Movatterモバイル変換


[0]ホーム

URL:


CN114002547A - Secondary multipoint earth fault judgment equipment and analysis algorithm for mutual inductor - Google Patents

Secondary multipoint earth fault judgment equipment and analysis algorithm for mutual inductor
Download PDF

Info

Publication number
CN114002547A
CN114002547ACN202111241917.7ACN202111241917ACN114002547ACN 114002547 ACN114002547 ACN 114002547ACN 202111241917 ACN202111241917 ACN 202111241917ACN 114002547 ACN114002547 ACN 114002547A
Authority
CN
China
Prior art keywords
signal
data
sampling
microcontroller chip
mutual inductor
Prior art date
Legal status (The legal status is an assumption and is not a legal conclusion. Google has not performed a legal analysis and makes no representation as to the accuracy of the status listed.)
Granted
Application number
CN202111241917.7A
Other languages
Chinese (zh)
Other versions
CN114002547B (en
Inventor
覃宗树
黄延成
刘波
黄卫东
张华�
张亮
章勇
覃睿
郭樱
吕祥昕
田波
李晓东
崔远国
段昌明
张悦
Current Assignee (The listed assignees may be inaccurate. Google has not performed a legal analysis and makes no representation or warranty as to the accuracy of the list.)
Enshi Power Supply Co of State Grid Hubei Electric Power Co Ltd
Original Assignee
Enshi Power Supply Co of State Grid Hubei Electric Power Co Ltd
Priority date (The priority date is an assumption and is not a legal conclusion. Google has not performed a legal analysis and makes no representation as to the accuracy of the date listed.)
Filing date
Publication date
Application filed by Enshi Power Supply Co of State Grid Hubei Electric Power Co LtdfiledCriticalEnshi Power Supply Co of State Grid Hubei Electric Power Co Ltd
Priority to CN202111241917.7ApriorityCriticalpatent/CN114002547B/en
Publication of CN114002547ApublicationCriticalpatent/CN114002547A/en
Application grantedgrantedCritical
Publication of CN114002547BpublicationCriticalpatent/CN114002547B/en
Activelegal-statusCriticalCurrent
Anticipated expirationlegal-statusCritical

Links

Images

Classifications

Landscapes

Abstract

The invention provides secondary multipoint ground fault judgment equipment for a mutual inductor, which comprises a signal generator, a first Hall current sensor, a second Hall current sensor and a second Hall current sensor, wherein the signal generator is used for collecting current injected into an N600 line; the secondary output of the first Hall current sensor passes through a low-pass filter and then enters a microcontroller chip; the microcontroller chip collects a primary low-frequency small current signal; the injected low-frequency small signal can not cause frequency deviation because of the distributed capacitance of the secondary N600 line of the mutual inductor, and the signal is not distorted.

Description

Secondary multipoint earth fault judgment equipment and analysis algorithm for mutual inductor
Technical Field
The invention relates to the field of transformer substation secondary circuit measurement, in particular to a secondary multipoint ground fault judgment device and an analysis algorithm for a mutual inductor.
Background
The national grid company clearly stipulates in twenty-five key requirements for preventing electric power production accidents and GB/T14285 technical regulations for relay protection and safety automatic devices: the PT secondary loop only allows 1 point to be grounded, and the grounding point is preferably arranged in the control room; independent PT without electric connection with other mutual inductors can realize 1-point grounding in a switch factory.
When the N600 lines are grounded in the switch field and the control room respectively, if a short-circuit fault or a lightning stroke event occurs in a system, a transformer substation grounding grid may generate a large fault current, and a relatively obvious potential difference occurs at two ends of two N600 grounding points of the switch field and the control room, so that a phase deviation of neutral point voltage is caused, and amplitude and phase of voltage and zero sequence voltage are influenced, thereby causing distance protection in a relay protection device, and the rejection and misoperation of zero sequence direction protection.
If the N600 grounding loop is in poor contact or the switch is broken, the voltage phase of the neutral point is shifted. The regulations stipulate that on the voltage transformer switching screen of the control room, the grounding of the secondary winding must be connected to the grounding copper bar of the screen cabinet through respective leads, and the serial connection method cannot be adopted. Although various regulations define the wiring method of the N600 grounding wire in the currently running transformer substation, the number of secondary common loops of PT for relay protection is gradually increased due to the updating and transformation of internal equipment of the transformer substation, the updating of a field voltage transformer, a current transformer, protection equipment and the like, and the multipoint ground fault phenomenon is mainly caused by the following main reasons.
If the experience of constructors is insufficient, the secondary N line of each voltage transformer is grounded directly by mistake;
secondary cable insulation aging or animal bite damage cable insulation layer to cause grounding;
the discharge of the neutral point of the switching field secondary winding is intermittent or the zinc oxide valve plate is broken down to cause grounding.
The existing multipoint ground fault judging technology has the following problems:
1) the function is incomplete, the normal operation of the secondary system can be influenced, only whether a fault occurs or not can be judged, the fault point cannot be judged, and in addition, 50Hz is injected, the normal operation of the secondary system can be influenced, and the measurement error of a metering loop can be brought;
2) the operation is complex, the field is difficult to implement, the invention needs to pull each phase of each PT to connect the cable to the device, because the number of the transformer substations PT is large and the PT are distributed at different positions of the transformer substations, the operation is extremely complex, in addition, the device can not be implemented in an operating state, and the transformer substations need to be powered off for operation;
3) some of the inventive criteria are too complex and unreliable and not conducive to circuit and program implementation.
Disclosure of Invention
The invention aims to overcome the defects of the prior art, and provides a secondary multipoint earth fault judgment device and an analysis algorithm for a mutual inductor,
in order to achieve the purpose, the invention adopts the following technical scheme:
the invention provides a secondary multipoint earth fault judging device for a mutual inductor, which comprises
The signal generator collects current injected into the N600 line through the first Hall current sensor;
the secondary output of the first Hall current sensor passes through a low-pass filter and then enters a microcontroller chip;
the microcontroller chip collects primary low-frequency small current signals.
Further, after receiving a sampling start command sent by the signal collector, the signal generator starts a timer to start sampling;
and after the data of 256 points are collected, stopping the timer, storing the data in an SRAM (static random access memory) in the microcontroller chip, waiting for receiving a data reading command of a signal collector, and sending the data out through an SI4432 chip connected with an SPI (serial peripheral interface) of the microcontroller chip after receiving the command.
Further, also comprises
And the signal collector is used for collecting a current signal on a secondary N600 line branch of the mutual inductor through the second Hall current sensor, and a secondary output of the second Hall current sensor enters the microcontroller chip after passing through the low-pass filter.
Further, after the signal collector sends a sampling start command to the signal generator through an SI4432 chip connected with the microcontroller chip, the signal collector starts sampling.
Further, after the signal collector collects enough 256 points of data, the timer is stopped, and the data are stored in an SRAM of the microcontroller chip.
The invention also provides a secondary multipoint ground fault judgment analysis algorithm for the mutual inductor, which is realized by equipment, and is used for sending a data reading command to the signal generator, setting 256 points of data collected by the signal collector as x (n) after receiving 256 sampling data sent by the signal generator, setting the 256 points of data sent by the signal generator as y (n), and carrying out signal processing according to the following procedures;
s1, according to each group of 64-point data, performing multiple singular value decomposition on the sampling sequences x (n), y (n) respectively;
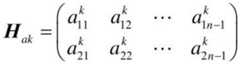
let k be 1, then construct Hk matrix in Hankel matrix form from the sampling sequence:
Figure BDA0003319491850000031
Figure BDA0003319491850000032
Figure BDA0003319491850000033
wherein HakIs an approximate matrix, reflecting the main components of the signal; hdkFor the detail matrix, the detail components of the signal are reflected, and an approximate signal A is obtainedkAnd a detail signal Dk
Figure BDA0003319491850000041
Figure BDA0003319491850000042
Wherein, in the formula:
Figure BDA0003319491850000043
Figure BDA0003319491850000044
Figure BDA0003319491850000045
Figure BDA0003319491850000046
let k be k +1 and Hk be AkRepeating the above process until k is 6, wherein the noise component is small;
s2, selecting the D obtained in the S1kThe first singular signal moment in (b) is a time starting point, and then a obtained in the previous step is taken as a according to the time starting pointkSelecting 64 values for subsequent correlation analysis;
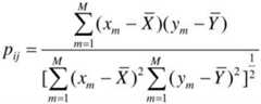
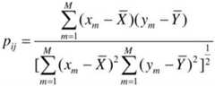
s3, calculating by product distance correlation coefficient method
Figure BDA0003319491850000047
Wherein, M is the recording length of the related signal, and 64 is taken; x and y are signal vectors respectively; x is the number ofmAnd ymThe m-th elements of the x and y vectors, respectively;
Figure BDA0003319491850000048
and
Figure BDA0003319491850000049
the average of each element of x and y, respectively;
s4, in order to solve errors caused by asynchronism of two groups of data sampling, the x vector is unchanged, a data point is moved in a forward direction of a y vector data window, cross correlation coefficients Pij are obtained through calculation, 64 times of data window movement of the y vector is carried out, 64 cross correlation coefficients Pij are obtained, and the largest cross correlation coefficient Pij is selected as the final judgment basis.
Further, the value range of the cross-correlation coefficient Pij is [ -1,1 ];
+1 indicates 100% positive correlation of the two signals, -1 indicates 100% negative correlation of the two signals;
0 means zero correlation, i.e. the two signals are completely independent and have no relation;
and if the cross correlation coefficient of the two groups of data is more than 0.8, the branch where the signal collector is located is considered to have a multipoint ground fault.
The invention has the beneficial effects that: the injected low-frequency small signal does not cause frequency deviation because of the distributed capacitance of the secondary N600 line of the transformer (the lower the frequency is, the larger the impedance of the capacitance is), and the signal is not distorted.
The injected low-frequency small signals cannot influence the measurement result of the relay protection device of the transformer substation, cannot cause misoperation of the relay protection device, and cannot cause measurement errors of the metering device, because the low-frequency small signals cannot be coupled through sampling transformers in the devices, and the built-in transformers are suitable for signal measurement of 50Hz and above
And the noise in the sampled data is reduced and the signal-to-noise ratio is greatly improved by adopting a multi-time singular value decomposition method. Making the criterion margin higher.
And the influence of zero drift of current sampling is eliminated by adopting a Pearson product distance correlation coefficient method, and whether multipoint ground faults occur or not and the fault points are judged in a frequency domain range. Therefore, the problems that when the amplitude is used for judgment, and multipoint grounding possibly exists, each branch has a shunting function and current amplitude data are unstable are solved, and when the multipoint grounding exists, the frequency of a current signal is unchanged.
By adopting cross-correlation calculation, the problem that fault judgment is possibly misjudged due to the existence of N600 line current caused by the three-phase imbalance of the line can be avoided.
Drawings
FIG. 1 is a flowchart of the signal generator process of the present invention;
FIG. 2 is a flowchart of the signal detector process of the present invention.
Detailed Description
In order to make the objects, technical solutions and advantages of the present invention more apparent, the present invention is further described in detail below with reference to the accompanying drawings. It should be understood that the specific embodiments described herein are merely illustrative of the invention and are not intended to limit the invention.
Referring to fig. 1 and 2, a secondary multipoint ground fault determining apparatus for a transformer includes
The signal generator collects current injected into the N600 line through the first Hall current sensor;
the secondary output of the first Hall current sensor passes through a low-pass filter and then enters a microcontroller chip;
the microcontroller chip collects primary low-frequency small current signals.
After the signal generator receives a sampling starting command sent by the signal collector, a timer is started to start sampling;
and after the data of 256 points are collected, stopping the timer, storing the data in an SRAM (static random access memory) in the microcontroller chip, waiting for receiving a data reading command of a signal collector, and sending the data out through an SI4432 chip connected with an SPI (serial peripheral interface) of the microcontroller chip after receiving the command.
The secondary output of the second Hall current sensor passes through the low-pass filter and then enters the microcontroller chip.
And after the signal collector sends a sampling starting command to the signal generator through an SI4432 chip connected with the microcontroller chip, the signal collector starts sampling.
And after the signal collector collects enough 256 points of data, the timer is stopped, and the data are stored in an SRAM of the microcontroller chip.
The specific implementation mode of the invention is that the signal generator is responsible for injecting low-frequency small signals of 0.5Hz and 10mA into a secondary N600 line of the transformer, meanwhile, the signal generator collects the current injected into the N600 line through the first Hall current sensor, the secondary output of the Hall current sensor 1 enters a 12-bit analog-to-digital converter pin integrated with a microcontroller chip MSP430F5438A after passing through a low-pass filter with-3 db cut-off frequency of about 0.3Hz, which is composed of a 20k omega resistor and a 27uf capacitor, and the interrupt cycle time of the MSP430F5438A Timer _ A is set as 31.25ms. in an interrupt service program of the Timer, so as to collect the low-frequency small current signals once.
After receiving a sampling start command sent by the signal collector, the signal generator starts a Timer _ a to start sampling. And when the data of 256 points are collected, stopping the Timer _ A, storing the data in an SRAM (static random access memory) in the micro-controller chip MSP430F5438A, waiting for receiving a data reading command of the signal collector, and sending the data out through an SI4432 chip connected with an SPI (serial peripheral interface) of the micro-controller chip MSP430F5438A after receiving the command.
The signal collector collects current signals on a secondary N600 line branch of the transformer through the second Hall current sensor, the secondary output of the Hall current sensor 2 enters a 12-bit analog-to-digital converter pin integrated by a microcontroller chip MSP430F5438A after passing through a low-pass filter which is composed of a 20k omega resistor and a 27uf capacitor and has a-3 db cutoff frequency of about 0.3Hz, and the interrupt cycle time of the MSP430F5438A Timer _ A is set to be 31.25ms. in an interrupt service program of the Timer, and the low-frequency small current signals are collected once. After the signal collector sends a sampling start command to the signal generator through the SI4432 chip connected with the SPI interface of the microcontroller chip MSP430F5438A, the signal collector itself starts sampling, and stops the Timer _ A after collecting enough 256 points of data, and stores the data in the SRAM inside the microcontroller chip MSP430F 5438A.
The utility model provides a be used for mutual-inductor secondary multiple spot earth fault to judge analysis algorithm realizes through equipment which characterized in that: sending a data reading command to a signal generator, setting 256 points of data collected by a signal collector as x (n) after receiving 256 sampling data sent by the signal generator, setting the 256 points of data sent by the signal generator as y (n), and carrying out signal processing according to the following flow;
s1, according to each group of 64-point data, performing multiple singular value decomposition on the sampling sequences x (n), y (n) respectively;
let k be 1, then construct Hk matrix in Hankel matrix form from the sampling sequence:
Figure BDA0003319491850000081
Figure BDA0003319491850000082
Figure BDA0003319491850000083
wherein HakIs an approximate matrix, reflecting the main components of the signal; hdkFor the detail matrix, the detail components of the signal are reflected, and an approximate signal A is obtainedkAnd a detail signal Dk
Figure BDA0003319491850000084
Figure BDA0003319491850000085
Wherein, in the formula:
Figure BDA0003319491850000086
Figure BDA0003319491850000087
Figure BDA0003319491850000088
Figure BDA0003319491850000089
let k be k +1 and Hk be AkRepeating the above process until k is 6, wherein the noise component is small;
s2, selecting the D obtained in the S1kThe first singular signal moment in (b) is a time starting point, and then a obtained in the previous step is taken as a according to the time starting pointkSelecting 64 values for subsequent correlation analysis;
s3, calculating by product distance correlation coefficient method
Figure BDA0003319491850000091
Wherein, M is the recording length of the related signal, and 64 is taken; x and y are signal vectors respectively; x is the number ofmAnd ymThe m-th elements of the x and y vectors, respectively; x-and Y-are the average values of the respective elements of X and Y, respectively;
s4, in order to solve errors caused by asynchronism of two groups of data sampling, the x vector is unchanged, a data point is moved in a forward direction of a y vector data window, cross correlation coefficients Pij are obtained through calculation, 64 times of data window movement of the y vector is carried out, 64 cross correlation coefficients Pij are obtained, and the largest cross correlation coefficient Pij is selected as the final judgment basis.
The value range of the cross-correlation coefficient Pij is [ -1,1 ];
+1 indicates 100% positive correlation of the two signals, -1 indicates 100% negative correlation of the two signals;
0 means zero correlation, i.e. the two signals are completely independent and have no relation;
and if the cross correlation coefficient of the two groups of data is more than 0.8, the branch where the signal collector is located is considered to have a multipoint ground fault.
The above-mentioned embodiments only express the embodiments of the present invention, and the description thereof is more specific and detailed, but not construed as limiting the scope of the present invention. It should be noted that, for a person skilled in the art, several variations and modifications can be made without departing from the inventive concept, which falls within the scope of the present invention. Therefore, the protection scope of the present patent shall be subject to the appended claims.

Claims (7)

1. The utility model provides a be used for mutual-inductor secondary multiple spot earth fault decision equipment which characterized in that: comprises that
The signal generator collects current injected into the N600 line through the first Hall current sensor;
the secondary output of the first Hall current sensor passes through a low-pass filter and then enters a microcontroller chip;
the microcontroller chip collects primary low-frequency small current signals.
2. The secondary multipoint ground fault determining apparatus for mutual inductor according to claim 1, characterized in that: after the signal generator receives a sampling starting command sent by the signal collector, a timer is started to start sampling;
and after the data of 256 points are collected, stopping the timer, storing the data in an SRAM (static random access memory) in the microcontroller chip, waiting for receiving a data reading command of a signal collector, and sending the data out through an SI4432 chip connected with an SPI (serial peripheral interface) of the microcontroller chip after receiving the command.
3. The secondary multipoint ground fault determination device for the mutual inductor according to claim 2, characterized in that: also comprises
And the signal collector is used for collecting a current signal on a secondary N600 line branch of the mutual inductor through the second Hall current sensor, and a secondary output of the second Hall current sensor enters the microcontroller chip after passing through the low-pass filter.
4. The apparatus according to claim 3, wherein: and after the signal collector sends a sampling starting command to the signal generator through an SI4432 chip connected with the microcontroller chip, the signal collector starts sampling.
5. The device for determining the secondary multipoint ground fault of the mutual inductor according to claim 4, wherein: and after the signal collector collects enough 256 points of data, the timer is stopped, and the data are stored in an SRAM of the microcontroller chip.
6. A secondary multipoint earth fault decision analysis algorithm for a transformer implemented by the apparatus of any of claims 1 to 5, characterized by: sending a data reading command to a signal generator, setting 256 points of data collected by a signal collector as x (n) after receiving 256 sampling data sent by the signal generator, setting the 256 points of data sent by the signal generator as y (n), and carrying out signal processing according to the following flow;
s1, according to each group of 64-point data, performing multiple singular value decomposition on the sampling sequences x (n), y (n) respectively;
let k be 1, then construct Hk matrix in Hankel matrix form from the sampling sequence:
Figure FDA0003319491840000021
Figure FDA0003319491840000022
Figure FDA0003319491840000023
wherein HakIs an approximate matrix, reflecting the main components of the signal; hdkFor the detail matrix, the detail components of the signal are reflected, and an approximate signal A is obtainedkAnd a detail signal Dk
Figure FDA0003319491840000024
Figure FDA0003319491840000025
Wherein, in the formula:
Figure FDA0003319491840000026
Figure FDA0003319491840000027
Figure FDA0003319491840000028
Figure FDA0003319491840000029
let k be k +1 and Hk be AkRepeating the above process until k is 6, wherein the noise component is small;
s2, selecting the D obtained in the S1kThe first singular signal moment in (b) is a time starting point, and then a obtained in the previous step is taken as a according to the time starting pointkSelecting 64 values for subsequent correlation analysis;
s3, calculating by product distance correlation coefficient method
Figure FDA0003319491840000031
Wherein, M is the recording length of the related signal, and 64 is taken; x and y are signal vectors respectively; x is the number ofmAnd ymThe m-th elements of the x and y vectors, respectively;
Figure FDA0003319491840000032
and
Figure FDA0003319491840000033
the average of each element of x and y, respectively;
s4, in order to solve errors caused by asynchronism of two groups of data sampling, the x vector is unchanged, a data point is moved in a forward direction of a y vector data window, cross correlation coefficients Pij are obtained through calculation, 64 times of data window movement of the y vector is carried out, 64 cross correlation coefficients Pij are obtained, and the largest cross correlation coefficient Pij is selected as the final judgment basis.
7. The secondary multipoint earth fault decision analysis algorithm for the mutual inductor according to claim 6, wherein:
the value range of the cross-correlation coefficient Pij is [ -1,1 ];
+1 indicates 100% positive correlation of the two signals, -1 indicates 100% negative correlation of the two signals;
0 means zero correlation, i.e. the two signals are completely independent and have no relation;
and if the cross correlation coefficient of the two groups of data is more than 0.8, the branch where the signal collector is located is considered to have a multipoint ground fault.
CN202111241917.7A2021-10-252021-10-25Equipment for judging secondary multipoint ground fault of transformer and analysis algorithmActiveCN114002547B (en)

Priority Applications (1)

Application NumberPriority DateFiling DateTitle
CN202111241917.7ACN114002547B (en)2021-10-252021-10-25Equipment for judging secondary multipoint ground fault of transformer and analysis algorithm

Applications Claiming Priority (1)

Application NumberPriority DateFiling DateTitle
CN202111241917.7ACN114002547B (en)2021-10-252021-10-25Equipment for judging secondary multipoint ground fault of transformer and analysis algorithm

Publications (2)

Publication NumberPublication Date
CN114002547Atrue CN114002547A (en)2022-02-01
CN114002547B CN114002547B (en)2024-02-02

Family

ID=79923798

Family Applications (1)

Application NumberTitlePriority DateFiling Date
CN202111241917.7AActiveCN114002547B (en)2021-10-252021-10-25Equipment for judging secondary multipoint ground fault of transformer and analysis algorithm

Country Status (1)

CountryLink
CN (1)CN114002547B (en)

Citations (8)

* Cited by examiner, † Cited by third party
Publication numberPriority datePublication dateAssigneeTitle
US20080215278A1 (en)*2006-07-142008-09-04Square D CompanyMethod and system of calibrating sensing components in a circuit breaker system
CN102621451A (en)*2012-03-282012-08-01北京水木源华电气有限公司Distribution line single-phase grounding fault detecting method and system based on instantaneous signal method
CN103454528A (en)*2013-08-302013-12-18华南理工大学Method for detecting and identifying electric system element fault based on form singular entropy
CN103513150A (en)*2013-09-172014-01-15广东电网公司东莞供电局Device and method for detecting multipoint earthing of voltage transformer for electric system
CN104360215A (en)*2014-11-122015-02-18江苏省电力公司淮安供电公司Detection device for multi-point earthing fault of small bus N600
CN105486975A (en)*2015-11-202016-04-13国家电网公司Single-phase earth fault detection method of 10kV distribution network
CN108535572A (en)*2018-05-102018-09-14长沙理工大学Metering system secondary circuit monitoring method and device based on fundamental wave zero sequence feature
CN113253047A (en)*2021-04-192021-08-13南京南瑞继保电气有限公司Single-phase grounding line selection method and device, electronic equipment and storage medium

Patent Citations (8)

* Cited by examiner, † Cited by third party
Publication numberPriority datePublication dateAssigneeTitle
US20080215278A1 (en)*2006-07-142008-09-04Square D CompanyMethod and system of calibrating sensing components in a circuit breaker system
CN102621451A (en)*2012-03-282012-08-01北京水木源华电气有限公司Distribution line single-phase grounding fault detecting method and system based on instantaneous signal method
CN103454528A (en)*2013-08-302013-12-18华南理工大学Method for detecting and identifying electric system element fault based on form singular entropy
CN103513150A (en)*2013-09-172014-01-15广东电网公司东莞供电局Device and method for detecting multipoint earthing of voltage transformer for electric system
CN104360215A (en)*2014-11-122015-02-18江苏省电力公司淮安供电公司Detection device for multi-point earthing fault of small bus N600
CN105486975A (en)*2015-11-202016-04-13国家电网公司Single-phase earth fault detection method of 10kV distribution network
CN108535572A (en)*2018-05-102018-09-14长沙理工大学Metering system secondary circuit monitoring method and device based on fundamental wave zero sequence feature
CN113253047A (en)*2021-04-192021-08-13南京南瑞继保电气有限公司Single-phase grounding line selection method and device, electronic equipment and storage medium

Non-Patent Citations (2)

* Cited by examiner, † Cited by third party
Title
王斌;方青;薛玉峰;程志辉;: "小波变换在直流接地故障检测中的应用及其在LabVIEW平台的实现", 制造业自动化, no. 14, pages 105 - 108*
王韶;朱姜峰;: "基于改进相关性分析法的配电网络单相接地故障选线", 电力系统保护与控制, no. 15, pages 76 - 81*

Also Published As

Publication numberPublication date
CN114002547B (en)2024-02-02

Similar Documents

PublicationPublication DateTitle
CN106199341B (en)Fault line identification method and device under single-phase fault grounding working condition
CN109444644B (en)Transient component differential-based power distribution network single-phase earth fault line selection method
CN101551432B (en)Power distribution network fault positioning method
CN109494696B (en) Asymmetric fault location and isolation method and system for distribution network based on adaptive reclosing
CN106980069B (en)High-resistance grounding fault positioning method based on transient current projection coefficient difference comparison
CN105790239A (en)High-voltage direct-current power transmission line non-unit protection method based on S transformation
CN201408236Y (en) Distribution Network Fault Location Device
CN104280644B (en)Direct-current transmission project typical transient fault recognizing method
CN113300343B (en)Flexible direct-current power grid fault line identification method based on cosine similarity
CN106997016A (en)A kind of low-voltage distributing line disconnection fault recognition methods and device
CN101478150A (en)Intelligent diagnosis method and apparatus for power transmission and distribution line state
CN111342425A (en)Residual current operated circuit breaker and platform area network topology identification method
CN114609468A (en)Power distribution network single-phase earth fault interval discrimination method based on cloud edge terminal cooperation
CN102148495B (en)Single-phase earth fault self-healing device and system
CN113466739A (en)Direct current system instantaneous grounding monitoring recorder and method
CN112363085A (en)Intelligent substation PT disconnection identification method and device
CN111381127A (en)Method and device for single-phase earth fault and insulation monitoring of mine power supply system
CN110542829A (en)direct-current grounding judgment device and method for power distribution network below 35kV
CN110672972B (en) A fault location and isolation method for flexible DC distribution network
CN106569096B (en)Online positioning method for single-phase fault of power distribution network
CN206096341U (en)Be applied to fault line recognition device under distribution network single -phase fault ground connection operating mode
CN113884817A (en)Single-phase earth fault grounding searching method for small current grounding system
CN103217598B (en)With the transmission line of electricity single-phase intelligent reclosing non-fault recognition methods of shunt reactor
CN114002547A (en)Secondary multipoint earth fault judgment equipment and analysis algorithm for mutual inductor
CN208314024U (en)A kind of high-voltage circuitbreaker second trial interface arrangement

Legal Events

DateCodeTitleDescription
PB01Publication
PB01Publication
SE01Entry into force of request for substantive examination
SE01Entry into force of request for substantive examination
GR01Patent grant
GR01Patent grant

[8]ページ先頭

©2009-2025 Movatter.jp