





技术领域technical field
本发明涉及电力计量在线监测领域,更具体地,涉及一种电容式电压互感器计量误差预测方法及系统。The invention relates to the field of on-line monitoring of electric power measurement, and more particularly, to a measurement error prediction method and system of a capacitive voltage transformer.
背景技术Background technique
作为电能计量装置的重要组成部分,互感器计量性能的准确可靠直接关系到电能贸易结算的公平公正。电容式电压互感器(CVT)是由串联电容器分压,再经电磁式互感器降压和隔离,作为用来变换电压的仪器,电容式电压互感器还可以将载波频率耦合到输电线用于长途通信、选择性的线路高频保护、遥控等功能上。和常规的电磁式电压互感器相比,电容式电压互感器除了具有冲击绝缘强度高、制造简单、体积小、重量轻等优点外,在经济和安全上还有很多优越之处。As an important part of the electric energy metering device, the accuracy and reliability of the measurement performance of the transformer is directly related to the fairness and justice of the electric energy trade settlement. Capacitive voltage transformer (CVT) is divided by series capacitor, and then step-down and isolated by electromagnetic transformer. As an instrument for voltage transformation, capacitive voltage transformer can also couple the carrier frequency to the transmission line for Long-distance communication, selective line high-frequency protection, remote control and other functions. Compared with conventional electromagnetic voltage transformers, capacitive voltage transformers have many advantages in terms of economy and safety, in addition to the advantages of high impact dielectric strength, simple manufacture, small size and light weight.
在CVT的实际运行过程中,互感器误差受采集原理与恶劣环境等影响会在其工作寿命内出现测量偏差越限,因此不仅需要在其计量误差超差时能够进行准确快速的诊断,进一步的,需要对CVT计量误差的劣化趋势做出及时的预测,以便相关运行维护人员安排检修维护的工作,如果不能及时发现互感器状态劣化,将影响电网运行。In the actual operation of CVT, the transformer error will be affected by the acquisition principle and harsh environment, and the measurement deviation will exceed the limit within its working life. Therefore, it is not only necessary to carry out accurate and rapid diagnosis when the measurement error exceeds the tolerance, and further , it is necessary to make timely prediction on the deterioration trend of CVT measurement error, so that relevant operation and maintenance personnel can arrange maintenance work.
为避免二次信息系统信息源的不准确,并减少电能计量的损失和保证测控保护装置的正常运行,目前有统计学方法和理论计算等方法对互感器误差值进行预测,如何整合已有数据,更加准确地预测CVT误差值及其变化趋势,以提前预警CVT出现的风险,是一项技术难题。In order to avoid the inaccuracy of the information source of the secondary information system, reduce the loss of electric energy measurement and ensure the normal operation of the measurement and control protection device, there are currently statistical methods and theoretical calculation methods to predict the error value of the transformer, and how to integrate the existing data. , it is a technical problem to more accurately predict the CVT error value and its changing trend, so as to warn the risk of CVT in advance.
发明内容SUMMARY OF THE INVENTION
本发明针对现有技术中存在的技术问题,提供一种电容式电压互感器计量误差预测方法及系统。Aiming at the technical problems existing in the prior art, the present invention provides a measurement error prediction method and system for a capacitive voltage transformer.
根据本发明的第一方面,提供了一种电容式电压互感器计量误差预测方法,包括:According to a first aspect of the present invention, a method for predicting measurement error of a capacitive voltage transformer is provided, including:
根据当日外界环境因素数据和待预测日外界环境因素数据预报值,分别计算电容式电压互感器CVT的当日附加误差和待预测日附加误差;According to the external environmental factor data of the day and the forecast value of the external environmental factor data of the day to be predicted, the additional error of the current day and the additional error of the day to be predicted of the capacitive voltage transformer CVT are calculated respectively;
根据所述CVT的当日附加误差和待预测日附加误差,计算待预测日的互感器误差预测理论值fL;According to the additional error of the day of the CVT and the additional error of the day to be predicted, calculate the theoretical value fL of the transformer error prediction on the day to be predicted;
获取当日前预设历史时间段的互感器历史误差预测估计值序列F0,绘制互感器误差预测估计值序列F0的自相关系数图和偏自相关系数图;Obtain the historical error prediction estimation value sequence F0 of the transformer in the preset historical time period before the current day, and draw the autocorrelation coefficient diagram and partial autocorrelation coefficient diagram of the transformer error prediction estimation value sequence F0 ;
根据所述自相关系数图和偏自相关系数图的特征,确定互感器历史误差预测估计值序列F0符合的ARIMA模型;According to the characteristics of the autocorrelation coefficient map and the partial autocorrelation coefficient map, determine the ARIMA model that the historical error prediction estimation value sequence F0 of the transformer conforms to;
将所述互感器历史误差预测估计值序列F0输入所述ARIMA模型中,获取待预测日互感器误差预测观测值fG;Input the historical error prediction estimation value sequence F0 of the transformer into the ARIMA model, and obtain the predicted observation value fG of the transformer error on the day to be predicted;
根据待预测日的互感器误差预测理论值fL和待预测日互感器误差预测观测值fG,计算待预测日互感器误差预测估计值f1。According to the predicted theoretical value fL of the transformer error on the to-be-predicted day and the predicted observed value of the transformer error on the to-be-predicted day fG , the predicted value f1 of the transformer error on the to-be-predicted day is calculated.
在上述技术方案的基础上,本发明还可以作出如下改进。On the basis of the above technical solutions, the present invention can also make the following improvements.
可选的,所述外界环境因素数据至少包括温度、CVT的电源频率和CVT的二次负载;所述根据当日外界环境因素数据和待预测日外界环境因素数据预报值,分别计算电容式电压互感器CVT的当日附加误差和待预测日附加误差,包括:Optionally, the external environmental factor data includes at least the temperature, the power frequency of the CVT, and the secondary load of the CVT; the capacitive voltage mutual inductance is calculated respectively according to the external environmental factor data of the day and the forecast value of the external environmental factor data of the day to be predicted. The additional error of the current day and the additional error of the day to be predicted, including:
根据当日外界环境因素数据,计算CVT当日的温度附加误差、电源频率附加误差和二次负载附加误差;Calculate the temperature additional error of the CVT day according to the data of the external environmental factors of the day , power frequency additional error and secondary load additional error ;
根据待预测日外界环境因素数据预报值,计算CVT待预测日的温度附加误差、电源频率附加误差和二次负载附加误差;According to the forecast value of the external environmental factor data on the day to be forecasted, calculate the temperature additional error of the day to be forecasted for the CVT , power frequency additional error and secondary load additional error ;
相应的,根据所述CVT的当日附加误差和待预测日附加误差,计算待预测日的互感器误差预测理论值fL,包括:Correspondingly, according to the additional error of the day of the CVT and the additional error of the day to be predicted, calculate the theoretical value fL of the transformer error prediction on the day to be predicted, including:
根据CVT当日的温度附加误差、电源频率附加误差和二次负载附加误差、CVT待预测日的温度附加误差、电源频率附加误差和二次负载附加误差以及当日互感器误差预测理论值f0,计算待预测日互感器误差预测理论值fL:According to the temperature additional error of the CVT day, the power frequency additional error and the secondary load additional error, the temperature additional error of the CVT to be predicted day, the power frequency additional error and the secondary load additional error and the theoretical value f0 of the current transformer error prediction, calculate The theoretical value fL of transformer error prediction on the day to be predicted:
。 .
可选的,所述获取当日前预设历史时间段的互感器历史误差预测估计值序列F0,绘制互感器误差预测估计值序列F0的自相关系数图和偏自相关系数图,包括:Optionally, the acquisition of the sequence F0 of the historical error prediction estimation value of the transformer in the preset historical time period before the current day, and drawing the autocorrelation coefficient graph and the partial autocorrelation coefficient graph of the sequence F0 of the transformer error prediction estimation value, including:
利用单位根检验方法对所述互感器历史误差预测估计值序列F0进行平稳性检验,检验所述互感器历史误差预测估计值序列F0中是否存在单位根,通过增加差分阶数直到通过单位根检验,记录差分处理阶数;The unit root test method is used to test the stationarity of the historical error prediction estimation value sequence F0 of the mutual inductor, to check whether there is a unit root in the historical error prediction estimation value sequence F0 of the mutual inductor, by increasing the difference order until it passes the unit Root test, record the difference processing order;
基于差分处理阶数对所述互感器历史误差预测估计值序列F0进行差分处理,获得差分处理后的互感器历史误差预测估计值序列F’0;Perform differential processing on the sequence F0 of the historical error prediction estimation value of the mutual inductor based on the differential processing order, and obtain the differential processing historical error prediction estimation value sequence F 0of the mutual inductor;
绘制差分处理后的互感器历史误差预测估计值序列F’0的自相关系数图和偏自相关系数图。Draw the autocorrelation coefficient and partial autocorrelation coefficient diagram of the historical error prediction and estimated value sequence F'0 of the transformer after differential processing.
可选的,所述根据所述自相关系数图和偏自相关系数图的特征,确定互感器历史误差预测估计值序列F0符合的ARIMA模型,包括:Optionally, according to the characteristics of the autocorrelation coefficient map and the partial autocorrelation coefficient map, determine the ARIMA model that the historical error prediction estimation value sequence F0 of the transformer conforms to, including:
分析所述自相关系数图的拖尾性以及分析所述偏自相关系数图的截尾性,基于所述自相关系数图的拖尾性特征和所述偏自相关系数图的截尾性特征,确定所述互感器历史误差预测估计值序列F0符合的ARIMA模型以及模型参数。Analyzing the tailing of the autocorrelation coefficient map and analyzing the truncation of the partial autocorrelation coefficient map, based on the tailing feature of the autocorrelation coefficient map and the censoring feature of the partial autocorrelation coefficient map , and determine the ARIMA model and model parameters to which the historical error prediction estimation value sequence F0 of the mutual inductor conforms.
可选的,所述根据待预测日的互感器误差预测理论值fL和待预测日互感器误差预测观测值fG,计算待预测日互感器误差预测估计值f1,包括:Optionally, calculating the estimated value f1 of the transformer error prediction on the day to be predicted according to the predicted theoretical value fL of the transformer error on the to-be-predicted day and the predicted observed value of the transformer error on the to-be-predicted day fG , including:
基于互感器的历史观测值误差和历史理论值误差,计算优化系数,所述互感器的历史观测值误差为当日前预设历史时间段的每日互感器误差预测观测值与对应预测误差估计值差值的均值,所述互感器的历史理论值误差为当日前预设历史时间段的每日互感器误差预测理论值与对应预测误差估计值差值的均值;The optimization coefficient is calculated based on the historical observation value error and historical theoretical value error of the transformer, where the historical observation value error of the transformer is the daily transformer error prediction observation value and the corresponding prediction error estimated value of the preset historical time period before the current day The mean value of the difference, the historical theoretical value error of the transformer is the mean value of the difference between the daily transformer error prediction theoretical value and the corresponding prediction error estimated value in the preset historical time period before the current day;
根据待预测日的互感器误差预测理论值fL、待预测日互感器误差预测观测值fG以及所述优化系数,计算待预测日互感器误差预测估计值。According to the predicted theoretical value fL of the transformer error on the to-be-predicted day, the predicted observed value of the transformer error on the to-be-predicted day fG and the optimization coefficient, the estimated value of the transformer error predicted on the to-be-predicted day is calculated.
可选的,所述基于互感器的历史观测值误差和历史理论值误差,计算优化系数,包括:Optionally, the optimization coefficient is calculated based on the historical observation value error and historical theoretical value error of the transformer, including:
; ;
其中,eG为互感器的历史观测值误差,eL互感器的历史理论值误差,K为优化系数。Among them, eG is the historical observation value error of the transformer, eL is the historical theoretical value error of the transformer, and K is the optimization coefficient.
可选的,所述根据待预测日的互感器误差预测理论值fL、待预测日互感器误差预测观测值fG以及所述优化系数,计算待预测日互感器误差预测估计值f1,包括:Optionally, according to the predicted theoretical value fL of the transformer error on the to-be-predicted day, the predicted observed value of the transformer error on the to-be-predicted day fG and the optimization coefficient, calculate the estimated value f1 of the predicted transformer error on the to-be-predicted day, include:
; ;
其中,k为优化系数。Among them, k is the optimization coefficient.
根据本发明的第二方面,提供一种电容式电压互感器计量误差预测系统,包括:According to a second aspect of the present invention, a capacitive voltage transformer measurement error prediction system is provided, including:
第一计算模块,用于根据当日外界环境因素数据和待预测日外界环境因素数据预报值,分别计算电容式电压互感器CVT的当日附加误差和待预测日附加误差;根据所述CVT的当日附加误差和待预测日附加误差,计算待预测日的互感器误差预测理论值fL;The first calculation module is used to calculate the additional error of the current day and the additional error of the day to be predicted of the capacitive voltage transformer CVT according to the external environmental factor data of the current day and the predicted value of the external environmental factor data of the day to be predicted; Error and additional error on the day to be predicted, calculate the theoretical value fL of transformer error prediction on the day to be predicted;
绘制模块,用于获取当日前预设历史时间段的互感器历史误差预测估计值序列F0,绘制互感器误差预测估计值序列F0的自相关系数图和偏自相关系数图;The drawing module is used to obtain the historical error prediction estimation value sequence F0 of the transformer in the preset historical time period before the current day, and draw the autocorrelation coefficient diagram and the partial autocorrelation coefficient diagram of the transformer error prediction estimation value sequence F0 ;
确定模块,用于根据所述自相关系数图和偏自相关系数图的特征,确定互感器历史误差预测估计值序列F0符合的ARIMA模型;A determination module, used for determining the ARIMA model conforming to the historical error prediction estimation value sequence F0 of the mutual inductor according to the characteristics of the autocorrelation coefficient map and the partial autocorrelation coefficient map;
获取模块,用于将所述互感器历史误差预测估计值序列F0输入所述ARIMA模型中,获取待预测日互感器误差预测观测值fG;an acquisition module, used for inputting the historical error prediction estimation value sequence F0 of the mutual inductor into the ARIMA model, and obtaining the predicted observation value fG of the transformer error on the day to be predicted;
第二计算模块,用于根据待预测日的互感器误差预测理论值fL和待预测日互感器误差预测观测值fG,计算待预测日互感器误差预测估计值f1。The second calculation module is used for calculating the estimated value f1 of the transformer error prediction on the date to be predicted according to the predicted theoretical value fL of the transformer error on the date to be predicted and the predicted observed value fG of the transformer error on the date to be predicted.
根据本发明的第三方面,提供了一种电子设备,包括存储器、处理器,所述处理器用于执行存储器中存储的计算机管理类程序时实现电容式电压互感器计量误差预测方法的步骤。According to a third aspect of the present invention, an electronic device is provided, including a memory and a processor, the processor being configured to implement the steps of a capacitive voltage transformer measurement error prediction method when executing a computer management program stored in the memory.
根据本发明的第四方面,提供了一种计算机可读存储介质,其上存储有计算机管理类程序,所述计算机管理类程序被处理器执行时实现电容式电压互感器计量误差预测方法的步骤。According to a fourth aspect of the present invention, a computer-readable storage medium is provided, on which a computer management program is stored, and when the computer management program is executed by a processor, the steps of the method for predicting the measurement error of a capacitive voltage transformer are realized. .
本发明提供的一种电容式电压互感器计量误差预测方法及系统,分别计算待预测日的互感器误差预测理论值fL和互感器误差预测观测值fG,结合这两种预测值,得到最终的预测估计值,以提高CVT计量误差状态预测的准确度。The invention provides a method and system for predicting the measurement error of a capacitive voltage transformer, which respectively calculate the theoretical value fL of the predicted error of the transformer and the observed value fG of the predicted error of the transformer on the day to be predicted, and combine the two predicted values to obtain The final forecast estimate to improve the accuracy of the CVT metering error state forecast.
附图说明Description of drawings
图1为本发明实施例提供的一种电容式电压互感器计量误差预测方法流程图;1 is a flowchart of a method for predicting measurement error of a capacitive voltage transformer provided by an embodiment of the present invention;
图2为电容式电压互感器的电路原理图;Fig. 2 is the circuit schematic diagram of the capacitive voltage transformer;
图3为观测值和最优化值与误差参考值差值的对比示意图;Figure 3 is a schematic diagram of the comparison between the observed value and the optimal value and the difference between the error reference value;
图4为本发明实施例提供的一种电容式电压互感器计量误差预测系统的结构示意图;4 is a schematic structural diagram of a capacitive voltage transformer measurement error prediction system provided by an embodiment of the present invention;
图5为本发明提供的一种可能的电子设备的硬件结构示意图;5 is a schematic diagram of the hardware structure of a possible electronic device provided by the present invention;
图6为本发明提供的一种可能的计算机可读存储介质的硬件结构示意图。FIG. 6 is a schematic diagram of the hardware structure of a possible computer-readable storage medium provided by the present invention.
具体实施方式Detailed ways
下面结合附图和实施例,对本发明的具体实施方式作进一步详细描述。以下实施例用于说明本发明,但不用来限制本发明的范围。The specific embodiments of the present invention will be described in further detail below with reference to the accompanying drawings and embodiments. The following examples are intended to illustrate the present invention, but not to limit the scope of the present invention.
实施例一Example 1
一种电容式电压互感器计量误差预测方法,参见图1,该计量误差预测方法包括:A method for predicting the measurement error of a capacitive voltage transformer is shown in Figure 1. The method for predicting the measurement error includes:
S1,根据当日外界环境因素数据和待预测日外界环境因素数据预报值,分别计算电容式电压互感器CVT的当日附加误差和待预测日附加误差;根据所述CVT的当日附加误差和待预测日附加误差,计算待预测日的互感器误差预测理论值fL。S1, calculate the additional error of the current day and the additional error of the day to be predicted of the capacitive voltage transformer CVT respectively according to the data of the external environmental factors of the day and the forecast value of the data of the external environmental factors of the day to be predicted; according to the additional error of the day of the CVT and the day to be predicted Add the additional error, and calculate the theoretical value fL of the transformer error prediction on the day to be predicted.
作为实施例,所述外界环境因素数据至少包括温度、CVT的电源频率和CVT的二次负载;所述根据当日外界环境因素数据和待预测日外界环境因素数据预报值,分别计算电容式电压互感器CVT的当日附加误差和待预测日附加误差,包括:As an embodiment, the external environmental factor data includes at least temperature, the power frequency of the CVT and the secondary load of the CVT; the capacitive voltage mutual inductance is calculated separately according to the external environmental factor data of the day and the forecast value of the external environmental factor data of the day to be predicted. The additional error of the current day and the additional error of the day to be predicted, including:
根据当日外界环境因素数据,计算CVT当日的温度附加误差、电源频率附加误差和二次负载附加误差;Calculate the temperature additional error of the CVT day according to the data of the external environmental factors of the day , power frequency additional error and secondary load additional error ;
根据待预测日外界环境因素数据预报值,计算CVT待预测日的温度附加误差、电源频率附加误差和二次负载附加误差。According to the forecast value of the external environmental factor data on the day to be forecasted, calculate the temperature additional error of the day to be forecasted for the CVT , power frequency additional error and secondary load additional error .
相应的,根据所述CVT的当日附加误差和待预测日附加误差,计算待预测日的互感器误差预测理论值fL,包括:根据CVT当日的温度附加误差、电源频率附加误差和二次负载附加误差、CVT待预测日的温度附加误差、电源频率附加误差和二次负载附加误差以及当日互感器误差预测理论值f0,计算待预测日互感器误差预测理论值fL:Correspondingly, according to the additional error of the day of the CVT and the additional error of the day to be predicted, calculate the theoretical value fL of the transformer error prediction of the day to be predicted, including: according to the additional error of the temperature of the day of the CVT, the additional error of the power frequency and the secondary load Additional error, additional error of temperature on the day to be predicted for CVT, additional error of power frequency and additional error of secondary load, and theoretical value f0 of transformer error prediction on the day, calculate the theoretical value fL of transformer error prediction on the day to be predicted:
。 .
可选的,本发明实施例通过物理模型计算得到电容式电压互感器CVT的待预测日互感器误差预测理论值。其中,电容式电压互感器的基本工作原理如图2所示,其中C1、C2分别为电容分压器的高压电容和中压电容,中间变压器T1 ,补偿电抗器L 、阻尼装置 D 以及过电压保护装置G共同组成了电磁单元部分。CVT 接入高压系统后由电容分压器将一次高压信号变换为较低的中间电压信号,降低了电磁单元的绝缘要求,再由中间变压器转化为所需的二次小信号,用于计量、测控、保护和通信等应用。CVT 的二次输出根据需求的不同有多个绕组,其中1a1n(2a2n、3a3n)为主二次绕组接线端子,dadn 为剩余电压绕组接线端子。Optionally, in the embodiment of the present invention, the theoretical value of the predicted daily transformer error of the capacitive voltage transformer CVT to be predicted is obtained by calculating a physical model. Among them, the basic working principle of the capacitive voltage transformer is shown in Figure 2, wherein C1 and C2 are the high-voltage capacitor and the medium-voltage capacitor of the capacitive voltage divider, the intermediate transformer T1, the compensation reactor L, the damping device D and the overvoltage. The protection device G together forms part of the electromagnetic unit. After the CVT is connected to the high-voltage system, the primary high-voltage signal is converted into a lower intermediate voltage signal by the capacitor voltage divider, which reduces the insulation requirements of the electromagnetic unit, and then is converted into the required secondary small signal by the intermediate transformer for metering, Measurement and control, protection and communication applications. The secondary output of CVT has multiple windings according to different requirements, among which 1a1n (2a2n, 3a3n) is the main secondary winding terminal, and dadn is the residual voltage winding terminal.
具体的,计算待预测日互感器误差预测理论值fL主要包括如下步骤:Specifically, calculating the theoretical value fL of transformer error prediction on the day to be predicted mainly includes the following steps:
获取被预测的电容式电压互感器的时间序列数据并通过站级误差评估系统,将已有的误差估计算法用于电参量得到CVT比值误差预测估计值,作为本发明电容式电压互感器CVT的误差历史参考值,该误差历史参考值属于是综合比值误差的日均值,将用于对CVT未来比值误差的预测。采集历史一个季度的CVT误差历史参考值序列F0,即历史一定时间段的每日的互感器误差预测估计值,也称为互感器历史误差预测估计值序列F0和当日(待预测日前一日)互感器误差预测估计值f0。Obtain the time series data of the predicted capacitive voltage transformer and use the existing error estimation algorithm for the electrical parameters to obtain the CVT ratio error prediction estimated value through the station-level error evaluation system, which is used as the CVT of the capacitive voltage transformer of the present invention. The historical reference value of the error, which belongs to the daily average value of the comprehensive ratio error, will be used to predict the future ratio error of the CVT. Collect the historical reference value sequence F0 of CVT error in one quarter of history, that is, the daily estimated value of transformer error prediction for a certain period of time in history, also known as the sequence F0 of the historical transformer error prediction estimate value and the current day (to be predicted one day before the forecast date). day) The transformer error prediction estimate f0 .
记录当日外界环境数据因素如温度、电源频率、二次负载,和待预测日(次日)的外界环境因素数据预报值,计算当日的相应附加误差,其中,温度附加误差的计算公式:Record the external environmental data factors such as temperature, power frequency, secondary load, and the forecast value of the external environmental factor data on the day to be predicted (the next day), and calculate the corresponding additional error of the day. The calculation formula of the temperature additional error is:
其中,S为额定负荷,为一常数;ac为温度系数为一常数;Δt为测量点温度与20 ℃的差值,ωn为额定角频率;C1为高压电容;C2为低压电容;U1为中间变压器原边电压,测量点温度可简化为当日平均气温,得到温度附加误差△f(T)。Among them, S is the rated load, is a constant; ac is a constant for the temperature coefficient; Δt is the difference between the temperature at the measurement point and 20 °C, ωn is the rated angular frequency; C1 is a high-voltage capacitor; C2 is a low-voltage capacitor; U1 is the original intermediate transformer The side voltage, the temperature of the measurement point can be simplified as the average temperature of the day, and the temperature additional error Δf(T) can be obtained.
电源频率附加误差的计算公式:The formula for calculating the additional error of the power frequency:
其中,S为额定负荷,为一常数,ω为当日平均角频率,ωn为额定角频率,C1为高压电容,C2为低压电容,U1为中间变压器原边电压。Among them, S is the rated load, is a constant, ω is the average angular frequency of the day, ωn is the rated angular frequency, C1 is the high-voltage capacitor, C2 is the low-voltage capacitor, and U1 is the primary voltage of the intermediate transformer.
二次负载附加误差的计算公式:The formula for calculating the additional error of the secondary load:
其中,U2为二次电压,I2为二次负载电流,为二次负载功率因数角,R1和X1为一次绕组和漏抗,R2’和X2’为折算至一次侧的二次绕组电阻和漏抗,fL0是CVT空载时的比差。Among them, U2 is the secondary voltage, I2 is the secondary load current, is the secondary load power factor angle, R1 and X1 are the primary winding and leakage reactance, R2 ' and X2 ' are the secondary winding resistance and leakage reactance converted to the primary side, and fL0 is the ratio of the CVT at no load Difference.
根据采集的当日外界环境因素数据,通过公式(1)-(3)计算当日温度附加误差、电源频率附加误差和二次负载附加误差,分别记为。According to the collected data of external environmental factors of the day, the additional error of temperature, power frequency and secondary load of the day are calculated by formulas (1)-(3), which are respectively recorded as .
同样的,根据采集的待预测日的外界环境因素数据预报值,根据公式(1)-(3)分别计算待预测日的温度附加误差、频率附加误差和二次负载附加误差,分别记为。Similarly, according to the collected forecast value of the external environmental factor data on the day to be predicted, according to formulas (1)-(3), the additional error of temperature, the additional error of frequency and the additional error of secondary load on the day to be predicted are calculated respectively, which are respectively recorded as .
上述分别计算了当日温度附加误差、频率附加误差、二次负载附加误差和待预测日的温度附加误差、频率附加误差和二次负载附加误差,计算待预测日的互感器误差理论值fL:The temperature additional error, frequency additional error, secondary load additional error and the temperature additional error, frequency additional error and secondary load additional error on the day to be predicted are calculated respectively above, and the theoretical value of the transformer error fL on the day to be predicted is calculated:
(4)。 (4).
S2,获取当日前预设历史时间段的互感器历史误差预测估计值序列F0,绘制互感器误差预测估计值序列F0的自相关系数图和偏自相关系数图;根据所述自相关系数图和偏自相关系数图的特征,确定互感器历史误差预测估计值序列F0符合的ARIMA(Autoregressive Integrated Moving Average model,差分整合移动平均自回归模型)模型;将所述互感器历史误差预测估计值序列F0输入所述ARIMA模型中,获取待预测日互感器误差预测观测值fG。S2, obtain the historical error prediction estimation value sequence F0 of the transformer in the preset historical time period before the current day, and draw the autocorrelation coefficient diagram and partial autocorrelation coefficient diagram of the transformer error prediction estimation value sequence F0 ; according to the autocorrelation coefficient The characteristics of the graph and the partial autocorrelation coefficient graph, determine the ARIMA (Autoregressive Integrated Moving Average model, differential integrated moving average autoregressive model) model conforming to the historical error prediction estimation value sequence F0 of the transformer; The value sequence F0 is input into the ARIMA model to obtain the predicted observation value fG of the transformer error on the day to be predicted.
作为实施例,所述获取当日前预设历史时间段的互感器历史误差预测估计值序列F0,绘制互感器误差预测估计值序列F0的自相关系数图和偏自相关系数图,包括:利用单位根检验方法对所述互感器历史误差预测估计值序列F0进行平稳性检验,检验所述互感器历史误差预测估计值序列F0中是否存在单位根,通过增加差分阶数直到通过单位根检验,记录差分处理阶数;基于差分处理阶数对所述互感器历史误差预测估计值序列F0进行差分处理,获得差分处理后的互感器历史误差预测估计值序列F’0;绘制差分处理后的互感器历史误差预测估计值序列F’0的自相关系数图和偏自相关系数图。As an embodiment, the acquisition of the sequence F0 of the historical error prediction estimation value of the transformer in the preset historical time period before the current day, and the drawing of the autocorrelation coefficient graph and the partial autocorrelation coefficient graph of the sequence F0 of the transformer error prediction estimation value include: The unit root test method is used to test the stationarity of the historical error prediction estimation value sequence F0 of the mutual inductor, and it is checked whether there is a unit root in the historical error prediction estimation value sequence F0 of the mutual inductor. By increasing the difference order until it passes the unit Root test, record the order of differential processing; perform differential processing on the sequence F0 of the historical error prediction estimation value of the transformer based on the differential processing order to obtain the differentially processed sequence F'0 of the historical error prediction estimation value of the mutual inductor; draw the difference The autocorrelation coefficient map and partial autocorrelation coefficient map of the processed transformer historical error prediction estimation value sequence F'0 .
其中,所述根据所述自相关系数图和偏自相关系数图的特征,确定互感器历史误差预测估计值序列F0符合的ARIMA模型,包括:分析所述自相关系数图的拖尾性以及分析所述偏自相关系数图的截尾性,基于所述自相关系数图的拖尾性特征和所述偏自相关系数图的截尾性特征,确定所述互感器历史误差预测估计值序列F0符合的ARIMA模型以及模型参数。Wherein, according to the characteristics of the autocorrelation coefficient map and the partial autocorrelation coefficient map, determining the ARIMA model conforming to the historical error prediction estimation value sequence F0 of the transformer includes: analyzing the tailing of the autocorrelation coefficient map and Analyze the truncation of the partial autocorrelation coefficient map, and determine the sequence of historical error prediction estimates of the mutual inductor based on the tailing feature of the autocorrelation coefficient map and the truncation feature of the partial autocorrelation coefficient map The ARIMA model to which F0 conforms and the model parameters.
具体的,以获取的互感器历史误差预测估计值序列F0作为数据集,绘制时序曲线,利用单位根检验方法对时序曲线进行平稳性检验,单位根检验即检验序列中是否存在单位根,增加差分阶数直到通过单位根检验,记录差分处理阶数d,基于得到的差分处理阶数d对互感器历史误差预测估计值序列F0进行差分处理,得到差分处理后的序列F’0。Specifically, using the acquired sequence F0 of the historical error prediction estimation value of the transformer as the data set, draw the time series curve, and use the unit root test method to test the stationarity of the time series curve. The unit root test is to test whether there is a unit root in the sequence, increase The difference order is until the unit root test is passed, and the difference processing order d is recorded. Based on the obtained difference processing order d, differential processing is performed on the sequence F0 of the transformer historical error prediction estimation value to obtain the differentially processed sequence F'0 .
绘制序列F’0的自相关系数图和偏自相关系数图:Plot the autocorrelation and partial autocorrelation plots for the series F'0 :
其中,自相关系数表达为:Among them, the autocorrelation coefficient is expressed as:
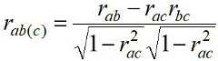
其中,是互感器选定时间段误差序列F’0的总体均值,h为滞后阶数,n为互感器误差序列F’0的数据长度,自相关系数表达了互感器误差数据前后自身的相关性,以h为横坐标,自相关系数为纵坐标作图。in, is the overall mean value of the error sequence F'0 in the selected time period of the transformer, h is the lag order, n is the data length of the transformer error sequence F'0 , and the autocorrelation coefficient expresses the correlation between the transformer error data before and after itself, Take h as the abscissa and the autocorrelation coefficient as the ordinate.
设有互感器误差序列X=(xa,xb,xc),偏自相关系数是剔除中间的一个误差段xc的干扰之后,误差数据自身前后的相关性,其表达式为:With the transformer error sequence X=(xa , xb , xc ), the partial autocorrelation coefficient is the correlation before and after the error data itself after eliminating the interference of an error segment xc in the middle, and its expression is:
(6); (6);
rab(c)表示剔除误差序列中xc段的干扰后,xa,xb的自相关系数。rab(c) represents the autocorrelation coefficients of xa and xb after eliminating the interference of the xc segment in the error sequence.
对于差分处理后的序列F’0,分别计算其中每一个数据的自相关系数和偏自相关系数,进而绘制序列F’0的自相关系数图和偏自相关系数图。通过绘制上述两图,偏自相关系数在p阶之后应为零,称其具有截尾性,自相关系数不能在某一步之后为零(截尾)而是按指数衰减(或成正弦波形式),称其具有拖尾性,本发明实施例通过分析自相关系数图的拖尾性特征和所述偏自相关系数图的截尾性特征,确定互感器历史误差预测估计值序列F0符合的ARIMA模型以及模型参数。For the differentially processed sequence F'0 , calculate the autocorrelation coefficient and partial autocorrelation coefficient of each data, and then draw the autocorrelation coefficient graph and partial autocorrelation coefficient graph of the sequence F'0 . By drawing the above two figures, the partial autocorrelation coefficient should be zero after the p order, which is called truncation. The autocorrelation coefficient cannot be zero after a certain step (truncated) but decay exponentially (or in the form of a sine wave). ), it is said to have tailing, the embodiment of the present invention determines that the historical error prediction estimation value sequence F0 of the mutual inductor meets the The ARIMA model and model parameters.
将序列F’0导入ARIMA模型中得到预测模型M,得到待预测日互感器误差预测观测值fG。Import the sequence F'0 into the ARIMA model to obtain the prediction model M, and obtain the predicted observation value fG of the transformer error on the day to be predicted.
S3,根据待预测日的互感器误差预测理论值fL和待预测日互感器误差预测观测值fG,计算待预测日互感器误差预测估计值f1。S3, according to the predicted theoretical value fL of the transformer error on the to-be-predicted day and the predicted observed value of the transformer error on the to-be-predicted day fG , calculate the predicted estimated value f1 of the transformer error on the to-be-predicted day.
作为实施例,所述根据待预测日的互感器误差预测理论值fL和待预测日互感器误差预测观测值fG,计算待预测日互感器误差预测估计值f1,包括:基于互感器的历史观测值误差和历史理论值误差,计算优化系数,所述互感器的历史观测值误差为当日前预设历史时间段的每日互感器误差预测观测值与对应预测误差估计值差值的均值,所述互感器的历史理论值误差为当日前预设历史时间段的每日互感器误差预测理论值与对应预测误差估计值差值的均值;根据待预测日的互感器误差预测理论值fL、待预测日互感器误差预测观测值fG以及所述优化系数,计算待预测日互感器误差预测估计值。As an embodiment, calculating the estimated value f1 of the transformer error prediction on the day to be predicted according to the predicted theoretical value fL of the transformer error on the to-be-predicted day and the predicted observed value of the transformer error on the to-be-predicted day fG , including: The historical observation value error and historical theoretical value error of the current transformer are calculated, and the optimization coefficient is calculated. The mean value, the historical theoretical value error of the transformer is the mean value of the difference between the daily transformer error prediction theoretical value and the corresponding prediction error estimated value in the preset historical time period before the current day; according to the transformer error prediction theoretical value on the day to be predicted fL , the predicted observation value fG of the transformer error on the day to be predicted, and the optimization coefficient, and calculate the predicted estimated value of the transformer error on the day to be predicted.
可以理解的是,上述步骤得到待预测日互感器误差预测理论值fL,和误差预测观测值fG,将最优估计思想引入CVT计量误差预测方法中,以达到提高预测准确度的目的。It can be understood that the above steps obtain the theoretical value fL of the transformer error prediction on the day to be predicted, and the error prediction observation value fG , and the optimal estimation idea is introduced into the CVT measurement error prediction method to achieve the purpose of improving the prediction accuracy.
f0为已知的当日互感器误差参考值(即当日互感器误差预测估计值),fL为计算出的待预测日互感器误差预测理论值,fG为待预测日互感器误差预测观测值即ARIMA模型预测得到的值,f1为最终得到的待预测日互感器误差预测估计值。f0 is the known reference value of the transformer error on the day (that is, the estimated value of the transformer error on the current day), fL is the calculated theoretical value of the transformer error prediction on the day to be predicted, and fG is the predicted observation of the transformer error on the day to be predicted The value is the value predicted by the ARIMA model, and f1 is the final estimated value of the transformer error prediction on the day to be predicted.
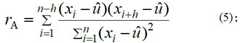
首先,参考卡尔曼滤波算法更新方程卡尔曼增益计算公式,设计了一种优化系数,优化系数计算公式K为:First, referring to the Kalman filter algorithm update equation Kalman gain calculation formula, an optimization coefficient is designed. The optimization coefficient calculation formula K is:
(7); (7);
其中,eG为互感器的历史观测值误差,即历史一个季度互感器计量误差用ARIMA算法得到误差预测观测值与当日误差参考值的差的均值;eL为互感器的历史理论值误差,即历史一个季度互感器计量误差用外界环境附加误差计算方法得到误差预测理论值与当日误差参考值的差的均值。互感器的历史观测值误差eG和互感器的历史理论值误差eL的计算公式为:Among them, eG is the historical observation value error of the transformer, that is, the measurement error of the transformer in a quarter in history is the mean value of the difference between the error prediction observation value and the error reference value of the day; eL is the historical theoretical value error of the transformer, That is to say, the measurement error of the transformer in a quarter in history is calculated by the additional error calculation method of the external environment to obtain the mean value of the difference between the theoretical value of the error prediction and the error reference value of the day. The calculation formulas of the historical observation value error eG of the transformer and the historical theoretical value error eL of the transformer are:
(8); (8);
其中,i是指历史一定时间段的第i天。Among them, i refers to the ith day of a certain period of time in history.
最终得到的待预测日互感器误差预测估计值f1的计算公式为:The calculation formula of the final estimated value f1 of the transformer error prediction on the day to be predicted is:
(9); (9);
其中,fG和fL分别为待预测日互感器误差预测观测值和误差预测理论值,f1即为得到待预测日互感器误差预测估计值,作为优化后的互感器误差预测值结果供工作人员参考。参见图3,为互感器误差预测估计值(最优化值)与互感器误差预测观测值的效果对比图。其中,取5个月数据应用于最优化算法,分别计算互感器误差预测估计值和互感器误差预测观测值,与误差参考值的差值,绘制上图3,结果表明,最优值与误差参考值的差值普遍更小,说明最优算法预测准确度更高。Among them, fG and fL are the observed value and theoretical value of the error prediction of the transformer on the day to be predicted, respectively, and f1 is the estimated value of the error prediction of the transformer on the day to be predicted, which is used as the result of the optimized predicted value of the transformer error. Staff reference. Referring to Figure 3, it is a comparison chart of the effect of the estimated value (optimal value) of the transformer error prediction and the observed value of the transformer error prediction. Among them, 5 months of data are taken and applied to the optimization algorithm, and the difference between the estimated value of transformer error prediction and the observed value of transformer error prediction, and the error reference value are calculated respectively, and the above Figure 3 is drawn. The results show that the optimal value and the error The difference between the reference values is generally smaller, indicating that the prediction accuracy of the optimal algorithm is higher.
实施例二Embodiment 2
一种电容式电压互感器计量误差预测系统,参见图4,该计量误差预测系统包括第一计算模块401、绘制模块402、确定模块403、获取模块404和第二计算模块405。A capacitive voltage transformer measurement error prediction system, see FIG. 4 , the measurement error prediction system includes a first calculation module 401 , a drawing module 402 , a determination module 403 , an acquisition module 404 and a second calculation module 405 .
其中,第一计算模块401,用于根据当日外界因素环境数据和待预测日外界环境因素数据预报值,分别计算电容式电压互感器CVT的当日附加误差和待预测日附加误差;根据所述CVT的当日附加误差和待预测日附加误差,计算待预测日的互感器误差预测理论值fL;绘制模块402,用于获取当日前预设历史时间段的互感器历史误差预测估计值序列F0,绘制互感器误差预测估计值序列F0的自相关系数图和偏自相关系数图;确定模块403,用于根据所述自相关系数图和偏自相关系数图的特征,确定互感器历史误差预测估计值序列F0符合的ARIMA模型;获取模块404,用于将所述互感器历史误差预测估计值序列F0输入所述ARIMA模型中,获取待预测日互感器误差预测观测值fG;第二计算模块405,用于根据待预测日的互感器误差预测理论值fL和待预测日互感器误差预测观测值fG,计算待预测日互感器误差预测估计值f1。Among them, the first calculation module 401 is used to calculate the additional error of the current day and the additional error of the to-be-predicted day of the capacitive voltage transformer CVT according to the environmental data of the external factors of the current day and the predicted value of the data of the external environmental factors of the day to be predicted; according to the CVT The additional error of the current day and the additional error of the day to be predicted are calculated, and the theoretical value fL of transformer error prediction on the day to be predicted is calculated; the drawing module 402 is used to obtain the historical transformer historical error prediction estimation value sequence F0 of the preset historical time period before the current day. , draw the autocorrelation coefficient diagram and partial autocorrelation coefficient diagram of the transformer error prediction estimated value sequence F0 ; the determining module 403 is used to determine the historical error of the transformer according to the characteristics of the autocorrelation coefficient diagram and the partial autocorrelation coefficient diagram The ARIMA model that the predicted estimated value sequence F0 conforms to; the acquisition module 404 is configured to input the historical transformer historical error predicted estimated value sequence F0 into the ARIMA model, and obtain the predicted value fG of the transformer error on the day to be predicted; The second calculation module 405 is configured to calculate the estimated value f1 of the transformer error prediction on the date to be predicted according to the predicted theoretical value fL of the transformer error on the date to be predicted and the predicted observed value fG of the transformer error on the date to be predicted.
可以理解的是,本发明提供的一种电容式电压互感器计量误差预测系统与前述各实施例提供的电容式电压互感器计量误差预测方法相对应,电容式电压互感器计量误差预测系统的相关技术特征可参考器计量误差预测方法的相关技术特征,在此不再赘述。It can be understood that a capacitive voltage transformer measurement error prediction system provided by the present invention corresponds to the capacitive voltage transformer measurement error prediction methods provided by the foregoing embodiments, and the correlation of the capacitive voltage transformer measurement error prediction system is as follows: For the technical features, refer to the related technical features of the metering error prediction method, which will not be repeated here.
实施例三Embodiment 3
请参阅图5,图5为本发明实施例提供的电子设备的实施例示意图。如图5所示,本发明实施例提了一种电子设备500,包括存储器510、处理器520及存储在存储器510上并可在处理器520上运行的计算机程序511,处理器520执行计算机程序511时实现实施例一的电容式电压互感器计量误差预测方法。Please refer to FIG. 5 , which is a schematic diagram of an embodiment of an electronic device provided by an embodiment of the present invention. As shown in FIG. 5 , an embodiment of the present invention provides an
实施例四Embodiment 4
请参阅图6,图6为本发明提供的一种计算机可读存储介质的实施例示意图。如图6所示,本实施例提供了一种计算机可读存储介质600,其上存储有计算机程序611,该计算机程序611被处理器执行时实现实施例一的电容式电压互感器计量误差预测方法。Please refer to FIG. 6, which is a schematic diagram of an embodiment of a computer-readable storage medium provided by the present invention. As shown in FIG. 6 , this embodiment provides a computer-
本发明实施例提供的一种电容式电压互感器计量误差预测方法及系统,分别计算待预测日的互感器误差预测理论值fL和互感器误差预测观测值fG,结合这两种预测值,加以新算法综合预测数据,得到最终的预测估计值,以提高CVT计量误差状态预测的准确度。The embodiment of the present invention provides a method and system for predicting the measurement error of a capacitive voltage transformer, respectively calculating the theoretical value fL of the predicted error of the transformer and the observed value fG of the predicted error of the transformer on the day to be predicted, and combining the two predicted values , and a new algorithm is added to synthesize the forecast data to obtain the final forecast estimate value, so as to improve the accuracy of CVT measurement error state forecast.
需要说明的是,在上述实施例中,对各个实施例的描述都各有侧重,某个实施例中没有详细描述的部分,可以参见其它实施例的相关描述。It should be noted that, in the foregoing embodiments, the description of each embodiment has its own emphasis, and for parts that are not described in detail in a certain embodiment, reference may be made to the relevant descriptions of other embodiments.
本领域内的技术人员应明白,本发明的实施例可提供为方法、系统、或计算机程序产品。因此,本发明可采用完全硬件实施例、完全软件实施例、或结合软件和硬件方面的实施例的形式。而且,本发明可采用在一个或多个其中包含有计算机可用程序代码的计算机可用存储介质(包括但不限于磁盘存储器、CD-ROM、光学存储器等)上实施的计算机程序产品的形式。As will be appreciated by one skilled in the art, embodiments of the present invention may be provided as a method, system, or computer program product. Accordingly, the present invention may take the form of an entirely hardware embodiment, an entirely software embodiment, or an embodiment combining software and hardware aspects. Furthermore, the present invention may take the form of a computer program product embodied on one or more computer-usable storage media (including, but not limited to, disk storage, CD-ROM, optical storage, etc.) having computer-usable program code embodied therein.
本发明是参照根据本发明实施例的方法、设备(系统)、和计算机程序产品的流程图和/或方框图来描述。应理解可由计算机程序指令实现流程图和/或方框图中的每一流程和/或方框、以及流程图和/或方框图中的流程和/或方框的结合。可提供这些计算机程序指令到通用计算机、专用计算机、嵌入式计算机或者其他可编程数据处理设备的处理器以产生一个机器,使得通过计算机或其他可编程数据处理设备的处理器执行的指令产生用于实现在流程图一个流程或多个流程和/或方框图一个方框或多个方框中指定的功能的装置。The present invention is described with reference to flowchart illustrations and/or block diagrams of methods, apparatus (systems), and computer program products according to embodiments of the invention. It will be understood that each flow and/or block in the flowchart illustrations and/or block diagrams, and combinations of flows and/or blocks in the flowchart illustrations and/or block diagrams, can be implemented by computer program instructions. These computer program instructions may be provided to the processor of a general purpose computer, special purpose computer, embedded computer or other programmable data processing device to produce a machine such that the instructions executed by the processor of the computer or other programmable data processing device produce Means implementing the functions specified in one or more of the flowcharts and/or one or more blocks of the block diagrams.
这些计算机程序指令也可存储在能引导计算机或其他可编程数据处理设备以特定方式工作的计算机可读存储器中,使得存储在该计算机可读存储器中的指令产生包括指令装置的制造品,该指令装置实现在流程图一个流程或多个流程和/或方框图一个方框或多个方框中指定的功能。These computer program instructions may also be stored in a computer-readable memory capable of directing a computer or other programmable data processing apparatus to function in a particular manner, such that the instructions stored in the computer-readable memory result in an article of manufacture comprising instruction means, the instructions The apparatus implements the functions specified in the flow or flow of the flowcharts and/or the block or blocks of the block diagrams.
这些计算机程序指令也可装载到计算机或其他可编程数据处理设备上,使得在计算机或其他可编程设备上执行一系列操作步骤以产生计算机实现的处理,从而在计算机或其他可编程设备上执行的指令提供用于实现在流程图一个流程或多个流程和/或方框图一个方框或多个方框中指定的功能的步骤。These computer program instructions can also be loaded on a computer or other programmable data processing device to cause a series of operational steps to be performed on the computer or other programmable device to produce a computer-implemented process such that The instructions provide steps for implementing the functions specified in the flow or blocks of the flowcharts and/or the block or blocks of the block diagrams.
尽管已描述了本发明的优选实施例,但本领域内的技术人员一旦得知了基本创造概念,则可对这些实施例作出另外的变更和修改。所以,所附权利要求意欲解释为包括优选实施例以及落入本发明范围的所有变更和修改。Although preferred embodiments of the present invention have been described, additional changes and modifications to these embodiments may occur to those skilled in the art once the basic inventive concepts are known. Therefore, the appended claims are intended to be construed to include the preferred embodiment and all changes and modifications that fall within the scope of the present invention.
显然,本领域的技术人员可以对本发明进行各种改动和变型而不脱离本发明的精神和范围。这样,倘若本发明的这些修改和变型属于本发明权利要求及其等同技术的范围之内,则本发明也意图包括这些改动和变型在内。It will be apparent to those skilled in the art that various modifications and variations can be made in the present invention without departing from the spirit and scope of the invention. Thus, provided that these modifications and variations of the present invention fall within the scope of the claims of the present invention and their equivalents, the present invention is also intended to include such modifications and variations.
| Application Number | Priority Date | Filing Date | Title |
|---|---|---|---|
| CN202210050187.0ACN114065114B (en) | 2022-01-17 | 2022-01-17 | A method and system for predicting measurement error of capacitive voltage transformer |
| Application Number | Priority Date | Filing Date | Title |
|---|---|---|---|
| CN202210050187.0ACN114065114B (en) | 2022-01-17 | 2022-01-17 | A method and system for predicting measurement error of capacitive voltage transformer |
| Publication Number | Publication Date |
|---|---|
| CN114065114Atrue CN114065114A (en) | 2022-02-18 |
| CN114065114B CN114065114B (en) | 2022-04-15 |
| Application Number | Title | Priority Date | Filing Date |
|---|---|---|---|
| CN202210050187.0AActiveCN114065114B (en) | 2022-01-17 | 2022-01-17 | A method and system for predicting measurement error of capacitive voltage transformer |
| Country | Link |
|---|---|
| CN (1) | CN114065114B (en) |
| Publication number | Priority date | Publication date | Assignee | Title |
|---|---|---|---|---|
| CN115372881A (en)* | 2022-10-25 | 2022-11-22 | 武汉格蓝若智能技术股份有限公司 | Method and system for evaluating measurement errors of voltage transformers |
| CN115587673A (en)* | 2022-11-10 | 2023-01-10 | 武汉格蓝若智能技术股份有限公司 | Voltage transformer error state prediction method and system |
| CN117590123A (en)* | 2023-11-22 | 2024-02-23 | 中科可控信息产业有限公司 | A cable testing method, device, equipment and medium |
| CN118362968A (en)* | 2024-06-19 | 2024-07-19 | 深圳市北电仪表有限公司 | Method and system for monitoring operation error of electric energy meter |
| CN120600266A (en)* | 2025-08-06 | 2025-09-05 | 中国人民解放军空军军医大学 | Hemodialysis data processing method and system |
| Publication number | Priority date | Publication date | Assignee | Title |
|---|---|---|---|---|
| US20080243413A1 (en)* | 2007-03-30 | 2008-10-02 | General Electric Company | self-adjusting voltage filtering technique compensating for dynamic errors of capacitive voltage transformers |
| CN210864020U (en)* | 2019-06-27 | 2020-06-26 | 中国电力科学研究院有限公司 | System for determining operating state of capacitor voltage transformer |
| CN113821938A (en)* | 2021-11-18 | 2021-12-21 | 武汉格蓝若智能技术有限公司 | A short-term prediction method and device for measuring error state of transformer |
| CN113887846A (en)* | 2021-12-07 | 2022-01-04 | 武汉格蓝若智能技术有限公司 | Out-of-tolerance risk early warning method for capacitive voltage transformer |
| Publication number | Priority date | Publication date | Assignee | Title |
|---|---|---|---|---|
| US20080243413A1 (en)* | 2007-03-30 | 2008-10-02 | General Electric Company | self-adjusting voltage filtering technique compensating for dynamic errors of capacitive voltage transformers |
| CN210864020U (en)* | 2019-06-27 | 2020-06-26 | 中国电力科学研究院有限公司 | System for determining operating state of capacitor voltage transformer |
| CN113821938A (en)* | 2021-11-18 | 2021-12-21 | 武汉格蓝若智能技术有限公司 | A short-term prediction method and device for measuring error state of transformer |
| CN113887846A (en)* | 2021-12-07 | 2022-01-04 | 武汉格蓝若智能技术有限公司 | Out-of-tolerance risk early warning method for capacitive voltage transformer |
| Publication number | Priority date | Publication date | Assignee | Title |
|---|---|---|---|---|
| CN115372881A (en)* | 2022-10-25 | 2022-11-22 | 武汉格蓝若智能技术股份有限公司 | Method and system for evaluating measurement errors of voltage transformers |
| CN115372881B (en)* | 2022-10-25 | 2023-02-10 | 武汉格蓝若智能技术股份有限公司 | Method and system for evaluating measurement errors of voltage transformers |
| CN115587673A (en)* | 2022-11-10 | 2023-01-10 | 武汉格蓝若智能技术股份有限公司 | Voltage transformer error state prediction method and system |
| CN115587673B (en)* | 2022-11-10 | 2023-04-07 | 武汉格蓝若智能技术股份有限公司 | Voltage transformer error state prediction method and system |
| CN117590123A (en)* | 2023-11-22 | 2024-02-23 | 中科可控信息产业有限公司 | A cable testing method, device, equipment and medium |
| CN118362968A (en)* | 2024-06-19 | 2024-07-19 | 深圳市北电仪表有限公司 | Method and system for monitoring operation error of electric energy meter |
| CN118362968B (en)* | 2024-06-19 | 2024-09-13 | 深圳市北电仪表有限公司 | Operation error monitoring method and system of electric energy meter |
| CN120600266A (en)* | 2025-08-06 | 2025-09-05 | 中国人民解放军空军军医大学 | Hemodialysis data processing method and system |
| Publication number | Publication date |
|---|---|
| CN114065114B (en) | 2022-04-15 |
| Publication | Publication Date | Title |
|---|---|---|
| CN114065114B (en) | A method and system for predicting measurement error of capacitive voltage transformer | |
| CN113821938B (en) | Short-term prediction method and device for metering error state of mutual inductor | |
| CN116295661B (en) | Transformer fault early warning system based on Internet of things | |
| CN113777552B (en) | Method and system for predicting metering error of capacitive voltage transformer | |
| WO2019174462A1 (en) | Method for accurately measuring harmonic voltage of capacitor voltage transformer by means of interpolation | |
| CN113887846B (en) | Out-of-tolerance risk early warning method for capacitive voltage transformer | |
| CN115469260B (en) | A method and system for identifying abnormality of current transformer based on Hausdorff | |
| CN109324261A (en) | A method and system for early warning of overheating risk of distribution network cable lines | |
| CN118859092B (en) | Output electric energy metering error analysis method for alternating-current charging pile | |
| CN118761444A (en) | An IGBT fault prediction method and system based on inverted Transformer network | |
| CN118731548B (en) | New energy vehicle charger automatic test system | |
| CN116662771A (en) | Method and System for Quantitative Evaluation of Capacitive Voltage Transformer Adaptive PCA Error | |
| CN115878963A (en) | Capacitance voltage transformer metering error prediction method, system, terminal and medium | |
| CN117670287A (en) | Transformer operation and maintenance management method and device | |
| CN113093082A (en) | Mutual inductor error online analysis method and device for statistical line loss analysis | |
| CN108767822B (en) | Matching Method of Line Model and Transformer Type for Relay Protection | |
| CN102722660B (en) | The Forecasting Methodology of air puncture voltage and device | |
| Aydarov et al. | Alarm signals identification based on the data of Cars warranty exploitation | |
| CN118194127A (en) | Power oscillation data processing method, device, storage medium and electronic equipment | |
| CN117374923A (en) | A targeted prevention method, medium and system for subsynchronous resonance in a power plant | |
| CN115980647B (en) | CVT abnormal state identification method and device based on group information | |
| CN117783665A (en) | Dynamic broadband signal measurement method and system for power system based on time-frequency domain analysis | |
| CN117331015A (en) | An inaccuracy early warning method and system for CVT measurement errors | |
| CN117192185A (en) | CVT capacitive current-based power grid transient voltage measurement method and device | |
| CN113193589A (en) | DFIG wind power plant subsynchronous oscillation suppression method based on digital twin simulation |
| Date | Code | Title | Description |
|---|---|---|---|
| PB01 | Publication | ||
| PB01 | Publication | ||
| SE01 | Entry into force of request for substantive examination | ||
| SE01 | Entry into force of request for substantive examination | ||
| GR01 | Patent grant | ||
| GR01 | Patent grant | ||
| CP01 | Change in the name or title of a patent holder | ||
| CP01 | Change in the name or title of a patent holder | Address after:Room 1803-1805, building 2-07, guanggu.core center, 303 Guanggu Avenue, Donghu New Technology Development Zone, Wuhan City, Hubei Province, 430000 Patentee after:Wuhan Gelanruo Intelligent Technology Co.,Ltd. Address before:Room 1803-1805, building 2-07, guanggu.core center, 303 Guanggu Avenue, Donghu New Technology Development Zone, Wuhan City, Hubei Province, 430000 Patentee before:WUHAN GLORY ROAD INTELLIGENT TECHNOLOGY Co.,Ltd. | |
| TR01 | Transfer of patent right | Effective date of registration:20250818 Address after:430205 Hubei Province, Wuhan City, Donghu New Technology Development Zone, No. 88 Guanggu Sixth Road, Guanggu Innovation Square, Building B12, Unit T4, 12th Floor, Room 01 Patentee after:Wuhan Gelanruo Electrical Technology Co.,Ltd. Country or region after:China Address before:Room 1803-1805, building 2-07, guanggu.core center, 303 Guanggu Avenue, Donghu New Technology Development Zone, Wuhan City, Hubei Province, 430000 Patentee before:Wuhan Gelanruo Intelligent Technology Co.,Ltd. Country or region before:China |