Movatterモバイル変換


[0]ホーム

URL:


CN114089334A - Double-base circular track SAR imaging method based on space diversity idea - Google Patents

Double-base circular track SAR imaging method based on space diversity idea
Download PDF

Info

Publication number
CN114089334A
CN114089334ACN202111328398.8ACN202111328398ACN114089334ACN 114089334 ACN114089334 ACN 114089334ACN 202111328398 ACN202111328398 ACN 202111328398ACN 114089334 ACN114089334 ACN 114089334A
Authority
CN
China
Prior art keywords
signal
distance
fourier transform
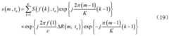
bcsar
formula
Prior art date
Legal status (The legal status is an assumption and is not a legal conclusion. Google has not performed a legal analysis and makes no representation as to the accuracy of the status listed.)
Granted
Application number
CN202111328398.8A
Other languages
Chinese (zh)
Other versions
CN114089334B (en
Inventor
张俊
王伟
向聪
田斌
孔祥辉
梁晓宇
Current Assignee (The listed assignees may be inaccurate. Google has not performed a legal analysis and makes no representation or warranty as to the accuracy of the list.)
Xian Electronic Engineering Research Institute
Original Assignee
Xian Electronic Engineering Research Institute
Priority date (The priority date is an assumption and is not a legal conclusion. Google has not performed a legal analysis and makes no representation as to the accuracy of the date listed.)
Filing date
Publication date
Application filed by Xian Electronic Engineering Research InstitutefiledCriticalXian Electronic Engineering Research Institute
Priority to CN202111328398.8ApriorityCriticalpatent/CN114089334B/en
Publication of CN114089334ApublicationCriticalpatent/CN114089334A/en
Application grantedgrantedCritical
Publication of CN114089334BpublicationCriticalpatent/CN114089334B/en
Activelegal-statusCriticalCurrent
Anticipated expirationlegal-statusCritical

Links

Images

Classifications

Landscapes

Abstract

The invention relates to a double-base circular track SAR imaging method based on a space diversity idea, and belongs to the technical field of SAR imaging. Constructing a reference signal, compensating the received echo signal by using the reference signal, and carrying out FFT (fast Fourier transform) on the signal to a distance frequency domain along a distance dimension; compensating for the RVP term in the signal; after the compensation function is constructed and multiplied by the signal, inverse FFT transformation is carried out; and performing linear interpolation transformation on the signals after IFFT transformation along the distance dimension, and multiplying the signals by a distance difference correction function to obtain a final image. The method can realize the effect of space time exchange under the condition of limited bandwidth, further remarkably increase the Fourier space sampling area of the signal, and effectively inhibit high side lobe and ringing effect in the double-base circular track SAR imaging result.

Description

Double-base circular track SAR imaging method based on space diversity idea
Technical Field
The invention belongs to the technical field of SAR imaging, and particularly relates to a double-base circular track SAR imaging method based on a space diversity idea.
Background
The bistatic circular track synthetic aperture radar (BCSAR) has the characteristics of circular observation track and separate receiving and transmitting, and can acquire high-resolution images and fine observation information of an observation scene. In addition, the BCSAR has a more flexible imaging configuration, the configuration of the BCSAR can be adjusted according to actual observation needs, the system sensitivity of the BCSAR is further improved, and the imaging performance is improved.
In recent years, the attention and research heat of domestic and foreign scientific research institutions on BCSAR are continuously improved. Wang et al have designed and proposed a parallel motion double-base circular trajectory synthetic aperture radar (PM-BCSAR) imaging model, under this imaging model, the angular velocity of radar receiving platform and launching platform is the same with radius of rotation, the only difference is the working height of two radar platforms. Another typical BCSAR imaging model is a single fixed platform double-base circular track synthetic aperture radar (OS-BCSAR) imaging model proposed by Xie et al, and the system is composed of a transmitter fixed at a specific position and a receiver making circular track motion, and continuously observes the same region for a long time. Although the various BCSAR imaging models have great application potential and advantages of high-resolution and omnibearing observation, in actual processing, when a radar carries out 360-degree full-view observation imaging on a scene, images often have serious ringing effect and high sidelobe problems, so that the imaging performance is obviously reduced. In conventional SAR imaging processing, the most common processing approach is windowed suppression when high levels of sidelobes are present, but for BCSAR imaging this approach has hardly any gain. To solve the problem, Yu et al propose a method for extrapolating one-dimensional spectrum data of a circular track SAR based on an autoregressive model to suppress high side lobes, but the method cannot improve the integral side lobe ratio of an imaging result, the suppression effect of the method depends on the estimation precision of the spectrum data, and when the spectrum estimation precision is poor, the side lobe suppression effect is also obviously reduced. Zhanxiangkun and the like find that when the transmission bandwidth is increased, the ringing effect in the image is weakened and the sidelobe level is reduced, and the finding provides a certain thought for the sidelobe suppression of the BCSAR image, but a large number of experiments show that the great bandwidth increment can only be replaced by a small amount of sidelobe level reduction, and the mode of directly increasing the bandwidth is low in efficiency. Therefore, an effective method is needed to be researched to solve the problems of ringing effect and high sidelobe level in BCSAR imaging and improve the final image quality.
Disclosure of Invention
Technical problem to be solved
In order to avoid the defects of the prior art, the invention provides an improved BCSAR (GD-BCSAR) imaging geometric configuration and a corresponding algorithm based on spatial diversity, which reduces the discontinuity of a signal in a Fourier space sampling area and effectively inhibits the ringing effect and high-level side lobes in an imaging result.
Technical scheme
A double-base circular track SAR imaging method based on space diversity idea is characterized by comprising the following steps:
step 1: constructing a reference signal;
suppose there is a target point p in the observation scene with Cartesian coordinates of (x)p,yp,zp) The coordinates of the transmitting end and the receiving end are (x) respectivelyt(ta),yt(ta),zt(ta) And (x)r(ta),yr(ta),zr(ta) In which t) isaRepresents a slow time; the two-segment instantaneous slant distance from the phase center of the antenna to the point target p is expressed as
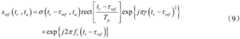
Figure BDA0003347986280000021
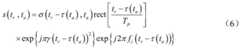
Assuming that the radar transmits a chirp signal, the expression of the received echo signal is as follows:
Figure BDA0003347986280000022
where σ, Tpγ and fcRespectively representing objectsScattering coefficient, transmission pulse width, signal modulation frequency and central carrier frequency, rect [. degree]Represents a rectangular window function and has
Figure BDA0003347986280000031
In the formula trDenotes the distance fast time, τ (t)a) Represents a time delay and has
Figure BDA0003347986280000032
Wherein c represents the speed of light; the invention aims at the problem of two-dimensional imaging of an x-y plane, so that target points are all positioned in the x-y plane, namely z is providedp=0;
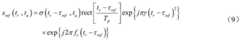
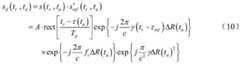
Selecting the center of an imaging scene as a reference point, and setting the distances from the phase centers of the receiver and the transmitter to the reference point as Rt_refAnd Rr_ref(ii) a In this case, the time delay of the reference range echo is taurefReference range echo signal sref(tr,ta) The expression of (a) is:
Figure BDA0003347986280000033
step 2: compensating the received echo signal by using a reference signal, and carrying out FFT (fast Fourier transform) on the signal along a distance dimension to a distance frequency domain;
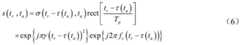
assuming that the scattering coefficient of the target is a constant value, the echo signal is subjected to deskew processing:
Figure BDA0003347986280000034
wherein A represents the amplitude of the signal, represents the operation of taking the conjugate, and conjugates the reference signal
Figure BDA0003347986280000035
The width of the rectangular window function should be slightly wider than the echoSignal s (t)r,ta) The rectangular window function width of (1); Δ R (t)a) Represents the difference between the instantaneous slope of the point target and the slope of the reference point, and has
ΔR(ta)=Rt(ta)-Rt_ref+Rr(ta)-Rr_ref (11)
FFT is carried out on the signals in the formula (10) along the distance dimension to obtain signals s on the distance frequency domaind(fr,ta) Is expressed as
Figure BDA0003347986280000041
Where sinc (·) denotes a sinc function, with sinc (x) sin (π x)/(π x);
and step 3: compensating for the RVP term in the signal;
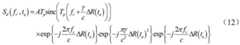
neglecting the variation of the signal envelope, the phase term of the second term in the above equation is the RVP term, which needs to be compensated; constructing the compensation function according to equation (12) is as follows
Figure BDA0003347986280000042
Multiplying the above formula by formula (12) to achieve RVP compensation; suppose an intra-pulse distance frequency frK, a new distance frequency is defined as f (K) ═ fc+fr(k) Represented by the sequence { f (K) | K ═ 1,2, …, K }; the range frequency domain signal S (f (k), t) of GD-BCSARa) Is rewritten as
Figure BDA0003347986280000043
Writing the response function of the mth discrete distance unit in the above formula by using a matched filtering mode
Figure BDA0003347986280000044
Taking into account that the range frequency f (k) has the following relation
f(k)=(k-1)Δf+f(1) (15)
Where Δ f represents a frequency difference; after the above formula is substituted into formula (14), signal s (m, t)a) Is rewritten as
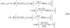
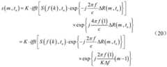
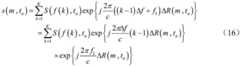
Figure BDA0003347986280000045
And 4, step 4: after the compensation function is constructed and multiplied by the signal, inverse FFT transformation is carried out;
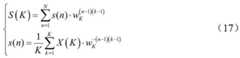
in order to perform back projection on the formula (16), it is necessary to rewrite the formula into an inverse fourier transform; giving the discrete Fourier transform definitional expression of the signal sequence s (n) and S (K)
Figure BDA0003347986280000051
Wherein the transformation factor wKIs expressed as wKExp-j 2 pi/K, the inverse discrete fourier transform of s (K) is then applied
Figure BDA0003347986280000052
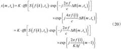
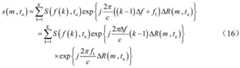
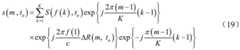
In order to rewrite the expression (16) to the fourier transform form, it is necessary to process the signal s (m, t) after rewriting so that the phase of the signal s contains a phase term similar to the above expressiona) Is expressed as
Figure BDA0003347986280000053
Signal s (m, t) according to the Fourier transform definition in equation (17)a) The final write is in the form
Figure BDA0003347986280000054
Defining a first phase term in the above equation as a compensation function for inverse fourier transform, and a second term as a distance difference correction function; k represents a scaling factor of Fourier transform, and the scaling factor is 1/K in inverse Fourier transform; in the actual processing, the distance difference between each pulse and a pixel point of a projection plane needs to be calculated, and the coordinates (x, y, z) of the pixel point are inserted into the slot (5);
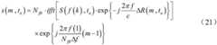
and 5: after the signal is subjected to IFFT along a distance dimension, linear interpolation transformation is carried out, and the signal is multiplied by a distance difference correction function to obtain a final image;
after zero-filling operation is performed on the formula (20), the signal is expressed as
Figure BDA0003347986280000061
When K > K, there is S (f (K), ta)=0;NfftNumber of points, N, defined as inverse Fourier transformfftTaking the power of 2;
to obtain a given impulse response function for a pixel at a projection plane position P, the distance difference Δ R (t) needs to be calculateda) And for the signal s (m, t)a) Interpolation processing is carried out to obtain sint(P,ta(n)); define the full time sequence as ta(N) | N ═ 1,2, …, N }, so the resulting image response function i (p) is the sum of the response functions for all pulses:
Figure BDA0003347986280000062
a computer system, comprising: one or more processors, a computer readable storage medium, for storing one or more programs, wherein the one or more programs, when executed by the one or more processors, cause the one or more processors to implement the method described above.
A computer-readable storage medium having stored thereon computer-executable instructions for performing the above-described method when executed.
A computer program comprising computer executable instructions which when executed perform the method described above.
Advantageous effects
The novel BCSAR imaging configuration and processing method provided by the invention can inhibit high sidelobe and ringing effect existing in the traditional BCSAR imaging, thereby improving the image resolution. By combining with the Fourier space sampling theory for analysis, the reason that the traditional BCSAR system imaging can generate ringing effect and high sidelobe is revealed: due to the limitation of the transmission bandwidth, the sampling area of the signal in the Fourier space has serious discontinuity, and the discontinuity causes the generation of high side lobe and ringing effect. Based on the analysis, the idea of space diversity is introduced, the GD-BCSAR imaging geometric configuration and the corresponding algorithm are designed, and the sampling characteristics of the GD-BCSAR imaging geometric configuration and the corresponding algorithm are deeply analyzed. By calculating the SFAR, the GD-BCSAR can realize the effect of space time exchange under the condition of limited bandwidth, further the Fourier space sampling area of the signal is obviously increased, and the high side lobe and ringing effect in the double-base circular track SAR imaging result are effectively inhibited.
Drawings
The drawings are only for purposes of illustrating particular embodiments and are not to be construed as limiting the invention, wherein like reference numerals are used to designate like parts throughout.
FIG. 1 is a Fourier space sampling area diagram of a GD-BCSAR single frequency signal and a bandwidth signal provided by the present invention;
FIG. 2 is a graph of the change of the effective Fourier sampling area of the BCSAR with the signal bandwidth in the invention and the traditional BCSAR;
FIG. 3 is a diagram of an imaging geometry used in the present invention;
fig. 4 is a flow chart of the imaging process of the present invention.
Detailed Description
In order to make the objects, technical solutions and advantages of the present invention more apparent, the present invention will be described in further detail below with reference to the accompanying drawings and examples. It should be understood that the specific embodiments described herein are merely illustrative of the invention and are not intended to limit the invention. In addition, the technical features involved in the embodiments of the present invention described below may be combined with each other as long as they do not conflict with each other.
The invention utilizes Fourier sampling theorem to analyze and explain the reasons of ringing effect and high side lobe generation in BCSAR images from the angles of theoretical and physical meanings, and points out that the high side lobe and the ringing effect are substantially determined by Fourier space sampling area (SFA). Due to the limitation of the transmission bandwidth, in the fourier space, the existing BCSAR imaging mode can only sample a very small area, and this phenomenon is the cause of the ringing effect and high sidelobe in the final imaging result. Based on Fourier space sampling analysis, a concept of space diversity is introduced, and on the basis, a brand-new BCSAR imaging geometric configuration, namely a space diversity double-base circular track synthetic aperture radar (GD-BCSAR), is designed and provided, a corresponding processing algorithm is provided, and the performance of the GD-BCSAR is deeply analyzed. By increasing the spatial diversity, the GD-BCSAR can break through the limitation of the transmission bandwidth, effectively increase the sampling area of the signal in the Fourier space, and further effectively inhibit the ringing effect and high-level side lobes in the final imaging result.
The method for realizing the invention comprises the following steps:
(1) carrying out qualitative analysis on the sampling area of the corresponding imaging geometric configuration in the Fourier space by combining the Fourier space sampling theorem, and determining the reasons for image ringing effect and high sidelobe generation;
(2) designing a system working mode and corresponding working parameters of the space diversity double-base circular track SAR according to the required diversity degree, and deducing a signal echo model of the space diversity double-base circular track SAR;
(3) imaging processing is carried out by utilizing a back projection algorithm;
wherein:
the step (1) mainly comprises the following steps:
1a) establishing a GD-BCSAR Fourier space sampling area schematic diagram;
1b) calculating corresponding geometric parameters of the sampling area;
1c) and calculating the Fourier effective sampling area ratio corresponding to the corresponding geometric configuration.
The step (2) mainly comprises the following steps:
2a) setting the movement speed and the speed direction of a receiver platform and a transmitter platform;
2b) setting the working heights of a receiver platform and a transmitter platform;
2c) setting the rotation radius of a receiver platform and a transmitter platform;
2d) and calculating and deducing corresponding slope course according to the motion characteristics of the receiver and the transmitter.
The step (3) mainly comprises the following steps:
3a) constructing a reference signal;
3b) compensating the received echo signal by using a reference signal, and carrying out FFT (fast Fourier transform) on the signal along a distance dimension to a distance frequency domain;
3c) compensating for the RVP term in the signal;
3d) after the compensation function is constructed and multiplied by the signal, inverse FFT transformation is carried out;
3e) and performing linear interpolation transformation on the signals after IFFT transformation along the distance dimension, and multiplying the signals by a distance difference correction function to obtain a final image.
The steps are as follows:
(1) fourier space effective sampling area ratio calculation
From the prior knowledge, when the transmitter and the receiver move, the sampling area of the transmitted signal in the fourier space is a hollow circle with the center deviating from the origin. Unlike the simultaneous movement of conventional BCSAR receivers and transmitters, GD-BCSAR results in "fixed" receivers/transmitters at multiple locations throughout the observed data, which also indicates that the sampled area of the signal in fourier space is now shifted and distorted. Therefore, when the GD-BCSAR system transmits a single-frequency signal, the sampling area in the fourier space can be obtained as shown in fig. 1 (a).
In conjunction with the above analysis, when the transmitted signal is a bandwidth signal, the fourier space sampling area of GD-BCSAR can be obtained as shown in fig. 1 (b). As is clear from the figure, the Fourier space sampling area of the GD-BCSAR can be regarded as that the sampling area of the OS-BCSAR rotates around the origin of coordinates, and ideally, the GD-BCSAR can obtain an almost complete circular sampling area. To verify the advantages of GD-BCSAR in fourier space sampling, we introduce here a fourier space sampling area Ratio (SFA Ratio, SFAR) to calculate the actual effective sampling area rate of the signal.
Using the wavenumber sampling vector to define the radius of the sampled circular region, the corresponding expression can be given as
Figure BDA0003347986280000091
From the above equation, it can be known that when the bandwidth is constant with the central carrier frequency, the maximum sampling area of the signal in the Fourier space is
Figure BDA0003347986280000092
SFAR can be defined as the ratio of the actual sample area to the maximum sample area, i.e.
Figure BDA0003347986280000093
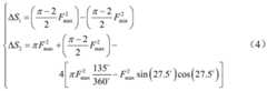
For the conventional BCSAR, due to the regular shape of the sampling region, the corresponding SFAR can be calculated by using equation (2). However, when the GD-BCSAR system samples, since each sampling region overlaps with each other, it is difficult to give an accurate calculation formula of the entire sampling area. Considering that the sampling area of GD-BCSAR can be regarded as being composed of overlapping sampling areas of several OS-BCSAR, we can approximate the GD-BCSAR area by using a combination of sampling areas like in fig. 1(b), i.e. eight sets of sampling areas of OS-BCSAR that are mutually offset by an angle of 45 °. According to the geometric relation, the approximate sampling area S of the GD-BCSAR in the Fourier space can be obtained through calculationGD_BCSARIs composed of
SGD_BCSAR=4·SOS_BCSAR-4.ΔS1+4·ΔS2 (3)
Wherein
Figure BDA0003347986280000101
Because the actual sampling area of the BCSAR system is mainly determined by the bandwidth of the transmitted signal and the central carrier frequency, the X-band is selected as the working frequency band of the radar system, the bandwidth of the transmitted signal changes in the range of 100MHz to 1GHz, and an SFAR change curve graph of three BCSAR configurations about the signal bandwidth is shown in FIG. 2.
As can be seen from fig. 2, the SFAR of the GD-BCSAR is significantly higher than that of the conventional BCSAR, and when the bandwidth of the emission signal of the GD-BCSAR is 100MHz, the corresponding SFAR is close to the sampling rate of the PM-BCSAR when emitting the 800MHz bandwidth signal, which also verifies that the aforementioned GD-BCSAR can realize the capability of utilizing space to exchange for bandwidth. When the transmission signal bandwidth is increased to 1GHz, the SFAR of the PM-BCSAR can be increased to about 18% only, and the OS-BCSAR is less than 5% at all, which indicates that the method for expanding the Fourier space sampling area by directly increasing the signal bandwidth is inefficient, and the reason why the effect of the increase of the bandwidth on the sidelobe suppression is not obvious. In contrast, when the emission bandwidth of the GD-BCSAR is 1GHz, the SFAR exceeds 25%, and the sampling area ratio obviously exceeds that of the traditional BCSAR. In addition, the GD-BCSAR can further increase the spatial diversity degree by increasing the difference between the rotating radius of the transmitter and the receiver, the working height and the rotating angular speed, the sampling area ratio of the GD-BCSAR is further improved, and the effectiveness and the superiority of the GD-BCSAR are fully verified by the characteristics.
(2) GD-BCSAR imaging geometry and signal model
The GD-BCSAR mainly has the idea that the effect of increasing the space diversity degree is achieved by changing geometrical configuration elements such as the height of a radar platform, the rotating radius or the rotating angular speed. The GD-BCSAR imaging geometry is given in fig. 3. As shown in the figure, the radar transmitter and the receiver random carrier platform are at the same height H and respectively rotate by a radius rTAnd rRMaking uniform circular motion in opposite directions, the rotation angular velocities of the transmitter and the receiver are respectively omegaT,ωR. Between the center of the illuminated scene and the transmitterHas a ground-wiping angle of thetaT_inAngle of ground contact with receiver thetaR_in. During the radar work, the antenna beam always irradiates the center of an observation scene.
Suppose there is a target point p in the observation scene with Cartesian coordinates of (x)p,yp,zp) The coordinates of the transmitting end and the receiving end are (x) respectivelyt(ta),yt(ta),zt(ta) And (x)r(ta),yr(ta),zr(ta) In which t) isaIndicating a slow time. The two-segment instantaneous slant distance from the phase center of the antenna to the point target p can be expressed as
Figure BDA0003347986280000111
Assuming that the radar transmits a chirp signal, the received echo signal expression can be written as
Figure BDA0003347986280000112
Where σ, Tpγ and fcRespectively representing the scattering coefficient, transmission pulse width, signal modulation frequency and central carrier frequency, rect [ ·]Represents a rectangular window function and has
Figure BDA0003347986280000113
In the formula trDenotes the distance fast time, τ (t)a) Represents a time delay and has
Figure BDA0003347986280000114
Where c represents the speed of light. The invention mainly aims at the problem of two-dimensional imaging of an x-y plane, so that target points are all positioned in the x-y plane, namely z is presentp=0。
(3) GD-BCSAR imaging processing algorithm
Selecting the center of an imaging scene as a reference point, and setting the distances from the phase centers of the receiver and the transmitter to the reference point as Rt_refAnd Rr_ref. In this case, the time delay of the reference range echo is taurefReference range echo signal sref(tr,ta) Can be written as
Figure BDA0003347986280000121
Assuming that the scattering coefficient of the target is a constant value, the echo signal is processed by deskew, and the above formula is conjugate and then multiplied by the formula (6), so as to obtain the target scattering coefficient
Figure BDA0003347986280000122
Wherein A represents the amplitude of the signal, represents the operation of taking the conjugate, and conjugates the reference signal
Figure BDA0003347986280000124
The width of the rectangular window function should be slightly wider than that of the echo signal s (t)r,ta) The width of the rectangular window function of (1). Δ R (t)a) Represents the difference between the instantaneous slope of the point target and the slope of the reference point, and has
ΔR(ta)=Rt(ta)-Rt_ref+Rr(ta)-Rr_ref (11)
FFT is performed on the signal in equation (10) along the distance dimension, and a signal s in the distance frequency domain can be obtainedd(fr,ta) Is expressed as
Figure BDA0003347986280000123
Where sinc (·) denotes a sinc function, with sinc (x) sin (π x)/(π x). Ignoring changes in the envelope of the signal, the second term in the above equationThe phase term is the RVP term, which needs to be compensated for, assuming an intra-pulse distance frequency frK, a new distance frequency is defined as f (K) ═ fc+fr(k) It can be represented by the sequence { f (K) | K ═ 1,2, …, K }. The range frequency domain signal S (f (k), t) of GD-BCSARa) Can be rewritten as
Figure BDA0003347986280000131
By means of matched filtering, the response function of the mth discrete distance unit in the above formula can be written
Figure BDA0003347986280000132
Taking into account that the range frequency f (k) has the following relation
f(k)=(k-1)Δf+f(1) (15)
Where Δ f represents the frequency difference. After the above formula is substituted into formula (14), signal s (m, t)a) Can be rewritten as
Figure BDA0003347986280000133
In order to back-project the above equation, it is necessary to rewrite the above equation into an inverse fourier transform. Here we give the definition of the discrete Fourier transform of the signal sequence s (n) and S (K)
Figure BDA0003347986280000134
Wherein the transformation factor wKIs expressed as wKExp-j 2 pi/K, the inverse discrete fourier transform of s (K) is then applied
Figure BDA0003347986280000135
In order to rewrite the expression (16) to the fourier transform form, it is necessary to process the signal s (m, t) after rewriting so that the phase of the signal s contains a phase term similar to the above expressiona) Is expressed as
Figure BDA0003347986280000141
Signal s (m, t) according to the Fourier transform definition in equation (17)a) Can be finally written in the following form
Figure BDA0003347986280000142
The first term phase term in the above equation is defined as the compensation function for the inverse fourier transform and the second term is the distance difference correction function. K represents the scaling factor of Fourier transform, the value is constant, and the scaling factor is 1/K in the process of inverse Fourier transform. In the actual processing, the distance difference between each pulse and the pixel point of the projection plane needs to be calculated, and the coordinates (x, y, z) of the pixel point are inserted into the slot (5). It should be noted here that, in order to obtain the final GD-BCSAR image by equation (20), an interpolation operation is also required, because the discretized distance difference generates a certain deviation when being directly projected to the imaging plane.
Considering that the GD-BCSAR signal is a broadband signal, interpolation processing can be carried out by utilizing a sinc kernel function. This operation can be viewed approximately as zero padding when performing the inverse fourier transform, and linear interpolation when finally outputting the discretization result. N is a radical offftNumber of points defined as inverse Fourier transform, N in generalfftShould be 10 times the original signal length, but to optimize the computational complexity, NfftTypically taking the power of 2. After zero-filling the equation (20), the signal can be represented as
Figure BDA0003347986280000143
When K > KHaving S (f (k), t)a)=0。
To obtain a given impulse response function for a pixel at a projection plane position P, the distance difference Δ R (t) needs to be calculateda) And for the signal s (m, t)a) Interpolation processing is carried out to obtain sint(P,ta(n)). Define the full time sequence as ta(N) | N ═ 1,2, …, N, so the resulting image response function i (p) is the sum of the response functions for all pulses.
Figure BDA0003347986280000151
While the invention has been described with reference to specific embodiments, the invention is not limited thereto, and various equivalent modifications or substitutions can be easily made by those skilled in the art within the technical scope of the present disclosure.

Claims (4)

1. A double-base circular track SAR imaging method based on space diversity idea is characterized by comprising the following steps:
step 1: constructing a reference signal;
suppose there is a target point p in the observation scene with Cartesian coordinates of (x)p,yp,zp) The coordinates of the transmitting end and the receiving end are (x) respectivelyt(ta),yt(ta),zt(ta) And (x)r(ta),yr(ta),zr(ta) In which t) isaRepresents a slow time; the two-segment instantaneous slant distance from the phase center of the antenna to the point target p is expressed as
Figure FDA0003347986270000011
Assuming that the radar transmits a chirp signal, the expression of the received echo signal is as follows:
Figure FDA0003347986270000012
where σ, Tpγ and fcRespectively representing the scattering coefficient, the width of the transmitted pulse, the signal modulation frequency and the central carrier frequency, rect [ ·]Represents a rectangular window function and has
Figure FDA0003347986270000013
In the formula trDenotes the distance fast time, τ (t)a) Represents a time delay and has
Figure FDA0003347986270000014
Wherein c represents the speed of light; the invention aims at the problem of two-dimensional imaging of an x-y plane, so that target points are all positioned in the x-y plane, namely z is providedp=0;
Selecting the center of an imaging scene as a reference point, and setting the distances from the phase centers of the receiver and the transmitter to the reference point as Rt_refAnd Rr_ref(ii) a In this case, the time delay of the reference range echo is taurefReference range echo signal sref(tr,ta) The expression of (a) is:
Figure FDA0003347986270000021
step 2: compensating the received echo signal by using a reference signal, and carrying out FFT (fast Fourier transform) on the signal along a distance dimension to a distance frequency domain;
assuming that the scattering coefficient of the target is a constant value, the echo signal is subjected to deskew processing:
Figure FDA0003347986270000022
wherein A represents the amplitude of the signal, represents the operation of taking the conjugate, and conjugates the reference signal
Figure FDA0003347986270000023
The width of the rectangular window function should be slightly wider than that of the echo signal s (t)r,ta) The rectangular window function width of (1); Δ R (t)a) Represents the difference between the instantaneous slope of the point target and the slope of the reference point, and has
ΔR(ta)=Rt(ta)-Rt_ref+Rr(ta)-Rr_ref (11)
FFT is carried out on the signals in the formula (10) along the distance dimension to obtain signals s on the distance frequency domaind(fr,ta) Is expressed as
Figure FDA0003347986270000024
Where sinc (·) denotes a sinc function, with sinc (x) sin (π x)/(π x);
and step 3: compensating for the RVP term in the signal;
neglecting the variation of the signal envelope, the phase term of the second term in the above equation is the RVP term, which needs to be compensated; constructing the compensation function according to equation (12) is as follows
Figure FDA0003347986270000025
Multiplying the above formula by formula (12) to achieve RVP compensation; suppose an intra-pulse distance frequency frK, a new distance frequency is defined as f (K) ═ fc+fr(k) Represented by the sequence { f (K) ═ 1,2, …, K }; the range frequency domain signal S (f (k), t) of GD-BCSARa) Is rewritten as
Figure FDA0003347986270000031
Writing the response function of the mth discrete distance unit in the above formula by using a matched filtering mode
Figure FDA0003347986270000032
Taking into account that the range frequency f (k) has the following relation
f(k)=(k-1)Δf+f(1) (15)
Where Δ f represents a frequency difference; after the above formula is substituted into formula (14), signal s (m, t)a) Is rewritten as
Figure FDA0003347986270000033
And 4, step 4: after the compensation function is constructed and multiplied by the signal, inverse FFT transformation is carried out;
in order to perform back projection on the formula (16), it is necessary to rewrite the formula into an inverse fourier transform; giving the discrete Fourier transform definitional expression of the signal sequence s (n) and S (K)
Figure FDA0003347986270000034
Wherein the transformation factor wKIs expressed as wKExp-j 2 pi/K, the inverse discrete fourier transform of s (K) is then applied
Figure FDA0003347986270000035
In order to rewrite the expression (16) to the fourier transform form, it is necessary to process the signal s (m, t) after rewriting so that the phase of the signal s contains a phase term similar to the above expressiona) Is expressed as
Figure FDA0003347986270000041
Signal s (m, t) according to the Fourier transform definition in equation (17)a) The final write is in the form
Figure FDA0003347986270000042
Defining a first phase term in the above equation as a compensation function for inverse fourier transform, and a second term as a distance difference correction function; k represents a scaling factor of Fourier transform, and the scaling factor is 1/K in inverse Fourier transform; in the actual processing, the distance difference between each pulse and a pixel point of a projection plane needs to be calculated, and the coordinates (x, y, z) of the pixel point are inserted into the slot (5);
and 5: after the signal is subjected to IFFT along a distance dimension, linear interpolation transformation is carried out, and the signal is multiplied by a distance difference correction function to obtain a final image;
after zero-filling operation is performed on the formula (20), the signal is expressed as
Figure FDA0003347986270000043
When K > K, there is S (f (K), ta)=0;NfftNumber of points, N, defined as inverse Fourier transformfftTaking the power of 2;
to obtain a given impulse response function for a pixel at a projection plane position P, the distance difference Δ R (t) needs to be calculateda) And for the signal s (m, t)a) Interpolation processing is carried out to obtain sint(P,ta(n)); define the full time sequence as ta(N) | N ═ 1,2, …, N }, so the resulting image response function i (p) is the sum of the response functions for all pulses:
Figure FDA0003347986270000051
2. a computer system, comprising: one or more processors, a computer readable storage medium, for storing one or more programs, wherein the one or more programs, when executed by the one or more processors, cause the one or more processors to implement the method of claim 1.
3. A computer-readable storage medium having stored thereon computer-executable instructions for, when executed, implementing the method of claim 1.
4. A computer program comprising computer executable instructions which when executed perform the method of claim 1.
CN202111328398.8A2021-11-102021-11-10Double-base-circle track SAR imaging method based on space diversity ideaActiveCN114089334B (en)

Priority Applications (1)

Application NumberPriority DateFiling DateTitle
CN202111328398.8ACN114089334B (en)2021-11-102021-11-10Double-base-circle track SAR imaging method based on space diversity idea

Applications Claiming Priority (1)

Application NumberPriority DateFiling DateTitle
CN202111328398.8ACN114089334B (en)2021-11-102021-11-10Double-base-circle track SAR imaging method based on space diversity idea

Publications (2)

Publication NumberPublication Date
CN114089334Atrue CN114089334A (en)2022-02-25
CN114089334B CN114089334B (en)2024-06-07

Family

ID=80299641

Family Applications (1)

Application NumberTitlePriority DateFiling Date
CN202111328398.8AActiveCN114089334B (en)2021-11-102021-11-10Double-base-circle track SAR imaging method based on space diversity idea

Country Status (1)

CountryLink
CN (1)CN114089334B (en)

Citations (3)

* Cited by examiner, † Cited by third party
Publication numberPriority datePublication dateAssigneeTitle
US6222933B1 (en)*1997-12-222001-04-24DEUTSCHES ZENTRUM FüR LUFT-UND RAUMFAHRT E.V.Method of processing spotlight SAR raw data
CN102393518A (en)*2011-10-272012-03-28上海大学Airborne SAR (synthetic aperture radar) imaging method suitable for large squint angle
WO2014149095A2 (en)*2013-03-202014-09-25Raytheon CompanyBistatic inverse synthetic aperture radar imaging

Patent Citations (3)

* Cited by examiner, † Cited by third party
Publication numberPriority datePublication dateAssigneeTitle
US6222933B1 (en)*1997-12-222001-04-24DEUTSCHES ZENTRUM FüR LUFT-UND RAUMFAHRT E.V.Method of processing spotlight SAR raw data
CN102393518A (en)*2011-10-272012-03-28上海大学Airborne SAR (synthetic aperture radar) imaging method suitable for large squint angle
WO2014149095A2 (en)*2013-03-202014-09-25Raytheon CompanyBistatic inverse synthetic aperture radar imaging

Non-Patent Citations (3)

* Cited by examiner, † Cited by third party
Title
朱小鹏;颜佳冰;张群;李宏伟;封同安;: "基于双基ISAR的空间高速目标成像分析", 空军工程大学学报(自然科学版), no. 06, 25 December 2011 (2011-12-25)*
杨科锋;梁甸农;何峰;: "基于等效平行轨迹距离模型的双基CS成像算法", 信号处理, no. 02, 25 February 2009 (2009-02-25)*
王天云;陆新飞;丁丽;尹治平;陈卫东;: "基于贝叶斯压缩感知的FD-MIMO雷达Off-Grid目标稀疏成像", 电子学报, no. 06, 15 June 2016 (2016-06-15)*

Also Published As

Publication numberPublication date
CN114089334B (en)2024-06-07

Similar Documents

PublicationPublication DateTitle
CN111175750B (en) Imaging method and device, device and storage medium for synthetic aperture radar
CN101369018B (en)Satellite machine combined double-base synthetic aperture radar frequency domain imaging method
CN104007440B (en)One accelerated decomposition rear orientation projection spot beam SAR formation method
CN108490443B (en) Multi-subarray synthetic aperture sonar ωk imaging algorithm based on analytical solution and NUFFT
CN106249237A (en)Big Squint SAR frequency domain imaging method under a kind of curvilinear path
CN114325695B (en) A two-dimensional high-resolution imaging method for radar targets based on rotating antenna
CN116500626B (en)Multi-receiving array element data receiving-transmitting combination conversion method
CN111487614B (en)Curve track missile-borne SAR wavefront reconstruction imaging method and system based on sub-aperture
CN109633642A (en)A kind of Terahertz high-speed target radar imaging method
CN111796279A (en) Azimuth super-resolution imaging method and device for passive electromagnetic vortex SAR
CN102004250A (en)Frequency domain expansion based spaceborne/airborne hybrid bistatic synthetic aperture radar imaging method
JP2011169869A (en)Apparatus for processing radar signal
CN118655577B (en) A method for generating frequency-swept SAR signals with variable intra-pulse parameters
CN112415512B (en)SAR moving target focusing method based on advance and retreat method and golden section method
CN114089334A (en)Double-base circular track SAR imaging method based on space diversity idea
CN117250611A (en)Multi-receiving subarray SAS strabismus imaging omega k imaging algorithm under track following condition
CN108594229A (en)The compensation method of Doppler effect two dimension, device and storage medium in satellite-borne SAR arteries and veins
CN110308448B (en)Method for enhancing two-dimensional image of inverse synthetic aperture radar
CN113466859A (en)Spin space debris target ISAR two-dimensional imaging method based on rapid phase interpolation
Shin et al.Motion error correction of range migration algorithm for aircraft spotlight SAR imaging
CN118519150B (en) A circular synthetic aperture radar imaging compensation method based on acceleration information
CN118655575B (en) A fast method for generating ScanSAR echoes based on variable kernel function
CN109581377B (en)Resolution evaluation method and device for point echo imaging quality and storage medium
CN116125471B (en) A fast local BP imaging method for high-speed and ultra-short-range SAR
CN115407343B (en) A method and device for imaging underwater non-cooperative targets on a mobile platform

Legal Events

DateCodeTitleDescription
PB01Publication
PB01Publication
SE01Entry into force of request for substantive examination
SE01Entry into force of request for substantive examination
GR01Patent grant

[8]ページ先頭

©2009-2025 Movatter.jp