







技术领域technical field
本发明涉及卫星降水数据订正技术领域,尤其涉及一种考虑空间分布的窗口滑动GPM数据订正方法。The invention relates to the technical field of satellite precipitation data correction, in particular to a window sliding GPM data correction method considering spatial distribution.
背景技术Background technique
现有的技术是卫星降水数据融合技术,采用的方法可以划分为全局和局部两大类。其中,全局融合方法有平均偏差修正法、线性回归法、双核平滑法等;局部融合方法主要包括协同克里金、地理加权回归、贝叶斯融合等。但是对于精度本身不高、存在误差的卫星降水数据而言,直接进行融合,可能不仅无法提高产品质量,反倒会引入更大的误差,难以保证结果的可靠性。此外,常见的卫星降水数据融合技术通常没有考虑降水在空间分布上以及时间的差异性,从而导致融合结果会产生很大的不确定性。由此可见,现有技术存在一定的局限性,卫星数据的合理高效订正就显得格外重要。The existing technology is satellite precipitation data fusion technology, and the methods used can be divided into two categories: global and local. Among them, global fusion methods include mean deviation correction method, linear regression method, dual-kernel smoothing method, etc.; local fusion methods mainly include collaborative kriging, geographically weighted regression, Bayesian fusion, etc. However, for satellite precipitation data with low accuracy and errors, direct fusion may not only fail to improve product quality, but will introduce larger errors, making it difficult to ensure the reliability of the results. In addition, common satellite precipitation data fusion techniques usually do not take into account the spatial distribution and temporal differences of precipitation, resulting in great uncertainty in the fusion results. It can be seen that the existing technology has certain limitations, and the reasonable and efficient correction of satellite data is particularly important.
发明内容SUMMARY OF THE INVENTION
本发明的目的在于提供一种考虑空间分布的窗口滑动GPM数据订正方法,从而解决现有技术中存在的前述问题。The purpose of the present invention is to provide a window sliding GPM data correction method considering spatial distribution, so as to solve the aforementioned problems existing in the prior art.
为了实现上述目的,本发明采用的技术方案如下:In order to achieve the above object, the technical scheme adopted in the present invention is as follows:
一种考虑空间分布的窗口滑动GPM数据订正方法,包括如下步骤,A window sliding GPM data correction method considering spatial distribution includes the following steps:
S1、对卫星栅格数据和地面站点数据进行预处理;S1. Preprocess satellite raster data and ground station data;
S2、根据预处理后的卫星栅格数据和地面站点数据,设定初始窗口;S2. Set the initial window according to the preprocessed satellite raster data and ground station data;
S3、对初始窗口内的卫星栅格数据进行订正,移动初始窗口依次对所有的卫星栅格数据进行订正;S3. Correct the satellite grid data in the initial window, and move the initial window to correct all satellite grid data in turn;
S4、对订正结果进行评估。S4. Evaluate the correction result.
优选的,步骤S1具体包括如下内容,Preferably, step S1 specifically includes the following contents:
读取原始卫星.nc文件,将卫星栅格数据处理为矩阵形式,并将卫星栅格数据各网格对应的经纬度坐标分别处理为矩阵形式;Read the original satellite .nc file, process the satellite raster data into a matrix form, and process the latitude and longitude coordinates corresponding to each grid of the satellite raster data into a matrix form;
将各地面站点在一定时间尺度下的实测降水数据以及地面站点对应的经纬度坐标分别处理为矩阵形式。The measured precipitation data of each ground station on a certain time scale and the latitude and longitude coordinates corresponding to the ground stations are respectively processed into matrix form.
优选的,步骤S2具体包括如下内容,Preferably, step S2 specifically includes the following contents:
S21、从卫星栅格数据起始网格开始,固定顶点,以1个网格单位作为矩形窗口边长;S21, starting from the starting grid of the satellite raster data, fixing the vertex, and taking 1 grid unit as the side length of the rectangular window;
S22、判断该矩形窗口内是否同时包含卫星栅格数据和至少一个地面站点数据,若是,则进入S23,否则,将该矩形窗口的边长递增1个网格单位,并重新判断;S22, determine whether the rectangular window simultaneously contains satellite grid data and at least one ground station data, if so, enter S23, otherwise, increase the side length of the rectangular window by 1 grid unit, and re-judgment;
S23、选取该边长的矩形窗口作为初始窗口。S23. Select a rectangular window with the side length as the initial window.
优选的,步骤S22采用卫星栅格经纬度坐标与地面站点坐标的相关关系判断矩形窗口内是否同时包含卫星栅格数据和至少一个地面站点数据,具体公式为,Preferably, step S22 uses the correlation between the latitude and longitude coordinates of the satellite grid and the coordinates of the ground station to determine whether the rectangular window contains both the satellite grid data and the data of at least one ground station. The specific formula is:
|lon卫星-lon地面|<N|lonsatellite -longround |<N
|lat卫星-lat地面|<T|latsatellite -latground |<T
其中,lon卫星为卫星栅格数据各网格经度;lon地面为各地面站点经度;lat卫星为卫星栅格数据各网格纬度;lat地面为各地面站点纬度;N、T分别为所选卫星降水数据的空间分辨率。Among them, lonsatellite is the longitude of each grid of satellite grid data; longround is the longitude of each ground station; latsatellite is the latitude of each grid of satellite grid data; latground is the latitude of each ground station; N and T are the selected satellites respectively Spatial resolution of precipitation data.
优选的,步骤S3具体包括如下内容,Preferably, step S3 specifically includes the following contents:
S31、分别计算初始窗口内地面站点观测降水数据的算术平均值以及所含卫星栅格数据的算术平均值,计算初始窗口内地面站点观测降水数据的算术平均值与所含卫星栅格数据的算术平均值之间的比值;利用比值乘以初始窗口内卫星栅格数据,获取初始窗口内卫星栅格数据的订正结果;S31. Calculate the arithmetic mean value of the observed precipitation data of the ground stations in the initial window and the arithmetic mean value of the included satellite grid data, respectively, and calculate the arithmetic mean value of the observed precipitation data of the ground stations in the initial window and the arithmetic mean value of the included satellite grid data. The ratio between the average values; multiply the satellite raster data in the initial window by the ratio to obtain the correction result of the satellite raster data in the initial window;
S32、将初始窗口按照1个网格单位的步长进行移动,并按照步骤S31的方法对窗口中的卫星栅格数据依次进行订正;S32, move the initial window according to the step size of 1 grid unit, and sequentially correct the satellite grid data in the window according to the method of step S31;
S33、对于单个网格内存在的多个订正结果,进行算术平均值计算得到整个卫星栅格数据的订正结果。S33. For multiple correction results existing in a single grid, perform arithmetic mean calculation to obtain the correction results of the entire satellite grid data.
优选的,步骤S4具体为,以地面站点观测降水数据为参照,分别采用相关系数、相对偏差、均方根误差、平均绝对误差、探测率、误报率、临界成功指数、频率偏差和公正先兆评分在内的九项评价指标对订正后的卫星栅格数据进行评估;Preferably, step S4 is specifically, taking the observed precipitation data of the ground station as a reference, and using the correlation coefficient, relative deviation, root mean square error, mean absolute error, detection rate, false alarm rate, critical success index, frequency deviation and fairness omen respectively. Nine evaluation indicators including scoring evaluate the revised satellite raster data;
相关系数越接近于1、相对偏差越小、均方根误差越小、平均绝对误差越小、探测率越大、误报率越小、临界成功指数越大、频率偏差越小、公正先兆评分越大,则表示卫星栅格数据的订正效果越好。The closer the correlation coefficient is to 1, the smaller the relative deviation, the smaller the root mean square error, the smaller the mean absolute error, the larger the detection rate, the smaller the false alarm rate, the larger the critical success index, the smaller the frequency deviation, and the fair omen score. The larger the value, the better the correction effect of the satellite raster data.
本发明的有益效果是:1、本发明能够考虑卫星降水数据的时空分布特征,将地面站点实测降水数据作为参考,对栅格数据进行局部订正,降低订正误差,使得订正结果具有相对较高的精度。2、本发明能够考虑卫星网格和地面观测站点的相对位置关系,对于不同的地区进行针对性相对较高的订正,从而在一定程度上有效解决地面站点分布不均、部分地区缺乏降水数据的问题。3、本发明通过订正得到一套精度较高的降水数据集,从而更好地服务于当地的降水预报、水文模拟等工作。The beneficial effects of the present invention are as follows: 1. The present invention can consider the temporal and spatial distribution characteristics of satellite precipitation data, and use the ground station measured precipitation data as a reference to locally correct the grid data to reduce the correction error, so that the correction result has a relatively high precision. 2. The present invention can take into account the relative positional relationship between satellite grids and ground observation sites, and make relatively high-targeted corrections for different regions, thereby effectively solving the problem of uneven distribution of ground sites and lack of precipitation data in some areas to a certain extent. question. 3. The present invention obtains a set of high-precision precipitation data sets through correction, so as to better serve local precipitation forecasting, hydrological simulation and other work.
附图说明Description of drawings
图1是本发明实施例中订正方法的原理流程图;Fig. 1 is the principle flow chart of the correction method in the embodiment of the present invention;
图2是本发明实施例中数据预处理的流程图;Fig. 2 is the flow chart of data preprocessing in the embodiment of the present invention;
图3是本发明实施例中设定初始窗口的流程图;3 is a flowchart of setting an initial window in an embodiment of the present invention;
图4是本发明实施例中卫星栅格数据订正的流程图;Fig. 4 is the flow chart of satellite grid data correction in the embodiment of the present invention;
图5是本发明实施例中订正效果评估流程图;Fig. 5 is the flow chart of correction effect evaluation in the embodiment of the present invention;
图6是本发明实施例中西北地区地面观测站点示意图;6 is a schematic diagram of a ground observation site in the northwest region in the embodiment of the present invention;
图7是本发明实施例中窗口移动订正前后RMSE等值线图。FIG. 7 is an RMSE contour diagram before and after window movement correction in an embodiment of the present invention.
具体实施方式Detailed ways
为了使本发明的目的、技术方案及优点更加清楚明白,以下结合附图,对本发明进行进一步详细说明。应当理解,此处所描述的具体实施方式仅仅用以解释本发明,并不用于限定本发明。In order to make the objectives, technical solutions and advantages of the present invention clearer, the present invention will be further described in detail below with reference to the accompanying drawings. It should be understood that the specific embodiments described herein are only used to explain the present invention, but not to limit the present invention.
实施例一Example 1
如图1所示,本实施例中,提供了一种考虑空间分布的窗口滑动GPM数据订正方法,包括如下步骤,As shown in FIG. 1 , in this embodiment, a window sliding GPM data correction method considering spatial distribution is provided, including the following steps:
S1、对卫星栅格数据和地面站点数据进行预处理;S1. Preprocess satellite raster data and ground station data;
S2、根据预处理后的卫星栅格数据和地面站点数据,设定初始窗口;S2. Set the initial window according to the preprocessed satellite raster data and ground station data;
S3、对初始窗口内的卫星栅格数据进行订正,移动初始窗口依次对所有的卫星栅格数据进行订正;S3. Correct the satellite grid data in the initial window, and move the initial window to correct all satellite grid data in turn;
S4、对订正结果进行评估。S4. Evaluate the correction result.
本实施例中,订正方法主要包括四部分内容,分别为数据预处理、设定初始窗口、卫星栅格数据订正和订正结果评估,下面分别针对这四部分内容进行详细阐述。In this embodiment, the correction method mainly includes four parts, which are data preprocessing, initial window setting, satellite raster data correction, and correction result evaluation. The four parts are described in detail below.
一、数据预处理1. Data preprocessing
该部分对应步骤S1,步骤S1具体包括如下内容,参见图2,This part corresponds to step S1, and step S1 specifically includes the following contents, see FIG. 2,
卫星数据的预处理:考虑到卫星降水数据形式的特点,首先读取原始卫星.nc文件,将卫星栅格数据处理为矩阵形式,并将卫星栅格数据各网格对应的经纬度坐标分别处理为矩阵形式;Preprocessing of satellite data: Considering the characteristics of satellite precipitation data, first read the original satellite .nc file, process the satellite raster data into a matrix form, and process the latitude and longitude coordinates corresponding to each grid of the satellite raster data as matrix form;
地面数据的预处理:将各地面站点在一定时间尺度下的实测降水数据以及地面站点对应的经纬度坐标分别处理为矩阵形式。Preprocessing of ground data: The measured precipitation data of each ground station on a certain time scale and the latitude and longitude coordinates corresponding to the ground stations are respectively processed into a matrix form.
二、设定初始窗口2. Set the initial window
该部分对应步骤S2,步骤S2具体包括如下内容,参见图3,This part corresponds to step S2, and step S2 specifically includes the following contents, see FIG. 3,
S21、从卫星栅格数据起始网格开始,固定顶点,以1个网格单位作为矩形窗口边长;S21, starting from the starting grid of the satellite raster data, fixing the vertex, and taking 1 grid unit as the side length of the rectangular window;
S22、判断该矩形窗口内是否同时包含卫星栅格数据和至少一个地面站点数据,若是,则进入S23,否则,将该矩形窗口的边长递增1个网格单位,并重新判断;S22, determine whether the rectangular window simultaneously contains satellite grid data and at least one ground station data, if so, enter S23, otherwise, increase the side length of the rectangular window by 1 grid unit, and re-judgment;
S23、选取该边长的矩形窗口作为初始窗口。S23. Select a rectangular window with the side length as the initial window.
本实施例中,步骤S22采用卫星栅格经纬度坐标与地面站点坐标的相关关系判断矩形窗口内是否同时包含卫星栅格数据和至少一个地面站点数据,具体公式为,In this embodiment, step S22 uses the correlation between the longitude and latitude coordinates of the satellite grid and the coordinates of the ground station to determine whether the rectangular window contains both the satellite grid data and the data of at least one ground station. The specific formula is:
|lon卫星-lon地面|<N|lonsatellite -longround |<N
|lat卫星-lat地面|<T|latsatellite -latground |<T
其中,lon卫星为卫星栅格数据各网格经度;lon地面为各地面站点经度;lat卫星为卫星栅格数据各网格纬度;lat地面为各地面站点纬度;N、T分别为所选卫星降水数据的空间分辨率。满足上述公式的矩形窗口即判定为初始窗口。Among them, lonsatellite is the longitude of each grid of satellite grid data; longround is the longitude of each ground station; latsatellite is the latitude of each grid of satellite grid data; latground is the latitude of each ground station; N and T are the selected satellites respectively Spatial resolution of precipitation data. The rectangular window that satisfies the above formula is determined as the initial window.
三、卫星栅格数据订正3. Correction of satellite raster data
本实施例中,步骤S3具体包括如下内容,参见图4,In this embodiment, step S3 specifically includes the following contents, referring to FIG. 4 ,
分别计算初始窗口内所含卫星栅格数据的算术平均值(记为a)以及初始窗口内地面站点观测降水数据的算术平均值(记为b),计算初始窗口内地面站点观测降水数据的算术平均值与所含卫星栅格数据的算术平均值之间的比值(记为c,作为订正系数),计算公式为:Calculate the arithmetic mean of the satellite raster data contained in the initial window (denoted as a) and the arithmetic mean of the observed precipitation data of the ground stations in the initial window (denoted as b), and calculate the arithmetic mean of the observed precipitation data of the ground stations in the initial window. The ratio between the average value and the arithmetic average value of the satellite raster data contained (denoted as c, as a correction coefficient), the calculation formula is:
之后利用比值乘以初始窗口内卫星栅格数据,获取初始窗口内卫星栅格数据的订正结果;Then use the ratio to multiply the satellite raster data in the initial window to obtain the correction result of the satellite raster data in the initial window;
随后将初始窗口按照1个网格单位的步长进行移动,并按照步骤S31的方法对窗口中的卫星栅格数据依次进行订正;Subsequently, the initial window is moved according to the step size of 1 grid unit, and the satellite grid data in the window is corrected in turn according to the method of step S31;
最后对于单个网格内存在的多个订正结果,进行算术平均值计算得到整个卫星栅格数据的订正结果。Finally, for multiple correction results existing in a single grid, the arithmetic mean calculation is performed to obtain the correction results of the entire satellite grid data.
四、订正结果评估4. Evaluation of the revised results
本实施例中,步骤S4具体为,参见图5,In this embodiment, step S4 is specifically, referring to FIG. 5 ,
以地面站点观测降水数据为参照,分别采用相关系数、相对偏差、均方根误差、平均绝对误差、探测率、误报率、临界成功指数、频率偏差和公正先兆评分在内的九项评价指标对订正后的卫星栅格数据进行评估;Taking the observed precipitation data from ground stations as a reference, nine evaluation indicators including correlation coefficient, relative deviation, root mean square error, mean absolute error, detection rate, false alarm rate, critical success index, frequency deviation, and fair omen score were used. Evaluate the corrected satellite raster data;
相关系数越接近于1、相对偏差越小、均方根误差越小、平均绝对误差越小、探测率越大、误报率越小、临界成功指数越大、频率偏差越小、公正先兆评分越大,则表示卫星栅格数据的订正效果越好。九项评价指标具体如下:The closer the correlation coefficient is to 1, the smaller the relative deviation, the smaller the root mean square error, the smaller the mean absolute error, the larger the detection rate, the smaller the false alarm rate, the larger the critical success index, the smaller the frequency deviation, and the fair omen score. The larger the value, the better the correction effect of the satellite raster data. The nine evaluation indicators are as follows:
1、皮尔逊相关系数(R)1. Pearson correlation coefficient (R)
皮尔逊相关系数反应了卫星降水数据与地面观测降水数据之间线性关系的强弱,其绝对值的值域为0至1,越接近于1,表示卫星降水数据与地面观测降水数据的信息越吻合,参考价值越高。The Pearson correlation coefficient reflects the strength of the linear relationship between satellite precipitation data and ground-observed precipitation data, and its absolute value ranges from 0 to 1. Consistent, the higher the reference value.
一般情况下,0.8<R≤1.0意味着非常强相关;0.6<R≤0.8意味着强关联;0.4<R≤0.6意味着中等相关;0.2<R≤0.4意味着弱相关;0.0≤R≤0.2表示极弱或不相关;R≤0.0表示负相关。In general, 0.8<R≤1.0 means very strong correlation; 0.6<R≤0.8 means strong correlation; 0.4<R≤0.6 means moderate correlation; 0.2<R≤0.4 means weak correlation; 0.0≤R≤0.2 Indicates very weak or irrelevant; R≤0.0 indicates negative correlation.
2、均方根误差(RMSE)2. Root Mean Square Error (RMSE)
均方根误差用于评价卫星降水数据与地面观测降水数据的偏离程度,其值始终是非负的,值越小,观测误差越小,反之误差越大。The root mean square error is used to evaluate the degree of deviation between satellite precipitation data and ground observation precipitation data, and its value is always non-negative. The smaller the value, the smaller the observation error, and vice versa.
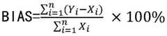
3、相对偏差(BIAS)3. Relative Bias (BIAS)
相对偏差是指绝对偏差占平均值的百分比,可以用来衡量卫星降水数据与地面观测站点降水数据的偏离程度。Relative deviation refers to the percentage of absolute deviation to the mean value, which can be used to measure the degree of deviation between satellite precipitation data and precipitation data from ground observation stations.
4、平均绝对误差(MAE)4. Mean Absolute Error (MAE)
平均绝对误差(MAE)常被用来描述卫星降水数据与地面站点观测值之间的差异,量测平均误差的大小。平均绝对误差可以避免误差相互抵消的问题,因而可以准确反映实际误差的大小。Mean absolute error (MAE) is often used to describe the difference between satellite precipitation data and ground station observations, and measures the magnitude of the mean error. The mean absolute error can avoid the problem of mutual cancellation of errors, so it can accurately reflect the size of the actual error.
上述1至4的公式中,n表示精度评价中所用到的数据对个数。Xi代表第i个地面站点的降水观测值,Yi表示该地面站点位置所在的卫星降水数据栅格的像元值;为Xi的均值,为Yi的均值。In the above formulas 1 to 4, n represents the number of data pairs used in the accuracy evaluation. Xi represents the precipitation observation value of the ith ground station, and Yi represents the pixel value of the satellite precipitation data raster where the ground station is located; is the mean ofXi , is the mean value ofYi .
5、探测率(检测概率POD)5. Detection rate (probability of detection POD)
检测概率表示卫星探测到的降水事件中,正确探测到的事件数占总探测事件数的比例,反映的是卫星对于降水事件的漏报程度。POD的取值范围是[0,1],值越大,说明卫星对降水事件的成功探测程度越高。The detection probability represents the proportion of the number of correctly detected events to the total number of detected events among the precipitation events detected by the satellite, which reflects the degree of underreporting of the precipitation events by the satellite. The value range of POD is [0, 1]. The larger the value, the higher the successful detection of precipitation events by the satellite.
6、误报率(虚警指数FAR)6. False alarm rate (false alarm index FAR)
虚警指数体现了卫星所探测到的降水事件中,错误检测的事件数占总探测事件数的比例,这一指标能够反映卫星对于降水事件的虚警程度,亦称空报率。虚警指数的取值范围是[0,1],值越小,说明卫星对降水的误报程度越小。The false alarm index reflects the ratio of the number of falsely detected events to the total number of detected events among the precipitation events detected by the satellite. The value range of the false alarm index is [0, 1], and the smaller the value, the smaller the false alarm degree of the satellite for precipitation.
7、临界成功指数(CSI)7. Critical Success Index (CSI)
临界成功指数代表卫星正确检测的降水事件数所占事件总数的比例,它能够综合地反映出卫星降水数据的特性。The critical success index represents the proportion of the number of precipitation events correctly detected by the satellite to the total number of events, and it can comprehensively reflect the characteristics of satellite precipitation data.
8、频率偏差(B)8. Frequency deviation (B)
频率偏差用于衡量降水事件是否被高估或低估,取值范围是[0,+∞],B>1说明卫星高估了降水事件;B<1,说明卫星低估了降水事件。The frequency deviation is used to measure whether the precipitation event is overestimated or underestimated. The value range is [0,+∞]. B>1 means the satellite overestimates the precipitation event; B<1 means the satellite underestimates the precipitation event.
9、公正先兆评分(ETS)9. Equitable Omen Score (ETS)
公正先兆评分用于衡量对降水的综合探测能力。取值范围为值越大,说明GPM产品对降水的综合探测能力越强。The unbiased precursor score is used to measure the comprehensive detection ability of precipitation. The value range is The larger the value, the stronger the comprehensive detection ability of the GPM product for precipitation.
上述5至9的公式中,H表示在特定阈值下,地面观测站点与卫星同时成功捕捉到的降水事件数;M表示在特定阈值下,地面观测站点捕捉成功而卫星捕捉失败的降水事件个数;F表示在特定阈值下,卫星捕捉到而地面观测站点没有观测到的降水事件个数;Z为卫星降水和地面观测数据均未发生该强度降水的事件数。In the above formulas 5 to 9, H represents the number of precipitation events that are successfully captured by ground observation stations and satellites at the same time under a specific threshold; M represents the number of precipitation events that are successfully captured by ground observation stations but failed to be captured by satellites under a specific threshold ; F represents the number of precipitation events captured by satellites but not observed by ground observation stations under a certain threshold; Z is the number of events that neither satellite precipitation nor ground observation data have occurred with this intensity of precipitation.
步骤S4中,卫星栅格数据的订正结果评估包括日尺度、月尺度、季度尺度以及年尺度的评定。In step S4, the evaluation of the correction result of the satellite raster data includes the evaluation of the daily scale, the monthly scale, the quarterly scale and the annual scale.
根据国家气象部门关于降水标准的有关规定,日降雨量可分为小雨(<10mm)、中雨(10-24.9mm)、大雨(25-49.9mm)和暴雨(≥50mm)。为了评价GPM在日尺度上对降水的捕捉能力,本发明选取0.1、10、25、50mm/d共4种降水阈值,分别作为“产生降水”和发生“小雨”、“中雨”、“大雨”的标准。According to the relevant regulations of the National Meteorological Department on precipitation standards, daily rainfall can be divided into light rain (<10mm), moderate rain (10-24.9mm), heavy rain (25-49.9mm) and heavy rain (≥50mm). In order to evaluate the ability of GPM to capture precipitation on a daily scale, the present invention selects 4 precipitation thresholds of 0.1, 10, 25, and 50 mm/d as "precipitation generation" and occurrence of "light rain", "moderate rain" and "heavy rain" respectively. "standard.
将满足评定要求的订正后的卫星栅格数据输出为数据集。评定要求可以根据具体情况进行设置,以便更好的满足实际需求。Output the corrected satellite raster data that meets the evaluation requirements as a dataset. The assessment requirements can be set according to the specific situation to better meet the actual needs.
为了对比订正后的卫星栅格数据与订正前的卫星栅格数据的精度高低,可以先利用九项评价指标计算地面站点观测数据与订正前的卫星栅格数据的相关指标数据,再利用九项评价指标计算地面站点观测数据与订正后的卫星栅格数据的相关指标数据,并对比计算结果,进而确定订正后的卫星栅格数据的精度与订正前的卫星栅格数据的精度高低。In order to compare the accuracy of the satellite raster data after correction and the satellite raster data before correction, nine evaluation indicators can be used to calculate the relevant index data between the observation data of ground stations and the satellite raster data before correction, and then use the nine evaluation indicators The evaluation index calculates the relevant index data of the ground station observation data and the corrected satellite raster data, and compares the calculation results, and then determines the accuracy of the corrected satellite raster data and the accuracy of the satellite raster data before the correction.
实施例二Embodiment 2
本实施例中,将西北地区(经度范围是东经73度至东经123度,纬度范围是北纬37度至北纬50度)作为实施例的研究区域,采用地面观测站点数据订正卫星栅格数据(GPMIMERG Final Run),说明本发明的有效性。In this example, the northwest region (the longitude range is from 73 degrees east longitude to 123 degrees east longitude, and the latitude range is from 37 degrees north latitude to 50 degrees north latitude) is used as the study area of the example, and the ground observation station data is used to correct the satellite raster data (GPMIMERG Final Run), illustrating the effectiveness of the present invention.
研究采用的西北地区地面观测站点共178个,其空间分布如图6所示。首先采用其中的128个地面站点实测降水数据对2018年7月的卫星栅格数据进行订正训练,得到订正后的栅格数据,再采用剩余的50个地面观测站点实测数据对订正结果进行验证评估,结果如表1所示,针对表1的结果绘制等值线图,如图7所示,(a)为订正前RMSE等值线图,(b)为订正后RMSE等值线图。There are 178 ground observation stations in Northwest China used in this study, and their spatial distribution is shown in Figure 6. First, the satellite grid data in July 2018 was corrected and trained using the measured precipitation data from 128 ground stations, and the corrected grid data was obtained. Then, the measured data from the remaining 50 ground observation stations were used to verify and evaluate the correction results. , the results are shown in Table 1, and the contour map is drawn for the results in Table 1, as shown in Figure 7, (a) is the RMSE contour map before correction, (b) is the RMSE contour map after correction.
表1验证站点订正前后RMSE指标Table 1 RMSE indicators before and after verification site correction
由表1和图7可以看出,对于西北地区,订正前,卫星栅格数据与地面站点观测数据的均方根误差(RMSE)高值集中分布在甘肃南部、宁夏回族自治区大部分区域以及陕西省西部。采用窗口滑动订正法对原始栅格数据进行订正,同时计算订正后的栅格数据与验证站点的均方根误差(RMSE)值,并且对比订正前后的RMSE值,可以得到RMSE明显降低,由此可见,卫星栅格数据的精度得到了较为显著的提升。综合来看,本专利具有一定的订正效果,能够提高卫星栅格数据的精度。From Table 1 and Figure 7, it can be seen that for the northwest region, before the correction, the high root mean square error (RMSE) values of satellite raster data and ground station observation data are concentrated in southern Gansu, most of Ningxia Hui Autonomous Region and Shaanxi. western province. The original raster data is corrected by the window sliding correction method, and the root mean square error (RMSE) value of the corrected raster data and the verification site is calculated at the same time, and the RMSE values before and after the correction are compared. It can be seen that the accuracy of satellite raster data has been significantly improved. On the whole, this patent has a certain correction effect and can improve the accuracy of satellite raster data.
通过采用本发明公开的上述技术方案,得到了如下有益的效果:By adopting the above-mentioned technical scheme disclosed by the present invention, the following beneficial effects are obtained:
本发明提供了一种考虑空间分布的窗口滑动GPM数据订正方法,本发明能够考虑卫星降水数据的时空分布特征,将地面站点实测降水数据作为参考,对栅格数据进行局部订正,降低订正误差,使得订正结果具有相对较高的精度。本发明能够考虑卫星网格和地面观测站点的相对位置关系,对于不同的地区进行针对性相对较高的订正,从而在一定程度上有效解决地面站点分布不均、部分地区缺乏降水数据的问题。本发明通过订正得到一套精度较高的降水数据集,从而更好地服务于当地的降水预报、水文模拟等工作。The present invention provides a window sliding GPM data correction method considering spatial distribution. The present invention can take into account the temporal and spatial distribution characteristics of satellite precipitation data and use the ground station measured precipitation data as a reference to locally correct the grid data to reduce the correction error. Make the correction result have relatively high precision. The present invention can take into account the relative positional relationship between satellite grids and ground observation stations, and perform relatively high-targeted corrections for different areas, thereby effectively solving the problems of uneven distribution of ground stations and lack of precipitation data in some areas to a certain extent. The present invention obtains a set of high-precision precipitation data sets through correction, thereby better serving local precipitation forecasting, hydrological simulation and other work.
以上所述仅是本发明的优选实施方式,应当指出,对于本技术领域的普通技术人员来说,在不脱离本发明原理的前提下,还可以做出若干改进和润饰,这些改进和润饰也应视本发明的保护范围。The above are only the preferred embodiments of the present invention. It should be pointed out that for those skilled in the art, without departing from the principles of the present invention, several improvements and modifications can be made. It should be regarded as the protection scope of the present invention.
| Application Number | Priority Date | Filing Date | Title |
|---|---|---|---|
| CN202111333763.4ACN114020725B (en) | 2021-11-11 | 2021-11-11 | Window sliding GPM data correction method considering spatial distribution |
| Application Number | Priority Date | Filing Date | Title |
|---|---|---|---|
| CN202111333763.4ACN114020725B (en) | 2021-11-11 | 2021-11-11 | Window sliding GPM data correction method considering spatial distribution |
| Publication Number | Publication Date |
|---|---|
| CN114020725A CN114020725A (en) | 2022-02-08 |
| CN114020725Btrue CN114020725B (en) | 2022-04-22 |
| Application Number | Title | Priority Date | Filing Date |
|---|---|---|---|
| CN202111333763.4AActiveCN114020725B (en) | 2021-11-11 | 2021-11-11 | Window sliding GPM data correction method considering spatial distribution |
| Country | Link |
|---|---|
| CN (1) | CN114020725B (en) |
| Publication number | Priority date | Publication date | Assignee | Title |
|---|---|---|---|---|
| CN119003513B (en)* | 2024-10-18 | 2025-07-01 | 南京大桥机器有限公司 | Method for quickly correcting weather grid by using weather detection data of unmanned aerial vehicle |
| Publication number | Priority date | Publication date | Assignee | Title |
|---|---|---|---|---|
| CN103530499A (en)* | 2013-08-29 | 2014-01-22 | 西南林业大学 | Method for building mountainous area surface temperature base line and application |
| CN103810376A (en)* | 2014-01-17 | 2014-05-21 | 浙江大学 | Ground daily rainfall predicting method based on satellite remote sensing and regression Kriging |
| CN105550423A (en)* | 2015-12-09 | 2016-05-04 | 浙江大学 | CMORPH satellite precipitation data downscaling method based on Fuzzy-OLS (Ordinary Least Squares) |
| CN105975791A (en)* | 2016-05-20 | 2016-09-28 | 南京信息工程大学 | Sparse region rainfall estimation fusion method based on dual-smoothing method |
| CN111078678A (en)* | 2019-12-18 | 2020-04-28 | 中国气象局乌鲁木齐沙漠气象研究所 | Satellite precipitation data correction method based on multi-source information fusion and scale reduction |
| CN111445085A (en)* | 2020-04-13 | 2020-07-24 | 中国水利水电科学研究院 | A medium and long-term runoff forecasting method considering the impact of water storage in medium and large reservoirs |
| CN111736148A (en)* | 2020-06-28 | 2020-10-02 | 国家海洋环境预报中心 | Method for correcting sea wave effective wave height of satellite radar altimeter and related device |
| CN113205155A (en)* | 2021-05-27 | 2021-08-03 | 中国水利水电科学研究院 | Multi-source precipitation data fusion method based on partition self-adaptive weight |
| Publication number | Priority date | Publication date | Assignee | Title |
|---|---|---|---|---|
| US11783911B2 (en)* | 2014-07-30 | 2023-10-10 | Sequenom, Inc | Methods and processes for non-invasive assessment of genetic variations |
| US10402044B2 (en)* | 2014-10-28 | 2019-09-03 | Apana Inc. | Systems and methods for resource consumption analytics |
| CN106021872A (en)* | 2016-05-10 | 2016-10-12 | 浙江大学 | Dynamic filtering modeling downscaling method of environment variable on the basis of low-resolution satellite remote sensing data |
| CN108647740A (en)* | 2018-05-16 | 2018-10-12 | 河海大学 | The method for carrying out multi-source precipitation fusion using high-resolution landform and meteorological factor |
| CN110118982B (en)* | 2019-04-12 | 2022-11-25 | 大连理工大学 | A Correction Method of Satellite Precipitation Data Based on Spatial Optimal Interpolation |
| CN111985389B (en)* | 2020-08-18 | 2023-05-16 | 中国电建集团成都勘测设计研究院有限公司 | Basin similarity discrimination method based on basin attribute distance |
| CN112199840B (en)* | 2020-09-30 | 2021-07-06 | 国家海洋环境预报中心 | Numerical-mode sea-surface wind speed correction method and device, electronic equipment and storage medium |
| CN113222283B (en)* | 2021-05-31 | 2023-12-26 | 中国水利水电科学研究院 | Mountain torrent forecasting and early warning method and system based on digital twinning |
| CN113496104B (en)* | 2021-07-16 | 2024-03-22 | 中科技术物理苏州研究院 | Precipitation prediction correction method and system based on deep learning |
| Publication number | Priority date | Publication date | Assignee | Title |
|---|---|---|---|---|
| CN103530499A (en)* | 2013-08-29 | 2014-01-22 | 西南林业大学 | Method for building mountainous area surface temperature base line and application |
| CN103810376A (en)* | 2014-01-17 | 2014-05-21 | 浙江大学 | Ground daily rainfall predicting method based on satellite remote sensing and regression Kriging |
| CN105550423A (en)* | 2015-12-09 | 2016-05-04 | 浙江大学 | CMORPH satellite precipitation data downscaling method based on Fuzzy-OLS (Ordinary Least Squares) |
| CN105975791A (en)* | 2016-05-20 | 2016-09-28 | 南京信息工程大学 | Sparse region rainfall estimation fusion method based on dual-smoothing method |
| CN111078678A (en)* | 2019-12-18 | 2020-04-28 | 中国气象局乌鲁木齐沙漠气象研究所 | Satellite precipitation data correction method based on multi-source information fusion and scale reduction |
| CN111445085A (en)* | 2020-04-13 | 2020-07-24 | 中国水利水电科学研究院 | A medium and long-term runoff forecasting method considering the impact of water storage in medium and large reservoirs |
| CN111736148A (en)* | 2020-06-28 | 2020-10-02 | 国家海洋环境预报中心 | Method for correcting sea wave effective wave height of satellite radar altimeter and related device |
| CN113205155A (en)* | 2021-05-27 | 2021-08-03 | 中国水利水电科学研究院 | Multi-source precipitation data fusion method based on partition self-adaptive weight |
| Title |
|---|
| Regional Rainfall Prediction Using Support Vector Machine Classification of Large-Scale Precipitation Maps;Eslam Hussein et al.;《2020 IEEE 23rd International Conference on Information Fusion (FUSION)》;20200910;1-8* |
| 青藏高原地区卫星降水数据时空降尺度研究;马自强;《中国博士学位论文全文数据库 基础科学辑》;20180215;A009-1* |
| Publication number | Publication date |
|---|---|
| CN114020725A (en) | 2022-02-08 |
| Publication | Publication Date | Title |
|---|---|---|
| US11333796B2 (en) | Spatial autocorrelation machine learning-based downscaling method and system of satellite precipitation data | |
| CN111401602B (en) | Assimilation method for satellite and ground rainfall measurement values based on neural network | |
| CN112965146B (en) | Quantitative precipitation estimation method combining meteorological radar and rainfall barrel observation data | |
| CN109255100B (en) | Urban rainfall inversion method based on microwave attenuation characteristic response fingerprint identification | |
| CN110275184B (en) | GNSS occultation ionosphere residual error correction method, system, equipment and storage medium | |
| CN111737850B (en) | Multi-source satellite AOD fusion method based on uncertainty on pixel scale | |
| CN111242404B (en) | A method and system for extreme evaluation of flood events induced by heavy rainfall | |
| CN110275183B (en) | GNSS occultation ionosphere residual error correction method and system based on ionosphere electron density | |
| CN105069295B (en) | Satellite and surface precipitation measured value assimilation method based on Kalman filtering | |
| Wang et al. | Image misregistration error in change measurements | |
| CN116910041B (en) | Daily correction method for remote sensing precipitation product based on scale analysis | |
| CN114936201B (en) | Satellite precipitation data correction method based on self-adaptive blocking neural network model | |
| CN115357847A (en) | A daily-scale satellite-terrestrial precipitation fusion method based on error decomposition | |
| CN105975791A (en) | Sparse region rainfall estimation fusion method based on dual-smoothing method | |
| CN117933308B (en) | Regional soil erosion vulnerability evaluation method based on combined weighting method | |
| CN114020725B (en) | Window sliding GPM data correction method considering spatial distribution | |
| CN104992054A (en) | Method for forecasting ionospheric vertical total electron content based on time-series two-dimensionalization | |
| CN107341824A (en) | A method for generating comprehensive evaluation index for image registration | |
| CN111308468B (en) | Method for automatically identifying deformation risk area based on InSAR technology | |
| Kim et al. | An effective algorithm of outlier correction in space–time radar rainfall data based on the iterative localized analysis | |
| CN115454984A (en) | Satellite precipitation data correction method with self-adjusting window | |
| CN117114227A (en) | Method and device for evaluating vulnerability of areas with different scales | |
| CN116383701A (en) | A method for rain detection of microwave links based on learning and reconstruction | |
| CN113269403B (en) | Landscape connectivity acquisition method and system supporting two-way change of habitat | |
| CN114880954A (en) | A method for evaluating landslide susceptibility based on machine learning |
| Date | Code | Title | Description |
|---|---|---|---|
| PB01 | Publication | ||
| PB01 | Publication | ||
| SE01 | Entry into force of request for substantive examination | ||
| SE01 | Entry into force of request for substantive examination | ||
| GR01 | Patent grant | ||
| GR01 | Patent grant |