








技术领域technical field
本发明涉及水下超声波无线传能技术领域,具体涉及一种水下阵列式大功率超声波无线传能系统,采用一种换能器阵列的形式增大系统的传输功率。The invention relates to the technical field of underwater ultrasonic wireless energy transmission, in particular to an underwater array type high-power ultrasonic wireless energy transmission system, which adopts the form of a transducer array to increase the transmission power of the system.
背景技术Background technique
无线传能技术是将电能转换为其他形式的能量,通过一定的传输介质将能量传输到接收端,再转换为电能为指定设备供能。目前利用超声波的无线传能技术尚处于研究阶段,利用超声波无线传能技术为水下设备供能,不仅可以提高水下设备的工作效率和使用寿命,还可以利用超声波方向性强、能量集中的优势,在中长距离能量传输中获得更高的传输效率和功率。Wireless energy transfer technology converts electrical energy into other forms of energy, transmits the energy to the receiving end through a certain transmission medium, and then converts it into electrical energy to supply energy for designated equipment. At present, the wireless energy transmission technology using ultrasonic waves is still in the research stage. Using ultrasonic wireless energy transmission technology to supply energy to underwater equipment can not only improve the working efficiency and service life of underwater equipment, but also use ultrasonic waves with strong directionality and energy concentration. Advantages, higher transmission efficiency and power in medium and long distance energy transmission.
超声波无线传能技术的核心是超声换能器,使用压电超声换能器(以下简称换能器),利用压电陶瓷的正逆压电效应进行电能和机械能(超声波)的转换,实现无线能量传输。换能器中除了压电陶瓷外还需要合适的匹配层和背衬,用于增大声波向水中的透射率,提高传输效率。The core of ultrasonic wireless energy transmission technology is ultrasonic transducer, using piezoelectric ultrasonic transducer (hereinafter referred to as transducer), using the forward and reverse piezoelectric effect of piezoelectric ceramics to convert electrical energy and mechanical energy (ultrasonic wave) to realize wireless energy transfer. In addition to piezoelectric ceramics, the transducer also needs a suitable matching layer and backing to increase the transmittance of sound waves to water and improve the transmission efficiency.
目前用于水下的超声波无线传能系统传输功率普遍不高,系统的能量传输功率除了受换能器的尺寸、结构、压电陶瓷的强度等限制外,主要受到液体空化效应的制约。空化效应指当换能器振动推动液体介质辐射声波时,液体缩应变过程产生较大的局部负压力,当压力降低到临界值时液体发生空化现象产生气泡或空穴,造成声波严重的散射损失,导致声波在水中的衰减急剧增大。At present, the transmission power of the ultrasonic wireless energy transmission system used for underwater is generally not high. The energy transmission power of the system is mainly restricted by the liquid cavitation effect in addition to the limitation of the size, structure and strength of the piezoelectric ceramics of the transducer. The cavitation effect means that when the transducer vibrates and pushes the liquid medium to radiate sound waves, a large local negative pressure is generated during the liquid shrinkage strain process. Scattering loss, resulting in a sharp increase in the attenuation of sound waves in water.
针对上述问题,考虑设计一种用于水下超声波无线传能的换能器阵列,分散单个换能器发射的能量密度,在阵列焦点处接受超声波。In view of the above problems, consider designing a transducer array for underwater ultrasonic wireless energy transmission, disperse the energy density emitted by a single transducer, and receive ultrasonic waves at the focus of the array.
发明内容SUMMARY OF THE INVENTION
本发明提供一种水下阵列式大功率超声波无线传能系统,用于解决现有水下超声波无线传能系统中,液体空化效应对系统传输功率的限制问题,通过换能器阵列的形式分散单个换能器发射的能量密度,提高水下超声波无线传能系统的功率传输能力。The invention provides an underwater array type high-power ultrasonic wireless energy transmission system, which is used to solve the problem of the limitation of the transmission power of the system by the liquid cavitation effect in the existing underwater ultrasonic wireless energy transmission system. Disperse the energy density emitted by a single transducer and improve the power transmission capability of the underwater ultrasonic wireless energy transmission system.
为达到上述目的,本发明的实施采用如下技术方案:To achieve the above object, the implementation of the present invention adopts the following technical solutions:
一种水下阵列式大功率超声波无线传能系统,由输入高频电源1-1、发射换能器阵列1-2、液体传输介质1-3、接收换能器1-4、接收负载1-5构成。其中发射换能器阵列为六振元形式,由六只换能器彼此相差γ夹角够成,每只换能器安装在固定半径的支杆上,改变支杆与xy平面的夹角θ调整相应的聚焦距离。每只换能器由石英玻璃2-1、铜片2-3、压电陶瓷2-5和换能器外壳2-6构成。其中,将铜片2-3用导电胶2-4粘贴在压电陶瓷2-5的一个端面作为一个电极端子,使用环氧树脂黏合剂2-2将石英玻璃2-1粘贴在铜片2-3的前端作为换能器的匹配层,最后将以上部分封装在换能器外壳2-6中。An underwater array type high-power ultrasonic wireless energy transmission system is composed of an input high-frequency power supply 1-1, a transmitting transducer array 1-2, a liquid transmission medium 1-3, a receiving transducer 1-4, and a receiving load 1 -5 composition. Among them, the transmitting transducer array is in the form of six vibration elements, which is formed by six transducers with a difference of γ angle from each other. Each transducer is installed on a rod with a fixed radius, and the angle θ between the rod and the xy plane is changed. Adjust the corresponding focus distance. Each transducer is composed of quartz glass 2-1, copper sheet 2-3, piezoelectric ceramics 2-5 and transducer shell 2-6. Among them, the copper sheet 2-3 is pasted on one end face of the piezoelectric ceramic 2-5 with conductive adhesive 2-4 as an electrode terminal, and the epoxy resin adhesive 2-2 is used to paste the quartz glass 2-1 on the
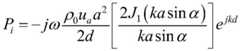
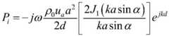
接通电源后,输入高频电源1-1通过逆变器输出与换能器谐振频率相同的交流电驱动发射换能器阵列1-2,换能器利用压电陶瓷2-5的逆压电效应将电能转换为相同频率的超声波辐射到液体传输介质1-3中。单个换能器发射的声波在液体传输介质1-3中任一点R(x,y,z)产生的声压幅值为After the power is turned on, the input high-frequency power supply 1-1 drives the transmitting transducer array 1-2 through the inverter outputting alternating current with the same resonant frequency as the transducer. The transducer uses the inverse piezoelectricity of the piezoelectric ceramics 2-5. The effect converts electrical energy into ultrasonic radiation of the same frequency into the liquid transmission medium 1-3. The sound pressure amplitude generated by the sound wave emitted by a single transducer at any point R(x, y, z) in the liquid transmission medium 1-3 is
其中,Pi为任一点声压幅值,ω为声波角频率,ρ0为液体传输介质1-3的密度,ua为质点振速,a为换能器半径,J1(kasinα)为一阶贝塞尔函数,k为波数,α为任一点与换能器中心连线与换能器轴线形成的夹角,d为任一点到换能器中心的距离;换能器轴线上声压幅值为Among them, Pi is the sound pressure amplitude at any point, ω is the angular frequency of the sound wave, ρ0 is the density of the liquid transmission medium 1-3,ua is the particle vibration velocity, a is the transducer radius, and J1 (kasinα) is First-order Bessel function, k is the wave number, α is the angle formed between any point and the center of the transducer and the axis of the transducer, d is the distance from any point to the center of the transducer; The voltage amplitude is
其中,c0为声波在液体传输介质1-3中的声速,r为焦点到换能器中心的距离;最后,空间任一点的总声压为各换能器在该点产生声压的总和Among them, c0 is the sound speed of the sound wave in the liquid transmission medium 1-3, r is the distance from the focus to the center of the transducer; finally, the total sound pressure at any point in space is the sum of the sound pressures generated by each transducer at that point
与现有技术相比,本发明达到的有益效果是:Compared with the prior art, the beneficial effects achieved by the present invention are:
(1)采用一种多振元阵列形式的水下超声波无线传能技术,分散了单个换能器发射的能量密度,有效提高了水下超声波无线传能系统的传输功率。(1) Using an underwater ultrasonic wireless energy transmission technology in the form of a multi-vibration element array, the energy density emitted by a single transducer is dispersed, and the transmission power of the underwater ultrasonic wireless energy transmission system is effectively improved.
(2)结构简单,使用便捷,可以灵活调节聚焦角度改变焦点位置,更易实现较远距离的水下超声波无线能量传输,且能量只集中在焦点处,能量的利用率高。(2) The structure is simple, the use is convenient, and the focus angle can be flexibly adjusted to change the focus position, which makes it easier to achieve long-distance underwater ultrasonic wireless energy transmission, and the energy is only concentrated at the focus, and the energy utilization rate is high.
附图说明Description of drawings
图1为系统工作示意图。Figure 1 is a schematic diagram of the system work.
图2为换能器结构。Figure 2 shows the transducer structure.
图3为换能器阵列的平面结构图。FIG. 3 is a plan view of the transducer array.
图4a、图4b、图4c、图4d、图4e和图4f分别为水下换能器阵列在聚焦5cm、10cm、15cm、20cm、30cm和50cm时的声场仿真结果。Fig. 4a, Fig. 4b, Fig. 4c, Fig. 4d, Fig. 4e and Fig. 4f are the simulation results of the sound field of the underwater transducer array when focusing at 5cm, 10cm, 15cm, 20cm, 30cm and 50cm, respectively.
其中,in,
1-1,输入高频电源;1-2,发射换能器阵列;1-3液体传输介质;1-4,接收换能器;1-5,接收负载。1-1, input high frequency power supply; 1-2, transmit transducer array; 1-3, liquid transmission medium; 1-4, receive transducer; 1-5, receive load.
2-1,石英玻璃;2-2,环氧树脂黏合剂;2-3铜片;2-4,导电胶;2-5,压电陶瓷;2-6,换能器外壳。2-1, quartz glass; 2-2, epoxy resin adhesive; 2-3 copper sheet; 2-4, conductive adhesive; 2-5, piezoelectric ceramics; 2-6, transducer shell.
具体实施方式Detailed ways
下面结合附图对本发明的具体实施方式作进一步的详细说明。The specific embodiments of the present invention will be further described in detail below with reference to the accompanying drawings.
如图1所示,输入电源1-1包括直流源、逆变器和谐振补偿电路,输出特定频率的交流电驱动发射换能器阵列1-2。当电压施加到发射换能器阵列1-2两端后,由于压电陶瓷的逆压电效应,压电陶瓷内部产生形变,振动辐射与电压频率相同的超声波。六个换能器振元辐射的声波经过液体传输介质1-3,汇聚在接收换能器1-4所在的焦点位置处,接收换能器1-4将接收的超声波由压电陶瓷的压电效应转换为电能为接收负载1-5供能。As shown in FIG. 1 , the input power source 1-1 includes a DC source, an inverter and a resonance compensation circuit, and outputs an alternating current of a specific frequency to drive the transmitting transducer array 1-2. When the voltage is applied to both ends of the transmitting transducer array 1-2, due to the inverse piezoelectric effect of the piezoelectric ceramic, the piezoelectric ceramic is deformed, and the vibration radiates ultrasonic waves with the same frequency as the voltage. The sound waves radiated by the vibrating elements of the six transducers pass through the liquid transmission medium 1-3 and converge at the focal position where the receiving transducer 1-4 is located. The electrical effect is converted into electrical energy to power the receiving loads 1-5.
如图2所示为单个换能器的结构,以压电陶瓷2-5为核心,利用导电胶2-4将铜片2-3粘贴在压电陶瓷2-5的一个端面作为其一个电极端子。以石英玻璃2-1作为匹配层,使用环氧树脂黏合剂2-2将其粘贴在铜片2-3的前端,最后将以上部分封装在换能器外壳2-6中。其中,石英玻璃2-1的直径为50mm,厚度为14mm;铜片2-3的直径为50mm,厚度为0.1mm;压电陶瓷2-5的外径为50mm,内径为17mm,厚度为6.5mm;换能器外壳2-6的外径为60mm,内径为50mm,高度为40mm。Figure 2 shows the structure of a single transducer. The piezoelectric ceramic 2-5 is used as the core, and the copper sheet 2-3 is pasted on one end face of the piezoelectric ceramic 2-5 using conductive glue 2-4 as one electrode. terminal. The quartz glass 2-1 is used as the matching layer, and the epoxy resin adhesive 2-2 is used to paste it on the front end of the copper sheet 2-3, and finally the above part is encapsulated in the transducer shell 2-6. Among them, quartz glass 2-1 has a diameter of 50mm and a thickness of 14mm; copper sheet 2-3 has a diameter of 50mm and a thickness of 0.1mm; piezoelectric ceramics 2-5 has an outer diameter of 50mm, an inner diameter of 17mm and a thickness of 6.5mm mm; the outer diameter of the transducer housing 2-6 is 60mm, the inner diameter is 50mm, and the height is 40mm.
如图3所示为六元换能器阵列的平面结构图,左图为换能器阵列的正视图,右图为其在传输介质中形成自然焦点的侧视图。其中,每个换能器的半径为a,以正上方换能器为基准,每个换能器的位置夹角用γ表示,γ=(0:pi/3:5pi/3)。换能器与xy平面的夹角为θ,在z轴形成自然焦点O,以O为原点建立坐标系,则换能器中心A点的坐标为Figure 3 is a plan view of a six-element transducer array, the left figure is a front view of the transducer array, and the right figure is a side view of a natural focus formed in a transmission medium. Among them, the radius of each transducer is a, with the transducer directly above as the benchmark, the position angle of each transducer is represented by γ, γ=(0:pi/3:5pi/3). The angle between the transducer and the xy plane is θ, the natural focus O is formed on the z-axis, and the coordinate system is established with O as the origin, then the coordinates of the transducer center point A are
A(rsinθcosγ,rsinθsinγ,-rcosθ)A(rsinθcosγ,rsinθsinγ,-rcosθ)
令有空间一点R(x,y,z),可得两向量Let there be a point R(x, y, z), we can get two vectors
夹角α及R到A的距离为The included angle α and the distance from R to A are
单个换能器在R点产生的声压幅值为The sound pressure amplitude produced by a single transducer at point R is
单个换能器轴线上声压利用严格解计算Acoustic pressure on a single transducer axis is calculated using a strict solution
最后,R点的总声压为各换能器在该点产生声压的总和Finally, the total sound pressure at point R is the sum of the sound pressures produced by each transducer at that point
实际中,当换能器阵列的半径保持不变时,改变聚焦角度θ,获得不同聚焦距离下的聚焦结果。In practice, when the radius of the transducer array remains unchanged, the focusing angle θ is changed to obtain focusing results at different focusing distances.
如图4a、图4b、图4c、图4d、图4e和图4f所示为计算得到的水下换能器阵列声压云图,依次为聚焦5cm、10cm、15cm、20cm、30cm、50cm时的情况。Figure 4a, Figure 4b, Figure 4c, Figure 4d, Figure 4e, and Figure 4f show the calculated sound pressure nephogram of the underwater transducer array. Happening.
由图4a、图4b、图4c、图4d、图4e和图4f可知水下换能器阵列的形式分散了单个换能器发射的能量密度,将接收换能器置于焦点位置可以有效增大水下超声波无线传能系统的传输功率。It can be seen from Figure 4a, Figure 4b, Figure 4c, Figure 4d, Figure 4e and Figure 4f that the form of the underwater transducer array disperses the energy density emitted by a single transducer, and placing the receiving transducer at the focal position can effectively increase the energy density. Transmission power of large underwater ultrasonic wireless energy transmission system.
| Application Number | Priority Date | Filing Date | Title |
|---|---|---|---|
| CN202111481806.3ACN114160397B (en) | 2021-12-06 | 2021-12-06 | An underwater array type high-power ultrasonic wireless energy transmission system |
| Application Number | Priority Date | Filing Date | Title |
|---|---|---|---|
| CN202111481806.3ACN114160397B (en) | 2021-12-06 | 2021-12-06 | An underwater array type high-power ultrasonic wireless energy transmission system |
| Publication Number | Publication Date |
|---|---|
| CN114160397Atrue CN114160397A (en) | 2022-03-11 |
| CN114160397B CN114160397B (en) | 2022-06-03 |
| Application Number | Title | Priority Date | Filing Date |
|---|---|---|---|
| CN202111481806.3AActiveCN114160397B (en) | 2021-12-06 | 2021-12-06 | An underwater array type high-power ultrasonic wireless energy transmission system |
| Country | Link |
|---|---|
| CN (1) | CN114160397B (en) |
| Publication number | Priority date | Publication date | Assignee | Title |
|---|---|---|---|---|
| CN115136950A (en)* | 2022-07-05 | 2022-10-04 | 国网河南省电力公司镇平县供电公司 | Bird repelling method and bird repelling device |
| Publication number | Priority date | Publication date | Assignee | Title |
|---|---|---|---|---|
| US4180791A (en)* | 1978-03-09 | 1979-12-25 | General Electric Company | Simplified sector scan ultrasonic imaging system |
| US5015929A (en)* | 1987-09-07 | 1991-05-14 | Technomed International, S.A. | Piezoelectric device with reduced negative waves, and use of said device for extracorporeal lithotrity or for destroying particular tissues |
| US20090230823A1 (en)* | 2008-03-13 | 2009-09-17 | Leonid Kushculey | Operation of patterned ultrasonic transducers |
| CN101600130A (en)* | 2009-06-26 | 2009-12-09 | 瑞声声学科技(深圳)有限公司 | Loudspeaker array |
| CN102416225A (en)* | 2010-09-27 | 2012-04-18 | 重庆融海超声医学工程研究中心有限公司 | Ultrasonic transducer |
| CN104122333A (en)* | 2014-04-12 | 2014-10-29 | 北京工业大学 | Array resolution type ultrasonic focusing transducer |
| CN110707791A (en)* | 2019-10-22 | 2020-01-17 | 北京理工大学 | Ultrasonic wave-based remote high-power underwater wireless charging system |
| Publication number | Priority date | Publication date | Assignee | Title |
|---|---|---|---|---|
| US4180791A (en)* | 1978-03-09 | 1979-12-25 | General Electric Company | Simplified sector scan ultrasonic imaging system |
| US5015929A (en)* | 1987-09-07 | 1991-05-14 | Technomed International, S.A. | Piezoelectric device with reduced negative waves, and use of said device for extracorporeal lithotrity or for destroying particular tissues |
| US20090230823A1 (en)* | 2008-03-13 | 2009-09-17 | Leonid Kushculey | Operation of patterned ultrasonic transducers |
| CN101600130A (en)* | 2009-06-26 | 2009-12-09 | 瑞声声学科技(深圳)有限公司 | Loudspeaker array |
| CN102416225A (en)* | 2010-09-27 | 2012-04-18 | 重庆融海超声医学工程研究中心有限公司 | Ultrasonic transducer |
| CN104122333A (en)* | 2014-04-12 | 2014-10-29 | 北京工业大学 | Array resolution type ultrasonic focusing transducer |
| CN110707791A (en)* | 2019-10-22 | 2020-01-17 | 北京理工大学 | Ultrasonic wave-based remote high-power underwater wireless charging system |
| Publication number | Priority date | Publication date | Assignee | Title |
|---|---|---|---|---|
| CN115136950A (en)* | 2022-07-05 | 2022-10-04 | 国网河南省电力公司镇平县供电公司 | Bird repelling method and bird repelling device |
| Publication number | Publication date |
|---|---|
| CN114160397B (en) | 2022-06-03 |
| Publication | Publication Date | Title |
|---|---|---|
| CN112615151B (en) | A low-frequency mechanical antenna based on piezoelectric-piezomagnetic composite material and its manufacturing method | |
| WO2022048058A1 (en) | High-power high-frequency directional transmission underwater acoustic transducer and manufacturing method therefor | |
| US4706230A (en) | Underwater low-frequency ultrasonic wave transmitter | |
| CN107231594B (en) | Conformally Driven Type IV Flextensional Transducers | |
| CN106558301B (en) | low frequency directional underwater acoustic transducer | |
| CN107580274A (en) | Mosaic curved disc underwater acoustic transducer | |
| CN110277485B (en) | Composite laminated flexural vibration element and preparation method thereof | |
| CN114160397B (en) | An underwater array type high-power ultrasonic wireless energy transmission system | |
| CN108435523B (en) | Droplet Flextensional Transducer | |
| CN106448644B (en) | An omnidirectional broadband high-power Janus underwater acoustic transducer | |
| CN108877756A (en) | A kind of low frequency annulus energy converter of flextensional structure driving | |
| JP2008526327A (en) | Integrated ultrasound therapy transducer assembly | |
| CN101758017A (en) | Omnidirectional ultrasonic radiator | |
| CN112152308B (en) | Underwater wireless charging method and device covering full sea depth based on sound waves | |
| CN103521423B (en) | For the high frequency piezo ultrasonic transducer of integrated circuit Heat Ultrasonic Bonding equipment | |
| CN110010113A (en) | Radial Radiating Janus-Helmholtz Underwater Acoustic Transducers | |
| CN220804192U (en) | Double-sided high-power radiation bending disc transducer | |
| CN103414987B (en) | Transmitting-receiving transducer based on PVDF and piezoelectric ceramics | |
| CN209923304U (en) | Ultrasonic generator and wine aging device | |
| CN219981445U (en) | Multi-frequency ultrasonic sensor | |
| CN115582263A (en) | Medical ultrasonic knife transducer | |
| CN109604133A (en) | Low directivity undulating arc transmitting transducer array | |
| CN105689249A (en) | Compound drive piezoelectric ultrasonic-pipe-shaped transducer | |
| CN114733740A (en) | Modular high-power ultrasonic transducer | |
| CN110639783B (en) | Carbon nanotube film transducer array |
| Date | Code | Title | Description |
|---|---|---|---|
| PB01 | Publication | ||
| PB01 | Publication | ||
| SE01 | Entry into force of request for substantive examination | ||
| SE01 | Entry into force of request for substantive examination | ||
| GR01 | Patent grant | ||
| GR01 | Patent grant |