Movatterモバイル変換


[0]ホーム

URL:


CN114119680B - Image acquisition method and device, electronic equipment and storage medium - Google Patents

Image acquisition method and device, electronic equipment and storage medium
Download PDF

Info

Publication number
CN114119680B
CN114119680BCN202111056022.6ACN202111056022ACN114119680BCN 114119680 BCN114119680 BCN 114119680BCN 202111056022 ACN202111056022 ACN 202111056022ACN 114119680 BCN114119680 BCN 114119680B
Authority
CN
China
Prior art keywords
image
depth
infrared
color image
color
Prior art date
Legal status (The legal status is an assumption and is not a legal conclusion. Google has not performed a legal analysis and makes no representation as to the accuracy of the status listed.)
Active
Application number
CN202111056022.6A
Other languages
Chinese (zh)
Other versions
CN114119680A (en
Inventor
化雪诚
户磊
刘祺昌
王海彬
李东洋
Current Assignee (The listed assignees may be inaccurate. Google has not performed a legal analysis and makes no representation or warranty as to the accuracy of the list.)
Hefei Dilusense Technology Co Ltd
Original Assignee
Hefei Dilusense Technology Co Ltd
Priority date (The priority date is an assumption and is not a legal conclusion. Google has not performed a legal analysis and makes no representation as to the accuracy of the date listed.)
Filing date
Publication date
Application filed by Hefei Dilusense Technology Co LtdfiledCriticalHefei Dilusense Technology Co Ltd
Priority to CN202111056022.6ApriorityCriticalpatent/CN114119680B/en
Publication of CN114119680ApublicationCriticalpatent/CN114119680A/en
Application grantedgrantedCritical
Publication of CN114119680BpublicationCriticalpatent/CN114119680B/en
Activelegal-statusCriticalCurrent
Anticipated expirationlegal-statusCritical

Links

Images

Classifications

Landscapes

Abstract

The embodiment of the invention relates to the field of image processing, and discloses an image acquisition method, an image acquisition device, electronic equipment and a storage medium, wherein the method comprises the following steps: acquiring a depth image, an infrared image and a color image of a target area; acquiring a transmission transformation matrix for aligning the depth image and the infrared image to the color image; and performing transmission transformation on the depth image and the infrared image according to the transmission transformation matrix to obtain the depth image and the infrared image which are aligned with the color image pixels. The obtained transmission transformation matrix is used for carrying out transmission transformation on the depth image and the infrared image to obtain the depth image and the infrared image which are aligned with the pixels of the color image, so that the pixel-by-pixel calculation during pixel alignment is avoided, the calculation amount is reduced, the pixel alignment process is simplified, the accuracy is ensured, and the pixel alignment efficiency is improved.

Description

Image acquisition method and device, electronic equipment and storage medium
Technical Field
The present invention relates to the field of image processing, and in particular, to an image acquisition method and apparatus, an electronic device, and a storage medium.
Background
With the rapid development of the deep learning related technology, the depth three-dimensional information becomes a key data in the technical field of artificial intelligence, and the depth three-dimensional information of the target object can be acquired, such as: the application of scenes such as distance measurement, three-dimensional modeling, man-machine interaction and the like. With the development and application of the artificial intelligence related technology, particularly the increase of the use scenes of human-computer interaction, the requirements of numerous applications are difficult to meet only by means of depth information, so that a mode of combining color information, infrared information and depth information appears, and the application of a depth camera is enriched. In an application scene with high safety and high complexity requirements such as face brushing payment, identity authentication, authority identification and the like, pixel alignment needs to be carried out on color images, infrared images and depth images, and in order to guarantee the pixel alignment effect, the coordinates of the color images, the infrared images and the depth images after pixel alignment are calculated pixel by pixel according to internal and external parameters of a camera, so that the pixel alignment of the color images, the infrared images and the depth images is realized.
However, in the process of pixel alignment of a plurality of images, the conventional pixel alignment method has complex calculation, takes long time, and has low pixel alignment efficiency, so how to efficiently and quickly realize pixel alignment of an infrared image, a depth image and a color image becomes a problem which needs to be solved urgently.
Disclosure of Invention
Embodiments of the present invention provide an image acquisition method, an image acquisition apparatus, an electronic device, and a storage medium, which simplify a pixel alignment process of a depth image, an infrared image, and a color image, and improve pixel alignment efficiency on the basis of ensuring pixel alignment accuracy as much as possible.
In order to solve the above technical problem, an embodiment of the present invention provides an image acquisition method, including: acquiring a depth image, an infrared image and a color image of a target area; acquiring a transmission transformation matrix for aligning the depth image and the infrared image to the color image; and performing transmission transformation on the depth image and the infrared image according to the transmission transformation matrix to obtain the depth image and the infrared image which are aligned with the color image pixels.
In order to solve the above technical problem, an embodiment of the present invention further provides an image capturing apparatus, including: the acquisition module is used for acquiring a depth image, an infrared image and a color image of a target area; the determining module is used for acquiring a transmission transformation matrix of aligning the depth image and the infrared image to the color image; and the alignment module is used for performing transmission transformation on the depth image and the infrared image according to the transmission transformation matrix to obtain the depth image and the infrared image which are aligned with the color image pixels.
In order to solve the above technical problem, an embodiment of the present invention further provides an electronic device, including: at least one processor; and a memory communicatively coupled to the at least one processor; the memory stores instructions executable by the at least one processor, and the instructions are executed by the at least one processor to enable the at least one processor to execute the image acquisition method.
To solve the above technical problem, an embodiment of the present invention further provides a computer-readable storage medium storing a computer program, which when executed by a processor implements the above image capturing method.
The image acquisition method provided by the embodiment of the invention has the advantages that after the depth image, the infrared image and the color image which need to be subjected to pixel alignment are acquired, a transmission transformation matrix for aligning the depth image and the infrared image to a color image is acquired, and the depth image and the infrared image are subjected to transmission transformation according to the transmission transformation matrix to obtain the depth image and the infrared image which are aligned with the color image pixels, the pixel alignment of the depth image, the infrared image and the color image is realized by utilizing the transmission transformation matrix to carry out transmission transformation on the depth image and the infrared image, the coordinate of each pixel of the depth image and the infrared image after being aligned with the color image pixel is avoided from being calculated pixel by pixel, the calculation amount is greatly reduced, the pixel alignment process is simplified, the efficiency of aligning the pixels of the depth image, the infrared image and the color image is improved on the basis of ensuring the accuracy of pixel alignment.
Drawings
One or more embodiments are illustrated by way of example in the accompanying drawings, which correspond to the figures in which like reference numerals refer to similar elements and which are not to scale unless otherwise specified.
FIG. 1 is a flow chart of an image acquisition method provided by an embodiment of the present invention;
FIG. 2 is a schematic diagram of a color image cropping method according to an embodiment of the present invention;
FIG. 3 is a schematic structural diagram of an image capturing device according to another embodiment of the present invention;
fig. 4 is a schematic structural diagram of an electronic device according to another embodiment of the present invention.
Detailed Description
As can be seen from the background art, the existing pixel alignment method for multiple images has complex calculation, long time consumption, and low pixel alignment efficiency during the pixel alignment process, so how to efficiently and quickly align the pixels of the infrared image, the depth image, and the color image becomes a problem that needs to be solved urgently.
In order to achieve the purpose of further improving the pixel alignment efficiency of the infrared image, the depth image and the color image, an embodiment of the present invention provides an image acquisition method, including: acquiring a depth image, an infrared image and a color image of a target area; acquiring a transmission transformation matrix of aligning the depth image and the infrared image to the color image; and performing transmission transformation on the depth image and the infrared image according to the transmission transformation matrix to obtain the depth image and the infrared image which are aligned with the color image pixels.
The image acquisition method provided by the embodiment of the invention has the advantages that after the depth image, the infrared image and the color image which need to be subjected to pixel alignment are acquired, a transmission transformation matrix for aligning the depth image and the infrared image to a color image is acquired, and the depth image and the infrared image are subjected to transmission transformation according to the transmission transformation matrix to obtain the depth image and the infrared image which are aligned with the color image pixels, the pixel alignment of the depth image, the infrared image and the color image is realized by utilizing the transmission transformation matrix to carry out transmission transformation on the depth image and the infrared image, the coordinate of each pixel of the depth image and the infrared image after being aligned with the color image pixel is avoided from being calculated pixel by pixel, the calculation amount is greatly reduced, the pixel alignment process is simplified, the efficiency of aligning the pixels of the depth image, the infrared image and the color image is improved on the basis of ensuring the accuracy of pixel alignment.
In order to make the objects, technical solutions and advantages of the embodiments of the present invention more apparent, embodiments of the present invention will be described in detail below with reference to the accompanying drawings. However, it will be appreciated by those of ordinary skill in the art that numerous technical details are set forth in order to provide a better understanding of the present application in various embodiments of the present invention. However, the technical solution claimed in the present application can be implemented without these technical details and various changes and modifications based on the following embodiments. The following embodiments are divided for convenience of description, and should not constitute any limitation to the specific implementation manner of the present invention, and the embodiments may be mutually incorporated and referred to without contradiction.
The following embodiments are provided to describe the implementation details of the image capturing method in detail, and the following embodiments are only provided to facilitate understanding of the implementation details and are not necessary to implement the present invention.
In a specific application, the image acquisition method is applied to electronic devices such as a camera, a terminal, a robot, and the like capable of acquiring multiple images, and this embodiment is described by taking a camera applied to acquiring multiple images as an example, and the image acquisition process is described with reference to fig. 1, and includes the following steps:
step 101, obtaining a depth image, an infrared image and a color image of a target area.
Specifically, when a camera for acquiring a face image in a scene of face recognition or security authentication receives a service request, a control processing module of the camera synchronously controls an RGB camera (color camera) and a depth camera to perform image shooting on a specified target area according to preset working states and parameters, and acquires a depth image, an infrared image and a color image of the target area, wherein the depth image and the infrared image are shot by the depth camera, and the color image is shot by the RGB camera.
In addition, after the depth image, the infrared image and the color image of the target area are acquired, the control processing module of the camera also adjusts the color image in advance for the alignment effect, and adjusts the size of the color image to the size matched with the depth image or the infrared image. As shown in fig. 2, the image adjustment diagram of the color image is that the depth image and the infrared image are acquired by the depth camera, the color image is acquired by the RGB camera, and the field angle (FOV) of the image thumbnail (RAW image) of the color image acquired by the RGB camera is far beyond the field angle of the image thumbnail of the infrared image and the depth image acquired by the depth camera, so that the color image needs to be adjusted to an image in a common area with the field angle of the infrared image or the depth image for the alignment effect. For example, the resolution of the infrared and depth images is 400px 640px, the field angle is V50.3 × H73.9, the resolution of the color image is 540px 960px, the field angle is V56.8 × H88.16; the aim of pixel alignment is to align the color image, the infrared image and the depth image into an image with a resolution of 480px 768px, the control processing module firstly cuts and scales the color image according to preset adjustment rules and internal parameters of the camera, and adjusts the color image into an image with a resolution of 466px 746px and a field angle of V50 × H75, so that the color image is adjusted into an image matched with the field angles of the depth image and the infrared image, and the three images are conveniently aligned into an image with a resolution of 480px 768 px. The color image is adjusted into an image matched with the depth image and the infrared image by adjusting the image of the color image, and the effect and the efficiency of subsequent pixel alignment are ensured by utilizing the preprocessing of the image.
And 102, acquiring a transmission transformation matrix for aligning the depth image and the infrared image to the color image.
Specifically, after the depth image, the infrared image and the color image are acquired, a control processing module of the camera acquires a transmission transformation matrix for aligning the depth image and the infrared image to the color image by reading or calculating.
In one example, a control processing module of a camera acquires a transmission transformation matrix for aligning a depth image and an infrared image to a color image, comprising: selecting a plurality of feature points in the depth image, and acquiring a first pixel coordinate of each feature point in the depth image; acquiring a coordinate transformation matrix, and acquiring second pixel coordinates of each characteristic point in the color image according to the coordinate transformation matrix and the first pixel coordinates of each characteristic point; acquiring a transmission transformation matrix according to the first pixel coordinate and the second pixel coordinate; the coordinate transformation matrix is obtained according to an internal reference matrix of the depth camera for obtaining the depth image and the infrared image, an internal reference matrix of the color camera for obtaining the color image and a rotation and translation matrix between the depth camera and the color camera. According to the first pixel coordinates of each feature point in the depth image and the coordinate transformation matrix containing the internal and external parameters of the depth camera and the color camera, the second pixel coordinates of each feature point in the color image are calculated, the accuracy of coordinate transformation between the first pixel coordinates and the second pixel coordinates is guaranteed, and the accuracy of the generated transmission transformation matrix is further guaranteed.
Further, the control processing module of the camera selects a plurality of feature points in the depth image, including: taking the center of the depth image as the center of the polygon frame, and searching the polygon frame in the depth image according to the preset initial side length and the side length increasing step length until a target polygon frame meeting the conditions is searched; the condition is that the depth values of all the vertexes of the polygon frame searched currently are not zero; and taking a plurality of vertexes of the target polygon frame as each feature point of the depth image. For example, when the feature point is selected, the control processing module uses the center of the depth image as the center of the square frame, uses 10px as the initial side length, and the side length increasing step length of 10px searches the square frame in the depth image, when the depth values of 4 vertexes of the initial square frame with the side length of 10px are not zero, uses the initial square frame as the target square frame, uses 4 vertexes of the initial square frame as 4 feature points, and stops the polygon frame search; when a vertex with a depth value of 0 exists in 4 vertexes of an initial square frame with a side length of 10px, detecting the depth value of the vertex of the square frame with a side length of 20px with the center of the depth image as the center, if the depth values of the 4 vertexes of the square frame with a side length of 20px are not zero, using the square frame with a side length of 20px as a target square frame, using the 4 vertexes of the square frame with a side length of 20px as 4 feature points, stopping the polygon frame search, detecting the depth value of the vertex of the square frame with a side length of 30px with the center of the depth image as the center when the vertex with a depth value of 0 exists in the 4 vertexes of the initial square frame with a side length of 20px, and so on until a target square frame satisfying the condition is detected, and using the vertex of the target square frame as the feature point. By means of searching out the target polygon frame by taking the center of the depth image as the center to obtain the feature points, the feature point obtaining efficiency is guaranteed, meanwhile, the fact that the obtained feature points cannot be used for subsequent coordinate calculation is avoided, and accuracy and success rate of image alignment are guaranteed.
When feature points are selected in the depth image, the searched polygon frame has more than 4 vertexes, the specific type of the polygon frame is not limited, meanwhile, the length of the side increase step can be adjusted according to needs, and the specific limitation is not also imposed by the embodiment.
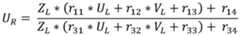
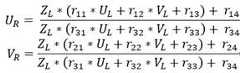
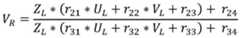
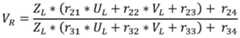
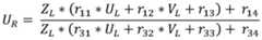
Further, a control processing module in the camera calculates second pixel coordinates of each characteristic point in the color image according to the coordinate transformation matrix and the first pixel coordinates of each characteristic point; the method comprises the following steps: calculating a second pixel coordinate (U) of each feature point according to the following formulaR ,VR ):
Figure BDA0003254625540000051
Figure BDA0003254625540000052
Wherein r isij For the elements of the ith row and ith column in the coordinate transformation matrix, ZL As depth values of feature points, UL Is the abscissa, V, of the first pixel coordinateL Is the ordinate of the first pixel coordinate. Taking the searched target polygon as a square as an example, the first pixel coordinates of four feature points acquired in the depth image are (U) respectivelyL1 ,VL1 )、(UL2 ,VL2 )、(UL3 ,VL3 ) And (U)L4 ,VL4 ) The depth value corresponding to each feature point is ZL1 、ZL2 、,ZL3 And ZL4 The coordinate transformation matrix R obtained from the internal reference matrix of the depth camera, the internal reference matrix of the color camera and the rotational translation matrix between the depth camera and the color camera is as follows:
Figure BDA0003254625540000053
wherein r isij The parameters of the ith row and the ith column of the coordinate transformation matrix are calculated according to the internal reference matrix of the depth camera, the internal reference matrix of the color camera and the rotation translation matrix between the depth camera and the color camera. According to the initial calculation formula of coordinate conversion and the first pixel coordinate (U) of each feature point in the depth imageL ,VL ) Calculating the second pixel coordinate (U) of each feature point in the color imageR ,VR ):
Figure BDA0003254625540000061
Wherein Z isL For depth values of feature points in the depth image, ZR For the depth value of the feature point in the color image, the initial calculation formula is simplified to obtain the following formula:
Figure BDA0003254625540000062
Figure BDA0003254625540000063
therefore, the control processing module can directly calculate the second pixel coordinates (U) of the four feature points in the color image according to the formulaR1 ,VR1 )、(UR2 ,VR2 )、(UR3 ,VR3 ) And (U)R4 ,VR4 ). The simplified formula is directly used for calculating the second pixel coordinate, so that excessive calculation data are avoided, the calculation process is simplified, and the efficiency of acquiring the second pixel coordinate is improved on the basis of ensuring the accuracy of the sitting standard conversion.
In addition, when the control processing module calculates the second pixel coordinate, the calculation formula of the second pixel coordinate may be directly read from its own storage module for calculation, or the calculation formula of the second pixel coordinate is obtained from a storage device connected to the control processing module through communication interaction for calculation, or the calculation formula of the second pixel coordinate is calculated by the control processing module in real time according to the internal and external parameters of the camera, which is not limited in this embodiment.
And 103, performing transmission transformation on the depth image and the infrared image according to the transmission transformation matrix to obtain the depth image and the infrared image which are aligned with the color image pixels.
Specifically, after acquiring a transmission transformation matrix for aligning the infrared image and the depth image to the color image, the control processing module of the camera performs transmission transformation on the depth image and the infrared image according to the transmission transformation matrix to acquire the depth image and the infrared image aligned with the color image pixel, that is, the control processing module rotates and translates the depth image and the infrared image according to the transmission transformation matrix to align each pixel point of the depth image and the infrared image with each pixel point of the color image, so as to acquire the color image, the depth image and the infrared image with consistent resolution and view angle.
In another example, the control processing module of the camera, after obtaining the depth image and the infrared image aligned with the color image pixels, further includes: and carrying out face detection on the color image and the infrared image after pixel alignment, and adjusting the exposure and gain in the process of acquiring the infrared image or the color image according to the result of the face detection. The infrared image and the color image which are aligned in pixels are respectively subjected to face detection, and exposure and gain adjustment in the image acquisition process are carried out according to the face detection result, so that the quality of the obtained image face area can be accurately improved.
Further, the control processing module of the camera adjusts exposure and gain in the process of acquiring the infrared image or the color image according to the result of the face detection, and comprises the following steps: under the condition that the infrared image and the color image can both detect the human face and the overlapping degree of the human face frame of the infrared image and the human face frame of the color image does not meet a preset threshold, adjusting exposure and gain in the process of acquiring the infrared image or the color image according to the detection result of the human face confidence coefficient; and under the condition that the infrared image and the color image can not detect the human face, calculating the target brightness of the other image according to the coordinate information of the human face frame of the image capable of detecting the human face, and adjusting the exposure and the gain in the process of acquiring the other image according to the target brightness.
Specifically, after face detection is performed on a color image and an infrared image, and a face can be detected in both the infrared image and the color image, then the overlapping degree (IOU) of face frames in the two images is detected, when the IOU meets a preset threshold value, the environment is determined to be normal, the quality of the two images is also high, exposure and gain are not adjusted, when the IOU does not meet the preset threshold value, the image with poor image quality is determined to exist, face confidence detection is performed on the face in the two images, and the exposure and gain in the infrared image or the color image acquisition process are adjusted according to the face confidence detection result. When the human face is not detected in the infrared image and the color image, the problem that the image quality of the image in which the human face cannot be detected is low is judged, calculating the brightness of the face area in the image according to the face frame coordinate information of the image capable of detecting the face, and the calculated brightness value is taken as the target brightness of the face region of the image with lower image quality, the exposure and gain during image acquisition are adjusted according to the brightness of the target, e.g., a color image can detect a human face, an infrared image cannot detect a human face, because the pixels are aligned, the pixels of all pixel points in the face frame are superposed to obtain the brightness of the face area according to the coordinate information of the face frame in the color image, the obtained face area brightness is used as the target brightness of the face area of the infrared image, and exposure and gain in the infrared image acquisition process are adjusted according to the target brightness; and when the color image cannot detect the face, superposing pixels of all pixel points in the face frame according to coordinate information of the face frame in the infrared image to obtain face region brightness, taking the obtained face region brightness as target brightness of the face region of the color image, and adjusting exposure and gain in the color image acquisition process according to the target brightness. According to the detection result of the face region, exposure and gain in the image acquisition process with low image quality are accurately adjusted, the quality of the face region in the obtained image can be effectively improved, and the accuracy of face recognition is improved conveniently.
Furthermore, the control processing module of the camera adjusts exposure and gain in the process of acquiring the infrared image or the color image according to the detection result of the face confidence, and comprises the following steps: taking the image to which the face with high confidence coefficient belongs as a first image, and taking the image to which the face with low confidence coefficient belongs as a second image; and calculating a target brightness value of the second image according to the coordinate information of the face frame in the first image, and adjusting exposure and gain in the second image acquisition process according to the target brightness value. For example, if the confidence level of the face detected in the infrared image is lower than the confidence level of the face detected in the color image, the color image is used as a first image, the infrared image is used as a second image, the brightness of the face region in the color image is calculated according to the coordinate information of the face frame in the color image, the calculated brightness value is used as the target brightness value of the face region in the infrared image, and the exposure and the gain in the infrared image acquisition process are adjusted. By taking the face with high confidence as the correct face, the exposure and the gain in the image acquisition process with low confidence of the detected face are adjusted, so that the face quality of the acquired image is accurately improved, and the accurate face recognition is facilitated.
In addition, under the condition that human faces are detected in both the color image and the infrared image, the control processing module judges that no human face exists in the field angle, and does not adjust exposure and gain, so that the influence on the normal use of the camera is avoided.
Another aspect of the embodiments of the present invention provides an image capturing apparatus, with reference to fig. 3, including:
an acquiringmodule 301, configured to acquire a depth image, an infrared image, and a color image of a target area.
And a determiningmodule 302, configured to acquire a transmission transformation matrix for aligning the depth image and the infrared image to the color image.
And thealignment module 303 is configured to perform transmission transformation on the depth image and the infrared image according to the transmission transformation matrix, and acquire the depth image and the infrared image aligned with the color image pixel.
It should be understood that the present embodiment is an apparatus embodiment corresponding to the method embodiment, and the present embodiment can be implemented in cooperation with the method embodiment. The related technical details mentioned in the method embodiment are still valid in this embodiment, and are not described herein again in order to reduce repetition. Accordingly, the related art details mentioned in the present embodiment can also be applied in the method embodiment.
It should be noted that, all the modules involved in this embodiment are logic modules, and in practical application, one logic unit may be one physical unit, may also be a part of one physical unit, and may also be implemented by a combination of multiple physical units. In addition, in order to highlight the innovative part of the present invention, a unit which is not so closely related to solve the technical problem proposed by the present invention is not introduced in the present embodiment, but this does not indicate that there is no other unit in the present embodiment.
Another aspect of the embodiments of the present application further provides an electronic device, with reference to fig. 4, including: at least oneprocessor 401; and amemory 402 communicatively coupled to the at least oneprocessor 401; thememory 402 stores instructions executable by the at least oneprocessor 401, and the instructions are executable by the at least oneprocessor 401 to enable the at least oneprocessor 401 to perform the image capturing method described in any of the above method embodiments.
Where thememory 402 and theprocessor 401 are coupled by a bus, which may include any number of interconnected buses and bridges that couple one or more of the various circuits of theprocessor 401 and thememory 402 together. The bus may also connect various other circuits such as peripherals, voltage regulators, power management circuits, and the like, which are well known in the art, and therefore, will not be described any further herein. A bus interface provides an interface between the bus and the transceiver. The transceiver may be one element or a plurality of elements, such as a plurality of receivers and transmitters, providing a means for communicating with various other apparatus over a transmission medium. The data processed by theprocessor 401 may be transmitted over a wireless medium via an antenna, which may receive the data and transmit the data to theprocessor 401.
Theprocessor 401 is responsible for managing the bus and general processing and may provide various functions including timing, peripheral interfaces, voltage regulation, power management, and other control functions. Andmemory 402 may be used to store data used byprocessor 401 in performing operations.
Embodiments of the present invention also provide a computer-readable storage medium storing a computer program. The computer program realizes the above-described method embodiments when executed by a processor.
That is, as can be understood by those skilled in the art, all or part of the steps in the method for implementing the embodiments described above may be implemented by a program instructing related hardware, where the program is stored in a storage medium and includes several instructions to enable a device (which may be a single chip, a chip, or the like) or a processor (processor) to execute all or part of the steps of the method described in the embodiments of the present application. And the aforementioned storage medium includes: a U-disk, a removable hard disk, a Read-Only Memory (ROM), a Random Access Memory (RAM), a magnetic disk or an optical disk, and other various media capable of storing program codes.
It will be understood by those of ordinary skill in the art that the foregoing embodiments are specific examples for carrying out the present application, and that various changes in form and details may be made therein without departing from the spirit and scope of the present application in practice.

Claims (8)

1. An image acquisition method, comprising:
acquiring a depth image, an infrared image and a color image of a target area;
acquiring a transmission transformation matrix for aligning the depth image and the infrared image to the color image;
performing transmission transformation on the depth image and the infrared image according to the transmission transformation matrix to obtain the depth image and the infrared image which are aligned with the color image pixels;
after obtaining the depth image and the infrared image which are aligned with the color image pixels, the method further comprises:
carrying out face detection on the color image and the infrared image after the pixels are aligned, and adjusting the exposure and gain of the infrared image or the color image in the acquisition process according to the result of the face detection;
the adjusting of the exposure and the gain in the process of acquiring the infrared image or the color image according to the result of the face detection comprises the following steps:
under the condition that the infrared image and the color image can both detect human faces and the overlapping degree of the human face frame of the infrared image and the human face frame of the color image does not meet a preset threshold, adjusting exposure and gain in the process of acquiring the infrared image or the color image according to a human face confidence detection result;
and under the condition that the infrared image and the color image can not detect the human face, calculating the target brightness of the other image according to the coordinate information of the human face frame of the image capable of detecting the human face, and adjusting the exposure and the gain in the process of acquiring the other image according to the target brightness.
2. The image acquisition method of claim 1, wherein said acquiring the depth image and the infrared image aligned to a transmission transformation matrix of the color image comprises:
selecting a plurality of characteristic points in the depth image, and acquiring first pixel coordinates of the characteristic points in the depth image;
acquiring a coordinate transformation matrix, and acquiring second pixel coordinates of each characteristic point in the color image according to the coordinate transformation matrix and the first pixel coordinates of each characteristic point;
acquiring the transmission transformation matrix according to the first pixel coordinate and the second pixel coordinate;
the coordinate transformation matrix is obtained according to an internal reference matrix of a depth camera for obtaining the depth image and the infrared image, an internal reference matrix of a color camera for obtaining the color image, and a rotation and translation matrix between the depth camera and the color camera.
3. The image acquisition method according to claim 2, wherein a second pixel coordinate of each of the feature points in the color image is acquired based on the coordinate transformation matrix and the first pixel coordinate of each of the feature points; the method comprises the following steps: calculating the second pixel coordinate (U) of each of the feature points according to the following formulaR ,VR ):
Figure 841046DEST_PATH_IMAGE001
Wherein r isij For the element in the ith row and jth column of the coordinate transformation matrix, ZL As depth values of said feature points, UL Is the abscissa, V, of said first pixel coordinateL Is the ordinate of the first pixel coordinate.
4. The image acquisition method according to claim 2, wherein the selecting a plurality of feature points in the depth image comprises:
taking the center of the depth image as the center of a polygon frame, and searching the polygon frame in the depth image according to a preset initial side length and a side length increasing step length until a target polygon frame meeting the condition is searched; wherein the condition is that the depth values of all the vertexes of the currently searched polygon frame are not zero;
and taking a plurality of vertexes of the target polygon frame as each feature point of the depth image.
5. The image acquisition method according to claim 1, wherein the adjusting of the exposure and gain in the infrared image or the color image acquisition process according to the face confidence detection result comprises:
taking the image to which the face with high confidence coefficient belongs as a first image, and taking the image to which the face with low confidence coefficient belongs as a second image;
and calculating the target brightness value of the second image according to the coordinate information of the face frame in the first image, and adjusting the exposure and gain in the second image acquisition process according to the target brightness value.
6. An image acquisition apparatus, characterized by comprising:
the acquisition module is used for acquiring a depth image, an infrared image and a color image of a target area;
the determining module is used for acquiring a transmission transformation matrix for aligning the depth image and the infrared image to the color image;
the alignment module is used for performing transmission transformation on the depth image and the infrared image according to the transmission transformation matrix to obtain the depth image and the infrared image which are aligned with the color image pixels;
after obtaining the depth image and the infrared image which are aligned with the color image pixels, the method further comprises:
carrying out face detection on the color image and the infrared image after the pixels are aligned, and adjusting the exposure and gain of the infrared image or the color image in the acquisition process according to the result of the face detection;
the adjusting of the exposure and the gain in the process of acquiring the infrared image or the color image according to the result of the face detection comprises the following steps:
under the condition that the infrared image and the color image can both detect human faces and the overlapping degree of the human face frame of the infrared image and the human face frame of the color image does not meet a preset threshold, adjusting exposure and gain in the process of acquiring the infrared image or the color image according to a human face confidence detection result;
and under the condition that the infrared image and the color image can not detect the human face, calculating the target brightness of the other image according to the coordinate information of the human face frame of the image capable of detecting the human face, and adjusting the exposure and the gain in the process of acquiring the other image according to the target brightness.
7. An electronic device, comprising: at least one processor; and the number of the first and second groups,
a memory communicatively coupled to the at least one processor; wherein,
the memory stores instructions executable by the at least one processor to enable the at least one processor to perform the image acquisition method of any one of claims 1 to 5.
8. A computer-readable storage medium storing a computer program, wherein the computer program is executed by a processor to implement the image acquisition method according to any one of claims 1 to 5.
CN202111056022.6A2021-09-092021-09-09Image acquisition method and device, electronic equipment and storage mediumActiveCN114119680B (en)

Priority Applications (1)

Application NumberPriority DateFiling DateTitle
CN202111056022.6ACN114119680B (en)2021-09-092021-09-09Image acquisition method and device, electronic equipment and storage medium

Applications Claiming Priority (1)

Application NumberPriority DateFiling DateTitle
CN202111056022.6ACN114119680B (en)2021-09-092021-09-09Image acquisition method and device, electronic equipment and storage medium

Publications (2)

Publication NumberPublication Date
CN114119680A CN114119680A (en)2022-03-01
CN114119680Btrue CN114119680B (en)2022-09-20

Family

ID=80441340

Family Applications (1)

Application NumberTitlePriority DateFiling Date
CN202111056022.6AActiveCN114119680B (en)2021-09-092021-09-09Image acquisition method and device, electronic equipment and storage medium

Country Status (1)

CountryLink
CN (1)CN114119680B (en)

Families Citing this family (1)

* Cited by examiner, † Cited by third party
Publication numberPriority datePublication dateAssigneeTitle
CN114745509B (en)*2022-04-082024-06-07深圳鹏行智能研究有限公司Image acquisition method, device, foot robot and storage medium

Family Cites Families (3)

* Cited by examiner, † Cited by third party
Publication numberPriority datePublication dateAssigneeTitle
CN106170086B (en)*2016-08-192019-03-15深圳奥比中光科技有限公司Method and device thereof, the system of drawing three-dimensional image
CN109767467B (en)*2019-01-222020-11-10Oppo广东移动通信有限公司 Image processing method, apparatus, electronic device, and computer-readable storage medium
CN112634152B (en)*2020-12-162024-06-18中科海微(北京)科技有限公司Face sample data enhancement method and system based on image depth information

Also Published As

Publication numberPublication date
CN114119680A (en)2022-03-01

Similar Documents

PublicationPublication DateTitle
CN114693760B (en) Image correction method, device, system, and electronic equipment
WO2020046066A1 (en)Method for training convolutional neural network to reconstruct an image and system for depth map generation from an image
US11048953B2 (en)Systems and methods for facial liveness detection
CN109905600A (en)Imaging method, imaging device and computer readable storage medium
CN114511608B (en)Depth image acquisition method, device, terminal, imaging system and medium
CN114066950B (en)Monocular speckle structure optical image matching method, electronic device and storage medium
CN113822256B (en)Face recognition method, electronic device and storage medium
CN112580434A (en)Face false detection optimization method and system based on depth camera and face detection equipment
CN116095473A (en)Lens automatic focusing method, device, electronic equipment and computer storage medium
JP2000230809A (en) Distance data interpolation method, color image layering method, and color image layering device
CN109559353A (en)Camera module scaling method, device, electronic equipment and computer readable storage medium
CN114119680B (en)Image acquisition method and device, electronic equipment and storage medium
CN114387324A (en)Depth imaging method, depth imaging device, electronic equipment and computer readable storage medium
CN117522803A (en) Precise positioning method of bridge components based on binocular vision and target detection
CN115965961B (en)Local-global multi-mode fusion method, system, equipment and storage medium
CN103733225A (en)Characteristic point coordination system, characteristic point coordination method, and recording medium
US20240242318A1 (en)Face deformation compensating method for face depth image, imaging device, and storage medium
CN113538538A (en) Binocular image alignment method, electronic device and computer-readable storage medium
CN114677264B (en)Image alignment method, system, electronic device and storage medium
CN114783041B (en)Target object recognition method, electronic device, and computer-readable storage medium
CN114331919B (en)Depth recovery method, electronic device, and storage medium
CN113379816B (en)Structure change detection method, electronic device, and storage medium
CN116721160A (en)Automatic calibration method and system based on millimeter wave radar and camera
CN115798002A (en)Face detection method, system, electronic device and storage medium
CN115375623A (en)Safety detection method and device, electronic equipment and storage medium

Legal Events

DateCodeTitleDescription
PB01Publication
PB01Publication
SE01Entry into force of request for substantive examination
SE01Entry into force of request for substantive examination
TA01Transfer of patent application right
TA01Transfer of patent application right

Effective date of registration:20220516

Address after:230091 room 611-217, R & D center building, China (Hefei) international intelligent voice Industrial Park, 3333 Xiyou Road, high tech Zone, Hefei, Anhui Province

Applicant after:Hefei lushenshi Technology Co.,Ltd.

Address before:100083 room 3032, North B, bungalow, building 2, A5 Xueyuan Road, Haidian District, Beijing

Applicant before:BEIJING DILUSENSE TECHNOLOGY CO.,LTD.

Applicant before:Hefei lushenshi Technology Co.,Ltd.

GR01Patent grant
GR01Patent grant

[8]ページ先頭

©2009-2025 Movatter.jp