Status (1)

CountryLink
CN (1)CN114167326B (en)

Cited By (1)

* Cited by examiner, † Cited by third party
Publication numberPriority datePublication dateAssigneeTitle
CN118376827A (en)*2024-06-242024-07-23杭州英旭智能科技有限公司Single-chip fluxgate current sensor based on pulse modulation phase detection method

Citations (5)

* Cited by examiner, † Cited by third party
Publication numberPriority datePublication dateAssigneeTitle
CN102401853A (en)*2011-11-282012-04-04河北工业大学 Dual Axis Fluxgate Current Sensor
CN109116273A (en)*2018-08-292019-01-01中国地质大学(武汉)A kind of negative feedback type GMI magnetic field probe of quick response
US20190079146A1 (en)*2017-09-112019-03-14Allegro Microsystems, LlcMagnetic Field Sensor With Feedback Loop For Test Signal Processing
CN110988430A (en)*2019-10-312020-04-10上海科技大学Fluxgate heavy current sensor based on digital second harmonic detection and ripple compensation
CN214539765U (en)*2020-12-092021-10-29淮北矿业股份有限公司Leakage current sensor for direct current distribution network

Patent Citations (5)

* Cited by examiner, † Cited by third party
Publication numberPriority datePublication dateAssigneeTitle
CN102401853A (en)*2011-11-282012-04-04河北工业大学 Dual Axis Fluxgate Current Sensor
US20190079146A1 (en)*2017-09-112019-03-14Allegro Microsystems, LlcMagnetic Field Sensor With Feedback Loop For Test Signal Processing
CN109116273A (en)*2018-08-292019-01-01中国地质大学(武汉)A kind of negative feedback type GMI magnetic field probe of quick response
CN110988430A (en)*2019-10-312020-04-10上海科技大学Fluxgate heavy current sensor based on digital second harmonic detection and ripple compensation
CN214539765U (en)*2020-12-092021-10-29淮北矿业股份有限公司Leakage current sensor for direct current distribution network

Non-Patent Citations (4)

* Cited by examiner, † Cited by third party
Title
JIANHAO WANG 等: "A Design Method of PCB R gowski Coil in Limited Space and Modified Integral Circuit", IEEE SENSORS JOURNAL, pages 5801 - 5808*
JINGJIE LI 等: "Design and Implementation of Close-loop Detection for Coupled Core Fluxgate Magnetic Sensors", 2020 27TH IEEE INTERNATIONAL CONFERENCE ON ELECTRONICS, CIRCUITS AND SYSTEMS, 19 February 2021 (2021-02-19), pages 1 - 4*
李玲龙: "霍尔直流大电流传感器设计与研究", 中国优秀硕士学位论文全文数据库(工程科技Ⅱ辑), 31 March 2019 (2019-03-31), pages 26 - 47*
郑剑斌 等: "一种测量漏电流双磁芯磁通门探头研究", 电源学报, pages 69 - 72*

Cited By (2)

* Cited by examiner, † Cited by third party
Publication numberPriority datePublication dateAssigneeTitle
CN118376827A (en)*2024-06-242024-07-23杭州英旭智能科技有限公司Single-chip fluxgate current sensor based on pulse modulation phase detection method
CN118376827B (en)*2024-06-242024-09-17杭州英旭智能科技有限公司Single-core fluxgate current sensor based on pulse modulation phase detection method

Also Published As

Publication numberPublication date
CN114167326B (en)2024-08-13

Similar Documents

PublicationPublication DateTitle
EP2924450B1 (en)Current detecting device
CN110824229B (en)Single-magnetic-core multi-winding magnetic balance type current detection device
CN207067224U (en)A kind of leakage current sensor
CN103575960B (en)giant magnetoresistance effect current sensor
CN104090146B (en)Alternating current/direct current sensor
US12013417B2 (en)Closed loop current transformer
CN205210163U (en)Huge magnetoresistive effect current sensor
CN110927428B (en)Wide-range wide-band high-precision magnetic balance type current measuring device
CN205139229U (en)Huge magnetoresistive effect current sensor
JPWO2014010187A1 (en) Current detector
CN110031666B (en) A kind of direct current large current measuring device and measuring method
CN108593999A (en)A kind of Zero flux current sensor
CN111650415A (en) A self-powered current detection system and detection method of a wide-current-band transmission line
JP2014235086A (en)Current detector
CN207380115U (en) A new type of high-precision low-noise DC large current detection device
CN114167326B (en)Fluxgate current sensor with closed-loop control
JP2816175B2 (en) DC current measuring device
CN203535102U (en)Colossal magnetoresistance effect current sensor
Gao et al.A flux balancing strategy for 10-kV SiC-based dual-active-bridge converter
CN115128325A (en) A chip closed-loop self-excited high-precision wide-range current sensing circuit
CN204044224U (en)A kind of alterating and direct current flow sensor
JP4716030B2 (en) Current sensor
CN106443121A (en)Direct current super-current measurement method based on Hall effect principle
CN111693753A (en)Novel direct current measuring device
CN106226578A (en)A kind of large direct current measuring method based on magnetic amplifier principle

Legal Events

DateCodeTitleDescription
PB01Publication
PB01Publication
SE01Entry into force of request for substantive examination
SE01Entry into force of request for substantive examination
GR01Patent grant
GR01Patent grant

[8]ページ先頭

©2009-2025 Movatter.jp