Movatterモバイル変換


[0]ホーム

URL:


CN114123437B - Self-adaptive wireless charging system - Google Patents

Self-adaptive wireless charging system
Download PDF

Info

Publication number
CN114123437B
CN114123437BCN202210083169.2ACN202210083169ACN114123437BCN 114123437 BCN114123437 BCN 114123437BCN 202210083169 ACN202210083169 ACN 202210083169ACN 114123437 BCN114123437 BCN 114123437B
Authority
CN
China
Prior art keywords
compensation
transmitting
receiving
receiving end
capacitor
Prior art date
Legal status (The legal status is an assumption and is not a legal conclusion. Google has not performed a legal analysis and makes no representation as to the accuracy of the status listed.)
Active
Application number
CN202210083169.2A
Other languages
Chinese (zh)
Other versions
CN114123437A (en
Inventor
鲁国希
王哲
陆钧
Current Assignee (The listed assignees may be inaccurate. Google has not performed a legal analysis and makes no representation or warranty as to the accuracy of the list.)
Hefei Yougan Technology Co ltd
Original Assignee
Hefei Yougan Technology Co ltd
Priority date (The priority date is an assumption and is not a legal conclusion. Google has not performed a legal analysis and makes no representation as to the accuracy of the date listed.)
Filing date
Publication date
Application filed by Hefei Yougan Technology Co ltdfiledCriticalHefei Yougan Technology Co ltd
Priority to CN202210083169.2ApriorityCriticalpatent/CN114123437B/en
Publication of CN114123437ApublicationCriticalpatent/CN114123437A/en
Application grantedgrantedCritical
Publication of CN114123437BpublicationCriticalpatent/CN114123437B/en
Activelegal-statusCriticalCurrent
Anticipated expirationlegal-statusCritical

Links

Images

Classifications

Landscapes

Abstract

The invention discloses a self-adaptive wireless charging system, which comprises: the transmitting end sampling circuit is connected to the output side of the inverter; the transmitting terminal adjusting circuit is connected with the transmitting terminal compensation network; the transmitting end communication controller is respectively connected with the transmitting end sampling circuit and the transmitting end adjusting circuit; further comprising: the receiving end sampling circuit is connected to the input side of the rectifier and is also connected to the input side of the load; the receiving end adjusting circuit is connected with the receiving end compensation network; the receiving end communication controller is respectively connected with the receiving end sampling circuit and the receiving end adjusting circuit; the transmitting end compensation network and the receiving end compensation network are respectively provided with capacitance value adjustable compensation capacitors; the transmitting end communication controller and the receiving end communication controller realize signal communication through wireless communication. After the installation is finished, the deviation of a certain element parameter in the network can be compensated, and the system can work in a resonance state again by adjusting the capacitance value of one or more compensation capacitors.

Description

Self-adaptive wireless charging system
Technical Field
The invention relates to the field of wireless charging, in particular to a self-adaptive wireless charging system.
Background
The wireless charging is a non-contact energy transmission mode, can realize the safe and efficient utilization of energy, particularly can effectively support the whole-course unmanned operation of a vehicle by adopting the wirelessly charged electric automobile, and is an important direction for the development of new energy automobiles. The resonant coupling type wireless charging system can still keep higher output power and efficiency under a longer transmission distance under ideal conditions. However, practical application scenarios of wireless charging are fraught with variations, such as spatial misalignment or movement between the transmit coil and the receive coil, variations in operating temperature, load variations, and so forth. In addition, wireless charging systems require that the resonant network must operate at a precise resonance point for optimum performance, which means that high precision inductances and capacitances must be used to meet these requirements. However, due to the characteristics of the constituent materials and the constraints of current process conditions, high precision components are not only very expensive, but are still unsatisfactory even without regard to cost. The above reasons can cause the resonance point to drift during wireless charging, which leads to the reduction of charging efficiency and even the failure of charging. All of these factors, from the external use environment to the internal components, are obstacles to the practical application of wireless charging technology.
Disclosure of Invention
The invention provides a self-adaptive wireless charging system which can self-adaptively adjust a resonance state according to working conditions.
The invention relates to a self-adaptive wireless charging system, which comprises a transmitting end and a receiving end, wherein the transmitting end comprises a power supply, an inverter, a transmitting coil and a transmitting end compensation network, and the self-adaptive wireless charging system also comprises: the transmitting end sampling circuit is connected to the output side of the inverter; the transmitting end adjusting circuit is connected with the transmitting end compensation network; the transmitting end communication controller is respectively connected with the transmitting end sampling circuit and the transmitting end adjusting circuit; the receiving end includes: load, filter, rectifier, receiving coil and receiving terminal compensation network still include: the receiving end sampling circuit is connected to the input side of the rectifier and is also connected to the input side of the load; the receiving end adjusting circuit is connected with the receiving end compensation network; the receiving end communication controller is respectively connected with the receiving end sampling circuit and the receiving end adjusting circuit; the transmitting end compensation network and the receiving end compensation network are respectively provided with capacitance value adjustable compensation capacitors; the transmitting end communication controller and the receiving end communication controller realize signal communication through wireless communication.
Preferably, the transmitting end further comprises: the transmitting terminal driving circuit is connected with the inverter and is connected with the transmitting terminal communication controller; the receiving end further includes: and the receiving end driving circuit is connected with the rectifier and is connected with the receiving end communication controller.
Preferably, the receiving end further includes: the protection circuit comprises a first switch, a second switch and a protection circuit; the first switch is connected between the receiving end adjusting circuit and the capacitance value adjustable compensation capacitor; the second switch is connected before the load; the protection circuit is respectively communicated with the first switch and the second switch through signals to control the on-off state of the first switch and the second switch.
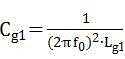
Preferably, the transmitting end compensation network includes: the transmitter comprises a transmitter first compensation capacitor, a transmitter second compensation capacitor and a transmitter compensation inductor; the receiving-end compensation network has: the receiving end first compensation capacitor, the receiving end second compensation capacitor and the receiving end compensation inductor; the transmitting end compensation network and the receiving end compensation network are both LCC type compensation networks.
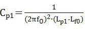
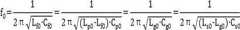
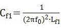
Preferably, the transmitting end compensation network and the transmitting coil form a transmitting resonant network; the receiving end compensation network and the receiving coil form a receiving resonant network; resonance frequency f of the transmitting resonant network and the receiving resonant network in a resonant state0 Comprises the following steps:
Figure 175625DEST_PATH_IMAGE001
Lf0 is the inductance value of the transmitting end compensation inductor in the resonance state; l is a radical of an alcoholp0 Is the inductance value of the transmitting coil in the resonant state; cf0 Is the capacitance value of the first compensation capacitor at the transmitting end in the resonance state; cp0 Is the capacitance value of the second compensation capacitor of the transmitting terminal in the resonance state; l is a radical of an alcoholg0 The inductance value of the receiving end compensation inductor in a resonance state; l is a radical of an alcohols0 Is the inductance value of the receiving coil in the resonance state; cg0 The capacitance value of the first compensation capacitor at the receiving end in a resonance state; cs0 Is the capacitance value of the second compensation capacitor at the receiving end in the resonance state.
Preferably, the capacitance value adjustable compensation capacitor includes: the capacitor A, the capacitor B and the direct current bias circuit; the capacitor A is connected with the capacitor B in series, and the direct current bias circuit is connected with the capacitor A in parallel; the direct current bias circuit comprises a voltage source and a resistor which are connected in series; the voltage value of the voltage source is adjustable; the capacitance value of the second capacitor is larger than that of the first capacitor.
After the adaptive wireless charging system is installed, the deviation of a certain element parameter in a network can be compensated, and the system can work in a resonance state again by adjusting the capacitance values of one or more compensation capacitors. In the wireless charging process, when the element parameters drift, the system can keep stable operation in a resonance state by adjusting the compensation capacitor according to the phase difference of voltage and current. When the mutual inductance M of the coil changes and deviates from the normal working range, the system can compensate the reduction of the output power caused by the change of the mutual inductance M by adjusting the resonance frequency. In some embodiments, by arranging the protection circuit, the receiving end and the load can be protected from being damaged even if the transmitting end does not cut off the power supply in time due to communication delay or interruption under the condition that the load is unloaded.
Drawings
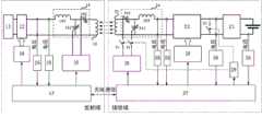
Fig. 1 is a schematic structural diagram of an adaptive wireless charging system according to the present invention;
FIG. 2 is a partial circuit topology of the adaptive wireless charging system of the present invention;
fig. 3 is a schematic diagram of a capacitance value adjustable compensation capacitor in the adaptive wireless charging system according to the present invention.
Reference numerals:
thepower supply 11, theinverter 12, thetransmitting coil 13, the transmittingterminal compensation network 14, the transmittingterminal sampling circuit 15, the transmitting terminal adjustingcircuit 16, the transmittingterminal communication controller 17, the transmittingterminal driving circuit 18, thefilter 21, therectifier 22, thereceiving coil 23, the receivingterminal compensation network 24, the receivingterminal sampling circuit 25, the receivingterminal adjusting circuit 26, the receivingterminal communication controller 27, the receivingterminal driving circuit 28, theprotection circuit 29, the transmitting terminalfirst compensation capacitor 141, the transmitting terminalsecond compensation capacitor 142, the transmittingterminal compensation inductor 143, the receiving terminalfirst compensation capacitor 241, the receiving terminalsecond compensation capacitor 242, the receivingterminal compensation inductor 243, the first switch S1, and the second switch S2.
Detailed Description
Reference will now be made in detail to embodiments of the present invention, examples of which are illustrated in the accompanying drawings, wherein like or similar reference numerals refer to the same or similar elements or elements having the same or similar function throughout. The embodiments described below with reference to the accompanying drawings are illustrative only for the purpose of explaining the present invention and are not to be construed as limiting the present invention.
The invention discloses a self-adaptive wireless charging system which comprises a transmitting end and a receiving end. For convenience of explanation and understanding, the transmitting end and the receiving end will be described below, respectively.
The transmitting end comprises apower supply 11, aninverter 12, a transmittingcoil 13 and a transmittingend compensation network 14. The input end of theinverter 12 is connected to anexternal power source 11, thepower source 11 may be a dc power source or an ac power source, and when the ac power source is used, the input end is first processed by a rectifier device and then connected to theinverter 12. The output of theinverter 12 is connected to thetransmitter coil 13 via atransmitter compensation network 14.
The corresponding receiving terminal comprises a load, afilter 21, a rectifier 22 (also called a rectifier converter 22), areceiving coil 23 and a receivingterminal compensation network 24. Thereceiving coil 23 of the receiving end is connected with the receivingend compensation network 24, and then is connected with therectifier 22 and thefilter 21, and thefilter 21 is connected with the load.
When thepower source 11 provides a direct current, an external direct current input is converted into a high-frequency alternating current through theinverter 12, and then the high-frequency alternating current is input into the transmittingcoil 13 through the transmittingterminal compensation network 14 to generate an alternating magnetic field with a certain frequency, thereceiving coil 23 induces the magnetic field to generate an induced alternating current, the alternating current is transmitted to therectifier 22 through the receivingterminal compensation network 24, the alternating current is converted into a direct current through therectifier 22, the direct current is transmitted to a load to charge the load after alternating current components are filtered by thefilter 21, and the load generally refers to a battery. When thepower supply 11 supplies ac power, ac power is externally input, a rectifier needs to be added to the front stage of theinverter 12 at the transmitting end, and the input ac power is converted into dc power from the ac power after passing through a rectifier circuit and power factor adjustment of the rectifier, and then input to the input end of theinverter 12.
The transmittingend compensation network 14 and the receiving end compensation network 24 (hereinafter, collectively referred to as two compensation networks) both have capacitance value adjustable compensation capacitors, that is, the compensation capacitors in the two compensation networks are both capacitance value adjustable. Through the capacitance value adjustable compensation capacitor, the capacitance value is adjusted according to different working conditions, so that the self-adaptive capacity of wireless charging is improved. The specific manner of adjustment is described in detail below.
In addition to the above structure, the transmitting terminal further includes: a transmittingend sampling circuit 15, a transmittingend adjusting circuit 16 and a transmittingend communication controller 17. In some embodiments, there is also a transmitside driver circuit 18.
A transmittingend sampling circuit 15 is connected to the output side of theinverter 12 and can sample the output voltage U of theinverter 121 And an output current If . The transmitside conditioning circuit 16 is connected to the transmitside compensation network 14. The transmittingend communication controller 17 is connected with the transmittingend sampling circuit 15 and the transmittingend adjusting circuit 16 respectively, the connection between the transmittingend sampling circuit 15 and the transmittingend adjusting circuit 16 can be through a conducting wire or wireless connection, and the transmittingend communication controller 17 can be communicated with the transmittingend sampling circuit 15 and the transmittingend adjusting circuit 16 respectively.
The transmittingend sampling circuit 15 transmits the acquired voltage and current signals output by theinverter 12 to the transmittingend communication controller 17, and the transmittingend communication controller 17 can generate a control instruction according to the signals and send the control instruction to the transmittingend adjusting circuit 16, so that the transmittingend adjusting circuit 16 adjusts the capacitance value of the capacitance value adjustable compensation capacitor in the transmittingend compensation network 14. It should be noted that the transmitting-end communication controller 17 does not generate the control command only according to the signal provided by the transmitting-end sampling circuit 15, for example, as will be mentioned later, the control command is also in signal communication with the receiving-end communication controller 27, and the control command is also influenced by the signal of the receiving-end communication controller 27.
The transmittingend driving circuit 18 is connected with the transmittingend communication controller 17 and also connected with theinverter 12, and the transmittingend communication controller 17 sends a control instruction to the transmittingend driving circuit 18 to enable the transmittingend driving circuit 18 to drive theinverter 12 to work.
The receiving end still includes: a receivingend sampling circuit 25, a receivingend adjusting circuit 26 and a receivingend communication controller 27. In some embodiments, a receiving-end driving circuit 28, aprotection circuit 29, and the like are further included.
The receiving-end sampling circuit 25 has two parts independent of each other, the first part being connected to the input side of therectifier 22, and the second part being connected to the input side of the load. The specific location is not limited, and for example, the second portion may be connected before thefilter 21 or after thefilter 21.
The first part collects the input voltage U of therectifier 222 And an input current Ig The second section collects an input voltage (charging voltage) and an input current (charging current) of the load.
A receivingend adjusting circuit 26 connected to the receivingend compensation network 24; the receiving-end communication controller 27 is connected to the receiving-end sampling circuit 25 and the receiving-end adjustingcircuit 26, respectively. Here, the connection may be a wired connection or a wireless connection.
The receivingend sampling circuit 25 transmits the signals acquired by the two parts to the receivingend communication controller 27, and the receivingend communication controller 27 can generate a control instruction according to the signals and send the control instruction to the receivingend adjusting circuit 26, so that the receivingend adjusting circuit 26 adjusts the capacitance value of the capacitance value adjustable compensation capacitor in the receivingend compensation network 24. It should be noted that the receiving-end communication controller 27 does not generate the control command only according to the signal provided by the receiving-end sampling circuit 25, because the receiving-end communication controller 27 is in signal communication with the transmitting-end communication controller 17, and the control command is also affected by the signal of the transmitting-end communication controller 17. The receiving-end communication controller 27 and the transmitting-end communication controller 17 are generally in wireless communication.
The receiving-end driving circuit 28 is in communication with the receiving-end communication controller 27, and controls therectifier 22 to convert the alternating current into the direct current. Theprotection circuit 29 is used for protecting the receiving end in cooperation with two switches, namely a first switch S1 and a second switch S2.
Theprotection circuit 29 is connected to the receiving-end communication controller 27, and theprotection circuit 29 controls the on-off states of the first switch S1 and the second switch S2 and sends a no-load fault signal corresponding to the on-off state to the receiving-end communication controller 27. The first switch S1 is connected between the receivingend adjusting circuit 26 and the capacitance value adjustable compensation capacitor (here, referred to as the receiving end), and can cut off the dc voltage of the receivingend adjusting circuit 26 to the adjustable compensation capacitor in the receivingend compensation network 24 in time. The number of first switches S1 is the same as the number of adjustable compensation capacitors in the receiving-side compensation network 24, which has two as in fig. 2. The second switch S2 is arranged in front of the load to ensure that the charging action to the load can be cut off in time.
The transmission-side compensation network 14 has: a transmitting endfirst compensation capacitor 141, a transmitting endsecond compensation capacitor 142 and a transmittingend compensation inductor 143; the receiving-end compensation network 24 has: a receiving endfirst compensation capacitor 241, a receiving endsecond compensation capacitor 242, and a receivingend compensation inductor 243.
The transmitting-side compensation network 14 and the receiving-side compensation network 24 are both LCC-type compensation networks, and they have the same structure. I.e. both have two compensation capacitors (two at the transmitting end and receiving end, respectively, corresponding to the compensation capacitors mentioned above) and one compensation inductance. Thefirst compensation capacitor 141 at the transmitting end, thesecond compensation capacitor 142 at the transmitting end, thefirst compensation capacitor 241 at the receiving end, and thesecond compensation capacitor 242 at the receiving end are capacitance value adjustable compensation capacitors as described above.
On the transmitting end side, the transmittingend compensation network 14 and the transmittingcoil 13 form a transmitting resonant network, and the specific circuit structure is shown in fig. 2 and fig. 3. The output end a of theinverter 12 is connected to one end of the transmittingend compensation inductor 143, and the other end of the transmittingend compensation inductor 143 is connected to two places — one end of the transmitting endfirst compensation capacitor 141 and one end of the transmitting endsecond compensation capacitor 142; the other end of the transmitting-endsecond compensation capacitor 142 is connected to one end of the transmittingcoil 13; the other end of the transmitting-sidefirst compensation capacitor 141 is connected to the other end of the transmittingcoil 13, and the connection point is connected to the output terminal B of theinverter 12.
On the receiving end side, the receivingend compensation network 24 and the receivingcoil 23 form a receiving resonant network, and the specific circuit structure is shown in fig. 1 and fig. 2. One end of the receivingcoil 23 is connected to one end of the receiving endsecond compensation capacitor 242, the other end of the receiving endsecond compensation capacitor 242 is connected to two locations — one end of the receiving endfirst compensation capacitor 241 and one end of the receivingend compensation inductor 243, the other end of the receivingend compensation inductor 243 is connected to the input end C of therectifier 22, the other end of the receiving endfirst compensation capacitor 241 is connected to the other end of the receivingcoil 23, and the connection point is connected to the input end D of therectifier 22. It is noted that the transmitting resonant network and the receiving resonant network will be referred to collectively as resonant network hereinafter.
Resonant frequency f of a transmitting resonant network and a receiving resonant network in a resonant state0 Comprises the following steps:
Figure 92765DEST_PATH_IMAGE002
\8230; … formula (1)
Wherein L isf0 Is the inductance value of the transmittingend compensation inductor 143 in the resonance state;
Lp0 is the inductance value of the transmittingcoil 13 in the resonance state;
Cf0 is the capacitance value of thefirst compensation capacitor 141 at the transmitting end in the resonance state;
Cp0 is the capacitance value of thesecond compensation capacitor 142 at the transmitting end in the resonance state;
Lg0 is the inductance value of the receivingterminal compensation inductance 243 in the resonance state;
Ls0 is the inductance value of the receivingcoil 23 in the resonance state;
Cg0 is the capacitance value of thefirst compensation capacitor 241 of the receiving end in the resonance state;
Cs0 is the capacitance value of the receiving-endsecond compensation capacitor 242 in the resonance state.
By U1 Is the voltage between points AB, i.e. the output voltage U of theinverter 121 Will output a voltage U1 As a reference phase, and expressed by the following formula:
Figure 872503DEST_PATH_IMAGE003
\8230; … formula (2)
LCC compensation network structure is adopted at both sides of transmitting end and receiving end, and U is used when resonance state condition is satisfied by resonance network at both sides2 Is the voltage between two points of CD, i.e. the input voltage U of therectifier 222 According to the characteristics of the two-sided LCC compensation network, the input voltage U2 Backward output U1 Phase 90 °, i.e.:
Figure 267712DEST_PATH_IMAGE004
\8230; \ 8230; formula (3)
Also, the output current I of theinverter 12 can be very easily obtained according to the characteristics of the double-sided LCC compensation networkf Input current I ofrectifier 22g And the output voltage U of theinverter 121 The relationship between:
Figure 144401DEST_PATH_IMAGE005
\8230; … formula (4)
Figure 966864DEST_PATH_IMAGE006
\8230; … formula (5)
The formula of the output power P of the wireless charging system can also be obtained:
Figure 233897DEST_PATH_IMAGE007
\8230; … formula (6)
Wherein R isL Is the equivalent resistance of the load; m is the mutual inductance between the transmitter coil and the receiver coil.
As can be seen from the formula (5), for a certain wireless charging system, that is, under the condition that the compensation inductance, the resonance frequency and the mutual inductance M of the transmitting coil and the receiving coil are all fixed, the impedance characteristics of the transmitting end and the receiving end in the resonance state are pure resistance, and the input current I of therectifier 22 of the receiving end isg By the output voltage U of the inverter1 DeterminingEquivalent resistance R to loadL Independently, the input to therectifier 22 can be considered a voltage controlled constant current source.
When the wireless charging system transmits power, the transmittingend sampling circuit 15 collects the output voltage U of theinverter 121 And an output current If (ii) a The receivingend sampling circuit 25 collects the input voltage U of therectifier 222 And an input current Ig And the charging voltage and the charging current of the load at the receiving end. When the receiving-end communication controller 27 obtains a given value command of charging voltage or charging current for charging the load, the given value command is compared with the charging voltage and the charging current obtained by the receiving-end sampling circuit 25, and the receiving-end communication controller 27 compares the given value command with the charging voltage and the charging current obtained by the receiving-end sampling circuit 25 according to the input voltage U2 And an input current Ig The duty ratio or phase shift angle of the PWM drive signal of the receiving-side drive circuit 28 is controlled to adjust the output of therectifier 22, i.e., the charging voltage and charging current of the load, to meet the command while converting the input ac power to dc power. As can be seen from equation (5), by adjusting the output voltage U of theinverter 121 The input current I of therectifier 22 can be controlledg And voltage U1 Depending on the input voltage of theinverter 12, i.e. the output voltage of thepower supply 11. The receivingend communication controller 27 calculates the output current I of theinverter 12 according to the given value while controlling therectifier 22f And is transferred to the transmitting-side communication controller 17 through the receiving-side communication controller 27. The transmitting-side communication controller 17 controls the duty ratio or phase shift angle of the PWM signal from the transmitting-side drive circuit 18 to convert the input direct current into an alternating current whose frequency should be the resonance frequency f0 According to the output voltage U of theinverter 12 collected by the transmittingend sampling circuit 151 And an output current If Regulating the output voltage of thepower source 11, i.e. regulating the input voltage of theinverter 12, controlling the output current I of theinverter 12f So as to obtain the input current I required by therectifier 22g And transmits the required output power P to the receiving end.
To achieve the above regulation and to achieve the highest efficiency of energy transfer in wireless charging systems, the resonant network is required to operate at a precise resonant frequency, and the inductance and capacitance values of the transmitting end compensation network, the receiving end compensation network and the transmitting coil, and the receiving coil must satisfy equation (1), which means that high precision inductors and capacitors must be used to maintain these requirements. However, since these components cannot be completely precise in the manufacturing process, the capacitance of the capacitor generally has a deviation of ± 0.5% to ± 20%, the winding process of the coil is more complicated, the influence of metal existing in the installation environment, the limitation of the installation condition, and stray inductance and capacitance included in the circuit cause the total parameter deviation of the resonant network to be larger, so that the resonant frequency deviates from the set operating frequency. According to the data of the related research, 10% change of a certain element in the compensation network will cause significant gain and efficiency reduction, so that the system can not work normally.
In order to overcome the above problems, the transmitting terminal and the receiving terminal are provided with capacitance value adjustable compensation capacitors, that is, a transmitting terminalfirst compensation capacitor 141, a transmitting terminalsecond compensation capacitor 142, a receiving terminalfirst compensation capacitor 241, and a receiving terminalsecond compensation capacitor 242, which use voltage-controlled adjustable capacitors. Hereinafter, they are collectively referred to as compensation capacitances for convenience of description.
The voltage-controlled adjustable capacitor controls the size of the capacitance value of the voltage-controlled adjustable capacitor by controlling the size of the direct current voltage of the control input end of the voltage-controlled adjustable capacitor through the adjusting circuit, the larger the direct current voltage is, the smaller the capacitance value is, otherwise, the smaller the direct current voltage is, the larger the capacitance value is, and when the direct current voltage is 0, the capacitance value is the largest. During the wireless charging operation, initial values of capacitance values of the transmitting endfirst compensation capacitor 141, the transmitting endsecond compensation capacitor 142, the receiving endfirst compensation capacitor 241 and the receiving endsecond compensation capacitor 242 are set to be C respectivelyf0 、Cp0 、Cg0 、Cs0 To satisfy the system at the resonant frequency f0 The purpose of the operation.
After the transmitting end or the receiving end of the wireless charging system is installed, the inductance values of the transmittingcoil 13, the receivingcoil 23, the transmittingend compensation inductor 143 and the receivingend compensation inductor 243 are measured, and when one or more of the inductors deviates from the inductance value corresponding to the resonance state (i.e. so-called inductance deviation in the present application), one or more inductors are adjustedThe capacitance value of the compensation capacitor enables the system to be at the resonant frequency f0 And operating in a resonance state, and keeping the resonance frequency unchanged in operation. The following are adjustment methods for several conditions of the compensation capacitor:
first, with Lp0 For the inductance value (predetermined inductance value) of the transmittingcoil 13 corresponding to the resonance state, when the inductance value of the transmittingcoil 13 is detected to be deviated from the inductance value of the resonance state by Lp1 Is the changed inductance value of the transmitting coil 13 (i.e. the detected current inductance value), and Lp1 And Lp0 Deviation value (L) ofp1 -Lp0 Or Lp0 -Lp1 ) If the value is greater than the error value, according to the formula (1), the capacitance value of thesecond compensation capacitor 142 at the transmitting end is set to be a new value C when the wireless charging is performedp1 I.e. from original Cp0 Is set to Cp1 The new capacitance values are in particular:
Figure 432797DEST_PATH_IMAGE008
\8230; … formula (7)
Second, with Ls0 When it is detected that the inductance value of the receivingcoil 23 deviates from the resonance state, the inductance value (predetermined inductance value) corresponding to the resonance state of the receivingcoil 23 is set to Ls1 Is the changed inductance value of the receiving coil (i.e., the detected current inductance value), and Ls0 And Ls1 Deviation value (L) ofs0 -Ls1 Or Ls1 -Ls0 ) If the value is greater than the error value, according to the formula (1), when the wireless charging operation is performed, the capacitance value of thesecond compensation capacitor 242 at the receiving end is set to a new value Cs1 I.e. from the original Cs0 Is set to Cs1 The new capacitance values are in particular:
Figure 101676DEST_PATH_IMAGE009
\8230; \ 8230; formula (8)
Third, with Lf0 Compensating the inductance (predetermined inductance) of theinductor 143 in the resonant state for the transmitting end when detectingWhen the inductance of the transmittingterminal compensation inductor 143 is measured to deviate from the resonance state, it is measured by Lf1 Is the changed inductance value (i.e., the current inductance value detected), and Lf1 And Lf0 Deviation value (L) off1 -Lf0 Or Lf0 -Lf1 ) If the difference is greater than the error value, according to the formula (1), when the wireless charging works, thefirst compensation capacitor 141 and thesecond compensation capacitor 142 at the transmitting end are respectively set to new values Cf1 And Cp1 I.e. from the original Cf0 Is set to Cf1 From original Cp0 Is set to Cp1 The new capacitance values are in particular:
Figure 95039DEST_PATH_IMAGE010
\8230; … formula (9)
Figure 849369DEST_PATH_IMAGE011
\8230; … formula (10)
It should be noted that the equations (10) and (7) are two different ways to adjust thesecond compensation capacitor 142 at the transmitting end under two different conditions.
Fourth, with Lg0 The receiving end is compensated with the inductance (predetermined inductance) of theinductor 243 in the resonance state, and when the inductance of the receivingend compensation inductor 243 is detected to deviate from the resonance state, the value is determined as Lg1 For the changed inductance value of the compensation inductor (i.e., the detected current inductance value), and Lg1 And Lg0 Deviation value (L) ofg1 -Lg0 Or Lg0 -Lg1 ) If the difference is greater than the error value, according to the formula (1), when the wireless charging works, the receiving endfirst compensation capacitor 241 and the receiving endsecond compensation capacitor 242 are respectively set to new values Cg1 And Cs1 I.e. from original Cg0 Is set to Cg1 From original Cs0 Is set to Cs1 The new capacitance values are in particular:
Figure 586381DEST_PATH_IMAGE012
\8230; \ 8230; formula (11)
Figure 925745DEST_PATH_IMAGE013
\8230; … formula (12)
It should be noted that the equations (12) and (8) are two different ways to adjust the receiving-endsecond compensation capacitor 242 under two different conditions.
When the element parameters in the resonant network are determined according to the formula (1), and the wireless charging system can be theoretically in a resonant state during operation by adjusting the parameters of the compensation element (capacitance value adjustable compensation capacitor).
The transmittingcoil 13, the receivingcoil 23, the transmittingend compensation inductor 143, and the receivingend compensation inductor 243 are the target components described in the present application, and an independent measuring unit may be provided for measuring the inductance values of the transmittingcoil 13, the receivingcoil 23, the transmittingend compensation inductor 143, and the receivingend compensation inductor 243.
In the four working states, the error value is set artificially, the error value can ensure the normal work of the wireless charging, and when the deviation value is greater than the error value, the work of the wireless charging is influenced. If the deviation is small and equal to the error value, the normal operation of the system can be ensured, and the existing working state is maintained.
In practical applications, besides the above-mentioned effects, there are many factors, such as the change of environment, operation mode, etc., which may cause the component parameters in the resonant network to drift, especially the transmitting coil and the receiving coil and the compensation inductor, which are greatly affected by the circuit temperature, and which may cause the inductance value to change with the temperature change. However, due to the change of the inductance value, the wireless charging resonant frequency shifts, so that the wireless charging resonant frequency deviates from the resonant state, the transmission efficiency and the transmission power are reduced, the switching loss of the system power conversion is increased, and even the problems of equipment damage and the like may occur.
In order to overcome the defects, the system can be kept to stably run in a resonance state by adjusting the capacitance value adjustable compensation capacitor. According to the formulas (2) to (5), inThe output current I of theinverter 12 when the transmitting resonant network and the receiving resonant network are in the resonant statef And an output voltage U1 In-phase, input current I ofrectifier 22g And an input voltage U2 In phase. Therefore, the adjusting method when the parameter of the element changes in the wireless power transmission process comprises the following steps:
1. at the transmitting end, the output current I of theinverter 12 is sampled by a transmittingend sampling circuit 15f And an output voltage U1 And comparing the output current If And an output voltage U1 The transmittingend communication controller 17 may perform comparison, and the transmittingend communication controller 17 continuously controls the control voltages (the control voltage here may be the voltage Vc of the voltage source V mentioned below) of the control ends of the transmitting endfirst compensation capacitor 141 and the transmitting endsecond compensation capacitor 142 through the transmittingend adjusting circuit 16 according to the phase difference by the transmittingend communication controller 17.
1.1 when the phase difference is 0 ° or less than a predetermined error value (for distinguishing from an error value in the inductance comparison, the error value of the phase difference value is referred to as a predetermined error value), the transmittingend communication controller 17 controls to keep the capacitance values of the transmitting endfirst compensation capacitor 141 and the transmitting endsecond compensation capacitor 142 unchanged.
1.2 when the output current If Phase lead output voltage U1 When the phase difference is greater than 0 ° and greater than the preset error value, the transmitting resonant network is biased, and the transmittingend communication controller 17 gradually reduces the capacitance of thefirst compensation capacitor 141 at the transmitting end, so that the output current I is outputf Leading output voltage U1 The phase difference is gradually reduced until the phase difference is reduced to 0 degree or less than a preset error value, so that the transmitting resonant network returns to a resonant state; e.g. output current If And an output voltage U1 If the current does not change with the preset trend, thefirst compensation capacitor 141 of the transmitting end is restored to the capacitance before the change, and thecommunication controller 17 of the transmitting end gradually reduces the capacitance of thesecond compensation capacitor 142 of the transmitting end, so as to output the current If Leading output voltage U1 The phase difference is gradually reduced until the phase difference is reduced to 0 degree or less than a preset error value, so that the resonant circuit is recoveredTo a resonant state.
1.3 when the output voltage U is1 Phase lead output current If When the phase difference is greater than 0 ° and greater than the preset error value, the transmitting resonant network is biased, and the transmittingend communication controller 17 gradually increases the capacitance of the transmitting endfirst compensation capacitor 141, so that the output voltage U is output1 Leading output current If The phase difference is gradually reduced until the phase difference is reduced to 0 degree or less than a preset error value, so that the resonant circuit returns to a resonant state; e.g. output voltage U1 And an output current If If the voltage does not change with the preset trend, thefirst compensation capacitor 141 of the transmitting end is restored to the capacitance value before the change, and thecommunication controller 17 of the transmitting end gradually increases the capacitance value of thesecond compensation capacitor 142 of the transmitting end, so that the output voltage U is output1 Leading output current If The phase difference is gradually reduced until the phase difference is reduced to 0 DEG or less than a preset error value, so that the resonant circuit is returned to a resonant state.
2. On the receiving side, the input current I of therectifier 22 is sampled by a receivingend sampling circuit 25g And an input voltage U2 And comparing the input currents Ig And an input voltage U2 The control voltage (here, the control voltage may be a voltage Vc of a voltage source V mentioned below) of the control terminals of thefirst compensation capacitor 241 and thesecond compensation capacitor 242 at the receiving terminal is continuously controlled by the receivingterminal communication controller 27 through the receivingterminal adjusting circuit 26 according to the phase difference.
2.1 when the phase difference is 0 ° or less than the preset error value, the receiving-end communication controller 27 controls to keep the capacitance values of the receiving-endfirst compensation capacitor 241 and the receiving-endsecond compensation capacitor 242 unchanged.
2.2 when inputting current Ig Phase lead input voltage U2 When the phase difference is greater than 0 ° and greater than the predetermined error value, the receiving-end communication controller 27 gradually reduces the capacitance of thefirst compensation capacitor 241 of the receiving end to make the input current Ig Leading input voltage U2 The phase difference is gradually reduced until the phase difference is reduced to 0 degree or less than a preset error value, so that the resonant circuit returns to a resonant state; such as the input current Ig And an input voltage U2 Is not provided withChanging with a preset trend, the receiving-endfirst compensation capacitor 241 is restored to the capacitance value before changing, and the receiving-end communication controller 27 gradually reduces the capacitance value of the receiving-endsecond compensation capacitor 242 to make the input current Ig Leading input voltage U2 The phase difference is gradually reduced until the phase difference is reduced to 0 degree or less than a preset error value, so that the resonant circuit returns to a resonant state.
2.3 when input voltage U2 Phase lead input current Ig When the phase difference is greater than 0 ° and greater than the predetermined error value, the receiving resonant network is biased, and the receiving-end communication controller 27 gradually increases the capacitance of the receiving-endfirst compensation capacitor 241 so that the input voltage U is increased2 Leading input current Ig The phase difference is gradually reduced until the phase difference is reduced to 0 degree or less than a preset error value, so that the resonant circuit returns to a resonant state; e.g. input voltage U2 And an input current Ig If the input voltage U does not change with the preset trend, thefirst compensation capacitor 241 is restored to the capacitance value before the change, and the receiving-end communication controller 27 gradually increases the capacitance value of thesecond compensation capacitor 242 to make the input voltage U2 Leading input current Ig The phase difference is gradually reduced until the phase difference is reduced to 0 degree or less than a preset error value, so that the resonant circuit returns to a resonant state.
The above-mentioned preset error value is also artificially set, and a slight adjustment value can be included on the basis of the preset error value, after the adjustment value is included, the resonant network is allowed to be weak, i.e. the above-mentioned input current I is allowed to be weakg Phase slave and input voltage U2 The phase-synchronous change being slightly retarded by a certain angle (output current I)f Phase slave and output voltage U1 The phase synchronization is changed to be slightly delayed by an angle) to satisfy the operating condition of the soft switching of theinverter 12 or therectifier 22. The soft switching means that the current or voltage of the power switch tube is zero in the processes of turning off and turning on, so that the switching loss and the electromagnetic interference can be reduced.
For a wireless charging system, the mutual inductance M between thetransmitter coil 13 and thereceiver coil 23 is very sensitive to the positional deviation and distance variation between the coils, and the variation of the mutual inductance M is straightAnd performance indexes such as output power and efficiency of the system are influenced. Therefore, the existing wireless charging technology has high requirements on the positioning accuracy and the transmission distance between coils, but the operable range of the wireless charging system is actually limited, and the use experience of the wireless charging technology is reduced. In order to overcome the defects and enlarge the variation range of the system mutual inductance M, the resonance frequency can be adjusted to compensate the variation of the mutual inductance M. With M1 The minimum mutual inductance value allowed in the normal working range of the wireless charging system is P corresponding to the system output power1 Corresponding to a frequency of the minimum resonance frequency f1 (ii) a If the mutual inductance between the coils is reduced to exceed the normal working range due to the fact that the deviation between the coils is increased or the distance is increased during actual charging, M is used2 As the changed mutual inductance value (i.e. the wireless charging cannot be completed at this time), k is the change coefficient of the mutual inductance value, and k is<1, then M2 =k*M1 . When mutual inductance of the wireless charging system is from M1 Down to M2 According to equation (6), at the same output voltage U1 The output power will also decrease, which does not meet the requirements of the system for normal operation. In order to compensate the reduction of the output power, before the wireless charging system is started, the capacitance value of the capacitance value adjustable compensation capacitor is adjusted within an adjustable range, so that the minimum resonant frequency of the wireless charging system is adjusted from f1 Is adjusted to be f2 Let f2 =k*f1 Specifically, the capacitance value of thefirst compensation capacitor 141 at the transmitting end needs to be adjusted to:
Figure 355589DEST_PATH_IMAGE014
\8230; … formula (13)
The capacitance of the receiving-endfirst compensation capacitor 241 is adjusted as follows:
Figure 659532DEST_PATH_IMAGE015
\8230; … formula (14)
The capacitance values of thesecond compensation capacitor 142 at the transmitting end are respectively adjusted as follows:
Figure 934655DEST_PATH_IMAGE016
\8230; … formula (15)
The capacitance values of the receiving-endsecond compensation capacitor 242 are respectively adjusted as:
Figure 578126DEST_PATH_IMAGE017
\8230; … formula (16)
At the load resistance RL Sum voltage U1 Under the condition of no change, the output power is restored to the state before the mutual inductance is reduced, namely P1 And the system is equivalent to the requirement of normal operation.
The following is an example of a practical wireless charging system having a minimum resonant frequency f during normal operation1 =85khz, the specific configuration of the parameters of the transmitting end and the receiving end is as shown in table 1 below.
TABLE 1
Figure 913293DEST_PATH_IMAGE018
Assuming that the mutual inductance value between the coils is reduced by 5% from the minimum mutual inductance value allowed by normal operation, i.e. k =0.95, the capacitance value of the compensation capacitor is adjusted according to the method to change the resonance frequency to 0.95 of normal operation, i.e. to adjust the frequency to f2 =80.75kHz, the parameter configuration of the coil and the compensation element of a particular resonant network is as follows in table 2:
TABLE 2
Figure 455263DEST_PATH_IMAGE019
In table 2 above, the capacitance value of the variable compensation capacitor with capacitance value is adjusted to a new value, the corresponding change of the resonant frequency is 80.75kHz, and when the wireless charging system operates with the parameters in table 2, the output power of the wireless charging system is restored to the minimum mutual inductance value M1 Corresponding system output power P1
According to the characteristics of the double-side LCC compensation network structure, the output current of the receiving end presents the characteristics of a current source, and the load of the receiving end can be in a short circuit state and cannot be in an open circuit state. However, unexpected situations may occur in the actual charging process, for example, when an electric vehicle is charged, the vehicle moves, or the load is disconnected by the load management system due to load protection, which may cause the receiving end to be unloaded. Since there is no physical connection between the transmitting end and the receiving end, if no protection measures are taken, damage to the receiving end may result. In the prior art, the transmitting end is mainly used for cutting off the energy transmission through the wireless communication between the transmitting end and the receiving end. Information interaction based on two-side communication may be delayed, wireless communication has reliability problems, and the receiver may be damaged due to untimely actions.
In order to overcome the above disadvantages, theprotection circuit 29, the first switch S1 and the second switch S2 are provided in the present application, and the receiving end is protected by them.
The first switch S1 has two switch contacts, one of which is connected between the adjustingcircuit 26 and the receiving-endfirst compensation capacitor 241, and the other of which is between the adjustingcircuit 26 and the receiving-endsecond compensation capacitor 242. The second switch S2 is connected across the output of therectifier 22.
In combination with the description of the meaning of each letter in the formula (1), when the control voltage of the receiving-sidefirst compensation capacitor 241 and the receiving-sidesecond compensation capacitor 242 is 0, they have the maximum capacitance value Cgmax And Csmax They have a minimum capacitance value C when the control voltage at their control terminals is at a maximum valuegmin And Csmin Then C issmin <Cs0 <Csmax And Cgmin <Cg0 <Cgmax And C issmax And Cs0 、Cgmax And Cs0 There is a large difference between them. When the control voltage is 0, there is a maximum capacitance value Csmax And Cgmax At this time, the resonance state of the transmitting terminal and the receiving terminal is destroyed, and the transmitting terminal stops energy transmission to the receiving terminal.
Before the wireless charging is started, the switch S1 is closed, the receiving-end adjusting circuit 26 loads the control signals on the input ends of the receiving-endfirst compensation capacitor 241 and the receiving-endsecond compensation capacitor 242, and similarly, the transmitting-end adjusting circuit 16 loads the control signals on the input ends of the transmitting-endfirst compensation capacitor 141 and the transmitting-endsecond compensation capacitor 142. The control signal is typically a variation of a dc voltage.
The capacitance values of the four capacitance value variable compensation capacitors are respectively set to be preset capacitance values, wireless charging can be started at any time, and the transmitting end and the receiving end can be in a resonance state. When the wireless charging is started, the capacitance value of the capacitance value variable compensation capacitor is continuously controlled, the resonance characteristic of the receiving end cannot be changed, and electric energy begins to be transmitted between the transmitting end and the receiving end in a resonance state.
In the wireless charging process, when the load side of the receiving end has no load, the voltage at the two ends of thefirst compensation capacitor 241 of the receiving end rises instantly, when the voltage increases and exceeds the preset voltage, the switch S1 is turned off, the voltage at the control input ends of thefirst compensation capacitor 241 of the receiving end and thesecond compensation capacitor 242 of the receiving end is 0 (the control signal is lost), and the capacitance values are respectively changed to Csmax And Cgmax When the resonance parameter of the receiving resonant network changes, the transmitting end and the receiving end are no longer in a resonance state, and the receiving end cannot continuously receive the energy transmitted by the transmitting end. When the voltage across thefirst compensation capacitor 241 of the receiving terminal exceeds the predetermined voltage, the switch S2 is also turned on at the same time, and the two output terminals of therectifier 22 are connected, i.e., the output of therectifier 22 is short-circuited, thereby preventing the current of the receiving terminal from continuously increasing.
Meanwhile, the receivingend communication controller 27 sends the information of no-load fault to the transmittingend communication controller 17, so that the transmitting end turns off the output of thepower supply 11 and stops transmitting energy to the receiving end. Unlike the prior art, by the above arrangement, the output of therectifier 22 is short-circuited, the resonance state between the receiving terminal and the transmitting terminal is broken, and the receiving terminal and the load can be protected from being damaged even in the case where the transmitting terminal does not cut off the power supply in time due to a communication delay or interruption.
As an example, theprotection circuit 29, the first switch S1 and the second switch S2 are integrated to operate, and theprotection circuit 29 outputs corresponding signals to the first switch S1 and the second switch S2. Specifically, theprotection circuit 29 includes a zener diode, a switching tube, and related circuits.
When the wireless charging starts, theprotection circuit 29 samples the voltage across the receiving-endfirst compensation capacitor 241 and the receiving-endsecond compensation capacitor 242, and the sampling may be performed through the isolation circuit. The sampled voltages are loaded at two ends of the voltage stabilizing diode respectively, and the protection circuit outputs a signal to close the first switch S1 when the voltages at two ends of thefirst compensation capacitor 241 at the receiving end are in a normal state; the second switch S2 is opened. When the voltage across thefirst compensation capacitor 241 or thesecond compensation capacitor 242 exceeds the predetermined voltage, the zener diode is operated by the overvoltage, and the circuit turns off the first switch S1 and turns on the second switch S2.
The above is a simple description of the control of the first switch S1 and the second switch S2 by theprotection circuit 29, which is a method known to those skilled in the art, and therefore will not be described in detail.
The following is a description of the compensation capacitances (the compensation capacitances have been explained above as specific meanings of the generic term) in the two compensation networks (the transmission-side compensation network 14 and the reception-side compensation network 24).
In the prior art, the capacitance value is generally adjustable by connecting a plurality of capacitors in parallel to form a capacitor matrix, each capacitor is provided with a switch, and the combination change of the capacitors is switched through the switches. With the capacitor matrix, the capacitance value adjustment is discontinuous, and the switch control is difficult to obtain the required capacitance value; the circuit structure of the switched capacitor matrix is complex, and the volume is large; the current in the resonant circuit is larger, the voltage is higher, the direct on-off is equivalent to a hard switch when the high voltage or the large current passes through the switch, and the electromagnetic interference and the high loss can be generated in the switching process, so that certain problems exist in the actual use.
The capacitance value can be continuously adjusted, the relative capacitance matrix structure circuit is simpler, the size is smaller, and the specific circuit structure is shown in figure 3. The compensation capacitors have the same structure, so that the schematic in fig. 3 is adopted, and the two capacitors and other parts referred to in fig. 3 form one compensation capacitor, that is, fig. 3 is a specific scheme of one compensation capacitor. For convenience of understanding, the two capacitors in fig. 3 are referred to as a capacitor X and a capacitor Y, respectively. The compensation capacitor formed by the capacitors is called a voltage-controlled adjustable capacitor.
Any capacitance value adjustable compensation capacitor is formed by connecting an A capacitor X and a B capacitor Y in series, and further comprises a direct current bias circuit which is connected with the A capacitor in parallel. The direct current bias circuit comprises a voltage source V and a resistor R which are connected in series; the voltage value of the voltage source V is adjustable.
The two ends of the A capacitor X are connected with a voltage source V through a resistor R, the voltage of the A capacitor X is Vc, and the capacitor correspondingly drops along with the increase of the Vc. Vc is also called a dc bias voltage Vc as a voltage value of a voltage source, that is, a voltage value of a dc bias circuit.
Preferably, the first capacitance X is realized by a multilayer ceramic capacitor, in particular a capacitor of X7R dielectric. Since the dielectric material is a ceramic material, such capacitors can be used at the high frequencies of wireless charging. The capacitance value of the multilayer ceramic capacitor can be changed along with the change of the voltage of the direct current bias circuit (direct current bias voltage for short).
The second capacitor Y is different from the first capacitor X, and is a capacitor insensitive to dc bias, and its function in the circuit is to isolate dc current. The whole circuit structure is equivalent to a capacitance value adjustable compensation capacitor, connecting terminals serving as the compensation capacitors are m and n, the capacitance value of the total capacitance value C is determined by the series capacitance of a capacitor A X and a capacitor B Y, namely C = (Cx + Cy)/(Cx 8729and Cy), wherein Cx is the capacitance value of the capacitor A X, and Cy is the capacitance value of the capacitor B Y. And Cy is far larger than Cx, so that the total capacitance value C of the compensation capacitor is closer to Cx. For the compensation capacitor, the dc bias circuit changes the dc bias voltage Vc at the two ends of the first capacitor X to obtain different equivalent capacitance values, thereby realizing continuous adjustment of the capacitance values through voltage control, and the two ends of the voltage source V have adjustment ports for the receivingend adjustment circuit 26 or the transmittingend adjustment circuit 16 to connect, so as to receive control signals to adjust the voltage, and realize adjustment of the capacitance values of the compensation capacitor.
The construction, features and functions of the present invention are described in detail in the embodiments illustrated in the drawings, which are only preferred embodiments of the present invention, but the present invention is not limited by the drawings, and all equivalent embodiments modified or changed according to the idea of the present invention should fall within the protection scope of the present invention without departing from the spirit of the present invention covered by the description and the drawings.

Claims (5)

1. An adaptive wireless charging system comprises a transmitting terminal and a receiving terminal, and is characterized in that,
the transmitting terminal comprises a power supply (11), an inverter (12), a transmitting coil (13) and a transmitting terminal compensation network (14), and further comprises:
a transmitting end sampling circuit (15) which is connected to the output side of the inverter (12) and samples the output voltage U1 and the output current If of the inverter (12);
the transmitting end adjusting circuit (16) is connected with the transmitting end compensation network (14), and the transmitting end compensation network (14) comprises a transmitting end first compensation capacitor (141) and a transmitting end second compensation capacitor (142);
the transmitting end communication controller (17) is respectively connected with the transmitting end sampling circuit (15) and the transmitting end adjusting circuit (16);
comparing the output current If And an output voltage U1 The control voltage of the control ends of the first compensation capacitor (141) and the second compensation capacitor (142) of the transmitting end is continuously controlled by the transmitting end communication controller (17) through the transmitting end adjusting circuit (16) according to the phase difference;
the receiving end includes: load, filter (21), rectifier (22), receiving coil (23) and receiving terminal compensation network (24), still include:
the receiving end sampling circuit (25) is connected to the input side of the rectifier (22) and used for acquiring the input voltage U2 and the input current Ig of the rectifier (22), and is also connected to the input side of the load and used for acquiring the charging voltage and the charging current of the load;
the receiving end adjusting circuit (26) is connected with the receiving end compensation network (24), and the receiving end compensation network (24) comprises a receiving end first compensation capacitor (241) and a receiving end second compensation capacitor (242);
the receiving end communication controller (27) is respectively connected with the receiving end sampling circuit (25) and the receiving end adjusting circuit (26);
comparing the phase difference between the input current Ig and the input voltage U2, and continuously controlling the control voltage of the control end of a first compensation capacitor (241) of the receiving end and a second compensation capacitor (242) of the receiving end through a receiving end adjusting circuit (26) by a receiving end communication controller (27) according to the phase difference;
the transmitting end compensation network (14) and the receiving end compensation network (24) are respectively provided with a capacitance value adjustable compensation capacitor;
the transmitting end communication controller (17) is in signal communication with the receiving end communication controller (27);
the receiving end further comprises: a first switch (S1), a second switch (S2) and a protection circuit (29);
the first switch (S1) is connected between the receiving end adjusting circuit (26) and the capacitance value adjustable compensation capacitor;
the second switch (S2) is connected before the load;
the protection circuit (29) is respectively in signal communication with the first switch (S1) and the second switch (S2) and controls the on-off states of the first switch (S1) and the second switch (S2); the protection circuit (29) samples the voltages at two ends of the first compensation capacitor (241) and the second compensation capacitor (242) of the receiving end, and when the voltages at two ends of the first compensation capacitor (241) of the receiving end are in a normal state, the protection circuit outputs a signal to close the first switch (S1); -opening the second switch (S2); when the voltage at the two ends (241) of the first compensation capacitor at the receiving end or the voltage at the two ends (242) of the second compensation capacitor at the receiving end rises to exceed the preset voltage, the voltage stabilizing diode acts due to overvoltage, and the circuit enables the first switch (S1) to be switched off and the second switch (S2) to be switched on.
2. The adaptive wireless charging system of claim 1,
the transmitting end further comprises: a transmitting end driving circuit (18) connected with the inverter (12) and connected with the transmitting end communication controller (17);
the receiving end further includes: and the receiving end driving circuit (28) is connected with the rectifier (22) and is connected with the receiving end communication controller (27).
3. The adaptive wireless charging system of claim 1,
the transmitting-side compensation network (14) further has: a transmitting end compensation inductance (143);
the receiving-end compensation network (24) further has: a receiving-end compensation inductance (243);
the transmitting end compensation network (14) and the receiving end compensation network (24) are both LCC type compensation networks.
4. The adaptive wireless charging system of claim 3,
the transmitting end compensation network (14) and the transmitting coil (13) form a transmitting resonant network;
the receiving end compensation network (24) and the receiving coil (23) form a receiving resonant network;
resonance frequency f of the transmitting resonant network and the receiving resonant network in a resonant state0 Comprises the following steps:
Figure DEST_PATH_IMAGE001
wherein,
Lf0 is an inductance value of the transmitting end compensation inductance (143) in a resonance state;
Lp0 is the inductance value of the transmitting coil (13) in the resonance state;
Cf0 is the capacitance value of the first compensation capacitor (141) at the transmitting end in the resonance state;
Cp0 is the capacitance value of the second compensation capacitor (142) at the transmitting end in the resonance state;
Lg0 is the inductance value of the receiving end compensation inductance (243) in the resonance state;
Ls0 is the inductance value of the receiving coil (23) in the resonance state;
Cg0 is the capacitance value of the first compensation capacitor (241) of the receiving end in the resonance state;
Cs0 is the capacitance value of the second compensation capacitor (242) at the resonance state.
5. The adaptive wireless charging system of claim 1 or 4,
the capacitance value adjustable compensation capacitor comprises:
the capacitor A, the capacitor B and the direct current bias circuit;
the capacitor A and the capacitor B are connected in series, and the direct current bias circuit is connected with the capacitor A in parallel;
the direct current bias circuit comprises a voltage source (V) and a resistor (R) which are connected in series; the voltage value of the voltage source (V) is adjustable;
the capacitance value of the second capacitor (Y) is larger than that of the first capacitor (X).
CN202210083169.2A2022-01-252022-01-25Self-adaptive wireless charging systemActiveCN114123437B (en)

Priority Applications (1)

Application NumberPriority DateFiling DateTitle
CN202210083169.2ACN114123437B (en)2022-01-252022-01-25Self-adaptive wireless charging system

Applications Claiming Priority (1)

Application NumberPriority DateFiling DateTitle
CN202210083169.2ACN114123437B (en)2022-01-252022-01-25Self-adaptive wireless charging system

Publications (2)

Publication NumberPublication Date
CN114123437A CN114123437A (en)2022-03-01
CN114123437Btrue CN114123437B (en)2023-03-17

Family

ID=80361038

Family Applications (1)

Application NumberTitlePriority DateFiling Date
CN202210083169.2AActiveCN114123437B (en)2022-01-252022-01-25Self-adaptive wireless charging system

Country Status (1)

CountryLink
CN (1)CN114123437B (en)

Families Citing this family (2)

* Cited by examiner, † Cited by third party
Publication numberPriority datePublication dateAssigneeTitle
CN115986960B (en)*2023-02-152023-11-10合肥有感科技有限责任公司Wireless charging system configuration method
WO2025179583A1 (en)*2024-03-012025-09-04荣耀终端股份有限公司Wireless power receiving circuit, electronic device and wireless charging system

Family Cites Families (5)

* Cited by examiner, † Cited by third party
Publication numberPriority datePublication dateAssigneeTitle
CN103746462B (en)*2013-07-112016-01-20重庆米亚车辆技术有限公司A kind of bilateral LCC compensating network for wireless power transmission and tuning methods thereof
WO2016153589A2 (en)*2015-01-232016-09-29Battelle Memorial InstituteUnderwater power and data transfer system
CN110808625B (en)*2019-10-302021-07-16华为技术有限公司 A wireless charging receiver, system and control method
CN111835092B (en)*2020-07-272021-05-18北京理工大学 A bilateral LCC compensation network adjustment method and system for a wireless charging system
CN112104100A (en)*2020-09-072020-12-18北京有感科技有限责任公司Adjustable wireless charging system

Also Published As

Publication numberPublication date
CN114123437A (en)2022-03-01

Similar Documents

PublicationPublication DateTitle
US10923958B2 (en)Power transmitter, resonance-type contactless power supply and control method thereof
CN108471173B (en) Wireless energy transmission system with both constant voltage and constant current output
CN114123437B (en)Self-adaptive wireless charging system
CN110277820B (en) A parameter self-adjusting wireless charging system based on LCC compensation network
US9088307B2 (en)Non-resonant and quasi-resonant system for wireless power transmission to multiple receivers
EP3787170A1 (en)Dcdc converter, vehicle-mounted charger and electric vehicle
KR102110846B1 (en)An apparatus and a method for wireless transmission of power between dc voltage sources
US10601248B2 (en)Resonance-type contactless power supply, integrated circuit and constant voltage controlling method therefor
EP2302760A2 (en)Automatic method for controlling a high-frequency inductive coupling power transfer system
EP2880740B1 (en)System and method for controlling resonant wireless power source
CN109274273A (en)Multiple Output Flyback Converter, motor driver and new-energy automobile
CN114448108A (en)Phase adaptive wireless charging method
US20180269726A1 (en)Inductive Power Transmitter
US20220149660A1 (en)Wireless power supply unit and power reception module
CN114123436B (en)Inductance deviation self-adaptive wireless charging method
EP2306611A2 (en)High-frequency inductive coupling power transfer system and associated method
WO2004091069A1 (en)Decoupling circuits
CN114498957A (en)Self-adaptive wireless charging receiving terminal
CN218498879U (en)Self-adaptive wireless charging transmitting terminal
CN219145106U (en)Voltage-controlled capacitor and wireless charging system with voltage-controlled capacitor
US20220376551A1 (en)Wireless Power Transmitter and Receiver
CN112994183B (en) A Maximum Efficiency Point Tracking Phase-controlled Capacitive Resonant Adaptive Wireless Charging System
CN115224819A (en)Scalable high-efficiency wireless power transfer system and method employing modules with magnetic coupling
WO2017078543A1 (en)Inductive power receiver
US12283826B2 (en)Power receiving device and wireless power transfer system

Legal Events

DateCodeTitleDescription
PB01Publication
PB01Publication
SE01Entry into force of request for substantive examination
SE01Entry into force of request for substantive examination
GR01Patent grant
GR01Patent grant

[8]ページ先頭

©2009-2025 Movatter.jp