Movatterモバイル変換


[0]ホーム

URL:


CN113947328A - Industrial chain upstream and downstream intelligent matching method and system based on big data - Google Patents

Industrial chain upstream and downstream intelligent matching method and system based on big data
Download PDF

Info

Publication number
CN113947328A
CN113947328ACN202111266911.5ACN202111266911ACN113947328ACN 113947328 ACN113947328 ACN 113947328ACN 202111266911 ACN202111266911 ACN 202111266911ACN 113947328 ACN113947328 ACN 113947328A
Authority
CN
China
Prior art keywords
order
upstream
classified
production line
capacity
Prior art date
Legal status (The legal status is an assumption and is not a legal conclusion. Google has not performed a legal analysis and makes no representation as to the accuracy of the status listed.)
Pending
Application number
CN202111266911.5A
Other languages
Chinese (zh)
Inventor
叶柏龙
涂雅娟
唐泽诚
王守选
胡志刚
Current Assignee (The listed assignees may be inaccurate. Google has not performed a legal analysis and makes no representation or warranty as to the accuracy of the list.)
Hunan Powerise Information Technology Co ltd
Original Assignee
Hunan Powerise Information Technology Co ltd
Priority date (The priority date is an assumption and is not a legal conclusion. Google has not performed a legal analysis and makes no representation as to the accuracy of the date listed.)
Filing date
Publication date
Application filed by Hunan Powerise Information Technology Co ltdfiledCriticalHunan Powerise Information Technology Co ltd
Priority to CN202111266911.5ApriorityCriticalpatent/CN113947328A/en
Publication of CN113947328ApublicationCriticalpatent/CN113947328A/en
Pendinglegal-statusCriticalCurrent

Links

Images

Classifications

Landscapes

Abstract

The invention discloses an industrial chain upstream and downstream intelligent matching method and system based on big data, wherein an industrial chain upstream demand mathematical model is established by acquiring order information issued by an upstream demand side, and the order classification total U of the upstream demand side is calculated; acquiring factory information sent by a downstream supply side of an industrial chain, establishing a mathematical model of the downstream supply side of the industrial chain, and calculating the enterprise classified capacity V of the downstream supply side; and comparing and matching the calculated classified total U of the orders on the upstream demand side with the classified capacity V of the enterprises on the downstream supply side, and constructing an intelligent matching model IMMCO of the orders and the capacity on the upstream and the downstream of the industrial chain. The invention can provide a solution plan for a processing plant at the downstream supply side and a trading company at the upstream demand side of an industrial chain, and the solution plan and the trading company can be rapidly communicated in two directions, thereby realizing intelligent matching of supply and demand of industrial resources; the intelligent degree and the calculation precision are high; the production efficiency is improved, and the traceability of the order form of the product is strong; reduce the cost of enterprises, improve the efficiency and improve the overall competitiveness of the gathering area.

Description

Industrial chain upstream and downstream intelligent matching method and system based on big data
Technical Field
The invention relates to the technical field of intelligent manufacturing, and particularly discloses an industrial chain upstream and downstream intelligent matching method and system based on big data.
Background
The order mode accounts for more than 80% of the whole production enterprise industrial chain, and is the most common operation mode of industrial chain enterprises. The method is divided into 7 service scenes of order form, sample making, contract signing, production, subsequent processing, inspection, order delivery and the like according to the sequence of service development. The order business scene is the source of the whole business initiation, and the general situation is divided into two order categories of internal trade and external trade. The method is the most concerned core of various production enterprises, and how to make the production resources of the enterprises continuously obtain orders matched with the production resources is the guarantee of the subsequent stable operation of the enterprises.
However, in the existing production, a general pain point problem exists: that is, there is no system in which the production order and the processing plant are fused with each other, that is, although the foreign trade company, the buyer, the foreign trade company and the individual user have the production order, it is difficult to find the proper processing plant; each processing plant has production resources, and a proper production order is difficult to find; in addition, most small-sized production enterprises are not equipped with professional equipment maintenance engineers for saving cost, and the enterprise equipment is difficult to maintain and lack of maintenance.
Therefore, the above-mentioned defects in the existing production are a technical problem to be solved.
Disclosure of Invention
The invention provides an industrial chain upstream and downstream intelligent matching method and system based on big data, and aims to solve the technical problem of the defects in the existing production.
The invention relates to an industrial chain upstream and downstream intelligent matching method based on big data, which comprises the following steps:
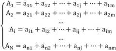
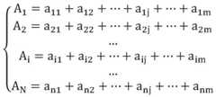
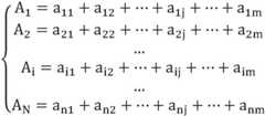
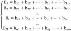
acquiring order information issued by an upstream demand side, establishing an industrial chain upstream demand mathematical model, taking an upstream demand side order classification total quantity U as a dependent variable in the upstream demand mathematical model, taking an order magnitude variable x, an order statistical total quantity A with the same magnitude and a certain customer order quantity a as independent variables with three different dimensions in the upstream demand mathematical model, establishing an upstream demand side order classification total quantity mathematical function relation, and calculating the upstream demand side order classification total quantity U;
acquiring factory information sent by a downstream supply side of an industrial chain, and establishing a mathematical model of the downstream supply side of the industrial chain, wherein classified productivity V of enterprises at the downstream supply side is taken as a dependent variable in the mathematical model of the downstream supply side, daily productivity y of a production line of the same type, daily capacity statistical total amount B of the production line of the same type and idle date amount B of the production line of a certain factory are taken as independent variables of three different dimensions in the mathematical model of the downstream supply side, a mathematical functional relation of the classified productivity of the enterprises at the downstream supply side is established, and the classified productivity V of the enterprises at the downstream supply side is calculated according to the established mathematical functional relation of the classified productivity of the enterprises at the downstream supply side;
and comparing and matching the calculated classified total U of the orders on the upstream demand side with the classified productivity V of the enterprises on the downstream supply side, and constructing an intelligent matching model IMMCO of the orders and the productivity on the upstream and the downstream of the industrial chain.
Further, the steps of obtaining order information issued by an upstream demand side, establishing an industrial chain upstream demand mathematical model, taking an upstream demand side order classification total amount U as a dependent variable in the upstream demand mathematical model, taking an order magnitude variable x, an order statistical total amount a with the same magnitude and a certain customer order amount a as independent variables with three different dimensions in the upstream demand mathematical model, establishing an upstream demand side order classification total amount mathematical function relation, and calculating the upstream demand side order classification total amount U include:
the upstream demand side order classification total quantity mathematical function relation is as follows:
U=f(x,A,a)
in the above formula, U represents the total amount of the orders classified on the upstream demand side, x represents an order magnitude variable, a represents the statistical total amount of the orders of the same magnitude, and a represents the order amount of a certain customer.
Further, the total amount of the upstream demand side order classification U is obtained by the following formula:
U=A1x1+A2x2+…+Aixi+…+Anxn
wherein A isiRepresenting the aggregate total, x, of the ith volume order sorted by volumeiAn order magnitude variable representing an ith magnitude order classified by magnitude;
the total order quantity A of the same order is calculated by the following formula:
Figure BDA0003325231220000021
wherein A isiRepresents the aggregate total of the ith volume orders sorted by volume, aijRepresenting the order quantity of the jth customer in the ith quantity order sorted by quantity.
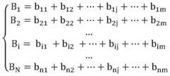
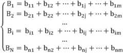
Further, the step of obtaining factory information sent by a downstream supply side of an industrial chain and establishing a mathematical model of the downstream supply side of the industrial chain, wherein classified production capacity V of enterprises on the downstream supply side is used as a dependent variable in the mathematical model of the downstream supply side, daily production capacity y of a production line of the same type, statistical total daily production capacity B of the same type of production line and idle date amount B of a production line of a certain factory are used as independent variables with three different dimensions in the mathematical model of the downstream supply side, a mathematical functional relation formula of the classified production capacity of the enterprises on the downstream supply side is established, and the step of calculating the classified production capacity V of the enterprises on the downstream supply side according to the established mathematical functional relation formula of the classified production capacity of the enterprises on the downstream supply side comprises the following steps:
the mathematical function relation formula of the classified productivity of the downstream supply side enterprise is as follows:
V=f(y,B,b)
in the above formula, V represents classified capacity of downstream supply-side enterprises, y represents daily capacity of the same type of production line, B represents statistical total daily capacity of the same type of production line, and B represents idle date amount of the same type of production line in a certain plant.
Further, the downstream supply-side enterprise classified capacity V is obtained by the following formula:
V=B1y1+B2y2+…+Biyi+…+Bnyn
wherein, BiIndicating the total number of days that the i-th machine equipment production line classified by machine equipment model can be put into production, yiThe daily output of an i-th equipment type production line classified according to the machine equipment model is represented;
the daily productivity statistical total amount B of the same type of production line is calculated by the following formula:
Figure BDA0003325231220000031
wherein, BiRepresenting the total number of days that the ith machine equipment production line, classified by machine equipment model, can be put into production, bijIndicating the date on which the type i machine equipment production line classified by machine equipment model number, in which the type j factory can be put into production.
Another aspect of the present invention relates to a big data based industry chain upstream and downstream intelligent matching system, comprising:
the first calculation module is used for acquiring order information issued by an upstream demand side, establishing an industrial chain upstream demand mathematical model, taking an upstream demand side order classification total quantity U as a dependent variable in the upstream demand mathematical model, taking an order magnitude variable x, an order statistical total quantity A with the same magnitude and a certain customer order quantity a as independent variables with three different dimensions in the upstream demand mathematical model, establishing an upstream demand side order classification total quantity mathematical function relation, and calculating the upstream demand side order classification total quantity U;
the second calculation module is used for acquiring factory information sent by a downstream supply side of the industrial chain and establishing a mathematical model of the downstream supply side of the industrial chain, wherein the classified productivity V of enterprises at the downstream supply side is used as a dependent variable in the mathematical model of the downstream supply side, the daily productivity y of the same type of production line, the daily productivity statistical total amount B of the same type of production line and the idle date amount B of the type of production line of a certain factory are used as independent variables of three different dimensions in the mathematical model of the downstream supply side, a mathematical functional relation formula of the classified productivity of the enterprises at the downstream supply side is established, and the classified productivity V of the enterprises at the downstream supply side is calculated according to the established mathematical functional relation formula of the classified productivity of the enterprises at the downstream supply side;
and the matching module is used for comparing and matching the calculated classified total U of the orders on the upstream demand side with the classified productivity V of the enterprises on the downstream supply side, and constructing an intelligent matching model IMMCO of the orders and the productivity on the upstream and the downstream of the industrial chain.
Further, the mathematical function relation of the order classification total amount of the upstream demand side is as follows:
U=f(x,A,a)
in the above formula, U represents the total amount of the orders classified on the upstream demand side, x represents an order magnitude variable, a represents the statistical total amount of the orders of the same magnitude, and a represents the order amount of a certain customer.
Further, the total amount of the upstream demand side order classification U is obtained by the following formula:
U=A1x1+A2x2+…+Aixi+…+Anxn
wherein A isiRepresenting the aggregate total, x, of the ith volume order sorted by volumeiAn order magnitude variable representing an ith magnitude order classified by magnitude;
the total order quantity A of the same order is calculated by the following formula:
Figure BDA0003325231220000041
wherein A isiRepresents the aggregate total of the ith volume orders sorted by volume, aijRepresenting the order quantity of the jth customer in the ith quantity order sorted by quantity.
Further, the mathematical function relation of the classified capacity of the downstream supply side enterprise is as follows:
V=f(y,B,b)
in the above formula, V represents classified capacity of downstream supply-side enterprises, y represents daily capacity of the same type of production line, B represents statistical total daily capacity of the same type of production line, and B represents idle date amount of the same type of production line in a certain plant.
Further, the downstream supply-side enterprise classified capacity V is obtained by the following formula:
V=B1y1+B2y2+…+Biyi+…+Bnyn
wherein, BiIndicating the total number of days that the i-th machine equipment production line classified by machine equipment model can be put into production, yiThe daily output of an i-th equipment type production line classified according to the machine equipment model is represented;
the daily productivity statistical total amount B of the same type of production line is calculated by the following formula:
Figure BDA0003325231220000051
wherein, BiRepresenting the total number of days that the ith machine equipment production line, classified by machine equipment model, can be put into production, bijIndicating the date on which the type i machine equipment production line classified by machine equipment model number, in which the type j factory can be put into production.
The beneficial effects obtained by the invention are as follows:
the invention provides an industrial chain upstream and downstream intelligent matching method and system based on big data.A mathematical model of an industrial chain upstream demand is established by obtaining order information issued by an upstream demand side, an upstream demand side order classification total quantity U is taken as a dependent variable in the mathematical model of the upstream demand, an order magnitude variable x, an order statistical total quantity A with the same magnitude and a certain customer order quantity a are taken as independent variables with three different dimensions in the mathematical model of the upstream demand, a mathematical function relation formula of the upstream demand side order classification total quantity is established, and the upstream demand side order classification total quantity U is calculated; acquiring factory information sent by a downstream supply side of an industrial chain, and establishing a mathematical model of the downstream supply side of the industrial chain, wherein classified productivity V of enterprises at the downstream supply side is taken as a dependent variable in the mathematical model of the downstream supply side, daily productivity y of a production line of the same type, daily capacity statistical total amount B of the production line of the same type and idle date amount B of the production line of a certain factory are taken as independent variables of three different dimensions in the mathematical model of the downstream supply side, a mathematical functional relation of the classified productivity of the enterprises at the downstream supply side is established, and the classified productivity V of the enterprises at the downstream supply side is calculated according to the established mathematical functional relation of the classified productivity of the enterprises at the downstream supply side; and comparing and matching the calculated classified total U of the orders on the upstream demand side with the classified capacity V of the enterprises on the downstream supply side, and constructing an intelligent matching model IMMCO of the orders and the capacity on the upstream and the downstream of the industrial chain. The industrial chain upstream and downstream intelligent matching method and system based on the big data can provide a solution plan for a processing plant at the downstream supply side and a trade company at the upstream demand side of the industrial chain, and enable the processing plant and the trade company to rapidly carry out bidirectional communication, so that the industrial resource supply and demand intelligent matching is realized; the intelligent degree and the calculation precision are high; the production efficiency is improved, and the traceability of the order form of the product is strong; reduce the cost of enterprises, improve the efficiency and improve the overall competitiveness of the gathering area.
Drawings
Fig. 1 is a schematic flow chart of an embodiment of an industrial chain upstream and downstream intelligent matching method based on big data according to the present invention;
fig. 2 is a functional block diagram of an embodiment of a big data based industry chain upstream and downstream intelligent matching system provided by the present invention.
The reference numbers illustrate:
10. a first calculation module; 20. a second calculation module; 30. and a matching module.
Detailed Description
In order to better understand the technical solution, the technical solution will be described in detail with reference to the drawings and the specific embodiments.
As shown in fig. 1, a first embodiment of the present invention provides a big data-based intelligent upstream and downstream matching method for an industry chain, including the following steps:
the invention relates to an industrial chain upstream and downstream intelligent matching method based on big data, which comprises the following steps:
step S100, obtaining order information issued by an upstream demand side, establishing an industrial chain upstream demand mathematical model, taking an upstream demand side order classification total quantity U as a dependent variable in the upstream demand mathematical model, taking an order magnitude variable x, an order statistical total quantity A with the same magnitude and a certain customer order quantity a as independent variables with three different dimensions in the upstream demand mathematical model, establishing an upstream demand side order classification total quantity mathematical function relation, and calculating the upstream demand side order classification total quantity U.
The upstream demand side needs to release order information, and the downstream supply side acquires the order information released by the upstream demand side. The order information mainly comprises: product name, processing requirements, equipment requirements, material requirements (such as silk quality, gram weight, mixing ratio), completion time requirements and the like. And the downstream supply side acquires the order task sent by the upstream demand side to obtain related order information in the order task.
The upstream demand side order classification total quantity mathematical function relation is as follows:
U=f(x,A,a) (1)
in the formula (1), U represents the total amount of orders classified on the upstream demand side, x represents an order magnitude variable, a represents the statistical total amount of orders of the same magnitude, and a represents the order amount of a certain customer.
Describing variable parameters:
1) x represents an order magnitude variable, which is the first dimension variable of the order. Description of the drawings: x is a variable that the demand side sorts by order magnitude, since orders of different magnitude will directly decide to preferentially match plants of equal capacity. For example, the orders may be divided into different orders of magnitude, such as 1 thousand double, 5 thousand double, 10 thousand double, 30 thousand double, etc., but a 10 thousand double order will preferentially select a plant that can complete 10 thousand double orders, and multiple plants will be considered to jointly produce and complete the order when one plant cannot meet the orders. The order magnitude variable x is therefore the first parameter variable to consider in the match.
2) A represents the total amount of orders of the same magnitude and is a second dimension variable of the orders. Description of the drawings: after the total amount of the orders of the demand side with the same magnitude is counted, the total amount of the order tasks of the same type in the same time period can be known. For example, an order for 1-thousand-double stockings totals 20-thousand-double, and is first matched with an enterprise with 20-thousand-double production capacity.
3) a represents the order quantity of a certain customer, and is a third dimension variable of the order. Description of the drawings: the order of a certain type classified according to order magnitude in the order of the demand side is composed of a plurality of specific customers, wherein the order quantity of a specific customer is a. For example, suppose that the order of three of 5-thousand double level orders is 3 (one U.S., Russia, UK); i.e. a-3.
In step S200, according to the obtained order task, an order magnitude variable x, a statistical total amount a of orders of the same magnitude, and an order amount a of a certain customer are calculated, and then, an industry chain upstream demand mathematical model is established. In an upstream demand mathematical model of an industrial chain, the calculated order magnitude variable x, the order statistical total quantity A with the same magnitude and a certain customer order quantity a are used as independent variables of three different dimensions in the upstream demand mathematical model, the upstream demand side order classification total quantity U required to be solved is used as a dependent variable in the upstream demand mathematical model, and an upstream demand side order classification total quantity mathematical function relation formula is established.
It is known that: x is order magnitude variable, A is order total amount of the same magnitude, a is order amount of a certain customer, and U is order classification total amount of the demand side. The three variables x, a can be further decomposed as follows:
1) order magnitude variable x: according to different magnitudes, the method can be decomposed into: x is the number of1,x2,...xi...xn. For example: the orders can be divided into different orders of magnitude of 1 thousand double, 5 thousand double, 10 thousand double, 30 thousand double, etc. because a 20 thousand double order will preferentially select a plant that can produce 20 thousand double orders, the order magnitude is the primary factor to be considered first in the order matching process.
2) Order total amount a of the same order: the same type of product order may also be broken down into, depending on the magnitude: a. the1,A2,...Ai...An. For example: let A1Is 1 ten thousand double-magnitudeThe statistical total amount of the stocking of the uniform flesh color female silk stockings, A25 ten thousand double-magnitude long uniform flesh color female silk stockings and A3The stockings … with the same length and the same meat color are sequentially pushed to An. Since the orders of different customers in different countries and different regions are not always in the same order magnitude, the total amount of orders A in different orders magnitude is needed in the statisticsiAnd summarizing to finally obtain the total order amount of the same type of products.
3) Order quantity a of a certain customer: according to a certain order magnitude number i and a specific certain customer number j, a, the method can be decomposed into the following steps: a is11...,aij...,anm. Namely aijRepresenting the order quantity of the jth customer in the order of the ith magnitude class. For example: the third 5 numbered order in the 5-thousand-double-quantity order has 3 orders, namely a553. Such a sort summary is performed to quickly track to the production plant and the corresponding lot when an unacceptable product is present.
Specifically, the order magnitude variable x is decomposed into x according to magnitude difference1,x2,...xi...xn(ii) a Decomposing the order statistical total amount A of the same order into A according to different orders1,A2,...Ai...An(ii) a According to the order number i and the specific customer number j, the order quantity a of a certain customer is decomposed into a11...,aij...,anmThen, the total amount of the order classification on the upstream demand side is obtained by the following formula:
U=f(x1,x2,...,xn,A1,A2,...,An,a11...,aij...,anm) (2)
in the formula (2), x1,x2,...,xnThe summary total of order magnitude variables representing order magnitude variables x sorted by magnitude; a. the1,A2,...,AnRepresenting the summary total of the same-order statistical total A of the order orders classified by the volume grades; the customer's order size; a is11...,aij...,anmRepresenting the amount of customer orders sorted by magnitude for a certain amount of customer orders a.
Further, the total order amount a of the same order is calculated by the following formula:
Figure BDA0003325231220000091
in the formula (3), AiRepresents the aggregate total of the ith volume orders sorted by volume, aijRepresenting the order quantity of the jth customer in the ith quantity order sorted by quantity.
Wherein A isiAnd aijThe definitions are as follows:
1)Airepresents the aggregate total of the ith volume orders sorted by the table volume. For example: if 5 ten thousand double orders (A)5) All customers' orders in 10, the total amount A is summarized550 ten thousand pairs.
2)aijRepresenting the order quantity of the jth customer in the ith quantity order sorted by quantity. For example: if the 5 th customer in the 5-thousand-double-quantity order has 3 orders; then the customer places an order amount of three a55=3。
Specifically, the total amount U of the upstream demand side order classification is obtained by the following formula:
U=A1x1+A2x2+…+Aixi+…+Anxn (4)
in the formula (4), AiRepresenting the aggregate total, x, of the ith volume order sorted by volumeiAn order magnitude variable representing an ith magnitude order sorted by magnitude.
Step S200, acquiring factory information sent by a downstream supply side of an industrial chain, and establishing a mathematical model of the downstream supply side of the industrial chain, wherein classified productivity V of enterprises at the downstream supply side is used as a dependent variable in the mathematical model of the downstream supply side, daily productivity y of a production line of the same type, daily capacity statistical total amount B of the production line of the same type and idle date amount B of a production line of a certain factory are used as independent variables with three different dimensions in the mathematical model of the downstream supply side, a mathematical functional relation formula of the classified productivity of the enterprises at the downstream supply side is established, and the classified productivity V of the enterprises at the downstream supply side is calculated according to the established mathematical functional relation formula of the classified productivity of the enterprises at the downstream supply side.
The supply side at the downstream of the industrial chain sends out factory information, and the factory information mainly comprises: information such as the name of the plant, the production specials, several production lines and real-time scheduling conditions (including idle slots), how many machine devices, personnel conditions, the address of the plant, the registered capital and the like.
The mathematical function relation formula of the classified productivity of the downstream supply side enterprise is as follows:
V=f(y,B,b) (5)
in the formula (5), V represents classified capacity of the downstream supply-side enterprise, y represents daily capacity of the same type of production line, B represents statistical total daily capacity of the same type of production line, and B represents idle date amount of the same type of production line of a certain plant.
Describing variable parameters:
1) y represents the daily capacity of a certain type of production line. Daily capacity of a certain type of production line classified by machine equipment model on the supply side. For example: daily capacity of the production line of the M-shaped hosiery machine produced in Japan; because there are different types of equipment in the plant, which are different in degree of automation, their daily capacities vary greatly; therefore, the daily capacity total amount can be more easily counted according to the classification of the equipment types, and the matching of the capacity and the order quantity level is realized.
2) B represents the daily capacity statistical total amount of the same type of production line. The supply side counts the total amount of idle dates (i.e., the total amount of dates that can be put into production) for the same type of production line. For example: the sum of dates on which the production lines of the M-type hosiery knitting machines produced in japan can be put into production in different factories (these production lines may be distributed in different factories); in the matching process of a factory and orders, the same type of production line can produce the same type of order products as much as possible so as to meet the same process and quality standard.
3) b represents the amount of idle dates of the production line of the type in a certain factory. The amount of idle dates (dates that can be put into production) for a particular type of line at a particular plant. For example: the idle date (i.e., the date of putting into production) of the type of the production line in the N factory in the production line of M-type hosiery machine manufactured in Japan.
And according to the acquired plant information, calculating daily capacity y of the same type of production line, daily capacity statistical total amount B of the same type of production line and idle date amount B of the same type of production line of a certain plant, and then establishing a downstream supply side mathematical model of the industrial chain. In the mathematical model of the downstream supply side of the industrial chain, the calculated daily production energy y of the same type of production line, the statistical total daily capacity B of the same type of production line and the idle date amount B of the production line of a certain factory are used as independent variables of three different dimensions in the mathematical model of the downstream supply side, and the classified production capacity V of the downstream supply side enterprise to be calculated is used as a dependent variable in the mathematical model of the downstream supply side, so that a mathematical function relation formula of the classified production capacity of the downstream supply side enterprise is established.
It is known that: y is the daily capacity of a certain type of production line, B is the sum of the daily capacities of the same type of production line, B is the amount of idle dates of the type of production line of a certain factory, and V is set as the classified capacity of the supply-side enterprise. The three variables y, B can be further broken down as follows:
1) daily energy y of a certain type of production line: the daily energy y of a production line of a certain equipment type can be decomposed into: y is1,y2,...yi...,yn. E.g. y1Defining the daily energy of the production line of the M-shaped hosiery machine produced in Japan; because the automation degree of different types of equipment is high or low, the daily energy difference is very large, and the quality of finished products produced by different types of equipment is different, the statistics and summary of the daily energy sum can be easily completed and the order quality and process requirements can be better met according to the classification of the equipment types. Therefore, the equipment type is the first main parameter variable in the capacity statistics.
For example: the Japanese M-type hosiery machine production line can match the same type of order products as much as possible to meet the process and quality standards in the characteristic matching process.
2) Total daily energy production of the same type of production line B: the statistical total amount of idle dates of a certain type of production line can also be decomposed into: b is1,B2,...Bi...Bn. For example: b is1Can define JapanTotal date on which production line of M-type hosiery machine can be put into production, B2The production line of the U.S. W-shaped hosiery machine can be put into production according to the total production date.
3) Amount of idle dates b of this type of production line of a certain plant: according to a certain equipment model number i and a specific certain factory production line number j, b can be decomposed into: b11...,bij...,bnm. I.e. bijRepresenting the amount of idle dates for the jth plant in the ith equipment model class. For example: the production line of the daily M-type hosiery machine, numbered 1, in a factory, numbered 5, if the production line can be put into production for 30 days, then it is obtained: b15Day 30.
Specifically, the daily energy y of the same type of production line is decomposed into y according to different models of machine equipment1,y2,...yi...,yn(ii) a Decomposing the daily capacity statistical total amount B of the same type of production line into B according to different models of machine equipment1,B2,...Bi...Bn(ii) a According to a certain equipment model number i and a specific production line number j of a certain factory, the idle date amount b of the production line of the certain factory is decomposed into b11...,bij...,bnmThen, the downstream supply side enterprise classified capacity V is obtained by the following formula:
V=f(y1,y2,...,yn,B1,B2,...,Bn,b11,b12,...bij...bnm) (6)
in the formula (6), y1,y2,...yi...,ynThe daily output of a production line of a certain equipment type is classified according to the model of the machine equipment; b is1,B2,...Bi...BnThe daily productivity statistical total amount B of the same type of production line is represented as the idle date statistical total amount of a certain type of production line classified according to the model of the machine equipment; the customer's order size; b11...,bij...,bnmIndicating the amount of idle dates b of a production line of this type in a certain plant, sorted by machine equipment typeAmount of idle date.
Further, the daily capacity statistical total amount B of the same type of production line is calculated by the following formula:
Figure BDA0003325231220000121
in the formula (7), BiRepresenting the total number of days that the ith machine equipment production line, classified by machine equipment model, can be put into production, bijIndicating the date on which the type i machine equipment production line classified by machine equipment model number, in which the type j factory can be put into production.
Wherein, BiAnd bijThe definitions are as follows:
1)Bithe total amount of dates that the ith type of machine equipment production line classified by machine equipment model can be put into production is represented by, for example: assuming that the production line of the M-type hosiery machine manufactured in japan, No. 2, is distributed in 5 factories, and the total amount of dates that can be put into production after the summary is 300 days, then: b is2300 days.
2)bijIndicating the date on which the type i machine equipment production line classified by machine equipment model number, in which the type j factory can be put into production. For example: assuming that the production line of the M-type hosiery machine manufactured in japan under No. 2 is in the factory No. 5, which can be put into production for 20 days, it is possible to obtain: b25Day 20.
Specifically, the downstream supply side enterprise classified capacity V is obtained by the following formula:
V=B1y1+B2y2+…+Biyi+…+Bnyn (8)
in the formula (8), BiIndicating the total number of days that the i-th machine equipment production line classified by machine equipment model can be put into production, yiIndicating the daily capacity of a production line of the i-th equipment type classified by the machine equipment model.
And S300, comparing and matching the calculated classified total U of the orders on the upstream demand side with the classified productivity V of the enterprises on the downstream supply side, and constructing an intelligent matching model IMMCO of the orders and the capacities on the upstream and the downstream of the industrial chain.
And comparing and Matching the calculated upstream demand side Order classification total quantity U with the downstream supply side enterprise classified Capacity V, and constructing an Intelligent Matching Model IMMCO (Intelligent Matching Model of Order and Capacity) of upstream and downstream orders and Capacity of the industrial chain.
Specifically, in the process of circularly judging and matching, the upstream demand side order classification total amount U and the downstream supply side enterprise classification capacity V are continuously compared until the downstream supply side enterprise classification capacity V is greater than or equal to the upstream demand side order classification total amount U, as shown in the following formula:
B1y1+…+Biyi+…+Bnyn≥A1x1+…+Aixi+…+Anxn (9)
in formula (9), BiIndicating the total number of days that the i-th machine equipment production line classified by machine equipment model can be put into production, yiIndicating daily capacity of production line of i-th equipment type classified by machine equipment type, AiRepresenting the aggregate total, x, of the ith volume order sorted by volumeiAn order magnitude variable representing an ith magnitude order sorted by magnitude.
The priority order in the matching process and the related specification of the matching process are described as follows:
(1) matching process prioritization
The relevant factor conditions in the matching process are prioritized, and the sequence is as follows:
1) the production line of the corresponding machine type with large daily capacity is preferred, for example: there are two types of domestic I type, Japanese J type, if the daily production capacity of the I type production line is larger than that of the J type production line, the I type production line is set as the variable B in the corresponding formulas (7) and (8)1The model J is variable B2The calculation priority is matched as B1And (5) production lines with corresponding variables.
2) Of the same typeFactory priorities with multiple production lines, for example: if it is determined that the production line of type I produced in the above example is prioritized, more production lines can be put into production in factory G than in factory H, the total number b of production line free dates in factory G is specified in formula (7)11H in plant is b12I.e. b11The matching calculation will be performed preferentially.
3) After the above two types are determined, if b is the same, the production line is required to have a high priority on the matching degree of the production date according to the order, for example: assuming that the current date is 4 months and 1 day, the order delivery date is 4 months and 30 days, the production line idle period in the E factory is 4 months and 1 day to 4 months and 29 days, and the production line idle period in the F factory is 4 months and 10 days to 4 months and 20 days, the production line in the E factory is preferentially matched in the formula (7).
(2) Calculation and matching procedure
According to the above priority principle, matching is performed in the following specific calculation in the following order:
1) according to the attribute of B, firstly determining: b is1、B2、B3、…BM
2) According to the attribute of b, firstly determining: b11、bi2…bij…bNM
3) Obtained by calculation of equation (7): b is1、B2、B3、…BM
4) Each one of bijWhen the calculation of the formula (7) is entered, an accumulated B is obtainediValue of, then combined with yiThe variable is then calculated by equation (8) to obtain an intermediate value of V.
5) The intermediate V obtained in the process is continuously compared with U until V is larger than the equal U value.
Verification examples of intelligent matching models of orders and productivity of upstream and downstream enterprises:
this section is illustrated by example for the upstream and downstream enterprise order and capacity Intelligent Matching Model (IMMCO) described above. Suppose that the total amount (U value) of the pure cotton ankle sock orders in different countries and regions of the X trade company after summary calculation is 1600000 double (remark: the U value calculation process is not shown), the order process and material requirements of the pure cotton ankle sock are as follows: knitting, double needle, embroidery, 60n.. et al, delivery time: for 10 days. The production capacity and the idle time of the production line of the existing four EFGH plants are shown in the table I.
Figure BDA0003325231220000141
Table-factory capacity and idle period
Remarking: each production line was equipped with 10 machines.
The following description mainly describes how to calculate the downstream capacity (V value) to match the total order amount (U value) through the intelligent matching model.
Preferentially matching the capacity of the production line of the corresponding machine type with large daily capacity
From the above known conditions, in combination with the priority principle in the previous section, first determine B according to the daily energy production1Type equipment line, B2A type device …; then in B1The manufacturer with a large number of production lines in the production line of the type equipment is determined11Determining b again in turn12…, respectively; and (4) performing calculation by analogy in sequence until the V value is equal to the U value, and completing the matching.
1) Determination of B1Variables are as follows: the total idle production date of the domestic I-type production line is variable B1The production line idle date of the E sock factory is b11And the idle date of the production line of the F sock factory is b12
2) Determination of B2Variables are as follows: the production idle date of the J-type production line produced in Japan is variable B2G sock factory production line is b21
B can be calculated according to equation (7)1Then combined with daily productivity y1From equation (8), we can obtain:
B1=b11+b12no. 3 × 10+2 × 10 ═ 50 (days)
V1=B1y130000 × 50 ═ 1500000 (double)
Because of V1< U, so the capacity of the E and F plants alone does not meet the order requirements, and the capacity of the G sock plant is also required.
Description of the drawings: b1 calculating process each time B is accumulated1j(b11、b12、b13...) will be in contact with y1Multiplying to obtain a transitional V1The value is then compared with the value of U, and if not, the next b is continuously introduced1jPerforming calculation when B1B in (1)1jWhen all the calculated V values are not satisfied, the model automatically starts to introduce the calculation B2B in (1)2j(b21、b22、b23...) until the value of V meets the requirements.
And matching the enterprises meeting the capacity corresponding to the total U value of the order classification.
The same can be obtained according to the formulas (7) and (8):
B2=b21as 1 × 10, 10 (day)
V2=B2y220000 × 10 200000 (double)
Total V-V1 + V2-1500000 + 200000-1700000 (bis)
When B is present1B in (1)1jWhen all the calculated V values are not satisfied, the model starts to calculate B2B in (1)21(b21、b22、b23...) variables, but in the present example by the introduction of b21After calculation, the V value requirement is satisfied, so the variable b is compared with the variable22The corresponding H-sock factory was not selected.
The orders are distributed according to priority rules.
The calculation result shows that the idle capacity V in the specific time is larger than the number of the order U, 900000 double orders are obtained by the E sock factory, 600000 double orders are obtained by the F sock factory, and the E factory and the F sock factory are successfully matched. However, since the idle capacity of the G sock factory is 200000 pairs, the number of the remaining orders is 100000 pairs, the G sock factory can only obtain 100000 pairs of orders, that is, only the capacity of the idle period of 5 days is matched, and the capacity of the remaining 5 days enters another cycle for order matching.
The simulation example can verify that the calculation result of the matching model is matched with the actual situation.
To sum up, this upstream and downstream supplies and needs intelligent matching model is applicable to other supply and demand fields of socks industry chain upstream and downstream equally, for example: between design and proofing, between development and design, between factory and subsequent processing, upstream and downstream of subsequent processing (sizing, dyeing, embroidery, branding, packaging …), and the like.
Compared with the prior art, the industrial chain upstream and downstream intelligent matching method based on big data provided by the embodiment establishes an industrial chain upstream demand mathematical model by obtaining order information issued by an upstream demand side, takes an upstream demand side order classification total amount U as a dependent variable in the upstream demand mathematical model, takes an order magnitude variable x, an order statistical total amount a with the same magnitude and a certain customer order amount a as independent variables with three different dimensions in the upstream demand mathematical model, establishes an upstream demand side order classification total amount mathematical function relation, and calculates the upstream demand side order classification total amount U; acquiring factory information sent by a downstream supply side of an industrial chain, and establishing a mathematical model of the downstream supply side of the industrial chain, wherein classified productivity V of enterprises at the downstream supply side is taken as a dependent variable in the mathematical model of the downstream supply side, daily productivity y of a production line of the same type, daily capacity statistical total amount B of the production line of the same type and idle date amount B of the production line of a certain factory are taken as independent variables of three different dimensions in the mathematical model of the downstream supply side, a mathematical functional relation of the classified productivity of the enterprises at the downstream supply side is established, and the classified productivity V of the enterprises at the downstream supply side is calculated according to the established mathematical functional relation of the classified productivity of the enterprises at the downstream supply side; and comparing and matching the calculated classified total U of the orders on the upstream demand side with the classified capacity V of the enterprises on the downstream supply side, and constructing an intelligent matching model IMMCO of the orders and the capacity on the upstream and the downstream of the industrial chain. The big data-based industrial chain upstream and downstream intelligent matching method provided by the embodiment can provide a solution plan for a processing plant at a downstream supply side and a trading company at an upstream demand side of an industrial chain, and enables the processing plant and the trading company to rapidly perform bidirectional communication, so that industrial resource supply and demand intelligent matching is realized; the intelligent degree and the calculation precision are high; the production efficiency is improved, and the traceability of the order form of the product is strong; reduce the cost of enterprises, improve the efficiency and improve the overall competitiveness of the gathering area.
Referring to fig. 2, fig. 2 is a functional block diagram of an embodiment of a large data-based industrial chain upstream and downstream intelligent matching system provided by the present invention, in the embodiment, the large data-based industrial chain upstream and downstream intelligent matching system includes afirst computing module 10, asecond computing module 20, and amatching module 30, where thefirst computing module 10 is configured to obtain order information issued by an upstream demand side, establish an industrial chain upstream demand mathematical model, use an upstream demand side order classification total amount U as a dependent variable in the upstream demand mathematical model, use an order magnitude variable x, a same magnitude order statistic total amount a, and a certain customer order amount a as independent variables of three different dimensions in the upstream demand mathematical model, establish an upstream demand side order classification total amount mathematical function relation, and calculate the upstream demand side order classification total amount U. Thesecond calculating module 20 is configured to obtain factory information sent by a downstream supply side of the industrial chain, and build a mathematical model of the downstream supply side of the industrial chain, where the classified capacity V of the downstream supply side enterprise is used as a dependent variable in the mathematical model of the downstream supply side, the daily capacity y of a production line of the same type, the statistical total amount B of the daily capacity of a production line of the same type, and the idle date amount B of a production line of the same type of factory are used as independent variables of three different dimensions in the mathematical model of the downstream supply side, and a mathematical functional relation of the classified capacity of the downstream supply side enterprise is built, and the classified capacity V of the downstream supply side enterprise is calculated according to the mathematical functional relation of the classified capacity of the downstream supply side enterprise. And thematching module 30 is used for comparing and matching the calculated classified total amount U of the upstream demand side order with the classified productivity V of the downstream supply side enterprise, and constructing an intelligent matching model IMMCO of the upstream order and the downstream capacity of the industrial chain.
Thefirst calculation module 10 obtains the order information issued by the upstream demand side through the order information that needs to be issued by the upstream demand side. The order information mainly comprises: product name, processing requirements, equipment requirements, material requirements (such as silk quality, gram weight, mixing ratio), completion time requirements and the like. And the downstream supply side acquires the order task sent by the upstream demand side to obtain related order information in the order task.
The upstream demand side order classification total quantity mathematical function relation is as follows:
U=f(x,A,a) (10)
in the formula (10), U represents the total amount of orders to be sorted on the upstream demand side, x represents an order magnitude variable, a represents the statistical total amount of orders of the same magnitude, and a represents the order amount of a certain customer.
Describing variable parameters:
1) x represents an order magnitude variable, which is the first dimension variable of the order. Description of the drawings: x is a variable that the demand side sorts by order magnitude, since orders of different magnitude will directly decide to preferentially match plants of equal capacity. For example, the orders may be divided into different orders of magnitude, such as 1 thousand double, 5 thousand double, 10 thousand double, 30 thousand double, etc., but a 10 thousand double order will preferentially select a plant that can complete 10 thousand double orders, and multiple plants will be considered to jointly produce and complete the order when one plant cannot meet the orders. The order magnitude variable x is therefore the first parameter variable to consider in the match.
2) A represents the total amount of orders of the same magnitude and is a second dimension variable of the orders. Description of the drawings: after the total amount of the orders of the demand side with the same magnitude is counted, the total amount of the order tasks of the same type in the same time period can be known. For example, an order for 1-thousand-double stockings totals 20-thousand-double, and is first matched with an enterprise with 20-thousand-double production capacity.
3) a represents the order quantity of a certain customer, and is a third dimension variable of the order. Description of the drawings: the order of a certain type classified according to order magnitude in the order of the demand side is composed of a plurality of specific customers, wherein the order quantity of a specific customer is a. For example, suppose that the order of three of 5-thousand double level orders is 3 (one U.S., Russia, UK); i.e. a-3.
According to the obtained order tasks, an order magnitude variable x, the same magnitude order statistical total amount A and a certain customer order amount a are calculated, and then an industrial chain upstream demand mathematical model is established. In an upstream demand mathematical model of an industrial chain, the calculated order magnitude variable x, the order statistical total quantity A with the same magnitude and a certain customer order quantity a are used as independent variables of three different dimensions in the upstream demand mathematical model, the upstream demand side order classification total quantity U required to be solved is used as a dependent variable in the upstream demand mathematical model, and an upstream demand side order classification total quantity mathematical function relation formula is established.
It is known that: x is order magnitude variable, A is order total amount of the same magnitude, a is order amount of a certain customer, and U is order classification total amount of the demand side. The three variables x, a can be further decomposed as follows:
1) order magnitude variable x: according to different magnitudes, the method can be decomposed into: x is the number of1,x2,...xi...xn. For example: the orders can be divided into different orders of magnitude of 1 thousand double, 5 thousand double, 10 thousand double, 30 thousand double, etc. because a 20 thousand double order will preferentially select a plant that can produce 20 thousand double orders, the order magnitude is the primary factor to be considered first in the order matching process.
2) Order total amount a of the same order: the same type of product order may also be broken down into, depending on the magnitude: a. the1,A2,...Ai...An. For example: let A1Is the statistical total amount of 1 ten thousand double-magnitude long uniform flesh color female silk stockings, A25 ten thousand double-magnitude long uniform flesh color female silk stockings and A3The stockings … with the same length and the same meat color are sequentially pushed to An. Since the orders of different customers in different countries and different regions are not always in the same order magnitude, the total amount of orders A in different orders magnitude is needed in the statisticsiAnd summarizing to finally obtain the total order amount of the same type of products.
3) Order quantity a of a certain customer: according to a certain order magnitude number i and a specific certain customer number j, a, the method can be decomposed into the following steps: a is11...,aij...,anm. Namely aijRepresenting the order quantity of the jth customer in the order of the ith magnitude class. For example: the third 5 numbered order in the 5-thousand-double-quantity order has 3 orders, namely a553. Such a sort summary is performed to quickly track to the production plant and the corresponding lot when an unacceptable product is present.
Specifically, orders are ranked according to their rankDecomposition of variable x into x1,x2,...xi...xn(ii) a Decomposing the order statistical total amount A of the same order into A according to different orders1,A2,...Ai...An(ii) a According to the order number i and the specific customer number j, the order quantity a of a certain customer is decomposed into a11...,aij...,anmThen, the total amount of the order classification on the upstream demand side is obtained by the following formula:
U=f(x1,x2,...,xn,A1,A2,...,An,a11...,aij...,anm) (11)
in formula (11), x1,x2,...,xnThe summary total of order magnitude variables representing order magnitude variables x sorted by magnitude; a. the1,A2,...,AnRepresenting the summary total of the same-order statistical total A of the order orders classified by the volume grades; the customer's order size; a is11...,aij...,anmRepresenting the amount of customer orders sorted by magnitude for a certain amount of customer orders a.
Further, the total order amount a of the same order is calculated by the following formula:
Figure BDA0003325231220000191
in the formula (12), AiRepresents the aggregate total of the ith volume orders sorted by volume, aijRepresenting the order quantity of the jth customer in the ith quantity order sorted by quantity.
Wherein A isiAnd aijThe definitions are as follows:
1)Airepresents the aggregate total of the ith volume orders sorted by the table volume. For example: if 5 ten thousand double orders (A)5) All customers' orders in 10, the total amount A is summarized550 ten thousand pairs.
2)aijRepresenting the jth customer in the ith volume order sorted by volumeThe order quantity. For example: if the 5 th customer in the 5-thousand-double-quantity order has 3 orders; then the customer places an order amount of three a55=3。
Specifically, the total amount U of the upstream demand side order classification is obtained by the following formula:
U=A1x1+A2x2+…+Aixi+…+Anxn (13)
in the formula (13), AiRepresenting the aggregate total, x, of the ith volume order sorted by volumeiAn order magnitude variable representing an ith magnitude order sorted by magnitude.
Thesecond computing module 20 sends out plant information through the supply side downstream of the industrial chain, the plant information mainly including: plant name, production specials, production line and real-time scheduling (including idle …), how many machines, personnel, plant address, registered capital, etc.
The mathematical function relation formula of the classified productivity of the downstream supply side enterprise is as follows:
V=f(y,B,b) (14)
in the formula (14), V represents classified capacity of the downstream supply-side enterprise, y represents daily capacity of the same type of production line, B represents statistical total daily capacity of the same type of production line, and B represents idle date amount of the same type of production line in a certain plant.
Describing variable parameters:
1) y represents the daily capacity of a certain type of production line. Daily capacity of a certain type of production line classified by machine equipment model on the supply side. For example: daily capacity of the production line of the M-shaped hosiery machine produced in Japan; because there are different types of equipment in the plant, which are different in degree of automation, their daily capacities vary greatly; therefore, the daily capacity total amount can be more easily counted according to the classification of the equipment types, and the matching of the capacity and the order quantity level is realized.
2) B represents the daily capacity statistical total amount of the same type of production line. The supply side counts the total amount of idle dates (i.e., the total amount of dates that can be put into production) for the same type of production line. For example: the sum of dates on which the production lines of the M-type hosiery knitting machines produced in japan can be put into production in different factories (these production lines may be distributed in different factories); in the matching process of a factory and orders, the same type of production line can produce the same type of order products as much as possible so as to meet the same process and quality standard.
3) b represents the amount of idle dates of the production line of the type in a certain factory. The amount of idle dates (dates that can be put into production) for a particular type of line at a particular plant. For example: the idle date (i.e., the date of putting into production) of the type of the production line in the N factory in the production line of M-type hosiery machine manufactured in Japan.
And according to the acquired plant information, calculating daily capacity y of the same type of production line, daily capacity statistical total amount B of the same type of production line and idle date amount B of the same type of production line of a certain plant, and then establishing a downstream supply side mathematical model of the industrial chain. In the mathematical model of the downstream supply side of the industrial chain, the calculated daily production energy y of the same type of production line, the statistical total daily capacity B of the same type of production line and the idle date amount B of the production line of a certain factory are used as independent variables of three different dimensions in the mathematical model of the downstream supply side, and the classified production capacity V of the downstream supply side enterprise to be calculated is used as a dependent variable in the mathematical model of the downstream supply side, so that a mathematical function relation formula of the classified production capacity of the downstream supply side enterprise is established.
It is known that: y is the daily capacity of a certain type of production line, B is the sum of the daily capacities of the same type of production line, B is the amount of idle dates of the type of production line of a certain factory, and V is set as the classified capacity of the supply-side enterprise. The three variables y, B can be further broken down as follows:
1) daily energy y of a certain type of production line: the daily energy y of a production line of a certain equipment type can be decomposed into: y is1,y2,...yi...,yn. E.g. y1Defining the daily energy of the production line of the M-shaped hosiery machine produced in Japan; because the automation degree of different types of equipment is high or low, the daily energy difference is very large, and the quality of finished products produced by different types of equipment is different, the statistics and summary of the daily energy sum can be easily completed and the order quality and process requirements can be better met according to the classification of the equipment types. Therefore, in the capacity statistics,the device type is the first major parameter variable.
For example: the Japanese M-type hosiery machine production line can match the same type of order products as much as possible to meet the process and quality standards in the characteristic matching process.
2) Total daily energy production of the same type of production line B: the statistical total amount of idle dates of a certain type of production line can also be decomposed into: b is1,B2,...Bi...Bn. For example: b is1The total amount of dates that the production line of M-type hosiery machine produced in Japan can be put into production, B2The production line of the U.S. W-shaped hosiery machine can be put into production according to the total production date.
3) Amount of idle dates b of this type of production line of a certain plant: according to a certain equipment model number i and a specific certain factory production line number j, b can be decomposed into: b11…,bij...,bnm. I.e. bijRepresenting the amount of idle dates for the jth plant in the ith equipment model class. For example: the production line of the daily M-type hosiery machine, numbered 1, in a factory, numbered 5, if the production line can be put into production for 30 days, then it is obtained: b15Day 30.
Specifically, the daily energy y of the same type of production line is decomposed into y according to different models of machine equipment1,y2,...yi...,yn(ii) a Decomposing the daily capacity statistical total amount B of the same type of production line into B according to different models of machine equipment1,B2,...Bi...Bn(ii) a According to a certain equipment model number i and a specific production line number j of a certain factory, the idle date amount b of the production line of the certain factory is decomposed into b11...,bij...,bnmThen, the downstream supply side enterprise classified capacity V is obtained by the following formula:
V=f(y1,y2,...,yn,B1,B2,...,Bn,b11,b12,...bij...bnm) (15)
in the formula (15), y1,y2,...yi...,ynThe daily output of a production line of a certain equipment type is classified according to the model of the machine equipment; b is1,B2,...Bi...BnThe daily productivity statistical total amount B of the same type of production line is represented as the idle date statistical total amount of a certain type of production line classified according to the model of the machine equipment; the customer's order size; b11...,bij...,bnmAnd b, an idle date quantity which represents the idle date quantity b of the production line of the type of a certain factory and is classified according to the model of the machine equipment.
Further, the daily capacity statistical total amount B of the same type of production line is calculated by the following formula:
Figure BDA0003325231220000221
in the formula (16), BiRepresenting the total number of days that the ith machine equipment production line, classified by machine equipment model, can be put into production, bijIndicating the date on which the type i machine equipment production line classified by machine equipment model number, in which the type j factory can be put into production.
Wherein, BiAnd bijThe definitions are as follows:
1)Bithe total amount of dates that the ith type of machine equipment production line classified by machine equipment model can be put into production is represented by, for example: assuming that the production line of the M-type hosiery machine manufactured in japan, No. 2, is distributed in 5 factories, and the total amount of dates that can be put into production after the summary is 300 days, then: b is2300 days.
2)bijIndicating the date on which the type i machine equipment production line classified by machine equipment model number, in which the type j factory can be put into production. For example: assuming that the production line of the M-type hosiery machine manufactured in japan under No. 2 is in the factory No. 5, which can be put into production for 20 days, it is possible to obtain: b25Day 20.
Specifically, the downstream supply side enterprise classified capacity V is obtained by the following formula:
V=B1y1+B2y2+…+Biyi+…+Bnyn (17)
in formula (17), BiIndicating the total number of days that the i-th machine equipment production line classified by machine equipment model can be put into production, yiIndicating the daily capacity of a production line of the i-th equipment type classified by the machine equipment model.
TheMatching module 30 compares and matches the calculated total classified orders U on the upstream demand side with the enterprise classified Capacity V on the downstream supply side, and constructs an Intelligent Matching Model IMMCO (Intelligent Matching Model of Order and Order of Capacity) for the upstream and downstream orders and Capacity of the industrial chain.
Specifically, in the process of circularly judging and matching, the upstream demand side order classification total amount U and the downstream supply side enterprise classification capacity V are continuously compared until the downstream supply side enterprise classification capacity V is greater than or equal to the upstream demand side order classification total amount U, as shown in the following formula:
B1y1+…+Biyi+…+Bnyn≥A1x1+…+Aixi+…+Anxn (18)
in the formula (18), BiIndicating the total number of days that the i-th machine equipment production line classified by machine equipment model can be put into production, yiIndicating daily capacity of production line of i-th equipment type classified by machine equipment type, AiRepresenting the aggregate total, x, of the ith volume order sorted by volumeiAn order magnitude variable representing an ith magnitude order sorted by magnitude.
The priority order in the matching process and the related specification of the matching process are described as follows:
(1) matching process prioritization
The relevant factor conditions in the matching process are prioritized, and the sequence is as follows:
1) the production line of the corresponding machine type with large daily capacity is preferred, for example: there are two types of domestic type I,j-type production is produced in Japan, if the daily capacity of the I-type production line is larger than that of the J-type production line, the I-type production line is set as a variable B in corresponding formulas (7) and (8)1The model J is variable B2The calculation priority is matched as B1And (5) production lines with corresponding variables.
2) Plants with more production lines of the same type take precedence, for example: if it is determined that the production line of type I produced in the above example is prioritized, more production lines can be put into production in factory G than in factory H, the total number b of production line free dates in factory G is specified in formula (7)11H in plant is b12I.e. b11The matching calculation will be performed preferentially.
3) After the above two types are determined, if b is the same, the production line is required to have a high priority on the matching degree of the production date according to the order, for example: assuming that the current date is 4 months and 1 day, the order delivery date is 4 months and 30 days, the production line idle period in the E factory is 4 months and 1 day to 4 months and 29 days, and the production line idle period in the F factory is 4 months and 10 days to 4 months and 20 days, the production line in the E factory is preferentially matched in the formula (16).
(2) Calculation and matching procedure
According to the above priority principle, matching is performed in the following specific calculation in the following order:
1) according to the attribute of B, firstly determining: b is1、B2、B3、…BM
2) According to the attribute of b, firstly determining: b11、b12…bij…bNM
3) Obtained by calculation of equation (16): b is1、B2、B3、…BM
4) Each one of bijWhen entering the calculation of equation (16), a cumulative B is obtainediValue of, then combined with yiThe variable, calculated by equation (17), yields an intermediate value of V.
5) The intermediate V obtained in the process is continuously compared with U until V is larger than the equal U value.
Verification examples of intelligent matching models of orders and productivity of upstream and downstream enterprises:
this section is illustrated by example for the upstream and downstream enterprise order and capacity Intelligent Matching Model (IMMCO) described above. Suppose that the total amount (U value) of the pure cotton ankle sock orders in different countries and regions of the X trade company after summary calculation is 1600000 double (remark: the U value calculation process is not shown), the order process and material requirements of the pure cotton ankle sock are as follows: knitting, double needle, embroidery, 60n.. et al, delivery time: for 10 days. The capacity and line idle time of the existing EFGH four plants are shown in Table two.
Figure BDA0003325231220000241
Capacity and idle period of the second plant
Remarking: each production line was equipped with 10 machines.
The following description mainly describes how to calculate the downstream capacity (V value) to match the total order amount (U value) through the intelligent matching model.
Preferentially matching the capacity of the production line of the corresponding machine type with large daily capacity
From the above known conditions, in combination with the priority principle in the previous section, first determine B according to the daily energy production1Type equipment line, B2A type device …; then in B1The manufacturer with a large number of production lines in the production line of the type equipment is determined11Determining b again in turn12…, respectively; and (4) performing calculation by analogy in sequence until the V value is equal to the U value, and completing the matching.
1) Determination of B1Variables are as follows: the total idle production date of the domestic I-type production line is variable B1The production line idle date of the E sock factory is b11And the idle date of the production line of the F sock factory is b12
2) Determination of B2Variables are as follows: the production idle date of the J-type production line produced in Japan is variable B2G sock factory production line is b21
Then B can be calculated according to equation (16)1Then combined with daily productivity y1From equation (17), one can obtain:
B1=b11+b12no. 3 × 10+2 × 10 ═ 50 (days)
V1=B1y130000 × 50 ═ 1500000 (double)
Because of V1< U, so the capacity of the E and F plants alone does not meet the order requirements, and the capacity of the G sock plant is also required.
Description of the drawings: b is1Each b is accumulated in the calculation process1j(b11、b12、b13...) will be in contact with y1Multiplying to obtain a transitional V1The value is then compared with the value of U, and if not, the next b is continuously introduced1jPerforming calculation when B1B in (1)1jWhen all the calculated V values are not satisfied, the model automatically starts to introduce the calculation B2B in (1)2j(b21、b22、b23...) until the value of V meets the requirements.
And matching the enterprises meeting the capacity corresponding to the total U value of the order classification.
The same can be obtained according to the formulas (16) and (17):
B2=b21as 1 × 10, 10 (day)
V2=B2y220000 × 10 200000 (double)
Total V-V1 + V2-1500000 + 200000-1700000 (bis)
When B is present1B in (1)1jWhen all the calculated V values are not satisfied, the model starts to calculate B2B in (1)21(b21、b22、b23...) variables, but in the present example by the introduction of b21After calculation, the V value requirement is satisfied, so the variable b is compared with the variable22The corresponding H-sock factory was not selected.
The orders are distributed according to priority rules.
The calculation result shows that the idle capacity V in the specific time is larger than the number of the order U, 900000 double orders are obtained by the E sock factory, 600000 double orders are obtained by the F sock factory, and the E factory and the F sock factory are successfully matched. However, since the idle capacity of the G sock factory is 200000 pairs, the number of the remaining orders is 100000 pairs, the G sock factory can only obtain 100000 pairs of orders, that is, only the capacity of the idle period of 5 days is matched, and the capacity of the remaining 5 days enters another cycle for order matching.
The simulation example can verify that the calculation result of the matching model is matched with the actual situation.
To sum up, this upstream and downstream supplies and needs intelligent matching model is applicable to other supply and demand fields of socks industry chain upstream and downstream equally, for example: between design and proofing, between development and design, between factory and subsequent processing, upstream and downstream of subsequent processing (sizing, dyeing, embroidery, branding, packaging …), and the like.
Compared with the prior art, the industrial chain upstream and downstream intelligent matching system based on big data provided by the embodiment establishes an industrial chain upstream demand mathematical model by obtaining order information issued by an upstream demand side, takes an upstream demand side order classification total amount U as a dependent variable in the upstream demand mathematical model, takes an order magnitude variable x, an order statistical total amount a with the same magnitude and a certain customer order amount a as independent variables with three different dimensions in the upstream demand mathematical model, establishes an upstream demand side order classification total amount mathematical function relation, and calculates the upstream demand side order classification total amount U; acquiring factory information sent by a downstream supply side of an industrial chain, and establishing a mathematical model of the downstream supply side of the industrial chain, wherein classified productivity V of enterprises at the downstream supply side is taken as a dependent variable in the mathematical model of the downstream supply side, daily productivity y of a production line of the same type, daily capacity statistical total amount B of the production line of the same type and idle date amount B of the production line of a certain factory are taken as independent variables of three different dimensions in the mathematical model of the downstream supply side, a mathematical functional relation of the classified productivity of the enterprises at the downstream supply side is established, and the classified productivity V of the enterprises at the downstream supply side is calculated according to the established mathematical functional relation of the classified productivity of the enterprises at the downstream supply side; and comparing and matching the calculated classified total U of the orders on the upstream demand side with the classified capacity V of the enterprises on the downstream supply side, and constructing an intelligent matching model IMMCO of the orders and the capacity on the upstream and the downstream of the industrial chain. The big data-based industrial chain upstream and downstream intelligent matching system provided by the embodiment can provide a solution plan for a processing plant at a downstream supply side and a trading company at an upstream demand side of an industrial chain, and enables the processing plant and the trading company to rapidly perform bidirectional communication, so that industrial resource supply and demand intelligent matching is realized; the intelligent degree and the calculation precision are high; the production efficiency is improved, and the traceability of the order form of the product is strong; reduce the cost of enterprises, improve the efficiency and improve the overall competitiveness of the gathering area.
While preferred embodiments of the present invention have been described, additional variations and modifications in those embodiments may occur to those skilled in the art once they learn of the inventive concepts. Therefore, it is intended that the appended claims be interpreted as including preferred embodiments and all such alterations and modifications as fall within the scope of the invention. It will be apparent to those skilled in the art that various changes and modifications may be made in the present invention without departing from the spirit and scope of the invention. Thus, if such modifications and variations of the present invention fall within the scope of the claims of the present invention and their equivalents, the present invention is also intended to include such modifications and variations.

Claims (10)

Translated fromChinese
1.一种基于大数据的产业链上下游智能匹配方法,其特征在于,包括以下步骤:1. an intelligent matching method for upstream and downstream of the industrial chain based on big data, is characterized in that, comprises the following steps:获取上游需求侧发布的订单信息,建立产业链上游需求数学模型,其中,将上游需求侧订单分类总量U作为上游需求数学模型中的因变量,将订单量级变量x、同一量级订单统计总量A、以及某一客户订单量a作为上游需求数学模型中三个不同维度的自变量,建立上游需求侧订单分类总量数学函数关系式,计算出上游需求侧订单分类总量U;Obtain the order information released by the upstream demand side, and establish a mathematical model of the upstream demand of the industrial chain, in which the total amount of orders U on the upstream demand side is taken as the dependent variable in the upstream demand mathematical model, and the order magnitude variable x, the order of the same magnitude are counted. The total amount A and the order amount a of a certain customer are used as independent variables of three different dimensions in the upstream demand mathematical model, and the mathematical function relationship of the total amount of upstream demand-side order classification is established to calculate the total upstream demand-side order classification U;获取产业链下游供给侧发出的工厂信息,建立产业链下游供给侧数学模型,其中,将下游供给侧企业分类产能V作为所述下游供给侧数学模型中的因变量,将同一种类生产线的日产能y、同一类生产线日产能统计总量B、以及某一工厂该类生产线的闲置日期量b作为下游供给侧数学模型中三个不同维度的自变量,建立下游供给侧企业分类产能数学函数关系式,计算出下游供给侧企业分类产能V;Obtain the factory information sent by the downstream supply side of the industrial chain, and establish a mathematical model of the downstream supply side of the industrial chain, in which the classified production capacity V of the downstream supply side enterprises is used as the dependent variable in the downstream supply side mathematical model, and the daily production capacity of the same type of production line is used as the dependent variable. y. The total daily production capacity statistics of the same type of production line B, and the idle date amount b of a certain type of production line in a certain factory are used as independent variables in three different dimensions in the downstream supply-side mathematical model, and the mathematical function relationship between the classification capacity of downstream supply-side enterprises is established , and calculate the classified capacity V of downstream supply-side enterprises;将计算出的上游需求侧订单分类总量U与下游供给侧企业分类产能V进行比较匹配,构建产业链上下游订单和产能的智能匹配模型IMMCO。Compare and match the calculated total amount U of upstream demand-side order classification with the classification capacity V of downstream supply-side enterprises, and build an intelligent matching model IMMCO for upstream and downstream orders and production capacity in the industrial chain.2.如权利要求1所述的基于大数据的产业链上下游智能匹配方法,其特征在于,所述获取上游需求侧发布的订单信息,建立产业链上游需求数学模型,将上游需求侧订单分类总量U作为上游需求数学模型中的因变量,将订单量级变量x、同一量级订单统计总量A、以及某一客户订单量a作为上游需求数学模型中三个不同维度的自变量,建立上游需求侧订单分类总量数学函数关系式,计算出上游需求侧订单分类总量U的步骤包括:2. The method for intelligent matching between upstream and downstream of an industrial chain based on big data according to claim 1, characterized in that, said obtaining order information issued by the upstream demand side, establishing a mathematical model of the upstream demand side of the industrial chain, and classifying the upstream demand side orders The total amount U is used as the dependent variable in the upstream demand mathematical model, and the order magnitude variable x, the order statistics total A of the same magnitude, and the order volume a of a certain customer are used as the independent variables of three different dimensions in the upstream demand mathematical model, The steps of establishing the mathematical function relationship of the total amount of upstream demand-side order classification, and calculating the total amount U of upstream demand-side order classification include:所述上游需求侧订单分类总量数学函数关系式为:The mathematical function relationship of the total amount of the upstream demand-side order classification is:U=f(x,A,a)U=f(x, A, a)上式中,U表示将上游需求侧订单分类总量,x表示订单量级变量,A表示同一量级订单统计总量,a表示某一客户订单量。In the above formula, U represents the total amount of orders on the upstream demand side, x represents the order magnitude variable, A represents the total order statistics of the same magnitude, and a represents the order volume of a certain customer.3.如权利要求2所述的基于大数据的产业链上下游智能匹配方法,其特征在于,所述上游需求侧订单分类总量U通过以下公式得出:3. The intelligent matching method for upstream and downstream of industrial chain based on big data as claimed in claim 2, characterized in that, the total amount U of order classification on the upstream demand side is obtained by the following formula:U=A1x1+A2x2+…+Aixi+…+AnxnU=A1 x1 +A2 x2 +…+Ai xi +…+An xn其中,Ai表示按量级分类的第i种量级订单的汇总总量,xi表示按量级分类的第i种量级订单的订单量级变量;Among them, Ai represents the aggregated total amount of the ith order of magnitude classified by the order of magnitude, andxi represents the order magnitude variable of the ith order of magnitude classified by the order of magnitude;所述同一量级订单总量A通过以下公式计算出:The total amount A of orders of the same magnitude is calculated by the following formula:
Figure FDA0003325231210000021
Figure FDA0003325231210000021
其中,Ai表示按量级分类的第i种量级订单的汇总总量,aij表示按量级分类的第i种量级订单中第j个客户的订单量。Among them, Ai represents the aggregated total amount of the ith order of magnitude classified by the order of magnitude, and aij represents the order quantity of the jth customer in the ith order of magnitude classified by the order of magnitude.4.如权利要求1所述的基于大数据的产业链上下游智能匹配方法,其特征在于,所述获取产业链下游供给侧发出的工厂信息,建立产业链下游供给侧数学模型,其中,将下游供给侧企业分类产能V作为所述下游供给侧数学模型中的因变量,将同一种类生产线的日产能y、同一类生产线日产能统计总量B、以及某一工厂该类生产线的闲置日期量b作为下游供给侧数学模型中三个不同维度的自变量,建立下游供给侧企业分类产能数学函数关系式,根据建立的下游供给侧企业分类产能数学函数关系式,计算出下游供给侧企业分类产能V的步骤包括:4. The method for intelligent matching of upstream and downstream of industrial chain based on big data according to claim 1, characterized in that, said acquiring factory information sent by the downstream supply side of the industrial chain, and establishing a mathematical model of the downstream supply side of the industrial chain, wherein the The classified production capacity V of downstream supply-side enterprises is used as the dependent variable in the downstream supply-side mathematical model, and the daily production capacity y of the same type of production line, the statistical total daily production capacity B of the same type of production line, and the idle date amount of this type of production line in a certain factory b As the independent variables of three different dimensions in the mathematical model of the downstream supply side, establish the mathematical function relationship of the classification capacity of the downstream supply side enterprises, and calculate the classification capacity of the downstream supply side enterprises according to the established mathematical function relationship of the classification capacity of the downstream supply side enterprises. The steps of V include:所述下游供给侧企业分类产能数学函数关系式为:The mathematical function relationship of the classified production capacity of the downstream supply-side enterprises is:V=f(y,B,b)V=f(y, B, b)上式中,V表示下游供给侧企业分类产能,y表示同一种类生产线的日产能,B表示同一类生产线日产能统计总量,b表示某一工厂该类生产线的闲置日期量。In the above formula, V represents the classified production capacity of downstream supply-side enterprises, y represents the daily production capacity of the same type of production line, B represents the statistical total daily production capacity of the same type of production line, and b represents the idle date amount of this type of production line in a certain factory.5.如权利要求4所述的基于大数据的产业链上下游智能匹配方法,其特征在于,所述下游供给侧企业分类产能V通过以下公式得出:5. The intelligent matching method for upstream and downstream of the industrial chain based on big data as claimed in claim 4, wherein the classification capacity V of the downstream supply side enterprise is obtained by the following formula:V=B1y1+B2y2+…+Biyi+…+BnynV=B1 y1 +B2 y2 +…+Bi yi +…+Bn yn其中,Bi表示按机器设备型号分类的第i类机器设备生产线可投入生产的日期总量,yi表示按机器设备型号分类的第i类设备类型生产线的日产能;Among them, Bi represents the total number of dates that can be put into production for the i-th type of machinery and equipment production lines classified by machine equipment models, and yi represents the daily production capacity of the i-th type of equipment type production lines classified by machinery and equipment models;所述同一类生产线日产能统计总量B通过以下公式计算出:The statistical total daily production capacity B of the same type of production line is calculated by the following formula:
Figure FDA0003325231210000031
Figure FDA0003325231210000031
其中,Bi表示按机器设备型号分类的第i类机器设备生产线可投入生产的日期总量,bij表示按机器设备型号分类的第i类机器设备生产线其中编号为第j号的工厂中该类生产线可以投入生产的日期。Among them, Bi represents the total number of dates that can be put into production for the type i machinery and equipment production line classified by the type of machinery and equipment, and bij represents the type i machinery and equipment production line classified by the type of machinery and equipment. The date the class line can go into production.
6.一种基于大数据的产业链上下游智能匹配系统,其特征在于,包括:6. An upstream and downstream intelligent matching system based on big data, characterized in that it comprises:第一计算模块(10),用于获取上游需求侧发布的订单信息,建立产业链上游需求数学模型,其中,将上游需求侧订单分类总量U作为上游需求数学模型中的因变量,将订单量级变量x、同一量级订单统计总量A、以及某一客户订单量a作为上游需求数学模型中三个不同维度的自变量,建立上游需求侧订单分类总量数学函数关系式,计算出上游需求侧订单分类总量U;The first calculation module (10) is used to obtain order information released by the upstream demand side, and establish a mathematical model of upstream demand in the industrial chain, wherein the total amount of orders U on the upstream demand side is used as a dependent variable in the upstream demand mathematical model, and the order The order of magnitude variable x, the total order statistics A of the same order, and the order amount a of a certain customer are used as independent variables of three different dimensions in the upstream demand mathematical model, and the mathematical function relationship of the total amount of orders on the upstream demand side is established to calculate The total amount U of upstream demand-side order classification;第二计算模块(20),用于获取产业链下游供给侧发出的工厂信息,建立产业链下游供给侧数学模型,其中,将下游供给侧企业分类产能V作为所述下游供给侧数学模型中的因变量,将同一种类生产线的日产能y、同一类生产线日产能统计总量B、以及某一工厂该类生产线的闲置日期量b作为下游供给侧数学模型中三个不同维度的自变量,计算出下游供给侧企业分类产能V;The second calculation module (20) is used to obtain factory information sent from the downstream supply side of the industrial chain, and to establish a mathematical model of the downstream supply side of the industrial chain, wherein the classified capacity V of the downstream supply side enterprises is used as the mathematical model of the downstream supply side. Dependent variables, the daily production capacity y of the same type of production line, the statistical total daily production capacity B of the same type of production line, and the idle date amount b of this type of production line in a certain factory are used as independent variables in three different dimensions in the downstream supply-side mathematical model to calculate Classified capacity V of downstream supply-side enterprises;匹配模块(30),用于将计算出的上游需求侧订单分类总量U与下游供给侧企业分类产能V进行比较匹配,构建产业链上下游订单和产能的智能匹配模型IMMCO。The matching module (30) is used to compare and match the calculated total amount U of upstream demand-side order classification with the classified capacity V of downstream supply-side enterprises, and construct an intelligent matching model IMMCO for upstream and downstream orders and production capacity of the industrial chain.7.如权利要求6所述的基于大数据的产业链上下游智能匹配系统,其特征在于,所述上游需求侧订单分类总量数学函数关系式为:7. The big data-based upstream and downstream intelligent matching system of the industrial chain according to claim 6, characterized in that, the mathematical function relation of the total amount of order classification on the upstream demand side is:U=t(x,A,a)U=t(x, A, a)上式中,U表示将上游需求侧订单分类总量,x表示订单量级变量,A表示同一量级订单统计总量,a表示某一客户订单量。In the above formula, U represents the total amount of orders on the upstream demand side, x represents the order magnitude variable, A represents the total order statistics of the same magnitude, and a represents the order volume of a certain customer.8.如权利要求7所述的基于大数据的产业链上下游智能匹配系统,其特征在于,所述上游需求侧订单分类总量U通过以下公式得出:8. The big data-based upstream and downstream intelligent matching system of the industrial chain according to claim 7, wherein the total amount U of the upstream demand side order classification is obtained by the following formula:U=A1x1+A2x2+…+Aixi+…+AnxnU=A1 x1 +A2 x2 +…+Ai xi +…+An xn其中,Ai表示按量级分类的第i种量级订单的汇总总量,xi表示按量级分类的第i种量级订单的订单量级变量;Among them, Ai represents the aggregated total amount of the ith order of magnitude classified by the order of magnitude, andxi represents the order magnitude variable of the ith order of magnitude classified by the order of magnitude;所述同一量级订单总量A通过以下公式计算出:The total amount A of orders of the same magnitude is calculated by the following formula:
Figure FDA0003325231210000041
Figure FDA0003325231210000041
其中,Ai表示按量级分类的第i种量级订单的汇总总量,aij表示按量级分类的第i种量级订单中第j个客户的订单量。Among them, Ai represents the aggregated total amount of the ith order of magnitude classified by the order of magnitude, and aij represents the order quantity of the jth customer in the ith order of magnitude classified by the order of magnitude.
9.如权利要求6所述的基于大数据的产业链上下游智能匹配系统,其特征在于,所述下游供给侧企业分类产能数学函数关系式为:9. The big data-based upstream and downstream intelligent matching system of the industrial chain according to claim 6, wherein the downstream supply-side enterprise classification capacity mathematical function relationship is:V=f(y,B,b)V=f(y, B, b)上式中,V表示下游供给侧企业分类产能,y表示同一种类生产线的日产能,B表示同一类生产线日产能统计总量,b表示某一工厂该类生产线的闲置日期量。In the above formula, V represents the classified production capacity of downstream supply-side enterprises, y represents the daily production capacity of the same type of production line, B represents the statistical total daily production capacity of the same type of production line, and b represents the idle date amount of this type of production line in a certain factory.10.如权利要求9所述的基于大数据的产业链上下游智能匹配系统,其特征在于,所述下游供给侧企业分类产能V通过以下公式得出:10. The big data-based upstream and downstream intelligent matching system of the industrial chain according to claim 9, wherein the classification capacity V of the downstream supply-side enterprises is obtained by the following formula:V=B1y1+B2y2+…+Biyi+…+BnynV=B1 y1 +B2 y2 +…+Bi yi +…+Bn yn其中,Bi表示按机器设备型号分类的第i类机器设备生产线可投入生产的日期总量,yi表示按机器设备型号分类的第i类设备类型生产线的日产能;Among them, Bi represents the total number of dates that can be put into production for the type i machine equipment production line classified by machine equipment model, and yi represents the daily production capacity of the i type equipment type production line classified by machine equipment model;所述同一类生产线日产能统计总量B通过以下公式计算出:The statistical total daily production capacity B of the same type of production line is calculated by the following formula:
Figure FDA0003325231210000051
Figure FDA0003325231210000051
其中,Bi表示按机器设备型号分类的第i类机器设备生产线可投入生产的日期总量,bij表示按机器设备型号分类的第i类机器设备生产线其中编号为第j号的工厂中该类生产线可以投入生产的日期。Among them, Bi represents the total number of dates that can be put into production for the type i machinery and equipment production line classified by the type of machinery and equipment, and bij represents the type i machinery and equipment production line classified by the type of machinery and equipment. The date the class line can go into production.
CN202111266911.5A2021-10-282021-10-28Industrial chain upstream and downstream intelligent matching method and system based on big dataPendingCN113947328A (en)

Priority Applications (1)

Application NumberPriority DateFiling DateTitle
CN202111266911.5ACN113947328A (en)2021-10-282021-10-28Industrial chain upstream and downstream intelligent matching method and system based on big data

Applications Claiming Priority (1)

Application NumberPriority DateFiling DateTitle
CN202111266911.5ACN113947328A (en)2021-10-282021-10-28Industrial chain upstream and downstream intelligent matching method and system based on big data

Publications (1)

Publication NumberPublication Date
CN113947328Atrue CN113947328A (en)2022-01-18

Family

ID=79337512

Family Applications (1)

Application NumberTitlePriority DateFiling Date
CN202111266911.5APendingCN113947328A (en)2021-10-282021-10-28Industrial chain upstream and downstream intelligent matching method and system based on big data

Country Status (1)

CountryLink
CN (1)CN113947328A (en)

Cited By (3)

* Cited by examiner, † Cited by third party
Publication numberPriority datePublication dateAssigneeTitle
CN114548710A (en)*2022-02-072022-05-27上海数依数据科技有限公司 A Stream-Oriented Production Scheduling Method
CN115829299A (en)*2023-02-142023-03-21欧瑞科斯科技产业(集团)有限公司Supply chain management method and device, electronic equipment and readable storage medium
CN120450380A (en)*2025-07-082025-08-08深圳市维高模塑有限公司Metal part production management system based on artificial intelligence

Citations (4)

* Cited by examiner, † Cited by third party
Publication numberPriority datePublication dateAssigneeTitle
CN106383894A (en)*2016-09-232017-02-08深圳市由心网络科技有限公司Enterprise supply-demand information matching method and apparatus
CN107274261A (en)*2017-06-052017-10-20杭州王道起兮科技有限公司B2B E-commerce supply and demand bipartite matching method and system
CN110570115A (en)*2019-09-032019-12-13上海百胜软件股份有限公司Method and system for processing large-scale order efficient distribution
CN112270444A (en)*2020-11-022021-01-26上海才匠智能科技有限公司Light APS double-bridge planning system

Patent Citations (4)

* Cited by examiner, † Cited by third party
Publication numberPriority datePublication dateAssigneeTitle
CN106383894A (en)*2016-09-232017-02-08深圳市由心网络科技有限公司Enterprise supply-demand information matching method and apparatus
CN107274261A (en)*2017-06-052017-10-20杭州王道起兮科技有限公司B2B E-commerce supply and demand bipartite matching method and system
CN110570115A (en)*2019-09-032019-12-13上海百胜软件股份有限公司Method and system for processing large-scale order efficient distribution
CN112270444A (en)*2020-11-022021-01-26上海才匠智能科技有限公司Light APS double-bridge planning system

Cited By (4)

* Cited by examiner, † Cited by third party
Publication numberPriority datePublication dateAssigneeTitle
CN114548710A (en)*2022-02-072022-05-27上海数依数据科技有限公司 A Stream-Oriented Production Scheduling Method
CN115829299A (en)*2023-02-142023-03-21欧瑞科斯科技产业(集团)有限公司Supply chain management method and device, electronic equipment and readable storage medium
CN120450380A (en)*2025-07-082025-08-08深圳市维高模塑有限公司Metal part production management system based on artificial intelligence
CN120450380B (en)*2025-07-082025-09-16深圳市维高模塑有限公司 An artificial intelligence-based metal parts production management system

Similar Documents

PublicationPublication DateTitle
CN113947328A (en)Industrial chain upstream and downstream intelligent matching method and system based on big data
WO2023130709A1 (en)Production scheduling method and apparatus for household appliance device, device, and storage medium
CN105281925B (en)The method and apparatus that network service groups of users divides
CN101639687B (en) An integrated process quality control system and its realization method
Manavizadeh et al.A multi-objective mixed-model assembly line sequencing problem in order to minimize total costs in a Make-To-Order environment, considering order priority
CN113706009A (en)Supplier intelligent evaluation and grading system based on multi-dimensional material data
CN113962581A (en)Industrial chain factory capacity assessment method and system based on big data
WitteUsing static capacity modeling techniques in semiconductor manufacturing
Li et al.A novel collaborative iterative greedy algorithm for hybrid flowshop scheduling problem with batch processing machines and variable sublots
CN118822227A (en) Intelligent production management system for factory production
CN110147596A (en) A method for evaluating the production capacity of aviation products
Ngadono et al.Lean manufacturing implementation on extrude process with value stream maping: Study case in tyre manufacture
TWI880752B (en)Data cleansing system and data cleansing method
ShinA dispatching algorithm considering process quality and due dates: an application for re-entrant production lines
CN112069219A (en) A method and system for batch matching data configuration to realize business recommendation
CN113947440A (en) A method and system for evaluating demand for industrial chain orders based on big data
CN117273342A (en)Industrial Internet of things based on task automatic execution product manufacturing and control method thereof
CN117474281A (en)Multi-variety small-batch cold rolling batch-collecting scheduling optimization method and system
CN117314332A (en)Method and device for determining production scheme of plate-type product
CN117408782A (en)Intelligent upstream and downstream matching method and system for sock industry factory and stitch joint cooperation
Wei et al.Optimization modeling of spinning frame equipment resource allocation in a textile factory based on multi-objective
Kabir et al.Customer perceived quality improvement of synthetic fiber using fuzzy QFD: a case study
CN115345487A (en)Cigarette classification method and system
Chang et al.Probe of the replenishment strategy and grouping rule in the semiconductor industry
CN116882555B (en)Multi-order layout optimization method with limited sorting stations

Legal Events

DateCodeTitleDescription
PB01Publication
PB01Publication
SE01Entry into force of request for substantive examination
SE01Entry into force of request for substantive examination
RJ01Rejection of invention patent application after publication

Application publication date:20220118

RJ01Rejection of invention patent application after publication

[8]ページ先頭

©2009-2025 Movatter.jp