Movatterモバイル変換


[0]ホーム

URL:


CN113902065A - Outdoor case operation and maintenance system and method based on electronic tags - Google Patents

Outdoor case operation and maintenance system and method based on electronic tags
Download PDF

Info

Publication number
CN113902065A
CN113902065ACN202110965376.6ACN202110965376ACN113902065ACN 113902065 ACN113902065 ACN 113902065ACN 202110965376 ACN202110965376 ACN 202110965376ACN 113902065 ACN113902065 ACN 113902065A
Authority
CN
China
Prior art keywords
equipment
outdoor
record
case
publisher
Prior art date
Legal status (The legal status is an assumption and is not a legal conclusion. Google has not performed a legal analysis and makes no representation as to the accuracy of the status listed.)
Granted
Application number
CN202110965376.6A
Other languages
Chinese (zh)
Other versions
CN113902065B (en
Inventor
和雄伟
杨光华
孟学鑫
罗国龙
张勇波
Current Assignee (The listed assignees may be inaccurate. Google has not performed a legal analysis and makes no representation or warranty as to the accuracy of the list.)
Taiyuan Great Times Technology Co ltd
Original Assignee
Taiyuan Great Times Technology Co ltd
Priority date (The priority date is an assumption and is not a legal conclusion. Google has not performed a legal analysis and makes no representation as to the accuracy of the date listed.)
Filing date
Publication date
Application filed by Taiyuan Great Times Technology Co ltdfiledCriticalTaiyuan Great Times Technology Co ltd
Priority to CN202110965376.6ApriorityCriticalpatent/CN113902065B/en
Publication of CN113902065ApublicationCriticalpatent/CN113902065A/en
Application grantedgrantedCritical
Publication of CN113902065BpublicationCriticalpatent/CN113902065B/en
Activelegal-statusCriticalCurrent
Anticipated expirationlegal-statusCritical

Links

Images

Classifications

Landscapes

Abstract

The invention provides an outdoor case operation and maintenance system and method based on electronic tags, wherein the system comprises: the formulating module is used for formulating an acquisition strategy; the operation and maintenance module is used for acquiring the chassis information corresponding to the electronic tag attached to the outdoor chassis when the outdoor chassis is operated and maintained, and acquiring the equipment information of the running equipment in the outdoor chassis based on the acquisition strategy; the pairing module is used for pairing the case information and the equipment information to obtain an information pair; and the uploading module is used for uploading the information pair to the cloud platform. The outdoor case operation and maintenance system based on the electronic tags greatly improves the information matching efficiency of operation and maintenance equipment and the case, and saves the labor cost.

Description

Outdoor case operation and maintenance system and method based on electronic tags
Technical Field
The invention relates to the technical field of electronic tags, in particular to an outdoor case operation and maintenance system and method based on electronic tags.
Background
At present, the existing outdoor case can adopt a mode of spraying bar codes and two-dimensional codes to mark the case number during production, the information of the case number, the case position and the equipment in the case needs to be manually recorded during construction, then the information is input on a platform, and the information matching of operation and maintenance equipment and the case is completed, so that time and labor are wasted.
Disclosure of Invention
One of the purposes of the invention is to provide an outdoor case operation and maintenance system and method based on electronic tags, which greatly improve the information matching efficiency of operation and maintenance equipment and a case and save the labor cost.
The embodiment of the invention provides an outdoor case operation and maintenance system based on an electronic tag, which comprises:
the formulating module is used for formulating an acquisition strategy;
the operation and maintenance module is used for acquiring the chassis information corresponding to the electronic tag attached to the outdoor chassis when the outdoor chassis is operated and maintained, and acquiring the equipment information of the running equipment in the outdoor chassis based on the acquisition strategy;
the pairing module is used for pairing the case information and the equipment information to obtain an information pair;
and the uploading module is used for uploading the information pair to a cloud platform.
Preferably, the chassis information includes: the case code and the case position of the outdoor case.
Preferably, the electronic tag includes: RFID electronic tags and two-dimensional code electronic tags.
Preferably, the operation and maintenance module performs the following operations:
reading the case information stored in the RFID electronic tag through operation and maintenance equipment, and simultaneously acquiring the equipment information of the running equipment in the outdoor case through the operation and maintenance equipment
Preferably, the outdoor chassis operation and maintenance system based on the electronic tag further includes:
the manual inspection module is used for scanning the two-dimensional code electronic tag to acquire case information through a portable intelligent terminal when an operation and maintenance person inspects an outdoor case, and simultaneously acquiring and displaying equipment information of the case information acquired by the two-dimensional code electronic tag, wherein the equipment information corresponds to scanning in a cloud platform.
Preferably, the formulation module performs the following operations:
acquiring abnormal big data of an outdoor case, wherein the abnormal big data of the outdoor case comprises the following steps: a plurality of first data items;
extracting a plurality of first entries of the first data items, the first entries comprising: a first recording type, a first recording content;
determining a plurality of second record items corresponding to the outdoor case based on a preset local record library, wherein the second record items comprise: a second recording type and a second recording content;
if the first record type is the same as the second record type, extracting the first record content corresponding to the first record type, taking the first record content as third record content, extracting the second record content corresponding to the second record type, taking the second record content as fourth record content, and taking the second record type or the first record type as the third record type;
carrying out forward matching on the third recorded content and the fourth recorded content to obtain a first matching degree;
reversely matching the third recorded content with the fourth recorded content to obtain a second matching degree;
querying a preset record type-forward matching degree-value degree comparison table, determining a first value degree corresponding to the third record type and the first matching degree, and associating the first value degree with the corresponding first record item;
querying a preset record type-reverse matching degree-value degree comparison table, determining a second value degree corresponding to the third record type and the first matching degree, and associating the second value degree with the corresponding first record item;
querying a preset record type-threshold combination comparison table, and determining a threshold combination corresponding to the third record type, where the threshold combination includes: a first and second valence threshold;
if the first valence degree is greater than or equal to the first valence degree threshold value and the second valence degree is greater than or equal to the second valence degree threshold value, taking the corresponding first record item as a second record item, determining a first difference value between the first valence degree and the first valence degree threshold value, and simultaneously determining a second difference value between the second valence degree and the second valence degree threshold value;
counting the number of the second record items;
summarizing the first difference to obtain a first difference sum, and summarizing the second difference to obtain a second difference sum;
summarizing the number, the first difference sum and the second difference sum to obtain a first sorting value, and associating the first sorting value with the corresponding first data item;
sorting the first data items from large to small based on the corresponding first sorting values to obtain a data item sequence;
selecting the first n data items in the data item sequence as second data items, and determining the first position sequence number of the second recording item in the data item sequence;
extracting a failed item in the second data item, the failed item comprising: a first device that failed and a failure type;
sorting the corresponding first equipment based on the first position sequence number to obtain a first equipment sequence;
obtaining an equipment set of an outdoor chassis, the equipment set comprising: a plurality of second devices;
extracting second equipment except the first equipment from the second equipment, and using the second equipment as third equipment;
randomly sequencing the third equipment to obtain a second equipment sequence;
splicing the first equipment sequence and the second equipment sequence based on a preset splicing rule to obtain a third equipment sequence;
selecting a fourth device in the third device sequence, wherein the fourth device comprises: a first device or a third device;
determining a second position sequence number of the fourth device in the third device sequence;
inquiring a preset position serial number-acquisition time interval comparison table, and determining an acquisition time interval corresponding to the second position serial number;
combining the acquisition time interval with the corresponding fourth equipment to obtain a strategy item;
and integrating the strategy items to obtain an acquisition strategy.
Preferably, the formulation module performs the following operations:
obtaining a set of paths, the set of paths comprising: a plurality of first paths;
inquiring a preset path-issuer comparison table, and determining a first issuer corresponding to the first path;
randomly selecting two first issuers as a second issuer and a third issuer respectively, and simultaneously taking the rest first issuers as fourth issuers;
respectively acquiring a first active association circle of the second publisher and a second active association circle of the third publisher;
if the fourth publisher exists in the first active association circle, giving the fourth publisher a first weight;
if the fourth publisher exists in the second active association circle, giving a second weight to the fourth publisher;
respectively acquiring a first passive association circle of the second publisher and a second passive association circle of the third publisher;
if the fourth publisher exists in the first passive association circle, giving a third weight to the fourth publisher;
if the fourth publisher exists in the second active association circle, giving a fourth weight to the fourth publisher;
summarizing the first weight, the second weight, the third weight and the fourth weight to obtain a weight sum, and associating the weight sum with the corresponding fourth publisher;
continuing random selection, and after the random selection is finished, summarizing the weight sum associated with a fifth issuing party to obtain a second ranking value, wherein the fifth issuing party comprises: a first publisher or a second publisher or a third publisher;
sorting the fifth publisher from large to small based on the corresponding second sorting value to obtain a publisher sequence;
selecting the first m fifth issuers from the issuer sequence and using the selected fifth issuers as sixth issuers;
taking the first path corresponding to the sixth publisher as a second path;
acquiring target data through the second path;
and integrating the acquired target data to obtain abnormal big data of the outdoor case.
The outdoor case operation and maintenance method based on the electronic tag provided by the embodiment of the invention comprises the following steps:
step S1: making an acquisition strategy;
step S2: when the outdoor case is operated and maintained, case information corresponding to an electronic tag attached to the outdoor case is acquired, and meanwhile, equipment information of running equipment in the outdoor case is acquired based on the acquisition strategy;
step S3: pairing the case information and the equipment information to obtain an information pair;
step S4: and uploading the information pair to a cloud platform.
Preferably, the chassis information includes: the case code and the case position of the outdoor case.
Preferably, the electronic tag includes: RFID electronic tags and two-dimensional code electronic tags.
Additional features and advantages of the invention will be set forth in the description which follows, and in part will be obvious from the description, or may be learned by practice of the invention. The objectives and other advantages of the invention will be realized and attained by the structure particularly pointed out in the written description and claims hereof as well as the appended drawings.
The technical solution of the present invention is further described in detail by the accompanying drawings and embodiments.
Drawings
The accompanying drawings, which are included to provide a further understanding of the invention and are incorporated in and constitute a part of this specification, illustrate embodiments of the invention and together with the description serve to explain the principles of the invention and not to limit the invention. In the drawings:
fig. 1 is a schematic diagram of an outdoor chassis operation and maintenance system based on an electronic tag according to an embodiment of the present invention;
fig. 2 is a flowchart of an operation and maintenance system for an outdoor enclosure based on an electronic tag according to another embodiment of the present invention;
fig. 3 is a flowchart of an outdoor chassis operation and maintenance method based on an electronic tag in an embodiment of the present invention.
Detailed Description
The preferred embodiments of the present invention will be described in conjunction with the accompanying drawings, and it will be understood that they are described herein for the purpose of illustration and explanation and not limitation.
An embodiment of the present invention provides an outdoor chassis operation and maintenance system based on an electronic tag, as shown in fig. 1, including:
theformulating module 1 is used for formulating an acquisition strategy;
the operation andmaintenance module 2 is used for acquiring the chassis information corresponding to the electronic tag attached to the outdoor chassis when the outdoor chassis is operated and maintained, and acquiring the equipment information of the running equipment in the outdoor chassis based on the acquisition strategy;
thepairing module 3 is used for pairing the case information and the equipment information to obtain an information pair;
and theuploading module 4 is used for uploading the information pair to a cloud platform.
The working principle and the beneficial effects of the technical scheme are as follows:
develop an acquisition policy [ for example: acquiring the temperature of the CPU at intervals; operation and maintenance equipment (such as an RFID card reader, a temperature sensor, a humidity sensor and the like) is arranged in the outdoor case, and an electronic tag is adhered to the outdoor case; when the outdoor case is operated and maintained, case information (case position and the like) in the electronic tag is directly obtained, meanwhile, operation and maintenance equipment directly obtains equipment information (operation temperature, whether the network is disconnected and the like) of running equipment in the outdoor case, and the case information and the equipment information are paired and then uploaded to a cloud platform; the staff can remotely check the equipment information of different cases; the information matching efficiency of the operation and maintenance equipment and the case is greatly improved, and the labor cost is saved.
The embodiment of the invention provides an outdoor case operation and maintenance system based on an electronic tag, wherein the case information comprises: the case code and the case position of the outdoor case.
The working principle and the beneficial effects of the technical scheme are as follows:
the chassis information includes a chassis code number [ for example: 10019 ] and chassis location.
The embodiment of the invention provides an outdoor case operation and maintenance system based on an electronic tag, wherein the electronic tag comprises: RFID electronic tags and two-dimensional code electronic tags.
The working principle and the beneficial effects of the technical scheme are as follows:
and an RFID electronic tag and a two-dimensional code electronic tag are adhered to the outdoor case.
The embodiment of the invention provides an outdoor case operation and maintenance system based on an electronic tag, wherein an operation andmaintenance module 2 executes the following operations:
and reading the case information stored in the RFID electronic tag through operation and maintenance equipment, and simultaneously acquiring the equipment information of the running equipment in the outdoor case through the operation and maintenance equipment.
The working principle and the beneficial effects of the technical scheme are as follows:
the operation and maintenance equipment can read the chassis information in the RFID electronic tag and can also acquire the equipment information of the operation equipment.
The embodiment of the invention provides an outdoor case operation and maintenance system based on an electronic tag, which further comprises:
the manual inspection module is used for scanning the two-dimensional code electronic tag to acquire case information through a portable intelligent terminal when an operation and maintenance person inspects an outdoor case, and simultaneously acquiring and displaying equipment information of the case information acquired by the two-dimensional code electronic tag, wherein the equipment information corresponds to scanning in a cloud platform.
The working principle and the beneficial effects of the technical scheme are as follows:
when artifical fortune dimension, fortune dimension personnel pass through the two-dimensional code on the cell-phone APP scanning label, inquire the fortune dimension equipment that corresponds according to the scanning result to the display device state, fortune dimension personnel need not to unpack like this and can accomplish the inspection task of patrolling.
The embodiment of the invention provides an outdoor case operation and maintenance system based on an electronic tag, wherein amodule 1 is made to execute the following operations:
acquiring abnormal big data of an outdoor case, wherein the abnormal big data of the outdoor case comprises the following steps: a plurality of first data items;
extracting a plurality of first entries of the first data items, the first entries comprising: a first recording type, a first recording content;
determining a plurality of second record items corresponding to the outdoor case based on a preset local record library, wherein the second record items comprise: a second recording type and a second recording content;
if the first record type is the same as the second record type, extracting the first record content corresponding to the first record type, taking the first record content as third record content, extracting the second record content corresponding to the second record type, taking the second record content as fourth record content, and taking the second record type or the first record type as the third record type;
carrying out forward matching on the third recorded content and the fourth recorded content to obtain a first matching degree;
reversely matching the third recorded content with the fourth recorded content to obtain a second matching degree;
querying a preset record type-forward matching degree-value degree comparison table, determining a first value degree corresponding to the third record type and the first matching degree, and associating the first value degree with the corresponding first record item;
querying a preset record type-reverse matching degree-value degree comparison table, determining a second value degree corresponding to the third record type and the first matching degree, and associating the second value degree with the corresponding first record item;
querying a preset record type-threshold combination comparison table, and determining a threshold combination corresponding to the third record type, where the threshold combination includes: a first and second valence threshold;
if the first valence degree is greater than or equal to the first valence degree threshold value and the second valence degree is greater than or equal to the second valence degree threshold value, taking the corresponding first record item as a second record item, determining a first difference value between the first valence degree and the first valence degree threshold value, and simultaneously determining a second difference value between the second valence degree and the second valence degree threshold value;
counting the number of the second record items;
summarizing the first difference to obtain a first difference sum, and summarizing the second difference to obtain a second difference sum;
summarizing the number, the first difference sum and the second difference sum to obtain a first sorting value, and associating the first sorting value with the corresponding first data item;
sorting the first data items from large to small based on the corresponding first sorting values to obtain a data item sequence;
selecting the first n data items in the data item sequence as second data items, and determining the first position sequence number of the second recording item in the data item sequence;
extracting a failed item in the second data item, the failed item comprising: a first device that failed and a failure type;
sorting the corresponding first equipment based on the first position sequence number to obtain a first equipment sequence;
obtaining an equipment set of an outdoor chassis, the equipment set comprising: a plurality of second devices;
extracting second equipment except the first equipment from the second equipment, and using the second equipment as third equipment;
randomly sequencing the third equipment to obtain a second equipment sequence;
splicing the first equipment sequence and the second equipment sequence based on a preset splicing rule to obtain a third equipment sequence;
selecting a fourth device in the third device sequence, wherein the fourth device comprises: a first device or a third device;
determining a second position sequence number of the fourth device in the third device sequence;
inquiring a preset position serial number-acquisition time interval comparison table, and determining an acquisition time interval corresponding to the second position serial number;
combining the acquisition time interval with the corresponding fourth equipment to obtain a strategy item;
and integrating the strategy items to obtain an acquisition strategy.
The working principle and the beneficial effects of the technical scheme are as follows:
the preset local record library specifically comprises the following steps: a database, in which a plurality of entries [ for example: CPU model, case model, radiator model, CPU temperature record, etc.; the preset record type-positive matching degree-value degree comparison table specifically comprises the following steps: the value degree can be inquired by comparing the known record type and the forward matching degree in a comparison table; the same applies to a preset record type-reverse matching degree-value comparison table, a preset record type-threshold value combination comparison table and a preset position sequence number-acquisition time interval comparison table; the preset splicing rule is specifically as follows: the first equipment sequence is before, and the second equipment sequence is after;
when each operation and maintenance device acquires the device information of the running device in the outdoor case, the device information is acquired at regular time intervals, so that pertinence is lacked, and a large amount of power consumption is wasted; according to the embodiment of the invention, based on abnormal big data of outdoor cabinets (abnormal records of a large number of different outdoor cabinets), the acquisition time interval suitable for acquiring equipment information of different running equipment by operation and maintenance equipment is determined, abnormal equipment is easy to occur, and a smaller acquisition time interval is required; when determining, the same record types in the outdoor chassis abnormal big data and in the local record library [ for example: XXX model CPU temperature records ] are matched, at the time of matching, into forward and reverse matches [ some data may emphasize forward matches, for example: respectively representing the use time of the two cases on a time axis, and matching the time on the time axis from the starting point to the end point of the time axis in sequence to determine the matching degree; some data then emphasizes reverse matching, for example: intercepting a temperature curve of a certain device with an abnormal temperature curve, wherein the temperature curve is from the end point to the previous period of time on the temperature curve, acquiring the temperature curve of the corresponding device in the outdoor case, and matching; each data item represents the fault record of one model of equipment, the larger the number is, the more the record items matched and matched in the data items are, the larger the sum of the first difference value and the second difference value is, the higher the matching and matching level is, the higher the sum is to be arranged in the front, the higher the abnormity is easy to occur, and the lower acquisition time interval (acquisition time interval) is required to be given; n can be set by a user;
the embodiment of the invention determines the acquisition time interval suitable for the operation and maintenance equipment to acquire the equipment information of different operation equipment based on the abnormal big data of the outdoor case, is very intelligent, and simultaneously greatly reduces the power consumption of the equipment and the idle work.
The embodiment of the invention provides an outdoor case operation and maintenance system based on an electronic tag, wherein amodule 1 is made to execute the following operations:
obtaining a set of paths, the set of paths comprising: a plurality of first paths;
inquiring a preset path-issuer comparison table, and determining a first issuer corresponding to the first path;
randomly selecting two first issuers as a second issuer and a third issuer respectively, and simultaneously taking the rest first issuers as fourth issuers;
respectively acquiring a first active association circle of the second publisher and a second active association circle of the third publisher;
if the fourth publisher exists in the first active association circle, giving the fourth publisher a first weight;
if the fourth publisher exists in the second active association circle, giving a second weight to the fourth publisher;
respectively acquiring a first passive association circle of the second publisher and a second passive association circle of the third publisher;
if the fourth publisher exists in the first passive association circle, giving a third weight to the fourth publisher;
if the fourth publisher exists in the second active association circle, giving a fourth weight to the fourth publisher;
summarizing the first weight, the second weight, the third weight and the fourth weight to obtain a weight sum, and associating the weight sum with the corresponding fourth publisher;
continuing random selection, and after the random selection is finished, summarizing the weight sum associated with a fifth issuing party to obtain a second ranking value, wherein the fifth issuing party comprises: a first publisher or a second publisher or a third publisher;
sorting the fifth publisher from large to small based on the corresponding second sorting value to obtain a publisher sequence;
selecting the first m fifth issuers from the issuer sequence and using the selected fifth issuers as sixth issuers;
taking the first path corresponding to the sixth publisher as a second path;
acquiring target data through the second path;
and integrating the acquired target data to obtain abnormal big data of the outdoor case.
The working principle and the beneficial effects of the technical scheme are as follows:
the path set specifically includes: a set comprising a plurality of paths; the preset path-publisher comparison table specifically comprises: a comparison table, which has a known path and can be used for comparing and inquiring corresponding publishers;
if publisher a is actively associated [ e.g.: b, the publisher B actively guarantees and/or binds the other party, and the B is in the active association circle of A; if publisher a is passively associated [ e.g.: the other party and the other party belong to a publishing organization together, namely a publishing party B, and the publishing party B is in a passive association circle of the publishing party A; the larger the weight sum is, the more closely the association relationship between the corresponding publisher and other publishers is, if the malicious event is generated, the influence is not only caused to other associated publishers, but also the tracing is easier to be carried out on the other associated publishers, therefore, the publishers are sorted according to the weight sum from large to small; m can be set by a user;
according to the method and the device, the path corresponding to the trusted issuer is screened out, the target data is acquired through the path, and the target data is integrated, so that the acquisition of the abnormal big data of the outdoor case is completed, and the acquisition safety is improved to a great extent.
The embodiment of the invention provides an outdoor case operation and maintenance system based on an electronic tag, wherein amodule 1 is made to execute the following operations:
acquiring a preset initial path set, wherein the initial path set comprises: a plurality of third paths, the third paths corresponding to a seventh publisher;
determining a plurality of malicious items corresponding to the seventh publisher based on a preset malicious library, where the malicious items include: malicious content and data sources;
analyzing the malicious content to obtain a malicious value;
determining verification information corresponding to the data source based on a preset verification information base;
acquiring a preset inquiry strategy set, wherein the inquiry strategy set comprises: a plurality of query strategies;
verifying the verification information based on the inquiry strategy to obtain a verification result;
analyzing the verification result to obtain a result value;
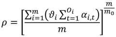
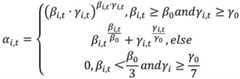
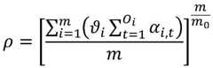
calculating an evaluation index based on the malicious value and the result value, wherein the calculation formula is as follows:
Figure BDA0003223615020000121
Figure BDA0003223615020000122
where ρ is an evaluation index and αi,tIs an intermediate variable, θiA malicious value obtained by analyzing the malicious content in the ith malicious item, wherein m is the total number of the malicious items, and m is0Is a preset number threshold, alphai,tIs an intermediate variable, betai,tA result value, γ, obtained for parsing a verification result obtained from verification information corresponding to a data source in the ith malicious item based on the tth query policyi,tWeight value, beta, corresponding to the tth query strategy0For a predetermined result threshold, OiAs a total number of inquiry strategies, γ0The threshold value is a preset weight value threshold value, and is equal to, else is the case;
if the evaluation index is smaller than a preset evaluation index threshold value, taking the corresponding third path as a fourth path;
and integrating the fourth paths to obtain a path set, and finishing the acquisition.
The working principle and the beneficial effects of the technical scheme are as follows:
the preset malicious library specifically comprises the following steps: a database in which malicious records of different publishers [ e.g.: publishing false data, publishing incomplete data, and the like; the preset verification information base specifically comprises the following steps: a database in which different data sources [ for example: some publishing website ] corresponding verification information [ for example: user fidelity, etc.); the preset query policy set specifically includes: a set comprising a plurality of query policies [ for example: whether the user data is complete;
based on the maliciousness, calculating an evaluation index based on a result value obtained after the inquiry is carried out on the inquiry strategy, wherein the larger the evaluation index is, the higher the possibility that the corresponding issuing party generates the malicious behaviors is, and the malicious behaviors are not required to be obtained; qualified paths can be conveniently and preliminarily screened out, and the working efficiency of the system is greatly improved.
The embodiment of the invention provides an outdoor case operation and maintenance method based on an electronic tag, which comprises the following steps of:
step S1: making an acquisition strategy;
step S2: when the outdoor case is operated and maintained, case information corresponding to an electronic tag attached to the outdoor case is acquired, and meanwhile, equipment information of running equipment in the outdoor case is acquired based on the acquisition strategy;
step S3: pairing the case information and the equipment information to obtain an information pair;
step S4: and uploading the information pair to a cloud platform.
The working principle and the beneficial effects of the technical scheme are as follows:
develop an acquisition policy [ for example: acquiring the temperature of the CPU at intervals; operation and maintenance equipment (such as an RFID card reader, a temperature sensor, a humidity sensor and the like) is arranged in the outdoor case, and an electronic tag is adhered to the outdoor case; when the outdoor case is operated and maintained, case information (case position and the like) in the electronic tag is directly obtained, meanwhile, operation and maintenance equipment directly obtains equipment information (operation temperature, whether the network is disconnected and the like) of running equipment in the outdoor case, and the case information and the equipment information are paired and then uploaded to a cloud platform; the staff can remotely check the equipment information of different cases; the information matching efficiency of the operation and maintenance equipment and the case is greatly improved, and the labor cost is saved.
The embodiment of the invention provides an outdoor case operation and maintenance method based on an electronic tag, wherein the case information comprises: the case code and the case position of the outdoor case.
The working principle and the beneficial effects of the technical scheme are as follows:
the chassis information includes a chassis code number [ for example: 10019 ] and chassis location.
The embodiment of the invention provides an outdoor case operation and maintenance method based on an electronic tag, wherein the electronic tag comprises the following steps: RFID electronic tags and two-dimensional code electronic tags.
The working principle and the beneficial effects of the technical scheme are as follows:
and an RFID electronic tag and a two-dimensional code electronic tag are adhered to the outdoor case.
The embodiment of the invention provides an outdoor case operation and maintenance method based on an electronic tag, and the method comprises the following steps of S2: when carrying out the operation and maintenance to outdoor machine case, acquire the quick-witted case information that the attached electronic tags corresponds on the outdoor machine case, simultaneously, based on acquire the strategy, acquire the equipment information of outdoor quick-witted incasement operation equipment, include:
and reading the case information stored in the RFID electronic tag through operation and maintenance equipment, and simultaneously acquiring the equipment information of the running equipment in the outdoor case through the operation and maintenance equipment.
The working principle and the beneficial effects of the technical scheme are as follows:
the operation and maintenance equipment can read the chassis information in the RFID electronic tag and can also acquire the equipment information of the operation equipment.
The embodiment of the invention provides an outdoor case operation and maintenance method based on an electronic tag, which further comprises the following steps:
when the operation and maintenance personnel patrol and examine the outdoor case, the operation and maintenance personnel scan the two-dimensional code electronic tag through the carried intelligent terminal to obtain the case information, and simultaneously, the intelligent terminal obtains and displays the equipment information corresponding to the case information obtained by scanning the two-dimensional code electronic tag in the cloud platform.
The working principle and the beneficial effects of the technical scheme are as follows:
when artifical fortune dimension, fortune dimension personnel pass through the two-dimensional code on the cell-phone APP scanning label, inquire the fortune dimension equipment that corresponds according to the scanning result to the display device state, fortune dimension personnel need not to unpack like this and can accomplish the inspection task of patrolling.
The embodiment of the invention provides an outdoor case operation and maintenance method based on an electronic tag, and the method comprises the following steps of S1: customizing an acquisition policy, comprising:
acquiring abnormal big data of an outdoor case, wherein the abnormal big data of the outdoor case comprises the following steps: a plurality of first data items;
extracting a plurality of first entries of the first data items, the first entries comprising: a first recording type, a first recording content;
determining a plurality of second record items corresponding to the outdoor case based on a preset local record library, wherein the second record items comprise: a second recording type and a second recording content;
if the first record type is the same as the second record type, extracting the first record content corresponding to the first record type, taking the first record content as third record content, extracting the second record content corresponding to the second record type, taking the second record content as fourth record content, and taking the second record type or the first record type as the third record type;
carrying out forward matching on the third recorded content and the fourth recorded content to obtain a first matching degree;
reversely matching the third recorded content with the fourth recorded content to obtain a second matching degree;
querying a preset record type-forward matching degree-value degree comparison table, determining a first value degree corresponding to the third record type and the first matching degree, and associating the first value degree with the corresponding first record item;
querying a preset record type-reverse matching degree-value degree comparison table, determining a second value degree corresponding to the third record type and the first matching degree, and associating the second value degree with the corresponding first record item;
querying a preset record type-threshold combination comparison table, and determining a threshold combination corresponding to the third record type, where the threshold combination includes: a first and second valence threshold;
if the first valence degree is greater than or equal to the first valence degree threshold value and the second valence degree is greater than or equal to the second valence degree threshold value, taking the corresponding first record item as a second record item, determining a first difference value between the first valence degree and the first valence degree threshold value, and simultaneously determining a second difference value between the second valence degree and the second valence degree threshold value;
counting the number of the second record items;
summarizing the first difference to obtain a first difference sum, and summarizing the second difference to obtain a second difference sum;
summarizing the number, the first difference sum and the second difference sum to obtain a first sorting value, and associating the first sorting value with the corresponding first data item;
sorting the first data items from large to small based on the corresponding first sorting values to obtain a data item sequence;
selecting the first n data items in the data item sequence as second data items, and determining the first position sequence number of the second recording item in the data item sequence;
extracting a failed item in the second data item, the failed item comprising: a first device that failed and a failure type;
sorting the corresponding first equipment based on the first position sequence number to obtain a first equipment sequence;
obtaining an equipment set of an outdoor chassis, the equipment set comprising: a plurality of second devices;
extracting second equipment except the first equipment from the second equipment, and using the second equipment as third equipment;
randomly sequencing the third equipment to obtain a second equipment sequence;
splicing the first equipment sequence and the second equipment sequence based on a preset splicing rule to obtain a third equipment sequence;
selecting a fourth device in the third device sequence, wherein the fourth device comprises: a first device or a third device;
determining a second position sequence number of the fourth device in the third device sequence;
inquiring a preset position serial number-acquisition time interval comparison table, and determining an acquisition time interval corresponding to the second position serial number;
combining the acquisition time interval with the corresponding fourth equipment to obtain a strategy item;
and integrating the strategy items to obtain an acquisition strategy.
The working principle and the beneficial effects of the technical scheme are as follows:
the preset local record library specifically comprises the following steps: a database, in which a plurality of entries [ for example: CPU model, case model, radiator model, CPU temperature record, etc.; the preset record type-positive matching degree-value degree comparison table specifically comprises the following steps: the value degree can be inquired by comparing the known record type and the forward matching degree in a comparison table; the same applies to a preset record type-reverse matching degree-value comparison table, a preset record type-threshold value combination comparison table and a preset position sequence number-acquisition time interval comparison table; the preset splicing rule is specifically as follows: the first equipment sequence is before, and the second equipment sequence is after;
when each operation and maintenance device acquires the device information of the running device in the outdoor case, the device information is acquired at regular time intervals, so that pertinence is lacked, and a large amount of power consumption is wasted; according to the embodiment of the invention, based on abnormal big data of outdoor cabinets (abnormal records of a large number of different outdoor cabinets), the acquisition time interval suitable for acquiring equipment information of different running equipment by operation and maintenance equipment is determined, abnormal equipment is easy to occur, and a smaller acquisition time interval is required; when determining, the same record types in the outdoor chassis abnormal big data and in the local record library [ for example: XXX model CPU temperature records ] are matched, at the time of matching, into forward and reverse matches [ some data may emphasize forward matches, for example: respectively representing the use time of the two cases on a time axis, and matching the time on the time axis from the starting point to the end point of the time axis in sequence to determine the matching degree; some data then emphasizes reverse matching, for example: intercepting a temperature curve of a certain device with an abnormal temperature curve, wherein the temperature curve is from the end point to the previous period of time on the temperature curve, acquiring the temperature curve of the corresponding device in the outdoor case, and matching; each data item represents the fault record of one model of equipment, the larger the number is, the more the record items matched and matched in the data items are, the larger the sum of the first difference value and the second difference value is, the higher the matching and matching level is, the higher the sum is to be arranged in the front, the higher the abnormity is easy to occur, and the lower acquisition time interval (acquisition time interval) is required to be given; n can be set by a user;
the embodiment of the invention determines the acquisition time interval suitable for the operation and maintenance equipment to acquire the equipment information of different operation equipment based on the abnormal big data of the outdoor case, is very intelligent, and simultaneously greatly reduces the power consumption of the equipment and the idle work.
The embodiment of the invention provides an outdoor case operation and maintenance method based on an electronic tag, which is used for acquiring abnormal big data of an outdoor case and comprises the following steps:
obtaining a set of paths, the set of paths comprising: a plurality of first paths;
inquiring a preset path-issuer comparison table, and determining a first issuer corresponding to the first path;
randomly selecting two first issuers as a second issuer and a third issuer respectively, and simultaneously taking the rest first issuers as fourth issuers;
respectively acquiring a first active association circle of the second publisher and a second active association circle of the third publisher;
if the fourth publisher exists in the first active association circle, giving the fourth publisher a first weight;
if the fourth publisher exists in the second active association circle, giving a second weight to the fourth publisher;
respectively acquiring a first passive association circle of the second publisher and a second passive association circle of the third publisher;
if the fourth publisher exists in the first passive association circle, giving a third weight to the fourth publisher;
if the fourth publisher exists in the second active association circle, giving a fourth weight to the fourth publisher;
summarizing the first weight, the second weight, the third weight and the fourth weight to obtain a weight sum, and associating the weight sum with the corresponding fourth publisher;
continuing random selection, and after the random selection is finished, summarizing the weight sum associated with a fifth issuing party to obtain a second ranking value, wherein the fifth issuing party comprises: a first publisher or a second publisher or a third publisher;
sorting the fifth publisher from large to small based on the corresponding second sorting value to obtain a publisher sequence;
selecting the first m fifth issuers from the issuer sequence and using the selected fifth issuers as sixth issuers;
taking the first path corresponding to the sixth publisher as a second path;
acquiring target data through the second path;
and integrating the acquired target data to obtain abnormal big data of the outdoor case.
The working principle and the beneficial effects of the technical scheme are as follows:
the path set specifically includes: a set comprising a plurality of paths; the preset path-publisher comparison table specifically comprises: a comparison table, which has a known path and can be used for comparing and inquiring corresponding publishers;
if publisher a is actively associated [ e.g.: b, the publisher B actively guarantees and/or binds the other party, and the B is in the active association circle of A; if publisher a is passively associated [ e.g.: the other party and the other party belong to a publishing organization together, namely a publishing party B, and the publishing party B is in a passive association circle of the publishing party A; the larger the weight sum is, the more closely the association relationship between the corresponding publisher and other publishers is, if the malicious event is generated, the influence is not only caused to other associated publishers, but also the tracing is easier to be carried out on the other associated publishers, therefore, the publishers are sorted according to the weight sum from large to small; m can be set by a user;
according to the method and the device, the path corresponding to the trusted issuer is screened out, the target data is acquired through the path, and the target data is integrated, so that the acquisition of the abnormal big data of the outdoor case is completed, and the acquisition safety is improved to a great extent.
The embodiment of the invention provides an outdoor case operation and maintenance method based on an electronic tag, which is used for acquiring a path set and comprises the following steps:
acquiring a preset initial path set, wherein the initial path set comprises: a plurality of third paths, the third paths corresponding to a seventh publisher;
determining a plurality of malicious items corresponding to the seventh publisher based on a preset malicious library, where the malicious items include: malicious content and data sources;
analyzing the malicious content to obtain a malicious value;
determining verification information corresponding to the data source based on a preset verification information base;
acquiring a preset inquiry strategy set, wherein the inquiry strategy set comprises: a plurality of query strategies;
verifying the verification information based on the inquiry strategy to obtain a verification result;
analyzing the verification result to obtain a result value;
calculating an evaluation index based on the malicious value and the result value, wherein the calculation formula is as follows:
Figure BDA0003223615020000191
Figure BDA0003223615020000192
where ρ is an evaluation index and αi,tIs an intermediate variable, θiA malicious value obtained by analyzing the malicious content in the ith malicious item, wherein M is the total number of the malicious items, and M is0Is a preset number threshold, alphai,tIs an intermediate variable, betai,tVerification of verification information acquisition corresponding to data sources in ith malicious item based on tth query policyThe result value, gamma, obtained by analyzing the result of the certificatei,tWeight value, beta, corresponding to the tth query strategy0For a predetermined result threshold, OiAs a total number of inquiry strategies, γ0The threshold value is a preset weight value threshold value, and is equal to, else is the case;
if the evaluation index is smaller than a preset evaluation index threshold value, taking the corresponding third path as a fourth path;
and integrating the fourth paths to obtain a path set, and finishing the acquisition.
The working principle and the beneficial effects of the technical scheme are as follows:
the preset malicious library specifically comprises the following steps: a database in which malicious records of different publishers [ e.g.: publishing false data, publishing incomplete data, and the like; the preset verification information base specifically comprises the following steps: a database in which different data sources [ for example: some publishing website ] corresponding verification information [ for example: user fidelity, etc.); the preset query policy set specifically includes: a set comprising a plurality of query policies [ for example: whether the user data is complete;
based on the maliciousness, calculating an evaluation index based on a result value obtained after the inquiry is carried out on the inquiry strategy, wherein the larger the evaluation index is, the higher the possibility that the corresponding issuing party generates the malicious behaviors is, and the malicious behaviors are not required to be obtained; qualified paths can be conveniently and preliminarily screened out, and the working efficiency of the system is greatly improved.
It will be apparent to those skilled in the art that various changes and modifications may be made in the present invention without departing from the spirit and scope of the invention. Thus, if such modifications and variations of the present invention fall within the scope of the claims of the present invention and their equivalents, the present invention is intended to include such modifications and variations.

Claims (10)

1. An outdoor machine case operation and maintenance system based on electronic tags is characterized by comprising:
the formulating module is used for formulating an acquisition strategy;
the operation and maintenance module is used for acquiring the chassis information corresponding to the electronic tag attached to the outdoor chassis when the outdoor chassis is operated and maintained, and acquiring the equipment information of the running equipment in the outdoor chassis based on the acquisition strategy;
the pairing module is used for pairing the case information and the equipment information to obtain an information pair;
and the uploading module is used for uploading the information pair to a cloud platform.
2. The outdoor chassis operation and maintenance system based on electronic tags according to claim 1, wherein said chassis information includes: the case code and the case position of the outdoor case.
3. The outdoor chassis operation and maintenance system based on electronic tags according to claim 1, wherein said electronic tags comprise: RFID electronic tags and two-dimensional code electronic tags.
4. The outdoor chassis operation and maintenance system based on electronic tags according to claim 1, wherein said operation and maintenance module performs the following operations:
and reading the case information stored in the RFID electronic tag through operation and maintenance equipment, and simultaneously acquiring the equipment information of the running equipment in the outdoor case through the operation and maintenance equipment.
5. The outdoor chassis operation and maintenance system based on electronic tags according to claim 1, further comprising:
and the manual inspection module is used for scanning the two-dimensional code electronic tag to acquire case information through a portable intelligent terminal when an operation and maintenance person inspects the outdoor case, and acquiring and displaying equipment information corresponding to the scanning of the case information acquired by the two-dimensional code electronic tag in the cloud platform on the intelligent terminal.
6. The outdoor chassis operation and maintenance system based on electronic tags according to claim 1, wherein said formulation module performs the following operations:
acquiring abnormal big data of an outdoor case, wherein the abnormal big data of the outdoor case comprises the following steps: a plurality of first data items;
extracting a plurality of first entries of the first data items, the first entries comprising: a first record type, a first record content;
determining a plurality of second record items corresponding to the outdoor case based on a preset local record library, wherein the second record items comprise: a second recording type and a second recording content;
if the first record type is the same as the second record type, extracting the first record content corresponding to the first record type, taking the first record content as third record content, extracting the second record content corresponding to the second record type, taking the second record content as fourth record content, and taking the second record type corresponding to the first record type or the second record type as the third record type;
carrying out forward matching on the third recorded content and the fourth recorded content to obtain a first matching degree;
reversely matching the third recorded content with the fourth recorded content to obtain a second matching degree;
querying a preset record type-forward matching degree-value degree comparison table, determining a first value degree corresponding to the third record type and the first matching degree, and associating the first value degree with the corresponding first record item;
querying a preset record type-reverse matching degree-value degree comparison table, determining a second value degree corresponding to the third record type and the first matching degree, and associating the second value degree with the corresponding first record item;
querying a preset record type-threshold combination comparison table, and determining a threshold combination corresponding to the third record type, where the threshold combination includes: a first and second valence threshold;
if the first valence is greater than or equal to the first valence threshold and the second valence is greater than or equal to the second valence threshold, taking the corresponding first record as a second record, determining a first difference between the first valence and the first valence threshold, and simultaneously determining a second difference between the second valence and the second valence threshold;
counting the number of the second record items;
summarizing the first difference to obtain a first difference sum, and summarizing the second difference to obtain a second difference sum;
summarizing the number, the first difference sum and the second difference sum to obtain a first sorting value, and associating the first sorting value with the corresponding first data item;
sorting the first data items from large to small based on the corresponding first sorting values to obtain a data item sequence;
selecting the first n data items in the data item sequence as second data items, and determining the first position sequence number of the second recording item in the data item sequence;
extracting a failed item in the second data item, the failed item comprising: a first device that failed and a failure type;
sequencing the corresponding first equipment based on the first position sequence number to obtain a first equipment sequence;
obtaining an equipment set of an outdoor chassis, the equipment set comprising: a plurality of second devices;
extracting second equipment except the first equipment from the second equipment, and using the second equipment as third equipment;
randomly sequencing the third equipment to obtain a second equipment sequence;
splicing the first equipment sequence and the second equipment sequence based on a preset splicing rule to obtain a third equipment sequence;
selecting a fourth device in the third device sequence, wherein the fourth device comprises: a first device or a third device;
determining a second position sequence number of the fourth device in the third device sequence;
inquiring a preset position serial number-acquisition time interval comparison table, and determining an acquisition time interval corresponding to the second position serial number;
combining the acquisition time interval with the corresponding fourth equipment to obtain a strategy item;
and integrating the strategy items to obtain an acquisition strategy.
7. The outdoor chassis operation and maintenance system based on electronic tags according to claim 6, wherein said formulation module performs the following operations:
obtaining a set of paths, the set of paths comprising: a plurality of first paths;
inquiring a preset path-issuer comparison table, and determining a first issuer corresponding to the first path;
randomly selecting two first issuers as a second issuer and a third issuer respectively, and taking the rest of the first issuers as fourth issuers;
respectively acquiring a first active association circle of the second publisher and a second active association circle of the third publisher;
if the fourth publisher exists in the first active association circle, giving the fourth publisher a first weight;
if the fourth publisher exists in the second active association circle, giving a second weight to the fourth publisher;
respectively acquiring a first passive association circle of the second publisher and a second passive association circle of the third publisher;
if the fourth publisher exists in the first passive association circle, giving a third weight to the fourth publisher;
if the fourth publisher exists in the second active association circle, giving the fourth publisher a fourth weight;
summarizing the first weight, the second weight, the third weight and the fourth weight to obtain a weight sum, and associating the weight sum with the corresponding fourth publisher;
continuing random selection, and after the random selection is finished, summarizing the weight sum associated with a fifth issuing party to obtain a second ranking value, wherein the fifth issuing party comprises: a first publisher or a second publisher or a third publisher;
sorting the fifth publisher from large to small based on the corresponding second sorting value to obtain a publisher sequence;
selecting the first m fifth issuers from the issuer sequence and using the selected fifth issuers as sixth issuers;
taking the first path corresponding to the sixth publisher as a second path;
acquiring target data through the second path;
and integrating the acquired target data to obtain abnormal big data of the outdoor case.
8. An outdoor case operation and maintenance method based on electronic tags is characterized by comprising the following steps:
step S1: making an acquisition strategy;
step S2: when the outdoor case is operated and maintained, case information corresponding to an electronic tag attached to the outdoor case is acquired, and meanwhile, equipment information of running equipment in the outdoor case is acquired based on the acquisition strategy;
step S3: pairing the case information and the equipment information to obtain an information pair;
step S4: and uploading the information pair to a cloud platform.
9. The outdoor chassis operation and maintenance method based on the electronic tag as claimed in claim 8, wherein the chassis information includes: the case code and the case position of the outdoor case.
10. The outdoor chassis operation and maintenance method based on the electronic tag as claimed in claim 8, wherein the electronic tag comprises: RFID electronic tags and two-dimensional code electronic tags.
CN202110965376.6A2021-08-232021-08-23Outdoor chassis operation and maintenance system and method based on electronic tagActiveCN113902065B (en)

Priority Applications (1)

Application NumberPriority DateFiling DateTitle
CN202110965376.6ACN113902065B (en)2021-08-232021-08-23Outdoor chassis operation and maintenance system and method based on electronic tag

Applications Claiming Priority (1)

Application NumberPriority DateFiling DateTitle
CN202110965376.6ACN113902065B (en)2021-08-232021-08-23Outdoor chassis operation and maintenance system and method based on electronic tag

Publications (2)

Publication NumberPublication Date
CN113902065Atrue CN113902065A (en)2022-01-07
CN113902065B CN113902065B (en)2024-03-01

Family

ID=79187668

Family Applications (1)

Application NumberTitlePriority DateFiling Date
CN202110965376.6AActiveCN113902065B (en)2021-08-232021-08-23Outdoor chassis operation and maintenance system and method based on electronic tag

Country Status (1)

CountryLink
CN (1)CN113902065B (en)

Cited By (2)

* Cited by examiner, † Cited by third party
Publication numberPriority datePublication dateAssigneeTitle
CN114666774A (en)*2022-03-102022-06-24深圳市百泰实业股份有限公司Identification matching system and method of Bluetooth device
CN118503860A (en)*2024-07-172024-08-16国网山西省电力公司信息通信分公司Deep learning-based equipment operation data analysis method and system

Citations (17)

* Cited by examiner, † Cited by third party
Publication numberPriority datePublication dateAssigneeTitle
US20100013594A1 (en)*2006-07-112010-01-21Komatsu Ltd.System for monitoring component of operating machine
CN102902992A (en)*2012-09-202013-01-30华东理工大学Monitoring system for transport of valuables based on radio frequency identification (RFID) and monitoring method of monitoring system
CN104463512A (en)*2015-01-062015-03-25烽火通信科技股份有限公司Intelligent managing method and system of ODN device
CN106203898A (en)*2016-06-242016-12-07温州墨熵微电子有限公司A kind of intelligent container transportation management system based on technology of Internet of things
CN107678379A (en)*2016-08-012018-02-09冯波A kind of electric power apparatus examination instrument intelligent management auxiliary equipment
US20180129193A1 (en)*2016-11-042018-05-10Yokogawa Electric CorporationPatrol check system, patrol check device, patrol check method, and storage medium
CN108890657A (en)*2018-07-112018-11-27清华大学合肥公共安全研究院A kind of power distribution room intelligent inspection robot
CN109242118A (en)*2018-10-302019-01-18重庆旺山实业有限公司A kind of visual integrated management system of intelligence O&M
CN109655780A (en)*2019-01-022019-04-19国网河南省电力公司濮阳供电公司A kind of electrical energy metering tank monitoring running state device and method
CN109816308A (en)*2019-01-182019-05-28广东电网有限责任公司A kind of equipment routing inspection householder method, apparatus and system
CN109839882A (en)*2019-03-142019-06-04无锡市公安局Intelligent cloud control equipment cabinets system
CN110059777A (en)*2019-03-042019-07-26国网浙江省电力有限公司物资分公司A kind of power equipment fortune inspection auxiliary system based on RFID technique
CN110850224A (en)*2019-12-112020-02-28国网安徽省电力有限公司蚌埠供电公司Outdoor distribution box safety on-line monitoring system based on Internet of things
CN111024249A (en)*2019-12-312020-04-17上海宜链物联网有限公司Cable branch box inspection temperature measurement terminal, system and method
CN210428503U (en)*2019-10-182020-04-28深圳市锐迪智慧科技有限公司RFID (radio frequency identification) checking system for outdoor assets
CN111144521A (en)*2019-12-162020-05-12北京计算机技术及应用研究所Real-time monitor based on radio frequency identification
CN112686074A (en)*2020-12-292021-04-20永发(河南)模塑科技发展有限公司Intelligent packing box capable of checking information of articles in box and checking method thereof

Patent Citations (17)

* Cited by examiner, † Cited by third party
Publication numberPriority datePublication dateAssigneeTitle
US20100013594A1 (en)*2006-07-112010-01-21Komatsu Ltd.System for monitoring component of operating machine
CN102902992A (en)*2012-09-202013-01-30华东理工大学Monitoring system for transport of valuables based on radio frequency identification (RFID) and monitoring method of monitoring system
CN104463512A (en)*2015-01-062015-03-25烽火通信科技股份有限公司Intelligent managing method and system of ODN device
CN106203898A (en)*2016-06-242016-12-07温州墨熵微电子有限公司A kind of intelligent container transportation management system based on technology of Internet of things
CN107678379A (en)*2016-08-012018-02-09冯波A kind of electric power apparatus examination instrument intelligent management auxiliary equipment
US20180129193A1 (en)*2016-11-042018-05-10Yokogawa Electric CorporationPatrol check system, patrol check device, patrol check method, and storage medium
CN108890657A (en)*2018-07-112018-11-27清华大学合肥公共安全研究院A kind of power distribution room intelligent inspection robot
CN109242118A (en)*2018-10-302019-01-18重庆旺山实业有限公司A kind of visual integrated management system of intelligence O&M
CN109655780A (en)*2019-01-022019-04-19国网河南省电力公司濮阳供电公司A kind of electrical energy metering tank monitoring running state device and method
CN109816308A (en)*2019-01-182019-05-28广东电网有限责任公司A kind of equipment routing inspection householder method, apparatus and system
CN110059777A (en)*2019-03-042019-07-26国网浙江省电力有限公司物资分公司A kind of power equipment fortune inspection auxiliary system based on RFID technique
CN109839882A (en)*2019-03-142019-06-04无锡市公安局Intelligent cloud control equipment cabinets system
CN210428503U (en)*2019-10-182020-04-28深圳市锐迪智慧科技有限公司RFID (radio frequency identification) checking system for outdoor assets
CN110850224A (en)*2019-12-112020-02-28国网安徽省电力有限公司蚌埠供电公司Outdoor distribution box safety on-line monitoring system based on Internet of things
CN111144521A (en)*2019-12-162020-05-12北京计算机技术及应用研究所Real-time monitor based on radio frequency identification
CN111024249A (en)*2019-12-312020-04-17上海宜链物联网有限公司Cable branch box inspection temperature measurement terminal, system and method
CN112686074A (en)*2020-12-292021-04-20永发(河南)模塑科技发展有限公司Intelligent packing box capable of checking information of articles in box and checking method thereof

Cited By (3)

* Cited by examiner, † Cited by third party
Publication numberPriority datePublication dateAssigneeTitle
CN114666774A (en)*2022-03-102022-06-24深圳市百泰实业股份有限公司Identification matching system and method of Bluetooth device
CN114666774B (en)*2022-03-102023-06-30深圳市百泰实业股份有限公司Identification matching system and method of Bluetooth equipment
CN118503860A (en)*2024-07-172024-08-16国网山西省电力公司信息通信分公司Deep learning-based equipment operation data analysis method and system

Also Published As

Publication numberPublication date
CN113902065B (en)2024-03-01

Similar Documents

PublicationPublication DateTitle
US11042839B2 (en)Equipment management system
SousaLinking quality management to manufacturing strategy: an empirical investigation of customer focus practices
CN107563633A (en)A kind of performance indicators examination appraisal procedure, equipment and storage medium
KR20160114724A (en)Purchase information utilization system, purchase information utilization method, and program
CN113902065A (en)Outdoor case operation and maintenance system and method based on electronic tags
CN107103438A (en)A kind of hospital's intelligent repository system and implementation method with asset count function
CN112330412A (en)Product recommendation method and device, computer equipment and storage medium
CN110309373B (en)Information processing method and device
Lee et al.An approximate duplicate elimination in RFID data streams
US20070262142A1 (en)System and method for processor-based inventory data collection and validation with internal integrated scanner
CN108897765A (en)A kind of batch data introduction method and its system
CN112347457A (en)Abnormal account detection method and device, computer equipment and storage medium
JP2020154936A (en)Inventory management device, inventory management method, and computer program
CN114757201B (en) Delivery address identification method, storage medium and processor
CN105447536A (en)Asset checking device, system and method
CN114862140A (en)Behavior analysis-based potential evaluation method, device, equipment and storage medium
CN110109790A (en)Server hard disc management method, device, equipment and computer readable storage medium
KR20200088003A (en)Inventory control system based on nfc and mobile app and its method
CN103177394A (en)System and method for managing animal quarantine permit based on network
CN110825609B (en)Service testing method, device and system
CN108763233A (en)The method and apparatus of the identification of doubtful fake products commodity and classification based on big data
CN111382710A (en)Drawing comparison method based on image recognition
US20070233584A1 (en)Logistics auditing system and method
KR20160120576A (en)System and method for lifecycle history management of products
CN113988330A (en)Equipment inspection method and device, electronic equipment and computer readable storage medium

Legal Events

DateCodeTitleDescription
PB01Publication
PB01Publication
SE01Entry into force of request for substantive examination
SE01Entry into force of request for substantive examination
GR01Patent grant
GR01Patent grant

[8]ページ先頭

©2009-2025 Movatter.jp