Movatterモバイル変換


[0]ホーム

URL:


CN114035298A - Eyesight adjusting method, head-mounted display device and storage medium - Google Patents

Eyesight adjusting method, head-mounted display device and storage medium
Download PDF

Info

Publication number
CN114035298A
CN114035298ACN202111372866.1ACN202111372866ACN114035298ACN 114035298 ACN114035298 ACN 114035298ACN 202111372866 ACN202111372866 ACN 202111372866ACN 114035298 ACN114035298 ACN 114035298A
Authority
CN
China
Prior art keywords
lens
vision
adjusting
display
display module
Prior art date
Legal status (The legal status is an assumption and is not a legal conclusion. Google has not performed a legal analysis and makes no representation as to the accuracy of the status listed.)
Granted
Application number
CN202111372866.1A
Other languages
Chinese (zh)
Other versions
CN114035298B (en
Inventor
刘焕洲
贾聪聪
李玉崇
鹿丽华
董坤
王青
Current Assignee (The listed assignees may be inaccurate. Google has not performed a legal analysis and makes no representation or warranty as to the accuracy of the list.)
Goertek Techology Co Ltd
Original Assignee
Qingdao Goertek Technology Co Ltd
Priority date (The priority date is an assumption and is not a legal conclusion. Google has not performed a legal analysis and makes no representation as to the accuracy of the date listed.)
Filing date
Publication date
Application filed by Qingdao Goertek Technology Co LtdfiledCriticalQingdao Goertek Technology Co Ltd
Priority to CN202111372866.1ApriorityCriticalpatent/CN114035298B/en
Publication of CN114035298ApublicationCriticalpatent/CN114035298A/en
Application grantedgrantedCritical
Publication of CN114035298BpublicationCriticalpatent/CN114035298B/en
Activelegal-statusCriticalCurrent
Anticipated expirationlegal-statusCritical

Links

Images

Classifications

Landscapes

Abstract

The invention discloses a vision adjusting method, a head-mounted display device and a storage medium, wherein the vision adjusting method is applied to the head-mounted display device, the head-mounted display device comprises a vision adjusting device, the vision adjusting device comprises a display module, a first lens, a second lens and an adjusting component, and the vision adjusting method comprises the following steps: when receiving an adjusting instruction, controlling the display module to display a calibration picture; and controlling the adjusting component to work so as to adjust the distance between the first lens and the second lens. The technical scheme of the invention can adjust the vision degree of the head-mounted display equipment and adapt to the use requirements of users with myopia or hyperopia.

Description

Eyesight adjusting method, head-mounted display device and storage medium
Technical Field
The invention relates to the technical field of optical display, in particular to a vision adjusting method, a head-mounted display device and a storage medium.
Background
The virtual image distance of the current virtual reality head-mounted equipment is a fixed value and cannot be adjusted, and users with abnormal vision (myopia or hyperopia) need to meet the product requirements by additionally configuring vision correction lens accessories. However, this solution requires customization for individual users, and can only meet the needs of a single individual, and if the user is replaced, the vision correction lenses need to be reconfigured.
Therefore, the above solution has the following disadvantages: first, the cost of the product is increased because additional purchasing of accessories is required; secondly, if the vision degrees of different people are inconsistent, the product cannot be shared (such as between family members) and cannot be compatible with different requirements.
Disclosure of Invention
The invention mainly aims to provide a vision adjusting method, a head-mounted display device and a storage medium, aiming at adjusting the vision power of the head-mounted display device to meet the use requirements of users with myopia or hyperopia.
In order to achieve the above object, the present invention provides a vision adjusting method applied to a head-mounted display device, where the head-mounted display device includes a vision adjusting apparatus, the vision adjusting apparatus includes a display module, a first lens, a second lens, and an adjusting component, the first lens, the second lens, and the display module are sequentially disposed at intervals, the first lens and the second lens are both located on a side where a display area of the display module is located, the adjusting component is connected to the first lens and the second lens, the adjusting component is used to adjust a distance between the first lens and the second lens, and the vision adjusting method includes the following steps:
when receiving an adjusting instruction, controlling the display module to display a calibration picture;
and controlling the adjusting component to work so as to adjust the distance between the first lens and the second lens.
Further, the head-mounted display device further includes a distance detecting member for detecting a distance between the first lens and the second lens, and the vision adjusting method further includes the steps of:
acquiring a distance value detected by the distance detection piece, wherein the distance value is the distance between the first lens and the second lens;
converting the distance value into a corresponding vision power according to a first preset mapping relation;
and controlling the display module to display the eyesight degrees.
Further, the distance detector is a sliding rheostat, the displacement amount of a switch of the sliding rheostat is equal to the distance variation amount between the first lens and the second lens, and the step of acquiring the distance value detected by the distance detector comprises:
acquiring a voltage value output by the slide rheostat;
and converting the voltage value into the corresponding distance value according to a second preset mapping relation.
Further, the head-mounted display device further comprises a position sensor, and the eyesight adjusting method further comprises the following steps:
when the position sensor detects that the head-mounted display equipment is in a wearing state, acquiring the current vision degree of the vision adjusting device;
and controlling the display module to display the eyesight degrees.
Further, after the step of controlling the display module to display the eyesight degree, the method further comprises:
and when the preset condition is met, controlling the display module to close the eyesight degrees.
Further, the preset condition is that an adjustment completion instruction is received; or,
the preset condition is that the duration of the obtained distance value which is kept unchanged is greater than or equal to a preset duration threshold.
Further, the head-mounted display device comprises two vision adjusting devices: first eyesight adjusting device and second eyesight adjusting device, when receiving the regulation instruction, control the display module assembly shows the step of calibration picture includes:
when a first instruction is received, controlling a display module of the first vision adjusting device to display the calibration picture, and controlling a display module of the second vision adjusting device to close display;
when a second instruction is received, controlling a display module of the first vision adjusting device to close display, and controlling a display module of the second vision adjusting device to display the calibration picture;
and when a third instruction is received, controlling the display modules of the first vision adjusting device and the second vision adjusting device to display the calibration picture.
Further, after the step of controlling the display module of the first eyesight adjusting device and the second eyesight adjusting device to display the calibration picture when receiving the third instruction, the method further includes:
and when an adjustment failure instruction is received, returning to execute the steps of controlling the display module of the first vision adjusting device to display the calibration picture and controlling the display module of the second vision adjusting device to close the display.
In order to achieve the above object, the present invention provides a head-mounted display device, where the head-mounted display device includes a vision adjusting apparatus, the vision adjusting apparatus includes a display module, a first lens, a second lens, an adjusting component, a memory, a processor, and a vision adjusting program stored in the memory and running on the processor, the first lens, the second lens, and the display module are sequentially disposed at intervals, the first lens and the second lens are both located on a side where a display area of the display module is located, the adjusting component is connected to the first lens and the second lens, the adjusting component is configured to adjust a distance between the first lens and the second lens, and the vision adjusting program is executed by the processor as follows:
when receiving an adjusting instruction, controlling the display module to display a calibration picture;
and controlling the adjusting component to work so as to adjust the distance between the first lens and the second lens.
To achieve the above object, the present invention proposes a storage medium having a vision adjusting program stored thereon, the vision adjusting program implementing the steps of the vision adjusting method as described above when executed by a processor.
In the technical scheme of the invention, when an adjusting instruction is received, the vision adjusting device can control the display module to display a calibration picture, when the distance between the first lens and the second lens is adjusted through the adjusting component, the combined focal length of the first lens and the second lens can be changed, the diopter of a lens group consisting of the first lens and the second lens is adjusted, namely, the vision power is adjusted, the image surface is close to or far away from eyes of a user until the user can see a clear picture, and the vision adjusting device is adjusted to the proper vision power, so that the aim of adjusting myopia or hyperopia is fulfilled. The vision adjusting device can be suitable for myopia or hyperopia users, can be used for adaptively adjusting users with different vision degrees, meets the use requirements of different users, and enables products to be shared among different users. Meanwhile, the virtual image distance is directly adjusted on the product level, so that additional accessories do not need to be purchased, and the cost can be reduced.
Drawings
In order to more clearly illustrate the embodiments of the present invention or the technical solutions in the prior art, the drawings used in the description of the embodiments or the prior art will be briefly described below, it is obvious that the drawings in the following description are only some embodiments of the present invention, and for those skilled in the art, other drawings can be obtained according to the structures shown in the drawings without creative efforts.
FIG. 1 is a schematic structural diagram of a vision adjusting device according to an embodiment of the present invention;
FIG. 2 is a schematic cross-sectional view of the vision adjusting device of FIG. 1;
fig. 3 is a schematic cross-sectional view of the first and second brackets of the vision adjusting apparatus of fig. 1;
fig. 4 is a schematic top view of the first and second brackets of the vision adjusting apparatus of fig. 1;
fig. 5 is a schematic view of a first bracket of the vision adjusting device of fig. 1;
FIG. 6 is a schematic view of the adjustment principle of the vision adjusting device of FIG. 1;
FIG. 7 is a schematic diagram of the vision adjusting device of FIG. 1 in different adjustment states;
fig. 8 is a schematic terminal structure diagram of a hardware operating environment according to an embodiment of the present invention;
FIG. 9 is a schematic flow chart of a vision adjusting method according to a first embodiment of the present invention;
FIG. 10 is a schematic flow chart of a vision adjusting method according to a second embodiment of the present invention;
FIG. 11 is a flowchart illustrating a detailed step of step S30 in the third embodiment of the vision adjusting method of the present invention;
FIG. 12 is a schematic flow chart of a vision adjusting method according to a fourth embodiment of the present invention;
FIG. 13 is a schematic flow chart of a fifth embodiment of the vision adjusting method of the present invention;
fig. 14 is a flowchart illustrating a detailed step of step S10 in the sixth embodiment of the vision adjusting method of the present invention;
fig. 15 is a flowchart illustrating a detailed step of step S10 in the sixth embodiment of the vision adjusting method of the present invention.
The reference numbers illustrate:
Figure BDA0003361761680000041
Figure BDA0003361761680000051
the implementation, functional features and advantages of the objects of the present invention will be further explained with reference to the accompanying drawings.
Detailed Description
The technical solutions in the embodiments of the present invention will be clearly and completely described below with reference to the drawings in the embodiments of the present invention, and it is obvious that the described embodiments are only a part of the embodiments of the present invention, and not all of the embodiments. All other embodiments, which can be derived by a person skilled in the art from the embodiments given herein without making any creative effort, shall fall within the protection scope of the present invention.
It should be noted that, if directional indications (such as up, down, left, right, front, and back … …) are involved in the embodiment of the present invention, the directional indications are only used to explain the relative positional relationship between the components, the movement situation, and the like in a specific posture (as shown in the drawing), and if the specific posture is changed, the directional indications are changed accordingly.
In addition, if there is a description of "first", "second", etc. in an embodiment of the present invention, the description of "first", "second", etc. is for descriptive purposes only and is not to be construed as indicating or implying relative importance or implicitly indicating the number of technical features indicated. Thus, a feature defined as "first" or "second" may explicitly or implicitly include at least one such feature. In addition, technical solutions between various embodiments may be combined with each other, but must be realized by a person skilled in the art, and when the technical solutions are contradictory or cannot be realized, such a combination should not be considered to exist, and is not within the protection scope of the present invention.
The present invention provides avision adjusting device 100.
In an embodiment of the present invention, as shown in fig. 1 to 2, thevision adjusting apparatus 100 includes: adisplay module 10; thefirst lens 20, thefirst lens 20 is arranged opposite to thedisplay module 10; thesecond lens 30, thesecond lens 30 is opposite to thefirst lens 20, and both thefirst lens 20 and thesecond lens 30 are located on one side of the display area of thedisplay module 10; and an adjusting component connected with thefirst lens 20 and thesecond lens 30, wherein the adjusting component is used for adjusting the distance between thefirst lens 20 and thesecond lens 30.
Thevision adjusting apparatus 100 of this embodiment may be applied to a head-mounted display device, and the head-mounted display device may specifically be a virtual reality device. The head-mounted display device comprising thevision adjusting device 100 can meet the use requirements of users with myopia or hyperopia. For clarity of explanation of the adjustment principle of thevision adjusting apparatus 100, the following description will be made by taking thevision adjusting apparatus 100 as an example for a user with myopia.
In an embodiment, as shown in fig. 5, thedisplay module 10, thesecond lens element 30 and thefirst lens element 20 are sequentially arranged along the same optical axis, and a user views thedisplay module 10 from a side of thefirst lens element 20 away from the second lens element 30 (i.e. the user's eyes are located at a side of thefirst lens element 20 away from the second lens element 30). It is understood that, during the adjustment process, thedisplay module 10 will display the adjustment information, including the calibration frame. The distance between thefirst lens 20 and thedisplay module 10 is fixed, and thesecond lens 30 can move along the optical axis. When the user performs the adjustment operation on thevision adjusting device 100, the adjustablesecond lens 30 moves towards or away from thefirst lens 20 to change the distance between thesecond lens 30 and thefirst lens 20.
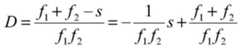
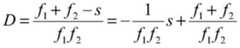
The calculation formula of the combined focal length of thefirst lens 20 and thesecond lens 30 is as follows:
f=(f1×f2)/(f1+f2-s)
where f is the combined focal length of the first andsecond lenses 20 and 30, and f1 and f2 are the focal lengths of the first andsecond lenses 20 and 30, respectively. s is the distance between thefirst lens 20 and thesecond lens 30.
As shown in the above figures, the distance between thefirst lens element 20 and thesecond lens element 30 is changed by adjusting thesecond lens element 30 to move back and forth along the optical axis (relative to the human eye), and the diopter of the lens group consisting of thefirst lens element 20 and thesecond lens element 30 can be adjusted to make the image plane close to or far away from the human eye, thereby achieving the purpose of adjusting myopia.
Knowing the relationship between diopter D and focal length f:
D=1/f
the relationship between diopters D and s thus obtained is as follows:
Figure BDA0003361761680000061
1D=100°
degree of glasses DΔ=D*100
As can be seen from the above formula, in the case where f1 and f2 are predetermined, when the s value is uniquely determined, the adjusted degree can be accurately determined.
In one embodiment, as shown in fig. 6, f1 is 80.3929, f2 is 39.76155, the distance between the myopia adjusting axes is 0-4.96 mm (7.55-2.59mm is 4.96mm), and the adaptable myopia power is changed (diopter change range is-0.5D-7D). When thesecond lens element 30 is adjusted to move toward thefirst lens element 20, the combined focal length of thefirst lens element 20 and thesecond lens element 30 decreases (the combined focal length ranges from 28.34 to 27.07), the combined magnification of thefirst lens element 20 and thesecond lens element 30 increases (the combined magnification ranges from 8.82 to 9.24), and the field angle of thefirst lens element 20 and the second lens element 30 (the included angle between the upper and lower edges of thedisplay module 10 and the eye line as the observation point) increases (the field angle ranges from 80 ° to 90 °). Simultaneously, according to the imaging rule of the amplification system, the object distance is changed to be far away, and the virtual image distance is adjusted to a position (the range is between 2m and 0.14 m) which is closer to human eyes, so that the purpose of adjusting myopia is achieved, and the requirements of users (50-700 degrees) with different myopia degrees can be met.
Therefore, in the technical solution of the present invention, thefirst lens 20 is disposed opposite to thedisplay module 10, thesecond lens 30 is disposed opposite to thefirst lens 20, thefirst lens 20 and thesecond lens 30 are both located at a side where the display area of thedisplay module 10 is located, and the adjusting component is connected to thefirst lens 20 and thesecond lens 30. When the distance between thefirst lens element 20 and thesecond lens element 30 is adjusted by the adjusting component, the combined focal length of thefirst lens element 20 and thesecond lens element 30 can be changed, and the diopter of the lens group consisting of thefirst lens element 20 and thesecond lens element 30, i.e. the visual power, can be adjusted, so that the image plane is close to or far away from the human eye, thereby achieving the purpose of adjusting the myopia or the hyperopia. Thevision adjusting device 100 of the invention is suitable for near-sighted or far-sighted users, and can perform adaptive adjustment aiming at users with different vision degrees, so that the use requirements of different users are met, and the product can be shared and used among different users. Meanwhile, the virtual image distance is directly adjusted on the product level, so that additional accessories do not need to be purchased, and the cost can be reduced.
In one embodiment, referring to fig. 1 to 2, thevision adjusting apparatus 100 further includes: and the distance detection piece is arranged on the adjusting component and is used for detecting the distance between thefirst lens 20 and thesecond lens 30.
In the case where the focal length of thefirst lens element 20 and the focal length of thesecond lens element 30 are predetermined, the diopter of the lens group consisting of thefirst lens element 20 and thesecond lens element 30 can be determined by detecting the distance between thefirst lens element 20 and thesecond lens element 30 by the distance detecting member, and the adjusted diopter can be obtained. Wherein,eyesight adjusting device 100 still includes the treater, distance detection piece anddisplay module assembly 10 all with treater electric connection, distance detection piece can send the distance value that detects to the treater, carry out corresponding conversion back by the treater, obtain the eyesight degree that corresponds, the treater sends the eyesight degree to displaymodule assembly 10, and controldisplay module assembly 10 shows this eyesight degree, thereby make the user know accommodation process directly perceivedly, can reach the purpose with user real-time interaction, be favorable to promoting user's use and experience.
In one embodiment, referring to fig. 1 to 2, the adjusting assembly includes: thefirst lens 20 is fixedly arranged in thefirst bracket 41, and thefirst bracket 41 is provided with a spirally extending adjustinggroove 411; thesecond lens 30 is fixedly arranged in thesecond bracket 42, and thefirst bracket 41 is sleeved on the outer wall of thesecond bracket 42; the adjustingsleeve 43 is sleeved on the outer wall of thefirst support 41, an adjustingpressing block 431 is arranged on the inner wall of the adjustingsleeve 43, and the adjustingpressing block 431 penetrates through the adjustinggroove 411 and abuts against one end, close to thefirst lens 20, of thesecond support 42; anelastic member 44, wherein theelastic member 44 is disposed in thefirst frame 41, and theelastic member 44 is used for driving thesecond frame 42 to move toward thefirst lens 20.
Alternatively, thefirst bracket 41 and thesecond bracket 42 are substantially circular cylindrical structures, and the adjustingsleeve 43 is also circular ring structures, that is, thefirst bracket 41 and thesecond bracket 42 both have hollow inner cavities, and the inner diameter of thefirst bracket 41 is larger than the outer diameter of thesecond bracket 42, and the inner diameter of the adjustingsleeve 43 is larger than the outer diameter of thefirst bracket 41. Thedisplay module 10 is fixedly disposed at one end of thefirst support 41, thefirst lens 20 is mounted in the inner cavity of thefirst support 41 and located at the other end of thefirst support 41, thesecond support 42 is slidably embedded in the inner cavity of thefirst support 41, thesecond support 42 is located between thefirst lens 20 and thedisplay module 10, and thesecond lens 30 is mounted in the inner cavity of thesecond support 42. It will be appreciated that the distance between thesecond lens 30 and thefirst lens 20 can be adjusted by adjusting the axial movement of thesecond support 42 relative to thefirst support 41, thereby allowing adjustment of the diopter power.
Wherein, due to the elastic force of theelastic member 44, the second bracket 42 (the second lens 30) keeps the trend of moving towards thefirst lens 20, the adjustingpressing block 431 on the inner wall of the adjustingsleeve 43 is pressed against thesecond bracket 42, and the acting force of the adjustingpressing block 431 on thesecond bracket 42 is opposite to the direction of the elastic force of theelastic member 44, so as to prevent thesecond bracket 42 from moving, thereby fixing thesecond bracket 42 at a certain position. During adjustment, by controlling the adjustingsleeve 43 to rotate relative to thefirst bracket 41, since the adjustinggroove 411 is a spiral groove, the adjusting pressure block 431 will spirally ascend along the adjustinggroove 411, so the rotating state of the adjustingsleeve 43 is spiral ascending rotation, and due to the displacement of the adjustingpressure block 431, theelastic member 44 releases the elastic force, thereby pushing the second bracket 42 (the second lens 30) to move towards thefirst lens 20, and finally reducing the distance between thesecond lens 30 and thefirst lens 20.
The adjusting component of the scheme is simple in structure, small in size and beneficial to reducing the size and weight of the head-mounted display device. Of course, the adjusting assembly may also adopt other schemes, for example, the adjustingsleeve 43 and theelastic element 44 in the above scheme are replaced by other driving modules (such as a combination of a motor and a screw), the driving module is fixed on thefirst bracket 41 and is in driving connection with thesecond bracket 42, and the driving module drives thesecond bracket 42 to move axially relative to thefirst bracket 41, so that the adjusting effect can be realized, and the automatic operation and the intelligent control can be realized.
In one embodiment, theelastic member 44 is connected between thefirst bracket 41 and thesecond bracket 42, theelastic member 44 is located on a side of thesecond lens 30 facing away from thefirst lens 20, and theelastic member 44 is in a compressed state; alternatively, theelastic member 44 is connected between thefirst bracket 41 and thesecond bracket 42, theelastic member 44 is located on a side of thesecond lens 30 facing thefirst lens 20, and theelastic member 44 is in a stretched state.
Theelastic member 44 is mounted in various ways. Taking theelastic member 44 as a compression spring as an example, as shown in fig. 2, abracket base 45 may be disposed at one end of thefirst bracket 41 close to thedisplay module 10, two ends of the compression spring respectively abut between thebracket base 45 and thesecond bracket 42, and the compression spring is in a compressed state, so that the second bracket 42 (the second lens 30) keeps a tendency of moving toward thefirst lens 20. Further, as shown in fig. 3 to 4, in order to position the compression spring and ensure the pressure action of the compression spring, aguide column 421 extending in the axial direction (direction parallel to the optical axis) toward thedisplay module 10 may be provided on thesecond bracket 42, and the compression spring may be sleeved on a side wall of theguide column 421.
In contrast, if theelastic member 44 is a tension spring, two ends of the tension spring are respectively connected to the first bracket 41 (thefirst bracket 41 may be provided with corresponding mounting bosses) and thesecond bracket 42, and the tension spring is in a stretched state, so that the second bracket 42 (the second lens 30) keeps a tendency to move toward thefirst lens 20.
In an embodiment, referring to fig. 3 to 5, the inner wall of thefirst bracket 41 is provided with a slidingslot 412 extending along the axial direction, the outer wall of thesecond bracket 42 is provided with a slidingblock 422, and the slidingblock 422 is slidably disposed in the slidingslot 412.
In this embodiment, the slidingblock 422 slides along the slidinggroove 412 during the process of controlling thesecond bracket 42 to move axially relative to thefirst bracket 41 through the adjustingsleeve 43. With this arrangement, firstly, the sliding friction between thesecond bracket 42 and thefirst bracket 41 can be reduced, so that the wear of the two can be reduced, and the service lives of the two can be prolonged. Secondly, thesecond support 42 can be positioned to move, so that thesecond support 42 can move along a straight line, and the friction between thesecond support 42 and the adjustingpressing block 431 can be reduced, thereby reducing the abrasion of the adjustingpressing block 431, prolonging the service life of the adjustingpressing block 431, ensuring the compression or stretching of theelastic piece 44 along the axial direction, and being beneficial to realizing the elastic effect of theelastic piece 44.
In one embodiment, referring to fig. 2 to 3, the adjusting assembly further includes: and thegasket 60 is sleeved on the outer wall of thefirst bracket 41, and thegasket 60 is in contact with the inner wall of the adjustingsleeve 43.
Optionally, thegasket 60 is embodied as an O-ring, and thegasket 60 is made of rubber. To position thegasket 60, an installation groove corresponding to thegasket 60 may be formed in an outer wall of thefirst bracket 41. Through packingring 60 centre gripping betweenfirst support 41 and adjustingcollar 43, with the help of the frictional force of packingring 60, can realize the damping effect betweenfirst support 41 and adjustingcollar 43, can prevent that adjustingcollar 43 from rotating at will relativelyfirst support 41, guarantee to fix adjustingcollar 43 in the position after adjusting, play the effect of location locking to realize user's regulation requirement, can promote user and use experience.
In an embodiment, referring to fig. 1 to 2, the outer wall of the adjustingsleeve 43 is provided with a spirally extendingsynchronous groove 432, and the spiral direction and the spiral angle of thesynchronous groove 432 are the same as those of the adjustinggroove 411; the distance detecting element is aslide rheostat 50, theslide rheostat 50 is arranged on the outer side of the adjustingsleeve 43, theslide rheostat 50 is fixedly connected with thefirst support 41, and a switch of theslide rheostat 50 penetrates through the synchronizinggroove 432.
In this embodiment, the slidingrheostat 50 is fixed on thebracket base 45, since the shape of thesynchronization groove 432 of theadjustment sleeve 43 is the same as that of theadjustment groove 411 of thefirst bracket 41, during the adjustment process (i.e. during the rotation of the adjustment sleeve 43), when thefirst bracket 41 and thesecond bracket 42 move relatively in the axial direction, the toggle switch of the slidingrheostat 50 moves according to the movement of thesynchronization groove 432, and the displacement amount of the switch of the slidingrheostat 50 in the axial direction is equal to the distance variation amount between thefirst bracket 41 and the second bracket 42 (i.e. the relative displacement amount of thefirst bracket 41 and thesecond bracket 42 in the axial direction), so that the variation of the distance between thefirst bracket 41 and thesecond bracket 42 can be reflected by the variation of the voltage of the slidingrheostat 50. By establishing a one-to-one correspondence between the voltage value of the slidingrheostat 50 and the distance value between thefirst bracket 41 and thesecond bracket 42, and combining the above one-to-one correspondence between the distance value between thefirst bracket 41 and thesecond bracket 42 and the vision acuity, the corresponding vision acuity can be converted from the voltage value detected by the slidingrheostat 50. In this technical scheme, because apart from the detecting element setting outside adjustingsleeve 43, can not influence the light that displaymodule assembly 10 sent and transmit in the space betweenfirst lens 20,second lens 30 and people's eye, can not shelter from the field of vision, can guarantee that the user normally watchesdisplay module assembly 10.
Of course, the distance detection member may employ other electronic devices, such as a position sensor, which is disposed on thefirst support 41 and detects the relative displacement between thefirst lens 20 and thesecond lens 30.
The present invention further provides a head-mounted display device, which includes a head-mounted main body and avision adjusting apparatus 100, and the specific structure of thevision adjusting apparatus 100 refers to the above embodiments, and since the head-mounted display device adopts all technical solutions of all the above embodiments, the head-mounted display device at least has all the beneficial effects brought by the technical solutions of the above embodiments, and details are not repeated herein. Wherein, theeyesight adjusting device 100 is arranged on the head-wearing body.
As shown in fig. 8, fig. 8 is a schematic terminal structure diagram of a hardware operating environment according to an embodiment of the present invention. The terminal of the embodiment of the invention can be a head-mounted display device. The terminal may include: aprocessor 1001, such as a CPU, anetwork interface 1004, auser interface 1003, amemory 1005, acommunication bus 1002. Wherein acommunication bus 1002 is used to enable connective communication between these components. Theuser interface 1003 may include a camera, a Display (Display), an input unit such as a Keyboard (Keyboard), and theoptional user interface 1003 may also include a standard wired interface, a wireless interface. Thenetwork interface 1004 may optionally include a standard wired interface, a wireless interface (e.g., WI-FI interface). Thememory 1005 may be a high-speed RAM memory or a non-volatile memory (e.g., a magnetic disk memory). Thememory 1005 may alternatively be a storage device separate from theprocessor 1001.
Those skilled in the art will appreciate that the terminal structure shown in fig. 8 is not intended to be limiting and may include more or fewer components than those shown, or some components may be combined, or a different arrangement of components.
As shown in fig. 8, amemory 1005, which is a kind of computer storage medium, may include therein an operating system, a network communication module, a user interface module, and a vision adjustment program.
In the terminal shown in fig. 8, thenetwork interface 1004 is mainly used for connecting to a backend server and performing data communication with the backend server; theuser interface 1003 is mainly used for connecting a client (user side) and performing data communication with the client; and theprocessor 1001 may be configured to call the vision adjusting program stored in thememory 1005 and execute the vision adjusting method.
Based on the above hardware architecture, the present invention provides a vision adjusting method, which is applied to the head-mounted display device as described above, please refer to fig. 9, in a first embodiment, the vision adjusting method includes the following steps:
s10, controlling the display module to display a calibration picture when receiving the adjusting instruction;
and S20, controlling the adjusting component to work so as to adjust the distance between the first lens and the second lens.
Specifically, before the user uses the head mounted display device, the head mounted display device may ask the user whether or not vision adjustment is needed. When receiving an adjusting instruction input by a user, the eyesight adjusting device starts an adjusting application and enters an adjusting process. After entering the regulation flow, the display module of the vision adjusting device can display the regulation information, and the regulation information at least comprises a calibration picture and can also comprise the current real-time vision degree of the vision adjusting device. The user is when looking over the calibration picture, through the work of control adjustment subassembly, adjust the distance between first lens and the second lens, can change the combined focal length of first lens and second lens, adjust the diopter of the group of lens of constituteing by first lens and second lens, also adjust visual acuity degree promptly, make image plane be close to or keep away from people's eye, until the user can see clear picture, make eyesight adjusting device adjust to suitable visual acuity degree, thereby reach near-sighted or the purpose that farsighted was adjusted.
The vision adjusting method can be suitable for myopia or hyperopia users, can be used for adaptively adjusting users with different vision degrees, meets the use requirements of different users, and enables products to be shared among different users. In addition, the virtual image distance is directly adjusted on the product level, so that additional accessories do not need to be purchased, and the cost can be reduced.
Further, referring to fig. 10, a second embodiment of the vision adjusting method of the present invention is provided, based on the first embodiment, the head-mounted display device further includes a distance detector, and the vision adjusting method further includes the following steps:
s30, acquiring a distance value detected by the distance detection piece, wherein the distance value is the distance between the first lens and the second lens;
s40, converting the distance value into a corresponding vision power according to a first preset mapping relation;
and S50, controlling the display module to display the eyesight degrees.
In this embodiment, the first preset mapping relationship is a one-to-one correspondence relationship between the distance value and the eyesight degree. From the above, the calculation formula of the combined focal length of the first lens and the second lens is as follows:
f=(f1×f2)/(f1+f2-s)
where f is the combined focal length of the first and second lenses, and f1 and f2 are the focal lengths of the first and second lenses, respectively. And s is the distance between the first lens and the second lens.
Knowing the relationship between diopter D and focal length f:
D=1/f
the relationship between diopters D and s thus obtained is as follows:
Figure BDA0003361761680000131
1D=100°
degree of glasses DΔ=D*100
As can be seen from the above formula, in the case where f1 and f2 are predetermined, when the s value is uniquely determined, the adjusted degree can be accurately determined. Consequently, when detecting the distance value between first lens and the second lens through the distance detection piece, can combine above-mentioned formula, convert the distance value into corresponding eyesight degree to steerable display module shows this eyesight degree, thereby make the user know the accommodation process directly perceivedly, can reach the purpose with user real-time interaction, be favorable to promoting user's use and experience. In addition, in the adjusting process, the change of the vision power can be updated in a gradient of 25 degrees, so that the detection error can be reduced on one hand, and on the other hand, the vision power is matched with the conventional vision detection requirement.
Further, referring to fig. 11, a third embodiment of the vision adjusting method of the present invention is provided, based on the second embodiment, where the distance detector is a slide rheostat, and the step S30 includes:
s31, acquiring the voltage value output by the slide rheostat;
and S32, converting the voltage value into the corresponding distance value according to a second preset mapping relation.
In this embodiment, the second predetermined mapping relationship is a one-to-one correspondence relationship between the voltage value and the distance value. The working principle of the sliding rheostat is that the resistance is changed by changing the length of a resistance wire connected into a circuit part, so that the current in the circuit is gradually changed. By controlling the switch movement of the slide rheostat, the voltage value output by the slide rheostat can be changed. The voltage value output by the slide rheostat is detected by the voltage sensor, then the corresponding distance value can be converted according to the corresponding relation between the voltage value and the distance value, and finally the corresponding vision power can be converted according to the corresponding relation between the distance value and the vision power.
Further, referring to fig. 12, a fourth embodiment of the vision adjusting method of the present invention is proposed, based on the first embodiment, the head-mounted display device further includes a position sensor, and the vision adjusting method further includes the following steps:
s60, when the position sensor detects that the head-mounted display device is in a wearing state, acquiring the current vision degree of the vision adjusting device;
and S70, controlling the display module to display the eyesight degrees.
In this embodiment, the head-mounted display device can acquire the sensing information of the position sensor, and determine whether the head-mounted display device is in a wearing state according to the sensing information. When a user starts up and wears the head-mounted display device, or when the user takes off the head-mounted display device (without power off) and wears the head-mounted display device again, the head-mounted display device can detect that the head-mounted display device is in a wearing state through the position sensor. After detecting that the user wears display device, wear display device and can control the display module assembly and show eyesight adjusting device's current eyesight degree to the user learns eyesight adjusting device's current condition, still can ask the user whether need carry out eyesight adjustment simultaneously, with confirm whether need carry out eyesight adjustment. After the user adjusts, the display module assembly can update and show eyesight degree. The head-mounted display device obtains the current vision power of the vision adjusting apparatus by executing step S100, or by reading the history data stored in the memory.
Further, referring to fig. 13, a fourth embodiment of the vision adjusting method of the present invention is provided, based on the first embodiment or the fourth embodiment, after the step S50 or the step S70, the method further includes:
and S80, controlling the display module to close the eyesight degree when a preset condition is met.
The preset condition may be in various forms, for example, when an adjustment completion instruction is received, or when a time length during which the distance value detected by the distance detection member remains unchanged is greater than or equal to a preset time length threshold, the preset condition may be considered to be satisfied. Specifically, when the vision adjusting device enters the adjusting process, after the user performs the adjusting operation on the vision degree, if the user determines the vision degree and does not adjust any more, at this time, the user can input an adjusting completion instruction to the vision adjusting device, and it is clear that the adjusting operation is completed, and the vision adjusting device will exit the adjusting application. Preferably, the time length for stopping the adjustment operation by the user can be used as a judgment basis, when the time length for stopping the adjustment operation by the user reaches 10 seconds or 30 seconds, the adjustment operation by the default user is completed, and at this time, the vision adjusting device automatically exits from the adjustment application, so that the operation is simpler and more convenient. After quitting from adjusting the application, eyesight adjusting device stops promptly to show eyesight degree to prevent that the demonstration of eyesight degree from causing the interference to the display screen of display module assembly, avoid causing the influence to user's normal watch.
Further, referring to fig. 14, a fifth embodiment of the vision adjusting method of the present invention is proposed, based on the first embodiment, the head-mounted display device includes two vision adjusting apparatuses: a first vision adjusting means and a second vision adjusting means, the step S10 comprising:
s11, when a first instruction is received, controlling the display module of the first vision adjusting device to display the calibration picture, and controlling the display module of the second vision adjusting device to close the display;
s12, when a second instruction is received, controlling the display module of the first vision adjusting device to close the display, and controlling the display module of the second vision adjusting device to display the calibration picture;
and S13, when a third instruction is received, controlling the display modules of the first eyesight adjusting device and the second eyesight adjusting device to display the calibration picture.
In order to adapt to the situation that the vision degrees of the two eyes of the user are inconsistent, the head-mounted display device is provided with a first vision adjusting device (corresponding to the left eye) and a second vision adjusting device (corresponding to the right eye) so as to respectively carry out independent vision adjustment while carrying out binocular display. Therefore, after entering the adjustment application, the head-mounted display device inquires whether the user is ready, and then a confirmation instruction, which is a first instruction, can be input into the head-mounted display device, and at the moment, the user only adjusts the first vision adjusting device (the second vision adjusting device is in a shutdown state); after the user finishes adjusting the first vision adjusting device, inputting a confirmation instruction to the head-mounted display device again, wherein the confirmation instruction is a second instruction (of course, the second instruction can be automatically generated when the time length of the distance value detected by the distance detecting piece is unchanged reaches a preset time length threshold), and at the moment, the user only adjusts the second vision adjusting device (the first vision adjusting device is in a shutdown state); after the user finishes adjusting the second vision adjusting device, the user can input a confirmation instruction again to the head-mounted display device, which is a third instruction (of course, the third instruction can also be automatically generated when the time length for which the distance value detected by the distance detecting piece is unchanged reaches a preset time threshold value), at this moment, the first vision adjusting device and the second vision adjusting device simultaneously display a calibration picture, so that the user can check the adjusted visual effect through two eyes.
Further, referring to fig. 15, a sixth embodiment of the vision adjusting method of the present invention is proposed, based on the fifth embodiment, after the step S13, the method further includes:
and S14, when receiving the adjustment failure instruction, returning to the step of controlling the display module of the first vision adjusting device to display the calibration picture and controlling the display module of the second vision adjusting device to close the display.
After the user adjusts first eyesight adjusting device and second eyesight adjusting device respectively, control first eyesight adjusting device and second eyesight adjusting device and show the calibration picture simultaneously, the visual effect after the user's accessible both eyes are looked over and are adjusted, when the user confirms that there is adverse reaction such as light-headedness (reason such as the binocular vision degree differs greatly) the head-mounted display device input regulation failure's instruction, at this moment, wear the display device and will return to the flow of adjusting first eyesight adjusting device and second eyesight adjusting device again, the user can adjust first eyesight adjusting device and second eyesight adjusting device again, so circulate, until adjusting and accord with the requirement.
The above description is only a preferred embodiment of the present invention, and is not intended to limit the scope of the present invention, and all modifications and equivalents of the present invention, which are made by the contents of the present specification and the accompanying drawings, or directly/indirectly applied to other related technical fields, are included in the scope of the present invention.

Claims (10)

1. The utility model provides a visual acuity adjusting method, its characterized in that is applied to head-mounted display device, head-mounted display device includes visual acuity adjusting device, visual acuity adjusting device includes display module assembly, first lens, second lens and adjusting part, first lens, the second lens and the display module assembly sets up at interval in proper order, just first lens with the second lens all is located one side at display module assembly's display area place, adjusting part with first lens and the second lens is connected, adjusting part is used for adjusting the distance between first lens and the second lens, visual acuity adjusting method includes following step:
when receiving an adjusting instruction, controlling the display module to display a calibration picture;
and controlling the adjusting component to work so as to adjust the distance between the first lens and the second lens.
2. A vision adjustment method as described in claim 1, wherein said head-mounted display device further includes a distance detecting member for detecting a distance between said first lens and said second lens, said vision adjustment method further comprising the steps of:
acquiring a distance value detected by the distance detection piece, wherein the distance value is the distance between the first lens and the second lens;
converting the distance value into a corresponding vision power according to a first preset mapping relation;
and controlling the display module to display the eyesight degrees.
3. The vision adjustment method of claim 2, wherein the distance detector is a slide rheostat, a displacement amount of a switch of the slide rheostat is equal to a distance variation amount between the first lens and the second lens, and the step of acquiring the distance value detected by the distance detector includes:
acquiring a voltage value output by the slide rheostat;
and converting the voltage value into the corresponding distance value according to a second preset mapping relation.
4. A vision adjustment method as described in claim 1, wherein said head mounted display device further comprises a position sensor, said vision adjustment method further comprising the steps of:
when the position sensor detects that the head-mounted display equipment is in a wearing state, acquiring the current vision degree of the vision adjusting device;
and controlling the display module to display the eyesight degrees.
5. The vision adjusting method of claim 2 or 4, wherein after the step of controlling the display module to display the vision power, the method further comprises:
and when the preset condition is met, controlling the display module to close the eyesight degrees.
6. The vision adjustment method of claim 5, wherein the preset condition is that an adjustment completion instruction is received; or,
the preset condition is that the duration of the obtained distance value which is kept unchanged is greater than or equal to a preset duration threshold.
7. A vision adjustment method as described in claim 1, wherein said head mounted display device includes two said vision adjustment means: first eyesight adjusting device and second eyesight adjusting device, when receiving the regulation instruction, control the display module assembly shows the step of calibration picture includes:
when a first instruction is received, controlling a display module of the first vision adjusting device to display the calibration picture, and controlling a display module of the second vision adjusting device to close display;
when a second instruction is received, controlling a display module of the first vision adjusting device to close display, and controlling a display module of the second vision adjusting device to display the calibration picture;
and when a third instruction is received, controlling the display modules of the first vision adjusting device and the second vision adjusting device to display the calibration picture.
8. The vision adjustment method of claim 7, wherein after the step of controlling the display modules of the first and second vision adjustment devices to display the calibration screen when the third instruction is received, the method further comprises:
and when an adjustment failure instruction is received, returning to execute the steps of controlling the display module of the first vision adjusting device to display the calibration picture and controlling the display module of the second vision adjusting device to close the display.
9. The utility model provides a wear display device, its characterized in that, wear display device includes eyesight adjusting device, eyesight adjusting device includes display module assembly, first lens, second lens, adjusting part, memory, treater and storage is in on the memory and the eyesight adjusting program of operation on the treater, first lens the second lens and the display module assembly sets up at interval in proper order, just first lens with the second lens all is located one side at display module assembly's display area place, adjusting part with first lens reaches the second lens is connected, adjusting part is used for adjusting first lens with distance between the second lens, eyesight adjusting program quilt the treater carries out following step:
when receiving an adjusting instruction, controlling the display module to display a calibration picture;
and controlling the adjusting component to work so as to adjust the distance between the first lens and the second lens.
10. A storage medium having stored thereon a vision adjustment program which, when executed by a processor, implements the steps of the vision adjustment method of any one of claims 1 to 8.
CN202111372866.1A2021-11-182021-11-18Vision adjustment method, head-mounted display device and storage mediumActiveCN114035298B (en)

Priority Applications (1)

Application NumberPriority DateFiling DateTitle
CN202111372866.1ACN114035298B (en)2021-11-182021-11-18Vision adjustment method, head-mounted display device and storage medium

Applications Claiming Priority (1)

Application NumberPriority DateFiling DateTitle
CN202111372866.1ACN114035298B (en)2021-11-182021-11-18Vision adjustment method, head-mounted display device and storage medium

Publications (2)

Publication NumberPublication Date
CN114035298Atrue CN114035298A (en)2022-02-11
CN114035298B CN114035298B (en)2023-10-03

Family

ID=80138220

Family Applications (1)

Application NumberTitlePriority DateFiling Date
CN202111372866.1AActiveCN114035298B (en)2021-11-182021-11-18Vision adjustment method, head-mounted display device and storage medium

Country Status (1)

CountryLink
CN (1)CN114035298B (en)

Cited By (1)

* Cited by examiner, † Cited by third party
Publication numberPriority datePublication dateAssigneeTitle
CN115480355A (en)*2022-09-292022-12-16武汉华星光电技术有限公司 Zoom lens and electronics

Citations (10)

* Cited by examiner, † Cited by third party
Publication numberPriority datePublication dateAssigneeTitle
US20020021904A1 (en)*2000-08-172002-02-21Asahi Seimitsu Kabushiki KaishaLinear-motion helicoid mechanism for CCTV camera
JP2007057696A (en)*2005-08-232007-03-08Olympus Imaging CorpLens drive mechanism
US20080180812A1 (en)*2007-01-302008-07-31Hironori HonshoLens barrel supporting frame, lens retaining structure, lens barrel and camera
JP2011002744A (en)*2009-06-222011-01-06Hoya CorpZoom lens barrel with variable aperture stop mechanism
CN205485069U (en)*2016-02-252016-08-17北京耐德佳显示技术有限公司Near -to -eye display equipment with oxyotex shows
JP2018077520A (en)*2018-01-102018-05-17株式会社ニコン Lens barrel, imaging device
CN108513627A (en)*2017-04-172018-09-07深圳市柔宇科技有限公司Head-mounted display apparatus and diopter adaptive regulation method
CN209055750U (en)*2018-07-062019-07-02深圳小宅科技有限公司A kind of head-wearing display device that can show interpupillary distance, eyesight degree
CN111708166A (en)*2020-06-302020-09-25歌尔科技有限公司Degree adjusting method and device and head-mounted display equipment
CN113359270A (en)*2021-05-252021-09-07歌尔股份有限公司Diopter adjusting method and diopter adjusting system of head-mounted equipment

Patent Citations (10)

* Cited by examiner, † Cited by third party
Publication numberPriority datePublication dateAssigneeTitle
US20020021904A1 (en)*2000-08-172002-02-21Asahi Seimitsu Kabushiki KaishaLinear-motion helicoid mechanism for CCTV camera
JP2007057696A (en)*2005-08-232007-03-08Olympus Imaging CorpLens drive mechanism
US20080180812A1 (en)*2007-01-302008-07-31Hironori HonshoLens barrel supporting frame, lens retaining structure, lens barrel and camera
JP2011002744A (en)*2009-06-222011-01-06Hoya CorpZoom lens barrel with variable aperture stop mechanism
CN205485069U (en)*2016-02-252016-08-17北京耐德佳显示技术有限公司Near -to -eye display equipment with oxyotex shows
CN108513627A (en)*2017-04-172018-09-07深圳市柔宇科技有限公司Head-mounted display apparatus and diopter adaptive regulation method
JP2018077520A (en)*2018-01-102018-05-17株式会社ニコン Lens barrel, imaging device
CN209055750U (en)*2018-07-062019-07-02深圳小宅科技有限公司A kind of head-wearing display device that can show interpupillary distance, eyesight degree
CN111708166A (en)*2020-06-302020-09-25歌尔科技有限公司Degree adjusting method and device and head-mounted display equipment
CN113359270A (en)*2021-05-252021-09-07歌尔股份有限公司Diopter adjusting method and diopter adjusting system of head-mounted equipment

Cited By (2)

* Cited by examiner, † Cited by third party
Publication numberPriority datePublication dateAssigneeTitle
CN115480355A (en)*2022-09-292022-12-16武汉华星光电技术有限公司 Zoom lens and electronics
US12292619B2 (en)2022-09-292025-05-06Wuhan China Star Optoelectronics Technology Co., Ltd.Zoom lens and electrical device

Also Published As

Publication numberPublication date
CN114035298B (en)2023-10-03

Similar Documents

PublicationPublication DateTitle
US12239602B2 (en)Vision training device
US20150185503A1 (en)Automatic focus prescription lens eyeglasses
US9946073B2 (en)Methods and systems for eliminating strobing by switching display modes in response to detecting saccades
EP3317717B1 (en)Controlling a lens for adjustable vision correction
US9678337B2 (en)Viewer with multifocal lens and method for changing focal length of viewer
WO2017197827A1 (en)Virtual reality glasses and adjustment method therefor
CN209055750U (en)A kind of head-wearing display device that can show interpupillary distance, eyesight degree
CN108595009B (en)Man-machine interaction control method and electronic terminal
CN110133851B (en)Adjusting device and display device
CN106597669A (en)VR glasses and degree-of-myopia adjusting method thereof
CN205844631U (en)A kind of virtual reality glasses and display device thereof
CN110520788B (en)Optical device adapted to be worn by a wearer
CN108700745A (en)A kind of location regulation method and terminal
US20230285221A1 (en)Vision training device with refractive index-adjustable lens
CN114035298A (en)Eyesight adjusting method, head-mounted display device and storage medium
CN106325474A (en)Support adjusting system, adjusting support and detection device
CA2915166A1 (en)Focal length adjustment
WO2018152850A1 (en)Head-mounted display device and adjustment method therefor
CN110568627A (en)Control method of zoom glasses
KR102370455B1 (en)Head mount display device
JP2004038181A (en)Automatic focusing auxiliary spectacles and calibrating method therefor
CN118169831B (en)Pupil distance adjusting device and near-to-eye display device
CN210222364U (en)Visibility adjusting device of micro-display optical module and micro-display glasses display applying same
JP2003255278A (en)Autofocusing spectacles and method for calibrating the same
EP3602194B1 (en)Imaging device and contact lens

Legal Events

DateCodeTitleDescription
PB01Publication
PB01Publication
SE01Entry into force of request for substantive examination
SE01Entry into force of request for substantive examination
GR01Patent grant
GR01Patent grant
TR01Transfer of patent right
TR01Transfer of patent right

Effective date of registration:20240514

Address after:266104 No. 500, Songling Road, Laoshan District, Qingdao, Shandong

Patentee after:GOERTEK TECHNOLOGY Co.,Ltd.

Country or region after:China

Address before:266000 room 401-436, 4th floor, building 3, Guozhan wealth center, No.18 Qinling Road, Laoshan District, Qingdao City, Shandong Province

Patentee before:QINGDAO GOERTEK TECHNOLOGY Co.,Ltd.

Country or region before:China


[8]ページ先頭

©2009-2025 Movatter.jp