



技术领域technical field
本发明涉及飞行器空战机动决策技术领域,尤其涉及一种空战机动决策方法及装置。The invention relates to the technical field of aircraft air combat maneuvering decision-making, in particular to an air combat maneuvering decision-making method and device.
背景技术Background technique
现代空战中,在空空导弹技术带来的优势与局限基础上,飞行员常常会采取大量机动动作,在确保我机不被击落的前提下,寻找最优空战位置,伺机发射空空导弹攻击敌机,故空战中有利位置的争夺成为空战对抗的关键问题之一。而另一方面,随着飞行器空战任务与环境的复杂化和多样化,飞行器空战机动决策的复杂度也在不断提高。In modern air combat, based on the advantages and limitations brought by air-to-air missile technology, pilots often take a lot of maneuvering actions to find the optimal air combat position and launch air-to-air missiles to attack enemy aircraft on the premise of ensuring that our aircraft is not shot down. Therefore, the competition for a favorable position in air combat has become one of the key issues in air combat confrontation. On the other hand, with the complexity and diversification of aircraft air combat tasks and environments, the complexity of aircraft air combat maneuver decisions is also increasing.
目前,飞行器空战机动决策算法都是基于固定周期设计,不同飞行器状态的机动决策都是按照统一的时间周期决策而来。但实际飞行器不同状态间的动态响应特性具有显著差别,如果选择统一的固定决策周期,那么有些状态的机动决策可能得不到有效地响应,而有些状态的机动决策可能早已响应完成。在高动态、强对抗的空战环境下,上述两种情况都会带来不利因素。At present, aircraft air combat maneuver decision-making algorithms are based on fixed-cycle design, and maneuver decisions in different aircraft states are based on a unified time cycle. However, the dynamic response characteristics of different states of the actual aircraft are significantly different. If a unified fixed decision-making cycle is selected, the maneuvering decisions of some states may not be effectively responded, while the maneuvering decisions of some states may have already been responded to. In a highly dynamic and highly confrontational air combat environment, both of the above situations will bring disadvantages.
发明内容SUMMARY OF THE INVENTION
本发明提供一种空战机动决策方法及装置,用以解决现有技术中无法快速高效进行空战机动决策的缺陷,实现快速高效的空战机动决策。The present invention provides an air combat maneuver decision-making method and device, which are used to solve the defect in the prior art that the air combat maneuver decision cannot be made quickly and efficiently, and realize the fast and efficient air combat maneuver decision.
本发明提供一种空战机动决策方法,包括:The present invention provides an air combat maneuver decision-making method, comprising:
根据飞行器实际性能限制因素,构建飞行器空战模型;According to the actual performance constraints of the aircraft, build the aircraft air combat model;
根据在飞行控制系统控制下的飞行器状态的动态响应的时间,分别为不同的飞行器状态设置不同的决策周期;According to the dynamic response time of the aircraft state under the control of the flight control system, different decision-making cycles are set for different aircraft states;
根据在设置所述决策周期后的飞行器状态,分别确定所述不同的飞行器状态对应的目标空战机动指令;According to the state of the aircraft after the decision-making period is set, respectively determine the target air combat maneuver instructions corresponding to the different states of the aircraft;
根据所述目标空战机动指令和所述飞行器空战模型,对所述飞行器进行空战机动决策;According to the target air combat maneuver instruction and the aircraft air combat model, make an air combat maneuver decision for the aircraft;
其中,所述飞行器状态包括:高度、航向角和速度。Wherein, the aircraft state includes: altitude, heading angle and speed.
根据本发明提供的空战机动决策方法,所述根据在飞行控制系统控制下的飞行器状态的动态响应的时间,分别为不同的飞行器状态设置不同的决策周期,包括:According to the air combat maneuver decision-making method provided by the present invention, according to the time of the dynamic response of the aircraft state under the control of the flight control system, different decision-making cycles are respectively set for different aircraft states, including:
根据在垂直机动控制系统控制下,飞行器高度响应到达目标高度值,并保持在所述目标高度值所需的最短时间,为飞行器高度设置高度决策周期;According to the shortest time required for the aircraft altitude response to reach the target altitude value under the control of the vertical maneuver control system, and maintain the target altitude value, the altitude decision cycle is set for the aircraft altitude;
根据在水平机动控制系统控制下,飞行器航向角响应到达目标航向角值,并保持在所述目标航向角值所需的最短时间,为飞行器航向角设置航向角决策周期;Set the heading angle decision cycle for the aircraft heading angle according to the shortest time required for the aircraft heading angle response to reach the target heading angle value and remain at the target heading angle value under the control of the horizontal maneuver control system;
根据在速度机动控制系统控制下,飞行器速度响应到达目标速度值,并保持在所述目标速度值所需的最短时间,为飞行器速度设置速度决策周期。The speed decision cycle is set for the speed of the aircraft according to the shortest time required for the speed of the aircraft to reach the target speed value and remain at the target speed value under the control of the speed maneuver control system.
根据本发明提供的空战机动决策方法,所述根据在设置所述决策周期后的飞行器状态,分别确定所述不同的飞行器状态对应的目标空战机动指令,包括:According to the air combat maneuver decision-making method provided by the present invention, the target air combat maneuver instructions corresponding to the different aircraft states are respectively determined according to the state of the aircraft after the decision cycle is set, including:
根据在设置所述决策周期后的飞行器状态,分别确定所述不同的飞行器状态对应的优势矩阵;According to the state of the aircraft after the decision-making period is set, respectively determine the advantage matrices corresponding to the different states of the aircraft;
根据所述优势矩阵,分别确定所述不同的飞行器状态对应的目标空战机动指令。According to the advantage matrix, the target air combat maneuver instructions corresponding to the different aircraft states are respectively determined.
根据本发明提供的空战机动决策方法,所述根据在设置所述决策周期后的飞行器状态,分别确定所述不同的飞行器状态对应的优势矩阵,包括:According to the air combat maneuvering decision-making method provided by the present invention, the advantage matrix corresponding to the different aircraft states is respectively determined according to the aircraft state after the decision-making period is set, including:
根据在设置所述决策周期后的飞行器状态,分别确定所述不同的飞行器状态对应的可选变化区间;According to the state of the aircraft after the decision period is set, the optional change intervals corresponding to the different states of the aircraft are respectively determined;
根据所述可选变化区间,分别确定所述不同的飞行器状态对应的可选机动指令;According to the optional change interval, respectively determine the optional maneuvering commands corresponding to the different aircraft states;
根据所述可选机动指令,分别确定所述不同的飞行器状态对应的状态集;According to the optional maneuvering instructions, respectively determine the state sets corresponding to the different aircraft states;
根据所述状态集,分别确定所述不同的飞行器状态对应的优势矩阵。According to the state set, the advantage matrices corresponding to the different aircraft states are respectively determined.
根据本发明提供的空战机动决策方法,所述根据所述优势矩阵,分别确定所述不同的飞行器状态对应的目标空战机动指令,包括:According to the air combat maneuver decision-making method provided by the present invention, according to the advantage matrix, the target air combat maneuver instructions corresponding to the different aircraft states are respectively determined, including:
分别确定所述不同的飞行器状态对应的优势矩阵中最大值对应的机动指令;respectively determining the maneuver command corresponding to the maximum value in the advantage matrix corresponding to the different aircraft states;
将所述机动指令作为所述不同的飞行器状态对应的目标空战机动指令。The maneuvering instruction is used as the target air combat maneuvering instruction corresponding to the different aircraft states.
根据本发明提供的空战机动决策方法,所述根据所述目标空战机动指令和所述飞行器空战模型,对所述飞行器进行空战机动决策,包括:According to the air combat maneuver decision-making method provided by the present invention, the air combat maneuver decision-making on the aircraft according to the target air combat maneuver instruction and the aircraft air combat model includes:
根据所述目标空战机动指令,分别确定所述不同的飞行器状态对应的过载指令值;According to the target air combat maneuver command, respectively determine the overload command values corresponding to the different aircraft states;
将所述过载指令值输入至所述飞行器空战模型,对所述飞行器进行空战机动决策。The overload command value is input into the aircraft air combat model, and air combat maneuvering decisions are made for the aircraft.
根据本发明提供的空战机动决策方法,所述飞行器实际性能限制因素,包括:According to the air combat maneuvering decision-making method provided by the present invention, the actual performance limiting factors of the aircraft include:
轴向过载通道等价带宽,法向过载通道等价带宽,航迹滚转通道等价带宽,轴向过载最大值,法向过载最大值和航迹滚转最大值。Axial overload channel equivalent bandwidth, normal overload channel equivalent bandwidth, track roll channel equivalent bandwidth, axial overload maximum, normal overload maximum and track roll maximum.
本发明还提供一种空战机动决策装置,包括:The present invention also provides an air combat maneuver decision-making device, comprising:
建模模块,用于根据飞行器实际性能限制因素,构建飞行器空战模型;The modeling module is used to construct the air combat model of the aircraft according to the actual performance constraints of the aircraft;
设置模块,用于根据在飞行控制系统控制下的飞行器状态的动态响应的时间,分别为不同的飞行器状态设置不同的决策周期;The setting module is used to set different decision-making cycles for different aircraft states according to the time of dynamic response of the aircraft state under the control of the flight control system;
确定模块,用于根据在设置所述决策周期后的飞行器状态,分别确定所述不同的飞行器状态对应的目标空战机动指令;a determining module, configured to respectively determine the target air combat maneuver instructions corresponding to the different aircraft states according to the aircraft states after the decision-making period is set;
决策模块,用于根据所述目标空战机动指令和所述飞行器空战模型,对所述飞行器进行空战机动决策;a decision-making module, configured to make air combat maneuver decisions on the aircraft according to the target air combat maneuver instructions and the aircraft air combat model;
其中,所述飞行器状态包括:高度、航向角和速度。Wherein, the aircraft state includes: altitude, heading angle and speed.
本发明还提供一种电子设备,包括存储器、处理器及存储在存储器上并可在处理器上运行的计算机程序,所述处理器执行所述程序时实现如上述任一种所述空战机动决策方法的步骤。The present invention also provides an electronic device, comprising a memory, a processor, and a computer program stored in the memory and running on the processor, when the processor executes the program, the air combat maneuvering decision as described in any one of the above is realized steps of the method.
本发明还提供一种非暂态计算机可读存储介质,其上存储有计算机程序,该计算机程序被处理器执行时实现如上述任一种所述空战机动决策方法的步骤。The present invention also provides a non-transitory computer-readable storage medium on which a computer program is stored, and when the computer program is executed by a processor, implements the steps of any one of the above-mentioned air combat maneuvering decision-making methods.
本发明还提供一种计算机程序产品,包括计算机程序,所述计算机程序被处理器执行时实现如上述任一种所述空战机动决策方法的步骤。The present invention also provides a computer program product, comprising a computer program, which, when executed by a processor, implements the steps of any one of the above-mentioned air combat maneuvering decision-making methods.
本发明提供的空战机动决策方法、装置、电子设备及存储介质,通过不同的飞行器状态在控制系统下的动态响应特性,分别为不同的飞行器状态的机动决策设置不同的决策周期,可有效减轻空战机动决策实时性和准确性之间的矛盾,实现快速高效的空战机动决策。The air combat maneuver decision-making method, device, electronic equipment and storage medium provided by the present invention can effectively reduce air combat by setting different decision cycles for maneuvering decision-making in different aircraft states through the dynamic response characteristics of different aircraft states under the control system. The contradiction between the real-time and accuracy of maneuver decision-making enables fast and efficient air combat maneuver decision-making.
附图说明Description of drawings
为了更清楚地说明本发明或现有技术中的技术方案,下面将对实施例或现有技术描述中所需要使用的附图作一简单地介绍,显而易见地,下面描述中的附图是本发明的一些实施例,对于本领域普通技术人员来讲,在不付出创造性劳动的前提下,还可以根据这些附图获得其他的附图。In order to explain the present invention or the technical solutions in the prior art more clearly, the following will briefly introduce the accompanying drawings that need to be used in the description of the embodiments or the prior art. Obviously, the accompanying drawings in the following description are the For some embodiments of the invention, for those of ordinary skill in the art, other drawings can also be obtained according to these drawings without any creative effort.
图1是本发明提供的空战机动决策方法的流程示意图;1 is a schematic flowchart of an air combat maneuver decision-making method provided by the present invention;
图2是应用本发明提供的空战机动决策方法的示意图;Fig. 2 is the schematic diagram of applying the air combat maneuvering decision-making method provided by the present invention;
图3是本发明提供的空战机动决策装置的结构示意图;3 is a schematic structural diagram of an air combat maneuver decision-making device provided by the present invention;
图4是本发明提供的电子设备的结构示意图。FIG. 4 is a schematic structural diagram of an electronic device provided by the present invention.
具体实施方式Detailed ways
为使本发明的目的、技术方案和优点更加清楚,下面将结合本发明中的附图,对本发明中的技术方案进行清楚、完整地描述,显然,所描述的实施例是本发明一部分实施例,而不是全部的实施例。基于本发明中的实施例,本领域普通技术人员在没有作出创造性劳动前提下所获得的所有其他实施例,都属于本发明保护的范围。In order to make the objectives, technical solutions and advantages of the present invention clearer, the technical solutions in the present invention will be clearly and completely described below with reference to the accompanying drawings. Obviously, the described embodiments are part of the embodiments of the present invention. , not all examples. Based on the embodiments of the present invention, all other embodiments obtained by those of ordinary skill in the art without creative efforts shall fall within the protection scope of the present invention.
图1是本发明提供的空战机动决策方法的流程示意图。参照图1,本发明提供的空战机动决策方法可以包括:FIG. 1 is a schematic flowchart of an air combat maneuver decision-making method provided by the present invention. 1, the air combat maneuvering decision-making method provided by the present invention may include:
步骤110、根据飞行器实际性能限制因素,构建飞行器空战模型;
步骤120、根据在飞行控制系统控制下的飞行器状态的动态响应的时间,分别为不同的飞行器状态设置不同的决策周期;
步骤130、根据在设置决策周期后的飞行器状态,分别确定不同的飞行器状态对应的目标空战机动指令;Step 130: Determine the target air combat maneuver commands corresponding to different aircraft states according to the aircraft states after the decision period is set;
步骤140、根据目标空战机动指令和飞行器空战模型,对飞行器进行空战机动决策;
其中,飞行器状态包括:高度、航向角和速度。Among them, the aircraft state includes: altitude, heading angle and speed.
需要说明的是,本发明提供的空战机动决策方法的执行主体可以是电子设备、电子设备中的部件、集成电路、或芯片。该电子设备可以是移动电子设备,也可以为非移动电子设备。示例性的,移动电子设备可以为手机、平板电脑、笔记本电脑、掌上电脑、车载电子设备、可穿戴设备、超级移动个人计算机(ultra-mobile personal computer,UMPC)、上网本或者个人数字助理(personal digital assistant,PDA)等,非移动电子设备可以为服务器、网络附属存储器(Network Attached Storage,NAS)、个人计算机(personal computer,PC)、电视机(television,TV)、柜员机或者自助机等,本发明不作具体限定。It should be noted that the executive body of the air combat maneuver decision-making method provided by the present invention may be an electronic device, a component in the electronic device, an integrated circuit, or a chip. The electronic device may be a mobile electronic device or a non-mobile electronic device. Exemplarily, the mobile electronic device may be a mobile phone, a tablet computer, a notebook computer, a palmtop computer, an in-vehicle electronic device, a wearable device, an ultra-mobile personal computer (UMPC), a netbook, or a personal digital assistant (personal digital assistant). assistant, PDA), etc., the non-mobile electronic device can be a server, a network attached storage (NAS), a personal computer (personal computer, PC), a television (television, TV), a teller machine or a self-service machine, etc. The present invention There is no specific limitation.
在空战决策中最核心的内容是空战机动决策,空战机动决策就是模拟战斗机驾驶员在各种空战态势下对飞机操纵的决策。空战机动决策主要有以下三方面的应用:①空战仿真,在空战仿真中,选取的空战机动决策方法直接关系到仿真结果的可信程度,是空战仿真的核心部分;②无人作战飞机,空战决策是无人作战飞机的“灵魂”和“大脑”,是实现作战飞机无人化的关键所在;③有人驾驶飞机的“驾驶员助手”系统,对于有人驾驶飞机,以空战决策为核心的“驾驶员助手”系统可以减轻驾驶员负担,显著提高战斗力。The core content of air combat decision-making is air combat maneuver decision-making. Air combat maneuver decision-making is to simulate the decision of fighter pilots to maneuver the aircraft in various air combat situations. Air combat maneuver decision-making mainly has the following three applications: ① Air combat simulation, in the air combat simulation, the selected air combat maneuver decision-making method is directly related to the credibility of the simulation results, which is the core part of the air combat simulation; ② Unmanned combat aircraft, air combat Decision-making is the "soul" and "brain" of unmanned combat aircraft, and is the key to realizing the unmanned operation of combat aircraft; ③ The "pilot assistant" system of manned aircraft, for manned aircraft, the "air combat decision-making as the core" The "driver assistant" system can reduce the burden on the driver and significantly improve the combat effectiveness.
可选地,在步骤S110中,根据飞行器实际性能限制因素,构建飞行器空战模型。Optionally, in step S110, an aircraft air combat model is constructed according to the actual performance limitation factors of the aircraft.
在一个实施例中,飞行器实际性能限制因素,包括:In one embodiment, actual aircraft performance limiting factors include:
轴向过载通道等价带宽,法向过载通道等价带宽,航迹滚转通道等价带宽,轴向过载最大值,法向过载最大值和航迹滚转最大值。Axial overload channel equivalent bandwidth, normal overload channel equivalent bandwidth, track roll channel equivalent bandwidth, axial overload maximum, normal overload maximum and track roll maximum.
通过考虑飞行器实际性能限制因素,建立飞行器空战模型如下:By considering the actual performance limitations of the aircraft, the air combat model of the aircraft is established as follows:
(1) (1)
其中,g为重力加速度;x、y、z为地面坐标系下的坐标值,x指正北,y指正东,z指地;V为飞行器飞行速度;为航迹倾斜角,为飞行器速度方向与水平面间的夹角;为航迹方位角,为飞行器速度矢量在水平投影与正北的夹角;、和分别为轴向过载实际值、法向过载实际值和实际航迹滚转角;、和分别为轴向过载指令值、法向过载指令值和航迹滚转角指令值;、和分别为轴向过载通道、法向过载通道和航迹滚转通道的等价带宽;、和分别为轴向过载通道、法向过载通道和航迹滚转通道的幅值限制函数。Among them,g is the acceleration of gravity;x ,y , andz are the coordinate values in the ground coordinate system,x refers to due north,y refers to due east, andz refers to the ground;V is the flight speed of the aircraft; is the track inclination angle, and is the angle between the speed direction of the aircraft and the horizontal plane; is the track azimuth, and is the angle between the horizontal projection of the aircraft's velocity vector and true north; , and are the actual value of axial overload, the actual value of normal overload and the actual track roll angle; , and are the axial overload command value, the normal overload command value and the track roll angle command value respectively; , and are the equivalent bandwidths of the axial overload channel, the normal overload channel and the track roll channel, respectively; , and are the amplitude limiting functions of the axial overload channel, the normal overload channel and the track roll channel, respectively.
幅值限制函数、和定义为:Amplitude limit function , and defined as:
(2) (2)
、和分别为轴向过载、法向过载和航迹滚转的最大值。 , and are the maximum values of axial overload, normal overload and track roll, respectively.
其中,轴向过载通道等价带宽、法向过载通道等价带宽和航迹滚转通道等价带宽,以及轴向过载最大值、法向过载最大值和航迹滚转最大值,其值取决于不同飞行器的性能,从而体现飞行器的实际性能限制。Among them, the equivalent bandwidth of the axial overload channel , the equivalent bandwidth of the normal overload channel Equivalent bandwidth with track roll channel , and the maximum axial overload , the maximum value of normal overload and maximum track roll , and its value depends on the performance of different aircraft, thus reflecting the actual performance limitations of the aircraft.
在步骤S120中,根据在飞行控制系统控制下的飞行器状态的动态响应的时间,分别为不同的飞行器状态设置不同的决策周期。In step S120, according to the time of dynamic response of the aircraft state under the control of the flight control system, different decision-making periods are respectively set for different aircraft states.
动态响应一般是指控制系统在典型输入信号的作用下,其输出量从初始状态到最终状态的响应。根据在飞行控制系统控制下的飞行器状态的动态响应的时间,分别为飞行器的高度、航向角和速度的机动决策设置不同的决策周期。Dynamic response generally refers to the response of the control system's output from the initial state to the final state under the action of a typical input signal. According to the dynamic response time of the aircraft state under the control of the flight control system, different decision-making cycles are set for the maneuvering decisions of the aircraft's altitude, heading angle and speed, respectively.
在步骤S130中,根据在设置决策周期后的飞行器状态,分别确定不同的飞行器状态对应的目标空战机动指令。In step S130, target air combat maneuver commands corresponding to different aircraft states are respectively determined according to the aircraft states after the decision cycle is set.
根据在设置对应决策周期后的飞行器状态,构建飞行器态势优势矩阵,并根据极大极小博弈策略,分别确定飞行器高度、航向角、速度对应的目标空战机动指令。According to the state of the aircraft after setting the corresponding decision cycle, the aircraft situational advantage matrix is constructed, and according to the minimax game strategy, the target air combat maneuver commands corresponding to the aircraft altitude, heading angle and speed are determined respectively.
在步骤S140中,根据目标空战机动指令和飞行器空战模型,对飞行器进行空战机动决策。In step S140, an air combat maneuver decision is made for the aircraft according to the target air combat maneuver instruction and the aircraft air combat model.
将目标空战机动指令输入至飞行控制系统,即可解算出控制系统输出量,并通过飞行器空战模型对飞行器进行空战机动决策,从而实时更新飞行器状态。Input the target air combat maneuver command into the flight control system, the output of the control system can be calculated, and the air combat maneuver decision of the aircraft can be made through the aircraft air combat model, so as to update the aircraft status in real time.
本发明实施例提供的空战机动决策方法,通过不同的飞行器状态在控制系统下的动态响应特性,分别为不同的飞行器状态的机动决策设置不同的决策周期,可有效减轻空战机动决策实时性和准确性之间的矛盾,实现快速高效的空战机动决策。The air combat maneuver decision-making method provided by the embodiments of the present invention sets different decision cycles for maneuver decisions of different aircraft states through the dynamic response characteristics of different aircraft states under the control system, which can effectively reduce the real-time and accurate air combat maneuver decision-making. The contradiction between sexes is realized, and fast and efficient air combat maneuvering decisions are realized.
在一个实施例中,根据在飞行控制系统控制下的飞行器状态的动态响应的时间,分别为不同的飞行器状态设置不同的决策周期,包括:In one embodiment, according to the time of the dynamic response of the aircraft state under the control of the flight control system, different decision-making cycles are respectively set for different aircraft states, including:
根据在垂直机动控制系统控制下,飞行器高度响应到达目标高度值,并保持在目标高度值所需的最短时间,为飞行器高度设置高度决策周期;According to the shortest time required for the aircraft altitude response to reach the target altitude value under the control of the vertical maneuver control system, and maintain the target altitude value, set the altitude decision cycle for the aircraft altitude;
根据在水平机动控制系统控制下,飞行器航向角响应到达目标航向角值,并保持在目标航向角值所需的最短时间,为飞行器航向角设置航向角决策周期;Set the heading angle decision cycle for the aircraft heading angle according to the shortest time required for the aircraft heading angle response to reach the target heading angle value and remain at the target heading angle value under the control of the horizontal maneuver control system;
根据在速度机动控制系统控制下,飞行器速度响应到达目标速度值,并保持在目标速度值所需的最短时间,为飞行器速度设置速度决策周期。According to the shortest time required for the speed response of the aircraft to reach the target speed value and remain at the target speed value under the control of the speed maneuver control system, the speed decision cycle is set for the aircraft speed.
可选地,设计面向空战机动的飞行控制系统,可以包括:垂直机动控制系统、水平机动控制系统和速度机动控制系统三部分。Optionally, a flight control system for air combat maneuvering is designed, which may include three parts: a vertical maneuvering control system, a horizontal maneuvering control system and a speed maneuvering control system.
基于飞行器状态在对应的飞行控制系统作用下的动态响应特性,为不同飞行器状态设置不同的决策周期。Based on the dynamic response characteristics of the aircraft state under the action of the corresponding flight control system, different decision-making cycles are set for different aircraft states.
例如,对于垂直机动控制系统,如果其调节时间为,则设置飞行器高度的决策周期为,对于水平机动控制系统,如果其调节时间为,则设置飞行器航向角的决策周期为,对于速度机动控制系统,如果其调节时间为,则设置飞行器速度的决策周期为。For example, for a vertical maneuver control system, if its adjustment time is , then the decision cycle for setting the aircraft altitude is , for the horizontal maneuvering control system, if its adjustment time is , then set the decision cycle of the aircraft heading angle as , for the speed maneuver control system, if its adjustment time is , then the decision cycle for setting the speed of the aircraft is .
其中,调节时间为飞行控制系统控制被控状态响应到达并保持在设定值±2%内所需的最短时间。Among them, the adjustment time is the shortest time required for the flight control system to control the controlled state response to reach and keep within ±2% of the set value.
也就是,垂直机动控制系统控制飞行器高度响应到达并保持在高度设定值±2%内所需的最短时间,即为飞行器高度的决策周期。That is, the shortest time required by the vertical maneuver control system to control the altitude response of the aircraft to reach and keep within ±2% of the altitude setting value is the decision cycle of the aircraft altitude.
水平机动控制系统控制飞行器航向角响应到达并保持在航向角设定值±2%内所需的最短时间,即为飞行器航向角的决策周期。The shortest time required by the horizontal maneuver control system to control the aircraft's heading angle response to reach and keep within ±2% of the heading angle set value is the decision-making cycle of the aircraft heading angle.
速度机动控制系统控制飞行器速度到达并保持在速度设定值±2%内所需的最短时间,即为飞行器速度的决策周期。The speed maneuver control system controls the shortest time required for the speed of the aircraft to reach and keep within ±2% of the speed set value, which is the decision cycle of the speed of the aircraft.
本发明实施例提供的空战机动决策方法,通过在飞行控制系统控制下,飞行器状态的动态响应的时间,为不同的飞行器状态的机动决策设置合理的决策周期,将更加有利于空战机动决策算法性能的改进。The air combat maneuvering decision-making method provided by the embodiments of the present invention sets a reasonable decision cycle for maneuvering decision-making in different aircraft states through the dynamic response time of the aircraft state under the control of the flight control system, which will be more beneficial to the performance of the air combat maneuvering decision-making algorithm improvement of.
在一个实施例中,根据在设置决策周期后的飞行器状态,分别确定不同的飞行器状态对应的目标空战机动指令,包括:In one embodiment, according to the state of the aircraft after the decision period is set, the target air combat maneuver instructions corresponding to different states of the aircraft are respectively determined, including:
根据在设置决策周期后的飞行器状态,分别确定不同的飞行器状态对应的优势矩阵;According to the state of the aircraft after the decision cycle is set, the advantage matrix corresponding to different aircraft states is determined respectively;
根据优势矩阵,分别确定不同的飞行器状态对应的目标空战机动指令。According to the advantage matrix, the target air combat maneuver instructions corresponding to different aircraft states are determined respectively.
可选地,根据在设置相应决策周期后的飞行器状态,构建飞行器态势优势矩阵,飞行器态势优势矩阵可以包括:高度优势矩阵、航向角优势矩阵和速度优势矩阵。Optionally, an aircraft situational advantage matrix is constructed according to the state of the aircraft after setting the corresponding decision cycle. The aircraft situational advantage matrix may include: a height advantage matrix, a heading angle advantage matrix and a speed advantage matrix.
根据飞行器态势优势矩阵,基于极大极小博弈策略,确定目标空战机动指令,目标空战机动指令可以包括:目标高度机动指令、目标航迹角机动指令和目标速度机动指令。According to the aircraft situational advantage matrix, based on the minimax game strategy, the target air combat maneuver command is determined. The target air combat maneuver command can include: target altitude maneuver command, target track angle maneuver command and target speed maneuver command.
本发明实施例提供的空战机动决策方法,根据设置不同决策周期后的飞行器状态,确定不同飞行状态对应的优势矩阵,从而确定不同飞行状态对应的目标空战指令,进一步改进了空战机动决策算法性能,实现快速高效的空战机动决策。The air combat maneuver decision-making method provided by the embodiment of the present invention determines the advantage matrix corresponding to different flight states according to the aircraft states after setting different decision cycles, thereby determining the target air combat instructions corresponding to different flight states, and further improves the performance of the air combat maneuver decision algorithm. Enables fast and efficient air combat maneuvering decisions.
在一个实施例中,根据在设置决策周期后的飞行器状态,分别确定不同的飞行器状态对应的优势矩阵,包括:In one embodiment, the advantage matrices corresponding to different aircraft states are determined respectively according to the state of the aircraft after the decision period is set, including:
根据在设置决策周期后的飞行器状态,分别确定不同的飞行器状态对应的可选变化区间;According to the state of the aircraft after the decision period is set, the optional change intervals corresponding to different states of the aircraft are respectively determined;
根据可选变化区间,分别确定不同的飞行器状态对应的可选机动指令;According to the optional change interval, the optional maneuvering commands corresponding to different aircraft states are determined respectively;
根据可选机动指令,分别确定不同的飞行器状态对应的状态集;Determine the state sets corresponding to different aircraft states according to the optional maneuvering commands;
根据状态集,分别确定不同的飞行器状态对应的优势矩阵。According to the state set, the advantage matrices corresponding to different aircraft states are determined respectively.
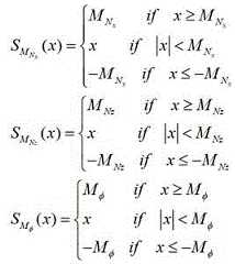
可选地,设置决策周期后的飞行器状态,包括:设置高度决策周期后飞行器的高度状态集、设置航向角决策周期后飞行器的航向角状态集和设置速度决策周期后飞行器的速度状态集。Optionally, setting the state of the aircraft after the decision period includes: setting the altitude decision period The altitude state set of the rear aircraft, setting the heading angle decision cycle The heading angle state set of the rear aircraft and the set speed decision cycle The set of speed states for the rear aircraft.
不同的飞行器状态对应的优势矩阵,即飞行器态势优势矩阵,包括:高度优势矩阵、航向角优势矩阵和速度优势矩阵。The advantage matrix corresponding to different aircraft states, namely the aircraft situation advantage matrix, includes: altitude advantage matrix, heading angle advantage matrix and speed advantage matrix.
例如,根据飞行器高度的决策周期,确定高度的可选变化区间,然后将其离散化,得到高度的可选机动指令,即可确定高度的决策周期后,飞行器的高度状态集为。For example, decision cycle based on aircraft altitude , determine the optional change interval of the height, and then discretize it to obtain the optional maneuvering command of the height , you can determine the height of the decision cycle After that, the altitude state set of the aircraft is .
根据飞行器航向角的决策周期,确定航向角的可选变化区间,然后将其离散化,得到航向角的可选机动指令,即可确定航向角的决策周期后,飞行器的航向角状态集为。Decision cycle based on aircraft heading angle , determine the optional change interval of the heading angle, and then discretize it to obtain the optional maneuvering command of the heading angle , the decision period of the heading angle can be determined Then, the heading angle state set of the aircraft is .
根据飞行器速度的决策周期,确定速度的可选变化区间,然后将其离散化,得到速度的可选机动指令,即可确定速度的决策周期后,飞行器的速度状态集为。Decision cycle based on aircraft speed , determine the optional change interval of the speed, and then discretize it to obtain the optional maneuvering command of the speed , the decision cycle of the speed can be determined Then, the speed state set of the aircraft is .
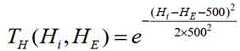
高度优势矩阵,为高度决策周期后飞行器的高度状态集与敌方飞机的高度相组合后的优势矩阵,如下:The height advantage matrix, which is the height decision cycle The altitude state set of the rear aircraft altitude with enemy aircraft The combined advantage matrix is as follows:
(3) (3)
其中,in,
(4) (4)
航向角优势矩阵,为航向角决策周期后飞行器的航向角状态集与敌方飞机的航向角相组合后的优势矩阵,如下:The heading angle advantage matrix, which is the heading angle decision cycle The heading angle state set of the rear aircraft The heading angle to the enemy aircraft The combined advantage matrix is as follows:
(5) (5)
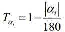
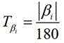
其中,为飞行器选择第i个航向角状态时的航向角优势。定义我方飞行器选择第i个航向角状态时,我方飞行器飞行速度方向与敌我飞行器质心连线的夹角为,敌方飞行器飞行速度方向与敌我飞行器质心连线的夹角为。飞行器选择第i个航向角状态时的航向角优势可以表示为:in, The heading angle advantage when thei -th heading angle state is selected for the aircraft. It is defined that when our aircraft selects thei -th heading angle state, the angle between the flight speed direction of our aircraft and the center of mass of the enemy aircraft is: , the angle between the flight speed direction of the enemy aircraft and the center of mass of the enemy aircraft is . The heading angle advantage when the aircraft selects thei -th heading angle state It can be expressed as:
(6) (6)
其中,0<a<1,0<b<1,a+b=1,且:where 0<a< 1, 0<b< 1,a+b= 1, and:
(7) (7)
(8) (8)
速度优势矩阵,为速度决策周期后飞行器的速度状态集与敌方飞机的速度相组合后的优势矩阵,如下:Speed advantage matrix, which is the speed decision cycle The speed state set of the rear aircraft Speed with enemy aircraft The combined advantage matrix is as follows:
(9) (9)
其中,in,
(10) (10)
本发明实施例提供的空战机动决策方法,通过在设置不同决策周期后的飞行器状态,从而确定飞行器状态对应的优势矩阵,进一步改进了空战机动决策算法性能,实现快速高效的空战机动决策。The air combat maneuvering decision-making method provided by the embodiments of the present invention further improves the performance of the air combat maneuvering decision algorithm and realizes fast and efficient air combat maneuvering decision by setting the aircraft states after different decision-making periods to determine the advantage matrix corresponding to the aircraft state.
在一个实施例中,根据优势矩阵,分别确定不同的飞行器状态对应的目标空战机动指令,包括:In one embodiment, according to the advantage matrix, the target air combat maneuver instructions corresponding to different aircraft states are respectively determined, including:
分别确定不同的飞行器状态对应的优势矩阵中最大值对应的机动指令;Determine the maneuver command corresponding to the maximum value in the advantage matrix corresponding to different aircraft states respectively;
将机动指令作为不同的飞行器状态对应的目标空战机动指令。The maneuver command is regarded as the target air combat maneuver command corresponding to different aircraft states.
可选地,在上述实施例的基础上,根据飞行器状态的态势优势矩阵,基于极大值原理,确定目标空战机动指令,目标空战机动指令包括:高度机动指令、航迹角机动指令和速度机动指令。Optionally, on the basis of the above embodiment, according to the situational advantage matrix of the aircraft state, based on the principle of maximum value, determine the target air combat maneuver command, and the target air combat maneuver command includes: altitude maneuver command, track angle maneuver command and speed maneuver. instruction.
例如,根据高度的决策周期,选择高度优势矩阵中最大值对应的高度机动指令;根据航迹角的决策周期,选择航迹角优势矩阵中最大值对应的航迹角机动指令;根据速度的决策周期,选择速度优势矩阵中最大值对应的速度机动指令。即可得到目标空战机动指令。For example, depending on the height of the decision cycle , select the height advantage matrix The altitude maneuver command corresponding to the medium and maximum value; the decision cycle according to the track angle , select the track angle dominance matrix The maneuver command of the track angle corresponding to the medium and maximum value; the decision cycle according to the speed , select the speed advantage matrix The speed maneuver command corresponding to the medium and maximum value. The target air combat maneuver command can be obtained.
本发明实施例提供的空战机动决策方法,通过在设置不同决策周期后的飞行器状态,并根据飞行器状态的态势优势矩阵,基于极大值原理,确定目标空战机动指令,从而实现飞行器空战机动决策,可进一步实现快速高效的空战机动决策。The air combat maneuver decision-making method provided by the embodiment of the present invention determines the target air combat maneuver command based on the state of the aircraft after setting different decision-making cycles, according to the situational advantage matrix of the aircraft state, and based on the principle of maximum value, thereby realizing the aircraft air combat maneuver decision. It can further realize fast and efficient air combat maneuver decision.
在一个实施例中,根据目标空战机动指令和飞行器空战模型,对飞行器进行空战机动决策,包括:In one embodiment, according to the target air combat maneuver instruction and the aircraft air combat model, the air combat maneuver decision is made on the aircraft, including:
根据目标空战机动指令,分别确定不同的飞行器状态对应的过载指令值;According to the target air combat maneuver command, respectively determine the overload command value corresponding to different aircraft states;
将过载指令值输入至飞行器空战模型,对飞行器进行空战机动决策。Input the overload command value to the aircraft air combat model, and make air combat maneuver decisions for the aircraft.
可选地,目标空战机动指令包括高度机动指令、航迹角机动指令和速度机动指令,将目标空战机动指令输入至飞行控制系统,解算出控制系统输出量,从而实时更新飞行器状态。Optionally, the target air combat maneuver command includes altitude maneuver command, track angle maneuver command and speed maneuver command. The target air combat maneuver command is input to the flight control system, and the control system output is calculated to update the aircraft state in real time.
例如,将高度机动指令输入至垂直机动控制系统,解算出法向过载指令值,将航迹角机动指令输入至水平机动控制系统,解算出航迹滚转角指令值,将速度机动指令输入至速度机动控制系统,解算出轴向过载指令值。For example, the altitude maneuver command is input to the vertical maneuver control system, and the normal overload command value is calculated. , input the track angle maneuver command to the horizontal maneuver control system, and calculate the track roll angle command value , input the speed maneuver command to the speed maneuver control system, and solve the axial overload command value .
根据解算出的过载指令值、航迹滚转角指令值和轴向过载指令值,代入飞行器空战模型中,对飞行器进行空战机动决策,从而实时更新飞行器状态。According to the calculated overload command value , track roll angle command value and axial overload command value , which is substituted into the aircraft air combat model to make air combat maneuver decisions for the aircraft, thereby updating the aircraft status in real time.
本发明实施例提供的空战机动决策方法,通过在设置不同决策周期后的飞行器状态,从而确定目标空战机动指令,实现飞行器空战机动决策,进一步减轻空战机动决策实时性和准确性之间的矛盾,实现快速高效的空战机动决策。The air combat maneuver decision-making method provided by the embodiment of the present invention determines the target air combat maneuver command by setting the state of the aircraft after different decision-making periods, realizes the aircraft air combat maneuver decision, and further reduces the contradiction between the real-time and accuracy of the air combat maneuver decision. Enables fast and efficient air combat maneuvering decisions.
图2是应用本发明提供的空战机动决策方法的示意图,参照图2,本发明提供的空战机动决策方法可以包括:Fig. 2 is the schematic diagram of applying the air combat maneuvering decision-making method provided by the present invention, with reference to Fig. 2, the air combat maneuvering decision-making method provided by the present invention may include:
S1:考虑飞行器实际性能限制因素,建立飞行器空战模型;S1: Consider the actual performance limitations of the aircraft, and establish an air combat model of the aircraft;
S2:针对上述飞行器空战模型,设计面向空战机动的飞行控制系统,并基于飞行器状态在飞行控制系统作用下的动态响应特性,为不同飞行器状态设置不同的决策周期;S2: According to the above aircraft air combat model, design a flight control system for air combat maneuvers, and set different decision-making cycles for different aircraft states based on the dynamic response characteristics of aircraft states under the action of the flight control system;
S3:估计相应决策周期后的飞行器状态,构建飞行器态势优势矩阵;S3: Estimate the state of the aircraft after the corresponding decision cycle, and construct the aircraft situational advantage matrix;
S4:针对上述态势优势矩阵,基于极大极小博弈策略,选取空战机动指令;S4: According to the above situational advantage matrix, based on the minimax game strategy, select the air combat maneuver command;
S5:将空战机动指令输入至飞行控制系统,解算出控制系统输出量,从而实时更新飞行器状态。S5: Input the air combat maneuver command to the flight control system, and calculate the output of the control system, so as to update the aircraft status in real time.
本发明实施例提供的空战机动决策方法,根据飞行器各个状态的不同动态响应特性,能够为各个状态的机动决策设置合理的决策周期。通过引入变周期决策思路,根据飞行器不同状态的动态特性设置空战机动决策周期,可有效减轻空战机动决策实时性和准确性之间的矛盾,实现快速高效的空战机动决策。The air combat maneuvering decision-making method provided by the embodiment of the present invention can set a reasonable decision-making period for maneuvering decision-making in each state according to different dynamic response characteristics of each state of the aircraft. By introducing the idea of variable cycle decision-making and setting the air combat maneuver decision cycle according to the dynamic characteristics of different states of the aircraft, the contradiction between the real-time and accuracy of air combat maneuver decision-making can be effectively alleviated, and fast and efficient air combat maneuver decision-making can be realized.
下面对本发明提供的空战机动决策装置进行描述,下文描述的空战机动决策装置与上文描述的空战机动决策方法可相互对应参照。The air combat maneuver decision-making device provided by the present invention is described below, and the air combat maneuver decision-making device described below and the air combat maneuver decision-making method described above can be referred to each other correspondingly.
图3为本发明提供的空战机动决策装置的结构示意图,如图3所示,该装置可以包括:FIG. 3 is a schematic structural diagram of an air combat maneuver decision-making device provided by the present invention. As shown in FIG. 3 , the device may include:
建模模块310,用于根据飞行器实际性能限制因素,构建飞行器空战模型;The
设置模块320,用于根据在飞行控制系统控制下的飞行器状态的动态响应的时间,分别为不同的飞行器状态设置不同的决策周期;The
确定模块330,用于根据在设置决策周期后的飞行器状态,分别确定不同的飞行器状态对应的目标空战机动指令;A
决策模块340,用于根据目标空战机动指令和飞行器空战模型,对飞行器进行空战机动决策;The decision-
其中,飞行器状态包括:高度、航向角和速度。Among them, the aircraft state includes: altitude, heading angle and speed.
本发明实施例提供的空战机动决策装置,通过不同的飞行器状态在控制系统下的动态响应特性,分别为不同的飞行器状态的机动决策设置不同的决策周期,可有效减轻空战机动决策实时性和准确性之间的矛盾,实现快速高效的空战机动决策。The air combat maneuver decision-making device provided by the embodiments of the present invention sets different decision cycles for maneuver decisions of different aircraft states through the dynamic response characteristics of different aircraft states under the control system, which can effectively reduce the real-time and accurate air combat maneuver decision-making. The contradiction between sexes is realized, and fast and efficient air combat maneuvering decisions are realized.
在一个实施例中,设置模块320具体用于:In one embodiment, the
根据在垂直机动控制系统控制下,飞行器高度响应到达目标高度值,并保持在目标高度值所需的最短时间,为飞行器高度设置高度决策周期;According to the shortest time required for the aircraft altitude response to reach the target altitude value under the control of the vertical maneuver control system, and maintain the target altitude value, set the altitude decision cycle for the aircraft altitude;
根据在水平机动控制系统控制下,飞行器航向角响应到达目标航向角值,并保持在目标航向角值所需的最短时间,为飞行器航向角设置航向角决策周期;Set the heading angle decision cycle for the aircraft heading angle according to the shortest time required for the aircraft heading angle response to reach the target heading angle value and remain at the target heading angle value under the control of the horizontal maneuver control system;
根据在速度机动控制系统控制下,飞行器速度响应到达目标速度值,并保持在目标速度值所需的最短时间,为飞行器速度设置速度决策周期。According to the shortest time required for the speed response of the aircraft to reach the target speed value and remain at the target speed value under the control of the speed maneuver control system, the speed decision cycle is set for the aircraft speed.
在一个实施例中,确定模块330具体用于:In one embodiment, the determining
根据在设置决策周期后的飞行器状态,分别确定不同的飞行器状态对应的优势矩阵;According to the state of the aircraft after the decision cycle is set, the advantage matrix corresponding to different aircraft states is determined respectively;
根据优势矩阵,分别确定不同的飞行器状态对应的目标空战机动指令。According to the advantage matrix, the target air combat maneuver instructions corresponding to different aircraft states are determined respectively.
在一个实施例中,根据在设置决策周期后的飞行器状态,分别确定不同的飞行器状态对应的优势矩阵,包括:In one embodiment, the advantage matrices corresponding to different aircraft states are determined respectively according to the state of the aircraft after the decision period is set, including:
根据在设置决策周期后的飞行器状态,分别确定不同的飞行器状态对应的可选变化区间;According to the state of the aircraft after the decision period is set, the optional change intervals corresponding to different states of the aircraft are respectively determined;
根据可选变化区间,分别确定不同的飞行器状态对应的可选机动指令;According to the optional change interval, the optional maneuvering commands corresponding to different aircraft states are determined respectively;
根据可选机动指令,分别确定不同的飞行器状态对应的状态集;Determine the state sets corresponding to different aircraft states according to the optional maneuvering commands;
根据状态集,分别确定不同的飞行器状态对应的优势矩阵。According to the state set, the advantage matrices corresponding to different aircraft states are determined respectively.
在一个实施例中,根据优势矩阵,分别确定不同的飞行器状态对应的目标空战机动指令,包括:In one embodiment, according to the advantage matrix, the target air combat maneuver instructions corresponding to different aircraft states are respectively determined, including:
分别确定不同的飞行器状态对应的优势矩阵中最大值对应的机动指令;Determine the maneuver command corresponding to the maximum value in the advantage matrix corresponding to different aircraft states respectively;
将机动指令作为不同的飞行器状态对应的目标空战机动指令。The maneuver command is regarded as the target air combat maneuver command corresponding to different aircraft states.
在一个实施例中,决策模块340具体用于:In one embodiment, the
根据目标空战机动指令,分别确定不同的飞行器状态对应的过载指令值;According to the target air combat maneuver command, respectively determine the overload command value corresponding to different aircraft states;
将过载指令值输入至飞行器空战模型,对飞行器进行空战机动决策。Input the overload command value to the aircraft air combat model, and make air combat maneuver decisions for the aircraft.
在一个实施例中,飞行器实际性能限制因素,包括:In one embodiment, actual aircraft performance limiting factors include:
轴向过载通道等价带宽,法向过载通道等价带宽,航迹滚转通道等价带宽,轴向过载最大值,法向过载最大值和航迹滚转最大值。Axial overload channel equivalent bandwidth, normal overload channel equivalent bandwidth, track roll channel equivalent bandwidth, axial overload maximum, normal overload maximum and track roll maximum.
图4示例了一种电子设备的实体结构示意图,如图4所示,该电子设备可以包括:处理器(processor)410、通信接口(Communications Interface)420、存储器(memory)430和通信总线440,其中,处理器410,通信接口420,存储器430通过通信总线440完成相互间的通信。处理器410可以调用存储器430中的逻辑指令,以执行空战机动决策方法,该方法包括:FIG. 4 illustrates a schematic diagram of the physical structure of an electronic device. As shown in FIG. 4 , the electronic device may include: a processor (processor) 410, a communication interface (Communications Interface) 420, a memory (memory) 430, and a
根据飞行器实际性能限制因素,构建飞行器空战模型;According to the actual performance constraints of the aircraft, build the aircraft air combat model;
根据在飞行控制系统控制下的飞行器状态的动态响应的时间,分别为不同的飞行器状态设置不同的决策周期;According to the dynamic response time of the aircraft state under the control of the flight control system, different decision-making cycles are set for different aircraft states;
根据在设置决策周期后的飞行器状态,分别确定不同的飞行器状态对应的目标空战机动指令;According to the state of the aircraft after the decision cycle is set, determine the target air combat maneuver commands corresponding to different aircraft states;
根据目标空战机动指令和飞行器空战模型,对飞行器进行空战机动决策;According to the target air combat maneuver command and the aircraft air combat model, make air combat maneuver decisions for the aircraft;
其中,飞行器状态包括:高度、航向角和速度。Among them, the aircraft state includes: altitude, heading angle and speed.
此外,上述的存储器430中的逻辑指令可以通过软件功能单元的形式实现并作为独立的产品销售或使用时,可以存储在一个计算机可读取存储介质中。基于这样的理解,本发明的技术方案本质上或者说对现有技术做出贡献的部分或者该技术方案的部分可以以软件产品的形式体现出来,该计算机软件产品存储在一个存储介质中,包括若干指令用以使得一台计算机设备(可以是个人计算机,服务器,或者网络设备等)执行本发明各个实施例所述方法的全部或部分步骤。而前述的存储介质包括:U盘、移动硬盘、只读存储器(ROM,Read-Only Memory)、随机存取存储器(RAM,Random Access Memory)、磁碟或者光盘等各种可以存储程序代码的介质。In addition, the above-mentioned logic instructions in the
另一方面,本发明还提供一种计算机程序产品,所述计算机程序产品包括计算机程序,计算机程序可存储在非暂态计算机可读存储介质上,所述计算机程序被处理器执行时,计算机能够执行上述各方法所提供的空战机动决策方法,该方法包括:In another aspect, the present invention also provides a computer program product, the computer program product includes a computer program, the computer program can be stored on a non-transitory computer-readable storage medium, and when the computer program is executed by a processor, the computer can Execute the air combat maneuver decision-making method provided by the above methods, the method includes:
根据飞行器实际性能限制因素,构建飞行器空战模型;According to the actual performance constraints of the aircraft, build the aircraft air combat model;
根据在飞行控制系统控制下的飞行器状态的动态响应的时间,分别为不同的飞行器状态设置不同的决策周期;According to the dynamic response time of the aircraft state under the control of the flight control system, different decision-making cycles are set for different aircraft states;
根据在设置决策周期后的飞行器状态,分别确定不同的飞行器状态对应的目标空战机动指令;According to the state of the aircraft after the decision cycle is set, determine the target air combat maneuver commands corresponding to different aircraft states;
根据目标空战机动指令和飞行器空战模型,对飞行器进行空战机动决策;According to the target air combat maneuver command and the aircraft air combat model, make air combat maneuver decisions for the aircraft;
其中,飞行器状态包括:高度、航向角和速度。Among them, the aircraft state includes: altitude, heading angle and speed.
又一方面,本发明还提供一种非暂态计算机可读存储介质,其上存储有计算机程序,该计算机程序被处理器执行时实现以执行上述各方法提供的空战机动决策方法,该方法包括:In yet another aspect, the present invention also provides a non-transitory computer-readable storage medium on which a computer program is stored, the computer program is implemented when executed by a processor to execute the air combat maneuvering decision-making method provided by the above methods, the method comprising: :
根据飞行器实际性能限制因素,构建飞行器空战模型;According to the actual performance constraints of the aircraft, build the aircraft air combat model;
根据在飞行控制系统控制下的飞行器状态的动态响应的时间,分别为不同的飞行器状态设置不同的决策周期;According to the dynamic response time of the aircraft state under the control of the flight control system, set different decision-making cycles for different aircraft states;
根据在设置决策周期后的飞行器状态,分别确定不同的飞行器状态对应的目标空战机动指令;According to the state of the aircraft after the decision cycle is set, determine the target air combat maneuver commands corresponding to different aircraft states;
根据目标空战机动指令和飞行器空战模型,对飞行器进行空战机动决策;According to the target air combat maneuver command and the aircraft air combat model, make air combat maneuver decisions for the aircraft;
其中,飞行器状态包括:高度、航向角和速度。Among them, the aircraft state includes: altitude, heading angle and speed.
以上所描述的装置实施例仅仅是示意性的,其中所述作为分离部件说明的单元可以是或者也可以不是物理上分开的,作为单元显示的部件可以是或者也可以不是物理单元,即可以位于一个地方,或者也可以分布到多个网络单元上。可以根据实际的需要选择其中的部分或者全部模块来实现本实施例方案的目的。本领域普通技术人员在不付出创造性的劳动的情况下,即可以理解并实施。The device embodiments described above are only illustrative, wherein the units described as separate components may or may not be physically separated, and the components shown as units may or may not be physical units, that is, they may be located in One place, or it can be distributed over multiple network elements. Some or all of the modules may be selected according to actual needs to achieve the purpose of the solution in this embodiment. Those of ordinary skill in the art can understand and implement it without creative effort.
通过以上的实施方式的描述,本领域的技术人员可以清楚地了解到各实施方式可借助软件加必需的通用硬件平台的方式来实现,当然也可以通过硬件。基于这样的理解,上述技术方案本质上或者说对现有技术做出贡献的部分可以以软件产品的形式体现出来,该计算机软件产品可以存储在计算机可读存储介质中,如ROM/RAM、磁碟、光盘等,包括若干指令用以使得一台计算机设备(可以是个人计算机,服务器,或者网络设备等)执行各个实施例或者实施例的某些部分所述的方法。From the description of the above embodiments, those skilled in the art can clearly understand that each embodiment can be implemented by means of software plus a necessary general hardware platform, and certainly can also be implemented by hardware. Based on this understanding, the above-mentioned technical solutions can be embodied in the form of software products in essence or the parts that make contributions to the prior art, and the computer software products can be stored in computer-readable storage media, such as ROM/RAM, magnetic A disc, an optical disc, etc., includes several instructions for causing a computer device (which may be a personal computer, a server, or a network device, etc.) to perform the methods described in various embodiments or some parts of the embodiments.
最后应说明的是:以上实施例仅用以说明本发明的技术方案,而非对其限制;尽管参照前述实施例对本发明进行了详细的说明,本领域的普通技术人员应当理解:其依然可以对前述各实施例所记载的技术方案进行修改,或者对其中部分技术特征进行等同替换;而这些修改或者替换,并不使相应技术方案的本质脱离本发明各实施例技术方案的精神和范围。Finally, it should be noted that the above embodiments are only used to illustrate the technical solutions of the present invention, but not to limit them; although the present invention has been described in detail with reference to the foregoing embodiments, those of ordinary skill in the art should understand that it can still be The technical solutions described in the foregoing embodiments are modified, or some technical features thereof are equivalently replaced; and these modifications or replacements do not make the essence of the corresponding technical solutions deviate from the spirit and scope of the technical solutions of the embodiments of the present invention.
| Application Number | Priority Date | Filing Date | Title |
|---|---|---|---|
| CN202111566939.0ACN113962032B (en) | 2021-12-21 | 2021-12-21 | Air combat maneuver decision-making method and device |
| Application Number | Priority Date | Filing Date | Title |
|---|---|---|---|
| CN202111566939.0ACN113962032B (en) | 2021-12-21 | 2021-12-21 | Air combat maneuver decision-making method and device |
| Publication Number | Publication Date |
|---|---|
| CN113962032Atrue CN113962032A (en) | 2022-01-21 |
| CN113962032B CN113962032B (en) | 2022-04-08 |
| Application Number | Title | Priority Date | Filing Date |
|---|---|---|---|
| CN202111566939.0AActiveCN113962032B (en) | 2021-12-21 | 2021-12-21 | Air combat maneuver decision-making method and device |
| Country | Link |
|---|---|
| CN (1) | CN113962032B (en) |
| Publication number | Priority date | Publication date | Assignee | Title |
|---|---|---|---|---|
| CN115235468A (en)* | 2022-06-21 | 2022-10-25 | 中国科学院自动化研究所 | Thermodynamic diagram-based decision method and device, electronic equipment and storage medium |
| Publication number | Priority date | Publication date | Assignee | Title |
|---|---|---|---|---|
| US6360193B1 (en)* | 1998-09-17 | 2002-03-19 | 21St Century Systems, Inc. | Method and system for intelligent agent decision making for tactical aerial warfare |
| US20070016464A1 (en)* | 2004-07-16 | 2007-01-18 | John Yen | Agent-based collaborative recognition-primed decision-making |
| CN107390706A (en)* | 2017-07-26 | 2017-11-24 | 北京航空航天大学 | A kind of unmanned plane short range combat decision-making technique based on the motor-driven algorithm of preview |
| CN108319286A (en)* | 2018-03-12 | 2018-07-24 | 西北工业大学 | A kind of unmanned plane Air Combat Maneuvering Decision Method based on intensified learning |
| US20180365975A1 (en)* | 2015-12-09 | 2018-12-20 | Origin Wireless, Inc. | Method, apparatus, and systems for wireless event detection and monitoring |
| CN111523177A (en)* | 2020-04-17 | 2020-08-11 | 西安科为实业发展有限责任公司 | Air combat countermeasure autonomous decision method and system based on intelligent learning |
| CN112668089A (en)* | 2020-11-30 | 2021-04-16 | 成都飞机工业(集团)有限责任公司 | Method for evaluating steady-state and transition-state performance of each system under maneuvering action of fighter plane |
| CN112906233A (en)* | 2021-03-08 | 2021-06-04 | 中国人民解放军国防科技大学 | Distributed near-end strategy optimization method based on cognitive behavior knowledge and application thereof |
| Publication number | Priority date | Publication date | Assignee | Title |
|---|---|---|---|---|
| US6360193B1 (en)* | 1998-09-17 | 2002-03-19 | 21St Century Systems, Inc. | Method and system for intelligent agent decision making for tactical aerial warfare |
| US20070016464A1 (en)* | 2004-07-16 | 2007-01-18 | John Yen | Agent-based collaborative recognition-primed decision-making |
| US20180365975A1 (en)* | 2015-12-09 | 2018-12-20 | Origin Wireless, Inc. | Method, apparatus, and systems for wireless event detection and monitoring |
| CN107390706A (en)* | 2017-07-26 | 2017-11-24 | 北京航空航天大学 | A kind of unmanned plane short range combat decision-making technique based on the motor-driven algorithm of preview |
| CN108319286A (en)* | 2018-03-12 | 2018-07-24 | 西北工业大学 | A kind of unmanned plane Air Combat Maneuvering Decision Method based on intensified learning |
| CN111523177A (en)* | 2020-04-17 | 2020-08-11 | 西安科为实业发展有限责任公司 | Air combat countermeasure autonomous decision method and system based on intelligent learning |
| CN112668089A (en)* | 2020-11-30 | 2021-04-16 | 成都飞机工业(集团)有限责任公司 | Method for evaluating steady-state and transition-state performance of each system under maneuvering action of fighter plane |
| CN112906233A (en)* | 2021-03-08 | 2021-06-04 | 中国人民解放军国防科技大学 | Distributed near-end strategy optimization method based on cognitive behavior knowledge and application thereof |
| Title |
|---|
| TSUNG-YING SUN等: ""The Study on Intelligent Advanced Fighter Air Combat Decision Support System"", 《2006 IEEE INTERNATIONAL CONFERENCE ON INFORMATION REUSE & INTEGRATION》* |
| YANGMING KANG等: ""Air-to-Air Combat Tactical Decision Method Based on SIRMs Fuzzy Logic and Improved Genetic Algorithm"", 《ADVANCES IN GUIDANCE, NAVIGATION AND CONTROL》* |
| YANGMING KANG等: ""Beyond-Visual-Range Tactical Game Strategy for Multiple UAVs"", 《2019 CHINESE AUTOMATION CONGRESS(CAC)》* |
| 孟光磊等: "基于动态贝叶斯网络的空战决策方法", 《指挥控制与仿真》* |
| 王德鑫等: "空战中基于威胁评估的任务规划", 《火力与指挥控制》* |
| 黄吉传等: "无人机协同作战效能评估指标体系设计与分析", 《西安工业大学学报》* |
| Publication number | Priority date | Publication date | Assignee | Title |
|---|---|---|---|---|
| CN115235468A (en)* | 2022-06-21 | 2022-10-25 | 中国科学院自动化研究所 | Thermodynamic diagram-based decision method and device, electronic equipment and storage medium |
| Publication number | Publication date |
|---|---|
| CN113962032B (en) | 2022-04-08 |
| Publication | Publication Date | Title |
|---|---|---|
| CN113095481B (en) | Air combat maneuver method based on parallel self-game | |
| CN111273688B (en) | Consistent Formation Control Method for Quadrotor UAVs Based on Event Trigger | |
| CN113985740B (en) | Stability control method and device based on particle active disturbance rejection | |
| CN116185059B (en) | Autonomous evasive maneuver decision-making method for UAV air combat based on deep reinforcement learning | |
| CN115877871B (en) | Non-zero and game unmanned aerial vehicle formation control method based on reinforcement learning | |
| CN118300893B (en) | Design method of distributed protocol for spacecraft formation attack immunity based on time-varying feedback | |
| CN108803648A (en) | Unmanned vehicle robust attitude control method, device and electronic equipment | |
| CN112631316A (en) | Limited time control method of variable-load quad-rotor unmanned aerial vehicle | |
| CN114063644A (en) | An autonomous decision-making method for unmanned combat aircraft in air combat based on pigeon flock reverse adversarial learning | |
| CN113962032B (en) | Air combat maneuver decision-making method and device | |
| CN116839429B (en) | An integrated method of guidance and control considering seeker field of view angle constraints | |
| CN118331062B (en) | Adaptive fuzzy fractional-order sliding mode fault-tolerant control method and system for unmanned aerial vehicle with hanging load | |
| JP2024522486A (en) | Roll-biased skid-to-turn end guidance with rudder integrator feedback | |
| CN116880186B (en) | A data-driven adaptive dynamic programming method for air combat decision making | |
| CN118394098A (en) | Consistency control method for rotor unmanned aerial vehicle formation under asynchronous switching topology | |
| CN109062242B (en) | A new control method for rotary-wing drones | |
| CN115657730A (en) | A robust cluster formation control method for large-scale multi-rotor UAVs | |
| CN114492677B (en) | Unmanned aerial vehicle countermeasure method and device | |
| CN118034065B (en) | Training method and device for unmanned aerial vehicle decision network | |
| CN114020038B (en) | A multi-quadrotor UAV adaptive sliding mode attitude tracking control method and system | |
| CN115033008A (en) | A method, device, equipment and medium for trajectory planning of unmanned aerial vehicle | |
| CN116266061A (en) | An RTX-based intelligent ammunition cooperative combat system evaluation simulation platform | |
| CN118938675A (en) | Guidance and control integrated design method, equipment and medium under general field of view constraints | |
| CN117348392B (en) | A distributed optimization method for multi-aircraft close-range air combat maneuvering decision-making | |
| CN116610139B (en) | Unmanned plane cluster distributed cooperative guidance law based on multi-agent reinforcement learning method |
| Date | Code | Title | Description |
|---|---|---|---|
| PB01 | Publication | ||
| PB01 | Publication | ||
| SE01 | Entry into force of request for substantive examination | ||
| SE01 | Entry into force of request for substantive examination | ||
| GR01 | Patent grant | ||
| GR01 | Patent grant |