Movatterモバイル変換


[0]ホーム

URL:


CN113868951A - A method of intelligently judging the best timing for drilling short trips - Google Patents

A method of intelligently judging the best timing for drilling short trips
Download PDF

Info

Publication number
CN113868951A
CN113868951ACN202111144394.4ACN202111144394ACN113868951ACN 113868951 ACN113868951 ACN 113868951ACN 202111144394 ACN202111144394 ACN 202111144394ACN 113868951 ACN113868951 ACN 113868951A
Authority
CN
China
Prior art keywords
short
drilling
logging
parameters
values
Prior art date
Legal status (The legal status is an assumption and is not a legal conclusion. Google has not performed a legal analysis and makes no representation as to the accuracy of the status listed.)
Granted
Application number
CN202111144394.4A
Other languages
Chinese (zh)
Other versions
CN113868951B (en
Inventor
梁海波
李冬梅
杨海
Current Assignee (The listed assignees may be inaccurate. Google has not performed a legal analysis and makes no representation or warranty as to the accuracy of the list.)
Southwest Petroleum University
Original Assignee
Southwest Petroleum University
Priority date (The priority date is an assumption and is not a legal conclusion. Google has not performed a legal analysis and makes no representation as to the accuracy of the date listed.)
Filing date
Publication date
Application filed by Southwest Petroleum UniversityfiledCriticalSouthwest Petroleum University
Priority to CN202111144394.4ApriorityCriticalpatent/CN113868951B/en
Publication of CN113868951ApublicationCriticalpatent/CN113868951A/en
Application grantedgrantedCritical
Publication of CN113868951BpublicationCriticalpatent/CN113868951B/en
Activelegal-statusCriticalCurrent
Anticipated expirationlegal-statusCritical

Links

Images

Classifications

Landscapes

Abstract

Translated fromChinese

本发明涉及短起钻井技术领域,公开了一种智能化判断钻井短起最佳时机的方法,S01:获取跟钻屑堆积有关的录井相关参数,对各录井相关参数进行关联归一处理;S02:建立相关录井参数正常值预测模型,利用模型获得相关录井参数正常值;S03:计算录井参数的融合偏差值,将预测的部分录井参数正常值跟实际参数测量值进行对比,计算出融合偏差值ΔSTF;S04:判断是否需要短起,根据融合偏差值ΔSTF,判断是否需要短起;S05:评价短起效果,将进行短起后的部分录井参数跟预测模型正常值比较,通过融合偏差程度评价短起效果,并且在短起之后删除参数测量异常值。本发明能够准确判断短起时机,大大提高了短起的效率,极大地降低了钻井成本,稳定性强,反应速度快。

Figure 202111144394

The invention relates to the technical field of short-trip drilling, and discloses a method for intelligently judging the best timing for short-trip drilling. S01: Acquire logging-related parameters related to drilling cuttings accumulation, and perform correlation and normalization processing on each logging-related parameter ; S02: Establish a prediction model for the normal value of the relevant logging parameters, and use the model to obtain the normal value of the relevant logging parameters; S03: Calculate the fusion deviation value of the logging parameters, and compare the predicted normal values of some logging parameters with the actual parameter measurement values. , calculate the fusion deviation value ΔSTF ; S04: judge whether short-running is required, according to the fusion deviation value ΔSTF , determine whether short-running is required; S05: evaluate the short-running effect, and perform some logging parameters after the short-running and the prediction model. Comparison of normal values, evaluating the effect of short rise by the degree of fusion deviation, and deleting abnormal values of parameter measurement after short rise. The invention can accurately judge the timing of short start, greatly improves the efficiency of short start, greatly reduces drilling cost, and has strong stability and fast response speed.

Figure 202111144394

Description

Method for intelligently judging optimal drilling short-start time
Technical Field
The invention relates to the technical field of short tripping drilling, and particularly discloses a method for intelligently judging the optimal time of short tripping of drilling.
Background
An important objective of drilling is to increase the drilling rate, shorten the drilling and completion time, and minimize the drilling cost, thereby increasing the economic efficiency. Drilling cuttings are inevitably generated in the drilling process, excessive drilling cuttings are accumulated to cause drill sticking, so that drilling is difficult, termination even well kick, blowout and other safety accidents can be caused, unnecessary drilling and completion time is increased, and huge economic loss is caused. In order to solve the problem of drill sticking caused by the accumulation of drill cuttings and avoid more serious accidents caused by drill sticking, an effective method for solving the problem is urgently needed.
According to the literature, short-lift rock debris accumulation removal is a very effective method, but the short-lift cost is high, each short-lift cost is higher than the previous cost, the number of short-lifts needs to be strictly controlled, and the time which is most suitable for the short-lift needs to be found to reduce the drilling cost. The best opportunity for shortfalls is when the build-up of cuttings in the well is sufficient to cause sticking and drilling difficulties, and the wellbore pressure is less than the formation pressure. Finding the best time to start short is not the best way to improve drilling efficiency and reduce costs. The accumulation of drilling cuttings is related to poor well cleaning effect caused by low return rate of rock cuttings and rock cuttings generated in the drilling process, the return of the rock cuttings is directly related to the migration length of the rock cuttings, the migration length of the rock cuttings is related to the flow rate of drilling fluid, the annular speed and the fluid turbulence state, parameters are controlled to enable the well to be in a dynamic cleaning state all the time, the well cleaning effect is enabled to be optimal all the time, and the drilling is shortened until the rock cuttings which cannot be returned by the annular speed are accumulated to the extent that the drilling sticking is caused or the pressure of a shaft is lower than the formation pressure, so that the method is the optimal method for reducing the short-start times. The methods for cleaning the well and judging the cleaning state of the well are abundant and complete, the research for removing rock debris by short-rise is few, and whether the short-rise is needed or not is basically judged by experience, so that the time for accurately judging the short-rise cannot be realized.
Disclosure of Invention
The invention aims to provide a method for intelligently judging the optimal time of short start of a drilling well, and aims to solve the problem that the time of short start cannot be accurately judged.
In order to achieve the above object, the basic scheme of the invention is as follows: a method for intelligently judging the optimal time of drilling shortstart comprises the following steps:
s01: obtaining logging related parameters related to cuttings accumulation
Performing correlation normalization processing on relevant parameters of each logging to obtain relevant actual measurement parameter values;
s02: establishing a prediction model of normal values of related logging parameters
Obtaining normal values of related logging parameters by using the model;
s03: calculating a fusion deviation value for logging parameters
Comparing the predicted normal values of partial logging parameters with the measured values of relevant actual parameters, and calculating a fusion deviation value deltaSTF
S04: judging whether a short start is needed
According to the fusion deviation value deltaSTFJudging whether the short start is needed;
s05: evaluation of short onset fruits
And comparing the partial logging parameters after the short start with the normal values of the prediction model, evaluating the short start effect by fusing the deviation degrees, and deleting the parameter measurement abnormal values after the short start.
Further, in S01, the logging related parameters include hook load, hook height, riser pressure, measurement well depth, vertical well depth, drill bit measurement depth, and drill bit vertical depth.
Further, in S02, the established model is a generalized regression neural network model based on a forest optimization algorithm, the model inputs are the measured well depth, the vertical well depth, the drill bit measured depth, and the drill bit vertical depth, and the model outputs are the hook load, the hook height, and the riser pressure.
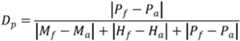
Further, in S03, after obtaining the normal value and the actual measurement value of the logging parameter, the fusion deviation value Δ is calculated by the following formulaSTF
Figure BDA0003284827730000021
Figure BDA0003284827730000022
Figure BDA0003284827730000023
Figure BDA0003284827730000024
DmWeight of hook load, DhWeight of hook height, DpIs the weight of the casing pressure, MfPrediction of normal value for hook load, MaFor actual measurement of hook load, HfPrediction of normal value for hook height, HaFor actual measurement of hook height, PfPredicting a normal value, P, for casing pressureaIs the actual measurement of casing pressure.
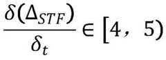
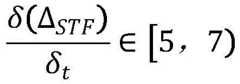
Further, in S04, the fusion deviation value is related to the drill cuttings accumulation degree and the wellbore pressure, and can directly reflect the drilling condition, and determine whether the drilling condition needs to be shortened, where the relationship is as follows:
Figure BDA0003284827730000031
the drilling is safe without short-time lifting;
Figure BDA0003284827730000032
the annular flow is required to be adjusted, and drilling can be continued;
Figure BDA0003284827730000033
a short start is required.
Further, in S05, the fusion deviation degree and the short-onset effect are related as follows:
Figure BDA0003284827730000034
the short-acting fruit is excellent;
Figure BDA0003284827730000035
short onset of action is better;
Figure BDA0003284827730000036
short onset and poor effect.
The principle and the beneficial effects of the invention are as follows: (1) in the scheme, the short starting time is judged through the related parameters instead of through experience judgment, and compared with the existing mode, the short starting time is more accurate.
(2) In the scheme, the generalized regression neural network based on the forest optimization algorithm is used for predicting normal values of part of parameters under abnormal conditions, and the abnormal values are deleted after each short start, so that the accuracy of the predicted normal values is ensured;
(3) in the scheme, the bottom hole drilling state can be accurately reflected by calculating the weighted sum of the fusion deviation values of three parameters of hook load, hook height and casing pressure, the fusion deviation values are derived, and whether the short start is needed or not and the annular flow is controlled or not is judged; and finally, judging the effect of the short start by fusing deviation value derivation. Compared with the prior art, the scheme greatly reduces the short-rise times, greatly improves the short-rise efficiency, greatly reduces the drilling cost, and has strong stability and high reaction speed.
Of course, the application does not necessarily require that all of the above-described technical effects be achieved at the same time.
Drawings
FIG. 1 is a flow chart in an embodiment of the invention;
FIG. 2 is a schematic diagram of a short start scenario in an embodiment of the present invention;
FIG. 3 is a short kick logging actual value in an embodiment of the present invention;
FIG. 4 is a short kick prediction value in an embodiment of the present invention.
Detailed Description
The technical solutions in the embodiments of the present invention will be clearly and completely described below with reference to the drawings in the embodiments of the present invention, and it is obvious that the described embodiments are only a part of the embodiments of the present invention, and not all of the embodiments.
In the description of the present invention, it is to be understood that the terms "upper", "lower", "front", "rear", "left", "right", "top", "bottom", "inner", "outer", and the like, indicate orientations or positional relationships based on the orientations or positional relationships shown in the drawings, are merely for convenience in describing the present invention and simplifying the description, and do not indicate or imply that the device or element being referred to must have a particular orientation, be constructed and operated in a particular orientation, and thus, should not be construed as limiting the present invention.
Reference numerals in the drawings of the specification include:drill pipe 1,borehole 2,annulus 3,drill bit 4.
Example (b):
substantially as shown in figure 1: a method for intelligently judging the optimal time of drilling shortstart comprises the following steps:
s01: acquiring logging related parameters related to drill chip accumulation, in the embodiment, as shown in fig. 2, for an actual working condition, anannulus 3 is formed between thedrill rod 1 and thedrill bit 4 and theborehole 2, rock debris is generated in the drilling process, and even if the annulus flow is changed to clean the borehole, larger rock debris is deposited. In this embodiment, the comprehensive logging system is used to collect the measurement well depth, the vertical well depth, the drill bit measurement depth, the drill bit vertical depth, the hook load, the hook height, and the riser pressure parameters related to the accumulation of drill cuttings, and perform correlation normalization processing on the relevant logging parameters to obtain the relevant actual measurement parameters.
S02: establishing a generalized regression neural network model based on a forest optimization algorithm to predict and obtain normal values of related logging parameters, specifically 50000 groups of training data, replacing all measured abnormal data with normal values, and optimizing smooth parameters of the generalized regression neural network through the forest optimization algorithm, so that the prediction accuracy of output parameters is greatly improved, and predicted values of the output parameters are all normal values. In this embodiment, the model inputs are the measured well depth, the vertical well depth, the drill bit measured depth, and the drill bit vertical depth, and the model outputs are the hook load, the hook height, and the riser pressure. As shown in fig. 3 and 4. (A/B/C is respectively vertical pipe pressure, hook load and hook height)
S03: comparing the predicted normal value of the relevant logging parameters with the actual measurement parameters, and calculating a fusion deviation value deltaSTFThe specific calculation method is as follows:
Figure BDA0003284827730000051
Figure BDA0003284827730000052
Figure BDA0003284827730000053
Figure BDA0003284827730000054
Dmweight of hook load, DhRight of hook heightValue, DpIs the weight of the casing pressure, MfPrediction of normal value for hook load, MaFor actual measurement of hook load, HfPrediction of normal value for hook height, HaFor actual measurement of hook height, PfPredicting a normal value, P, for casing pressureaIs the actual measurement of casing pressure.
S04: according to the fusion deviation value deltaSTFJudging whether the starting is needed to be shortened or not, wherein the relation is as follows:
Figure BDA0003284827730000055
the drilling is safe without short-time lifting;
Figure BDA0003284827730000056
the annular flow is required to be adjusted, and drilling can be continued;
Figure BDA0003284827730000057
a short start is required.
S05: and comparing the related logging parameters after the short start with normal values, and evaluating the short start effect by fusing the deviation degree, wherein the relationship between the fusion deviation degree and the short start effect is as follows:
Figure BDA0003284827730000058
the short-acting fruit is excellent;
Figure BDA0003284827730000059
short onset of action is better;
Figure BDA0003284827730000061
short onset and poor effect.
In summary, the following steps: in the embodiment, the short-time starting opportunity is judged through the related parameters instead of through experience judgment, and compared with the existing mode, the short-time starting opportunity is more accurate.
In the embodiment, the generalized regression neural network based on the forest optimization algorithm is used for predicting normal values of part of parameters under abnormal conditions, and the abnormal values are deleted after each short start, so that the accuracy of the predicted normal values is ensured;
in the embodiment, the bottom hole drilling state can be accurately reflected by calculating the weighted sum of the fusion deviation values of the three parameters of the hook load, the hook height and the casing pressure, the fusion deviation value is derived, and whether the short start is needed or not and the annular flow is controlled or not is judged; and finally, judging the effect of the short start by fusing deviation value derivation. Compared with the prior art, the scheme greatly reduces the number of short-rise times, greatly improves the short-rise efficiency, greatly reduces the drilling cost, and has strong stability and fast reaction speed
The foregoing is merely an example of the present invention and common general knowledge in the art of specific structures and/or features of the invention has not been set forth herein in any way. It should be noted that, for those skilled in the art, without departing from the structure of the present invention, several changes and modifications can be made, which should also be regarded as the protection scope of the present invention, and these will not affect the effect of the implementation of the present invention and the practicability of the patent. The scope of the claims of the present application shall be determined by the contents of the claims, and the description of the embodiments and the like in the specification shall be used to explain the contents of the claims.

Claims (6)

1. A method for intelligently judging the optimal time of drilling short start is characterized in that: the method comprises the following steps:
s01: obtaining logging related parameters related to cuttings accumulation
Performing correlation normalization processing on relevant parameters of each logging to obtain relevant actual parameter measurement values;
s02: establishing a prediction model of normal values of related logging parameters
Obtaining normal values of related logging parameters by using the model;
s03: calculating a fusion deviation value for logging parameters
Comparing the predicted normal values of partial logging parameters with the measured values of relevant actual parameters, and calculating a fusion deviation value deltaSTF
S04: judging whether a short start is needed
According to the fusion deviation value deltaSTFJudging whether the short start is needed;
s05: evaluation of short onset fruits
And comparing the partial logging parameters after the short start with the normal values of the prediction model, evaluating the short start effect by fusing the deviation degrees, and deleting the parameter measurement abnormal values after the short start.
2. The method for intelligently judging the best time for drilling shortfall according to claim 1, wherein the method comprises the following steps: and in the S01, the logging related parameters comprise hook load, hook height, riser pressure, measurement well depth, vertical well depth, drill bit measurement depth and drill bit vertical depth.
3. The method for intelligently judging the best time for drilling shortfall according to claim 2, wherein the method comprises the following steps: in the S02, the established model is a generalized regression neural network model based on a forest optimization algorithm, the model inputs are the measured well depth, the vertical well depth, the drill bit measured depth and the drill bit vertical depth, and the model outputs are the hook load, the hook height and the riser pressure.
4. The method for intelligently judging the best time for drilling shortfall according to claim 3, wherein the method comprises the following steps: in S03, after the normal value and the actual measured value of the logging parameter are obtained, the fusion deviation value delta is calculated through the following formulaSTF
Figure FDA0003284827720000011
Figure FDA0003284827720000012
Figure FDA0003284827720000013
Figure FDA0003284827720000014
DmWeight of hook load, DhWeight of hook height, DpIs the weight of the casing pressure, MfPrediction of normal value for hook load, MaFor actual measurement of hook load, HfPrediction of normal value for hook height, HaFor actual measurement of hook height, PfPredicting a normal value, P, for casing pressureaIs the actual measurement of casing pressure.
5. The method for intelligently judging the best time for drilling shortfall according to claim 4, wherein the method comprises the following steps: in the step S04, the fusion deviation value is related to the accumulation degree of drill cuttings and the wellbore pressure, and can directly reflect the drilling condition, and determine whether the drilling condition needs to be shortened, and the relationship is as follows:
Figure FDA0003284827720000021
the drilling is safe without short-time lifting;
Figure FDA0003284827720000022
the annular flow is required to be adjusted, and drilling can be continued;
Figure FDA0003284827720000023
a short start is required.
6. The method for intelligently judging the best time for drilling shortfall according to claim 5, wherein the method comprises the following steps: in S05, the fusion deviation degree and the short-onset effect are related as follows:
Figure FDA0003284827720000024
the short-acting fruit is excellent;
Figure FDA0003284827720000025
short onset of action is better;
Figure FDA0003284827720000026
short onset and poor effect.
CN202111144394.4A2021-09-282021-09-28 A method for intelligently judging the best time for drilling short startActiveCN113868951B (en)

Priority Applications (1)

Application NumberPriority DateFiling DateTitle
CN202111144394.4ACN113868951B (en)2021-09-282021-09-28 A method for intelligently judging the best time for drilling short start

Applications Claiming Priority (1)

Application NumberPriority DateFiling DateTitle
CN202111144394.4ACN113868951B (en)2021-09-282021-09-28 A method for intelligently judging the best time for drilling short start

Publications (2)

Publication NumberPublication Date
CN113868951Atrue CN113868951A (en)2021-12-31
CN113868951B CN113868951B (en)2024-12-10

Family

ID=78992027

Family Applications (1)

Application NumberTitlePriority DateFiling Date
CN202111144394.4AActiveCN113868951B (en)2021-09-282021-09-28 A method for intelligently judging the best time for drilling short start

Country Status (1)

CountryLink
CN (1)CN113868951B (en)

Cited By (2)

* Cited by examiner, † Cited by third party
Publication numberPriority datePublication dateAssigneeTitle
CN116008510A (en)*2023-01-172023-04-25中国石油大学(北京)Intelligent measuring device and method for axial and cross-section distribution of rock debris bed of shaft
WO2024072490A1 (en)*2022-09-262024-04-04Landmark Graphics CorporationPack off indicator for a wellbore operation

Citations (4)

* Cited by examiner, † Cited by third party
Publication numberPriority datePublication dateAssigneeTitle
CN104481398A (en)*2014-12-102015-04-01中国石油化工股份有限公司Three-dimensional (3D) horizontal well drilling construction method
CN110857626A (en)*2018-08-142020-03-03中国石油天然气股份有限公司While-drilling pressure prediction method and device based on comprehensive logging parameters and storage medium
US20200386066A1 (en)*2019-06-062020-12-10Weatherford Technology Holdings, LlcDrilling System and Method Using Calibrated Pressure Losses
EP3833843A1 (en)*2019-05-082021-06-16Bentec GmbH Drilling & Oilfield SystemsOnshore drilling rig and method for moving a top drive in a drill mast of an onshore drilling rig

Patent Citations (4)

* Cited by examiner, † Cited by third party
Publication numberPriority datePublication dateAssigneeTitle
CN104481398A (en)*2014-12-102015-04-01中国石油化工股份有限公司Three-dimensional (3D) horizontal well drilling construction method
CN110857626A (en)*2018-08-142020-03-03中国石油天然气股份有限公司While-drilling pressure prediction method and device based on comprehensive logging parameters and storage medium
EP3833843A1 (en)*2019-05-082021-06-16Bentec GmbH Drilling & Oilfield SystemsOnshore drilling rig and method for moving a top drive in a drill mast of an onshore drilling rig
US20200386066A1 (en)*2019-06-062020-12-10Weatherford Technology Holdings, LlcDrilling System and Method Using Calibrated Pressure Losses

Non-Patent Citations (1)

* Cited by examiner, † Cited by third party
Title
吴绪虎;袁俊;: "综合录井技术在安全钻井生产中的应用", 价值工程, no. 18, 28 June 2020 (2020-06-28)*

Cited By (4)

* Cited by examiner, † Cited by third party
Publication numberPriority datePublication dateAssigneeTitle
WO2024072490A1 (en)*2022-09-262024-04-04Landmark Graphics CorporationPack off indicator for a wellbore operation
US12378871B2 (en)2022-09-262025-08-05Landmark Graphics CorporationPack off indicator for a wellbore operation
GB2638569A (en)*2022-09-262025-08-27Landmark Graphics CorpPack off indicator for a wellbore operation
CN116008510A (en)*2023-01-172023-04-25中国石油大学(北京)Intelligent measuring device and method for axial and cross-section distribution of rock debris bed of shaft

Also Published As

Publication numberPublication date
CN113868951B (en)2024-12-10

Similar Documents

PublicationPublication DateTitle
CN105089620B (en)Monitoring system, the method and device of bit freezing
CN112627733A (en)Method and equipment for optimizing hydraulic parameters of deepwater pressure-controlled drilling in real time
CN113868951A (en) A method of intelligently judging the best timing for drilling short trips
CN113062731A (en) An intelligent identification method for complex working conditions in drilling wells
CN114352255B (en)Method and device for monitoring state of oil and gas drilling shaft
CN110795853A (en)Early overflow horizon while-drilling identification method in oil and gas drilling process
CN114444823A (en) A method and system for predicting lost circulation risk during drilling operations
CN107292754A (en)A kind of drilling risk forecasting system
CN117035197B (en) A cost-minimizing intelligent prediction method for lost circulation
WO2019010036A1 (en)Drilling tubular identification
CN116066062A (en) A real-time early warning method for stuck pipe based on abnormal diagnosis of parameter variation trend
CN111598366A (en)Real-time drilling auxiliary decision-making method and system
CN113129157B (en) A real-time early warning method for downhole stuck drill failures in long water sections of shale gas
CN119914244A (en) A chip device for integrated control of electric workover rig
CN118653819B (en)Anti-collision risk control system and method for directional well drilling
CN118861564B (en)New energy power generation equipment monitoring method and system based on big data
CN107944127A (en)A kind of definite method of pit mining subsidence parameter flex point offset distance
CN119572208A (en)Method, device, equipment and medium for monitoring drilling working conditions
CN117588195A (en) A working condition identification method
CN118423015A (en) Drilling tripping overflow and leakage identification method and system based on unsupervised learning
CN117077060A (en)Shale gas well lost circulation early warning method and device, electronic equipment and storage medium
CN111625916A (en)Method and system for calculating stability value of well wall
CN116411921A (en) Early warning method and device for drilling tool jamming
CN120235016A (en) A drilling drill stuck early warning method, device, equipment and readable storage medium
CN118551180B (en)Horizontal well annulus cuttings concentration prediction method and device and storage medium

Legal Events

DateCodeTitleDescription
PB01Publication
PB01Publication
SE01Entry into force of request for substantive examination
SE01Entry into force of request for substantive examination
GR01Patent grant
GR01Patent grant

[8]ページ先頭

©2009-2025 Movatter.jp