Movatterモバイル変換


[0]ホーム

URL:


CN113962947B - Storage method and device suitable for fluorescence tomography image and incisal margin information - Google Patents

Storage method and device suitable for fluorescence tomography image and incisal margin information
Download PDF

Info

Publication number
CN113962947B
CN113962947BCN202111181005.5ACN202111181005ACN113962947BCN 113962947 BCN113962947 BCN 113962947BCN 202111181005 ACN202111181005 ACN 202111181005ACN 113962947 BCN113962947 BCN 113962947B
Authority
CN
China
Prior art keywords
information
shape
tumor
fluorescence tomography
recurrence
Prior art date
Legal status (The legal status is an assumption and is not a legal conclusion. Google has not performed a legal analysis and makes no representation as to the accuracy of the status listed.)
Active
Application number
CN202111181005.5A
Other languages
Chinese (zh)
Other versions
CN113962947A (en
Inventor
蔡惠明
卢露
Current Assignee (The listed assignees may be inaccurate. Google has not performed a legal analysis and makes no representation or warranty as to the accuracy of the list.)
Nanjing Nuoyuan Medical Devices Co Ltd
Original Assignee
Nanjing Nuoyuan Medical Devices Co Ltd
Priority date (The priority date is an assumption and is not a legal conclusion. Google has not performed a legal analysis and makes no representation as to the accuracy of the date listed.)
Filing date
Publication date
Application filed by Nanjing Nuoyuan Medical Devices Co LtdfiledCriticalNanjing Nuoyuan Medical Devices Co Ltd
Priority to CN202111181005.5ApriorityCriticalpatent/CN113962947B/en
Publication of CN113962947ApublicationCriticalpatent/CN113962947A/en
Application grantedgrantedCritical
Publication of CN113962947BpublicationCriticalpatent/CN113962947B/en
Activelegal-statusCriticalCurrent
Anticipated expirationlegal-statusCritical

Links

Images

Classifications

Landscapes

Abstract

The invention provides a storage method, a device and a storage medium suitable for fluorescence tomography images and incisal edge information, comprising the following steps: receiving a plurality of fluorescence tomography images and marking data for marking the fluorescence tomography images, wherein the marking data at least comprises part information, incisal margin information and recurrence information; classifying the fluorescence tomography images based on the position information to obtain a plurality of first sets; obtaining shape information of the tumor according to the fluorescence tomography images, classifying the first set based on the shape information to obtain second sets, wherein each second set has fluorescence tomography images with similar shape information; classifying the second set based on the incisal edge information to obtain third sets, wherein each third set has fluorescence tomography images with similar incisal edge information; classifying the fluorescence tomography images in the third sets based on the recurrence information to obtain the recurrence rate of each third set, and storing the third sets and the recurrence rate.

Description

Storage method and device suitable for fluorescence tomography image and incisal margin information
Technical Field
The present invention relates to data storage technologies, and in particular, to a method, an apparatus, and a storage medium suitable for storing fluorescence tomographic images and margin information.
Background
With the progress of medical treatment level and the improvement of living standard of people, the detection rate of early lung cancer is higher and higher. Among various surgical schemes, although radical treatment can be guaranteed by lung lobe resection, the surgical trauma is large and the risk is high, and the application of the lung caner is more and more controversial for early lung cancer, especially small lung cancer less than 2 cm. In contrast, wedge resection or lung resection, although capable of complete resection of a tumor with minimal trauma, is often problematic and subject to significant morbidity.
The surgical margin is a long-used clinical index, and is only negative and cannot represent the thoroughness of tumor resection, and therefore, the concept of margin distance (margin distance) is applied.
The surgical incisal margin distance may be different in different scenes, such as the tumor location, the patient's age, the size of the tumor, etc., and how to judge the incisal margin distance of the current surgery according to the historical incisal margin experience is considered by the doctor and cannot be just a blind guess.
There is not a mode at present, can store fluorescence tomography and its incisal margin distance, make things convenient for the doctor to look back, look up.
Disclosure of Invention
The embodiment of the invention provides a storage method, a device and a storage medium suitable for a fluorescence tomography image and incisal margin information, which can be used for storing the fluorescence tomography image, the incisal margin information and other information of a patient, so that a doctor can conveniently review historical data and provide certain reference for current diagnosis and treatment.
In a first aspect of the embodiments of the present invention, a method for storing fluorescence tomography images and incisal edge information is provided, including:
receiving a plurality of fluorescence tomography images and marking data for marking the fluorescence tomography images, wherein the marking data at least comprises part information, incisal margin information and recurrence information;
classifying the fluorescence tomography images based on the position information to obtain a plurality of first sets, wherein each first set has the fluorescence tomography images with the same position information;
obtaining shape information of the tumor according to the fluorescence tomography images, classifying the first set based on the shape information to obtain second sets, wherein each second set has fluorescence tomography images with similar shape information;
classifying the second set based on the incisal edge information to obtain third sets, wherein each third set has fluorescence tomography images with similar incisal edge information;
classifying the fluorescence tomography images in the third sets based on the recurrence information to obtain the recurrence rate of each third set, and storing the third sets and the recurrence rate.
Optionally, in a possible implementation manner of the first aspect, obtaining shape information of a tumor according to the fluorescence tomography images, classifying the first set based on the shape information to obtain second sets, where each fluorescence tomography image with similar shape information includes:
presetting a plurality of basic shapes, wherein each basic shape corresponds to a second set;
acquiring a tumor region in the fluorescence tomography image to obtain a tumor shape, wherein the shape information comprises the tumor shape;
and comparing the tumor shape with the basic shape in sequence to obtain a second set corresponding to the basic shape with the highest similarity.
Optionally, in a possible implementation manner of the first aspect, sequentially comparing the tumor shape with the basic shapes to obtain a second set corresponding to a basic shape with the highest similarity includes:
obtaining a first number of intermediate pixel points of the tumor shape, and obtaining a second number of pixel points in the basic shape in each basic shape;
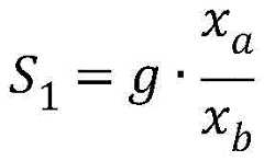
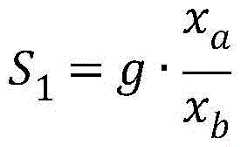
the change value of the tumor shape is determined by the following formula,
Figure GDA0004087616680000031
wherein x isa Is the first number, x, of the middle pixel points of the tumor shapeb Is a second number, S, of pixels within the base shape1 Is a variation value, g is a variation coefficient;
if said S is1 >1, reducing the shape of the tumor by S1 Obtaining the reduced tumor shape;
if said S is1 <1, magnifying the tumor shape S1 Multiplying to obtain the amplified tumor shape;
and comparing the reduced or enlarged tumor shape with the basic shape respectively to obtain a second set corresponding to the basic shape with the highest similarity.
Optionally, in a possible implementation manner of the first aspect, comparing the scaled-down or scaled-up tumor shape with the base shape respectively to obtain a second set corresponding to the base shape with the highest similarity includes:
acquiring the center of the reduced or enlarged current tumor shape to obtain a first central point;
obtaining the centers of a plurality of basic shapes to obtain a plurality of second central points;
the first central point and the second central point are respectively and correspondingly arranged to enable the tumor shape to be matched with the basic shape, and the number of pixel points of which the tumor shape is overlapped with the basic shape is obtained;
and taking the basic shape with the highest number of overlapped pixel points as the basic shape with the highest similarity of the current tumor shape.
Optionally, in a possible implementation manner of the first aspect, classifying the second set based on the incisal edge information to obtain third sets, where each of the fluorescence tomography images with similar incisal edge information in the third sets includes:
presetting a plurality of cutting edge threshold segments, wherein the cutting edge threshold segments respectively comprise the longest cutting edge and the shortest cutting edge corresponding to the threshold segments;
and acquiring the cutting edge information positioned in a certain cutting edge threshold segment to obtain a third set corresponding to the threshold segment, wherein the cutting edge information in each third set is used as similar cutting edge information.
Optionally, in a possible implementation manner of the first aspect, classifying the fluorescence tomography images in the third set based on the recurrence information, and obtaining the recurrence rate of each third set includes:
counting recurrence information corresponding to each piece of margin information in the third set, wherein the recurrence information comprises one of recurrence, non-recurrence and non-determination;
the first relapse rate was calculated by the following formula,
Figure GDA0004087616680000041
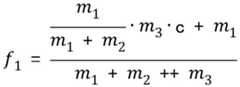
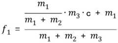
wherein m is1 Number of recurrent incisional information, m2 Number of non-recurrent incisional edges, m3 Is the number of undetermined incisal margin information, c is an undetermined weight value, wherein the undetermined is the surgical oneThe disease does not relapse within the preset time period from day to date.
Optionally, in a possible implementation manner of the first aspect, classifying the fluorescence tomography images in the third set based on the recurrence information, and obtaining the recurrence rate of each third set includes:
acquiring gender information included in the marking data, and respectively configuring gender information with different weights according to the part information corresponding to each third set;
a second recurrence rate for a third set of different site information is calculated by the following formula,
f2 =f1 ·K·V
wherein K is the gender weight and V is the part weight.
Optionally, in a possible implementation manner of the first aspect, the method further includes:
outputting a reminding signal when the number of the pixel points of which the tumor shapes are overlapped with each basic shape is respectively lower than a first number value;
receiving the basic shape newly configured by the administrator, and acquiring the number of pixel points of the newly configured basic shape which are overlapped with the tumor shape again;
if the number of the overlapped pixel points is larger than the first number value, taking the newly configured basic shape as the basic shape with the highest similarity with the tumor shape;
and if the number of the coincident pixel points is less than the first number value, the step of outputting the reminding signal is repeated.
In a second aspect of the embodiments of the present invention, there is provided a storage device suitable for a fluorescence tomographic image and incisal edge information, including:
the system comprises a receiving module, a judging module and a judging module, wherein the receiving module is used for receiving a plurality of fluorescence tomography images and marking data for marking the fluorescence tomography images, and the marking data at least comprises part information, margin information and recurrence information;
a first classification module, configured to classify the fluorescence tomography images based on the location information to obtain a plurality of first sets, where each first set has fluorescence tomography images with the same location information;
the second classification module is used for obtaining shape information of a tumor according to the fluorescence tomography images, classifying the first set based on the shape information to obtain second sets, and each second set has the fluorescence tomography images with similar shape information;
a third classification module, configured to classify the second set based on the margin information to obtain third sets, where each third set has a fluorescence tomography image with similar margin information;
and the classification module is used for classifying the fluorescence tomography images in the third sets based on the recurrence information to obtain the recurrence rate of each third set, and storing the third sets and the recurrence rate.
In a third aspect of the embodiments of the present invention, a readable storage medium is provided, in which a computer program is stored, which, when being executed by a processor, is adapted to carry out the method according to the first aspect of the present invention and various possible designs of the first aspect of the present invention.
The invention provides a storage method, a device and a storage medium suitable for fluorescence tomography images and margin information, which can store the fluorescence tomography images in a classified manner according to the received fluorescence tomography images and marking data. The invention can classify the fluorescence tomography images according to the position information, the shape information and the margin information of the tumor to obtain a third set. And classifying the fluorescence tomography images according to recurrence information after the third set is obtained, so as to obtain recurrence rates in different third sets. The medical staff can directly obtain the recurrence condition within a certain incisal edge range, and can perform good operation guidance for the medical staff, so that the medical staff can select the incisal edge according to the actual condition to perform operation.
Because the shape of each tumor may be different and tumors of different shapes may adopt different incisal margin distances, the method of the invention firstly judges the shape information of the tumors in the fluorescence tomography image after obtaining the fluorescence tomography image, compares the tumor shape with the preset shape, and classifies the tumor shape to obtain the corresponding second set. According to the invention, by setting the basic shape, the irregular tumor shapes can be classified correspondingly, and the problem that the tumor shapes cannot be classified in the current technical scheme is solved. Therefore, when a doctor searches for tumors with similar scenes and conditions, the searching accuracy is higher.
When the similarity of the tumor shape and the basic shape is compared, the tumor is firstly amplified or reduced, so that the tumor shape and the basic shape can be compared on the same pixel level, the tumor shape and the basic shape have comparability, and the accuracy of the comparison of the tumor shape and the basic shape is improved.
The invention also can count the recurrence rate of the tumor and the fluorescence tomography image corresponding to different incisal margin information, so that a doctor can know the recurrence condition corresponding to different incisal margin information after obtaining each third set. According to the storage scheme provided by the invention, when data is called, the historical operation condition similar to the current tumor condition can be quickly provided for a doctor, so that the doctor can select the incisal margin distance for the current operation with reference.
When the recurrence rate is calculated, the recurrence condition, the non-recurrence condition and the undetermined condition in the latent period are fully considered, and the first recurrence rate is obtained according to different conditions. On the basis of the first recurrence rate, the invention considers the position of the tumor and the sex of the patient to obtain the second recurrence rate of the patients with different positions and different sexes, so that the invention is different in calculating the recurrence rate of each third set, and the calculation of the recurrence rate of each third set is more accurate.
Drawings
FIG. 1 shows a schematic diagram.
Detailed Description
In order to make the objects, technical solutions and advantages of the embodiments of the present invention clearer, the technical solutions in the embodiments of the present invention will be clearly and completely described below with reference to the drawings in the embodiments of the present invention, and it is obvious that the described embodiments are only a part of the embodiments of the present invention, and not all of the embodiments. All other embodiments, which can be derived by a person skilled in the art from the embodiments given herein without making any creative effort, shall fall within the protection scope of the present invention.
The terms "first," "second," "third," "fourth," and the like in the description and in the claims, as well as in the drawings, if any, are used for distinguishing between similar elements and not necessarily for describing a particular sequential or chronological order. It is to be understood that the data so used is interchangeable under appropriate circumstances such that the embodiments of the invention described herein are capable of operation in sequences other than those illustrated or described herein.
It should be understood that, in various embodiments of the present invention, the sequence numbers of the processes do not mean the execution sequence, and the execution sequence of the processes should be determined by the functions and the internal logic of the processes, and should not constitute any limitation on the implementation process of the embodiments of the present invention.
It should be understood that in the present application, "comprising" and "having" and any variations thereof, are intended to cover a non-exclusive inclusion, such that a process, method, system, article, or apparatus that comprises a list of steps or elements is not necessarily limited to those steps or elements expressly listed, but may include other steps or elements not expressly listed or inherent to such process, method, article, or apparatus.
It should be understood that, in the present invention, "a plurality" means two or more. "and/or" is merely an association describing an associated object, meaning that three relationships may exist, for example, and/or B, may mean: a exists alone, A and B exist simultaneously, and B exists alone. The character "/" generally indicates that the former and latter associated objects are in an "or" relationship. "comprising a, B and C", "comprising a, B, C" means that all three of a, B, C are comprised, "comprising a, B or C" means comprising one of a, B, C, "comprising a, B and/or C" means comprising any 1 or any 2 or 3 of a, B, C.
It should be understood that in the present invention, "B corresponding to a", "a corresponds to B", or "B corresponds to a" means that B is associated with a, and B can be determined from a. Determining B from a does not mean determining B from a alone, but may be determined from a and/or other information. And the matching of A and B means that the similarity of A and B is greater than or equal to a preset threshold value.
As used herein, the term "if" may be interpreted as "at ... …" or "in response to a determination" or "in response to a detection" depending on the context.
The technical solution of the present invention will be described in detail below with specific examples. The following several specific embodiments may be combined with each other, and details of the same or similar concepts or processes may not be repeated in some embodiments.
The invention provides a storage method suitable for fluorescence tomography images and incisal margin information, which is a flow chart shown in figure 1 and comprises the following steps:
step S110, receiving a plurality of fluorescence tomography images and marking data for marking the fluorescence tomography images, wherein the marking data at least comprises position information, incisal margin information and recurrence information. When the fluorescence tomography image and the incisal margin information are stored for the first time, the fluorescence tomography image and the marking data of a plurality of different times can be stored. For example, 2 years ago, 1 year ago, 1 month ago, 1 day ago, etc.
Since recurrence information in the marker data is time-dependent, and since tumor recurrence generally occurs within half a year, the present invention determines that the information corresponding to the fluorescence tomographic image and the tumor that do not recur more than half a year is non-recurrence when the information is counted. The information on the fluorescence tomographic image and the tumor that did not recur in half a year was not determined.
The present invention classifies the location information, margin information, and shape information of a tumor in three dimensions.
And step S120, classifying the fluorescence tomography images based on the position information to obtain a plurality of first sets, wherein each first set has the fluorescence tomography images with the same position information. After all the fluorescence tomography images are obtained, the fluorescence tomography images are classified for the first time according to the part information corresponding to the fluorescence tomography images, and a plurality of first sets are obtained. The fluorescence tomographic images each having the same site information at this time.
The site information may be lung, uterus, liver, lymph, etc. The corresponding tumor may be a lung tumor, a uterine tumor, a liver tumor, etc. The location information in each first set of the present invention is the same location. Since the requirements for the incisal edge distance may be different for each location, the present invention first classifies the fluorescence tomography images by location.
Step S130, shape information of the tumor is obtained according to the fluorescence tomography images, the first set is classified based on the shape information to obtain second sets, and each second set has fluorescence tomography images with similar shape information.
As shown in fig. 2, step S130 includes:
step S1301, presetting a plurality of basic shapes, wherein each basic shape corresponds to a second set. The basic shape can be a regular shape such as rectangle, circle, ellipse, triangle, hexagon, etc., or a basic shape drawn in advance by a doctor, and the specific form of the basic shape is not limited at all. The present invention will provide a corresponding second set for each underlying shape, i.e., the tumors in each second set have the same location and similar shape.
Step S1302, acquiring a tumor region in the fluorescence tomography image to obtain a tumor shape, wherein the shape information comprises the tumor shape. The tumor shape in the fluorescence tomography image can be obtained according to the tumor area, and the shape formed by the pixel points corresponding to the tumor boundary is the tumor shape.
And S1303, sequentially comparing the tumor shapes with the basic shapes to obtain a second set corresponding to the basic shape with the highest similarity.
Wherein, step S1303 includes:
obtaining a first number of intermediate pixels of the tumor shape, and obtaining a second number of pixels within the base shape in each base shape. When comparing the tumor shape with the base shape, the present invention first determines a first number and a second number of pixels within the tumor shape and the base shape. Because the number of the pixel points in the basic shape is generally fixed, but the shapes of the actual tumors may be the same, but the sizes of the actual tumors may be different greatly, the method of the invention firstly needs to determine the first number and the second number of the pixel points in the tumor shape and the basic shape, and determine the size relationship between the tumor shape and the basic shape according to the first number and the second number.
When the fluorescence tomography images are collected, the fluorescence tomography images are collected according to a fixed angle and height, and the resolution ratio of each device for collecting the fluorescence tomography images is the same, so that the size relation of the tumor can be reflected by the number of the pixel points of the tumor shape in the fluorescence tomography images. The base shape may be the shape of the image captured by the device according to the corresponding angle, height, and orientation. The present invention is not limited in any way as to the way in which the tumor shape and the underlying shape are registered.
The change value of the tumor shape is determined by the following formula,
Figure GDA0004087616680000101
wherein x isa Is the first number, x, of the middle pixel points of the tumor shapeb Is a second number, S, of pixels within the base shape1 The value of change is g, and the coefficient of change is g. When the first number of the middle pixel points of the tumor shape is larger, the tumor shape is proved to be larger; when the first number of pixel points in the tumor shape is smaller, the tumor shape is proved to be smaller.
In order to compare the tumor shapes with the basic shapes, the tumor shapes are enlarged or reduced to be in an order of magnitude with the basic shapes, and the shape comparison is comparable. The present invention obtains the trend of the tumor shape by the relationship between the first number and the second number.
If said S is1 >1, thenFor the reduction of the tumor shape S1 The tumor shape after shrinkage is obtained. When S is1 >1, the tumor shape is larger than the base shape, so the tumor shape needs to be reduced to an order of magnitude.
Say, for example, xa Is 200,xb Is 100 at this time
Figure GDA0004087616680000102
Is 2, when g =1,s1 At 2, the tumor shape was reduced by 2-fold and compared to the basal shape. g can be adjusted according to different scenes, for example, when the scene is a polygon, etc.
If said S is1 <1, magnifying the tumor shape S1 The amplified tumor shape was obtained. When S is1 <1, the tumor shape is smaller than the base shape, so the tumor shape needs to be enlarged to an order of magnitude.
And comparing the reduced or enlarged tumor shape with the basic shape respectively to obtain a second set corresponding to the basic shape with the highest similarity. The method can compare the tumor shapes with the same magnitude as the basic shapes, and classify the tumor shapes into the second set corresponding to the corresponding basic shapes when obtaining the basic shape with the highest similarity.
In one possible embodiment, as shown in fig. 3, comparing the scaled-down or scaled-up tumor shapes with the base shapes respectively to obtain the second set corresponding to the base shape with the highest similarity includes:
step S1304, obtaining the center of the reduced or enlarged current tumor shape to obtain a first center point. The center point may be inside or outside the current tumor shape, and the position of the center point is not limited in the present invention. When the tumor shape is circular, the center of the tumor shape is the center of the circle. When the rectangle or the square is used, the center is the intersection point of the diagonals of the rectangle and the square. The invention is not limited to finding the center point, and office software such as CAD has a determination algorithm of the center point.
Step 1305, obtaining the centers of the plurality of basic shapes to obtain a plurality of second center points. And step S1301, determining a center point.
Step 1306, the first central point and the second central point are respectively and correspondingly arranged to enable the tumor shape to be matched with the basic shape, and the number of pixel points with the tumor shape coinciding with the basic shape is obtained. In the actual tumor situation, there are few cases where the tumor shape matches the base shape completely, so the present invention will correspond the first and second center points such that the tumor shape is compared with the base shape.
Step 1306, the basic shape with the highest number of overlapped pixel points is used as the basic shape with the highest similarity of the current tumor shape.
When the pixel points in the basic shape and the current tumor shape are completely overlapped, the sum of the current tumor shape and the basic shape is proved to be the same, and the similarity is one hundred percent. When the coincidence of the pixels in the base shape and the current tumor shape is 80 percent, the similarity is eighty percent. The invention selects the basic shape with the highest similarity with the current tumor shape instead of selecting the basic shape which is completely the same as the current tumor shape. In the above manner, tumors of different shapes are classified to obtain a corresponding second set.
And S140, classifying the second set based on the incisal edge information to obtain third sets, wherein each third set has fluorescence tomography images with similar incisal edge information.
The step S140 includes:
presetting a plurality of cutting edge threshold segments, wherein the cutting edge threshold segments respectively comprise the longest cutting edge and the shortest cutting edge corresponding to the threshold segments. The cutting edge threshold segment may be 5mm to 6mm,6mm to 7mm, and so on. The invention does not make any limitation on the setting of the cutting edge threshold segment, and different cutting edge threshold segments may have different cutting edge distances. For example, if the cut edge threshold segment is 5mm to 6mm, the longest cut edge is 5mm and the shortest cut edge is 6mm.
And acquiring the cutting edge information positioned in a certain cutting edge threshold segment to obtain a third set corresponding to the threshold segment, wherein the cutting edge information in each third set is used as similar cutting edge information. According to the invention, a plurality of different third sets are set according to different incisal edge threshold segments, and the fluorescence tomography images are classified into the corresponding third sets according to the corresponding incisal edge information of the fluorescence tomography images.
Through the technical scheme, the fluorescence tomography images can be classified according to the incisal edge information, and a plurality of third sets are obtained.
Through the steps S110 to S140, the fluorescence tomography images are classified three times through three dimensions, a plurality of third sets are obtained, the position information, the shape information and the margin information of each third set are different, and the effect of classifying the fluorescence tomography is achieved.
And S150, classifying the fluorescence tomography images in the third sets based on the recurrence information to obtain the recurrence rate of each third set, and storing the third sets and the recurrence rate.
Wherein, step S150 includes:
and counting recurrence information corresponding to each piece of margin information in the third set, wherein the recurrence information comprises one of recurrence, non-recurrence and non-determination.
The first relapse rate was calculated by the following formula,
Figure GDA0004087616680000131
wherein m is1 Number of recurrent incisional information, m2 Number of non-recurrent incisional edges, m3 C is an undetermined weight value, wherein the undetermined number is not recurred within a preset time period from the operation date.
When the first recurrence rate is determined, the recurrence, non-recurrence and undetermined tumor rehabilitation conditions are fully considered, and the numerical values of the recurrence, non-recurrence and undetermined tumor rehabilitation conditions are combined to obtain the corresponding first recurrence rate.
In some aspects, the longer the incisal edge distance, the lower the recurrence rate, but the longer the incisal edge distance, the larger the range of the normal tissues of the human body to be excised, so that an appropriate incisal edge distance needs to be found, and the shorter the incisal edge distance is made on the premise of ensuring no recurrence as much as possible.
The invention can provide the first recurrence rate under different incisal edge information for doctors, and can correspondingly refer to the doctors, assist medical treatment and select incisal edge distance.
In one possible embodiment, step S150 further includes:
acquiring gender information included in the marking data, and respectively configuring gender information with different weights according to the part information corresponding to each third set;
a second recurrence rate for a third set of different site information is calculated by the following formula,
f2 =f1 ·K·V
wherein K is the gender weight and V is the part weight. The second recurrence rate of the present invention is obtained based on the first recurrence rate, and the second recurrence rate is obtained by considering the first recurrence rate and combining the sex weight and the site weight. For example, if cervical cancer is only available to girls, the gender weight K for men is 0. For example, men prefer to smoke, have more lung strain, and have a higher probability of lung recurrence than women, and the weight V of the part may be increased.
When the second recurrence rate is calculated, the sex and the position of the patient are fully combined, and the more accurate tumor recurrence rate of the patient in different sexes and positions is obtained.
In one possible embodiment, the method further comprises:
and outputting a reminding signal when the number of the pixel points of the tumor shape coincident with each basic shape is respectively lower than the first number value. At this point, it was demonstrated that all of the basal shapes were less similar to the current tumor shape.
And receiving the basic shape newly configured by the administrator, and acquiring the number of the pixel points of the newly configured basic shape which is overlapped with the tumor shape again. When the number of the pixel points of which all the basic shapes are overlapped with the current tumor shape is respectively lower than the first number value, a doctor or a worker can configure a new basic shape, match the new basic shape with the tumor shape, and create a new second set.
And if the number of the overlapped pixel points is larger than the first number value, taking the newly configured basic shape as the basic shape with the highest similarity with the tumor shape. When the number of the pixel points of the tumor shape and the new basic shape which are overlapped is the largest and is larger than the first number value, the newly configured basic shape is used as the basic shape with the highest similarity to the tumor shape, and at the moment, the corresponding fluorescence tomography image is stored in the newly created second set.
And if the number of the coincident pixel points is less than the first number value, the step of outputting the reminding signal is repeated. If the number of the overlapped pixel points is still smaller than the first number value, it is proved that the newly configured basic shape is not completely matched with the current tumor shape, at this time, a new basic shape needs to be established again, and the above steps are repeated until the basic shape corresponding to the current tumor shape is formed.
Through the technical scheme, the basic shapes can be continuously increased and updated, so that the storage scheme provided by the method is more and more strong in adaptability and can be compatible with tumors in various shapes.
The present invention also provides a storage device suitable for fluorescence tomography images and incisal margin information, which is shown in fig. 4, and includes:
the system comprises a receiving module, a judging module and a judging module, wherein the receiving module is used for receiving a plurality of fluorescence tomography images and marking data for marking the fluorescence tomography images, and the marking data at least comprises part information, margin information and recurrence information;
a first classification module, configured to classify the fluorescence tomography images based on the location information to obtain a plurality of first sets, where each first set has fluorescence tomography images with the same location information;
the second classification module is used for obtaining shape information of a tumor according to the fluorescence tomography images, classifying the first set based on the shape information to obtain second sets, and each second set has the fluorescence tomography images with similar shape information;
a third classification module, configured to classify the second set based on the margin information to obtain third sets, where each third set has a fluorescence tomography image with similar margin information;
and the classification module is used for classifying the fluorescence tomography images in the third sets based on the recurrence information to obtain the recurrence rate of each third set, and storing the third sets and the recurrence rate.
The readable storage medium may be a computer storage medium or a communication medium. Communication media includes any medium that facilitates transfer of a computer program from one place to another. Computer storage media may be any available media that can be accessed by a general purpose or special purpose computer. For example, a readable storage medium is coupled to the processor such that the processor can read information from, and write information to, the readable storage medium. Of course, the readable storage medium may also be an integral part of the processor. The processor and the readable storage medium may reside in an Application Specific Integrated Circuits (ASIC). Additionally, the ASIC may reside in user equipment. Of course, the processor and the readable storage medium may also reside as discrete components in a communication device. The readable storage medium may be a read-only memory (ROM), a random-access memory (RAM), a CD-ROM, a magnetic tape, a floppy disk, an optical data storage device, and the like.
The present invention also provides a program product comprising execution instructions stored in a readable storage medium. The at least one processor of the device may read the execution instructions from the readable storage medium, and the execution of the execution instructions by the at least one processor causes the device to implement the methods provided by the various embodiments described above.
In the above embodiments of the terminal or the server, it should be understood that the Processor may be a Central Processing Unit (CPU), other general-purpose processors, a Digital Signal Processor (DSP), an Application Specific Integrated Circuit (ASIC), etc. A general purpose processor may be a microprocessor or the processor may be any conventional processor or the like. The steps of a method disclosed in connection with the present invention may be embodied directly in a hardware processor, or in a combination of the hardware and software modules within the processor.
Finally, it should be noted that: the above embodiments are only used to illustrate the technical solution of the present invention, and not to limit the same; while the invention has been described in detail and with reference to the foregoing embodiments, it will be understood by those skilled in the art that: the technical solutions described in the foregoing embodiments may still be modified, or some or all of the technical features may be equivalently replaced; and the modifications or the substitutions do not make the essence of the corresponding technical solutions depart from the scope of the technical solutions of the embodiments of the present invention.

Claims (7)

1. A method for storing fluorescence tomographic images and incisal edge information, comprising:
receiving a plurality of fluorescence tomography images and marking data for marking the fluorescence tomography images, wherein the marking data at least comprises part information, incisal margin information and recurrence information;
classifying the fluorescence tomography images based on the position information to obtain a plurality of first sets, wherein each first set has the fluorescence tomography images with the same position information;
obtaining shape information of the tumor according to the fluorescence tomography images, classifying the first set based on the shape information to obtain second sets, wherein each second set has fluorescence tomography images with similar shape information;
classifying the second set based on the incisal edge information to obtain third sets, wherein each third set has fluorescence tomography images with similar incisal edge information;
classifying the fluorescence tomography images in the third sets based on the recurrence information to obtain the recurrence rate of each third set, and storing the third sets and the recurrence rate;
obtaining shape information of a tumor according to the fluorescence tomography images, classifying the first set based on the shape information to obtain second sets, wherein the fluorescence tomography images of each second set with similar shape information comprise:
presetting a plurality of basic shapes, wherein each basic shape corresponds to a second set;
acquiring a tumor region in the fluorescence tomography image to obtain a tumor shape, wherein the shape information comprises the tumor shape;
comparing the tumor shape with the basic shape in sequence to obtain a second set corresponding to the basic shape with the highest similarity;
classifying the second set based on the incisal edge information to obtain third sets, wherein each fluorescence tomography image with similar incisal edge information in the third sets comprises:
presetting a plurality of cutting edge threshold segments, wherein the cutting edge threshold segments respectively comprise the longest cutting edge and the shortest cutting edge corresponding to the threshold segments;
acquiring the edge cutting information positioned in a certain edge cutting threshold segment to obtain third sets corresponding to the threshold segment, wherein the edge cutting information in each third set is used as similar edge cutting information;
classifying the fluorescence tomography images in the third set based on the recurrence information, wherein obtaining the recurrence rate of each third set comprises:
counting recurrence information corresponding to each piece of margin information in the third set, wherein the recurrence information comprises one of recurrence, non-recurrence and non-determination;
the first relapse rate was calculated by the following formula,
Figure FDA0004071279220000021
wherein m is1 To make it stand againNumber of hair-cutting edges, m2 Number of non-recurrent incisional edges, m3 C is an undetermined weight value, wherein the undetermined number is not recurred within a preset time period from the operation date.
2. The storage method for fluorescence tomographic image and incisal edge information according to claim 1,
comparing the tumor shape with the basic shape in sequence to obtain a second set corresponding to the basic shape with the highest similarity, wherein the second set comprises:
obtaining a first number of intermediate pixel points of the tumor shape, and obtaining a second number of pixel points in the basic shape in each basic shape;
the change value of the tumor shape is determined by the following formula,
Figure FDA0004071279220000022
wherein x isa Is the first number, x, of the middle pixel points of the tumor shapeb Is a second number, S, of pixels within the base shape1 Is a variation value, g is a variation coefficient;
if said S is1 >1, reducing the shape of the tumor by S1 Obtaining the reduced tumor shape;
if said S is1 <1, magnifying the tumor shape S1 Multiplying to obtain the amplified tumor shape;
and comparing the reduced or enlarged tumor shape with the basic shape respectively to obtain a second set corresponding to the basic shape with the highest similarity.
3. The storage method for fluorescence tomographic image and incisal edge information according to claim 2,
comparing the reduced or enlarged tumor shape with the base shape to obtain a second set corresponding to the base shape with the highest similarity, respectively, includes:
acquiring the center of the reduced or enlarged current tumor shape to obtain a first central point;
obtaining the centers of a plurality of basic shapes to obtain a plurality of second central points;
the first central point and the second central point are respectively and correspondingly arranged to enable the tumor shape to be matched with the basic shape, and the number of pixel points of which the tumor shape is overlapped with the basic shape is obtained;
and taking the basic shape with the highest number of overlapped pixel points as the basic shape with the highest similarity of the current tumor shape.
4. The storage method for fluorescence tomographic image and incisal edge information according to claim 1,
classifying the fluorescence tomography images in the third set based on the recurrence information, wherein obtaining the recurrence rate of each third set comprises:
acquiring gender information included in the marking data, and respectively configuring gender information with different weights according to the part information corresponding to each third set;
a second recurrence rate for a third set of different site information is calculated by the following formula,
f2 =f1 ·K·V
wherein K is the gender weight and V is the part weight.
5. The method for storing fluorescence tomographic image and incisal edge information according to claim 1, further comprising:
outputting a reminding signal when the number of the pixel points of which the tumor shapes are overlapped with each basic shape is respectively lower than a first number value;
receiving the basic shape newly configured by the administrator, and acquiring the number of pixel points of the newly configured basic shape which are overlapped with the tumor shape again;
if the number of the overlapped pixel points is larger than the first number value, taking the newly configured basic shape as the basic shape with the highest similarity with the tumor shape;
and if the number of the coincident pixel points is less than the first number value, the step of outputting the reminding signal is repeated.
6. A storage device adapted to a fluorescence tomographic image and incisal edge information, comprising:
the system comprises a receiving module, a judging module and a judging module, wherein the receiving module is used for receiving a plurality of fluorescence tomography images and marking data for marking the fluorescence tomography images, and the marking data at least comprises part information, margin information and recurrence information;
a first classification module, configured to classify the fluorescence tomography images based on the location information to obtain a plurality of first sets, where each first set has fluorescence tomography images with the same location information;
the second classification module is used for obtaining shape information of a tumor according to the fluorescence tomography images, classifying the first set based on the shape information to obtain second sets, and each second set has the fluorescence tomography images with similar shape information;
a third classification module, configured to classify the second set based on the margin information to obtain third sets, where each third set has a fluorescence tomography image with similar margin information;
the classification module is used for classifying the fluorescence tomography images in the third sets based on the recurrence information to obtain the recurrence rate of each third set, and storing the third sets and the recurrence rate;
obtaining shape information of a tumor according to the fluorescence tomography images, classifying the first set based on the shape information to obtain second sets, wherein the fluorescence tomography images of each second set with similar shape information comprise:
presetting a plurality of basic shapes, wherein each basic shape corresponds to a second set;
acquiring a tumor region in the fluorescence tomography image to obtain a tumor shape, wherein the shape information comprises the tumor shape;
comparing the tumor shape with the basic shape in sequence to obtain a second set corresponding to the basic shape with the highest similarity;
classifying the second set based on the incisal edge information to obtain third sets, wherein each fluorescence tomography image with similar incisal edge information in the third sets comprises:
presetting a plurality of cutting edge threshold segments, wherein the cutting edge threshold segments respectively comprise the longest cutting edge and the shortest cutting edge corresponding to the threshold segments;
acquiring the edge cutting information positioned in a certain edge cutting threshold segment to obtain third sets corresponding to the threshold segment, wherein the edge cutting information in each third set is used as similar edge cutting information;
classifying the fluorescence tomography images in the third set based on the recurrence information, wherein obtaining the recurrence rate of each third set comprises:
counting recurrence information corresponding to each piece of margin information in the third set, wherein the recurrence information comprises one of recurrence, non-recurrence and non-determination;
the first relapse rate was calculated by the following formula,
Figure FDA0004071279220000051
wherein m is1 Number of recurrent incisional information, m2 Number of non-recurrent incisional edges, m3 C is an undetermined weight value, wherein the undetermined number is not recurred within a preset time period from the operation date.
7. A readable storage medium, in which a computer program is stored which, when being executed by a processor, is adapted to carry out the method of any one of claims 1 to 5.
CN202111181005.5A2021-10-112021-10-11Storage method and device suitable for fluorescence tomography image and incisal margin informationActiveCN113962947B (en)

Priority Applications (1)

Application NumberPriority DateFiling DateTitle
CN202111181005.5ACN113962947B (en)2021-10-112021-10-11Storage method and device suitable for fluorescence tomography image and incisal margin information

Applications Claiming Priority (1)

Application NumberPriority DateFiling DateTitle
CN202111181005.5ACN113962947B (en)2021-10-112021-10-11Storage method and device suitable for fluorescence tomography image and incisal margin information

Publications (2)

Publication NumberPublication Date
CN113962947A CN113962947A (en)2022-01-21
CN113962947Btrue CN113962947B (en)2023-04-18

Family

ID=79463863

Family Applications (1)

Application NumberTitlePriority DateFiling Date
CN202111181005.5AActiveCN113962947B (en)2021-10-112021-10-11Storage method and device suitable for fluorescence tomography image and incisal margin information

Country Status (1)

CountryLink
CN (1)CN113962947B (en)

Families Citing this family (1)

* Cited by examiner, † Cited by third party
Publication numberPriority datePublication dateAssigneeTitle
CN115115755B (en)*2022-08-302022-11-08南京诺源医疗器械有限公司Fluorescence three-dimensional imaging method and device based on data processing

Citations (1)

* Cited by examiner, † Cited by third party
Publication numberPriority datePublication dateAssigneeTitle
CN110706206A (en)*2019-09-112020-01-17深圳先进技术研究院Fluorescent cell counting method, fluorescent cell counting device, terminal equipment and storage medium

Family Cites Families (5)

* Cited by examiner, † Cited by third party
Publication numberPriority datePublication dateAssigneeTitle
US9370328B2 (en)*2012-11-292016-06-21University Of Washington Through Its Center For CommercializationMethods and systems for determining tumor boundary characteristics
CN108305255B (en)*2017-01-122022-04-19浙江京新术派医疗科技有限公司Generation device of liver surgery cutting surface
CN106874687A (en)*2017-03-032017-06-20深圳大学Pathological section image intelligent sorting technique and device
US11574404B2 (en)*2018-02-212023-02-07Case Western Reserve UniversityPredicting recurrence and overall survival using radiomic features correlated with PD-L1 expression in early stage non-small cell lung cancer (ES-NSCLC)
CN112288704B (en)*2020-10-262021-09-28中国人民解放军陆军军医大学第一附属医院Visualization method for quantifying glioma invasiveness based on nuclear density function

Patent Citations (1)

* Cited by examiner, † Cited by third party
Publication numberPriority datePublication dateAssigneeTitle
CN110706206A (en)*2019-09-112020-01-17深圳先进技术研究院Fluorescent cell counting method, fluorescent cell counting device, terminal equipment and storage medium

Non-Patent Citations (1)

* Cited by examiner, † Cited by third party
Title
阚星星 ; 陈春晓 ; 王章立 ; .基于荧光断层成像-CT双模态光源可行区选取方法.中国医疗器械杂志.(第01期),全文.*

Also Published As

Publication numberPublication date
CN113962947A (en)2022-01-21

Similar Documents

PublicationPublication DateTitle
CN117409004B (en) An intelligent assistance system for pulmonary rehabilitation based on medical image analysis
CN104394771B (en)Ultrasonoscopy treatment
WO2021082691A1 (en)Segmentation method and apparatus for lesion area of eye oct image, and terminal device
JP4184842B2 (en) Image discrimination device, method and program
CN108447046B (en) Lesion detection method and device, computer readable storage medium
WO2021115313A1 (en)System for automatically sketching contour line of normal organ in medical image
CN111539912A (en) Health index evaluation method, equipment and storage medium based on facial structure localization
CN109872325B (en)Full-automatic liver tumor segmentation method based on two-way three-dimensional convolutional neural network
JPWO2019208703A1 (en) Information processing device
CN107330449A (en) Method and device for detecting signs of diabetic retinopathy
US10186030B2 (en)Apparatus and method for avoiding region of interest re-detection
JP2013200590A (en)Similar image retrieval device, method, and program
JP2006034585A (en)Picture display device and picture display method, and program thereof
CN113962947B (en)Storage method and device suitable for fluorescence tomography image and incisal margin information
CN110796659A (en)Method, device, equipment and storage medium for identifying target detection result
CN110189324B (en)Medical image processing method and processing device
US20220008001A1 (en)System and method of determining an accurate enhanced lund and browder chart and total body surface area burn score
CN115937209B (en) Method and device for identifying abnormal nasopharyngeal laryngoscope images
KR20190059440A (en)System and method for diagnostic support through automatic search of similar patient
US10275644B2 (en)Automatic classification of eardrum shape
US9483705B2 (en)Image processing device, image processing method, and image processing program
CN112686866A (en)Follow-up method and device based on medical image and computer readable storage medium
JP2005034211A (en)Image discrimination device, method using it and program
CN111598882A (en) Organ detection method, device and computer equipment
JP2010233737A (en)Body type determination method, body type determination system, and monitoring system using the same

Legal Events

DateCodeTitleDescription
PB01Publication
PB01Publication
SE01Entry into force of request for substantive examination
SE01Entry into force of request for substantive examination
GR01Patent grant
GR01Patent grant

[8]ページ先頭

©2009-2025 Movatter.jp