Movatterモバイル変換


[0]ホーム

URL:


CN114022640A - Automatic extraction method of neck margin feature line of tooth preparation based on face cutting - Google Patents

Automatic extraction method of neck margin feature line of tooth preparation based on face cutting
Download PDF

Info

Publication number
CN114022640A
CN114022640ACN202111307634.8ACN202111307634ACN114022640ACN 114022640 ACN114022640 ACN 114022640ACN 202111307634 ACN202111307634 ACN 202111307634ACN 114022640 ACN114022640 ACN 114022640A
Authority
CN
China
Prior art keywords
neck
vertex
tooth preparation
cutting
curvature
Prior art date
Legal status (The legal status is an assumption and is not a legal conclusion. Google has not performed a legal analysis and makes no representation as to the accuracy of the status listed.)
Pending
Application number
CN202111307634.8A
Other languages
Chinese (zh)
Inventor
陈志杨
方萃浩
叶修梓
Current Assignee (The listed assignees may be inaccurate. Google has not performed a legal analysis and makes no representation or warranty as to the accuracy of the list.)
New Dimension Systems Co ltd
Original Assignee
New Dimension Systems Co ltd
Priority date (The priority date is an assumption and is not a legal conclusion. Google has not performed a legal analysis and makes no representation as to the accuracy of the date listed.)
Filing date
Publication date
Application filed by New Dimension Systems Co ltdfiledCriticalNew Dimension Systems Co ltd
Priority to CN202111307634.8ApriorityCriticalpatent/CN114022640A/en
Publication of CN114022640ApublicationCriticalpatent/CN114022640A/en
Pendinglegal-statusCriticalCurrent

Links

Classifications

Landscapes

Abstract

Translated fromChinese

本发明涉及一种基于面切割的牙齿预备体颈缘特征线的自动提取方法,所述提取方法包括牙齿预备体三维网格模型的全局优化、网格顶点曲率估算、平面切割牙体模型、二维截线中搜索颈缘特征点、拟合颈缘特征线等步骤。本发明可以自动快速精确地提取颈缘特征线,本发明只基于牙齿预备体“就位方向”、颈缘特征点最小距离、拟合误差几个已知条件,就可以自动计算切割平面、切割二维截线及其端点曲率、搜索颈缘特征点和拟合颈缘特征线,其操作流程与商业软件(如3Shape)完全一致,无需人工干预,算法速度快、效果好且非常稳定。The invention relates to an automatic extraction method for the feature line of the tooth preparation neck edge based on face cutting. Steps such as searching for neck margin feature points and fitting neck margin feature lines in the dimensional cut line. The present invention can automatically, quickly and accurately extract the feature line of the neck margin, and the present invention can automatically calculate the cutting plane, cutting plane, and cutting edge based only on the known conditions of the "positioning direction" of the tooth preparation, the minimum distance of the feature points of the neck margin, and the fitting error. The two-dimensional intercept line and its endpoint curvature, searching for neck margin feature points and fitting neck margin feature lines, the operation process is exactly the same as that of commercial software (such as 3Shape), no manual intervention is required, and the algorithm is fast, effective and very stable.

Description

Automatic extraction method of tooth preparation body neck margin characteristic line based on face cutting
Technical Field
The invention relates to a tooth preparation body neck margin characteristic line extraction method, in particular to an automatic extraction method of a tooth preparation body neck margin characteristic line based on face cutting.
Background
With the improvement of the living standard of people, more and more people have strong repair requirements on defects or missing teeth of tooth bodies and dentitions so as to recover the shapes and functions of damaged teeth and deformed teeth. The development of three-dimensional measurement technology and computer aided design technology improves the efficiency and quality of dental restoration manufacturing and promotes the high-speed application of digital dental restoration.
The typical digital design process for the oral cavity today is:
(1) digitization of dental preparation models
In the traditional method, the space data of the affected teeth is obtained by carrying out optical measurement on the prepared tooth plaster model, and a three-dimensional digital model is built; the advanced method is to directly use a three-dimensional oral scanner to obtain the spatial data of the affected teeth and reconstruct a digital model;
(2) dental crown interior surface extraction
Extracting a characteristic line along the tooth neck margin according to certain medical requirements, and cutting a three-dimensional digital model of the prepared tooth by using the neck margin characteristic line to obtain the inner surface of the dental crown;
(3) constructing the external surface of a dental crown
Establishing a dental crown database containing 28 standard dental templates according to the characteristics of the teeth of different human races for constructing the external surface morphology of the dental crown;
(4) suturing the internal and external crowns
Suturing the inner crown and the outer crown generated in the previous step to obtain a tooth prosthesis model;
(5) dental crown outer surface deformation design
And carrying out deformation adjustment on the outer surface of the dental restoration according to occlusion relation, aesthetic requirements and the like.
The cervical margin feature line is the margin of the dental restoration, generally above the gingival margin, and is the boundary separating the inner surface of the crown and the gingiva. The position and orientation of the cervical margin feature line are related to the retention of the crown and gum health. The improper sealing of the edge of the dental crown can cause food retention and plaque accumulation, and can easily cause the caries and the gingivitis, and the clinical investigation shows that the incidence rate of the improper sealing of the dental crown is 100 percent. Therefore, the accurate and efficient extraction of the characteristic line of the cervical margin is very important for the success of the preparation of the prosthesis of the affected tooth, and influences the quality, the wearing comfort level and the physical and psychological health of a patient.
A more accurate neck margin characteristic line can be extracted by utilizing a computer graphic algorithm, a global heuristic self-adaptive searching method for neck margin characteristic points is provided by Dyning of Nanjing aerospace university, however, global searching on a grid model is easy, the influence of other sharp data points in a non-neck margin characteristic area and the sequencing of the characteristic points are difficult, and manual interaction is generally needed to improve the stability of the neck margin characteristic line; the Cerec3D system of Sirona in Germany finds the neck margin characteristic line on the three-dimensional model of the tooth by mouse interaction in an adaptive way, but cannot extract automatically.
Disclosure of Invention
In order to obtain well-controlled crown margin fitting degree and reduce stimulation of a crown to gum tissues to the maximum extent, the invention provides an automatic extraction method of a tooth preparation body neck margin characteristic line based on surface cutting; the method can automatically, quickly and accurately extract the characteristic line of the neck margin through the steps of global optimization of a three-dimensional grid model of the tooth preparation body, estimation of grid vertex curvature, planar cutting of the tooth body model, searching of the characteristic point of the neck margin in the two-dimensional section line, fitting of the characteristic line of the neck margin and the like.
In order to achieve the purpose, the invention adopts the technical scheme that:
an automatic extraction method of a tooth preparation body neck margin characteristic line based on face cutting comprises the following steps:
(1) globally optimizing a mesh model of the tooth body according to the given precision;
(2) estimating the curvature of the vertex of the mesh by adopting a local quadric surface fitting method;
(3) calculating a surrounding cylinder of the prepared tooth body according to the in-place direction algorithm of the prepared tooth body, wherein the axis is axis, and the radius is r; and then obtaining the number n of planes to be cut according to the given minimum distance d of the characteristic point of the neck edge: n is RoundUp (pi. r/d), and RoundUp is rounding up; evenly placing n planes at the same interval angle along the axis of the surrounding cylinder, and respectively cutting the n planes with the tooth preparation body to obtain n two-dimensional sectional lines;
(4) in each two-dimensional sectional line, respectively calculating two optimal neck edge characteristic points according to the change rate of the curvature of each end point to obtain 2n neck edge characteristic points; meanwhile, the sequencing of the characteristic points of the neck edges is also determined, namely the sequencing is carried out according to the plane placement sequence;
(5) and correcting and fine-tuning the collected 2n ordered neck edge characteristic points, and fitting by using an over-point B spline curve according to a given error to obtain a neck edge characteristic line.
Preferably, in step (2), the parameters of the quadric surface in the local coordinate system are expressed as:
S(u,v)=(u,v,g(u,v))
g(u,v)=au2+buv+cv2+eu+fv
wherein u and v are parameters of a quadric surface, g (u and v) is a standard equation of the quadric surface, a, b, c, d, e and f are constant coefficients of a surface equation, and S (u and v) is a parameter expression of the quadric surface;
a method for balancing the side of a ring domain is adopted to estimate the normal vector of the grid vertex, namely the balance is carried out according to the side length of each triangle in the ring domain of the grid vertex, and the algorithm formula is as follows:
Ni=(l1*N1+…+lj*Nj…+lm*Nm)/(l1+l2+…+lj…+lm)
wherein N isiNormal vector representing the estimated ith mesh vertex, ljRepresenting vertex NiLength of opposite side of jth triangle in a ring field, NjRepresenting vertex NiThe normal vector of the jth triangle in a ring field, m represents the vertex NiThe number of triangles in a ring neighborhood;
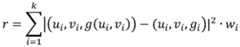
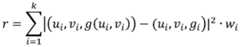
establishing its local coordinate system based on the mesh vertex o, namely: taking the vertex o as a local coordinate origin and a normal vector NoThe transformed local coordinate system is a local coordinate z axis, and x and y axes of the transformed local coordinate system are u and v of a quadric surface; under the local coordinate system, the data points { P ] in the local range are divided into a plurality of data pointsiAnd i is 1, …, k, and is transformed to the current local coordinate system, and a quadratic surface is fitted by using a least square method:
Figure BDA0003340813270000031
Figure BDA0003340813270000032
wherein u isi、vi、g(ui,vi)、giRespectively, the ith data point PiA u parameter value, a v parameter value, a curved surface equation value and an actual coordinate value on the curved surface; r is the fitting error, wiAs a weight, dijIs the distance between the origin o of the current local coordinate system and the jth data point of the neighborhood;
and solving an approximate quadric surface by solving a minimum value of r, and estimating the curvature value of the current data point by using the average curvature.
Preferably, in the step (3), the cutting algorithm flow of each plane and the prepared tooth body is as follows:
calculating each grid vertex V of the tooth preparation bodyiThe position relation { On, Positive and Negative } with the cutting plane respectively corresponds to { in plane, right above plane and Negative below plane }, and intersection point information is recorded aiming at the top point in the plane;
② calculating each grid edge E of the tooth preparation bodyiThe intersection point of the straight line and the cutting plane is obtained by a vector method, and intersection point information is recorded; curvature of intersection point being grid edge EiThe weighted average of the curvatures of the vertices at both ends, namely: c ═ c1·d2/d+c2·d1D, wherein c1、c2Is the curvature of two end points, d1、d2The length of the grid side and the distance from the intersection point to the two end points are respectively;
analysis of each triangle F of the tooth preparation bodyiAnd (4) sequencing the intersection points obtained in the step (I) and the step (II) according to the intersection relation with the cutting plane to finally obtain the two-dimensional transversal with curvature information.
Preferably, in step (4), the curvature value for each end point of the two-dimensional section line is regarded as a function c (i) ═ c1,c2,…,cm}; the end point of the function where the derivative value is approximately 0 is the neck edge feature point.
Preferably, in step (4), the two optimal characteristic points of the neck edge are respectively arranged on the left and the right.
Preferably, the intersection information includes a position Pos, a vertex Id, and a vertex Curvature.
Preferably, in step (1), a triangular mesh processing algorithm is used for optimization.
The invention has the beneficial effects that:
the extraction method of the characteristic line of the neck edge provided by the invention can automatically calculate the cutting plane, the cutting two-dimensional sectional line and the end point curvature thereof, and the searching of the characteristic point of the neck edge and the fitting of the characteristic line of the neck edge only based on a plurality of known conditions of the 'in-place direction' of the tooth preparation body, the minimum distance of the characteristic point of the neck edge and the fitting error, and has the operation flow completely consistent with commercial software (such as 3Shape), no manual intervention is needed, the algorithm speed is high, the effect is good, and the stability is high.
Detailed Description
The present invention is further described with reference to the following specific examples, which are not intended to be limiting, but are intended to be exemplary in nature and not to be limiting, and all equivalent modifications and equivalents of the known art that are within the spirit and scope of the present invention are intended to be protected by the present invention.
An automatic extraction method of a tooth preparation body neck margin characteristic line based on face cutting comprises the following steps:
(1) according to the given precision, a mesh model of the tooth body is globally optimized, the adopted measures comprise mesh noise removal, oversize triangular patches, splitting long and narrow triangular patches, combining undersize triangular patches, hole filling and the like, and the purpose can be achieved by adopting a mature and general triangular mesh processing algorithm;
(2) the curvature is a geometrical characteristic for representing the local form of the curved surface and is an important differential geometrical characteristic; the tooth triangular mesh model is a split linear curved surface, and mesh points of the tooth triangular mesh model have no continuous curvature and cannot be directly calculated by a formula like an implicit curved surface or a parametric curved surface; the invention adopts a local approximation curved surface fitting method to estimate, namely a local quadric surface fitting method to estimate the curvature of the vertex of the mesh;
(3) calculating the surrounding cylinder (axis is axis and radius is r) of the prepared tooth body according to the 'in-position direction' of the prepared tooth body, and obtaining the number of planes to be cut (RoundUp is rounded up) according to the given minimum distance d of the characteristic point of the neck edge: n ═ RoundUp (pi · r/d); evenly placing n planes at the same interval angle along the axis of the surrounding cylinder, and respectively cutting the n planes with the tooth preparation body to obtain n two-dimensional sectional lines;
(4) in each two-dimensional sectional line, respectively calculating two (one on the left and the right) optimal neck edge feature points according to the change rate of the curvature of each end point to obtain 2n neck edge feature points; meanwhile, the sequencing of the characteristic points of the neck edges is also determined, namely the characteristic points are sequenced according to the plane placement sequence;
(5) and correcting and fine-tuning the collected 2n ordered neck edge characteristic points, and fitting by using an over-point B spline curve according to a given error to obtain a neck edge characteristic line.
In the step (2), parameters of the quadric surface are expressed as follows under a local coordinate system:
S(u,v)=(u,v,g(u,v))
g(u,v)=au2+buv+cv2+eu+fv
wherein u and v are parameters of the quadric surface, g (u and v) is a standard equation of the quadric surface, a, b, c, d, e and f are constant coefficients of the equation, and S (u and v) is a parametric expression of the quadric surface;
a method for balancing the side of a ring domain is adopted to estimate the normal vector of the grid vertex, namely the balance is carried out according to the side length of each triangle in the ring domain of the grid vertex, and the algorithm formula is as follows:
Ni=(l1*N1+…+lj*Nj…+lm*Nm)/(l1+l2+…+lj…+lm)
wherein N isiNormal vector representing the estimated ith mesh vertex, ljRepresenting vertex NiLength of opposite side of jth triangle in a ring field, NjRepresenting vertex NiThe normal vector of the jth triangle in a ring field, m represents the vertex NiThe number of triangles in a ring neighborhood;
establishing its local coordinate system based on the mesh vertex o, namely: getThe vertex o is a local coordinate origin and a normal vector NoThe transformed local coordinate system is a local coordinate z axis, and x and y axes of the transformed local coordinate system are u and v of a quadric surface; under the local coordinate system, the data points { P ] in the local range are divided into a plurality of data pointsiAnd i ═ 1, …, k } (generally, data points in a ring neighborhood or a ring neighborhood of the current vertex o) is transformed into the current local coordinate system, and a quadratic surface is fitted by using a least square method:
Figure BDA0003340813270000051
Figure BDA0003340813270000052
wherein u isi、vi、g(ui,vi)、giRespectively, the ith data point PiA u parameter value, a v parameter value, a curved surface equation value and an actual coordinate value on the curved surface; r is the fitting error, wiAs a weight, dijIs the distance between the data point (the current local coordinate system origin o) and the jth data point in its neighborhood. And solving an approximate quadric surface by solving a minimum value of r, and estimating the curvature value of the current data point by using the average curvature.
In the step (3), the cutting algorithm flow of each plane and the prepared tooth body is as follows:
calculating each grid vertex V of the tooth preparation bodyiThe position relation { On, Positive, Negative } with the cutting plane, correspond to { in plane, plane directly over, plane minus under }, record the information of point of intersect { position Pos, vertex Id, vertex Curvature Curvature, etc. } to the vertex in the plane respectively;
② calculating each grid edge E of the tooth preparation bodyiIntersecting the cutting plane only when the edge E of the gridiThe point of intersection is formed when the vertexes of the two ends are respectively positioned on the two sides of the plane; then rapidly obtaining the intersection point of the straight line and the plane by using a vector method, and recording intersection point information { position Pos, edge Id, intersection point Curvature Curvature and the like }; curvature of intersection point being grid edge EiThe weighted average of the curvatures of the vertices at both ends, namely: c ═ c1·d2/d+c2·d1D, wherein c1、c2Is the curvature of two end points, d1、d2The length of the grid side and the distance from the intersection point to the two end points are respectively;
analysis of each triangle F of the tooth preparation bodyiAnd (4) sequencing the intersection points obtained in the step (I) and the step (II) according to the intersection relation with the cutting plane to finally obtain the two-dimensional transversal with curvature information.
In step (4), the curvature value for each end point of the two-dimensional section line is regarded as a function c (i) { c ═ c }1,c2,…,cm}. The end point of the function where the derivative value is approximately 0 is the neck edge feature point. Because the function is not a continuous function and cannot be directly derived, the change rate of the curvature of each endpoint needs to be obtained by adopting a discrete method. For example, a neighborhood derivative is: c (i)' (c)i+1–ci) Or (c)i–ci-1) The second neighborhood derivative is: c (i)' (c)i+1–ci-1)/2. When the neck edge feature points are actually searched, in order to reduce data error disturbance, a neighborhood derivative value is firstly used for rough selection, and then a neighborhood derivative value is used for fine selection.
The invention provides a tooth preparation body neck margin characteristic line automatic extraction method based on surface cutting, the algorithm used in each step of the method is easy to realize, in particular, ordered characteristic points are directly obtained by utilizing ordered plane cutting, the characteristic point sequencing steps are reduced, and the extraction of the tooth preparation body neck characteristic line completely consistent with the operation flow of commercial software is realized.
The above-described embodiments are merely illustrative of the preferred embodiments of the present invention and are not to be construed as limiting the invention. Modifications and variations of the above-described embodiments can be made by those skilled in the art without departing from the scope of the invention as defined by the appended claims. Accordingly, it is intended that all equivalent modifications or changes which can be made by those skilled in the art without departing from the spirit and technical spirit of the present invention be covered by the claims of the present invention.

Claims (7)

1. A method for automatically extracting a characteristic line of a neck margin of a tooth preparation body based on face cutting is characterized by comprising the following steps:
(1) globally optimizing a mesh model of the tooth body according to the given precision;
(2) estimating the curvature of the vertex of the mesh by adopting a local quadric surface fitting method;
(3) calculating a surrounding cylinder of the prepared tooth body according to the in-place direction algorithm of the prepared tooth body, wherein the axis is axis, and the radius is r; and then obtaining the number n of planes to be cut according to the given minimum distance d of the characteristic point of the neck edge: n is RoundUp (pi. r/d), and RoundUp is rounding up; evenly placing n planes at the same interval angle along the axis of the surrounding cylinder, and respectively cutting the n planes with the tooth preparation body to obtain n two-dimensional sectional lines;
(4) in each two-dimensional sectional line, respectively calculating two optimal neck edge characteristic points according to the change rate of the curvature of each end point to obtain 2n neck edge characteristic points; meanwhile, the sequencing of the characteristic points of the neck edges is also determined, namely the sequencing is carried out according to the plane placement sequence;
(5) and correcting and fine-tuning the collected 2n ordered neck edge characteristic points, and fitting by using an over-point B spline curve according to a given error to obtain a neck edge characteristic line.
2. The automatic extraction method of the tooth preparation neck edge characteristic line based on the surface cutting as claimed in claim 1, wherein in the step (2), the parameters of the quadric surface in the local coordinate system are expressed as:
S(u,v)=(u,v,g(u,v))
g(u,v)=au2+buv+cv2+eu+fv
wherein u and v are parameters of the quadric surface, g (u and v) is a standard equation of the quadric surface, a, b, c, d, e and f are constant coefficients of the equation, and S (u and v) is a parametric expression of the quadric surface;
estimating the normal vector of the grid vertex by adopting a ring domain-to-side balance method:
Ni=(l1*N1+…+lj*Nj…+lm*Nm)/(l1+l2+…+lj…+lm)
wherein N isiNormal vector representing the estimated ith mesh vertex, ljRepresenting vertex NiLength of opposite side of jth triangle in a ring field, NjRepresenting vertex NiThe normal vector of the jth triangle in a ring field, m represents the vertex NiThe number of triangles in a ring neighborhood;
establishing its local coordinate system based on the mesh vertex o, namely: taking the vertex o as a local coordinate origin and a normal vector NoThe transformed local coordinate system is a local coordinate z axis, and x and y axes of the transformed local coordinate system are u and v of a quadric surface; under the local coordinate system, the data points { P ] in the local range are divided into a plurality of data pointsiAnd i is 1, …, k, and is transformed to the current local coordinate system, and a quadratic surface is fitted by using a least square method:
Figure FDA0003340813260000021
Figure FDA0003340813260000022
wherein u isi、vi、g(ui,vi)、giRespectively, the ith data point PiA u parameter value, a v parameter value, a curved surface equation value and an actual coordinate value on the curved surface; r is the fitting error, wiAs a weight, dijIs the distance between the origin o of the current local coordinate system and the jth data point of the neighborhood;
and solving an approximate quadric surface by solving a minimum value of r, and estimating the curvature value of the current data point by using the average curvature.
3. The method for automatically extracting the characteristic line of the neck rim of the tooth preparation body based on the surface cutting as claimed in claim 1, wherein in the step (3), the algorithm flow of each plane and tooth preparation body cutting is as follows:
calculating each grid vertex V of the tooth preparation bodyiThe position relation { On, Positive, Negative } with the cutting plane respectively corresponds to { in-plane, On-planeSquare, plane minus down }, recording intersection point information aiming at a vertex in the plane;
② calculating each grid edge E of the tooth preparation bodyiThe intersection point of the straight line and the cutting plane is obtained by a vector method, and intersection point information is recorded; curvature of intersection point being grid edge EiThe weighted average of the curvatures of the vertices at both ends, namely: c ═ c1·d2/d+c2·d1D, wherein c1、c2Is the curvature of two end points, d1、d2The length of the grid side and the distance from the intersection point to the two end points are respectively;
analysis of each triangle F of the tooth preparation bodyiAnd (4) sequencing the intersection points obtained in the step (I) and the step (II) according to the intersection relation with the cutting plane to finally obtain the two-dimensional transversal with curvature information.
4. The automatic extraction method of the tooth preparation neck edge characteristic line based on the face cutting as claimed in claim 1, wherein: in step (4), the curvature value for each end point of the two-dimensional section line is regarded as a function c (i) { c ═ c }1,c2,…,cm}; the end point of the function where the derivative value is approximately 0 is the neck edge feature point.
5. The automatic extraction method of the tooth preparation neck edge characteristic line based on the face cutting as claimed in claim 1, wherein: in the step (4), the two optimal neck edge characteristic points are respectively arranged on the left and the right.
6. The automatic extraction method of the tooth preparation neck edge characteristic line based on the face cutting as claimed in claim 3, wherein: the intersection information includes a position Pos, a vertex Id, and a vertex Curvature.
7. The automatic extraction method of the tooth preparation neck edge characteristic line based on the face cutting as claimed in claim 1, wherein: in the step (1), a triangular mesh processing algorithm is adopted for optimization.
CN202111307634.8A2021-11-052021-11-05 Automatic extraction method of neck margin feature line of tooth preparation based on face cuttingPendingCN114022640A (en)

Priority Applications (1)

Application NumberPriority DateFiling DateTitle
CN202111307634.8ACN114022640A (en)2021-11-052021-11-05 Automatic extraction method of neck margin feature line of tooth preparation based on face cutting

Applications Claiming Priority (1)

Application NumberPriority DateFiling DateTitle
CN202111307634.8ACN114022640A (en)2021-11-052021-11-05 Automatic extraction method of neck margin feature line of tooth preparation based on face cutting

Publications (1)

Publication NumberPublication Date
CN114022640Atrue CN114022640A (en)2022-02-08

Family

ID=80061796

Family Applications (1)

Application NumberTitlePriority DateFiling Date
CN202111307634.8APendingCN114022640A (en)2021-11-052021-11-05 Automatic extraction method of neck margin feature line of tooth preparation based on face cutting

Country Status (1)

CountryLink
CN (1)CN114022640A (en)

Citations (3)

* Cited by examiner, † Cited by third party
Publication numberPriority datePublication dateAssigneeTitle
CN107679536A (en)*2016-08-012018-02-09佛山市诺威科技有限公司 An automatic extraction method of denture cervical margin line based on DBSCAN clustering
CN107689253A (en)*2016-08-032018-02-13佛山市诺威科技有限公司A kind of artificial tooth hat inner surface generation method of parametrization
KR101911693B1 (en)*2017-07-112019-01-04오스템임플란트 주식회사Method And Apparatus For Extracting Margin Line And Recordable Media Recording Programs For Enabling The Method

Patent Citations (3)

* Cited by examiner, † Cited by third party
Publication numberPriority datePublication dateAssigneeTitle
CN107679536A (en)*2016-08-012018-02-09佛山市诺威科技有限公司 An automatic extraction method of denture cervical margin line based on DBSCAN clustering
CN107689253A (en)*2016-08-032018-02-13佛山市诺威科技有限公司A kind of artificial tooth hat inner surface generation method of parametrization
KR101911693B1 (en)*2017-07-112019-01-04오스템임플란트 주식회사Method And Apparatus For Extracting Margin Line And Recordable Media Recording Programs For Enabling The Method

Non-Patent Citations (2)

* Cited by examiner, † Cited by third party
Title
张长东;戴宁;廖文和;闫国栋;孙玉春;王勇;吕培军: "基于启发式搜索策略的牙齿生物特征线提取技术", 中国机械工程, vol. 23, no. 13, 27 July 2012 (2012-07-27), pages 1567 - 1571*
戴宁;廖文和;程筱胜;俞青;焦益群;张翔;刘泗岩;安涛: "牙齿预备体颈缘线自适应提取算法的研究与实现", 中国生物医学工程学报, vol. 25, no. 3, 30 June 2006 (2006-06-30), pages 291 - 295*

Similar Documents

PublicationPublication DateTitle
CN106228549B (en) A triangular mesh tooth segmentation method based on path planning
CN112690914B (en)Tooth modeling method with gingiva suitable for digital orthodontic treatment
CN101393653B (en)Method for reconstructing three dimensional model of complete teeth through CT data of dentognathic gypsum model and dentognathic panoramic perspective view
CN103871097B (en)Data fusion technique fusion method based on dental preparations
CN1686058A (en)Computer assisted hidden tooth abnormal correction system
EP4144324B1 (en)Intelligent design method for digital model for oral digital impression instrument
CN113362311B (en) Deep generative network-assisted morphogenesis for functional full-crown restorations
CN106570859B (en)Tooth image analysis system
CN104546151A (en)Numerical control laser automatic tooth preparation method and equipment thereof
CN110827233B (en) A method for extracting pit and fissure areas on the surface of tooth three-dimensional point cloud data
CN105389444B (en)A kind of gum edge curve design method of personalization tooth-implanting
CN100553587C (en)On the three-dimensional grid dentognathic model, accurately survey the method for arch wire fast
CN103494653A (en)Method for digitally measuring dental jaw growth and development laws
CN104899923B (en)The construction method of face fake composite body Optimized model based on the modification of smile expression geometric properties
CN107689077B (en)Digital generation method of full-crown bridge body
US20250143852A1 (en)Method, device, storage medium, and medical system for generating a restoration dental model
Li et al.Efficient complete denture metal base design via a dental feature-driven segmentation network
CN113139908A (en)Three-dimensional dentition segmentation and labeling method
CN107638224B (en) A method for measuring shape and position parameters of digital dentures
CN114022640A (en) Automatic extraction method of neck margin feature line of tooth preparation based on face cutting
CN117788747A (en)Dental crown three-dimensional reconstruction method by fusing oral scan data and CBCT
CN116681762A (en)Method, apparatus, storage medium and program for obtaining axial slices of labial lingual side walls of upper and lower anterior teeth
Ma et al.A survey of three-dimensional reconstruction methods for tooth models
US12419724B2 (en)Oral digital impression instrument, digital model for the same, and intelligent method of making and/or using the same
CN114463328B (en)Automatic orthodontic difficulty coefficient evaluation method

Legal Events

DateCodeTitleDescription
PB01Publication
PB01Publication
SE01Entry into force of request for substantive examination
SE01Entry into force of request for substantive examination
CB02Change of applicant information
CB02Change of applicant information

Country or region after:China

Address after:Room 801, Building 2, No. 2570 Hechuan Road, Minhang District, Shanghai, 2011

Applicant after:Hangzhou New Dimension Systems Co.,Ltd.

Address before:Room 3008-1, No. 391, Wener Road, Xihu District, Hangzhou, Zhejiang 310000

Applicant before:NEW DIMENSION SYSTEMS Co.,Ltd.

Country or region before:China


[8]ページ先頭

©2009-2025 Movatter.jp