Movatterモバイル変換


[0]ホーム

URL:


CN113945917A - Method and device for determining target speed of object, vehicle and storage medium - Google Patents

Method and device for determining target speed of object, vehicle and storage medium
Download PDF

Info

Publication number
CN113945917A
CN113945917ACN202111132332.1ACN202111132332ACN113945917ACN 113945917 ACN113945917 ACN 113945917ACN 202111132332 ACN202111132332 ACN 202111132332ACN 113945917 ACN113945917 ACN 113945917A
Authority
CN
China
Prior art keywords
echo
speed
fuzzy
determining
coefficient
Prior art date
Legal status (The legal status is an assumption and is not a legal conclusion. Google has not performed a legal analysis and makes no representation as to the accuracy of the status listed.)
Granted
Application number
CN202111132332.1A
Other languages
Chinese (zh)
Other versions
CN113945917B (en
Inventor
晁淑媛
颜福才
方楚颖
于晓爽
Current Assignee (The listed assignees may be inaccurate. Google has not performed a legal analysis and makes no representation or warranty as to the accuracy of the list.)
Freetech Intelligent Systems Co Ltd
Original Assignee
Freetech Intelligent Systems Co Ltd
Priority date (The priority date is an assumption and is not a legal conclusion. Google has not performed a legal analysis and makes no representation as to the accuracy of the date listed.)
Filing date
Publication date
Application filed by Freetech Intelligent Systems Co LtdfiledCriticalFreetech Intelligent Systems Co Ltd
Priority to CN202111132332.1ApriorityCriticalpatent/CN113945917B/en
Publication of CN113945917ApublicationCriticalpatent/CN113945917A/en
Application grantedgrantedCritical
Publication of CN113945917BpublicationCriticalpatent/CN113945917B/en
Activelegal-statusCriticalCurrent
Anticipated expirationlegal-statusCritical

Links

Images

Classifications

Landscapes

Abstract

The application relates to the technical field of millimeter wave radar data processing, and discloses a method and a device for determining target speed of an object, a vehicle and a storage medium.

Description

Method and device for determining target speed of object, vehicle and storage medium
Technical Field
The invention relates to the technical field of millimeter wave radar data processing, in particular to a method and a device for determining target speed of an object, a vehicle and a storage medium.
Background
Compared with laser radar, ultrasonic radar, cameras and the like, the millimeter wave radar has the advantages of low cost, long detection distance, high speed measurement precision and whole-day performance, and therefore occupies a very important position in an automatic driving system or an auxiliary driving system. The traditional millimeter wave radar usually adopts linear frequency modulation continuous waves, but is limited by a chip memory of the millimeter wave radar, a balance needs to be made between modulation bandwidth and the radar maximum detection distance, and large-bandwidth signal transmission cannot be realized when the maximum detection distance is larger.
In order to solve the problems, most manufacturers actively adopt a step linear frequency modulation waveform, and adopt a small-bandwidth signal in a single frequency modulation period, but the initial frequency between periods is increased by a fixed step value, so that the transmission of a large-bandwidth signal in the whole coherent accumulation period can be realized. The existing processing method of step linear frequency modulation generally includes performing one-dimensional Fourier Transform (FFT) on each period, then compensating for phase shift caused by transmission frequency step of different periods, then performing two-dimensional FFT to obtain a distance-doppler two-dimensional spectrogram, and then obtaining distance information and velocity information of an object by using a traditional waveform detection and distance velocity calculation method.
However, when compensating for phase shift caused by transmission frequency steps of different periods, the processing method of the step chirp needs to know the speed of an object, and in an actual application scenario, the speed of the object is obtained only after a range-doppler two-dimensional spectrogram is detected, and is unknown before spectrum formation. Although the velocity can be compensated by grid separation and search with different doppler search methods, the following disadvantages still exist:
1. the step size of the grid is limited, so that errors exist between the compensation speed and the actual speed, and compensation residues are generated to influence the speed determination precision;
2. the search mode needs to traverse all the speeds in a rasterization mode, and the calculation amount is large;
3. when the speed range of interest is larger than the maximum unambiguous speed range, the ambiguity coefficient of the speed cannot be determined, which results in that correct compensation cannot be performed.
Disclosure of Invention
The embodiment of the application provides a method and a device for determining a target speed of an object, a vehicle and a storage medium, which can reduce the occurrence of speed measurement errors caused by phase uncompensation or compensation errors due to speed ambiguity, reduce the amount of calculation and improve the speed measurement accuracy.
The embodiment of the application provides a method for determining a target speed of an object, which comprises the following steps:
acquiring a first power spectrogram and a first parameter set of a first echo, a second power spectrogram and a second parameter set of a second echo, and a third parameter set of the first echo and the second echo;
determining a first echo fuzzy distance moving speed according to the first power spectrogram, the first parameter set and the third parameter set;
determining a first echo fuzzy speed according to the first parameter set, the third parameter set and the first echo fuzzy range-shifting speed;
determining a first fuzzy coefficient set and a first echo unblurred speed corresponding to each first fuzzy coefficient according to the first parameter set and the first echo fuzzy speed;
determining a second echo unambiguous range shift speed corresponding to each first ambiguity coefficient according to the second parameter set, the third parameter set and the first echo unambiguous speed;
determining a second fuzzy coefficient set and a second echo fuzzy range shifting speed corresponding to each second fuzzy coefficient according to the second parameter set and the second echo non-fuzzy range shifting speed;
and determining the target speed of the object according to the second parameter set, the first echo fuzzy speed, the first fuzzy coefficient set and the second echo fuzzy range-shifting speed corresponding to each second fuzzy coefficient.
Further, acquiring a first power spectrum of the first echo, comprising:
fourier transform processing is carried out on each sub-echo in the first echo to obtain a one-dimensional distance map of each sub-echo;
performing Fourier transform processing on the one-dimensional distance map of each sub-echo to obtain a two-dimensional complex spectrogram of the first echo;
and carrying out power determination processing on the two-dimensional complex spectrogram to obtain a first power spectrogram of the first echo.
Further, the first parameter set comprises a first speed resolution, a first reference unambiguous speed and a first cycle duration corresponding to the first echo;
the second parameter set comprises a second speed resolution, a second reference unambiguous speed and a second cycle duration corresponding to the second echo;
the third set of parameters includes range resolution, step value, and carrier frequency of the first echo and the second echo.
Further, determining a first echo ambiguity range velocity according to the first power spectrogram, the first parameter set and the third parameter set, comprising:
determining a first fuzzy range shift speed unit serial number corresponding to the object in the first power spectrogram based on a constant false alarm detection rule;
acquiring serial numbers of two adjacent to-be-processed fuzzy distance moving speed units of the serial number of the first fuzzy distance moving speed unit;
and carrying out parabolic interpolation processing on the serial number of the first fuzzy distance moving speed unit and the serial numbers of two adjacent to-be-processed fuzzy distance moving speed units to obtain a first echo fuzzy distance moving speed.
Further, before determining the first echo ambiguity speed according to the first parameter set, the third parameter set and the first echo ambiguity range-shifting speed, the method further comprises:
determining the corresponding distance unit serial number of the object in the first power spectrogram based on a constant false alarm detection rule;
acquiring serial numbers of two adjacent distance units to be processed corresponding to the serial numbers of the distance units;
and carrying out parabolic interpolation processing on the distance unit serial numbers and the serial numbers of two adjacent distance units to be processed to obtain the target distance.
Further, determining a first echo ambiguity speed according to the first parameter set, the third parameter set and the first echo ambiguity range-shifting speed comprises:
determining the fuzzy speed to be converted according to the first echo fuzzy distance moving speed, the stepping value, the target distance, the carrier frequency and the first period duration;
and determining a first echo fuzzy speed according to the first reference non-fuzzy speed and the fuzzy speed to be converted.
Further, determining a first echo unblurring speed corresponding to the first fuzzy coefficient set and each first fuzzy coefficient according to the first parameter set and the first echo fuzzy speed comprises:
determining a first fuzzy coefficient set according to a preset interested speed interval, a first echo fuzzy speed and a first reference non-fuzzy speed; each first blurring coefficient is an integer;
and determining a first echo unambiguous speed corresponding to each first ambiguity coefficient according to the first echo ambiguous speed, the first reference unambiguous speed and the first ambiguity coefficient set.
Further, determining a second echo unambiguous range shift speed corresponding to each first ambiguity coefficient according to the second parameter set, the third parameter set and the first echo unambiguous speed includes:
and determining the second echo unambiguous range-shifting speed corresponding to each first ambiguity coefficient according to the first echo unambiguous speed, the stepping value, the carrier frequency, the target distance and the second period duration corresponding to each first ambiguity coefficient.
Further, determining a second fuzzy range-shifting speed of the second fuzzy coefficient set and a second echo corresponding to each second fuzzy coefficient according to the second parameter set and the second echo non-fuzzy range-shifting speed, including:
determining a second fuzzy coefficient set according to the second reference non-fuzzy speed and a second echo fuzzy range shifting speed corresponding to each first fuzzy coefficient; each second blurring coefficient is an integer;
and determining a second echo fuzzy range-shifting speed corresponding to each second fuzzy coefficient according to the second echo fuzzy range-shifting speed corresponding to each first fuzzy coefficient, a second reference non-fuzzy speed and a second fuzzy coefficient set.
Further, determining the target speed of the object according to the second parameter set, the first echo fuzzy speed, the first fuzzy coefficient set and the second echo fuzzy range-shifting speed corresponding to each second fuzzy coefficient, including:
determining a second fuzzy distance moving speed unit serial number of a second echo fuzzy distance moving speed corresponding to each second fuzzy coefficient according to the second echo fuzzy distance moving speed and the second speed resolution corresponding to each second fuzzy coefficient;
determining first power from a first power spectrogram according to the serial number of the first fuzzy range shift speed unit and the serial number of the distance unit;
determining a second power corresponding to each second fuzzy coefficient from a second power spectrogram according to the serial number of the second fuzzy distance moving speed unit and the serial number of the distance unit;
determining a target fuzzy coefficient from the first fuzzy coefficient set according to the first power and the second power corresponding to each second fuzzy coefficient;
and determining the target speed of the object according to the first echo fuzzy speed, the first reference unsharp speed and the target fuzzy coefficient.
Correspondingly, the embodiment of the present application further provides a device for determining a target speed of an object, including:
the acquisition module is used for acquiring a first power spectrogram and a first parameter set of a first echo, a second power spectrogram and a second parameter set of a second echo, and a third parameter set of the first echo and the second echo;
the first determining module is used for determining a first echo fuzzy distance moving speed according to the first power spectrogram, the first parameter set and the third parameter set;
the second determining module is used for determining the first echo fuzzy speed according to the first parameter set, the third parameter set and the first echo fuzzy range shifting speed;
the third determining module is used for determining the first fuzzy coefficient set and the first echo unblurred speed corresponding to each first fuzzy coefficient according to the first parameter set and the first echo fuzzy speed;
the fourth determining module is used for determining the second echo unambiguous range shift speed corresponding to each first ambiguity coefficient according to the second parameter set, the third parameter set and the first echo unambiguous speed;
a fifth determining module, configured to determine, according to the second parameter set and the second echo unambiguous range shift rate, a second fuzzy coefficient set and a second echo ambiguous range shift rate corresponding to each second fuzzy coefficient;
and the sixth determining module is used for determining the target speed of the object according to the second parameter set, the first echo fuzzy speed, the first fuzzy coefficient set and the second echo fuzzy range-shifting speed corresponding to each second fuzzy coefficient.
Further, an obtaining module for
Fourier transform processing is carried out on each sub-echo in the first echo to obtain a one-dimensional distance map of each sub-echo;
performing Fourier transform processing on the one-dimensional distance map of each sub-echo to obtain a two-dimensional complex spectrogram of the first echo;
and carrying out power determination processing on the two-dimensional complex spectrogram to obtain a first power spectrogram of the first echo.
Further, the first parameter set comprises a first speed resolution, a first reference unambiguous speed and a first cycle duration corresponding to the first echo;
the second parameter set comprises a second speed resolution, a second reference unambiguous speed and a second cycle duration corresponding to the second echo;
the third set of parameters includes range resolution, step value, and carrier frequency of the first echo and the second echo.
Further, a first determination module for
Determining a first fuzzy range shift speed unit serial number corresponding to the object in the first power spectrogram based on a constant false alarm detection rule;
acquiring serial numbers of two adjacent to-be-processed fuzzy distance moving speed units of the serial number of the first fuzzy distance moving speed unit;
and carrying out parabolic interpolation processing on the serial number of the first fuzzy distance moving speed unit and the serial numbers of two adjacent to-be-processed fuzzy distance moving speed units to obtain a first echo fuzzy distance moving speed.
Further, still include:
a seventh determining module for determining the first echo ambiguity speed based on the first parameter set, the third parameter set and the first echo ambiguity range-shifting speed,
determining the corresponding distance unit serial number of the object in the first power spectrogram based on a constant false alarm detection rule;
acquiring serial numbers of two adjacent distance units to be processed corresponding to the serial numbers of the distance units;
and carrying out parabolic interpolation processing on the distance unit serial numbers and the serial numbers of two adjacent distance units to be processed to obtain the target distance.
Further, a second determination module for
Determining the fuzzy speed to be converted according to the first echo fuzzy distance moving speed, the stepping value, the target distance, the carrier frequency and the first period duration;
and determining a first echo fuzzy speed according to the first reference non-fuzzy speed and the fuzzy speed to be converted.
Further, a third determination module for
Determining a first fuzzy coefficient set according to a preset interested speed interval, a first echo fuzzy speed and a first reference non-fuzzy speed; each first blurring coefficient is an integer;
and determining a first echo unambiguous speed corresponding to each first ambiguity coefficient according to the first echo ambiguous speed, the first reference unambiguous speed and the first ambiguity coefficient set.
Further, a fourth determination module for
And determining the second echo unambiguous range-shifting speed corresponding to each first ambiguity coefficient according to the first echo unambiguous speed, the stepping value, the carrier frequency, the target distance and the second period duration corresponding to each first ambiguity coefficient.
Further, a fifth determining module for
Determining a second fuzzy coefficient set according to the second reference non-fuzzy speed and a second echo fuzzy range shifting speed corresponding to each first fuzzy coefficient; each second blurring coefficient is an integer;
and determining a second echo fuzzy range-shifting speed corresponding to each second fuzzy coefficient according to the second echo fuzzy range-shifting speed corresponding to each first fuzzy coefficient, a second reference non-fuzzy speed and a second fuzzy coefficient set.
Further, a sixth determining module for
Determining a second fuzzy distance moving speed unit serial number of a second echo fuzzy distance moving speed corresponding to each second fuzzy coefficient according to the second echo fuzzy distance moving speed and the second speed resolution corresponding to each second fuzzy coefficient;
determining first power from a first power spectrogram according to the serial number of the first fuzzy range shift speed unit and the serial number of the distance unit;
determining a second power corresponding to each second fuzzy coefficient from a second power spectrogram according to the serial number of the second fuzzy distance moving speed unit and the serial number of the distance unit;
determining a target fuzzy coefficient from the first fuzzy coefficient set according to the first power and the second power corresponding to each second fuzzy coefficient;
and determining the target speed of the object according to the first echo fuzzy speed, the first reference unsharp speed and the target fuzzy coefficient.
Accordingly, embodiments of the present application also provide a vehicle including a processor and a memory, where at least one instruction, at least one program, a set of codes, or a set of instructions is stored in the memory, and the at least one instruction, the at least one program, the set of codes, or the set of instructions is loaded and executed by the processor to achieve the determination method of the target speed of the above object.
Accordingly, the present application further provides a computer-readable storage medium, in which at least one instruction, at least one program, a code set, or a set of instructions is stored, and the at least one instruction, the at least one program, the code set, or the set of instructions is loaded and executed by a processor to implement the method for determining the target speed of the object.
The embodiment of the application has the following beneficial effects:
the method for determining the target speed of the object comprises the steps of obtaining a first power spectrogram and a first parameter set of a first echo, a second power spectrogram and a second parameter set of a second echo, and a third parameter set of the first echo and the second echo, determining a first echo fuzzy range shift speed according to the first power spectrogram, the first parameter set and the third parameter set, determining a first echo fuzzy range shift speed according to the first parameter set, the third parameter set and the first echo fuzzy range shift speed, determining a first echo non-fuzzy speed corresponding to the first fuzzy coefficient set and each first fuzzy coefficient according to the first parameter set and the first echo fuzzy speed, determining a second echo non-range shift speed corresponding to each first fuzzy coefficient according to the second parameter set, the third parameter set and the first echo non-fuzzy speed, and determining the second fuzzy coefficient set and the second echo fuzzy range-shifting speed corresponding to each second fuzzy coefficient according to the second parameter set and the second echo non-fuzzy range-shifting speed, and determining the target speed of the object according to the second parameter set, the first echo fuzzy speed, the first fuzzy coefficient set and the second echo fuzzy range-shifting speed corresponding to each second fuzzy coefficient. Based on the method and the device, the target speed is determined by adopting the solving sequence of the first echo fuzzy range shifting speed, the first echo fuzzy speed, the first echo non-fuzzy speed, the second echo non-fuzzy range shifting speed and the second echo non-fuzzy range shifting speed, so that the situation of speed measurement errors caused by phase uncompensation or compensation errors due to speed ambiguity can be reduced, the operation amount can be reduced, and the speed measurement accuracy is improved.
Drawings
In order to more clearly illustrate the technical solutions and advantages of the embodiments of the present application or the prior art, the drawings used in the description of the embodiments or the prior art will be briefly described below, it is obvious that the drawings in the following description are only some embodiments of the present application, and other drawings can be obtained by those skilled in the art without creative efforts.
FIG. 1 is a schematic diagram of an application environment provided by an embodiment of the present application;
fig. 2 is a schematic flowchart of a method for determining a target speed of an object according to an embodiment of the present application;
fig. 3 is a schematic flowchart of a method for determining a first power spectrum of a first echo according to an embodiment of the present disclosure;
FIG. 4 is a schematic plan view of a range-range velocity power spectrum of a first echo according to an embodiment of the present disclosure;
fig. 5 is a flowchart illustrating a method for determining a first echo blur speed according to an embodiment of the present disclosure;
FIG. 6 is a schematic flow chart diagram illustrating a method for determining a target velocity of an object according to an embodiment of the present application;
FIG. 7 is a schematic diagram of a two-dimensional distance-range velocity power spectrum of a first echo according to an embodiment of the present disclosure;
FIG. 8 is a schematic diagram of a two-dimensional distance-displacement velocity power spectrum of a second echo according to an embodiment of the present disclosure;
fig. 9 is a schematic structural diagram of an apparatus for determining a target speed of an object according to an embodiment of the present application.
Detailed Description
To make the objects, technical solutions and advantages of the present application more clear, embodiments of the present application will be described in further detail below with reference to the accompanying drawings. It should be apparent that the described embodiment is only one embodiment of the present application and not all embodiments. All other embodiments, which can be derived by a person skilled in the art from the embodiments given herein without making any creative effort, shall fall within the protection scope of the present application.
An "embodiment" as referred to herein relates to a particular feature, structure, or characteristic that may be included in at least one implementation of the present application. In the description of the embodiments of the present application, it should be understood that the terms "first", "second" and "third" are used for descriptive purposes only and are not to be construed as indicating or implying relative importance or implying any number of technical features indicated. Thus, features defined as "first", "second" and "third" may explicitly or implicitly include one or more of the features. Moreover, the terms "first," "second," and "third," etc. are used for distinguishing between similar elements and not necessarily for describing a particular sequential or chronological order. It is to be understood that the data so used is interchangeable under appropriate circumstances such that the embodiments of the application described herein are capable of operation in other sequences than described or illustrated herein. Furthermore, the terms "comprises" and "comprising," as well as any variations thereof, are intended to cover non-exclusive inclusions.
Referring to fig. 1, it shows a schematic diagram of an application environment provided by the embodiment of the present application, including amillimeter wave radar 101 and anobject 103, where the millimeter wave radar may be disposed in front of a vehicle, or may be disposed in front of the left or right of the vehicle, and fig. 1 is only an example of an optional manner. Themillimeter wave radar 101 may include a processor, and the object may be another vehicle traveling on the road. Themillimeter wave radar 101 transmits two kinds of waveforms to theobject 103 every frame, and receives the corresponding first echo and second echo. Themillimeter wave radar 101 acquires a first power spectrogram and a first parameter set of a first echo, a second power spectrogram and a second parameter set of a second echo, and a third parameter set of the first echo and the second echo, determines a first echo fuzzy range shift speed according to the first power spectrogram, the first parameter set and the third parameter set, determines a first echo fuzzy speed according to the first parameter set, the third parameter set and the first echo fuzzy range shift speed, determines a first echo fuzzy speed according to the first parameter set and the first echo fuzzy speed, determines a second echo fuzzy range shift speed corresponding to each first fuzzy coefficient according to the second parameter set, the third parameter set and the first echo fuzzy speed, and determines a second echo fuzzy range shift speed according to the second parameter set and the second echo fuzzy range shift speed, and determining the second fuzzy coefficient set and a second echo fuzzy range shifting speed corresponding to each second fuzzy coefficient, and determining the target speed of the object according to the second parameter set, the first echo fuzzy speed, the first fuzzy coefficient set and the second echo fuzzy range shifting speed corresponding to each second fuzzy coefficient.
In the embodiment of the application, the target speed is determined by adopting the solving sequence of the first echo fuzzy range moving speed, the first echo fuzzy speed, the first echo non-fuzzy speed, the second echo non-fuzzy range moving speed and the second echo fuzzy range moving speed, so that the situation of speed measurement errors caused by phase uncompensation or compensation errors due to speed ambiguity can be reduced, the operation amount can be reduced, and the speed measurement accuracy is improved.
While a specific embodiment of a method for determining a target speed of an object according to the present application is described below, fig. 2 is a schematic flow chart of a method for determining a target speed of an object according to an embodiment of the present application, and the present specification provides the method operation steps as shown in the embodiment or the flow chart, but more or less operation steps may be included based on conventional or non-inventive labor. The order of steps recited in the embodiments is only one of many possible orders of execution and does not represent the only order of execution, and in actual execution, the steps may be performed sequentially or in parallel as in the embodiments or methods shown in the figures (e.g., in the context of parallel processors or multi-threaded processing). Specifically, as shown in fig. 2, the method includes:
s201: and acquiring a first power spectrogram and a first parameter set of the first echo, a second power spectrogram and a second parameter set of the second echo, and a third parameter set of the first echo and the second echo.
In the embodiment of the application, each frame of the radar can emit two waveforms, and then can receive two echoes, namely a first echo and a second echo. In an alternative embodiment, the radar may transmit the a wave first, then transmit the B wave, and then receive the a echo corresponding to the a wave and the B echo corresponding to the B wave. The a echo may include 64 Chirp periods, each Chirp may sample 256 sampling points. Likewise, the B echo may include 64 Chirp, each Chirp may sample 256 samples. Alternatively, the first echo may be a B echo and the second echo may be an a echo.
The embodiment of the present application provides a specific embodiment of a method for determining a first power spectrogram of a first echo, and fig. 3 is a schematic flow chart of the method for determining the first power spectrogram of the first echo provided in the embodiment of the present application, and the specific steps are as follows:
s301: and carrying out Fourier transform processing on each sub-echo in the first echo to obtain a one-dimensional distance map of each sub-echo.
In the embodiment of the application, the processor may acquire the first echo, and perform distance dimension one-dimensional Fast Fourier Transform (FFT) processing on each Chirp in the first echo to obtain a one-dimensional range profile of each Chirp.
In an optional implementation manner, when the first echo is a B echo and the second echo is an a echo, the processor may acquire the B echo, and perform distance dimension 1D-FFT on each Chirp in the B echo to obtain a one-dimensional range profile of each Chirp.
S303: and carrying out Fourier transform processing on the one-dimensional distance map of each sub-echo to obtain a two-dimensional complex spectrogram of the first echo.
In the embodiment of the application, after the processor obtains the one-dimensional range profile of each Chirp, the processor can perform 2D-FFT on the one-dimensional range profiles of all Chirp of the first echo one by one for each range cell to obtain a two-dimensional complex spectrum of the range-range shift speed.
In an optional implementation manner, when the first echo is a B echo and the second echo is an a echo, the processor may perform 2D-FFT on the one-dimensional range images of all Chirp of the B echo according to range unit by range unit to obtain a two-dimensional complex spectrum of the range-range shift speed.
S305: and carrying out power determination processing on the two-dimensional complex spectrogram to obtain a first power spectrogram of the first echo.
In this embodiment, after obtaining the two-dimensional complex spectrum of the distance-distance moving speed, the processor may obtain power for each unit of the two-dimensional complex spectrum of the first echo, and convert the power into a value in dB to obtain the two-dimensional power spectrum of the distance-distance moving speed of the first echo. Fig. 4 is a schematic plan view of a range-range velocity power spectrum of a first echo according to an embodiment of the present application.
In an alternative embodiment, when the first echo is a B echo and the second echo is an a echo, the processor may obtain power for each cell of the two-dimensional complex spectrum of the B echo, and convert the power to a value in dB to obtain a two-dimensional distance-range velocity power spectrum of the B echo.
In an alternative embodiment, the pitch-shift speed may refer to that after the 2D-FFT is performed, the abscissa is taken as a distance dimension, and the ordinate is a dimension of interaction between the speed and the distance, and the speed and the distance may bring about the movement of the peak on the ordinate, because the dimension corresponding to the ordinate may be referred to as the "pitch-shift speed", that is, the speed of the movement generated due to the distance.
In this embodiment of the application, the processor may determine the power spectrogram of the second echo by using the method steps shown in fig. 3, that is, determine the distance-distance moving speed two-dimensional power spectrogram of the a echo, and a specific implementation method is not described herein again.
In the embodiment of the application, phase offset compensation is not performed after 1D-FFT is performed, a distance-distance moving speed two-dimensional power spectrogram is constructed by directly performing 2D-FFT, and a distance value and a distance moving speed value of an object are determined based on the power spectrogram, so that the problem that the phase cannot be compensated due to the fact that speed has a fuzzy coefficient can be reduced.
In an embodiment of the present application, the first echo may have a first parameter set, which includes a first speed resolution, a first reference unambiguous speed, and a first period duration corresponding to the first echo. The second echo may have a second set of parameters including a second velocity resolution, a second reference unambiguous velocity, and a second cycle duration for the second echo. There may be a third set of parameters between the first echo and the second echo including range resolution, step value and carrier frequency. The first parameter set, the second parameter set, and the third parameter set may include, but are not limited to, the parameters listed above, and may also include other parameters, which are not specifically limited in this specification.
S203: and determining a first echo fuzzy distance moving speed according to the first power spectrogram, the first parameter set and the third parameter set.
In an optional implementation manner, the processor may determine, based on a constant false alarm detection rule, a first fuzzy range shift speed unit serial number and a distance unit serial number corresponding to the object in the first power spectrogram, that is, the processor may perform two-dimensional constant false alarm detection on the first power spectrogram of the first echo, to obtain the distance unit serial number and the first fuzzy range shift speed unit serial number of the corresponding unit of the object on the first power spectrogram.
Optionally, the constant false alarm detection may be performed on the two-dimensional power spectrum of the B echo along the range velocity dimension, the detection algorithm uses a unit average constant false alarm algorithm to obtain a first-dimensional detection unit list, and the constant false alarm detection may be performed on the two-dimensional power spectrum of the B echo along the range dimension, the detection algorithm uses a unit average constant false alarm algorithm to obtain a second-dimensional detection unit list, and then an intersection of the first-dimensional detection unit list and the second-dimensional detection unit list may be taken as a final detection unit list, and a distance unit serial number and a range velocity unit serial number corresponding to each detection unit are recorded.
In the embodiment of the application, the corresponding distance unit serial number R of the object in the first power spectrogram is determinedBnumAnd a first fuzzy distance moving speed unit number VBnumAnd then, acquiring the serial numbers of two adjacent distance units to be processed corresponding to the serial numbers of the distance units, and performing parabolic interpolation processing on the serial numbers of the distance units and the serial numbers of the two adjacent distance units to be processed to obtain the target distance. The serial numbers of two adjacent to-be-processed fuzzy distance moving speed units of the serial number of the first fuzzy distance moving speed unit can be obtained, and parabolic interpolation processing is carried out on the serial number of the first fuzzy distance moving speed unit and the serial numbers of the two adjacent to-be-processed fuzzy distance moving speed units to obtain the first echo fuzzy distance moving speed.
In an alternative embodiment, the corresponding distance unit of the object in the first power spectrogram may be determinedNumber of elements RBnumIs 50 and the first fuzzy pitch shift speed unit number VBnumIs 14.
The following describes a specific embodiment of the first echo blur range shift speed based on the above-listed examples. Suppose that when the first echo is a B echo and the second echo is an a echo, the first velocity resolution Δ V corresponding to the B echoBMay be 0.1m/s, the first reference deblurring velocity, i.e. the maximum deblurring velocity VBmaxCan be 6.4m/s, and the first period duration, namely the B echo Chirp period duration TBMay be 304 mus. Second velocity resolution Δ V corresponding to a echoAMay be 0.108m/s, the second reference deblurring velocity, i.e. the maximum deblurring velocity VAmaxCan be 6.912m/s, and the second period duration, namely the Chirp period duration T of the A echoAMay be 282 mus. A. The range resolution Δ R of the B echo may be 1m, the step value fstepMay be 2MHz, carrier frequency f0May be 77 GHz.
The processor may be based on the range unit sequence number RBnumAnd a range resolution Δ R, determining a rough range R of the object1Further, the serial number R of the unit where the object is located on the first power spectrogram is obtainedBnumLeft side coarse measurement distance R corresponding to left side adjacent unit serial numberleftLeft rough measurement distance R corresponding to right adjacent unit serial numberrightAnd performing parabolic interpolation on the three rough measurement distances to obtain a target distance R of the object2I.e. the accurate distance measurement. The processor may be configured to determine a first speed resolution Δ V corresponding to a unit number of the first fuzzy range shift speed unit and a unit where the object is located on the first power spectrogram according to the first fuzzy range shift speed unit numberBDetermining a coarse range-finding speed V of the object1Further, the serial number V of the unit where the object is located on the first power spectrogram is obtainedBnumUpper coarse ranging shift velocity V corresponding to upper adjacent cell numberupLower side rough measurement distance V corresponding to lower side adjacent unit serial numberdownAnd performing parabolic interpolation on the three coarse distance measurement moving speeds to obtain a first distance moving speed V of the object2I.e. the fine ranging movement speed. The following formula can be used to determine the rough distance R1Rough distance measurement moving speed V1
R1=RBnum×ΔR=50×1m=50m
V1=VBnum×ΔV1=14×0.1m/s=1.4m/s
In an alternative embodiment, the determined target distance R2 may be 50.02m, the first echo blur range velocity V2May be 1.367 m/s.
S205: and determining the first echo fuzzy speed according to the first parameter set, the third parameter set and the first echo fuzzy range-shifting speed.
Fig. 5 is a schematic flow chart of a method for determining a first echo ambiguity speed according to an embodiment of the present application, which includes the following specific steps:
s501: and determining the fuzzy speed to be converted according to the first echo fuzzy distance moving speed, the stepping value, the target distance, the carrier frequency and the first period duration.
In this embodiment, the processor may shift the velocity V according to the first echo ambiguity range2Step value fstepTarget distance R2Carrier frequency f0And a first period duration TBDetermining the fuzzy speed V to be convertedB', the following formula can be specifically adopted to determine the blur speed V to be convertedB’:
Figure BDA0003279019650000141
S503: and determining a first echo fuzzy speed according to the first reference non-fuzzy speed and the fuzzy speed to be converted.
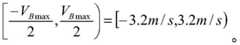
In the embodiment of the application, the processor can not obscure the speed V according to the first referenceBmaxDetermining a first main value interval, and further converting the fuzzy speed V to be convertedB' conversion to the first principal value interval, i.e. x2Sequentially substituting 0,1, -1. the converted fuzzy speed to be converted is in a first main value interval, namely a first echo fuzzy speed VBWithin a first interval of principal values. Specifically, the following formula can be adopted to determine the first echo fuzzy velocity VB
VB=VB'+(VBmax×x2)=-2.907m/s+(6.4m/s×0)=-2.907m/s
Wherein the first main value interval is
Figure BDA0003279019650000151
S207: and determining the first fuzzy coefficient set and the first echo unblurred speed corresponding to each first fuzzy coefficient according to the first parameter set and the first echo fuzzy speed.
In this embodiment, the processor may determine a first fuzzy coefficient set according to a preset interested speed interval, a first echo fuzzy speed and a first reference non-fuzzy speed, where each first fuzzy coefficient is an integer, and determine a first echo non-fuzzy speed corresponding to each first fuzzy coefficient according to the first echo fuzzy speed, the first reference non-fuzzy speed and the first fuzzy coefficient set.
In an alternative embodiment, the predetermined speed of interest interval may be [ -20m/s,20m/s]And according to the first echo fuzzy velocity VBA preset interested speed interval and a first reference unambiguous speed VBmaxDetermining a first set of blurring coefficients alphaiI.e. the blurring coefficients to be traversed, and the first echo unambiguous velocity V corresponding to each first blurring coefficientBi. Alternatively, the first set of blurring coefficients α may be determined according to the following formulai
VBi=VB+(VBmax×αi)
Wherein alpha isiCan take alpha insequencei0, -1,1, -2,2, -3, if the corresponding VBiIn the speed interval of interest [ -20m/s,20m/s]In, then alpha will beiIs determined as one of the first blurring coefficients in the first set of blurring coefficients.
When alpha isiWhen equal to 0, VBi=-2.907m/s+(6.4m/s×0)=-2.907m/s;
When alpha isiWhen is-1, VBi=-2.907m/s+(6.4m/s×(-1))=-9.307m/s;
When alpha isiWhen 1, VBi=-2.907m/s+(6.4m/s×1)=3.493m/s;
When alpha isiWhen is equal to-2, VBi=-2.907m/s+(6.4m/s×(-2))=-15.707m/s;
When alpha isiWhen 2, VBi=-2.907m/s+(6.4m/s×2)=9.893m/s;
When alpha isiWhen is equal to-3, VBi=-2.907m/s+(6.4m/s×(-3))=-22.107m/s;
When alpha isiWhen equal to 3, VBi=-2.907m/s+(6.4m/s×3)=16.293m/s;
When alpha isiWhen equal to 4, VBi=-2.907m/s+(6.4m/s×4)=22.693m/s;
Based on the above iterative process, it can be seen thatiIs-3 and αiV corresponding to 4BiOutside the speed interval of interest, then, except for αiIs-3 and αiOther than 4iA first set of blurring coefficients is composed.
Wherein,
first blurring coefficient alpha1First echo unambiguous velocity V corresponding to-2B1=-15.707m/s,
First blurring coefficient alpha2First echo unambiguous velocity V corresponding to-1B2=-9.307m/s,
First blurring coefficient alpha3First echo unambiguous velocity V corresponding to 0B3=-2.907m/s,
First blurring coefficient alpha4First echo unambiguous velocity V corresponding to 1B4=3.493m/s,
First blurring coefficient alpha5First echo unambiguous velocity V corresponding to 2B5=9.893m/s,
First blurring coefficient alpha6First echo unambiguous velocity V corresponding to 3B6=16.293m/s。
S209: and determining the second echo unambiguous range shift speed corresponding to each first ambiguity coefficient according to the second parameter set, the third parameter set and the first echo unambiguous speed.
In this embodiment, the processor may determine, according to the first echo ambiguity speed, the step value, the carrier frequency, the target distance, and the second period duration corresponding to each first ambiguity coefficient, the second echo ambiguity range shift speed corresponding to each first ambiguity coefficient.
In this embodiment of the present application, the second echo unambiguous range shift speed may be determined according to the first echo unambiguous speed, where the magnitude of the first echo unambiguous speed is equal to the magnitude of the second echo unambiguous range shift speed. And then, determining the second echo unambiguous range-shifting speed corresponding to each first ambiguity coefficient according to the second echo unambiguous speed, the stepping value, the carrier frequency, the target distance and the second cycle duration corresponding to each first ambiguity coefficient.
In an alternative embodiment, it is possible to determine the first blurring coefficient α according to eachiCorresponding first echo unambiguous velocity VBiStep value fstepCarrier frequency f0Target distance R2And a second period duration TADetermining each first blurring coefficient alphaiCorresponding second echo unambiguous range shift velocity VAi. Specifically, each first blurring coefficient α may be determined according to the following formulaiCorresponding second echo unambiguous range shift velocity VAi
Figure BDA0003279019650000161
First blurring coefficient alpha1Second echo unambiguous range shift velocity V corresponding to-2A1Is-11.097 m/s;
first blurring coefficient alpha2Second echo unambiguous range shift velocity V corresponding to-1A2Is-4.697 m/s;
first blurring coefficient alpha3Second echo unambiguous range shift velocity V corresponding to 0A31.703 m/s;
first blurring coefficient alpha4Second echo unambiguous range shift velocity V corresponding to 1A48.103 m/s;
firstblurring coefficient alpha52 corresponding second echo is not modePaste distance moving speed VA514.503 m/s;
first blurring coefficient alpha6Second echo unambiguous range shift velocity V corresponding to 3A6Is 20.903 m/s.
S211: and determining the second fuzzy coefficient set and the second echo fuzzy range-shifting speed corresponding to each second fuzzy coefficient according to the second parameter set and the second echo non-fuzzy range-shifting speed.
In this embodiment of the application, the processor may determine the second blurring coefficient set according to the second reference non-blurring speed and the second echo blurring range-shifting speed corresponding to each first blurring coefficient, where each second blurring coefficient is an integer. And then determining the second echo fuzzy range-shifting speed corresponding to each second fuzzy coefficient according to the second echo fuzzy range-shifting speed corresponding to each first fuzzy coefficient, a second reference fuzzy speed and a second fuzzy coefficient set.
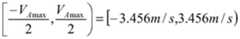
Alternatively, the processor may not blur the velocity V according to the second referenceAmaxDetermining a second principal value interval, and then according to a second reference unambiguous speed VAmaxAnd each first blurring coefficient alphaiCorresponding second echo unambiguous range shift velocity VAiDetermining a second set of blurring coefficients betajI.e. the blur coefficients to be traversed, and each second blur coefficient betajCorresponding second echo fuzzy range shift velocity VAi'. Alternatively, the second set of blurring coefficients β may be determined according to the following formulaj
VAi'=VAi+(VAmax×βj)
Wherein the second main value interval is
Figure BDA0003279019650000171
Wherein, can take beta inturnj0, -1,1, -2,2, -3, if the corresponding VAiWithin the second range of main values, then β will bejIs determined as one of the second blurring coefficients in the second set of blurring coefficients.
When beta isj=2,VAi=VA1When the temperature of the water is higher than the set temperature,VAi’=-11.097m/s+(6.912m/s×2)=2.727m/s;
when beta isj=1,VAi=VA2When, VAi’=-4.697m/s+(6.912m/s×1)=2.215m/s;
When beta isj=0,VAi=VA3When, VAi’=1.703m/s+(6.912m/s×0)=1.703m/s;
When beta isj=-1,VAi=VA4When, VAi’=8.103m/s+(6.912m/s×(-1))=1.191m/s;
When beta isj=-2,VAi=VA5When, VAi’=14.503m/s+(6.912m/s×(-2))=0.679m/s;
When beta isj=-3,VAi=VA6When, VAi’=20.903m/s+(6.912m/s×(-3))=0.167m/s;
That is to say that the first and second electrodes,
second blurring coefficient beta1Second echo blur range shift velocity V corresponding to 2A1’=2.727m/s,
Second blurring coefficient beta2Second echo blur range shift velocity V corresponding to 1A2’=2.215m/s,
Second blurring coefficient beta3Second echo blur range shift velocity V corresponding to 0A3’=1.703m/s,
Second blurring coefficient beta4Second echo fuzzy range shift speed V corresponding to-1A4’=1.191m/s,
Second blurring coefficient beta5Second echo fuzzy range shift speed V corresponding to-2A5’=0.679m/s,
Second blurring coefficient beta6Second echo fuzzy range shift speed V corresponding to-3A6’=0.167m/s。
S213: and determining the target speed of the object according to the second parameter set, the first echo fuzzy speed, the first fuzzy coefficient set and the second echo fuzzy range-shifting speed corresponding to each second fuzzy coefficient.
Fig. 6 is a schematic flowchart of a method for determining a target speed of an object according to an embodiment of the present application, which includes the following specific steps:
s601: and determining the second fuzzy range shifting speed unit serial number of the second echo fuzzy range shifting speed corresponding to each second fuzzy coefficient according to the second echo fuzzy range shifting speed and the second speed resolution corresponding to each second fuzzy coefficient.
In this embodiment, the processor may determine the second echo ambiguity range shift speed V corresponding to each second ambiguity coefficientAi' and second velocity resolution Δ VADetermining that the second echo fuzzy range moving speed corresponding to each second fuzzy coefficient corresponds to the second fuzzy range moving speed unit number V of the object on the second power spectrogramAnumi. Specifically, the following formula can be adopted to determine the serial number V of the second fuzzy distance moving speed unitAnumi
Figure BDA0003279019650000181
It is possible to obtain: second blurring coefficient beta1Second ambiguity range shift unit number V of second echo ambiguity range shift speed corresponding to 2Anum125; second blurring coefficient beta1Second ambiguity range shift unit number V of second echo ambiguity range shift speed corresponding to 1Anum221; second blurring coefficient beta1Second ambiguity range shift unit number V of second echo ambiguity range shift speed corresponding to 0Anum316; second blurring coefficient beta1Second ambiguity range shift speed unit number V of second echo ambiguity range shift speed corresponding to-1Anum411; second blurring coefficient beta1Second ambiguity range shift speed unit number V of second echo ambiguity range shift speed corresponding to-2Anum56; second blurring coefficient beta1Second ambiguity range shift speed unit number V of second echo ambiguity range shift speed corresponding to-3Anum6=2。
S603: and determining the first power from the first power spectrogram according to the serial number of the first fuzzy range shift speed unit and the serial number of the distance unit.
Fig. 7 is a schematic diagram of a two-dimensional distance-displacement velocity power spectrum of a first echo according to an embodiment of the present application. The processor may determine (50,14) from fig. 7 that the corresponding first power is 79.7.
S605: and determining second power corresponding to each second fuzzy coefficient from the second power spectrogram according to the serial number of the second fuzzy distance moving speed unit and the serial number of the distance unit.
Fig. 8 is a schematic diagram of a two-dimensional distance-displacement velocity power spectrum of a second echo according to an embodiment of the present application. The processor may determine (50,25) from fig. 7 that the corresponding second power is 43.25, (50,21) the corresponding second power is 42.36, (50,16) the corresponding second power is 52.35, (50,11) the corresponding second power is 80.23, (50,6) the corresponding second power is 51.23, and (50,2) the corresponding second power is 41.8.
S607: and determining the target blurring coefficient from the first blurring coefficient set according to the first power and the second power corresponding to each second blurring coefficient.
In this embodiment, the processor may determine the target blurring coefficient from the first blurring coefficient set according to a difference between the first power and the second power corresponding to each second blurring coefficient. Alternatively, the target blurring coefficient may be determined from the first blurring coefficient set according to a minimum value of differences between the first power and the second power corresponding to each second blurring coefficient. Optionally, it may be determined (50,11) that the corresponding second power is 80.23 with the smallest difference from the first power 79.7, and the second fuzzy range shift unit number VAnum4The second blurring coefficient corresponding to 11 is β1Second echo unambiguous range shift velocity of VA4The first blurring coefficient corresponding to 8.103 is α41, namely the target blurring coefficient is 1.
S609: and determining the target speed of the object according to the first echo fuzzy speed, the first reference unsharp speed and the target fuzzy coefficient.
In the embodiment of the present application, the target speed of the object may be determined by using the following formula:
Vtaget=VB+(VBmax×αi)=-2.907m/s+(6.4m/s×1)=3.493m/s
in this embodiment of the application, before the processor acquires the first power spectrogram and the first parameter set of the first echo, the calibration distance and the calibration speed of the object may also be acquired based on other methods, and the difference interval is preset to detect the accuracy of the obtained target speed of the determination method of the target speed of the object. And if the difference value is in the difference value interval, considering that the calculation result of the target speed determination method based on the object is accurate, and otherwise, recalculating.
In an alternative embodiment, a difference range [ -0.05,0.05] may be preset, the target distance of the object is determined to be 50m through doppler search, the target speed is determined to be 3.5m/s, the target distance obtained by the target speed determination method based on the object is 50.02m, the target speed is 3.493m/s, and the difference between the target distance and the calibration value is within the preset difference range, and the calculation result is considered to be accurate.
By adopting the method for determining the target speed of the object provided by the embodiment of the application, the target speed is determined based on the solving sequence of the first echo fuzzy range moving speed, the first echo fuzzy speed, the first echo non-fuzzy speed, the second echo non-fuzzy range moving speed and the second echo fuzzy range moving speed, the occurrence of speed measurement errors caused by phase uncompensation or compensation errors due to speed ambiguity can be reduced, the operation amount can be reduced, and the speed measurement accuracy can be improved.
Fig. 9 is a schematic structural diagram of an apparatus for determining a target speed of an object according to an embodiment of the present application, and as shown in fig. 9, the apparatus may include:
the obtainingmodule 901 is configured to obtain a first power spectrogram and a first parameter set of a first echo, a second power spectrogram and a second parameter set of a second echo, and a third parameter set of the first echo and the second echo;
the first determining module 903 is configured to determine a first echo ambiguity range shift speed according to the first power spectrogram, the first parameter set and the third parameter set;
the second determiningmodule 905 is configured to determine a first echo ambiguity speed according to the first parameter set, the third parameter set, and the first echo ambiguity range shifting speed;
the third determiningmodule 907 is configured to determine, according to the first parameter set and the first echo ambiguity speed, a first echo ambiguity speed corresponding to each first ambiguity coefficient set and a first echo ambiguity speed corresponding to each first ambiguity coefficient set;
the fourth determiningmodule 909 is configured to determine a second echo unambiguous range shift speed corresponding to each first ambiguity coefficient according to the second parameter set, the third parameter set and the first echo unambiguous speed;
the fifth determiningmodule 911 is configured to determine, according to the second parameter set and the second echo unambiguous range shift speed, a second echo ambiguous range shift speed corresponding to the second ambiguity coefficient set and each second ambiguity coefficient;
the sixth determiningmodule 913 is configured to determine the target speed of the object according to the second parameter set, the first echo fuzzy speed, the first fuzzy coefficient set, and the second echo fuzzy range moving speed corresponding to each second fuzzy coefficient.
In this embodiment of the application, the obtainingmodule 901 is used for
Fourier transform processing is carried out on each sub-echo in the first echo to obtain a one-dimensional distance map of each sub-echo;
performing Fourier transform processing on the one-dimensional distance map of each sub-echo to obtain a two-dimensional complex spectrogram of the first echo;
and carrying out power determination processing on the two-dimensional complex spectrogram to obtain a first power spectrogram of the first echo.
In this embodiment of the application, the first parameter set includes a distance resolution, a first speed resolution, a first reference unambiguous speed, and a first period duration corresponding to the first echo;
the second parameter set comprises a second speed resolution, a second reference unambiguous speed and a second cycle duration corresponding to the second echo;
the third set of parameters includes the step values and carrier frequency frequencies of the first echo and the second echo.
In the embodiment of the present application, the first determining module 903 is used for
Acquiring a calibration distance and a calibration speed of an object;
determining a first fuzzy range shift speed unit serial number corresponding to the object in the first power spectrogram based on a constant false alarm detection rule;
acquiring serial numbers of two adjacent to-be-processed fuzzy distance moving speed units of the serial number of the first fuzzy distance moving speed unit;
and carrying out parabolic interpolation processing on the serial number of the first fuzzy distance moving speed unit and the serial numbers of two adjacent to-be-processed fuzzy distance moving speed units to obtain a first echo fuzzy distance moving speed.
Further, still include:
a seventh determining module for determining the first echo ambiguity speed based on the first parameter set, the third parameter set and the first echo ambiguity range-shifting speed,
determining the corresponding distance unit serial number of the object in the first power spectrogram based on a constant false alarm detection rule;
acquiring serial numbers of two adjacent distance units to be processed corresponding to the serial numbers of the distance units;
and carrying out parabolic interpolation processing on the distance unit serial numbers and the serial numbers of two adjacent distance units to be processed to obtain the target distance.
In the embodiment of the present application, the second determiningmodule 905 is used for
Determining the fuzzy speed to be converted according to the first echo fuzzy distance moving speed, the stepping value, the target distance, the carrier frequency and the first period duration;
and determining a first echo fuzzy speed according to the first reference non-fuzzy speed and the fuzzy speed to be converted.
In the embodiment of the present application, the third determiningmodule 907 is used for
Determining a first fuzzy coefficient set according to a preset interested speed interval, a first echo fuzzy speed and a first reference non-fuzzy speed; each first blurring coefficient is an integer;
and determining a first echo unambiguous speed corresponding to each first ambiguity coefficient according to the first echo ambiguous speed, the first reference unambiguous speed and the first ambiguity coefficient set.
In the embodiment of the present application, thefourth determination module 909 is used for
And determining the second echo unambiguous range-shifting speed corresponding to each first ambiguity coefficient according to the first echo unambiguous speed, the stepping value, the carrier frequency, the target distance and the second period duration corresponding to each first ambiguity coefficient.
In the embodiment of the present application, the fifth determiningmodule 911 is used for
Determining a second fuzzy coefficient set according to the second reference non-fuzzy speed and a second echo fuzzy range shifting speed corresponding to each first fuzzy coefficient; each second blurring coefficient is an integer;
and determining a second echo fuzzy range-shifting speed corresponding to each second fuzzy coefficient according to the second echo fuzzy range-shifting speed corresponding to each first fuzzy coefficient, a second reference non-fuzzy speed and a second fuzzy coefficient set.
In the embodiment of the present application, the sixth determiningmodule 913 is used for
Determining a second fuzzy distance moving speed unit serial number of a second echo fuzzy distance moving speed corresponding to each second fuzzy coefficient according to the second echo fuzzy distance moving speed and the second speed resolution corresponding to each second fuzzy coefficient;
determining first power from a first power spectrogram according to the serial number of the first fuzzy range shift speed unit and the serial number of the distance unit;
determining a second power corresponding to each second fuzzy coefficient from a second power spectrogram according to the serial number of the second fuzzy distance moving speed unit and the serial number of the distance unit;
determining a target fuzzy coefficient from the first fuzzy coefficient set according to the first power and the second power corresponding to each second fuzzy coefficient;
and determining the target speed of the object according to the first echo fuzzy speed, the first reference unsharp speed and the target fuzzy coefficient.
The device and method embodiments in the embodiments of the present application are based on the same application concept.
By adopting the device for determining the target speed of the object provided by the embodiment of the application, the target speed is determined based on the solving sequence of the first echo fuzzy range moving speed, the first echo fuzzy speed, the first echo non-fuzzy speed, the second echo non-fuzzy range moving speed and the second echo fuzzy range moving speed, the occurrence of speed measurement errors caused by phase uncompensation or compensation errors due to speed ambiguity can be reduced, the operation amount can be reduced, and the speed measurement accuracy is improved.
Embodiments of the present application also provide a vehicle, which may be configured to store at least one instruction, at least one program, a set of codes, or a set of instructions related to a method for determining a target speed of an object in the method embodiments, where the at least one instruction, the at least one program, the set of codes, or the set of instructions is loaded from the memory and executed to achieve the method for determining the target speed of the object.
The present application further provides a storage medium that can be disposed in a processor to store at least one instruction, at least one program, a code set, or a set of instructions related to a method for determining a target speed of an object in a method embodiment, where the at least one instruction, the at least one program, the code set, or the set of instructions is loaded and executed by the processor to achieve the method for determining the target speed of the object.
Alternatively, in this embodiment, the storage medium may be located in at least one network processor of a plurality of network processors of a computer network. Optionally, in this embodiment, the storage medium may include, but is not limited to, a storage medium including: various media that can store program codes, such as a usb disk, a Read-only Memory (ROM), a removable hard disk, a magnetic disk, or an optical disk.
As can be seen from the embodiments of the method, the apparatus, the vehicle, or the storage medium for determining a target velocity of an object provided by the present application, the method in the present application includes obtaining a first power spectrum and a first parameter set of a first echo, a second power spectrum and a second parameter set of a second echo, and a third parameter set of the first echo and the second echo, determining a first echo blurring range shift velocity according to the first power spectrum, the first parameter set, and the third parameter set, determining a first echo blurring velocity according to the first parameter set, the third parameter set, and the first echo blurring range shift velocity, determining a first blurring velocity corresponding to the first blurring coefficient set and each first echo non-blurring velocity according to the first parameter set and the first echo blurring velocity, determining a second non-echo blurring velocity corresponding to each first blurring coefficient according to the second parameter set, the third parameter set, and the first echo non-blurring velocity, and determining the second fuzzy coefficient set and the second echo fuzzy range-shifting speed corresponding to each second fuzzy coefficient according to the second parameter set and the second echo non-fuzzy range-shifting speed, and determining the target speed of the object according to the second parameter set, the first echo fuzzy speed, the first fuzzy coefficient set and the second echo fuzzy range-shifting speed corresponding to each second fuzzy coefficient. Based on the method and the device, the target speed is determined by adopting the solving sequence of the first echo fuzzy range shifting speed, the first echo fuzzy speed, the first echo non-fuzzy speed, the second echo non-fuzzy range shifting speed and the second echo fuzzy range shifting speed, so that the situation of speed measurement errors caused by phase uncompensation or compensation errors due to speed ambiguity can be reduced, the operation amount can be reduced, and the speed measurement accuracy is improved.
It should be noted that: the foregoing sequence of the embodiments of the present application is for description only and does not represent the superiority and inferiority of the embodiments, and the specific embodiments are described in the specification, and other embodiments are also within the scope of the appended claims. In some cases, the actions or steps recited in the claims can be performed in the order of execution in different embodiments and achieve desirable results. In addition, the processes depicted in the accompanying figures do not necessarily require the particular order shown or connected to enable the desired results to be achieved, and in some embodiments, multitasking and parallel processing may also be possible or may be advantageous.
All the embodiments in the present specification are described in a progressive manner, and the same and similar parts among the embodiments may be referred to each other, and each embodiment is described with emphasis on differences from other embodiments. Especially, for the embodiment of the device, since it is based on the embodiment similar to the method, the description is simple, and the relevant points can be referred to the partial description of the method embodiment.
The foregoing is a preferred embodiment of the present invention, and it should be noted that it would be apparent to those skilled in the art that various modifications and enhancements can be made without departing from the principles of the invention, and such modifications and enhancements are also considered to be within the scope of the invention.

Claims (13)

1. A method of determining a target velocity of an object, comprising:
acquiring a first power spectrogram and a first parameter set of a first echo, a second power spectrogram and a second parameter set of a second echo, and a third parameter set of the first echo and the second echo;
determining a first echo fuzzy distance moving speed according to the first power spectrogram, the first parameter set and the third parameter set;
determining a first echo fuzzy speed according to the first parameter set, the third parameter set and the first echo fuzzy range-shifting speed;
determining a first fuzzy coefficient set and a first echo unblurred speed corresponding to each first fuzzy coefficient according to the first parameter set and the first echo fuzzy speed;
determining a second echo unambiguous range shift speed corresponding to each first ambiguity coefficient according to the second parameter set, the third parameter set and the first echo unambiguous speed;
determining a second fuzzy range shifting speed of the second fuzzy coefficient set and a second echo corresponding to each second fuzzy coefficient according to the second parameter set and the second echo non-fuzzy range shifting speed;
and determining the target speed of the object according to the second parameter set, the first echo fuzzy speed, the first fuzzy coefficient set and the second echo fuzzy range-shifting speed corresponding to each second fuzzy coefficient.
2. The method of claim 1, wherein said obtaining a first power spectrum of a first echo comprises:
performing Fourier transform processing on each sub-echo in the first echo to obtain a one-dimensional distance map of each sub-echo;
performing Fourier transform processing on the one-dimensional distance map of each sub-echo to obtain a two-dimensional complex spectrogram of the first echo;
and performing power determination processing on the two-dimensional complex spectrogram to obtain the first power spectrogram of the first echo.
3. The method of claim 1, wherein the first set of parameters includes a first velocity resolution, a first reference unambiguous velocity, and a first cycle duration for the first echo;
the second parameter set comprises a second speed resolution, a second reference unambiguous speed and a second cycle duration corresponding to the second echo;
the third set of parameters includes range resolution, step value, and carrier frequency of the first echo and the second echo.
4. The method of claim 3, wherein determining a first echo ambiguity range velocity from the first power spectrogram, the first set of parameters, and the third set of parameters comprises:
determining a first fuzzy distance moving speed unit serial number corresponding to the object in the first power spectrogram based on a constant false alarm detection rule;
acquiring serial numbers of two adjacent to-be-processed fuzzy distance moving speed units of the serial number of the first fuzzy distance moving speed unit;
and carrying out parabolic interpolation processing on the serial number of the first fuzzy distance moving speed unit and the serial numbers of the two adjacent to-be-processed fuzzy distance moving speed units to obtain the first echo fuzzy distance moving speed.
5. The method of claim 4, wherein prior to determining the first echo ambiguity speed based on the first set of parameters, the third set of parameters, and the first echo ambiguity range shift speed, further comprising:
determining a corresponding distance unit serial number of the object in the first power spectrogram based on the constant false alarm detection rule;
acquiring serial numbers of two adjacent distance units to be processed corresponding to the serial numbers of the distance units;
and carrying out parabolic interpolation processing on the distance unit serial numbers and the two adjacent distance units to be processed to obtain the target distance.
6. The method of claim 5, wherein determining a first echo ambiguity speed from the first set of parameters, the third set of parameters, and the first echo ambiguity range shift speed comprises:
determining the fuzzy speed to be converted according to the first echo fuzzy range moving speed, the stepping value, the target distance, the carrier frequency and the first period duration;
and determining the first echo fuzzy speed according to the first reference non-fuzzy speed and the fuzzy speed to be converted.
7. The method of claim 3, wherein determining a first echo unambiguous velocity for a first set of blurring coefficients and each first blurring coefficient based on the first set of parameters and the first echo ambiguous velocity comprises:
determining the first fuzzy coefficient set according to a preset interested speed interval, the first echo fuzzy speed and the first reference non-fuzzy speed; each first blurring coefficient is an integer;
and determining the first echo unambiguous speed corresponding to each first ambiguity coefficient according to the first echo ambiguous speed, the first reference unambiguous speed and the first ambiguity coefficient set.
8. The method of claim 5, wherein determining the second echo-unambiguous range shift rate corresponding to each first ambiguity coefficient from the second set of parameters, the third set of parameters, and the first echo-unambiguous speed comprises:
and determining the second echo unambiguous range-shifting speed corresponding to each first ambiguity coefficient according to the first echo unambiguous speed, the stepping value, the carrier frequency, the target distance and the second period duration corresponding to each first ambiguity coefficient.
9. The method of claim 7, wherein determining a second echo ambiguity range shift speed for a second set of ambiguity coefficients and each second ambiguity coefficient based on the second set of parameters and the second echo ambiguity range shift speed comprises:
determining a second fuzzy coefficient set according to the second reference non-fuzzy speed and the second echo fuzzy range-shifting speed corresponding to each first fuzzy coefficient; each second blurring coefficient is an integer;
and determining the second echo fuzzy range-shifting speed corresponding to each second fuzzy coefficient according to the second echo fuzzy range-shifting speed corresponding to each first fuzzy coefficient, the second reference non-fuzzy speed and the second fuzzy coefficient set.
10. The method of claim 5, wherein determining the target velocity of the object according to the second set of parameters, the first echo ambiguity velocity, the first set of ambiguity coefficients, and the second echo ambiguity range velocity corresponding to each second ambiguity coefficient comprises:
determining a second fuzzy range shifting unit serial number of the second echo fuzzy range shifting speed corresponding to each second fuzzy coefficient according to the second echo fuzzy range shifting speed and the second speed resolution corresponding to each second fuzzy coefficient;
determining first power from the first power spectrogram according to the first fuzzy range shift speed unit serial number and the distance unit serial number;
determining a second power corresponding to each second fuzzy coefficient from the second power spectrogram according to the serial number of the second fuzzy distance moving speed unit and the serial number of the distance unit;
determining a target fuzzy coefficient from the first fuzzy coefficient set according to the first power and a second power corresponding to each second fuzzy coefficient;
and determining the target speed of the object according to the first echo fuzzy speed, the first reference non-fuzzy speed and the target fuzzy coefficient.
11. An apparatus for determining a target velocity of an object, comprising:
the acquisition module is used for acquiring a first power spectrogram and a first parameter set of a first echo, a second power spectrogram and a second parameter set of a second echo, and a third parameter set of the first echo and the second echo;
a first determining module, configured to determine a first echo ambiguity range shift speed according to the first power spectrogram, the first parameter set, and the third parameter set;
a second determining module, configured to determine a first echo ambiguity speed according to the first parameter set, the third parameter set, and the first echo ambiguity range-shifting speed;
a third determining module, configured to determine, according to the first parameter set and the first echo ambiguity speed, a first echo ambiguity speed corresponding to each first ambiguity coefficient set and the first ambiguity coefficient;
a fourth determining module, configured to determine, according to the second parameter set, the third parameter set, and the first echo unambiguous range shift speed, a second echo unambiguous range shift speed corresponding to each first ambiguity coefficient;
a fifth determining module, configured to determine, according to the second parameter set and the second echo unambiguous range shift speed, a second fuzzy coefficient set and a second echo ambiguous range shift speed corresponding to each second fuzzy coefficient;
and the sixth determining module is used for determining the target speed of the object according to the second parameter set, the first echo fuzzy speed, the first fuzzy coefficient set and the second echo fuzzy range-shifting speed corresponding to each second fuzzy coefficient.
12. A vehicle comprising a processor and a memory, said memory having stored therein at least one instruction, at least one program, set of codes, or set of instructions, which is loaded and executed by said processor to implement the method of determining a target speed of an object according to any one of claims 1 to 10.
13. A computer readable storage medium having stored therein at least one instruction, at least one program, a set of codes, or a set of instructions, which is loaded and executed by a processor to implement the method of determining a target speed of an object according to any one of claims 1 to 10.
CN202111132332.1A2021-09-262021-09-26Method and device for determining target speed of object, vehicle and storage mediumActiveCN113945917B (en)

Priority Applications (1)

Application NumberPriority DateFiling DateTitle
CN202111132332.1ACN113945917B (en)2021-09-262021-09-26Method and device for determining target speed of object, vehicle and storage medium

Applications Claiming Priority (1)

Application NumberPriority DateFiling DateTitle
CN202111132332.1ACN113945917B (en)2021-09-262021-09-26Method and device for determining target speed of object, vehicle and storage medium

Publications (2)

Publication NumberPublication Date
CN113945917Atrue CN113945917A (en)2022-01-18
CN113945917B CN113945917B (en)2024-10-22

Family

ID=79329514

Family Applications (1)

Application NumberTitlePriority DateFiling Date
CN202111132332.1AActiveCN113945917B (en)2021-09-262021-09-26Method and device for determining target speed of object, vehicle and storage medium

Country Status (1)

CountryLink
CN (1)CN113945917B (en)

Cited By (2)

* Cited by examiner, † Cited by third party
Publication numberPriority datePublication dateAssigneeTitle
CN114675273A (en)*2022-03-072022-06-28福瑞泰克智能系统有限公司 Method, device, electronic device and vehicle for suppressing interference signal
WO2023207464A1 (en)*2022-04-252023-11-02华为技术有限公司Method and apparatus for sending sensing signal and method and apparatus for receiving sensing signal

Citations (8)

* Cited by examiner, † Cited by third party
Publication numberPriority datePublication dateAssigneeTitle
KR20110060702A (en)*2009-11-302011-06-08재단법인대구경북과학기술원 Method and apparatus for detecting distance velocity of target using radar and computer readable recording medium recording program therefor
CN106199578A (en)*2016-08-232016-12-07西安电子科技大学Hypersonic target speed-measuring method
US20200049810A1 (en)*2018-08-132020-02-13GM Global Technology Operations LLCRange and direction of arrival migration with doppler ambiguity estimation
US20200182991A1 (en)*2018-12-062020-06-11Robert Bosch GmbhAmbiguity resolution for a mimo radar system
CN111308437A (en)*2020-02-272020-06-19南京慧尔视智能科技有限公司Entropy-solving and speed-ambiguity-solving method for millimeter wave MIMO traffic radar
CN112578345A (en)*2020-11-202021-03-30福瑞泰克智能系统有限公司Radar blocking detection method, device, equipment and storage medium
CN113109802A (en)*2021-03-052021-07-13福瑞泰克智能系统有限公司Target motion state judgment method and device, radar equipment and storage medium
CN113325410A (en)*2021-05-282021-08-31浙江大华技术股份有限公司Radar antenna signal processing method and device, control equipment and storage medium

Patent Citations (8)

* Cited by examiner, † Cited by third party
Publication numberPriority datePublication dateAssigneeTitle
KR20110060702A (en)*2009-11-302011-06-08재단법인대구경북과학기술원 Method and apparatus for detecting distance velocity of target using radar and computer readable recording medium recording program therefor
CN106199578A (en)*2016-08-232016-12-07西安电子科技大学Hypersonic target speed-measuring method
US20200049810A1 (en)*2018-08-132020-02-13GM Global Technology Operations LLCRange and direction of arrival migration with doppler ambiguity estimation
US20200182991A1 (en)*2018-12-062020-06-11Robert Bosch GmbhAmbiguity resolution for a mimo radar system
CN111308437A (en)*2020-02-272020-06-19南京慧尔视智能科技有限公司Entropy-solving and speed-ambiguity-solving method for millimeter wave MIMO traffic radar
CN112578345A (en)*2020-11-202021-03-30福瑞泰克智能系统有限公司Radar blocking detection method, device, equipment and storage medium
CN113109802A (en)*2021-03-052021-07-13福瑞泰克智能系统有限公司Target motion state judgment method and device, radar equipment and storage medium
CN113325410A (en)*2021-05-282021-08-31浙江大华技术股份有限公司Radar antenna signal processing method and device, control equipment and storage medium

Non-Patent Citations (5)

* Cited by examiner, † Cited by third party
Title
ZHANG FU-GUI AND DU YU-MING: "A Novel Algorithm of Velocity Ambiguity Resolution for Wind Profiling Radar", 2010 INTERNATIONAL CONFERENCE ON E-PRODUCT E-SERVICE AND E-ENTERTAINMENT (ICEEE 2010), 9 November 2010 (2010-11-09)*
杜雨洺;杨建宇;熊金涛: "线性调频连续波雷达速度模糊消除新方法", 上海交通大学学报, no. 01, 28 January 2006 (2006-01-28)*
赵龙;林坤;王树文;: "步进频率雷达高速运动目标检测算法研究", 制导与引信, no. 03, 15 September 2015 (2015-09-15)*
陈思翔: "车载毫米波雷达信号处理方法研究", 中国优秀硕士学位论文全文数据库工程科技Ⅱ辑, no. 02, 15 February 2021 (2021-02-15)*
马可;李慧敏;于迎春;李斌;: "超近程雷达高速目标运动补偿方法", 电子科技, no. 01, 15 January 2013 (2013-01-15)*

Cited By (2)

* Cited by examiner, † Cited by third party
Publication numberPriority datePublication dateAssigneeTitle
CN114675273A (en)*2022-03-072022-06-28福瑞泰克智能系统有限公司 Method, device, electronic device and vehicle for suppressing interference signal
WO2023207464A1 (en)*2022-04-252023-11-02华为技术有限公司Method and apparatus for sending sensing signal and method and apparatus for receiving sensing signal

Also Published As

Publication numberPublication date
CN113945917B (en)2024-10-22

Similar Documents

PublicationPublication DateTitle
CN115575922B (en)Moving target detection method and device based on vehicle-mounted FMCW millimeter wave radar
CN101498788B (en)Target rotation angle estimating and transverse locating method for inverse synthetic aperture radar
CN109143242B (en)Obstacle absolute velocity estimation method, system, computer device, and storage medium
US20220214441A1 (en)Methods and System for Compressing Radar Data
CN113945917A (en)Method and device for determining target speed of object, vehicle and storage medium
CN111487621A (en) A method and electronic device for inversion of sea surface flow field based on radar images
CN115034993A (en)Method and device for defocusing removal processing of moving target image and storage medium
CN119199827B (en) A velocity ambiguity resolution method based on assumed phase compensation
CN114942408B (en) Method and device for determining the angle of a target object
CN108020834A (en)Based on moving target detecting method, device and the electronic equipment for improving EDPCA
KR20210076412A (en)Apparatus and method for evaluating vehicle sensor performance
CN116430354B (en)FMCW laser radar target information resolving method and system
CN112166341B (en)Speed determination method, apparatus and storage medium
CN114690140B (en) Speed defuzzification method, device, electronic device and storage medium
JP2009294067A (en)Positioning apparatus, positioning method, and positioning program
CN112098987B (en)Method and device for improving target speed estimation precision and readable storage medium
CN114910898A (en)Speed measuring method, device and related equipment
KR20230007234A (en)Sa radar sensor for motor vehicles
KR101446439B1 (en)Method and device for estimating high-accuracy frequency
CN119335523B (en)Coarse speed inversion and fusion fine speed estimation method and device for high-speed terahertz radar
CN119270229B (en) Method for solving velocity ambiguity based on velocity difference of vehicle-borne millimeter-wave radar point cloud clusters
CN111045007A (en)SAR moving target imaging method based on minimum image entropy
CN118347497B (en)High-precision image navigation positioning method based on local neighborhood map
CN118050740B (en)Frequency modulation continuous wave laser radar signal analysis method and system
CN116027317B (en)Sea surface ship target two-dimensional speed estimation method based on spaceborne broadband radar

Legal Events

DateCodeTitleDescription
PB01Publication
PB01Publication
SE01Entry into force of request for substantive examination
SE01Entry into force of request for substantive examination
GR01Patent grant
GR01Patent grant

[8]ページ先頭

©2009-2025 Movatter.jp