Movatterモバイル変換


[0]ホーム

URL:


CN113885119A - Under-screen camera device, method and program product based on diffraction grating optical waveguide - Google Patents

Under-screen camera device, method and program product based on diffraction grating optical waveguide
Download PDF

Info

Publication number
CN113885119A
CN113885119ACN202111185659.5ACN202111185659ACN113885119ACN 113885119 ACN113885119 ACN 113885119ACN 202111185659 ACN202111185659 ACN 202111185659ACN 113885119 ACN113885119 ACN 113885119A
Authority
CN
China
Prior art keywords
light
waveguide
optical waveguide
diffraction grating
display panel
Prior art date
Legal status (The legal status is an assumption and is not a legal conclusion. Google has not performed a legal analysis and makes no representation as to the accuracy of the status listed.)
Pending
Application number
CN202111185659.5A
Other languages
Chinese (zh)
Inventor
肖君军
龙尚雨
杨晓通
Current Assignee (The listed assignees may be inaccurate. Google has not performed a legal analysis and makes no representation or warranty as to the accuracy of the list.)
Harbin Institute of Technology Shenzhen
Original Assignee
Harbin Institute of Technology Shenzhen
Priority date (The priority date is an assumption and is not a legal conclusion. Google has not performed a legal analysis and makes no representation as to the accuracy of the date listed.)
Filing date
Publication date
Application filed by Harbin Institute of Technology ShenzhenfiledCriticalHarbin Institute of Technology Shenzhen
Priority to CN202111185659.5ApriorityCriticalpatent/CN113885119A/en
Publication of CN113885119ApublicationCriticalpatent/CN113885119A/en
Pendinglegal-statusCriticalCurrent

Links

Images

Classifications

Landscapes

Abstract

The invention belongs to the field of mobile terminals and optical design, and discloses an under-screen camera device, a method and a program product based on diffraction grating optical waveguide; the glass cover plate is provided with a tiny light hole; a display panel mounted adjacent to the glass cover plate; one end of the diffraction grating optical waveguide structure is opposite to the light hole, and the other end of the diffraction grating optical waveguide structure is opposite to the front camera; the optical waveguide is used for coupling and transmitting light, coupling an external optical field into the waveguide and transmitting the external optical field in the waveguide; the lens group images the transmitted light, wherein the vertical projection of the imaging module is at least partially and completely positioned in the display panel; and the CMOS sensor is positioned behind the lens group and used for detecting and imaging. The diffraction grating is utilized to carry out transmission coupling on incident light, and a scene to be imaged is transmitted to the front camera sensor array placed below the display panel, so that imaging is realized, and the occupied area of the front camera in the panel can be greatly reduced.

Description

Diffraction grating optical waveguide-based under-screen image pickup apparatus, method, and program product
Technical Field
The invention belongs to the technical field of mobile terminals and optical design, and particularly relates to an under-screen camera device, an under-screen camera method and a program product based on diffraction grating optical waveguides.
Background
With the further pursuit of the experience of electronic products, it is generally required to increase the screen occupation ratio, i.e., to make the ratio of the area of the display region to the area of the entire front panel of the terminal device infinitely close to or even more than 100%. In order to increase the screen ratio, in the terminal device, the front camera module is usually disposed below the display panel to reduce the area occupied by the front camera module, so as to realize a true full screen. When putting the preceding camera module in reality panel below, owing to see through display pixel and display pixel's TFT drive circuit, positive pole metal wire etc. can receive diffraction interference when external scene reaches camera under the screen, seriously influence the intensity and the imaging quality that the sensor received the light field, produce and dazzle light to lead to the resolution to reduce scheduling problem. The general solution is to optimize the circuit and backplane design, optimize the pixel unit shape, and combine the terminal de-diffraction algorithm to achieve perfect display and shooting, but the related technology challenges are extremely large.
Through the above analysis, the problems and defects of the prior art are as follows: when the camera is started to shoot, the screen area of the part where the camera is located can be changed into black, and pictures are not displayed, so that the problems of diffraction and glare caused by light rays emitted by the display area around the camera are avoided. Therefore, the interference among the pixels can influence the imaging effect of the camera under the screen. When off-screen imaging is not performed, the presence of the transmission pixels affects the screen displayed in full screen, and the original screen may be disturbed by misalignment or the like. The pixel transmission method is used for realizing the under-screen shooting, and the small pixel method can be adopted to take account of the screen gloss and the display effect. However, when the pixels in the area under the screen become smaller, the large screen parameter is transferred in order to keep the consistent display effect of the whole screen. When the mobile phone is used outdoors, the picture display is greatly influenced. Another approach is to reduce the pixel density of the display area, but this phase change reduces the resolution of the screen, resulting in frame skipping or color non-uniformity. The camera under the screen has the problem of service life when redesigning the pixel arrangement mode in the screen and the circuit under the screen.
The difficulty in solving the above problems and defects is: firstly, the pixels are reduced, and in order to ensure the color consistency of the whole screen, the brightness of a single pixel in a region under the screen needs to be improved, which means that the part of pixels needs higher power support, and the improvement of the brightness brings the possibility of screen burning. Secondly, in the aspect of shooting, the problem of imaging caused by penetrating pixels and panels is difficult to solve by the aid of the under-screen shooting mode, and the 'fog feeling' of imaging can be processed only through a complex algorithm in the later period. The external light reaches the camera module under the screen through the pixels and inevitably influences the imaging effect.
The significance of solving the problems and the defects is as follows: and a new under-screen shooting mode is used, so that the algorithm optimization of screen burning danger and high difficulty brought by improving the pixel brightness is avoided, and the complexity of a circuit process is reduced.
Disclosure of Invention
To overcome the problems in the related art, the embodiments of the present disclosure provide an apparatus, a method, and a program product for an off-screen image pickup based on a diffraction grating optical waveguide. The technical scheme is as follows:
the under-screen camera device based on the diffraction grating optical waveguide is provided with:
the glass cover plate is provided with a tiny light hole;
a display panel mounted adjacent to the glass cover plate;
one end of the diffraction grating optical waveguide structure is opposite to the light hole, and the other end of the diffraction grating optical waveguide structure is opposite to the front camera; the optical waveguide is used for coupling and transmitting light, coupling an external optical field into the waveguide and transmitting the external optical field in the waveguide;
the lens group images the transmitted light, wherein the vertical projection of the imaging module is at least partially and completely positioned in the display panel;
and the CMOS sensor is positioned behind the lens group and used for detecting and imaging.
In one embodiment, the lens group is located within the display panel.
In one embodiment, the diffraction grating optical waveguide structure diffracts, totally internally reflects and transmits the light rays which are emitted from different spatial points in a scene and are incident at different angles and are close to parallel incidence to the front of the imaging lens group within a certain field angle, and the lens group focuses the light rays to the corresponding and unique corresponding spatial position point of the CMOS sensor.
In one embodiment, the glass cover plate has a transparent intermediate region and an opaque light-blocking region at least partially surrounding the intermediate region, the light-blocking region having a light-transmissive hole;
in one embodiment, a camera is arranged on the display panel, and the camera focuses and images light from the diffraction grating optical waveguide onto the CMOS detector; the projection of the camera is partially or completely located within the display panel.
Another object of the present invention is to provide a method for implementing an under-screen camera device based on a diffraction grating optical waveguide, which includes the following steps:
step one, external light enters an incoupling grating in an optical waveguide system through a light hole, the incoupling grating couples the external light into a waveguide, and the light reaches an outcoupling grating after propagating in the waveguide;
coupling light out of the waveguide by the coupling-out grating to reach the lens group;
step three, the lens group images the light and transmits imaging information to the CMOS sensor;
and step four, the sensor displays the detected information on the display panel.
In one embodiment, in step one, in order to place the front camera under the display panel without occupying the screen area, light is allowed to enter the front camera under the panel through the light-transmitting holes opened in the display panel by increasing the display panel area.
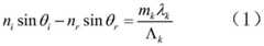
In one embodiment, in step two, the outcoupling grating operates in a transmissive mode, and the gratings are on different sides of the waveguide; all light entering the waveguide will satisfy the diffraction equation:
Figure BDA0003299094060000031
wherein theta isirRespectively representing the angle of incidence and the angle of diffraction, ni,nrIs an incident area medium,Diffraction zone medium, λkkFor the incident wavelength and grating period, mkFor the working order, k is R, G and B represent three working wavelengths of red, green and blue.
In one embodiment, after determining the period of the grating structure and the required number of operating orders, θ that can enter the waveguide can be obtainediRange, thereby determining the camera's FoV;
the light traveling within the waveguide needs to satisfy the Total Internal Reflection (TIR) condition, i.e., the diffraction angle θ into the waveguiderNeed to be greater than the critical angle theta of the waveguidecWherein thetacSatisfies formula (3):
θr>θc (2)
Figure BDA0003299094060000041
light that satisfies TIR propagates within the waveguide with constant reflection along the "zigzag" shape.
It is a further object of the invention to provide a computer program product stored on a computer readable medium, comprising a computer readable program for providing a user input interface for implementing said method when executed on an electronic device.
By combining all the technical schemes, the invention has the advantages and positive effects that: the incoupling grating couples light into the waveguide, the light propagates in the waveguide in a zigzag shape after satisfying the total internal reflection condition, and is coupled out of the waveguide after reaching the outcoupling grating. The deflection effect of the grating on light and the transmission effect of the waveguide can be regarded as that the imaging light path is subjected to space folding compression and micro-nano optical special transmission direction processing, so that the system volume in a free space can be greatly reduced, the diffraction grating is utilized to carry out transmission coupling on incident light, a scene to be imaged is transmitted to a front camera sensing array placed below a display panel, imaging is realized, and the occupied area of a front camera in the panel can be greatly reduced. Meanwhile, due to the gradual maturity of the nano-scale depression technology and the wide attention and research of the diffraction light waveguide technology in the near-to-eye display system, the surface relief grating has great potential and possibility for being put into production and application.
It is to be understood that both the foregoing general description and the following detailed description are exemplary and explanatory only and are not restrictive of the disclosure.
Drawings
The accompanying drawings, which are incorporated in and constitute a part of this specification, illustrate embodiments consistent with the present disclosure and together with the description, serve to explain the principles of the disclosure.
Fig. 1 is a schematic front view of an image pickup terminal device under a diffraction grating-based optical waveguide screen according to an embodiment of the present invention.
Fig. 2 is a schematic side view of a camera terminal device under a diffraction grating-based optical waveguide screen according to an embodiment of the present invention.
Fig. 3 is a schematic front view of a diffraction grating optical waveguide provided in an embodiment of the present invention.
Fig. 4 is a schematic diagram illustrating an operation principle of a diffraction grating optical waveguide according to an embodiment of the present invention.
Fig. 5 is a schematic diagram illustrating an operation principle of the grating coupler according to the embodiment of the present invention.
Fig. 6 is a schematic structural diagram of a super-surface grating coupler according to an embodiment of the present invention.
Fig. 7 is a full-wave simulation of an in-coupling grating responsive to red light provided by an embodiment of the present invention.
Figure 8 is a graph of the coupling efficiency of the in-coupling grating of figure 7 provided by an embodiment of the present invention.
Fig. 9 is a schematic diagram of an embodiment of the present invention for transmitting red, green and blue light by using two layers of waveguides.
FIG. 10 is a schematic diagram of a super-surface grating coupler responsive to blue and green light according to an embodiment of the present invention.
In the figure: 1. a flat plate; 1-1, a glass cover plate; 1-2, shading area; 1-3, light holes; 2. a display panel; 3. a diffraction grating optical waveguide structure; 3-1, coupling in a grating coupler; 3-2, a waveguide; 3-3, coupling out a grating coupler; 4. a camera; 5. a CMOS detector.
Detailed Description
In order to make the aforementioned objects, features and advantages of the present invention comprehensible, embodiments accompanied with figures are described in detail below. In the following description, numerous specific details are set forth in order to provide a thorough understanding of the present invention. This invention may, however, be embodied in many different forms and should not be construed as limited to the embodiments set forth herein, but rather should be construed as broadly as the present invention is capable of modification in various respects, all without departing from the spirit and scope of the present invention.
It will be understood that when an element is referred to as being "secured to" another element, it can be directly on the other element or intervening elements may also be present. When an element is referred to as being "connected" to another element, it can be directly connected to the other element or intervening elements may also be present. As used herein, the terms "vertical," "horizontal," "left," "right," and the like are for purposes of illustration only and are not intended to represent the only embodiments.
Unless defined otherwise, all technical and scientific terms used herein have the same meaning as commonly understood by one of ordinary skill in the art to which this invention belongs. The terminology used in the description of the invention herein is for the purpose of describing particular embodiments only and is not intended to be limiting of the invention. As used herein, the term "and/or" includes any and all combinations of one or more of the associated listed items.
The under-screen camera device based on the diffraction grating optical waveguide comprises:
a glass cover plate 1-1 with a tiny light hole 1-3;
adisplay panel 2 adjacent to the glass cover plate 1-1;
the diffraction grating optical waveguide structure 3 is used for coupling and transmitting light, and couples an external optical field into the waveguide and transmits the light in the waveguide 3-2;
a lens group for imaging the transmitted light, wherein the vertical projection of the imaging module is at least partially and preferably completely located within thedisplay panel 2;
and the CMOS sensor is positioned behind the lens group and used for detecting imaging.
The method for shooting under the screen based on the diffraction grating optical waveguide comprises the following steps:
first, external light enters an incoupling grating in an optical waveguide system through a light hole 1-3, the incoupling grating couples the external light into a waveguide 3-2, and the light reaches an outcoupling grating after propagating in the waveguide 3-2.
The outcoupling grating then couples the light out of the waveguide 3-2 to the lens group. The lens group images light and transmits imaging information to the CMOS sensor. The sensor presents the detected information on thedisplay panel 2.
The lens group in the method can be well positioned in thedisplay panel 2, and the screen occupation ratio is increased. The diffraction grating optical waveguide of the key device in the terminal equipment can diffract, totally internally reflect and transmit light rays which are emitted by different space points in a scene and are incident at different angles and are close to parallel incidence to the front of the imaging lens group in a certain field angle, and the lens group focuses on corresponding and uniquely corresponding space position points of the CMOS sensor.
In the related art of under-screen camera, in order to place the front camera under thedisplay panel 2 without occupying the screen area, light can enter the front camera under the panel through the light-transmitting holes 1-3 opened in thedisplay panel 2 by increasing the area of thedisplay panel 2; it is also possible to raise the camera mechanically when the front camera is in use and hide the camera behind thedisplay panel 2 when not in use. However, the mechanical method has large processing difficulty and cost, and the rising and falling of the mechanical structure easily causes dust accumulation. We therefore use the light holes 1-3 for the purpose of under-screen imaging. In an embodiment of the present invention, a terminal device includes: a glass cover plate 1-1 having a transparent middle region and an opaque light-shielding region 1-2 at least partially surrounding the middle region, the light-shielding region 1-2 having a light-transmitting hole 1-3; adisplay panel 2 adjacent to the glass cover plate 1-1; acamera 4 and a CMOS sensor, wherein the projection of thecamera 4 is located at least partially and preferably completely within thedisplay panel 2. The diffraction grating optical waveguide is used as an optical transmission element of the terminal equipment, one end of the diffraction grating optical waveguide is opposite to the light hole 1-3, the other end of the diffraction grating optical waveguide is opposite to the front camera, and light from the outside can be transmitted to the lens through the waveguide 3-2. Thecamera 4 lens group focuses and images the light from the diffraction grating light guide on theCMOS detector 5.
An embodiment of the present invention provides a schematic front view of a terminal device based on an off-screen camera of a diffraction grating optical waveguide, as shown in fig. 1. The terminal device includes: theflat plate 1 and the glass cover plate 1-1 are display parts of equipment, the shading area 1-2 is an edge bonding area where the equipment is combined with a screen, and the light holes 1-3 are tiny light holes in the shading area 1-2. External light can enter the underside of the terminal equipment through the light-transmitting holes 1-3. The shape of the light holes 1-3 can be designed according to actual requirements, in this example, the light holes are rectangular, the width D of the light holes 1-3 can be 1-2mm, and the length D is determined according to the interval between the light shielding area 1-2 and thedisplay panel 2. The light holes 1-3 can be placed in the middle position or other positions, and the final imaging is not influenced. The waveguide is placed laterally within the light-shielding region 1-2, parallel to thedisplay panel 2, so that the lateral area of the light-shielding part can be well utilized and the area of thedisplay panel 2 is not occupied.
Fig. 2 is a schematic side view of the terminal device, with acamera 4 and aCMOS detector 5 placed behind the waveguide 3-2, with the projected part in the light-shielded area 1-2 and part below thedisplay panel 2. One end of the diffraction grating optical waveguide structure 3 is connected with the external light holes 1-3, the other end is connected with thecamera 4, and thecamera 4 images light on theCMOS detector 5. The resulting image is presented on thedisplay panel 2 and the user can see the image through thecover plate 1.
Fig. 3 is a schematic diagram of a partially enlarged structure of the terminal device shown in fig. 2. The diffraction grating optical waveguide structure 3 is transversely arranged, the shadow part is an in-coupling grating coupler 3-1 opposite to the light hole 1-3, the waveguide 3-2 of the transparent part is a waveguide structure for completing total internal reflection transmission of light, and the out-coupling grating coupler 3-3 of the shadow part is an out-coupling grating coupler 3-3 opposite to thecamera 4. The incoupling grating coupler 3-1 and the outcoupling grating coupler 3-3 are on both sides of the waveguide, respectively. The width of the in-coupling grating coupler 3-1 is slightly larger than the width D of the light transmission hole 1-3, so that the light entering through the light transmission hole 1-3 can be utilized to the maximum. The coupling-out grating coupler 3-3 is larger in area than the coupling-in grating coupler 3-1 and is equal to thecamera 4 in size, so that the purpose of enabling more light to be coupled out to reach thecamera 4 is achieved, and the requirement of better imaging quality is met.
Fig. 4 is a schematic diagram of a specific operation principle of the diffraction grating optical waveguide in this embodiment. In this embodiment, the incoupling grating coupler 3-1 is a super-surface incoupling grating, and approximately parallel light with different angles passing through the light hole 1-3 is coupled into the waveguide 3-2, and the incident light with different angles propagates in the waveguide along a zigzag shape at different total internal reflection angles, reaches the super-surface incoupling grating, is coupled out through the incoupling grating 3-3 to reach thecamera 4, and is imaged on theCMOS detector 5. The grating coupler and waveguide only serve to deflect and transmit light, and the final image still depends on thecamera 4. The light after passing through the diffraction grating light guide reaches thecamera 4, and the focal length of the lens and the placement position of the detector are determined according to the object image relationship, so that the whole process of shooting under the screen can be completed. The object plane passes through the optical imaging system and forms an image plane in an image space, and the image plane is on theCMOS detector 5.
Fig. 5 is a schematic diagram of the working principle of the grating coupler. In this embodiment, all gratings operate in a transmissive mode, and the gratings are on different sides of the waveguide. All light entering the waveguide will satisfy the diffraction equation (1), where θirRespectively representing the angle of incidence and the angle of diffraction, ni,nrIs incident area medium, diffraction area medium, lambdakkFor the incident wavelength and grating period, mkIs the number of operating steps. And k is R, G and B represent three working wavelengths of red, green and blue. The FoV of thecamera 4 in fig. 2 is determined by this equation, and after determining the period of the grating structure and the required working order, the theta that can enter the waveguide is obtainediRange, and thus the FoV.
Figure BDA0003299094060000081
The light traveling within the waveguide needs to satisfy the Total Internal Reflection (TIR) condition, i.e., the diffraction angle θ into the waveguiderNeed to be greater than the critical angle theta of the waveguidecWherein thetacSatisfies formula (3):
θr>θc (2)
Figure BDA0003299094060000082
in this case, the light energy propagates within the waveguide in reflections along the zigzag pattern. The material of the waveguide can be selected from optical plastics with large refractive index, which is proportional to the FoV. The larger the refractive index, the easier TIR is to satisfy, and coupling and propagation are more easily achieved. For example, in one embodiment, when the waveguide material has a refractive index nrWhen 1.84, thetacDiffraction angle θ into the waveguide of 33 °rNeeds to be more than 33 degrees.
One structure of the super-surface out-coupling grating is shown in fig. 6, in which there are nano-pillars with different widths in a single period. In one example of this embodiment, when the wavelength is red light (λ 666nm), the period of the coupled grating responding to the red light is Λ 540nm, and the diagonal FoV is 22 ° (16 ° H × 14 ° V). Four nano-pillar structures are arranged in a single period, the heights of the nano-pillars are all 300nm, and the widths and the intervals of the pillars are different. Fig. 7 is a graph of the results of a simulation of the grating using a full-wave simulation method, the grating being capable of deflecting light at normal incidence in a desired direction and propagating within the waveguide. The image information carried by the light is well transmitted to the other end of the waveguide. As shown in FIG. 8, the coupling grating of this structure has extremely high coupling efficiency at-8 deg. < thetaHIn the range of less than 8 degrees, the coupling efficiency of the working order m is 1, which is basically over 80 percent. Other orders are effectively suppressed. The period of the coupling-out grating is the same as that of the coupling-in grating, so that the image can be ensured not to shift in the coupling-out process. The number, the spacing and the width of the nano columns are adjusted on the structure of the coupling-in grating, and the coupling-out grating with high coupling-out efficiency can be obtained. In this embodiment, the nanorod material I is Silicon (Silicon), and in other embodiments, the nanorod material I can be other high-refractive-index dielectric material, such as TiO2Etc.;and II is a substrate, namely a waveguide material. The height and period of the grating are both nano-scale, and the thickness of the waveguide is millimeter. In other embodiments, the internal structure of the super-surface grating can have different forms, such as nano-columns with different numbers, widths and intervals, and the design of the super-surface grating depends on a machine learning-assisted micro-nano artificial microstructure reverse design method, and the optimization result is verified through full-wave electromagnetic simulation.
In this embodiment, to realize color imaging, the waveguide may be divided into two layers, and as shown in fig. 9, the waveguide transmits light of different colors under normal incidence. The first layer transmits blue and green images and the second layer transmits red images. The gratings of the two layers of waveguides need to ensure that when light enters at the same angle, the diffraction deflection angles after passing through the coupler are the same, so that the light proportion of the two colors after being coupled out is ensured to be the same, the subsequent imaging effect is not influenced, under the condition, the working orders of the gratings for transmitting blue and green images can be set to be different numerical values, and the same diffraction angle is provided. FIG. 10 shows a structure of a super-surface-coupled grating, which has nine nano-pillar structures in a single period, the height of each nano-pillar is 220nm, and the width and the interval of each pillar are different. The material I is silicon of the nano-columns, the material II is waveguide material, and the material III is filling material between the nano-columns. The working efficiency of the grating can be improved by filling the gaps of the nano-pillars with materials. Green and blue light wavelength is lambdaG520nm and λBWhen the wavelength is 416nm, the period lambda of the coupled grating responding to green light and blue light is 1671nm, nine nano-pillar structures are arranged in a single period, the heights of the nano-pillars are all 220nm, and the width and the distance of each pillar are different. The work order of the grating responding to the blue light is m-4, and the work order of the grating responding to the green light is m-5. The grating can keep high efficiency to couple two wavelengths, does not generate dispersion, and is favorable for ensuring the imaging quality. The working wavelength of the grating can be selected according to the limiting factors such as actual requirements, lens properties in the lens group and the like, so that the period and the working order of the grating can be redesigned. In other embodiments, only one layer of waveguide may be used to transmit the RGB three-color image. In this case, a long period of the super-surface grating can be used, allowing three wavelengths to operateThe order is different, providing the same diffraction angle.
Other embodiments of the disclosure will be apparent to those skilled in the art from consideration of the specification and practice of the disclosure disclosed herein. This application is intended to cover any variations, uses, or adaptations of the disclosure following, in general, the principles of the disclosure and including such departures from the present disclosure as come within known or customary practice within the art to which the disclosure pertains. It is intended that the specification and examples be considered as exemplary only, with a true scope and spirit of the disclosure being indicated by the following claims.
It will be understood that the present disclosure is not limited to the precise arrangements described above and shown in the drawings and that various modifications and changes may be made without departing from the scope thereof. The scope of the present disclosure should be limited only by the attached claims.

Claims (10)

1. The utility model provides a camera device under screen based on diffraction grating optical waveguide which characterized in that, camera device under screen based on diffraction grating optical waveguide is provided with:
the glass cover plate is provided with a tiny light hole;
a display panel mounted adjacent to the glass cover plate;
one end of the diffraction grating optical waveguide structure is opposite to the light hole, and the other end of the diffraction grating optical waveguide structure is opposite to the front camera; the optical waveguide is used for coupling and transmitting light, coupling an external optical field into the waveguide and transmitting the external optical field in the waveguide;
the lens group images the transmitted light, wherein the vertical projection of the imaging module is at least partially and completely positioned in the display panel;
and the CMOS sensor is positioned behind the lens group and used for detecting and imaging.
2. The diffraction grating optical waveguide-based underscreen imaging device of claim 1, wherein the lens group is located below a display panel.
3. The device of claim 1, wherein the structure diffracts, transmits and transmits within a certain field angle, nearly parallel incident light rays emitted from different spatial points in a scene and incident at different angles to the imaging lens group, and the lens group refocuses the light rays to a corresponding and uniquely corresponding spatial position point of the CMOS sensor.
4. The diffraction grating optical waveguide-based underscreen camera device of claim 1, wherein the glass cover has a transparent intermediate region and an opaque light blocking region at least partially surrounding the intermediate region, the light blocking region having light transmissive holes.
5. The device of claim 1, wherein a camera is disposed behind the display panel, the camera focusing light from the diffraction grating optical waveguide onto the CMOS detector; the projection of the camera is partially or completely located within the display panel.
6. An off-screen image pickup method based on a diffraction grating optical waveguide for realizing the off-screen image pickup device based on the diffraction grating optical waveguide according to any one of claims 1 to 5, wherein the off-screen image pickup method based on the diffraction grating optical waveguide comprises the following steps:
step one, external light enters an incoupling grating in an optical waveguide system through a light hole, the incoupling grating couples the external light into a waveguide, and the light reaches an outcoupling grating after propagating in the waveguide;
coupling light out of the waveguide by the coupling-out grating to reach the lens group;
step three, the lens group images the light and transmits imaging information to the CMOS sensor;
and step four, the sensor displays the detected information on the display panel.
7. The method of claim 6, wherein in step one, in order to place the front camera under the display panel without occupying screen area,
by increasing the area of the display panel, light is allowed to enter the front camera below the panel through the light-transmitting holes formed in the display panel.
8. The method according to claim 6, wherein in step two, the outcoupling grating operates in a transmission mode, and the gratings are on different sides of the waveguide; all light entering the waveguide will satisfy the diffraction equation:
Figure FDA0003299094050000021
wherein theta isirRespectively representing the angle of incidence and the angle of diffraction, ni,nrIs incident area medium, diffraction area medium, lambdakkFor the incident wavelength and grating period, mkFor the working order, k is R, G and B represent three working wavelengths of red, green and blue.
9. The method of claim 8, wherein θ that can enter the waveguide is obtained by determining the period of the grating structure and the required number of operation steps given the refractive index of the waveguide materialiRange, thereby determining the camera's FoV;
the light traveling within the waveguide needs to satisfy the Total Internal Reflection (TIR) condition, i.e., the diffraction angle θ into the waveguiderNeed to be greater than the critical angle theta of the waveguidecWherein thetacSatisfies formula (3):
θr>θc (2)
Figure FDA0003299094050000022
light is constantly reflected within the waveguide along a zigzag pattern.
10. A computer program product stored on a computer readable medium, comprising a computer readable program for providing a user input interface to implement the diffraction grating optical waveguide-based method of imaging an off-screen image as claimed in any one of claims 6 to 9 when executed on an electronic device.
CN202111185659.5A2021-10-122021-10-12 Under-screen camera device, method and program product based on diffraction grating optical waveguidePendingCN113885119A (en)

Priority Applications (1)

Application NumberPriority DateFiling DateTitle
CN202111185659.5ACN113885119A (en)2021-10-122021-10-12 Under-screen camera device, method and program product based on diffraction grating optical waveguide

Applications Claiming Priority (1)

Application NumberPriority DateFiling DateTitle
CN202111185659.5ACN113885119A (en)2021-10-122021-10-12 Under-screen camera device, method and program product based on diffraction grating optical waveguide

Publications (1)

Publication NumberPublication Date
CN113885119Atrue CN113885119A (en)2022-01-04

Family

ID=79006091

Family Applications (1)

Application NumberTitlePriority DateFiling Date
CN202111185659.5APendingCN113885119A (en)2021-10-122021-10-12 Under-screen camera device, method and program product based on diffraction grating optical waveguide

Country Status (1)

CountryLink
CN (1)CN113885119A (en)

Cited By (5)

* Cited by examiner, † Cited by third party
Publication numberPriority datePublication dateAssigneeTitle
CN114594640A (en)*2022-03-172022-06-07湖北星纪时代科技有限公司Color-changing display lens and intelligent glasses
CN114779466A (en)*2022-04-202022-07-22武汉天马微电子有限公司 A display panel and display device
CN115356803A (en)*2022-10-192022-11-18北京驭光科技发展有限公司 Diffractive optical waveguide and its design method, near-eye display device
US20230221551A1 (en)*2022-01-122023-07-13Asustek Computer Inc.Light guide substrate and display apparatus using the same
WO2023216311A1 (en)*2022-05-112023-11-16武汉华星光电技术有限公司Display panel and display apparatus

Citations (6)

* Cited by examiner, † Cited by third party
Publication numberPriority datePublication dateAssigneeTitle
CN208623755U (en)*2018-06-142019-03-19Oppo广东移动通信有限公司 Electronics, protective covers and displays
CN109656026A (en)*2019-02-252019-04-19京东方科技集团股份有限公司A kind of holographic optical waveguide display device and method of big field angle
CN109862160A (en)*2019-03-292019-06-07联想(北京)有限公司Smart phone
CN111474711A (en)*2020-04-092020-07-31谷东科技有限公司Holographic waveguide display device and augmented reality display apparatus
CN112285926A (en)*2019-07-122021-01-29苏州苏大维格科技集团股份有限公司Mixing type monolithic waveguide lens and three-dimensional display device
CN113485015A (en)*2021-08-062021-10-08凤凰光学股份有限公司Waveguide display device with high coupling efficiency

Patent Citations (6)

* Cited by examiner, † Cited by third party
Publication numberPriority datePublication dateAssigneeTitle
CN208623755U (en)*2018-06-142019-03-19Oppo广东移动通信有限公司 Electronics, protective covers and displays
CN109656026A (en)*2019-02-252019-04-19京东方科技集团股份有限公司A kind of holographic optical waveguide display device and method of big field angle
CN109862160A (en)*2019-03-292019-06-07联想(北京)有限公司Smart phone
CN112285926A (en)*2019-07-122021-01-29苏州苏大维格科技集团股份有限公司Mixing type monolithic waveguide lens and three-dimensional display device
CN111474711A (en)*2020-04-092020-07-31谷东科技有限公司Holographic waveguide display device and augmented reality display apparatus
CN113485015A (en)*2021-08-062021-10-08凤凰光学股份有限公司Waveguide display device with high coupling efficiency

Cited By (7)

* Cited by examiner, † Cited by third party
Publication numberPriority datePublication dateAssigneeTitle
US20230221551A1 (en)*2022-01-122023-07-13Asustek Computer Inc.Light guide substrate and display apparatus using the same
US12259548B2 (en)*2022-01-122025-03-25Asustek Computer Inc.Light guide device and display apparatus using the same
CN114594640A (en)*2022-03-172022-06-07湖北星纪时代科技有限公司Color-changing display lens and intelligent glasses
CN114779466A (en)*2022-04-202022-07-22武汉天马微电子有限公司 A display panel and display device
WO2023216311A1 (en)*2022-05-112023-11-16武汉华星光电技术有限公司Display panel and display apparatus
US12140827B2 (en)2022-05-112024-11-12Wuhan China Star Optoelectronics Technology Co., Ltd.Display panel and display device
CN115356803A (en)*2022-10-192022-11-18北京驭光科技发展有限公司 Diffractive optical waveguide and its design method, near-eye display device

Similar Documents

PublicationPublication DateTitle
CN113885119A (en) Under-screen camera device, method and program product based on diffraction grating optical waveguide
JP7447129B2 (en) Functionalized waveguides for detector systems
CN108562965B (en) Backlight module and display device
TWI556034B (en)Displaying apparatus
WO2011033816A1 (en)Display device
CN202649645U (en)Liquid crystal display panel and display device
WO2021008598A1 (en)Electronic device
CN102346326B (en)LCD (liquid crystal display) seamless splicing system
JP7447130B2 (en) Functionalized waveguides for detector systems
US20110267487A1 (en)Solid-state image pickup device, imaging device, and dispersing element
JPH10319217A (en)Color separating element and image display device
JPH09113730A (en)Surface light source device, optical element used for this surface light source device, image display device formed by using this surface light source device and other apparatus
CN100432755C (en)Spatial light modulator and projector
CN105068298A (en)Viewing angle enlarging film and wide-viewing-angle thin film transistor-liquid crystal display (TFT-LCD) comprising the same
CN107193069B (en) A grating and dual-view display device
TWI680397B (en) Sensor board and display with sensor board
JP2013044899A (en)Liquid crystal display device
JP7447131B2 (en) Functionalized waveguides for detector systems
CN108415191A (en)Display device, electronic equipment and display methods
CN110873962B (en)Display system based on waveguide
JP7447133B2 (en) Functionalized waveguides for detector systems
JP7447132B2 (en) Functionalized waveguides for detector systems
TWI534503B (en)Display apparatus
EP4308993B1 (en)Display structure and display device
TW202107065A (en)Imaging layer, imaging apparatus, electronic device, zone plate structure and photosensitive image element

Legal Events

DateCodeTitleDescription
PB01Publication
PB01Publication
SE01Entry into force of request for substantive examination
SE01Entry into force of request for substantive examination
RJ01Rejection of invention patent application after publication

Application publication date:20220104

RJ01Rejection of invention patent application after publication

[8]ページ先頭

©2009-2025 Movatter.jp