Movatterモバイル変換


[0]ホーム

URL:


CN114119497A - Method and device for detecting sealing welding quality of cylindrical battery cell, electronic equipment and storage medium - Google Patents

Method and device for detecting sealing welding quality of cylindrical battery cell, electronic equipment and storage medium
Download PDF

Info

Publication number
CN114119497A
CN114119497ACN202111301021.3ACN202111301021ACN114119497ACN 114119497 ACN114119497 ACN 114119497ACN 202111301021 ACN202111301021 ACN 202111301021ACN 114119497 ACN114119497 ACN 114119497A
Authority
CN
China
Prior art keywords
target
image
battery cell
cylindrical battery
weld
Prior art date
Legal status (The legal status is an assumption and is not a legal conclusion. Google has not performed a legal analysis and makes no representation as to the accuracy of the status listed.)
Granted
Application number
CN202111301021.3A
Other languages
Chinese (zh)
Other versions
CN114119497B (en
Inventor
吴轩
冉昌林
程从贵
蔡汉钢
Current Assignee (The listed assignees may be inaccurate. Google has not performed a legal analysis and makes no representation or warranty as to the accuracy of the list.)
Wuhan Yifi Laser Corp Ltd
Original Assignee
Wuhan Yifi Laser Corp Ltd
Priority date (The priority date is an assumption and is not a legal conclusion. Google has not performed a legal analysis and makes no representation as to the accuracy of the date listed.)
Filing date
Publication date
Application filed by Wuhan Yifi Laser Corp LtdfiledCriticalWuhan Yifi Laser Corp Ltd
Priority to CN202111301021.3ApriorityCriticalpatent/CN114119497B/en
Publication of CN114119497ApublicationCriticalpatent/CN114119497A/en
Application grantedgrantedCritical
Publication of CN114119497BpublicationCriticalpatent/CN114119497B/en
Activelegal-statusCriticalCurrent
Anticipated expirationlegal-statusCritical

Links

Images

Classifications

Landscapes

Abstract

The invention provides a method and a device for detecting the sealing and welding quality of a cylindrical battery cell, electronic equipment and a storage medium, wherein the method comprises the following steps: acquiring a circumferential image of a welding seam of a target end cover of a target cylindrical battery cell; performing target recognition on the circumferential image based on a target recognition model, and determining a weld joint region in the circumferential image; and acquiring a sealing and welding quality detection result of the target cylindrical battery cell based on the welding seam area in the circumferential image. According to the method and device for detecting the sealing quality of the cylindrical battery cell, the electronic equipment and the storage medium, provided by the embodiment of the invention, the sealing quality detection result of the target cylindrical battery cell is obtained by identifying the welding seam area in the circumferential image of the welding seam of the target end cover of the target cylindrical battery cell based on the welding seam area in the circumferential image, the sealing quality detection efficiency of the cylindrical battery cell can be improved, the detection result is higher in accuracy, and therefore the stability of the quality of the cylindrical battery cell can be ensured.

Description

Method and device for detecting sealing welding quality of cylindrical battery cell, electronic equipment and storage medium
Technical Field
The invention relates to the technical field of industrial control, in particular to a method and a device for detecting the sealing and welding quality of a cylindrical battery cell, electronic equipment and a storage medium.
Background
In the production process of the battery, the shell of the cylindrical battery core and the end cover need to be welded, which is called sealing welding.
The welding conditions of welding leakage, welding deviation, welding penetration and the like can cause the abnormal work of the cylindrical battery core and influence the quality of the battery, so that the sealing and welding quality of the cylindrical battery core needs to be detected.
The existing sealing and welding quality detection of the cylindrical battery core is usually performed through manual detection. The manual detection efficiency is low, the precision is poor, and the stability of the battery quality can not be ensured.
Disclosure of Invention
The invention provides a method and a device for detecting the sealing quality of a cylindrical battery cell, electronic equipment and a storage medium, which are used for solving the technical problem of low detection efficiency in the prior art.
The invention provides a method for detecting the sealing and welding quality of a cylindrical battery cell, which comprises the following steps:
acquiring a circumferential image of a welding seam of a target end cover of a target cylindrical battery cell;
performing target recognition on the circumferential image based on a target recognition model, and determining a weld joint region in the circumferential image;
and acquiring a sealing and welding quality detection result of the target cylindrical battery cell based on the welding seam area in the circumferential image.
According to the method for detecting the sealing welding quality of the cylindrical battery cell, provided by the invention, the step of acquiring the circumferential image of the welding line of the target end cover of the target cylindrical battery cell specifically comprises the following steps:
controlling the target cylindrical battery cell to rotate, and acquiring an original image acquired by an image acquisition sensor positioned at a target position in the process of rotating the target cylindrical battery cell;
and acquiring the circumferential image based on the original image.
According to the method for detecting the sealing welding quality of the cylindrical battery cell, provided by the invention, the step of acquiring the circumferential image of the welding line of the target end cover of the target cylindrical battery cell specifically comprises the following steps:
controlling an image acquisition sensor to rotate around the target cylindrical battery cell, and acquiring an original image acquired in the process that the image acquisition sensor rotates around the target cylindrical battery cell;
and acquiring the circumferential image based on the original image.
According to the method for detecting the sealing welding quality of the cylindrical battery cell, provided by the invention, the circumferential image comprises a plurality of images collected under different illumination conditions;
correspondingly, the obtaining of the sealing quality detection result of the target cylindrical battery cell based on the weld joint region in the circumferential image specifically includes:
acquiring a reflectivity image and a height map based on the weld joint region in each circumferential image;
performing defect detection based on the reflectivity map to obtain a first defect image, and performing defect detection based on the height map to obtain a second defect image;
acquiring a Hamming distance between the first defect image and the second defect image;
and determining a region where the first defect image and the second defect image are overlapped as a defect region when the Hamming distance is smaller than a distance threshold.
According to the method for detecting the sealing quality of the cylindrical battery cell, provided by the invention, the method for obtaining the sealing quality detection result of the target cylindrical battery cell based on the welding seam area in the circumferential image specifically comprises the following steps:
determining size information and/or position information of a weld based on a weld region in the circumferential image;
and acquiring a sealing and welding quality detection result of the target cylindrical battery cell based on the size information and/or the position information of the welding line.
According to the method for detecting the sealing quality of the cylindrical battery cell, provided by the invention, the method for obtaining the sealing quality detection result of the target cylindrical battery cell based on the welding seam area in the circumferential image specifically comprises the following steps:
and acquiring a sealing quality detection result of the target cylindrical battery cell based on each pixel value of the welding seam area in the circumferential image.
According to the method for detecting the sealing quality of the cylindrical battery cell, provided by the invention, the method for obtaining the sealing quality detection result of the target cylindrical battery cell based on the welding seam area in the circumferential image specifically comprises the following steps:
and comparing the number of the welding seam areas with a preset target number, and acquiring a sealing quality detection result of the target cylindrical battery cell according to a comparison result.
The invention also provides a device for detecting the sealing and welding quality of the cylindrical battery cell, which comprises:
the image acquisition module is used for acquiring a circumferential image of a welding seam of a target end cover of the target cylindrical battery cell;
the image recognition module is used for carrying out target recognition on the circumferential image based on a target recognition model and determining a welding seam area in the circumferential image;
and the quality detection module is used for acquiring a sealing and welding quality detection result of the target cylindrical battery cell based on the welding seam area in the circumferential image.
The invention also provides electronic equipment which comprises a memory, a processor and a computer program which is stored on the memory and can run on the processor, wherein the processor executes the computer program to realize the steps of any one of the methods for detecting the sealing and welding quality of the cylindrical battery core.
The invention also provides a non-transitory computer-readable storage medium, on which a computer program is stored, where the computer program, when executed by a processor, implements the steps of any one of the methods for detecting the sealing quality of a cylindrical electrical core.
According to the method and device for detecting the sealing quality of the cylindrical battery cell, the electronic equipment and the storage medium, the sealing quality detection result of the target cylindrical battery cell is obtained by identifying the welding seam area in the circumferential image of the welding seam of the target end cover of the target cylindrical battery cell based on the welding seam area in the circumferential image, the sealing quality detection efficiency of the cylindrical battery cell can be improved, the accuracy of the detection result is higher, and therefore the stability of the quality of the cylindrical battery cell can be guaranteed.
Drawings
In order to more clearly illustrate the technical solutions of the present invention or the prior art, the drawings needed for the description of the embodiments or the prior art will be briefly described below, and it is obvious that the drawings in the following description are some embodiments of the present invention, and those skilled in the art can also obtain other drawings according to the drawings without creative efforts.
Fig. 1 is a schematic flow chart of a method for detecting the sealing quality of a cylindrical battery cell provided by the invention;
fig. 2 is a schematic structural diagram of a sealing and welding quality detection device for a cylindrical battery cell provided by the invention;
fig. 3 is a schematic structural diagram of an electronic device provided in the present invention.
Detailed Description
In order to make the objects, technical solutions and advantages of the present invention clearer, the technical solutions of the present invention will be clearly and completely described below with reference to the accompanying drawings, and it is obvious that the described embodiments are some, but not all embodiments of the present invention. All other embodiments, which can be derived by a person skilled in the art from the embodiments given herein without making any creative effort, shall fall within the protection scope of the present invention.
In the description of the embodiments of the present invention, it should be noted that the terms "center", "longitudinal", "lateral", "length", "width", "thickness", "upper", "lower", "front", "rear", "left", "right", "vertical", "horizontal", "top", "bottom", "inner", "outer", "clockwise", "counterclockwise", "axial", "radial", "circumferential", and the like indicate orientations or positional relationships based on the orientations or positional relationships shown in the drawings, and are only for convenience of describing the embodiments of the present invention and simplifying the description, but do not indicate or imply that the device or element referred to must have a specific orientation, be constructed and operated in a specific orientation, and thus, should not be construed as limiting the embodiments of the present invention. Furthermore, the terms "first," "second," and "third" are used for descriptive purposes only and are not to be construed as indicating or implying relative importance, and not order.
In the description of the embodiments of the present invention, it should be noted that, unless explicitly stated or limited otherwise, the terms "mounted," "connected," and "connected" are to be construed broadly, and may be, for example, fixedly connected, detachably connected, or integrally connected; can be mechanically or electrically connected; they may be connected directly or indirectly through intervening media, or they may be interconnected between two elements. Specific meanings of the above terms in the embodiments of the present invention can be understood in specific cases by those of ordinary skill in the art.
In order to overcome the problems in the prior art, the invention provides a method and a device for detecting the sealing quality of a cylindrical battery cell, electronic equipment and a storage medium
Fig. 1 is a schematic flow chart of a method for detecting the sealing quality of a cylindrical battery cell provided by the invention. The method for detecting the sealing quality of the cylindrical battery cell according to the embodiment of the invention is described below with reference to fig. 1. As shown in fig. 1, the method includes: step 101, obtaining a circumferential image of a weld of a target end cover of a target cylindrical battery cell.
Specifically, after the target end cover is sealed and welded on the target cylindrical battery cell, a circumferential image of a weld joint of the target end cover of the target cylindrical battery cell may be acquired based on an image or a video of the target cylindrical battery cell acquired by the image acquisition sensor.
And the target end cover can be any one of the two end covers of the target cylindrical battery cell.
In general, a welding head seals and welds the casing and the end cap of the cylindrical battery cell along a preset track to form a weld seam with a certain width and a certain length.
The image acquisition sensor can acquire images of all parts of the welding seam by photographing the images of all parts of the welding seam and the like, or acquire videos by photographing all parts of the welding seam and the like, and then perform screenshot and other processing on the videos to obtain the images of all parts of the welding seam.
After the images of the parts of the weld are obtained, the images of the parts of the weld can be spliced, and a circumferential image of the weld of the target end cover of the target cylindrical battery cell can be obtained.
It will be appreciated that the weld is a circle having a width, and that the circumferential image of the weld of the target end cap of the target cylindrical cell may reflect the complete information of the weld (i.e., the complete information of the circle). In a circumferential image of the weld of the target end cap of the target cylindrical cell, the circle is expanded into a rectangle of that width.
And 102, performing target identification on the circumferential image based on the target identification model, and determining a weld joint region in the circumferential image.
Specifically, in general, a welding head seals and welds the casing and the end cap of the cylindrical battery cell along a preset track to form a weld seam with a certain width and a certain length.
The target recognition can be performed on the circumferential image based on any target recognition method, such as background removal, template matching or artificial neural network, so as to recognize the weld joint region in the circumferential image.
For example, because the material of the weld seam is significantly different from the material of the casing and the material of the end cap of the cylindrical cell, the casing and the end cap of the cylindrical cell in the circumferential image can be used as a background for background removal by an image processing method, so as to determine the weld seam area in the circumferential image.
Preferably, the circumferential image may be subject to target recognition based on a target recognition model. The circumferential image can be input into a target recognition model, and a weld region in the circumferential image output by the target recognition model is acquired.
The target recognition model can be a model established based on an artificial intelligence algorithm such as an artificial neural network or a decision tree. And the target identification model is used for identifying the weld joint area in the image.
It is understood that, beforestep 103, the target recognition model may be trained according to the weld regions in the sample image and the pre-marked sample image, so as to obtain a trained target recognition model.
103, obtaining a sealing and welding quality detection result of the target cylindrical battery cell based on the welding seam area in the circumferential image.
Specifically, after the weld region in the circumferential image is determined, image analysis may be performed on the weld region in the circumferential image, the features of the weld region in the circumferential image are mapped from the image space to the real space, and it is determined whether the actual value of the parameter of the weld coincides with the set value of the parameter of the weld.
The parameters of the weld seam may include the width, length, position, trajectory, etc. of the weld seam.
If the actual value of any parameter of the welding seam is inconsistent with the set value of the parameter, the welding quality detection result of the target soft package battery cell can be determined to be unqualified under the condition that the detection result is a qualitative result.
If the actual value of each parameter of the welding seam is consistent with the set value of the parameter, the welding quality detection result of the target soft package battery cell can be determined to be qualified under the condition that the detection result is a qualitative result.
It should be noted that, if the weld seam region in the circumferential image is not identified instep 102,step 103 may not be executed, and the sealing quality detection result of the target cylindrical battery cell is directly determined to be unqualified, specifically, there is missing welding, that is, the target cylindrical battery cell is not welded in the previous weld seam process.
According to the embodiment of the invention, the welding seam area in the circumferential image of the welding seam of the target end cover of the target cylindrical battery cell is identified, and the sealing quality detection result of the target cylindrical battery cell is obtained based on the welding seam area in the circumferential image, so that the sealing quality detection efficiency of the cylindrical battery cell can be improved, the accuracy of the detection result is higher, and the stability of the quality of the cylindrical battery cell can be ensured.
Based on the content of any one of the above embodiments, acquiring a circumferential image of a weld of a target end cap of a target cylindrical cell specifically includes: and controlling the target cylindrical battery cell to rotate, and acquiring an original image acquired by the image acquisition sensor positioned at the target position in the rotating process of the target cylindrical battery cell.
Specifically, the original image may be acquired in a manner that the target cylindrical battery cell rotates and the image acquisition sensor is stationary. The raw images, including images of various portions of the weld.
In the rotating process of the target cylindrical battery cell, the image acquisition sensor positioned at the target position shoots the welding line, and a plurality of original images are acquired. The plurality of original images can reflect the complete information of the welding seam.
The rotation of the target cylindrical cell may be performed in a continuous or stepwise manner. And the rotation of the target cylindrical battery cell is performed by taking the connecting line of the centers of the two end covers of the target cylindrical battery cell as a rotating shaft.
Based on the original image, a circumferential image is acquired.
Specifically, based on any image stitching method, image stitching processing may be performed on each original image to obtain a circumferential image of a weld of a target end cover of a target cylindrical battery cell.
According to the embodiment of the invention, the circumferential image is acquired based on the original image acquired by the image acquisition sensor positioned at the target position in the rotating process of the target cylindrical battery cell, and the complete circumferential image of the welding seam of the target end cover of the target cylindrical battery cell can be acquired, so that the sealing quality detection result of the target cylindrical battery cell can be acquired based on the circumferential image, the sealing quality detection efficiency of the cylindrical battery cell can be improved, the accuracy of the detection result is higher, and the stability of the quality of the cylindrical battery cell can be ensured.
Based on the content of any one of the above embodiments, acquiring a circumferential image of a weld of a target end cap of a target cylindrical cell specifically includes: and controlling the image acquisition sensor to rotate around the target cylindrical battery cell and acquiring an original image acquired in the process that the image acquisition sensor rotates around the target cylindrical battery cell.
Specifically, the original image may be acquired in a manner that the target cylindrical battery cell is stationary and the image acquisition sensor rotates around the target cylindrical battery cell. The raw images, including images of various portions of the weld.
The image acquisition sensor rotates around the target cylindrical battery cell, and a continuous or stepping mode can be adopted. The image acquisition sensor rotates around the target cylindrical battery cell and rotates by taking a connecting line of centers of two end covers of the target cylindrical battery cell as a rotating shaft.
In the process that the image acquisition sensor rotates around the target cylindrical battery cell, the welding seam can be photographed at preset time intervals, or the welding seam is photographed at each preset position in a rotating mode to acquire a plurality of original images. The plurality of original images can reflect the complete information of the welding seam.
Based on the original image, a circumferential image is acquired.
Specifically, based on any image stitching method, image stitching processing may be performed on each original image to obtain a circumferential image of a weld of a target end cover of a target cylindrical battery cell.
According to the embodiment of the invention, the circumferential image is acquired based on the original image acquired by the image acquisition sensor in a manner of rotating around the target cylindrical battery cell, and the complete circumferential image of the welding seam of the target end cover of the target cylindrical battery cell can be acquired, so that the sealing quality detection result of the target cylindrical battery cell can be acquired based on the circumferential image, the sealing quality detection efficiency of the cylindrical battery cell can be improved, the accuracy of the detection result is higher, and the stability of the quality of the cylindrical battery cell can be ensured.
Based on the content of any of the above embodiments, the circumferential image comprises a plurality of images acquired under different lighting conditions.
Specifically, multiple illumination conditions can be preset, and the circumferential images obtained after splicing the original images acquired under each illumination condition are acquired respectively, so that multiple circumferential images are obtained, and the defect area can be detected conveniently under the condition that the sealing quality detection result of the target cylindrical battery cell is unqualified.
The lighting conditions may include the angle and/or intensity of the lighting. The different illumination conditions may be formed based on a plurality of different light sources, or may be formed by changing the position of a single light source.
Correspondingly, based on the welding seam area in the circumferential image, the sealing quality detection result of the target cylindrical battery cell is obtained, and the method specifically comprises the following steps: based on the weld regions in each circumferential image, a reflectivity image and a height map are acquired.
Specifically, reconstruction may be performed from the weld region in each circumferential image based on a photometric stereo method, thereby obtaining a reflectance map of the weld region.
Reflectance, refers to the percentage of energy of light reflected by an object to the energy of the incident light.
And on the basis of a photometric stereo method, according to the weld joint region in each circumferential image, the normal of the surface of the weld joint region can be obtained, and the depth of the surface of the weld joint region can be determined according to the normal, so that a height map of the weld joint region can be obtained.
And carrying out defect detection based on the reflectivity map to obtain a first defect image, and carrying out defect detection based on the height map to obtain a second defect image.
Specifically, defect detection is performed based on the reflectance map, and a first defective region can be obtained.
Specifically, band-stop filtering can be performed on the reflectivity map of the welding seam area, and pixels with abnormal reflectivity can be extracted, so that a first defect area formed by the pixels with abnormal reflectivity is obtained.
And the abnormal reflectivity comprises the reflectivity which is larger than a preset reflectivity upper limit and the reflectivity which is smaller than a preset reflectivity lower limit.
Both the upper limit and the lower limit of the reflectivity can be set according to actual requirements, and the embodiment of the invention is not specifically limited for the specific value of the upper limit and the specific value of the lower limit of the reflectivity.
Taking the first defect area as a foreground, and removing the background of the reflectivity map; and after background removal is carried out on the reflectivity map, binarization is carried out to obtain a first defect image.
And performing defect detection based on the height map to obtain a second defect area.
Specifically, the height map of the welding seam area can be subjected to band elimination filtering, and pixels with high abnormity can be extracted, so that a second defect area formed by the pixels with high abnormity is obtained.
And the height abnormity comprises that the height is greater than a preset upper height limit and the height is less than a preset lower height limit.
The upper height limit and the lower height limit may be set according to actual requirements, and the specific values of the upper height limit and the specific values of the lower height limit are not specifically limited in the embodiments of the present invention.
Taking the second defect area as a foreground, and removing the background of the height map; and after background removal is carried out on the height map, binarization is carried out to obtain a second defect image.
It is understood that the first defect image and the second defect image are the same size.
And acquiring the Hamming distance between the first defect image and the second defect image.
Specifically, a Hamming distance (Hamming distance) between the first defect image and the second defect image may be acquired.
The hamming distance between the two equal length strings s1 and s2 is defined as the minimum number of substitutions required to change one to the other. For example, the hamming distance between the strings "1111" and "1001" is 2.
The Hamming distance between two images with the same size is defined as the number of different pixel values of pixel points at the same position in the two images.
The calculation formula of the hamming distance between the first defect image and the second defect image is as follows:
Figure BDA0003338357790000101
wherein H represents a hamming distance between the first defect image and the second defect image; a denotes a first defect image; b denotes a second defect image;
Figure BDA0003338357790000111
representing an exclusive or operation.
The smaller the Hamming distance is, the higher the similarity between the first defect image and the second defect image is, and the higher the similarity between the first defect area and the second defect area is; the larger the hamming distance is, the lower the similarity of the first defect image to the second defect image, and the lower the similarity of the first defect region to the second defect region.
And determining the overlapped area of the first defect image and the second defect image as a defect area when the Hamming distance is smaller than the distance threshold.
Specifically, the hamming distance H may be compared to the magnitude of the distance threshold.
If the hamming distance H is smaller than the distance threshold, it indicates that the first defect area and the second defect area are relatively close, and the results of the two defect detections are both close, and both have higher detection accuracy, so that the overlapping portion of the first defect area and the second defect area, and the overlapping area of the first defect image and the second defect image can be determined as the defect area, which is used as the final defect detection result.
The distance threshold may be set according to the actual situation such as the size of the image, for example, the distance threshold is 5 or 10. The embodiment of the present invention is not particularly limited to a specific value of the distance threshold.
When the distance is smaller than the distance threshold, the first defective region or the second defective region may be directly set as the defective region (i.e., the final defect detection result).
In the case of a defective region, the sealing quality detection result of the target cylindrical electrical core may be determined to be unqualified, and the detected defective region may also be output as the sealing quality detection result of the target cylindrical electrical core.
It should be noted that, if the first defect region is not extracted based on the emissivity map and the second defect region is not extracted based on the height map, the sealing quality detection result of the target cylindrical battery cell may be determined to be acceptable.
According to the embodiment of the invention, a plurality of circumferential images collected under different illumination conditions are obtained, the weld joint area in each circumferential image is extracted, the reflectivity map and the height map are obtained based on the weld joint area in each circumferential image, defect detection is respectively carried out based on the reflectivity map and the height map, and under the condition that the similarity of detection results obtained by two defect detection methods is greater than the similarity threshold, the overlapped part of the defect areas obtained by the two defect detection methods is determined as the defect area which is finally output, so that a more accurate defect area can be obtained.
Based on the content of any one of the above embodiments, based on the weld seam region in the circumferential image, the method for obtaining the sealing quality detection result of the target cylindrical battery cell specifically includes: based on the weld region in the circumferential image, size information and/or position information of the weld is determined.
Specifically, for each weld region in the circumferential image, size information and/or position information of the weld region in the circumferential image may be acquired.
The size information may include length, width, area, and the like.
The position information may be trajectory information of the weld region. The track information may be represented by coordinates of each point on the track with respect to a preset feature point on the target cylindrical electrical core in the image.
Based on the imaging parameters (such as focal length, object distance and the like) of the original image, the size information and the position information of each weld joint region in the circumferential image can be mapped from the image space to the real space, and the size information and the position information of the weld joint in the real space are obtained.
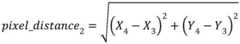
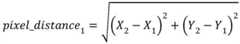
For any weld zone, the calculation formula of the distance between two pixels, namely the length and the width of the weld zone in the circumferential image can be expressed as follows:
Figure BDA0003338357790000121
Figure BDA0003338357790000122
wherein pixel _ distance1The length of the welding seam area in the circumferential image is represented, and the coordinates of pixel points at two ends in the length direction of the welding seam area are respectively (X)1,Y1) And (X)2,Y2);pixel_distance2The width of the welding seam area in the circumferential image is represented, and the coordinates of pixel points at two ends in the width direction of the welding seam area are respectively (X)3,Y3) And (X)4,Y4)。
The calculation formula of the length and width of the weld in real space can be expressed as:
L=k1*pixel_distance1
W=k1*pixel_distance2
wherein L represents the length of the weld in real space; w represents the width of the weld in real space; k is a radical of1Representing a first scaling factor. First conversion factor k1For the conversion between distances in the circumferential image and distances in real space.
For any weld zone, the calculation formula of the area of the weld in the real space is
S=k2*Sum
Wherein S represents the area of the weld in real space; sum represents the number of pixel points included in the corresponding welding seam area in the circumferential image; k is a radical of2Representing a second scaling factor. Second conversion factor k2For the conversion between the area in the circumferential image and the area in real space.
And acquiring a sealing and welding quality detection result of the target cylindrical battery cell based on the size information and/or the position information of the welding line.
Specifically, the size information and the position information of the weld in the real space are actual values of the size and the position of the weld, respectively.
The size information of the welding seam can be compared with the preset value of the size of the welding seam, and whether the actual value of the size of the welding seam is consistent with the preset value or not can be determined.
The position information of the welding seam can be compared with a set value of the position of the welding seam, and whether the actual value of the position of the welding seam is consistent with the preset value or not is determined.
It can be understood that, in the case of determining only the size information of the weld, the sealing quality detection result of the target cylindrical battery cell may be obtained based on only the size information of the weld; under the condition that only the position information of the welding seam is determined, the sealing quality detection result of the target cylindrical battery cell can be obtained only based on the position information of the welding seam; under the condition of determining the size information and the position information of the welding seam, the sealing quality detection result of the target cylindrical battery cell can be obtained based on the size information and the position information of the welding seam.
Under the condition that only the size information of the welding seam is determined, if the actual value of the size of the welding seam is consistent with the preset value, the welding quality detection result of the target soft package battery cell can be determined to be qualified; and if the actual value of the size of the welding seam is not consistent with the preset value, determining the welding quality detection result of the target soft package battery cell as unqualified.
Under the condition that only the position information of the welding seam is determined, if the actual value of the position of the welding seam is consistent with the preset value, the welding quality detection result of the target soft package battery cell can be determined to be qualified; and if the actual value of the position of the welding seam is not consistent with the preset value, determining the welding quality detection result of the target soft package battery core as unqualified, and further determining that welding deviation exists.
Under the condition of determining the size information and the position information of the welding seam, if the actual value of the size of the welding seam is consistent with the preset value and the actual value of the position of the welding seam is consistent with the preset value, the welding quality detection result of the target soft package battery cell can be determined to be qualified; and if the actual value of the size of the welding seam is inconsistent with the preset value or the actual value of the position of the welding seam is inconsistent with the preset value, determining the welding quality detection result of the target soft package battery cell as unqualified.
According to the embodiment of the invention, the size information and/or the position information of the welding seam is determined based on the welding seam area in the circumferential image, and the sealing quality detection result of the target cylindrical battery cell is obtained based on the size information and/or the position information of the actual welding seam, so that the sealing quality detection efficiency of the cylindrical battery cell can be improved, the accuracy of the detection result is higher, and the stability of the quality of the cylindrical battery cell can be ensured.
Based on the content of any one of the above embodiments, based on the weld seam region in the circumferential image, the method for obtaining the sealing quality detection result of the target cylindrical battery cell specifically includes: and acquiring a sealing quality detection result of the target cylindrical battery cell based on each pixel value of the welding seam area in the circumferential image.
Specifically, each pixel value of the bead region in the circumferential image refers to a pixel value of each pixel included in the bead region in the circumferential image.
By comparing the pixel values of the weld region in the circumferential image, it is possible to determine whether or not there is a pixel whose pixel value is significantly different from other pixels among the pixels included in the weld region in the circumferential image.
In general, the bead flow of the bead head is constant, so that each pixel value of the bead region in the circumferential image is close, and if the pixel value of a certain pixel is significantly different from other pixels in each pixel included in the bead region, it indicates that a bright point or a dark point may exist in the bead at a certain position in the real space corresponding to the certain pixel.
If the pixel value of a certain pixel is obviously greater than the pixel values of other pixels in all pixels included in the welding seam area, the pixel is a bright point, and the fact that a pinhole exists in the welding seam at a certain position in the real space corresponding to the pixel is indicated; if the pixel value of a certain pixel in the pixels included in the weld zone is obviously smaller than the pixel values of other pixels, the pixel is a dark point, which indicates that the weld at a certain position in the real space corresponding to the pixel has a weld-through phenomenon.
According to the embodiment of the invention, the sealing quality detection result of the target cylindrical battery cell is obtained based on each pixel value of the welding seam area in the circumferential image, whether a pinhole or a welding through exists can be determined more quickly, efficiently and accurately, the sealing quality detection efficiency of the cylindrical battery cell can be improved, the accuracy of the detection result is higher, and the stability of the quality of the cylindrical battery cell can be ensured.
Based on the content of any one of the above embodiments, based on the weld seam region in the circumferential image, the method for obtaining the sealing quality detection result of the target cylindrical battery cell specifically includes: and comparing the number of the welding seam areas with a preset target number, and acquiring a sealing quality detection result of the target cylindrical battery cell according to the comparison result.
Specifically, skip welding refers to welding at a certain position and not actually welding.
Welding deviation means that a certain position should not be welded but actually welded.
And the welding penetration means that the welding energy at a certain position is too large to puncture the metal shell.
After determining the weld regions in the circumferential image, the number of weld regions may be determined.
The target number may be a value set in advance. The target number is the number of times of welding the weld joint on a certain surface of the cylindrical battery core.
The target number can be set according to actual conditions. The embodiment of the present invention is not particularly limited with respect to the specific value of the target number.
Preferably, the target number is 1.
The number of weld regions is compared with a preset target number.
If the number of the welding seam areas is larger than the target number, the number of the welding seams formed on a certain surface of the target cylindrical battery core is larger than the preset number of times of welding on the surface, the welding seams are not formed at a certain time, a plurality of welding seams are formed, and the existence of welding missing can be determined.
If the number of the welding seam areas is smaller than the target number, the number of the welding seams formed on a certain surface of the target cylindrical battery core is larger than the preset number of times of welding on the surface, the welding seam formed by the welding seam at one time is connected with the welding seam formed by the welding seam at another time to form a welding seam (namely welding deviation), or the welding seam at one time is not formed (namely welding leakage), and the existence of welding deviation or welding deviation can be determined.
If the number of the welding seam areas is equal to the target number, the number of the welding seams formed on a certain surface of the target cylindrical battery core is equal to the preset number of times of welding on the surface, and whether welding missing or welding deviation exists cannot be determined temporarily.
It should be noted that, on the basis of at least two of the size information and/or the position information of the weld, each pixel value of the weld region in the circumferential image, and the number of the weld regions, the preliminary results are fused to obtain the final sealing quality detection result on the basis of obtaining the preliminary results of the sealing quality detection.
For example, the penetration, pinhole, missing weld, and weld deviation may be equally divided as one detection index, and each detection index is given a full score value, and by determining the actual score of each detection index as a preliminary result, the sum of the actual scores is obtained as a final sealing quality detection result.
The actual score of the detection index may be determined based on whether or not a phenomenon corresponding to the detection index is present, or may be determined based on the degree of presence of a phenomenon corresponding to the detection index (for example, the proportion of weld misalignment).
According to the embodiment of the invention, the sealing quality detection result of the target cylindrical battery cell is obtained by comparing the number of the welding seam areas with the preset target number, so that whether welding missing or welding deviation exists can be determined more quickly, efficiently and accurately, the sealing quality detection efficiency of the cylindrical battery cell can be improved, the accuracy of the detection result is higher, and the stability of the quality of the cylindrical battery cell can be ensured.
Based on the content of any one of the above embodiments, based on the size information and/or the position information of the weld, the result of detecting the sealing quality of the target cylindrical battery cell is obtained, which specifically includes: comparing the length and the width in the size information of the welding seam with a preset target length and a preset target width respectively, and acquiring a sealing quality detection result of the target cylindrical battery cell according to the comparison result; and/or comparing the position information of the welding seam with a preset welding seam position, and acquiring a sealing quality detection result of the target cylindrical battery cell according to the comparison result.
Specifically, the length and the width in the size information of the weld are the actual length of the weld and the actual width everywhere.
For each weld, the actual length of the weld may be compared to a target length, and the actual widths throughout the weld may be compared to target widths throughout.
The target length refers to a theoretical value (i.e., a preset value) of the length of the weld formed by each welding. The target length can be determined based on the weld flow and the weld duration of the secondary weld, etc.
The target width refers to a theoretical value (i.e., a preset value) of the width of a certain position of the weld bead formed by each welding. The target width may be determined based on the bead flow of the secondary bead, etc.
If the actual length of any welding seam does not accord with the target length, the length in the size information of the welding seam does not accord with the target length, and the sealing quality detection result can be determined to be unqualified.
If the actual width of any part of any welding seam does not accord with the target width, the length in the size information of the welding seam does not accord with the target width, and the sealing quality detection result can be determined to be unqualified.
If the actual length of each welding seam is consistent with the target length and the actual width of each welding seam is consistent with the target width, the length and the width in the size information of the welding seam are respectively consistent with the preset target length and the preset target width, and the sealing quality detection result can be determined to be qualified.
If the actual length of any of the welds is greater than the target length, it can be determined that weld deviation exists.
If the actual length of any of the welds is less than the target length, it may be determined that there is a missing weld.
If the actual width at any of the welds is greater than the target width, it may be determined that a weld deviation exists.
If the actual width (not zero) at any point of any weld is less than the target width, it can be determined that there is a missing weld.
The preset welding seam position represents a theoretical area covered by the welding seam, namely a set value of the welding seam position.
The position information of the weld represents the actual area covered by the weld, i.e., the actual value of the weld position.
And comparing the position information of the welding seam with a preset welding seam position, namely comparing an actual area covered by the welding seam with a theoretical area.
If the welding quality is consistent with the welding quality detection result, the welding quality detection result is determined to be qualified; if the two are consistent, the sealing quality detection result can be determined to be unqualified.
If there is a point in the actual area covered by the weld and not in the theoretical area, it can be determined that there is a weld bias.
If there is no point in the actual area covered by the weld, but there is one in the theoretical area, it can be determined that there is a missing weld.
According to the embodiment of the invention, the sealing quality detection result of the target cylindrical battery cell is obtained by comparing the length and the width in the size information of the welding seam with the preset target length and target width respectively and/or comparing the position information of the welding seam with the preset welding seam position, so that whether welding missing or welding deviation exists can be determined more quickly, efficiently and accurately, the sealing quality detection efficiency of the cylindrical battery cell can be improved, the accuracy of the detection result is higher, and the stability of the quality of the cylindrical battery cell can be ensured.
Based on the content of any one of the above embodiments, the method for obtaining the sealing quality detection result of the target cylindrical battery cell based on each pixel value of the weld region in the circumferential image specifically includes: and comparing each pixel value of the welding seam area in the circumferential image with the target pixel value interval, and acquiring a sealing quality detection result of the target cylindrical battery cell according to the comparison result.
Specifically, for each pixel of the bead region in the circumferential image, it may be determined whether the pixel value of the pixel falls within the target pixel value section by comparing the pixel value of the pixel with the target pixel value section.
If any pixel value does not fall into the target pixel value interval, the pixel value of the pixel is obviously different from other pixels, and a pinhole or a welding penetration may exist in a welding seam at a certain position in the real space corresponding to the pixel.
If each pixel value falls into the target pixel value interval, it is indicated that the pixel value of any pixel is not obviously different from other pixels, the thickness of the weld joint at a certain position in the real space corresponding to each pixel is basically the same as the thickness of the weld joints at other positions, and the existence of a pinhole or a weld penetration can be determined.
The target pixel value interval may be a predetermined target pixel value interval, or may be determined according to each pixel value of the weld region in the circumferential image.
Preferably, the target pixel value interval may be determined by:
the average value and the standard deviation of each pixel value of the welding seam area in the circumferential image can be obtained;
on the basis of the average value, the product of the standard deviation and a preset coefficient is respectively subtracted and added, and the lower limit and the upper limit of the target pixel value interval are determined, so that the target pixel value interval is determined.
The preset coefficient is a positive number and can be set according to actual conditions. The embodiment of the present invention is not particularly limited with respect to the specific value of the coefficient.
According to the embodiment of the invention, the sealing quality detection result of the target cylindrical battery cell is obtained by comparing each pixel value of the welding line area in the circumferential image with the target pixel value interval, so that whether a pinhole or a welding penetration exists can be determined more quickly, efficiently and accurately, the sealing quality detection efficiency of the cylindrical battery cell can be improved, the accuracy of the detection result is higher, and the stability of the quality of the cylindrical battery cell can be ensured.
The following describes the device for detecting the sealing quality of a cylindrical electrical core provided by the invention, and the device for detecting the sealing quality of a cylindrical electrical core described below and the method for detecting the sealing quality of a cylindrical electrical core described above can be referred to correspondingly.
Fig. 2 is a schematic structural diagram of a sealing quality detection device for a cylindrical battery cell according to an embodiment of the present invention. Based on the content of any of the above embodiments, as shown in fig. 2, the apparatus includes animage acquisition module 201, animage recognition module 202, and aquality detection module 203, wherein:
theimage acquisition module 201 is configured to acquire a circumferential image of a weld of a target end cover of a target cylindrical battery cell;
theimage identification module 202 is configured to perform target identification on the circumferential image based on the target identification model, and determine a weld region in the circumferential image;
and thequality detection module 203 is configured to obtain a sealing quality detection result of the target cylindrical battery cell based on the weld seam area in the circumferential image.
Specifically, theimage acquisition module 201, theimage recognition module 202, and thequality detection module 203 are electrically connected in sequence.
Theimage acquisition module 201 may acquire a circumferential image of a weld of a target end cover of a target cylindrical battery cell based on an image or a video of the target cylindrical battery cell acquired by an image acquisition sensor.
Theimage recognition module 202 may perform target recognition on the circumferential image based on any target recognition method based on a target recognition model, such as background removal, template matching, or an artificial neural network, to identify a weld region in the circumferential image.
Thequality detection module 203 may perform image analysis on the weld region in the circumferential image, map the features of the weld region in the circumferential image from the image space to the real space, and determine whether the actual value of the parameter of the weld is consistent with the set value of the parameter of the weld.
The parameters of the weld seam may include the width, length, position, trajectory, etc. of the weld seam.
If the actual value of any parameter of the welding seam is inconsistent with the set value of the parameter, the welding quality detection result of the target soft package battery cell can be determined to be unqualified under the condition that the detection result is a qualitative result.
If the actual value of each parameter of the welding seam is consistent with the set value of the parameter, the welding quality detection result of the target soft package battery cell can be determined to be qualified under the condition that the detection result is a qualitative result.
Optionally, theimage acquisition module 201 includes:
the first control unit is used for controlling the target cylindrical battery cell to rotate and acquiring an original image acquired by the image acquisition sensor positioned at the target position in the rotating process of the target cylindrical battery cell;
and the image splicing unit is used for acquiring a circumferential image based on the original image.
Optionally, theimage acquisition module 201 includes:
the second control unit is used for controlling the image acquisition sensor to rotate around the target cylindrical battery cell and acquiring an original image acquired in the process that the image acquisition sensor rotates around the target cylindrical battery cell;
and the image splicing unit is used for acquiring a circumferential image based on the original image.
Optionally, the circumferential image comprises a plurality of images acquired under different lighting conditions;
accordingly, thequality detection module 203 may be specifically configured to:
acquiring a reflectivity image and a height map based on the weld joint region in each circumferential image;
performing defect detection based on the reflectivity map to obtain a first defect image, and performing defect detection based on the height map to obtain a second defect image;
acquiring a Hamming distance between the first defect image and the second defect image;
and determining the overlapped area of the first defect image and the second defect image as a defect area when the Hamming distance is smaller than the distance threshold.
Optionally, thequality detection module 203 comprises:
the size acquisition sub-module is used for determining size information and/or position information of the welding seam based on the welding seam area in the circumferential image;
and the first detection submodule is used for acquiring a sealing and welding quality detection result of the target cylindrical battery cell based on the size information and/or the position information of the welding seam.
Optionally, thequality detection module 203 comprises:
and the second detection submodule is used for acquiring a sealing and welding quality detection result of the target cylindrical battery cell based on each pixel value of the welding seam area in the circumferential image.
Optionally, thequality detection module 203 comprises:
and the third detection submodule is used for comparing the number of the welding seam areas with the preset target number and obtaining a sealing welding quality detection result of the target cylindrical battery cell according to the comparison result.
Optionally, the first detection submodule may include: a first detection unit and/or a second detection unit;
the first detection unit is used for comparing the length and the width in the size information of the welding seam with a preset target length and a preset target width respectively, and obtaining a sealing quality detection result of the target cylindrical battery cell according to the comparison result;
and the second detection unit is used for comparing the position information of the welding seam with a preset welding seam position and acquiring a sealing quality detection result of the target cylindrical battery cell according to the comparison result.
Optionally, the second detection submodule may be specifically configured to compare each pixel value of the weld region in the circumferential image with the target pixel value interval, and obtain a sealing quality detection result of the target cylindrical electrical core according to the comparison result.
The device for detecting the sealing quality of the cylindrical electrical core provided by the embodiment of the invention is used for executing the method for detecting the sealing quality of the cylindrical electrical core provided by the invention, and the implementation mode of the device is consistent with that of the method for detecting the sealing quality of the cylindrical electrical core provided by the invention, and the same beneficial effects can be achieved, and the description is omitted here.
The device for detecting the sealing quality of the cylindrical battery cell is used for the method for detecting the sealing quality of the cylindrical battery cell in each embodiment. Therefore, the descriptions and definitions in the method for detecting the sealing quality of the cylindrical battery cell in the foregoing embodiments may be used for understanding the execution modules in the embodiments of the present invention.
According to the embodiment of the invention, the welding seam area in the circumferential image of the welding seam of the target end cover of the target cylindrical battery cell is identified, and the sealing quality detection result of the target cylindrical battery cell is obtained based on the welding seam area in the circumferential image, so that the sealing quality detection efficiency of the cylindrical battery cell can be improved, the accuracy of the detection result is higher, and the stability of the quality of the cylindrical battery cell can be ensured.
Fig. 3 illustrates a physical structure diagram of an electronic device, which may include, as shown in fig. 3: a processor (processor)310, a communication Interface (communication Interface)320, a memory (memory)330 and acommunication bus 340, wherein theprocessor 310, thecommunication Interface 320 and thememory 330 communicate with each other via thecommunication bus 340. Theprocessor 310 may invoke logic instructions stored in thememory 330 and executable on theprocessor 310 to perform the method for detecting the sealing quality of the cylindrical battery cell provided by the above embodiments of the method, where the method includes: acquiring a circumferential image of a welding seam of a target end cover of a target cylindrical battery cell; performing target recognition on the circumferential image based on a target recognition model, and determining a weld joint region in the circumferential image; and acquiring a sealing and welding quality detection result of the target cylindrical battery cell based on the welding seam area in the circumferential image.
In addition, the logic instructions in thememory 330 may be implemented in the form of software functional units and stored in a computer readable storage medium when the software functional units are sold or used as independent products. Based on such understanding, the technical solution of the present invention may be embodied in the form of a software product, which is stored in a storage medium and includes instructions for causing a computer device (which may be a personal computer, a server, or a network device) to execute all or part of the steps of the method according to the embodiments of the present invention. And the aforementioned storage medium includes: a U-disk, a removable hard disk, a Read-Only Memory (ROM), a Random Access Memory (RAM), a magnetic disk or an optical disk, and other various media capable of storing program codes.
Theprocessor 310 in the electronic device provided in the embodiment of the present invention may call the logic instruction in thememory 330, and the implementation manner of theprocessor 310 in the electronic device is consistent with the implementation manner of the method for detecting the sealing quality of a cylindrical electrical core provided in the present invention, and the same beneficial effects may be achieved, and details are not described here.
In another aspect, an embodiment of the present invention further provides a computer program product, where the computer program product includes a computer program stored on a non-transitory computer-readable storage medium, where the computer program includes program instructions, and when the program instructions are executed by a computer, the computer is capable of executing the method for detecting the sealing quality of a cylindrical electrical core provided in the foregoing method embodiments, where the method includes: acquiring a circumferential image of a welding seam of a target end cover of a target cylindrical battery cell; performing target recognition on the circumferential image based on a target recognition model, and determining a weld joint region in the circumferential image; and acquiring a sealing and welding quality detection result of the target cylindrical battery cell based on the welding seam area in the circumferential image.
When the computer program product provided by the embodiment of the present invention is executed, the method for detecting the sealing and welding quality of the cylindrical electrical core is implemented, and the specific implementation manner of the method is consistent with the implementation manner described in the embodiment of the foregoing method, and the same beneficial effects can be achieved, and details are not repeated here.
In another aspect, an embodiment of the present invention further provides a non-transitory computer-readable storage medium, on which a computer program is stored, where the computer program is implemented by a processor to execute the method for detecting the sealing quality of a cylindrical battery cell provided in each of the above embodiments, where the method includes: acquiring a circumferential image of a welding seam of a target end cover of a target cylindrical battery cell; performing target recognition on the circumferential image based on a target recognition model, and determining a weld joint region in the circumferential image; and acquiring a sealing and welding quality detection result of the target cylindrical battery cell based on the welding seam area in the circumferential image.
When the computer program stored on the non-transitory computer-readable storage medium provided in the embodiment of the present invention is executed, the method for detecting the sealing quality of a cylindrical electrical core is implemented, and a specific implementation manner of the method is consistent with that described in the foregoing method, and the same beneficial effects can be achieved, which is not described herein again.
The above-described embodiments of the apparatus are merely illustrative, and the units described as separate parts may or may not be physically separate, and parts displayed as units may or may not be physical units, may be located in one place, or may be distributed on a plurality of network units. Some or all of the modules may be selected according to actual needs to achieve the purpose of the solution of the present embodiment. One of ordinary skill in the art can understand and implement it without inventive effort.
Through the above description of the embodiments, those skilled in the art will clearly understand that each embodiment can be implemented by software plus a necessary general hardware platform, and certainly can also be implemented by hardware. With this understanding in mind, the above-described technical solutions may be embodied in the form of a software product, which can be stored in a computer-readable storage medium such as ROM/RAM, magnetic disk, optical disk, etc., and includes instructions for causing a computer device (which may be a personal computer, a server, or a network device, etc.) to execute the methods described in the embodiments or some parts of the embodiments.
Finally, it should be noted that: the above examples are only intended to illustrate the technical solution of the present invention, but not to limit it; although the present invention has been described in detail with reference to the foregoing embodiments, it will be understood by those of ordinary skill in the art that: the technical solutions described in the foregoing embodiments may still be modified, or some technical features may be equivalently replaced; and such modifications or substitutions do not depart from the spirit and scope of the corresponding technical solutions of the embodiments of the present invention.

Claims (10)

1. A method for detecting the sealing and welding quality of a cylindrical battery cell is characterized by comprising the following steps:
acquiring a circumferential image of a welding seam of a target end cover of a target cylindrical battery cell;
performing target recognition on the circumferential image based on a target recognition model, and determining a weld joint region in the circumferential image;
and acquiring a sealing and welding quality detection result of the target cylindrical battery cell based on the welding seam area in the circumferential image.
2. The method for detecting the sealing quality of the cylindrical electrical core according to claim 1, wherein the acquiring a circumferential image of a weld of a target end cover of a target cylindrical electrical core specifically comprises:
controlling the target cylindrical battery cell to rotate, and acquiring an original image acquired by an image acquisition sensor positioned at a target position in the process of rotating the target cylindrical battery cell;
and acquiring the circumferential image based on the original image.
3. The method for detecting the sealing quality of the cylindrical electrical core according to claim 1, wherein the acquiring a circumferential image of a weld of a target end cover of a target cylindrical electrical core specifically comprises:
controlling an image acquisition sensor to rotate around the target cylindrical battery cell, and acquiring an original image acquired in the process that the image acquisition sensor rotates around the target cylindrical battery cell;
and acquiring the circumferential image based on the original image.
4. The method for detecting the sealing quality of the cylindrical electrical core according to claim 1, wherein the circumferential image comprises a plurality of images collected under different illumination conditions;
correspondingly, the obtaining of the sealing quality detection result of the target cylindrical battery cell based on the weld joint region in the circumferential image specifically includes:
acquiring a reflectivity image and a height map based on the weld joint region in each circumferential image;
performing defect detection based on the reflectivity map to obtain a first defect image, and performing defect detection based on the height map to obtain a second defect image;
acquiring a Hamming distance between the first defect image and the second defect image;
and determining a region where the first defect image and the second defect image are overlapped as a defect region when the Hamming distance is smaller than a distance threshold.
5. The method for detecting the sealing quality of the cylindrical electrical core according to claim 1, wherein the obtaining of the sealing quality detection result of the target cylindrical electrical core based on the weld region in the circumferential image specifically includes:
determining size information and/or position information of a weld based on a weld region in the circumferential image;
and acquiring a sealing and welding quality detection result of the target cylindrical battery cell based on the size information and/or the position information of the welding line.
6. The method for detecting the sealing quality of the cylindrical electrical core according to claim 1, wherein the obtaining of the sealing quality detection result of the target cylindrical electrical core based on the weld region in the circumferential image specifically includes:
and acquiring a sealing quality detection result of the target cylindrical battery cell based on each pixel value of the welding seam area in the circumferential image.
7. The method for detecting the sealing quality of the cylindrical electrical core according to claim 1, wherein the obtaining of the sealing quality detection result of the target cylindrical electrical core based on the weld region in the circumferential image specifically includes:
and comparing the number of the welding seam areas with a preset target number, and acquiring a sealing quality detection result of the target cylindrical battery cell according to a comparison result.
8. The utility model provides a cylinder electricity core seal quality detection device which characterized in that includes:
the image acquisition module is used for acquiring a circumferential image of a welding seam of a target end cover of the target cylindrical battery cell;
the image recognition module is used for carrying out target recognition on the circumferential image based on a target recognition model and determining a welding seam area in the circumferential image;
and the quality detection module is used for acquiring a sealing and welding quality detection result of the target cylindrical battery cell based on the welding seam area in the circumferential image.
9. An electronic device comprising a memory, a processor and a computer program stored on the memory and executable on the processor, wherein the processor executes the program to implement the steps of the method for detecting the sealing quality of a cylindrical cell according to any one of claims 1 to 7.
10. A non-transitory computer-readable storage medium, on which a computer program is stored, wherein the computer program, when being executed by a processor, implements the steps of the method for detecting sealing quality of a cylindrical cell according to any one of claims 1 to 7.
CN202111301021.3A2021-11-042021-11-04 Cylindrical battery core sealing quality detection method, device, electronic equipment and storage mediumActiveCN114119497B (en)

Priority Applications (1)

Application NumberPriority DateFiling DateTitle
CN202111301021.3ACN114119497B (en)2021-11-042021-11-04 Cylindrical battery core sealing quality detection method, device, electronic equipment and storage medium

Applications Claiming Priority (1)

Application NumberPriority DateFiling DateTitle
CN202111301021.3ACN114119497B (en)2021-11-042021-11-04 Cylindrical battery core sealing quality detection method, device, electronic equipment and storage medium

Publications (2)

Publication NumberPublication Date
CN114119497Atrue CN114119497A (en)2022-03-01
CN114119497B CN114119497B (en)2025-06-13

Family

ID=80380563

Family Applications (1)

Application NumberTitlePriority DateFiling Date
CN202111301021.3AActiveCN114119497B (en)2021-11-042021-11-04 Cylindrical battery core sealing quality detection method, device, electronic equipment and storage medium

Country Status (1)

CountryLink
CN (1)CN114119497B (en)

Cited By (4)

* Cited by examiner, † Cited by third party
Publication numberPriority datePublication dateAssigneeTitle
CN115170804A (en)*2022-07-262022-10-11无锡九霄科技有限公司Surface defect detection method, device, system and medium based on deep learning
CN115372376A (en)*2022-08-222022-11-22武汉逸飞激光股份有限公司Visual detection method and device for encapsulation state of cylindrical battery cell
CN117805025A (en)*2024-02-292024-04-02宁德时代新能源科技股份有限公司Appearance detection system and detection method for battery cell
CN119125165A (en)*2024-10-242024-12-13江苏时代新能源科技有限公司 Welding defect detection method, detection system, electronic equipment and storage medium

Citations (5)

* Cited by examiner, † Cited by third party
Publication numberPriority datePublication dateAssigneeTitle
DE102011102010A1 (en)*2011-05-192012-03-29Daimler AgMethod for determining quality of e.g. weld seam, for interconnecting conductor lugs of single cells for manufacture of cell block of motor car battery in automobile industry, involves determining quality based on image data density value
CN108088844A (en)*2016-11-222018-05-29朴力美电动车辆活力株式会社Battery connection structural bodies check device and battery connection structural bodies inspection method
CN109579718A (en)*2019-01-092019-04-05广州市顶丰自动化设备有限公司Detection method, device, computer equipment and the storage medium of weld seam parameter
CN111462110A (en)*2020-04-202020-07-28广东利元亨智能装备股份有限公司Welding seam quality detection method, device and system and electronic equipment
WO2021017725A1 (en)*2019-08-012021-02-04北京迈格威科技有限公司Product defect detection method, device and system

Patent Citations (5)

* Cited by examiner, † Cited by third party
Publication numberPriority datePublication dateAssigneeTitle
DE102011102010A1 (en)*2011-05-192012-03-29Daimler AgMethod for determining quality of e.g. weld seam, for interconnecting conductor lugs of single cells for manufacture of cell block of motor car battery in automobile industry, involves determining quality based on image data density value
CN108088844A (en)*2016-11-222018-05-29朴力美电动车辆活力株式会社Battery connection structural bodies check device and battery connection structural bodies inspection method
CN109579718A (en)*2019-01-092019-04-05广州市顶丰自动化设备有限公司Detection method, device, computer equipment and the storage medium of weld seam parameter
WO2021017725A1 (en)*2019-08-012021-02-04北京迈格威科技有限公司Product defect detection method, device and system
CN111462110A (en)*2020-04-202020-07-28广东利元亨智能装备股份有限公司Welding seam quality detection method, device and system and electronic equipment

Non-Patent Citations (2)

* Cited by examiner, † Cited by third party
Title
刘辉;万文;熊震宇;: "X射线焊缝图像的缺陷检测与识别技术", 电焊机, no. 04, 20 April 2017 (2017-04-20), pages 97 - 101*
陈智强;楼佩煌;钱晓明;: "硅电池片自动串焊表面缺陷在线视觉检测研究", 机电工程, no. 07, 20 July 2018 (2018-07-20), pages 117 - 122*

Cited By (6)

* Cited by examiner, † Cited by third party
Publication numberPriority datePublication dateAssigneeTitle
CN115170804A (en)*2022-07-262022-10-11无锡九霄科技有限公司Surface defect detection method, device, system and medium based on deep learning
CN115170804B (en)*2022-07-262024-01-26无锡九霄科技有限公司Surface defect detection method, device, system and medium based on deep learning
CN115372376A (en)*2022-08-222022-11-22武汉逸飞激光股份有限公司Visual detection method and device for encapsulation state of cylindrical battery cell
CN117805025A (en)*2024-02-292024-04-02宁德时代新能源科技股份有限公司Appearance detection system and detection method for battery cell
CN119125165A (en)*2024-10-242024-12-13江苏时代新能源科技有限公司 Welding defect detection method, detection system, electronic equipment and storage medium
CN119125165B (en)*2024-10-242025-03-21江苏时代新能源科技有限公司 Welding defect detection method, detection system, electronic equipment and storage medium

Also Published As

Publication numberPublication date
CN114119497B (en)2025-06-13

Similar Documents

PublicationPublication DateTitle
CN114119497B (en) Cylindrical battery core sealing quality detection method, device, electronic equipment and storage medium
CN113724216B (en)Method and system for detecting wave crest welding spot defects
WO2022062812A1 (en)Screen defect detection method, apparatus, and electronic device
WO2021169335A1 (en)Visual online detection method for laser welding point of lithium battery tab
CN119198754B (en) A visual inspection system for appearance defects of pressure sensors
CN114119464A (en)Lithium battery cell top cover welding seam appearance detection algorithm based on deep learning
CN115147370A (en)Battery top cover welding defect detection method and device, medium and electronic equipment
CN115797358B (en)Metal shell automatic welding defect detection method based on machine vision
CN112669262B (en)Motor axle vibration abnormity detection and prediction system and method
CN109146832B (en)Video image splicing method and device, terminal equipment and storage medium
JP4487405B2 (en) Iris circle detection device and iris pattern encoding device using the same
CN113744269B (en)Method and device for detecting welding quality of cylindrical battery cell, electronic equipment and storage medium
US20240420303A1 (en)Defect detection method, defect detection system, and defect detection program
RU2636681C2 (en)Extended analysis for image-based evaluation of v-ribbed belt wear
CN117054334B (en) A method and system for detecting defects in roof welding based on multiple cameras
Chu et al.A study on welding quality inspection system for shell-tube heat exchanger based on machine vision
CN111122590A (en)Ceramic surface defect detection device and detection method
US20230030689A1 (en)Systems and methods for quantifying light flares in images
CN119023596A (en) Defect detection method, equipment, medium and system for battery cell explosion-proof valve
CN113985830A (en) Feeding control method, device, electronic device and storage medium for sealing nails
KR102613402B1 (en)Vision inspection system for battery cap
CN118150593A (en) A pole piece burr online detection system, detection method and detection device
CN115601369B (en)Quality evaluation method for power transformation equipment support for power transmission and transformation engineering
KR102568680B1 (en)An apparatus detecting weld defect of hairpin motor with artificial intelligence techniques
CN114092438A (en) Method, device, electronic equipment and storage medium for welding quality detection of soft-packed cell

Legal Events

DateCodeTitleDescription
PB01Publication
PB01Publication
SE01Entry into force of request for substantive examination
SE01Entry into force of request for substantive examination
GR01Patent grant
GR01Patent grant

[8]ページ先頭

©2009-2025 Movatter.jp