Movatterモバイル変換


[0]ホーム

URL:


CN114103974A - A brain-computer interface method for continuous vehicle control - Google Patents

A brain-computer interface method for continuous vehicle control
Download PDF

Info

Publication number
CN114103974A
CN114103974ACN202111281941.3ACN202111281941ACN114103974ACN 114103974 ACN114103974 ACN 114103974ACN 202111281941 ACN202111281941 ACN 202111281941ACN 114103974 ACN114103974 ACN 114103974A
Authority
CN
China
Prior art keywords
brain
vehicle
fuzzy logic
driver
computer interface
Prior art date
Legal status (The legal status is an assumption and is not a legal conclusion. Google has not performed a legal analysis and makes no representation as to the accuracy of the status listed.)
Granted
Application number
CN202111281941.3A
Other languages
Chinese (zh)
Other versions
CN114103974B (en
Inventor
毕路拯
史浩男
杨枕戈
Current Assignee (The listed assignees may be inaccurate. Google has not performed a legal analysis and makes no representation or warranty as to the accuracy of the list.)
Beijing Institute of Technology BIT
Original Assignee
Beijing Institute of Technology BIT
Priority date (The priority date is an assumption and is not a legal conclusion. Google has not performed a legal analysis and makes no representation as to the accuracy of the date listed.)
Filing date
Publication date
Application filed by Beijing Institute of Technology BITfiledCriticalBeijing Institute of Technology BIT
Priority to CN202111281941.3ApriorityCriticalpatent/CN114103974B/en
Publication of CN114103974ApublicationCriticalpatent/CN114103974A/en
Application grantedgrantedCritical
Publication of CN114103974BpublicationCriticalpatent/CN114103974B/en
Expired - Fee Relatedlegal-statusCriticalCurrent
Anticipated expirationlegal-statusCritical

Links

Images

Classifications

Landscapes

Abstract

The invention discloses a brain-computer interface method for vehicle continuous control, and belongs to the technical field of human-computer interaction automatic control. A brain-computer interface method facing vehicle continuous control establishes a fuzzy logic module through a fuzzy logic interface and a fuzzy logic structure, and converts an original discrete command set into a continuously distributed command set, so that the operation mode of a driver is more flexible; meanwhile, the probabilistic output interface can reduce the cost paid by the process of correcting errors when classification of the electroencephalogram signals is wrong, so that the control precision is finer; according to the invention, on the premise of ensuring the safety of the brain-controlled vehicle and the real intention of the driver, the steering wheel corner with lower error cost is output through the probabilistic output port and the fuzzy logic, so that the error correcting time of the driver is reduced, and the control stability in the whole control process is kept.

Description

Brain-computer interface method for vehicle continuous control
Technical Field
The invention relates to the technical field of human-computer interaction automatic control, in particular to a brain-computer interface method for vehicle continuous control.
Background
The brain-computer interface can establish a direct information communication channel between the brain of a person and external devices (such as a computer, an intelligent wheelchair and an intelligent vehicle), and can directly transmit the intention of the person to an external control unit through the brain. The brain-computer interface technology is widely applied to the fields of brain-controlled artificial limbs, brain-controlled robots, brain-controlled wheelchairs, brain-controlled browsing web pages, brain-controlled vehicles and the like; the brain-controlled vehicle means that a brain-controlled driver directly controls the lateral and longitudinal movement of the vehicle through a brain-computer interface by using the brain. On one hand, the vehicle is used as manned mobile equipment running at a high speed, and the activity space and the self-care capability of the user with limited limb movement are greatly expanded due to the brain-controlled vehicle; on the other hand, the appearance of brain-controlled vehicles provides a novel driving mode different from the traditional driving mode for normal users.
The existing brain-controlled vehicle system is in an initial development stage, and the performances in the aspects of driving safety, control stability and the like are not good enough. Considering the requirements of a brain-controlled driver on safety and comfort, as a manned mobile device, the brain-controlled vehicle should have higher driving safety and control stability. Brain-computer interface technology is generally divided into five parts: signal selection, signal acquisition, signal preprocessing, feature extraction and classification. To improve brain-computer interface technology, existing research has made great efforts in these five areas. In a brain-controlled vehicle system, the key technologies are a brain-computer interface technology and an auxiliary control technology. Therefore, on one hand, the performance of the brain-controlled vehicle system can be improved by improving the brain-computer interface technology; on the other hand, the performance of the brain-controlled vehicle system can be improved by adding an auxiliary control technology. In view of the above reasons, the present invention provides a brain-computer interface method for vehicle continuous control, which performs probabilistic processing on each command, and then uses a fuzzy logic module to generate the pose of the controlled vehicle for several probabilistic commands.
Disclosure of Invention
1. Technical problem to be solved by the invention
The invention aims to provide a brain-computer interface method facing vehicle continuous control, which can improve the control stability of a brain-controlled vehicle and reduce the work load of a driver, and under the premise of ensuring the safety of the brain-controlled vehicle and the real intention of the driver, the steering wheel corner with lower error cost is output through a probabilistic output port and fuzzy logic, so that the error correcting time of the driver is reduced, and the control stability in the whole control process is kept.
2. Technical scheme
In order to achieve the purpose, the invention provides the following technical scheme:
a brain-computer interface method for vehicle continuous control comprises the following steps:
s1, constructing an integral control framework, wherein the control framework consists of a driver, a probabilistic output interface, a fuzzy logic interface, other auxiliary controllers and a controlled vehicle;
s2, making a decision by the driver according to the current road vehicle information, sending out a corresponding electroencephalogram signal, and collecting the electroencephalogram signal of the driver;
s3, performing frequency domain feature extraction and probabilistic processing on the electroencephalogram signal of the driver acquired in the S2 by using a probabilistic output interface;
and S4, carrying out fuzzy logic processing on each probability processed in the S3 by using a fuzzy logic interface, and finely adjusting output signals by using other auxiliary controllers according to environmental information so as to obtain the pose of the controlled vehicle.
Preferably, the step of collecting the electroencephalogram signal of the driver mentioned in S2 adopts an experimental paradigm of steady-state visual evoked potentials, and simultaneously, the electroencephalogram signal is processed by using CCA.
Preferably, the probabilistic process mentioned in S3 includes a probabilistic process of performing a logistic regression on the acceleration, deceleration, start/stop, left turn, right turn instructions at the steady state visual evoked potential and the commands at the non-steady state visual evoked potential.
Preferably, the fuzzy logic processing mentioned in S4 specifically includes the following steps:
s41, fuzzifying the probability of each command;
s42, obtaining a membership function according to the fuzzification processing in S41, and carrying out longitudinal fuzzy logic reasoning on the side of the brain-controlled vehicle;
and S43, performing defuzzification according to the fuzzy inference result, and outputting the change quantity of the steering wheel angle of the vehicle and the acceleration of the vehicle.
Preferably, the fuzzification process mentioned in S41 is implemented by including two membership functions, i.e., an S-type function and a Z-type function, for each input command.
Preferably, the step of performing the defuzzification on the result of the fuzzy inference mentioned in the step S43 uses a mean center of gravity method.
3. Advantageous effects
The fuzzy logic module is established through the fuzzy logic interface and the fuzzy logic structure, and the originally discrete command set is converted into the continuously distributed command set, so that the operation mode of a driver is more flexible; meanwhile, the probabilistic output interface can reduce the cost of the process of correcting errors when classification of the electroencephalogram signals is wrong, and the control precision is finer.
Drawings
Fig. 1 is a schematic diagram of an overall control framework of a brain-computer interface method for vehicle continuous control according to the present invention;
fig. 2 is a schematic diagram of an overall control framework in an embodiment 2 of a brain-computer interface method for vehicle continuous control according to the present invention;
fig. 3 is a schematic flowchart of a probabilistic interface in embodiment 2 of a brain-computer interface method for vehicle continuous control according to the present invention;
fig. 4 is a schematic flow chart of a fuzzy logic interface in embodiment 2 of a brain-computer interface method for vehicle continuous control according to the present invention;
fig. 5 is a schematic diagram of a membership function in embodiment 2 of a brain-computer interface method for vehicle continuous control according to the present invention;
fig. 6 is a schematic diagram of a defuzzification membership function in embodiment 2 of a brain-computer interface method for vehicle continuous control according to the present invention.
Detailed Description
The technical solutions in the embodiments of the present invention will be clearly and completely described below with reference to the drawings in the embodiments of the present invention, and it is obvious that the described embodiments are only a part of the embodiments of the present invention, and not all of the embodiments. All other embodiments, which can be derived by a person skilled in the art from the embodiments given herein without making any creative effort, shall fall within the protection scope of the present invention.
Example 1:
referring to fig. 1, a brain-computer interface method for vehicle continuous control includes the following steps:
s1, constructing an integral control framework, wherein the control framework consists of a driver, a probabilistic output interface, a fuzzy logic interface, other auxiliary controllers and a controlled vehicle;
s2, making a decision by the driver according to the current road vehicle information, sending out a corresponding electroencephalogram signal, and collecting the electroencephalogram signal of the driver;
the electroencephalogram signal of the driver is collected in the S2 by adopting an experimental paradigm of steady-state visual evoked potential, and meanwhile, the electroencephalogram signal is processed by using CCA.
S3, performing frequency domain feature extraction and probabilistic processing on the electroencephalogram signal of the driver acquired in the S2 by using a probabilistic output interface;
the probabilistic processing mentioned in S3 includes probabilistic processing of performing logistic regression on the acceleration, deceleration, start/stop, left turn, right turn instructions under the steady-state visual evoked potential and the commands under the unsteady-state visual evoked potential;
s4, carrying out fuzzy logic processing on each probability processed in S3 by using a fuzzy logic interface, and meanwhile, finely adjusting an output signal by using other auxiliary controllers according to environmental information so as to obtain the pose of the controlled vehicle;
the fuzzy logic processing in S4 specifically includes the following steps:
s41, fuzzifying the probability of each command;
the fuzzification processing mentioned in S41 is specifically that each input command includes two membership functions, which are an S-type function and a Z-type function respectively;
s42, obtaining a membership function according to the fuzzification processing in S41, and carrying out longitudinal fuzzy logic reasoning on the side of the brain-controlled vehicle;
s43, performing defuzzification according to the fuzzy inference result, and outputting the change quantity of the steering wheel angle of the vehicle and the acceleration of the vehicle;
the blurring operation of the result of the blurring inference mentioned in S43 employs the mean-gravity-center method.
The fuzzy logic module is established through the fuzzy logic interface and the fuzzy logic structure, and the originally discrete command set is converted into the continuously distributed command set, so that the operation mode of a driver is more flexible; meanwhile, the probabilistic output interface can reduce the cost of the process of correcting errors when classification of the electroencephalogram signals is wrong, and the control precision is finer.
Example 2:
referring to fig. 2-6, the basic difference between theembodiments 1,
the overall control framework is composed of a driver, a probabilistic output interface, an adaptive control interface, an MPC auxiliary controller and a controlled vehicle, as shown in FIG. 2.
Making a decision by a driver according to the current road vehicle information, and sending out a corresponding electroencephalogram signal; the probabilistic output calculates a corresponding probability value according to the quality of the electroencephalogram signal; the fuzzy logic interface outputs a signal with the minimum error cost according to the error information, and fine adjustment is carried out according to the environment information, so that the control precision is finer.
Referring to fig. 3-5, the experimental paradigm of the electroencephalogram signal selected by the present invention is five instructions selected for Steady State visual Evoked Potential (EEVEP), which correspond to five different stimulation frequencies, namely acceleration, deceleration, start-stop, left turn, and right turn.
In order to reduce the workload of the driver, the invention introduces commands in an uncontrolled state. The command is not the evoked stimulus of the SSVEP, so training is required before testing, and experimental data of the subject is collected.
After the traditional CCA processing, the classification with the maximum correlation coefficient is directly selected as output.
At a certain moment, the correlation coefficient obtained after the acquired electroencephalogram signals are processed by CCA is rho ═ rho1 ρ2 ρ3ρ4 ρ5]Where ρ isiAnd indicating the CCA processing result of the ith instruction corresponding to the current time.
The fitting probabilistic output model adopts a logistic regression method, and the expression is as follows:
Figure BDA0003331434290000061
wherein, and B are parameters to be fitted; ρ is the corresponding correlation coefficient; p is the probability of the final output.
The fitting process employs minimization of a cross entropy loss function:
Figure BDA0003331434290000062
in the formula, tiIs a label thereof; t isti1 indicates that the ith sample belongs to such an instruction; t isti0 means that the ith sample does not belong to such an instruction.
The SSVEP output middle start-stop command can affect the start and stop functions of the automobile, namely the start-stop command corresponds to a boul type variable and has higher priority than other 5 commands, and therefore, a built-in counter is designed. Wherein count satisfies the condition: 0 is more than or equal to count and is less than or equal to k. And when the start-stop command is activated, adding 1 to the count, otherwise, subtracting 1, resetting when the count reaches k each time, and changing the start-stop state of the automobile.
A simplified diagram of a fuzzy logic interface is shown in fig. 4. The fuzzy logic interface comprises fuzzification, fuzzy logic reasoning and defuzzification. The fuzzification contains five inputs: left turn, right turn, acceleration, deceleration, hold; comprises two output quantities: the amount of change Δ θ in the steering angle, and the acceleration a. The membership function of the input quantities is shown in fig. 5.
The membership functions of the five input quantities are the same, each instruction comprises two membership functions of H and L, and after fuzzification, the probability of each instruction is converted into two corresponding membership of an H and L fuzzy set. The membership function uses an S-type function and a Z-type function.
And logically reasoning the membership function of each input quantity to meet the following principle: logic or taking the maximum value of the membership degree of the logic or the maximum value of the membership degree of the logic or the membership degree of the logic or the maximum value of the logic or the membership degree of the logic or the maximum value of the logic or the membership degree of the logic or the maximum value of the logic or the membership degree; taking the minimum value of the membership degrees of the logic AND and the AND; the logic is not to take 1 and the membership difference. Fuzzy logic reasoning in the text adopts AND logic, and a specific reasoning process is made into a table display as shown in a table 1 and a table 2.
TABLE 1 longitudinal fuzzy logic
Figure BDA0003331434290000081
TABLE 2 side fuzzy logic
Figure BDA0003331434290000082
In table 1, GF indicates a longitudinal non-control command (i.e., constant speed travel indicates a state where the acceleration is close to 0); SU, SD represent acceleration and deceleration commands, respectively. In table 2, GF indicates a lateral non-control command (i.e., the steering wheel angle does not change from the previous time), and R and L respectively indicate left-turn and right-turn commands.
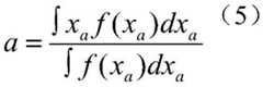
The defuzzification adopts an average gravity center method. And solving the output quantity membership degree obtained by inference through an average gravity center method to obtain the output quantity.
Figure BDA0003331434290000091
Figure BDA0003331434290000092
u(t)=u(t-1)+Δu(t) (6)
In the formula, xθIs the abscissa, x, of the corner portion of the steering wheelaThe abscissa of the acceleration portion. f (-) is a membership function of the output quantity, as shown in FIG. 6.
The left side represents a membership function of the steering angle of the steering wheel of the vehicle, and the right side represents a membership function of the acceleration of the vehicle; the obtained steering wheel angle and acceleration of the vehicle can be used as input quantities of other auxiliary controllers.
The above description is only for the preferred embodiment of the present invention, but the scope of the present invention is not limited thereto, and any person skilled in the art should be considered to be within the technical scope of the present invention, and the equivalent replacement or change according to the technical solution and the modified concept of the present invention should be covered by the scope of the present invention.

Claims (6)

1. A brain-computer interface method for vehicle continuous control is characterized by comprising the following steps:
s1, constructing an integral control framework, wherein the control framework consists of a driver, a probabilistic output interface, a fuzzy logic interface, other auxiliary controllers and a controlled vehicle;
s2, making a decision by the driver according to the current road vehicle information, sending out a corresponding electroencephalogram signal, and collecting the electroencephalogram signal of the driver;
s3, performing frequency domain feature extraction and probabilistic processing on the electroencephalogram signal of the driver acquired in the S2 by using a probabilistic output interface;
and S4, carrying out fuzzy logic processing on each probability processed in the S3 by using a fuzzy logic interface, and finely adjusting output signals by using other auxiliary controllers according to environmental information so as to obtain the pose of the controlled vehicle.
2. The brain-computer interface method for the continuous control of the vehicle as claimed in claim 1, wherein said collecting the driver' S brain electrical signal in S2 adopts an experimental paradigm of steady-state visual evoked potential, and uses CCA to process the brain electrical signal.
3. The brain-computer interface method for vehicle continuous control according to claim 1, wherein the probabilistic process in S3 includes a probabilistic process of performing logistic regression on the acceleration, deceleration, start/stop, left turn, right turn commands in the steady state visual evoked potential and the commands in the non-steady state visual evoked potential.
4. The brain-computer interface method for the continuous control of the vehicle according to claim 1, wherein the fuzzy logic processing mentioned in S4 specifically comprises the following steps:
s41, fuzzifying the probability of each command;
s42, obtaining a membership function according to the fuzzification processing in S41, and carrying out longitudinal fuzzy logic reasoning on the side of the brain-controlled vehicle;
and S43, performing defuzzification according to the fuzzy inference result, and outputting the change quantity of the steering wheel angle of the vehicle and the acceleration of the vehicle.
5. The brain-computer interface method for vehicle continuous control according to claim 4, wherein the fuzzification process mentioned in S41 is implemented by including two membership functions for each input command, i.e. an S-type function and a Z-type function.
6. The brain-computer interface method for vehicle continuous control according to claim 4, wherein the defuzzification of the fuzzy inference result mentioned in S43 uses mean center of gravity method.
CN202111281941.3A2021-11-012021-11-01Brain-computer interface method for vehicle continuous controlExpired - Fee RelatedCN114103974B (en)

Priority Applications (1)

Application NumberPriority DateFiling DateTitle
CN202111281941.3ACN114103974B (en)2021-11-012021-11-01Brain-computer interface method for vehicle continuous control

Applications Claiming Priority (1)

Application NumberPriority DateFiling DateTitle
CN202111281941.3ACN114103974B (en)2021-11-012021-11-01Brain-computer interface method for vehicle continuous control

Publications (2)

Publication NumberPublication Date
CN114103974Atrue CN114103974A (en)2022-03-01
CN114103974B CN114103974B (en)2022-07-29

Family

ID=80380154

Family Applications (1)

Application NumberTitlePriority DateFiling Date
CN202111281941.3AExpired - Fee RelatedCN114103974B (en)2021-11-012021-11-01Brain-computer interface method for vehicle continuous control

Country Status (1)

CountryLink
CN (1)CN114103974B (en)

Cited By (2)

* Cited by examiner, † Cited by third party
Publication numberPriority datePublication dateAssigneeTitle
CN116788271A (en)*2023-06-302023-09-22北京理工大学 Brain-controlled driving method and system based on human-machine collaborative control
CN117908674A (en)*2024-01-112024-04-19北京理工大学 Brain-computer interface and brain-computer control method for brain-controlled air-ground collaborative unmanned system

Citations (11)

* Cited by examiner, † Cited by third party
Publication numberPriority datePublication dateAssigneeTitle
US5587898A (en)*1994-03-171996-12-24Siemens AktiengesellschaftMethod and apparatus for fuzzy control
US20030101149A1 (en)*2001-02-232003-05-29Jaeger Gregg S.Method and system for the quantum mechanical representation and processing of fuzzy information
US20120035765A1 (en)*2009-02-242012-02-09Masaaki SatoBrain information output apparatus, robot, and brain information output method
CN102789316A (en)*2012-07-122012-11-21上海海事大学Control method for movement of two-dimensional cursor of brain machine interface based on motor imageries
CN103699124A (en)*2013-12-042014-04-02北京工业大学Fuzzy neural network control method for omni-directional intelligent wheelchair to avoid obstacle
CN105584479A (en)*2016-01-182016-05-18北京理工大学Computer-controlled vehicle-oriented model prediction control method and computer-controlled vehicle utilizing method
CN108491071A (en)*2018-03-052018-09-04东南大学A kind of brain control vehicle Compliance control method based on fuzzy control
US20190378397A1 (en)*2018-06-122019-12-12Intergraph CorporationArtificial intelligence applications for computer-aided dispatch systems
CN111728609A (en)*2020-08-262020-10-02腾讯科技(深圳)有限公司Electroencephalogram signal classification method, classification model training method, device and medium
CN112000087A (en)*2020-09-062020-11-27天津大学Intent priority fuzzy fusion control method for brain-controlled vehicle
US20210093241A1 (en)*2017-08-032021-04-01Toyota Motor EuropeMethod and system for determining a driving intention of a user in a vehicle using eeg signals

Patent Citations (11)

* Cited by examiner, † Cited by third party
Publication numberPriority datePublication dateAssigneeTitle
US5587898A (en)*1994-03-171996-12-24Siemens AktiengesellschaftMethod and apparatus for fuzzy control
US20030101149A1 (en)*2001-02-232003-05-29Jaeger Gregg S.Method and system for the quantum mechanical representation and processing of fuzzy information
US20120035765A1 (en)*2009-02-242012-02-09Masaaki SatoBrain information output apparatus, robot, and brain information output method
CN102789316A (en)*2012-07-122012-11-21上海海事大学Control method for movement of two-dimensional cursor of brain machine interface based on motor imageries
CN103699124A (en)*2013-12-042014-04-02北京工业大学Fuzzy neural network control method for omni-directional intelligent wheelchair to avoid obstacle
CN105584479A (en)*2016-01-182016-05-18北京理工大学Computer-controlled vehicle-oriented model prediction control method and computer-controlled vehicle utilizing method
US20210093241A1 (en)*2017-08-032021-04-01Toyota Motor EuropeMethod and system for determining a driving intention of a user in a vehicle using eeg signals
CN108491071A (en)*2018-03-052018-09-04东南大学A kind of brain control vehicle Compliance control method based on fuzzy control
US20190378397A1 (en)*2018-06-122019-12-12Intergraph CorporationArtificial intelligence applications for computer-aided dispatch systems
CN111728609A (en)*2020-08-262020-10-02腾讯科技(深圳)有限公司Electroencephalogram signal classification method, classification model training method, device and medium
CN112000087A (en)*2020-09-062020-11-27天津大学Intent priority fuzzy fusion control method for brain-controlled vehicle

Non-Patent Citations (4)

* Cited by examiner, † Cited by third party
Title
JINLING LIAN,LUZHENG BI,WEIJIE FEI: "A Novel Event-Related Potential-Based Brain-Computer Interface for Continuously Controlling Dynamic Systems", 《IEEE ACCESS》*
ZAHID R,BI LZ: "Fuzzy-Based Shared Control for Brain-controlled Mobile Robot", 《PROCEEDINGS OF THE 39TH CHINESE CONTROL CONFERENCE》*
崔丽霞,杨济民,常洪丽: "基于概率协作表示的运动想象脑电分类算法", 《山东科学》*
黄漫玲,吴平东,毕路拯,刘莹: "闪光视觉诱发电位在脑机接口中的应用研究", 《计算机应用与软件》*

Cited By (3)

* Cited by examiner, † Cited by third party
Publication numberPriority datePublication dateAssigneeTitle
CN116788271A (en)*2023-06-302023-09-22北京理工大学 Brain-controlled driving method and system based on human-machine collaborative control
CN116788271B (en)*2023-06-302024-03-01北京理工大学Brain control driving method and system based on man-machine cooperation control
CN117908674A (en)*2024-01-112024-04-19北京理工大学 Brain-computer interface and brain-computer control method for brain-controlled air-ground collaborative unmanned system

Also Published As

Publication numberPublication date
CN114103974B (en)2022-07-29

Similar Documents

PublicationPublication DateTitle
EP4105095A1 (en)Control method, apparatus and device, and storage medium
CN114103974A (en) A brain-computer interface method for continuous vehicle control
CN112356841B (en) A vehicle control method and device based on brain-computer interaction
CN105598972B (en)A kind of robot system and exchange method
CN108197580B (en)A kind of gesture identification method based on 3d convolutional neural networks
CN106741137A (en)A kind of personalized electric boosting steering system and control method
EP3947086A1 (en)Method and device for monitoring a state of health, conditioned by a driving operation, of occupants of an, in particular, autonomous vehicle
CN112000087A (en)Intent priority fuzzy fusion control method for brain-controlled vehicle
CN117227834B (en) A human-machine collaborative steering control method for special vehicles
DE102021122037A1 (en) PREDICTING CHASSIS INPUT INTENT VIA BRAIN-MACHINE INTERFACE AND DRIVER MONITORING SENSOR FUSION
CN111252077A (en)Vehicle control method and device
CN108874137A (en)A kind of gesture motion based on EEG signals is intended to the universal model of detection
CN116594858A (en) A human-computer interaction evaluation method and system for an intelligent cockpit
CN114358130A (en)Method for intelligent control of electric chair through brain-electricity-eye fusion
CN104076687A (en)Decoupling control method for active suspension and electric power steering integration system
CN111562739A (en) A human-machine hybrid intelligent cooperative vehicle following control method that keeps the driver in the loop
Jianan et al.Development of human-computer interactive interface for intelligent automotive
CN117944773A (en)Electric tail wing control method, system, vehicle and storage medium
CN106326873B (en)The manipulation Intention Anticipation method of CACC driver's limbs electromyography signal characterization
Pérez et al.Design and implementation of a neuro-fuzzy system for longitudinal control of autonomous vehicles
CN112874537A (en)Man-machine co-driving control method of intelligent driving system under emergency risk avoidance
CN117908674A (en) Brain-computer interface and brain-computer control method for brain-controlled air-ground collaborative unmanned system
US11774928B2 (en)Interventional control method based on computer control system and interventional computer control system
CN113788018A (en)Longitudinal queue associated vehicle system under influence of communication time delay and fuzzy control method thereof
CN116853270A (en)Automobile driving control method and automobile

Legal Events

DateCodeTitleDescription
PB01Publication
PB01Publication
SE01Entry into force of request for substantive examination
SE01Entry into force of request for substantive examination
GR01Patent grant
GR01Patent grant
CF01Termination of patent right due to non-payment of annual fee

Granted publication date:20220729

CF01Termination of patent right due to non-payment of annual fee

[8]ページ先頭

©2009-2025 Movatter.jp