Movatterモバイル変換


[0]ホーム

URL:


CN113869603A - A kind of abnormal working condition early warning method based on excavation index - Google Patents

A kind of abnormal working condition early warning method based on excavation index
Download PDF

Info

Publication number
CN113869603A
CN113869603ACN202111232277.3ACN202111232277ACN113869603ACN 113869603 ACN113869603 ACN 113869603ACN 202111232277 ACN202111232277 ACN 202111232277ACN 113869603 ACN113869603 ACN 113869603A
Authority
CN
China
Prior art keywords
tunneling
cutter head
ring
index
abnormal
Prior art date
Legal status (The legal status is an assumption and is not a legal conclusion. Google has not performed a legal analysis and makes no representation as to the accuracy of the status listed.)
Granted
Application number
CN202111232277.3A
Other languages
Chinese (zh)
Other versions
CN113869603B (en
Inventor
安国勇
刘丹
仇峰涛
董静怡
李勇
安欢
武金城
刘永强
王秋会
王筱林
王勇
董瑞
Current Assignee (The listed assignees may be inaccurate. Google has not performed a legal analysis and makes no representation or warranty as to the accuracy of the list.)
China Railway First Engineering Group Co Ltd
Intelligent Technology Branch of China Railway First Engineering Group Co Ltd
Urban Rail Transit Engineering Co Ltd of China Railway First Engineering Group Co Ltd
Original Assignee
China Railway First Engineering Group Co Ltd
Intelligent Technology Branch of China Railway First Engineering Group Co Ltd
Urban Rail Transit Engineering Co Ltd of China Railway First Engineering Group Co Ltd
Priority date (The priority date is an assumption and is not a legal conclusion. Google has not performed a legal analysis and makes no representation as to the accuracy of the date listed.)
Filing date
Publication date
Application filed by China Railway First Engineering Group Co Ltd, Intelligent Technology Branch of China Railway First Engineering Group Co Ltd, Urban Rail Transit Engineering Co Ltd of China Railway First Engineering Group Co LtdfiledCriticalChina Railway First Engineering Group Co Ltd
Priority to CN202111232277.3ApriorityCriticalpatent/CN113869603B/en
Publication of CN113869603ApublicationCriticalpatent/CN113869603A/en
Application grantedgrantedCritical
Publication of CN113869603BpublicationCriticalpatent/CN113869603B/en
Activelegal-statusCriticalCurrent
Anticipated expirationlegal-statusCritical

Links

Images

Classifications

Landscapes

Abstract

Translated fromChinese

本发明公开了一种基于掘进指数的异常工况预警方法,该方法包括以下步骤:一、盾构数据采集;二、盾构数据的预处理;三、每环掘进参数的采样;四、每环的掘进指数的获取;五、盾构机掘进状态的预警提示。本发明方法步骤简单,设计合理,通过对盾构机掘进参数的组合分析得到掘进指数,进而根据掘进指数实现盾构机掘进状态的异常工况预警。

Figure 202111232277

The invention discloses a method for early warning of abnormal working conditions based on an excavation index. The method comprises the following steps: first, shield data acquisition; second, shield data preprocessing; The acquisition of the tunneling index of the ring; 5. The early warning prompt of the tunneling state of the shield machine. The method of the invention is simple in steps and reasonable in design. The tunneling index is obtained by combining and analyzing the tunneling parameters of the shield tunneling machine, and the abnormal working condition warning of the tunneling state of the shielding tunneling machine is realized according to the tunneling index.

Figure 202111232277

Description

Abnormal working condition early warning method based on tunneling index
Technical Field
The invention belongs to the technical field of tunneling abnormal working condition early warning, and particularly relates to an abnormal working condition early warning method based on a tunneling index.
Background
In order to ensure safe operation in shield construction, the basic construction conditions are usually determined by exploring a tunneling line for geology, risks, topography and the like, so that the risks in the shield construction process are reduced. However, the early warning of the abnormal working condition cannot be accurately provided only according to the information explored in advance, and in order to ensure the construction safety, the data in the shield construction process needs to be analyzed and researched in real time, so that the early warning of the abnormal working condition is realized.
The traditional abnormal working condition early warning method is to manually record related parameter values, and carry out early warning after the deviation is found to exceed a certain range. Aiming at the defects, in the current stage of engineering, an SCADA (Supervisory Control And Data Acquisition) system (namely a Data Acquisition And monitoring Control system) is mainly used for monitoring parameters in real time, alarming is carried out according to a set threshold value, shield construction is closely combined, And the construction risk is reduced. However, in the actual engineering construction process, although the corresponding threshold value can be formulated according to national regulations or various specifications to realize parameter early warning, the early warning of shield abnormal working conditions is realized only by setting threshold values for certain main parameters, and the linkage and the relevance among all the construction parameters are ignored.
Therefore, an abnormal working condition early warning method based on the tunneling index is needed, the tunneling index is obtained through the combined analysis of the tunneling parameters of the shield tunneling machine, and the abnormal working condition early warning of the tunneling state of the shield tunneling machine is further realized according to the tunneling index.
Disclosure of Invention
The invention aims to solve the technical problem of providing an abnormal working condition early warning method based on a tunneling index, which has simple steps and reasonable design, obtains the tunneling index through the combined analysis of tunneling parameters of a shield tunneling machine, and further realizes the abnormal working condition early warning of the tunneling state of the shield tunneling machine according to the tunneling index.
In order to solve the technical problems, the invention adopts the technical scheme that: an abnormal working condition early warning method based on a tunneling index is characterized by comprising the following steps:
step one, shield data acquisition:
in the tunneling process of the shield tunneling machine, an SCADA system is adopted to collect tunneling parameters in real time, and the detected tunneling parameters are transmitted to a monitoring computer in real time through a communication module; wherein the tunneling parameters comprise a propelling speed, a total propelling force, a cutter head torque and a cutter head rotating speed;
step two, preprocessing shield data:
the monitoring computer carries out deletion and abnormity judgment on the propelling speed, the total propelling force, the cutter head torque and the cutter head rotating speed which are acquired at each sampling moment, and deletion and abnormity data are removed to obtain preprocessed tunneling parameter data;
step three, sampling of tunneling parameters of each ring:
301, obtaining preprocessed tunneling parameter data at each sampling moment in the jth tunneling process according to the preprocessed tunneling parameter data;
step 302, performing secondary sampling on the pre-processed tunneling parameter data at each sampling time in the jth ring tunneling process according to T intervals to obtain a 1 st sampled tunneling parameter of the jth ring, an E-th sampled tunneling parameter of the jth ring, and an E-th sampled tunneling parameter of the jth ring; wherein the value of T is 5 s-60 s, E and E are positive integers, and E is more than or equal to 1 and less than or equal to E;
step four, acquiring the tunneling index of each ring:
step 401, recording the tunneling parameter sampled at the e-th ring of the jth ring as the propelling speed V sampled at the e-th ring of the jth ringjeThe total propulsion force sampled at the e-th of the jth ring is FjeThe cutter head torque sampled at the e th ring of the j is TjeThe rotating speed of the cutter head sampled at the e-th sampling of the jth ring is nje
Step 402, according to the formula
Figure BDA0003316451890000021
Obtaining the e tunneling index TI of the jth ringje
Step 403, acquiring a median from the E tunneling indexes of the jth ring, and recording the median as the tunneling index TI of the jth ringj
Fifthly, early warning prompt of the tunneling state of the shield tunneling machine:
step 501, according to the method in the step four, the tunneling index TI of the J-th ring is sequentially obtained in the historical normal tunneling process of the shield tunneling machinej(ii) a Wherein J and J are positive integers, and J is more than or equal to 1 and less than or equal to J;
step 502, the monitoring computer bases on the formula
Figure BDA0003316451890000031
Obtaining the average value of the tunneling indexes in the J-ring tunneling process
Figure BDA0003316451890000032
And will be
Figure BDA0003316451890000033
Record statistics of normal diggingPerforming an index;
step 503, in the current tunneling process of the shield machine, acquiring the tunneling index of the current l-th tunneling ring of the shield machine according to the method in the step four, and adding the tunneling index of the current l-th tunneling ring to the tunneling index of the current l-th tunneling ring
Figure BDA0003316451890000034
Comparing, and when the tunneling index of the current tunneling first ring is larger than that of the current tunneling first ring
Figure BDA0003316451890000035
Indicating that the tunneling index of the current l-th tunneling ring is abnormal, and controlling an alarm to give an alarm and prompt by the monitoring computer;
the tunneling index of the current tunneling first ring is not more than
Figure BDA0003316451890000036
The tunneling index of the current tunneling ith ring is normal.
The abnormal working condition early warning method based on the tunneling index is characterized by comprising the following steps of: and in the second step, the monitoring computer carries out deletion and abnormity judgment on the propelling speed, the total propelling force, the cutter head torque and the cutter head rotating speed collected at each sampling moment, and deletes the deletion and abnormity data to obtain the preprocessed tunneling parameter data, wherein the specific process is as follows:
step 201, a monitoring computer judges whether the propelling speed, the total propelling force, the cutter head torque or the cutter head rotating speed acquired at the ith acquisition moment is lost in the tunneling process of the shield tunneling machine, and if the propelling speed, the total propelling force, the cutter head torque or the cutter head rotating speed acquired at the ith acquisition moment is lost, the propelling speed, the total propelling force, the cutter head torque and the cutter head rotating speed acquired at the ith acquisition moment are rejected; if the propulsion speed, the total propulsion force, the cutter head torque and the cutter head rotating speed which are acquired at the ith acquisition moment are not lost, the monitoring computer stores the propulsion speed, the total propulsion force, the cutter head torque and the cutter head rotating speed which are acquired at the ith acquisition moment; wherein i is a positive integer;
202, repeating the step 201 for multiple times to obtain a tunneling parameter set;
step 203, the monitoring computer adopts an LOF algorithm to carry out abnormal elimination on the propelling speed in the tunneling parameter set, and synchronously eliminates the total propelling force, the cutter head torque and the cutter head rotating speed at the sampling moment of the abnormal propelling speed to obtain the tunneling parameter set after the first abnormal elimination;
step 204, the monitoring computer adopts an LOF algorithm to carry out abnormal elimination on the total propelling force in the tunneling parameter set, and synchronously eliminates the propelling speed, the cutter head torque and the cutter head rotating speed at the sampling moment of the abnormal total propelling force to obtain a tunneling parameter set after the second abnormal elimination;
step 205, the monitoring computer adopts an LOF algorithm to perform abnormal elimination on cutter head torque in the tunneling parameter set, and synchronously eliminates the propulsion speed, the total propulsion force and the cutter head rotating speed at the sampling moment of the abnormal cutter head torque to obtain a tunneling parameter set after the third abnormal elimination;
and step 206, the monitoring computer adopts an LOF algorithm to carry out abnormal elimination on the cutter head rotating speed in the tunneling parameter set, and synchronously eliminates the propelling speed, the total propelling force and the cutter head torque at the sampling moment of the abnormal cutter head rotating speed to obtain the preprocessed tunneling parameter data.
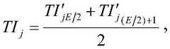
The abnormal working condition early warning method based on the tunneling index is characterized by comprising the following steps of: in step 403, a median is obtained from the E tunneling indexes of the jth ring, and the median is recorded as the tunneling index of the jth ring, which includes the following specific steps:
step 4031, E tunneling indexes of the j-th ring are arranged in a descending order and are numbered as 1, and the E 'ordered tunneling indexes are recorded as TI'je′(ii) a Wherein E 'is a positive integer, and E' is more than or equal to 1 and less than or equal to E;
step 4032, when E is odd, according to formula TIj=TI′jE/2To obtain the tunneling index TI of the jth ringj(ii) a When E is even number, according to the formula
Figure BDA0003316451890000041
To obtain the j-th ringAdvancing index TIj
The abnormal working condition early warning method based on the tunneling index is characterized by comprising the following steps of: the value range of J in the step 501 is 80-100.
Compared with the prior art, the invention has the following advantages:
1. the abnormal working condition early warning method based on the tunneling index is simple in steps and convenient to implement, and the abnormal working condition early warning of the tunneling state of the shield tunneling machine is effectively achieved.
2. The method is simple and convenient to operate and good in using effect, firstly, shield data are collected, then, the collected shield data are subjected to missing and abnormal judgment, the missing and abnormal data are eliminated, the preprocessed tunneling parameter data are obtained, then, the tunneling index of each ring is obtained through sampling of each ring of tunneling parameters, finally, the tunneling index of each ring is compared with the statistical normal tunneling index obtained in the historical normal tunneling process of the shield tunneling machine in the current tunneling process of the shield tunneling machine, the alarm prompt of a monitoring computer control alarm is further carried out, and the early warning accuracy is improved.
3. The tunneling index of the invention adopts the ratio of the cutter head torque and the cutter head rotating speed to the total propelling force and the propelling speed, thereby realizing the analysis and research of the four parameters of the total propelling force, the cutter head torque, the cutter head rotating speed and the propelling speed, and the comprehensive analysis and research of the four parameters considers the linkage and the relevance among all the construction parameters and improves the accuracy of the abnormal working condition early warning.
In conclusion, the method has simple steps and reasonable design, the tunneling index is obtained by the combined analysis of the tunneling parameters of the shield tunneling machine, and the early warning of the abnormal working condition of the tunneling state of the shield tunneling machine is realized according to the tunneling index.
The technical solution of the present invention is further described in detail by the accompanying drawings and embodiments.
Drawings
FIG. 1 is a flow chart of the method of the present invention.
Detailed Description
As shown in fig. 1, the method for early warning the abnormal working condition based on the tunneling index comprises the following steps:
step one, shield data acquisition:
in the tunneling process of the shield tunneling machine, an SCADA system is adopted to collect tunneling parameters in real time, and the detected tunneling parameters are transmitted to a monitoring computer in real time through a communication module; wherein the tunneling parameters comprise a propelling speed, a total propelling force, a cutter head torque and a cutter head rotating speed;
step two, preprocessing shield data:
the monitoring computer carries out deletion and abnormity judgment on the propelling speed, the total propelling force, the cutter head torque and the cutter head rotating speed which are acquired at each sampling moment, and deletion and abnormity data are removed to obtain preprocessed tunneling parameter data;
step three, sampling of tunneling parameters of each ring:
301, obtaining preprocessed tunneling parameter data at each sampling moment in the jth tunneling process according to the preprocessed tunneling parameter data;
step 302, performing secondary sampling on the pre-processed tunneling parameter data at each sampling time in the jth ring tunneling process according to T intervals to obtain a 1 st sampled tunneling parameter of the jth ring, an E-th sampled tunneling parameter of the jth ring, and an E-th sampled tunneling parameter of the jth ring; wherein the value of T is 5 s-60 s, E and E are positive integers, and E is more than or equal to 1 and less than or equal to E;
step four, acquiring the tunneling index of each ring:
step 401, recording the tunneling parameter sampled at the e-th ring of the jth ring as the propelling speed V sampled at the e-th ring of the jth ringjeThe total propulsion force sampled at the e-th of the jth ring is FjeThe cutter head torque sampled at the e th ring of the j is TjeThe rotating speed of the cutter head sampled at the e-th sampling of the jth ring is nje
Step 402, according to the formula
Figure BDA0003316451890000061
Obtaining the e tunneling index TI of the jth ringje
Step 403, acquiring median from the E tunneling indexes of the jth ringAnd the median is recorded as the tunneling index TI of the jth ringj
Fifthly, early warning prompt of the tunneling state of the shield tunneling machine:
step 501, according to the method in the step four, the tunneling index TI of the J-th ring is sequentially obtained in the historical normal tunneling process of the shield tunneling machinej(ii) a Wherein J and J are positive integers, and J is more than or equal to 1 and less than or equal to J;
step 502, the monitoring computer bases on the formula
Figure BDA0003316451890000062
Obtaining the average value of the tunneling indexes in the J-ring tunneling process
Figure BDA0003316451890000063
And will be
Figure BDA0003316451890000064
Recording the index of the statistical normal tunneling;
step 503, in the current tunneling process of the shield machine, acquiring the tunneling index of the current l-th tunneling ring of the shield machine according to the method in the step four, and adding the tunneling index of the current l-th tunneling ring to the tunneling index of the current l-th tunneling ring
Figure BDA0003316451890000065
Comparing, and when the tunneling index of the current tunneling first ring is larger than that of the current tunneling first ring
Figure BDA0003316451890000066
Indicating that the tunneling index of the current l-th tunneling ring is abnormal, and controlling an alarm to give an alarm and prompt by the monitoring computer;
the tunneling index of the current tunneling first ring is not more than
Figure BDA0003316451890000067
The tunneling index of the current tunneling ith ring is normal.
In this embodiment, in the second step, the monitoring computer performs deletion and abnormality judgment on the propulsion speed, the total propulsion force, the cutter head torque and the cutter head rotation speed acquired at each sampling time, and rejects the deletion and abnormality data to obtain the preprocessed tunneling parameter data, and the specific process is as follows:
step 201, a monitoring computer judges whether the propelling speed, the total propelling force, the cutter head torque or the cutter head rotating speed acquired at the ith acquisition moment is lost in the tunneling process of the shield tunneling machine, and if the propelling speed, the total propelling force, the cutter head torque or the cutter head rotating speed acquired at the ith acquisition moment is lost, the propelling speed, the total propelling force, the cutter head torque and the cutter head rotating speed acquired at the ith acquisition moment are rejected; if the propulsion speed, the total propulsion force, the cutter head torque and the cutter head rotating speed which are acquired at the ith acquisition moment are not lost, the monitoring computer stores the propulsion speed, the total propulsion force, the cutter head torque and the cutter head rotating speed which are acquired at the ith acquisition moment; wherein i is a positive integer;
202, repeating the step 201 for multiple times to obtain a tunneling parameter set;
step 203, the monitoring computer adopts an LOF algorithm to carry out abnormal elimination on the propelling speed in the tunneling parameter set, and synchronously eliminates the total propelling force, the cutter head torque and the cutter head rotating speed at the sampling moment of the abnormal propelling speed to obtain the tunneling parameter set after the first abnormal elimination;
step 204, the monitoring computer adopts an LOF algorithm to carry out abnormal elimination on the total propelling force in the tunneling parameter set, and synchronously eliminates the propelling speed, the cutter head torque and the cutter head rotating speed at the sampling moment of the abnormal total propelling force to obtain a tunneling parameter set after the second abnormal elimination;
step 205, the monitoring computer adopts an LOF algorithm to perform abnormal elimination on cutter head torque in the tunneling parameter set, and synchronously eliminates the propulsion speed, the total propulsion force and the cutter head rotating speed at the sampling moment of the abnormal cutter head torque to obtain a tunneling parameter set after the third abnormal elimination;
and step 206, the monitoring computer adopts an LOF algorithm to carry out abnormal elimination on the cutter head rotating speed in the tunneling parameter set, and synchronously eliminates the propelling speed, the total propelling force and the cutter head torque at the sampling moment of the abnormal cutter head rotating speed to obtain the preprocessed tunneling parameter data.
In this embodiment, in step 403, a median is obtained from the E tunneling indexes of the jth ring, and the median is recorded as the tunneling index of the jth ring, and the specific process is as follows:
step 4031, E tunneling indexes of the j-th ring are arranged in a descending order and are numbered as 1, and the E 'ordered tunneling indexes are recorded as TI'je′(ii) a Wherein E 'is a positive integer, and E' is more than or equal to 1 and less than or equal to E;
step 4032, when E is odd, according to formula TIj=TI′jE/2To obtain the tunneling index TI of the jth ringj(ii) a When E is even number, according to the formula
Figure BDA0003316451890000071
Obtaining the tunneling index TI of the jth ringj
In this embodiment, the value range of J in step 501 is 80-100.
In this embodiment, in step 403, the median is calculated to obtain the tunneling index TI of the jth ringjAnd the acquisition accuracy of the tunneling index is improved.
In this embodiment, it should be noted that the LOF algorithm refers to a Local Outlier Factor algorithm, which is also called a Local anomaly Factor algorithm.
In this embodiment, it should be noted that the time interval of the sub-sampling is greater than the sampling time in step two.
In conclusion, the method has simple steps and reasonable design, the tunneling index is obtained by the combined analysis of the tunneling parameters of the shield tunneling machine, and the early warning of the abnormal working condition of the tunneling state of the shield tunneling machine is realized according to the tunneling index.
The above description is only a preferred embodiment of the present invention, and is not intended to limit the present invention, and all simple modifications, changes and equivalent structural changes made to the above embodiment according to the technical spirit of the present invention still fall within the protection scope of the technical solution of the present invention.

Claims (4)

1. An abnormal working condition early warning method based on a tunneling index is characterized by comprising the following steps:
step one, shield data acquisition:
in the tunneling process of the shield tunneling machine, an SCADA system is adopted to collect tunneling parameters in real time, and the detected tunneling parameters are transmitted to a monitoring computer in real time through a communication module; wherein the tunneling parameters comprise a propelling speed, a total propelling force, a cutter head torque and a cutter head rotating speed;
step two, preprocessing shield data:
the monitoring computer carries out deletion and abnormity judgment on the propelling speed, the total propelling force, the cutter head torque and the cutter head rotating speed which are acquired at each sampling moment, and deletion and abnormity data are removed to obtain preprocessed tunneling parameter data;
step three, sampling of tunneling parameters of each ring:
301, obtaining preprocessed tunneling parameter data at each sampling moment in the jth tunneling process according to the preprocessed tunneling parameter data;
step 302, performing secondary sampling on the pre-processed tunneling parameter data at each sampling time in the jth ring tunneling process according to T intervals to obtain a 1 st sampled tunneling parameter of the jth ring, an E-th sampled tunneling parameter of the jth ring, and an E-th sampled tunneling parameter of the jth ring; wherein the value of T is 5 s-60 s, E and E are positive integers, and E is more than or equal to 1 and less than or equal to E;
step four, acquiring the tunneling index of each ring:
step 401, recording the tunneling parameter sampled at the e-th ring of the jth ring as the propelling speed V sampled at the e-th ring of the jth ringjeThe total propulsion force sampled at the e-th of the jth ring is FjeThe cutter head torque sampled at the e th ring of the j is TjeThe rotating speed of the cutter head sampled at the e-th sampling of the jth ring is nje
Step 402, according to the formula
Figure FDA0003316451880000011
Obtaining the e tunneling index TI of the jth ringje
Step 403, dig out E from the jth ringObtaining a median from the index, and recording the median as a tunneling index TI of a jth ringj
Fifthly, early warning prompt of the tunneling state of the shield tunneling machine:
step 501, according to the method in the step four, the tunneling index TI of the J-th ring is sequentially obtained in the historical normal tunneling process of the shield tunneling machinej(ii) a Wherein J and J are positive integers, and J is more than or equal to 1 and less than or equal to J;
step 502, the monitoring computer bases on the formula
Figure FDA0003316451880000021
Obtaining the average value of the tunneling indexes in the J-ring tunneling process
Figure FDA0003316451880000022
And will be
Figure FDA0003316451880000023
Recording the index of the statistical normal tunneling;
step 503, in the current tunneling process of the shield machine, acquiring the tunneling index of the current l-th tunneling ring of the shield machine according to the method in the step four, and adding the tunneling index of the current l-th tunneling ring to the tunneling index of the current l-th tunneling ring
Figure FDA0003316451880000024
Comparing, and when the tunneling index of the current tunneling first ring is larger than that of the current tunneling first ring
Figure FDA0003316451880000025
Indicating that the tunneling index of the current l-th tunneling ring is abnormal, and controlling an alarm to give an alarm and prompt by the monitoring computer;
the tunneling index of the current tunneling first ring is not more than
Figure FDA0003316451880000026
The tunneling index of the current tunneling ith ring is normal.
2. The abnormal working condition early warning method based on the tunneling index as claimed in claim 1, wherein: and in the second step, the monitoring computer carries out deletion and abnormity judgment on the propelling speed, the total propelling force, the cutter head torque and the cutter head rotating speed collected at each sampling moment, and deletes the deletion and abnormity data to obtain the preprocessed tunneling parameter data, wherein the specific process is as follows:
step 201, a monitoring computer judges whether the propelling speed, the total propelling force, the cutter head torque or the cutter head rotating speed acquired at the ith acquisition moment is lost in the tunneling process of the shield tunneling machine, and if the propelling speed, the total propelling force, the cutter head torque or the cutter head rotating speed acquired at the ith acquisition moment is lost, the propelling speed, the total propelling force, the cutter head torque and the cutter head rotating speed acquired at the ith acquisition moment are rejected; if the propulsion speed, the total propulsion force, the cutter head torque and the cutter head rotating speed which are acquired at the ith acquisition moment are not lost, the monitoring computer stores the propulsion speed, the total propulsion force, the cutter head torque and the cutter head rotating speed which are acquired at the ith acquisition moment; wherein i is a positive integer;
202, repeating the step 201 for multiple times to obtain a tunneling parameter set;
step 203, the monitoring computer adopts an LOF algorithm to carry out abnormal elimination on the propelling speed in the tunneling parameter set, and synchronously eliminates the total propelling force, the cutter head torque and the cutter head rotating speed at the sampling moment of the abnormal propelling speed to obtain the tunneling parameter set after the first abnormal elimination;
step 204, the monitoring computer adopts an LOF algorithm to carry out abnormal elimination on the total propelling force in the tunneling parameter set, and synchronously eliminates the propelling speed, the cutter head torque and the cutter head rotating speed at the sampling moment of the abnormal total propelling force to obtain a tunneling parameter set after the second abnormal elimination;
step 205, the monitoring computer adopts an LOF algorithm to perform abnormal elimination on cutter head torque in the tunneling parameter set, and synchronously eliminates the propulsion speed, the total propulsion force and the cutter head rotating speed at the sampling moment of the abnormal cutter head torque to obtain a tunneling parameter set after the third abnormal elimination;
and step 206, the monitoring computer adopts an LOF algorithm to carry out abnormal elimination on the cutter head rotating speed in the tunneling parameter set, and synchronously eliminates the propelling speed, the total propelling force and the cutter head torque at the sampling moment of the abnormal cutter head rotating speed to obtain the preprocessed tunneling parameter data.
3. The abnormal working condition early warning method based on the tunneling index as claimed in claim 1, wherein: in step 403, a median is obtained from the E tunneling indexes of the jth ring, and the median is recorded as the tunneling index of the jth ring, which includes the following specific steps:
step 4031, E tunneling indexes of the j-th ring are arranged in a descending order and are numbered as 1, and the E 'ordered tunneling indexes are recorded as TI'je′(ii) a Wherein E 'is a positive integer, and E' is more than or equal to 1 and less than or equal to E;
step 4032, when E is odd, according to formula TIj=TI′jE/2To obtain the tunneling index TI of the jth ringj(ii) a When E is even number, according to the formula
Figure FDA0003316451880000031
Obtaining the tunneling index TI of the jth ringj
4. The abnormal working condition early warning method based on the tunneling index as claimed in claim 1, wherein: the value range of J in the step 501 is 80-100.
CN202111232277.3A2021-10-222021-10-22 A method for early warning of abnormal working conditions based on tunneling indexActiveCN113869603B (en)

Priority Applications (1)

Application NumberPriority DateFiling DateTitle
CN202111232277.3ACN113869603B (en)2021-10-222021-10-22 A method for early warning of abnormal working conditions based on tunneling index

Applications Claiming Priority (1)

Application NumberPriority DateFiling DateTitle
CN202111232277.3ACN113869603B (en)2021-10-222021-10-22 A method for early warning of abnormal working conditions based on tunneling index

Publications (2)

Publication NumberPublication Date
CN113869603Atrue CN113869603A (en)2021-12-31
CN113869603B CN113869603B (en)2024-11-12

Family

ID=78997252

Family Applications (1)

Application NumberTitlePriority DateFiling Date
CN202111232277.3AActiveCN113869603B (en)2021-10-222021-10-22 A method for early warning of abnormal working conditions based on tunneling index

Country Status (1)

CountryLink
CN (1)CN113869603B (en)

Cited By (3)

* Cited by examiner, † Cited by third party
Publication numberPriority datePublication dateAssigneeTitle
CN113982600A (en)*2021-10-222022-01-28中铁一局集团有限公司 An early warning method for abnormal working conditions based on idle torque
CN114493057A (en)*2022-04-182022-05-13希望知舟技术(深圳)有限公司Production process parameter recommendation method based on abnormal working conditions and related equipment
CN115578841A (en)*2022-09-292023-01-06中铁一局集团有限公司Shield abnormal data detection method and system based on Z-score model

Citations (6)

* Cited by examiner, † Cited by third party
Publication numberPriority datePublication dateAssigneeTitle
CN1108349A (en)*1994-03-071995-09-13藤田株式会社Suporting structure
AU2014250611A1 (en)*2006-09-052014-11-06Cfph, LlcGame apparatus for displaying information about a game
CN107885899A (en)*2017-06-062018-04-06中铁隧道集团有限公司A kind of shield TBM unnelling performancet integrated evaluating methods
CN107893664A (en)*2017-11-102018-04-10中铁工程装备集团有限公司A kind of double-shielded TBM shield body card machine Forecasting Methodology and system
CN110359919A (en)*2019-07-262019-10-22中铁隧道局集团有限公司A kind of shield machine construction risk prevention system method and system
CN111706334A (en)*2020-06-292020-09-25盾构及掘进技术国家重点实验室Method for monitoring abnormal torque of cutter head of shield tunneling machine in real time

Patent Citations (6)

* Cited by examiner, † Cited by third party
Publication numberPriority datePublication dateAssigneeTitle
CN1108349A (en)*1994-03-071995-09-13藤田株式会社Suporting structure
AU2014250611A1 (en)*2006-09-052014-11-06Cfph, LlcGame apparatus for displaying information about a game
CN107885899A (en)*2017-06-062018-04-06中铁隧道集团有限公司A kind of shield TBM unnelling performancet integrated evaluating methods
CN107893664A (en)*2017-11-102018-04-10中铁工程装备集团有限公司A kind of double-shielded TBM shield body card machine Forecasting Methodology and system
CN110359919A (en)*2019-07-262019-10-22中铁隧道局集团有限公司A kind of shield machine construction risk prevention system method and system
CN111706334A (en)*2020-06-292020-09-25盾构及掘进技术国家重点实验室Method for monitoring abnormal torque of cutter head of shield tunneling machine in real time

Non-Patent Citations (1)

* Cited by examiner, † Cited by third party
Title
张大鑫;: "复杂地质条件下泥水式盾构掘进数据分析", 海峡科技与产业, no. 01, 15 January 2019 (2019-01-15)*

Cited By (5)

* Cited by examiner, † Cited by third party
Publication numberPriority datePublication dateAssigneeTitle
CN113982600A (en)*2021-10-222022-01-28中铁一局集团有限公司 An early warning method for abnormal working conditions based on idle torque
CN113982600B (en)*2021-10-222023-12-22中铁一局集团有限公司Abnormal working condition early warning method based on idle torque
CN114493057A (en)*2022-04-182022-05-13希望知舟技术(深圳)有限公司Production process parameter recommendation method based on abnormal working conditions and related equipment
CN115578841A (en)*2022-09-292023-01-06中铁一局集团有限公司Shield abnormal data detection method and system based on Z-score model
CN115578841B (en)*2022-09-292025-02-11中铁一局集团有限公司 Shield abnormal data detection method and system based on Z-score model

Also Published As

Publication numberPublication date
CN113869603B (en)2024-11-12

Similar Documents

PublicationPublication DateTitle
CN113869603A (en) A kind of abnormal working condition early warning method based on excavation index
CN109489977B (en) Bearing fault diagnosis method based on KNN-AdaBoost
CN110008565B (en) Prediction method of abnormal working condition of industrial process based on correlation analysis of operating parameters
CN111322082B (en) A TBM hob condition monitoring and fault diagnosis method and system
CN103969052B (en)Diagnosis Method of Diesel Fault based on Outlier Analysis
CN113157732A (en)Underground scraper fault diagnosis method based on PSO-BP neural network
CN103439091A (en)Method and system for early warning and diagnosing water turbine runner blade crack breakdown
CN114707669A (en)Hob fault diagnosis model training method, diagnosis device and electronic equipment
CN111125895B (en) An online evaluation method for the service power characteristics of the whole wind turbine
CN118336877B (en)Battery charging large model anomaly identification method based on electric power fingerprint
CN114738132B (en) Supercharger speed sensor fault diagnosis method and system based on real ship data
CN110412966A (en) Method and device for monitoring abnormal temperature of pitch motor
CN107025355A (en)A kind of ship fault diagnosis method and system based on fuzzy nearness
CN118092401A (en)Underground coal mine equipment fault diagnosis and predictive maintenance platform
CN118959087A (en) An intelligent monitoring method for shield machine tool wear
CN115578841A (en)Shield abnormal data detection method and system based on Z-score model
CN113159503B (en) A remote control intelligent safety assessment system and method
CN115718262A (en)Power battery sampling abnormal risk identification method and fault judgment method
CN111706334B (en)Method for monitoring abnormal torque of cutter head of shield tunneling machine in real time
CN115687444B (en) A shield TBM cutter edge cutter damage early warning method
CN116304636B (en)Elevator top-rushing accident dynamic prediction method and system based on fault tree
CN113982600B (en)Abnormal working condition early warning method based on idle torque
CN115001138A (en)Main network maintenance single-start completion automatic permission system and method for power system
CN101464224A (en)Detection system for pneumatic caisson equipment performance
CN219654743U (en)Shield circulation system blockage early warning system

Legal Events

DateCodeTitleDescription
PB01Publication
PB01Publication
SE01Entry into force of request for substantive examination
SE01Entry into force of request for substantive examination
GR01Patent grant
GR01Patent grant

[8]ページ先頭

©2009-2025 Movatter.jp