






技术领域technical field
本发明涉及电网调度技术领域,尤其涉及一种电力系统调度业务辅助决策方法、系统、装置和存储介质。The present invention relates to the technical field of power grid dispatching, in particular to an auxiliary decision-making method, system, device and storage medium for power system dispatching business.
背景技术Background technique
在当前能源变革与电力市场改革的新形势下,随着可再生能源、柔性负荷、储能等资源渗透率不断增加,电网调度对象类型和数量呈指数级增加,电网运行方式的不确定性显著增强。受制于预测误差、边界条件、数学模型、优化算法等条件限制,在实际调度中时常出现分析结果与实际电网情况差异较大、优化结果无解或求解时间过长等问题,电网调度不再是简单的多目标优化计算,而是依据调度软件计算结果人工再分析、调整和验证的过程,人工决策的过程常常花费较长时间,效率较低,电力系统最优调度决策的复杂度急遽增加。Under the new situation of the current energy transformation and power market reform, with the increasing penetration rate of resources such as renewable energy, flexible loads, and energy storage, the types and numbers of grid dispatching objects are increasing exponentially, and the uncertainty of grid operation is significant. enhanced. Constrained by prediction errors, boundary conditions, mathematical models, optimization algorithms and other conditions, in actual dispatching, there are often problems such as large differences between analysis results and actual power grid conditions, optimization results without solutions, or too long solution times. Power grid dispatching is no longer a problem. The simple multi-objective optimization calculation is a process of manual reanalysis, adjustment and verification based on the calculation results of the dispatching software. The manual decision-making process often takes a long time and has low efficiency. The complexity of the optimal dispatching decision of the power system increases rapidly.
发明内容Contents of the invention
为至少一定程度上解决现有技术中存在的技术问题之一,本发明的目的在于提供一种电力系统调度业务辅助决策方法、系统、装置和存储介质。In order to solve one of the technical problems in the prior art at least to a certain extent, the object of the present invention is to provide an auxiliary decision-making method, system, device and storage medium for power system dispatching business.
本发明所采用的技术方案是:The technical scheme adopted in the present invention is:
一种电力系统调度业务辅助决策方法,包括以下步骤:A power system dispatching business auxiliary decision-making method, comprising the following steps:
获取多断面下的电力系统的运行方式数据;Obtain the operation mode data of the power system under multiple sections;
根据所述运行方式数据构建电力系统的知识图谱;Constructing a knowledge map of the power system according to the operation mode data;
根据所述知识图谱辅助调度决策的选择;Auxiliary scheduling decision-making selection according to the knowledge map;
其中,所述知识图谱基于调度时刻上的数据不断更新;根据知识图谱获取节点与节点之间电气量变化,以及节点上的电气量的变化。Wherein, the knowledge graph is continuously updated based on the data at the scheduling time; the change of electrical quantity between nodes and the change of electrical quantity on the node is obtained according to the knowledge graph.
进一步,所述运行方式数据是以调度时刻为时间粒度的高维度、非线性多断面运行仿真数据,所述运行方式数据包括电力系统最优潮流数据、节点负荷有功需求、风机输出功率。Further, the operation mode data is high-dimensional, non-linear multi-section operation simulation data with scheduling time as the time granularity, and the operation mode data includes power system optimal power flow data, node load active power demand, and fan output power.
进一步,所述运行方式数据的表达式为:Further, the expression of the operation mode data is:
p=Nday(g(num_gen)×T,r(num_renew)×T,f(num_branch)×T,d(num_bus)×T)p=Nday (g(num_gen)×T ,r(num_renew)×T ,f(num_branch)×T ,d(num_bus)×T )
其中,g表示电力系统最优潮流的发电机组出力;r表示接入的风机输出功率;f表示力系统最优潮流的线路潮流;d表示网络节点负荷有功需求;T表示每天的观测断面数;Nday表示仿真数据组数,用于模拟系统运行天数。Among them, g represents the output power of the generator set with the optimal power flow of the power system; r represents the output power of the connected wind turbine; f represents the line flow of the optimal power flow of the force system; d represents the active demand of the network node load; T represents the number of observation sections per day; Nday represents the number of simulation data sets, which is used to simulate the number of days the system runs.
进一步,所述运行方式数据通过多断面运行方式仿真数据获取模型进行获取,所述多断面运行方式仿真数据获取模型通过以下方式构建获得:Further, the operation mode data is acquired through a multi-section operation mode simulation data acquisition model, and the multi-section operation mode simulation data acquisition model is constructed and obtained in the following manner:
以IEEE39节点系统作为仿真模型的基础,在39节点中接入工业负荷、商业负荷、居民负荷以及风力新能源;Taking the IEEE39 node system as the basis of the simulation model, industrial loads, commercial loads, residential loads and wind new energy are connected to the 39 nodes;
确定模型的目标函数和约束条件,以及优化模型的变量。Determine the objective function and constraints for the model, and optimize the variables for the model.
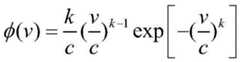
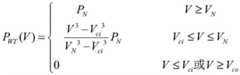
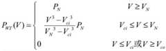
进一步,所述风力新能源对应的数学模型为:Further, the mathematical model corresponding to the wind power new energy is:
其中,V表示风机轮毂高度处的风速,Vci表示风机切入风速,Vco表示风机的切出风速,VN表示额定风速,PN表示风机的额定输出功率,PWT表示风机实际的输出功率。Among them, V represents the wind speed at the hub height of the fan, Vci represents the cut-in wind speed of the fan, Vco represents the cut-out wind speed of the fan, VN represents the rated wind speed, PN represents the rated output power of the fan, and PWT represents the actual output power of the fan .
进一步,所述目标函数为包括发电机机组出力在内的电力系统运行成本,需要最小化目标函数以实现优化调度;Further, the objective function is the operating cost of the power system including the output of the generator set, and the objective function needs to be minimized to achieve optimal scheduling;
所述约束条件包括功率平衡约束、潮流方程约束以及运行方式可靠性、可行性约束;The constraints include power balance constraints, power flow equation constraints, reliability of operation mode, and feasibility constraints;
其中,所述运行方式可靠性、可行性约束包括:发电机出力上下限约束、线路传输功率即断面上下限约束、节点电压允许偏移范围约束、节点相角允许偏移范围约束、机组爬坡出力约束。Wherein, the operating mode reliability and feasibility constraints include: generator output upper and lower limit constraints, line transmission power and section upper and lower limit constraints, node voltage allowable offset range constraints, node phase angle allowable offset range constraints, unit climbing Constraints on effort.
进一步,所述根据所述运行方式数据构建电力系统的知识图谱,包括:Further, the constructing the knowledge map of the power system according to the operation mode data includes:
根据所述运行方式数据,结合其他电网调度业务数据,通过python软件和neo4j软件构建电力系统的动态知识图谱;According to the operation mode data, combined with other power grid dispatching business data, a dynamic knowledge map of the power system is constructed through python software and neo4j software;
其中,其他电网调度业务数据包括调度规程、历史案例以及经验数据。Among them, other power grid dispatching business data include dispatching regulations, historical cases and empirical data.
本发明所采用的另一技术方案是:Another technical scheme adopted in the present invention is:
一种电力系统调度业务辅助决策系统,包括:An auxiliary decision-making system for power system dispatching business, comprising:
数据获取模块,用于获取多断面下的电力系统的运行方式数据;The data acquisition module is used to acquire the operation mode data of the power system under multiple sections;
图谱构建模块,用于根据所述运行方式数据构建电力系统的知识图谱;A map construction module, configured to construct a knowledge map of the power system according to the operation mode data;
决策辅助模块,用于根据所述知识图谱辅助调度决策的选择;A decision-making assistance module, configured to assist in the selection of scheduling decisions according to the knowledge graph;
其中,所述知识图谱基于调度时刻上的数据不断更新;根据知识图谱获取节点与节点之间电气量变化,以及节点上的电气量的变化。Wherein, the knowledge graph is continuously updated based on the data at the scheduling time; the change of electrical quantity between nodes and the change of electrical quantity on the node is obtained according to the knowledge graph.
本发明所采用的另一技术方案是:Another technical scheme adopted in the present invention is:
一种电力系统调度业务辅助决策装置,包括:An auxiliary decision-making device for power system dispatching business, comprising:
至少一个处理器;at least one processor;
至少一个存储器,用于存储至少一个程序;at least one memory for storing at least one program;
当所述至少一个程序被所述至少一个处理器执行,使得所述至少一个处理器实现上所述方法。When the at least one program is executed by the at least one processor, the at least one processor implements the above method.
本发明所采用的另一技术方案是:Another technical scheme adopted in the present invention is:
一种存储介质,其中存储有处理器可执行的程序,所述处理器可执行的程序在由处理器执行时用于执行如上所述方法。A storage medium stores a processor-executable program therein, and the processor-executable program is used to execute the above method when executed by a processor.
本发明的有益效果是:本发明基于不断更新的知识图谱,将电力系统的运行方式数据以图谱的形式直观呈现,以最大的信息获取面去洞悉该时间断面下整个系统的运行情况,让研究人员能够从纵轴时间轴向辨识电力系统的动态变化,辅助调度决策的抉择。The beneficial effects of the present invention are: based on the continuously updated knowledge map, the present invention visually presents the operation mode data of the power system in the form of a map, and uses the largest information acquisition surface to gain insight into the operation of the entire system at this time section, allowing research Personnel can identify the dynamic changes of the power system from the vertical time axis to assist in the selection of dispatching decisions.
附图说明Description of drawings
为了更清楚地说明本发明实施例或者现有技术中的技术方案,下面对本发明实施例或者现有技术中的相关技术方案附图作以下介绍,应当理解的是,下面介绍中的附图仅仅为了方便清晰表述本发明的技术方案中的部分实施例,对于本领域的技术人员而言,在无需付出创造性劳动的前提下,还可以根据这些附图获取到其他附图。In order to more clearly illustrate the embodiments of the present invention or the technical solutions in the prior art, the following describes the accompanying drawings of the embodiments of the present invention or the related technical solutions in the prior art. It should be understood that the accompanying drawings in the following introduction are only In order to clearly describe some embodiments of the technical solutions of the present invention, those skilled in the art can also obtain other drawings based on these drawings without creative work.
图1是本发明实施例中一种电力系统调度业务辅助决策方法的步骤流程图;Fig. 1 is a flow chart of the steps of an auxiliary decision-making method for power system dispatching business in an embodiment of the present invention;
图2是本发明实施例中多断面电力系统运行方式数据获取示意图;Fig. 2 is a schematic diagram of data acquisition of multi-section power system operation mode in an embodiment of the present invention;
图3是本发明实施例中知识图谱构建流程图;Fig. 3 is a flow chart of knowledge map construction in the embodiment of the present invention;
图4是本发明实施例中知识图谱概况全图;Fig. 4 is an overview of the knowledge map in the embodiment of the present invention;
图5是本发明实施例中不同时间断面的知识图谱;Fig. 5 is a knowledge map of different time sections in the embodiment of the present invention;
图6是本发明实施例中IEEE39节点系统示意图;Fig. 6 is a schematic diagram of IEEE39 node system in the embodiment of the present invention;
图7是本发明实施例中一种电力系统调度业务辅助决策方法的示意图。Fig. 7 is a schematic diagram of an auxiliary decision-making method for power system dispatching business in an embodiment of the present invention.
具体实施方式detailed description
下面详细描述本发明的实施例,所述实施例的示例在附图中示出,其中自始至终相同或类似的标号表示相同或类似的元件或具有相同或类似功能的元件。下面通过参考附图描述的实施例是示例性的,仅用于解释本发明,而不能理解为对本发明的限制。对于以下实施例中的步骤编号,其仅为了便于阐述说明而设置,对步骤之间的顺序不做任何限定,实施例中的各步骤的执行顺序均可根据本领域技术人员的理解来进行适应性调整。Embodiments of the present invention are described in detail below, examples of which are shown in the drawings, wherein the same or similar reference numerals designate the same or similar elements or elements having the same or similar functions throughout. The embodiments described below by referring to the figures are exemplary only for explaining the present invention and should not be construed as limiting the present invention. For the step numbers in the following embodiments, it is only set for the convenience of illustration and description, and the order between the steps is not limited in any way. The execution order of each step in the embodiments can be adapted according to the understanding of those skilled in the art sexual adjustment.
在本发明的描述中,需要理解的是,涉及到方位描述,例如上、下、前、后、左、右等指示的方位或位置关系为基于附图所示的方位或位置关系,仅是为了便于描述本发明和简化描述,而不是指示或暗示所指的装置或元件必须具有特定的方位、以特定的方位构造和操作,因此不能理解为对本发明的限制。In the description of the present invention, it should be understood that the orientation descriptions, such as up, down, front, back, left, right, etc. indicated orientations or positional relationships are based on the orientations or positional relationships shown in the drawings, and are only In order to facilitate the description of the present invention and simplify the description, it does not indicate or imply that the device or element referred to must have a specific orientation, be constructed and operated in a specific orientation, and thus should not be construed as limiting the present invention.
在本发明的描述中,若干的含义是一个或者多个,多个的含义是两个以上,大于、小于、超过等理解为不包括本数,以上、以下、以内等理解为包括本数。如果有描述到第一、第二只是用于区分技术特征为目的,而不能理解为指示或暗示相对重要性或者隐含指明所指示的技术特征的数量或者隐含指明所指示的技术特征的先后关系。In the description of the present invention, several means one or more, and multiple means more than two. Greater than, less than, exceeding, etc. are understood as not including the original number, and above, below, within, etc. are understood as including the original number. If the description of the first and second is only for the purpose of distinguishing the technical features, it cannot be understood as indicating or implying the relative importance or implicitly indicating the number of the indicated technical features or implicitly indicating the order of the indicated technical features relation.
本发明的描述中,除非另有明确的限定,设置、安装、连接等词语应做广义理解,所属技术领域技术人员可以结合技术方案的具体内容合理确定上述词语在本发明中的具体含义。In the description of the present invention, unless otherwise clearly defined, words such as setting, installation, and connection should be understood in a broad sense, and those skilled in the art can reasonably determine the specific meanings of the above words in the present invention in combination with the specific content of the technical solution.
人工智能技术能够对积累的海量电网调控运行经验和知识进行学习和模拟,并能代替大量重复性的人工调整工作。借助知识图谱(Knowledge Graph,KG)技术对调度中心常年积累的多源数据、专业知识和人工经验进行提取、凝练,然后通过知识搜索和推理进行优化运算前后的智能辅助决策,有望提升优化过程效率和质量,减轻人工繁琐工作。调控领域开展了知识图谱应用的初步探索,支撑基于运行规则电子化、故障处置、倒闸操作、对话问答等应用;以上场景都是基于固定规则或流程的重复性、固定化操作。考虑到电力系统是一个高维、动态变化系统,其数据源、数据结构、数据内容随时会发生变动,相应地,优化决策条件也会随之发生变化。因此,面向优化决策业务,构建涵盖调度规则、人工经验并反映调度场景动态变化的动态知识图谱,并实现基于动态知识图谱的调度智能辅助决策具有重要意义。Artificial intelligence technology can learn and simulate the accumulated massive power grid regulation and operation experience and knowledge, and can replace a large number of repetitive manual adjustment tasks. With the help of Knowledge Graph (KG) technology, the multi-source data, professional knowledge and manual experience accumulated by the dispatching center are extracted and condensed, and then the intelligent auxiliary decision-making before and after the optimization operation is carried out through knowledge search and reasoning, which is expected to improve the efficiency of the optimization process and quality, reducing manual tedious work. In the field of regulation and control, a preliminary exploration of the application of knowledge graphs has been carried out, supporting applications based on the digitization of operating rules, fault handling, switching operations, and dialogue and question-and-answer; the above scenarios are repetitive and fixed operations based on fixed rules or processes. Considering that the power system is a high-dimensional and dynamically changing system, its data source, data structure, and data content will change at any time, and accordingly, the optimization decision-making conditions will also change accordingly. Therefore, it is of great significance to build a dynamic knowledge graph covering scheduling rules, human experience and reflect the dynamic changes of scheduling scenarios for optimizing decision-making business, and to realize intelligent auxiliary decision-making for scheduling based on dynamic knowledge graph.
针对数据不确定性、维度、数量呈指数型增长的电力系统调度业务以及知识图谱技术的应用,本实施例提出一种基于知识图谱的超大规模电力系统调度业务辅助决策方法。该方法首先基于电网模型、电网运行数据、调度规程、历史案例、调度员经验等调度优化决策业务涉及的多源异构数据,设计面向固定规则的知识图谱架构,明确了电力系统动态知识图谱辅助调度决策任务。动态知识图谱不仅包含负荷、节点、线路潮流、发电机组、风能机组等实体,实体中包含机组参数、机组出力等属性数据,且该图谱会随着不同的时间断面更新实体中的属性数据。借助知识图谱数据存储量大、数据搜索和推理速度快的优点,调度人员通过知识图谱实现智能检索,深度挖掘节点与节点之间的关系,为运检、调度等部门提供新的可视化结构数据来源,并完成对超大规模电力系统调度业务的辅助决策,为解决新形势下调度业务的痛点问题提出了新的辅助方案,极大地缩短决策所需时间。Aiming at the power system dispatching business with exponential growth in data uncertainty, dimension, and quantity, and the application of knowledge graph technology, this embodiment proposes a super-large-scale power system dispatching business auxiliary decision-making method based on knowledge graph. Based on the multi-source heterogeneous data involved in scheduling optimization decision-making business, such as power grid model, power grid operation data, dispatching procedures, historical cases, and dispatcher experience, the method firstly designs a knowledge graph architecture oriented to fixed rules, and clarifies the power system dynamic knowledge graph assisted Scheduling decision tasks. The dynamic knowledge map not only includes entities such as loads, nodes, line flow, generator sets, and wind energy units, but also attribute data such as unit parameters and unit output, and the map will update the attribute data in entities with different time sections. With the advantages of large amount of knowledge graph data storage and fast data search and reasoning speed, dispatchers can realize intelligent retrieval through knowledge graph, dig deep into the relationship between nodes, and provide new sources of visual structural data for transportation inspection, dispatching and other departments , and completed the auxiliary decision-making for ultra-large-scale power system dispatching business, and proposed a new auxiliary plan to solve the pain point of dispatching business under the new situation, which greatly shortened the time required for decision-making.
如图1和图7所示,本实施例提供一种电力系统调度业务辅助决策方法,包括以下步骤:As shown in Figures 1 and 7, this embodiment provides an auxiliary decision-making method for power system dispatching services, including the following steps:
S1、构建多断面运行方式仿真数据获取模型。S1. Construct a multi-section operation mode simulation data acquisition model.
在本实施例中,多断面运行方式仿真数据获取模型的具体步骤为:In this embodiment, the specific steps of obtaining the simulation data model of the multi-section operation mode are as follows:
1)构建仿真模型、接入日负荷曲线、接入风电新能源:1) Build a simulation model, access the daily load curve, and access wind power new energy:
参见图2和图6,选取IEEE39节点系统为仿真基础,且为了拟合实际电力系统中不同负荷节点不同功率特性、可再生能源渗透率不断提高的情况,在保证总负荷加起来的量级与39节点的发电容量匹配的前提下,给39节点案例的21负荷节点都接入不同的工业负荷、商业负荷、居民负荷、风力新能源。Referring to Figure 2 and Figure 6, the IEEE39 node system is selected as the simulation basis, and in order to fit the different power characteristics of different load nodes in the actual power system and the increasing penetration rate of renewable energy, the magnitude of the total load and the On the premise that the power generation capacity of the 39 nodes matches, the 21 load nodes in the 39 node case are all connected to different industrial loads, commercial loads, residential loads, and wind power new energy.
风电场出力依托风能资源,受到自然条件的约束,且我国风电呈现出反调特性,即白天负荷需求往往较高时由于风速较小或无风导致风电出力小;夜晚负荷需求降低时由于风速较大导致风电出力大却难以及时消纳。因此,利用Weibull分布描述风速的随机变化,风速概率密度函数如下:The output of wind farms relies on wind energy resources and is constrained by natural conditions, and my country's wind power presents an anti-tuning characteristic, that is, when the load demand is high during the day, the wind power output is small due to low wind speed or no wind; when the load demand decreases at night due to high wind speed As a result, wind power output is large but it is difficult to absorb it in time. Therefore, using Weibull distribution to describe the random change of wind speed, the probability density function of wind speed is as follows:
式中,c表示比例参数,表征统计数据的年平均风速,k表示形状参数,取值一般在1.8-2.3之间,对概率函数的变化影响较大。在保持c不变的条件下,随着k的增大,在纵轴方向函数概率曲线趋势逐渐变陡,曲线的峰值也增大,即风速分布更加集中在峰值附近;在横轴方向函数概率曲线峰值对应的横轴坐标值增大,即最大概率对应的风速不断增大。In the formula, c represents the proportional parameter, representing the annual average wind speed of statistical data, k represents the shape parameter, the value is generally between 1.8 and 2.3, and has a great influence on the change of the probability function. Under the condition of keeping c constant, as k increases, the trend of the function probability curve in the direction of the vertical axis gradually becomes steeper, and the peak value of the curve also increases, that is, the wind speed distribution is more concentrated near the peak value; in the direction of the horizontal axis, the function probability The coordinate value of the horizontal axis corresponding to the peak value of the curve increases, that is, the wind speed corresponding to the maximum probability increases continuously.
风电出力与风速有着直接的联系,由上式得到负荷weibull分布的风速分布规律,且呈现明显的非线性。建立风电出力的数学模型为:There is a direct relationship between wind power output and wind speed, and the wind speed distribution law of the load weibull distribution is obtained from the above formula, and it shows obvious nonlinearity. The mathematical model for establishing wind power output is:
式中,V表示风机轮毂高度处的风速;Vci表示风机切入风速,Vco表示风机的切出风速,VN表示额定风速,PN表示风机的额定输出功率,PWT表示风机实际的输出功率。In the formula, V represents the wind speed at the height of the fan hub; Vci represents the cut-in wind speed of the fan, Vco represents the cut-out wind speed of the fan, VN represents the rated wind speed, PN represents the rated output power of the fan, and PWT represents the actual output of the fan power.
根据上述风电出力模型,得到每个时间断面下风速的风力发电,并作归一化处理,风机的切入风速,切出风速和额定风速的参考如表1所示。According to the above wind power output model, the wind power generation at each time section is obtained and normalized. The cut-in wind speed, cut-out wind speed and rated wind speed of the fan are shown in Table 1 for reference.
表1Table 1
2)目标函数及优化变量2) Objective function and optimization variables
初定以发电机组的经济成本为决定电力系统运行方式和最优潮流的目标函数,设置好潮流方程、功率平衡方程和各大约束后,以最小化目标函数为求解目标,得到对应的最优潮流分布下的线路传输功率、节点电压、相角、发电机组的出力,作为电力系统最优潮流数据。本实施例采用发电机组消耗-功率特性为经济成本函数,表达如下:The economic cost of the generator set is initially determined as the objective function that determines the operation mode of the power system and the optimal power flow. After setting the power flow equation, power balance equation and major constraints, the solution goal is to minimize the objective function, and the corresponding optimal power flow is obtained. The line transmission power, node voltage, phase angle, and generator output under the power flow distribution are used as the optimal power flow data of the power system. In this embodiment, the consumption-power characteristic of the generating set is used as the economic cost function, which is expressed as follows:
Ck(t)=ak_2Pgen_k(t)2+ak_1Pgen_k(t)+ak_0Ck (t)=ak_2 Pgen_k (t)2 +ak_1 Pgen_k (t)+ak_0
其中,Ck表示第k个发电机的发电成本,是同一天内96个时间断面发电机出力成本之和;Pgen_k表示第k个发电机组的实际输出有功功率;ak_2、ak_1、ak_0表示第k个发电机组的成本系数;Among them, Ck represents the power generation cost of the kth generator, which is the sum of the generator output costs of 96 time sections in the same day; Pgen_k represents the actual output active power of the kth generator set; ak_2 , ak_1 , ak_0 Indicates the cost coefficient of the kth generating unit;
优化变量包括潮流后电力系统发电机组有功出力Pgen(busm,T)、线路潮流Pline(bram,T),这两个变量分别是关于节点数busm和时间粒度T的变量和关于支路数bram和时间粒度T的变量。The optimization variables include the active power output Pgen (busm,T) of the power system generator set after the power flow, and the line flow Pline (bram,T). variables for bram and time granularity T.
3)功率平衡约束3) Power balance constraints
为了保证改变后的运行方式负荷运行的安全性、可靠性原则,需设置功率平衡约束,即网络中节点上负荷所需有功功率与发电机组输出的有功功率保持平衡,如下:In order to ensure the safety and reliability of load operation in the changed operation mode, power balance constraints need to be set, that is, the active power required by the load on the nodes in the network and the active power output by the generator set are kept in balance, as follows:
式中,Pload(t)表示各时间断面下负荷的有功需求,Pgen(t)表示各时间断面下发电机机组有功出力。为了保证电力系统的有功功率平衡,维持整个系统的频率稳定,必须设置所有节点的有功负荷需求与发电机的有功出力保持一致;此外,为了保证电力系统运行的稳定性和可靠性,必须设置所有节点的有功负荷需求一定要小于或至少等于发电机组的有功出力上限之和。In the formula, Pload (t) represents the active power demand of the load at each time section, and Pgen (t) represents the active output of the generator set at each time section. In order to ensure the active power balance of the power system and maintain the frequency stability of the entire system, it is necessary to set the active load demand of all nodes to be consistent with the active output of the generator; in addition, in order to ensure the stability and reliability of the power system operation, it is necessary to set all The active load demand of the node must be less than or at least equal to the sum of the upper limit of the active output of the generator sets.
4)潮流方程约束4) Power flow equation constraints
为了更加快速、简化运行方式调度的潮流方程,将潮流方程作为电力系统运行方式最优潮流的约束条件,同时为满足快速分析计算和实时的运行调度的需要,通常使用直流潮流,但可能会给计算带来较大的偏差,因此本实施例需要采用线性交流潮流如下:In order to more quickly and simplify the power flow equation of the operation mode scheduling, the power flow equation is used as the constraint condition of the optimal power flow of the power system operation mode. The calculation brings a large deviation, so this embodiment needs to adopt the linear AC power flow as follows:
其中,Nbranch为支路数;上述式子中,Pmn、Qmn、rmn、xmn分别为节点m,n间的有功传输功率、无功传输功率、电阻、电抗:Pm、Qm、Um、δm分别为节点m的有功功率、无功功率、电压、相角。in, Nbranch is the number of branches; in the above formula, Pmn , Qmn , rmn , and xmn are the active transmission power, reactive transmission power, resistance, and reactance between nodes m and n, respectively: Pm , Qm , Um and δm are active power, reactive power, voltage and phase angle of node m respectively.
5)运行方式可靠性、可行性约束。5) The reliability and feasibility constraints of the operation mode.
1.发电机出力上下限约束:1. Generator output upper and lower limit constraints:
Pgen.min≤Pgen≤Pgen.maxPgen.min ≤Pgen≤P gen.max
式中,Pgen.min表示发电机出力下限,一般取0;Pgen.max表达发电机出力上限,且默认case39节点系统中10台发电机都参与调度过程,但也可在后续的研究中设置特定的机组组合。In the formula, Pgen.min represents the lower limit of generator output, which is generally 0; Pgen.max represents the upper limit of generator output, and by default all 10 generators in the case39 node system participate in the scheduling process, but it can also be used in subsequent research Set specific unit combinations.
2.线路传输功率即断面上下限约束:2. The transmission power of the line is the upper and lower limit constraints of the section:
-Pmn,max≤Pmn≤Pmn,max-Pmn,max ≤Pmn ≤Pmn,max
式中,Pmn,max表示节点m,n之间的线路断面越限能力,默认case39节点系统中所有的支路都参与调度过程,但每条线路是否有传输功率取决于模拟仿真的运行情况,且也可在后续的研究中设置特定的线路不参与调度。In the formula, Pmn,max represents the line cross-section capability between nodes m and n. By default, all branches in the node system of case39 participate in the scheduling process, but whether each line has transmission power depends on the running status of the simulation , and specific lines can also be set not to participate in scheduling in subsequent research.
3.节点电压允许偏移范围约束:3. Node voltage allowable offset range constraints:
Um,min≤Um≤Um,maxUm,min ≤Um ≤Um,max
式中,Um,min表示节点m允许运行的电压下限,Um,max表示节点m允许运行的电压上限,一般设置为(0.95-1.05)UN。从保证供电电压质量的角度上说,系统的所有的电气设备都必须运行在额定电压附近。In the formula, Um,min represents the lower limit of the voltage allowed for node m to operate, and Um,max represents the upper limit of the voltage allowed for node m to operate, which is generally set to (0.95-1.05) UN . From the perspective of ensuring the quality of the power supply voltage, all electrical equipment in the system must operate near the rated voltage.
4.节点相角允许偏移范围约束:4. Node phase angle allowable offset range constraints:
-δc≤Δδm≤δc-δc ≤ Δδm ≤ δc
其中,δc表示设定的同一节点每时间粒度相角可偏移程度,取6.28rad。Among them, δc represents the offset degree of phase angle per time granularity set at the same node, which is taken as 6.28rad.
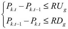
考虑到时间粒度之间电气量的时间耦合:Consider temporal coupling of electrical quantities between time granularities:
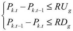
5.机组爬坡出力约束:5. Unit climbing output constraint:
式中,R为比例系数,Ug指的是发电机的向上爬坡能力,Dg指的是发电机向下爬坡能力。In the formula, R is the proportional coefficient, Ug refers to the upward climbing ability of the generator, and Dg refers to the downward climbing ability of the generator.
S2、获取多断面下的电力系统的运行方式数据。S2. Obtain the operation mode data of the power system under multiple sections.
在本实施例中,首先基于电力系统模型、潮流方程约束、安全稳定约束,利用matlab和gams商业软件设计电力系统的最优潮流方案,并以IEEE39节点系统为例,接入居民、工业、商业三种负荷曲线,接入符合威布尔分布的风力发电,得到多断面下的电力系统运行方式数据,作为后续研究的数据支撑,具体流程如图2。In this embodiment, based on the power system model, power flow equation constraints, and security and stability constraints, use matlab and gams commercial software to design the optimal power flow scheme of the power system, and take the IEEE39 node system as an example to connect residents, industries, and businesses The three load curves are connected to wind power generation conforming to the Weibull distribution, and the operation mode data of the power system under multiple sections are obtained as the data support for the follow-up research. The specific process is shown in Figure 2.
多断面即多调度时刻,调度周期可以根据时间粒度有不同划分,如一天、一小时、一刻钟、五分钟等。将一天的调度数据以细时间粒度、多时间断面的形式采集表示,可以更加清晰反映电力系统状态的变化。由于设计构建动态知识图谱需要电网拓扑结构,运行方式数据、调度规程等多源异构数据为支撑。然而,实际系统运行方式的量测数据往往难以收集的且容易受通信影响的,因此需要构建多断面运行方式仿真数据获取模型,以获取海量数据支撑构建图谱。Multiple sections mean multiple scheduling times, and the scheduling cycle can be divided according to time granularity, such as one day, one hour, quarter of an hour, five minutes, etc. Collecting and expressing the scheduling data of a day in the form of fine time granularity and multiple time sections can more clearly reflect changes in the state of the power system. Because the design and construction of dynamic knowledge graphs requires the support of multi-source heterogeneous data such as power grid topology, operation mode data, and dispatching procedures. However, the measurement data of the actual system operation mode is often difficult to collect and is easily affected by communication. Therefore, it is necessary to build a multi-section operation mode simulation data acquisition model to obtain massive data to support the construction of the map.
定义用于数据驱动的电力系统运行方式的数据包括:电力系统最优潮流数据(发电机组有功出力、线路有功潮流)、节点负荷有功需求、风机输出功率。该数据是以时刻(如15分钟)为时间粒度的高维度、非线性多断面运行仿真数据。The data defining the operation mode of the data-driven power system include: the optimal power flow data of the power system (generator set active power output, line active power flow), node load active power demand, and fan output power. The data is high-dimensional, non-linear multi-section running simulation data with a time granularity of time (such as 15 minutes).
p=Nday(g(num_gen)×T,r(num_renew)×T,f(num_branch)×T,d(num_bus)×T)p=Nday (g(num_gen)×T ,r(num_renew)×T ,f(num_branch)×T ,d(num_bus)×T )
式子中g表示电力系统最优潮流的发电机组出力;r表示接入的风机输出功率,且风机是固定节点接入的;f表示力系统最优潮流的线路潮流;d表示网络节点负荷有功需求。T表示每天的观测断面数,以15分钟为时间粒度,T取96;Nday表示仿真数据组数,用于模拟系统运行天数,以海量化可供数据驱动处理的数据。In the formula, g represents the output power of the generator set with the optimal power flow in the power system; r represents the output power of the connected fan, and the fan is connected to a fixed node; f represents the line flow of the optimal power flow in the power system; d represents the active power of the network node load need. T represents the number of observation sections per day, with 15 minutes as the time granularity, and T is 96; Nday represents the number of simulation data sets, which is used to simulate the number of days the system runs, and to quantify the data that can be processed by data-driven.
S3、根据所述运行方式数据构建电力系统的知识图谱。S3. Construct a knowledge map of the power system according to the operation mode data.
利用步骤S2获取的高维非线性仿真数据,结合其他电网调度业务数据,代替电力系统中需要数据采集与监视系统(SCADA)、同步相量量测系统(PMU)实时采集的,且易受通信和网络干扰的实际量测数据。通过知识抽取、知识表示学习、知识挖掘、知识推理和磨合等步骤,以电网拓扑结构,运行方式数据、调度规程等多源异构数据为支撑,利用python和Neo4j商业软件构建了电力系统知识图谱。该图谱能够根据调度时刻数据滚动更新,具体流程如图3所示。Use the high-dimensional nonlinear simulation data obtained in step S2, combined with other power grid dispatching business data, to replace the real-time collection of data acquisition and monitoring system (SCADA) and synchronized phasor measurement system (PMU) in the power system, and are vulnerable to communication and network Actual measurement data of interference. Through the steps of knowledge extraction, knowledge representation learning, knowledge mining, knowledge reasoning, and running-in, supported by multi-source heterogeneous data such as power grid topology, operation mode data, and dispatching procedures, the power system knowledge map is constructed using python and Neo4j commercial software . The map can be updated rollingly according to the scheduling time data, and the specific process is shown in Figure 3.
通过python连接Neo4j构建知识图谱的时候,其详细步骤大致可以分为数据获取与分类、确定节点类型及连接关系、节点与边属性的赋值、图谱可视化。When connecting Neo4j through python to build a knowledge map, the detailed steps can be roughly divided into data acquisition and classification, determination of node type and connection relationship, assignment of node and edge attributes, and map visualization.
1)将输入python端的数据标准化,使得当python读入数据时可以自动将数据分类,并且自动打上分类标签,方便后续图谱构建时创建相应类型的节点和关系连接边。数据获取后,先对数据进行预处理,以删除一些冗余和重复数据以及干扰噪音项;然后对预处理后的数据进行分类,大分类方面比如节点类型、连接关系类型、关系边类型、属性类型等,小分类方面比如工业、居民、商业负荷节点类型,可再生能源接入节点类型,光储、风储节点类型等,方便后续图谱构建。1) Standardize the data input to the python side, so that when python reads the data, it can automatically classify the data and automatically label the classification labels, so as to facilitate the creation of corresponding types of nodes and relationship connection edges during subsequent graph construction. After the data is acquired, first preprocess the data to delete some redundant and repeated data and interference noise items; then classify the preprocessed data, such as node type, connection relationship type, relationship edge type, attribute Types, etc., small classifications such as industrial, residential, and commercial load node types, renewable energy access node types, solar storage, wind storage node types, etc., to facilitate subsequent map construction.
2)根据分类好的数据为属于节点类型的数据创建节点,包含节点名字及节点id,同时为关系边类型节点创建关系边,同样包含关系边名字及关系边id。再通过连接关系数据,将相应节点和相应关系边一一对应相连,形成节点→边→节点的三元组有向连接关系,最终将所有节点和有向关系边连接起来,构建成初步知识图谱,如图4所示。2) Create nodes for data belonging to the node type according to the classified data, including node names and node ids, and create relationship edges for relationship edge type nodes, which also include relationship edge names and relationship edge ids. Then connect the corresponding nodes and the corresponding relationship edges one by one by connecting the relationship data to form a triple directed connection relationship of node → edge → node, and finally connect all nodes and directed relationship edges to build a preliminary knowledge map ,As shown in Figure 4.
3)根据属性类型数据,相应地为节点和有向关系边添加属性,节点属性比如不同种类的季节性负荷特性、风力发电、光伏发电等可再生能源概率分布、储能荷电状态等。而有向关系边表征线路潮流有功功率、无功功率,并根据设定正方向判断功率流向。在这个过程中,可以根据属性类型数据,对原有有向关系边改变方向或未明确的关系边添加方向。比如两个节点间线路潮流往往随负荷、新能源等时序变化而发生了改变,根据属性类型数据,可以自动修正图谱中的甲乙方关系,进行图谱纠错和更新。3) According to the attribute type data, add attributes for nodes and directed relationship edges accordingly. Node attributes such as different types of seasonal load characteristics, probability distribution of renewable energy such as wind power generation and photovoltaic power generation, and energy storage state of charge. The directed relationship edge represents the active power and reactive power of the line flow, and judges the power flow direction according to the set positive direction. In this process, according to the attribute type data, the direction of the original directed relationship edge can be changed or the direction of the undefined relationship edge can be added. For example, the power flow of the line between two nodes often changes with the timing changes of load and new energy. According to the attribute type data, the relationship between Party A and Party B in the map can be automatically corrected, and the map can be corrected and updated.
4)将python和Neo4j连接,从而将python中建立的知识图谱在Neo4j中得以可视化表现出来。在Neo4j中,可以查看所构建的知识图谱全图信息,包括节点信息、关系边信息以及属性信息。同时也可以只查看某一类或者某几类节点的信息,方便对知识图谱信息进行更好的解读。除此之外也可以在Neo4j中对知识图谱进行节点或者关系边的修改以及属性的更正和添加,而不需重新构建新的图谱。构建好的知识图谱如图5所示。4) Connect python and Neo4j, so that the knowledge graph established in python can be visualized in Neo4j. In Neo4j, you can view the full graph information of the constructed knowledge graph, including node information, relationship edge information, and attribute information. At the same time, you can only view the information of a certain type or several types of nodes, which is convenient for better interpretation of the knowledge map information. In addition, it is also possible to modify nodes or relationship edges and correct and add attributes to the knowledge graph in Neo4j without rebuilding a new graph. The constructed knowledge graph is shown in Figure 5.
S4、根据所述知识图谱辅助调度决策的选择。S4. A selection of scheduling decisions is assisted according to the knowledge graph.
通过构建好的知识图谱,清楚地观测节点与节点之间电气量变化,节点上的电气量变化。调度人员能够从直观的图谱数据显示中,以最大的信息获取面去洞悉该时间断面下整个系统的运行情况,同时未来调度时刻的电力系统知识图谱不断生成,研究人员将更好辨识时间序列下电力系统的动态变化,辅助调度决策的抉择,有效地避免了盲目地运行调度,极大地缩短了调度决策与最优决策之间的“距离”,减小决策所需时间。除此之外,知识图谱还能将不正常的数据如断面越限、机组出力越限、线路短路等故障直观地展示,有利于故障的实时排查。基于知识图谱的辅助决策生成具有步骤如下:By building a good knowledge map, clearly observe the changes in electrical quantities between nodes and the changes in electrical quantities on nodes. Dispatchers can gain insight into the operation of the entire system at this time section from the intuitive map data display with the largest information acquisition surface. At the same time, the knowledge map of the power system at the future dispatching time will continue to be generated, and researchers will better identify time series. The dynamic changes of the power system and the choice of auxiliary dispatching decisions effectively avoid blind operation dispatching, greatly shorten the "distance" between dispatching decisions and optimal decisions, and reduce the time required for decision-making. In addition, the knowledge map can also intuitively display abnormal data such as cross-section over-limit, unit output over-limit, line short circuit and other faults, which is conducive to real-time troubleshooting of faults. The auxiliary decision generation based on knowledge graph has the following steps:
1)首先,根据构建好的知识图谱,清楚地观测节点与节点的关系即边的电气量变化,节点上的电气量变化。其次,研究人员能够从直观的图谱数据显示中,以最大的信息获取面去洞悉该时间断面下整个系统的运行情况,同时新的时间断面下的电力系统知识图谱不断生成,让研究人员能够从纵轴时间轴向辨识电力系统的动态变化,辅助调度决策的抉择。1) First, according to the constructed knowledge map, clearly observe the relationship between nodes, that is, the change of the electrical quantity of the edge and the change of the electrical quantity on the node. Secondly, researchers can gain insight into the operation of the entire system under the time section with the largest information acquisition surface from the intuitive map data display. At the same time, the power system knowledge map under the new time section is continuously generated, allowing researchers to learn from The vertical axis time axis identifies the dynamic changes of the power system and assists in the selection of dispatching decisions.
2)确定好针对某一运行方式的决策并指导系统做出调整动作,得到决策后的电力系统运行方式p′,重新得到决策后的知识图谱。研究人员比对决策前后知识图谱的变化并标记,构造形如“运行方式——知识图谱——决策”的状态动作对,并记录不同状态动作对,了解哪一项参数或电气量对决策的影响程度最大或决策后对系统的哪些节点、支路、母线的影响最大,完成辅助决策的反馈。在不断的经验累加下,每一次的状态动作对都是前一次状态动作对的更新,调度人员将会逐渐形成针对不同运行方式形成对应的“运行方式——知识图谱——最优决策对”,适配于新形势下的电力系统调度业务的需要,有效地避免了盲目地运行调度,极大地缩短了调度决策与最优决策之间的“距离”,减小决策所需时间。2) Determine the decision-making for a certain operation mode and guide the system to make adjustment actions, obtain the power system operation mode p′ after the decision, and re-obtain the knowledge map after the decision. Researchers compare and mark the changes in the knowledge map before and after the decision, construct a state-action pair in the form of "operating mode-knowledge map-decision-making", and record different state-action pairs to understand which parameter or electrical quantity is important for decision-making. The degree of influence is the greatest or which nodes, branches, and buses of the system have the greatest influence after the decision is made, and the feedback of auxiliary decision-making is completed. With continuous accumulation of experience, each state-action pair is an update of the previous state-action pair, and the dispatcher will gradually form a corresponding "operating mode-knowledge map-optimal decision pair" for different operating modes. , adapted to the needs of power system dispatching business under the new situation, effectively avoiding blind operation dispatching, greatly shortening the "distance" between dispatching decisions and optimal decisions, and reducing the time required for decision-making.
以下结合具体实施例对上述方法进行详细解释说明。The above method will be explained in detail below in conjunction with specific examples.
本实施例以IEEE39节点系统为说明对象,该系统有完整的拓扑结构,21个负荷节点,10台发电机,46条支路,每个负荷节点接入了不同的负荷曲线,并分别设置固定的9个负荷节点接入新能源出力。利用本实施例提出的基于知识图谱的超大规模电力系统调度业务辅助决策方法,研究不同的运行方式下的调度业务决策。表1为风机出力参数:This embodiment takes the IEEE39 node system as the object of illustration. The system has a complete topology, 21 load nodes, 10 generators, and 46 branches. Each load node is connected to a different load curve, and fixed The 9 load nodes of the company are connected to new energy sources. Using the knowledge map-based auxiliary decision-making method for dispatching business of ultra-large-scale power systems proposed in this embodiment, the dispatching business decision-making under different operation modes is studied. Table 1 shows the fan output parameters:
表1Table 1
该算例中时间粒度设置为15分钟,即每15分钟为一个时间断面并获取拓扑、负荷有功需求、新能源出力等相关信息。In this calculation example, the time granularity is set to 15 minutes, that is, every 15 minutes is a time section and relevant information such as topology, load active demand, and new energy output are obtained.
下面具体说明基于知识图谱的超大规模电力系统调度业务辅助决策方法优化算法的步骤:The following specifically describes the steps of the optimization algorithm of the super-large-scale power system dispatching business auxiliary decision-making method based on the knowledge graph:
第一步,获取上述时间粒度下,即每小时96个时间断面的工业、商业、居民生活用电负荷并归一化,以IEEE39节点当前数据为基础,接入归一化的负荷曲线,记录节点数、支路数、发电机数等常数,负荷的有功需求、风机发电出力、支路的阻抗数据等参数矩阵。The first step is to obtain and normalize the industrial, commercial, and residential electricity loads at the above-mentioned time granularity, that is, 96 time sections per hour. Based on the current data of IEEE39 nodes, access the normalized load curve and record Constants such as the number of nodes, number of branches, and number of generators, parameter matrices such as the active power demand of the load, the output of wind turbines, and the impedance data of the branches.
第二步,导入设计好的matlab和gams求解器中求出最优潮流下的电力系统运行方式数据,并将最优潮流数据中的发电机组出力、线路潮流,与负荷有功需求、风力发电共同构成高维且非线性的高频电力系统运行方式数据。The second step is to import the designed matlab and gams solvers to obtain the power system operation mode data under the optimal power flow, and combine the power generation unit output and line power flow in the optimal power flow data with the active power demand of the load and wind power generation. Constitute high-dimensional and nonlinear high-frequency power system operation mode data.
第三步,利用python和neo4j构建动态知识图谱。将输入python端的数据标准化,并创建相应类型的节点和关系连接边,形成节点→边→节点的三元组有向连接关系,得到初步知识图谱。再根据属性类型数据,相应地为节点和有向关系边添加属性,最后在neo4j中将知识图谱可视化。在Neo4j中,可以查看所构建的知识图谱全图信息,包括节点信息、关系边信息以及属性信息,可以直接在图谱上更新数据,不需要重新编程。The third step is to build a dynamic knowledge map using python and neo4j. Standardize the data input to the python terminal, and create corresponding types of nodes and relationship connection edges to form a triple directed connection relationship of node → edge → node, and obtain a preliminary knowledge map. According to the attribute type data, add attributes to nodes and directed relationship edges accordingly, and finally visualize the knowledge map in neo4j. In Neo4j, you can view the full graph information of the constructed knowledge graph, including node information, relationship edge information, and attribute information, and you can directly update data on the graph without reprogramming.
第四步,调度人员在已构成的知识图谱基础上,观测节点与节点的关系即边的电气量变化,节点上的电气量变化。研究人员能够从直观清晰的图谱数据显示中,以最大的信息获取面去洞悉该时间断面下整个系统的运行情况;同时不同时间断面下的知识图谱不断更新,还可以让研究人员从纵向时间轴的角度,辨识电力系统的动态变化,辅助调度决策的抉择。最后在不断的经验积累下,不断更新“运行方式——知识图谱——辅助决策”的状态动作对,得到“距离”最优调度的解。In the fourth step, on the basis of the formed knowledge map, the dispatcher observes the relationship between nodes, that is, the change of the electrical quantity of the edge and the change of the electrical quantity of the node. From the intuitive and clear map data display, researchers can gain insight into the operation of the entire system under the time section with the largest information acquisition surface; at the same time, the knowledge maps under different time sections are constantly updated, and researchers can also learn from the longitudinal time axis. From the perspective of identifying the dynamic changes of the power system, it assists in the selection of dispatching decisions. Finally, with the continuous accumulation of experience, the state-action pairs of "operating mode-knowledge map-aided decision-making" are constantly updated, and the solution to the optimal scheduling of "distance" is obtained.
综上所述,本实施例方法相对于现有技术,具有如下有益效果:In summary, compared with the prior art, the method of this embodiment has the following beneficial effects:
(1)本实施例由仿真数据进行驱动,基于知识图谱的超大规模系统调度业务辅助决策方法,不需要复杂的机理模型推理,只需要得到电力系统运行方式数据,可以适配于实际电力系统的需要。(1) This embodiment is driven by simulation data, and the knowledge map-based method for assisting decision-making of ultra-large-scale system dispatching services does not require complex mechanism model reasoning, and only needs to obtain power system operation mode data, which can be adapted to the actual power system need.
(2)本实施例提出的最优潮流自编程序来获取仿真数据,相比于封装好的商业软件自带的模块库中的潮流计算,如matpower中的runopf函数,自编程序可以通过自主设计目标函数,针对实际系统需求决定运行方式数据。此外,还可以通过自己设置安全约束条件或考虑时间耦合的机组爬坡能力,设计出更加复杂但更符合实际的潮流。(2) The optimal power flow self-programming proposed in this embodiment is used to obtain simulation data. Compared with the power flow calculation in the module library of the packaged commercial software, such as the runopf function in matpower, the self-programming can be performed independently Design the objective function and determine the operation mode data according to the actual system requirements. In addition, it is also possible to design a more complex but more realistic power flow by setting safety constraints or considering the time-coupled unit ramping capability.
(3)本实施例借助知识图谱数据存储量大、数据搜索和推理速度快的优点提出的动态知识图谱构建方法,是基于多断面电力系统仿真数据下的动态知识图谱,能够将电力系统拓扑、细时间粒度的运行方式数据以图谱的形式直观呈现,以最大的信息获取面去洞悉该时间断面下整个系统的运行情况,同时新的时间断面下的电力系统知识图谱不断生成,让研究人员能够从纵轴时间轴向辨识电力系统的动态变化,辅助调度决策的抉择。(3) The dynamic knowledge map construction method proposed in this embodiment with the advantages of large knowledge map data storage capacity and fast data search and reasoning speed is based on the dynamic knowledge map under the multi-section power system simulation data, which can integrate the power system topology, The fine-grained operation mode data is presented intuitively in the form of a map, and the maximum information acquisition surface is used to understand the operation of the entire system under the time section. At the same time, the knowledge map of the power system under the new time section is continuously generated, allowing researchers to Identify the dynamic changes of the power system from the vertical time axis to assist in the selection of dispatching decisions.
本实施例还提供一种电力系统调度业务辅助决策系统,包括:This embodiment also provides an auxiliary decision-making system for power system dispatching business, including:
数据获取模块,用于获取多断面下的电力系统的运行方式数据;The data acquisition module is used to acquire the operation mode data of the power system under multiple sections;
图谱构建模块,用于根据所述运行方式数据构建电力系统的知识图谱;A map construction module, configured to construct a knowledge map of the power system according to the operation mode data;
决策辅助模块,用于根据所述知识图谱辅助调度决策的选择;A decision-making assistance module, configured to assist in the selection of scheduling decisions according to the knowledge graph;
其中,所述知识图谱基于调度时刻上的数据不断更新;根据知识图谱获取节点与节点之间电气量变化,以及节点上的电气量的变化。Wherein, the knowledge graph is continuously updated based on the data at the scheduling time; the change of electrical quantity between nodes and the change of electrical quantity on the node is obtained according to the knowledge graph.
本实施例的一种电力系统调度业务辅助决策系统,可执行本发明方法实施例所提供的一种电力系统调度业务辅助决策方法,可执行方法实施例的任意组合实施步骤,具备该方法相应的功能和有益效果。An auxiliary decision-making system for power system dispatching business in this embodiment can execute an auxiliary decision-making method for power system dispatching business provided by the method embodiment of the present invention, can execute any combination of implementation steps in the method embodiment, and has the corresponding methods of the method Functions and beneficial effects.
本实施例还提供一种电力系统调度业务辅助决策装置,包括:This embodiment also provides an auxiliary decision-making device for power system dispatching business, including:
至少一个处理器;at least one processor;
至少一个存储器,用于存储至少一个程序;at least one memory for storing at least one program;
当所述至少一个程序被所述至少一个处理器执行,使得所述至少一个处理器实现如图1所示方法。When the at least one program is executed by the at least one processor, the at least one processor is made to implement the method shown in FIG. 1 .
本实施例的一种电力系统调度业务辅助决策装置,可执行本发明方法实施例所提供的一种电力系统调度业务辅助决策方法,可执行方法实施例的任意组合实施步骤,具备该方法相应的功能和有益效果。An auxiliary decision-making device for power system dispatching business in this embodiment can execute an auxiliary decision-making method for power system dispatching business provided by the method embodiment of the present invention, can execute any combination of implementation steps of the method embodiment, and has the corresponding methods of the method Functions and beneficial effects.
本申请实施例还公开了一种计算机程序产品或计算机程序,该计算机程序产品或计算机程序包括计算机指令,该计算机指令存储在计算机可读存介质中。计算机设备的处理器可以从计算机可读存储介质读取该计算机指令,处理器执行该计算机指令,使得该计算机设备执行图1所示的方法。The embodiment of the present application also discloses a computer program product or computer program, where the computer program product or computer program includes computer instructions, and the computer instructions are stored in a computer-readable storage medium. The processor of the computer device can read the computer instruction from the computer-readable storage medium, and the processor executes the computer instruction, so that the computer device executes the method shown in FIG. 1 .
本实施例还提供了一种存储介质,存储有可执行本发明方法实施例所提供的一种电力系统调度业务辅助决策方法的指令或程序,当运行该指令或程序时,可执行方法实施例的任意组合实施步骤,具备该方法相应的功能和有益效果。This embodiment also provides a storage medium, which stores an instruction or program capable of executing a power system dispatching service auxiliary decision-making method provided by the method embodiment of the present invention. When the instruction or program is executed, the method embodiment can be executed Any combination of implementation steps has the corresponding functions and beneficial effects of the method.
在一些可选择的实施例中,在方框图中提到的功能/操作可以不按照操作示图提到的顺序发生。例如,取决于所涉及的功能/操作,连续示出的两个方框实际上可以被大体上同时地执行或所述方框有时能以相反顺序被执行。此外,在本发明的流程图中所呈现和描述的实施例以示例的方式被提供,目的在于提供对技术更全面的理解。所公开的方法不限于本文所呈现的操作和逻辑流程。可选择的实施例是可预期的,其中各种操作的顺序被改变以及其中被描述为较大操作的一部分的子操作被独立地执行。In some alternative implementations, the functions/operations noted in the block diagrams may occur out of the order noted in the operational diagrams. For example, two blocks shown in succession may, in fact, be executed substantially concurrently or the blocks may sometimes be executed in the reverse order, depending upon the functionality/operations involved. Furthermore, the embodiments presented and described in the flowcharts of the present invention are provided by way of example in order to provide a more comprehensive understanding of the technology. The disclosed methods are not limited to the operations and logical flow presented herein. Alternative embodiments are contemplated in which the order of various operations is changed and in which sub-operations described as part of larger operations are performed independently.
此外,虽然在功能性模块的背景下描述了本发明,但应当理解的是,除非另有相反说明,所述的功能和/或特征中的一个或多个可以被集成在单个物理装置和/或软件模块中,或者一个或多个功能和/或特征可以在单独的物理装置或软件模块中被实现。还可以理解的是,有关每个模块的实际实现的详细讨论对于理解本发明是不必要的。更确切地说,考虑到在本文中公开的装置中各种功能模块的属性、功能和内部关系的情况下,在工程师的常规技术内将会了解该模块的实际实现。因此,本领域技术人员运用普通技术就能够在无需过度试验的情况下实现在权利要求书中所阐明的本发明。还可以理解的是,所公开的特定概念仅仅是说明性的,并不意在限制本发明的范围,本发明的范围由所附权利要求书及其等同方案的全部范围来决定。Furthermore, although the invention has been described in the context of functional modules, it should be understood that one or more of the described functions and/or features may be integrated into a single physical device and/or unless stated to the contrary. or software modules, or one or more functions and/or features may be implemented in separate physical devices or software modules. It will also be appreciated that a detailed discussion of the actual implementation of each module is not necessary to understand the present invention. Rather, given the attributes, functions and internal relationships of the various functional blocks in the devices disclosed herein, the actual implementation of the blocks will be within the ordinary skill of the engineer. Accordingly, those skilled in the art can implement the present invention set forth in the claims without undue experimentation using ordinary techniques. It is also to be understood that the particular concepts disclosed are illustrative only and are not intended to limit the scope of the invention which is to be determined by the appended claims and their full scope of equivalents.
所述功能如果以软件功能单元的形式实现并作为独立的产品销售或使用时,可以存储在一个计算机可读取存储介质中。基于这样的理解,本发明的技术方案本质上或者说对现有技术做出贡献的部分或者该技术方案的部分可以以软件产品的形式体现出来,该计算机软件产品存储在一个存储介质中,包括若干指令用以使得一台计算机设备(可以是个人计算机,服务器,或者网络设备等)执行本发明各个实施例所述方法的全部或部分步骤。而前述的存储介质包括:U盘、移动硬盘、只读存储器(ROM,Read-Only Memory)、随机存取存储器(RAM,Random Access Memory)、磁碟或者光盘等各种可以存储程序代码的介质。If the functions described above are realized in the form of software function units and sold or used as independent products, they can be stored in a computer-readable storage medium. Based on this understanding, the essence of the technical solution of the present invention or the part that contributes to the prior art or the part of the technical solution can be embodied in the form of a software product, and the computer software product is stored in a storage medium, including Several instructions are used to make a computer device (which may be a personal computer, a server, or a network device, etc.) execute all or part of the steps of the method described in each embodiment of the present invention. The aforementioned storage medium includes: U disk, mobile hard disk, read-only memory (ROM, Read-Only Memory), random access memory (RAM, Random Access Memory), magnetic disk or optical disk and other media that can store program codes. .
在流程图中表示或在此以其他方式描述的逻辑和/或步骤,例如,可以被认为是用于实现逻辑功能的可执行指令的定序列表,可以具体实现在任何计算机可读介质中,以供指令执行系统、装置或设备(如基于计算机的系统、包括处理器的系统或其他可以从指令执行系统、装置或设备取指令并执行指令的系统)使用,或结合这些指令执行系统、装置或设备而使用。就本说明书而言,“计算机可读介质”可以是任何可以包含、存储、通信、传播或传输程序以供指令执行系统、装置或设备或结合这些指令执行系统、装置或设备而使用的装置。The logic and/or steps represented in the flowcharts or otherwise described herein, for example, can be considered as a sequenced listing of executable instructions for implementing logical functions, can be embodied in any computer-readable medium, For use with instruction execution systems, devices, or devices (such as computer-based systems, systems including processors, or other systems that can fetch instructions from instruction execution systems, devices, or devices and execute instructions), or in conjunction with these instruction execution systems, devices or equipment used. For the purposes of this specification, a "computer-readable medium" may be any device that can contain, store, communicate, propagate or transmit a program for use in or in conjunction with an instruction execution system, device or device.
计算机可读介质的更具体的示例(非穷尽性列表)包括以下:具有一个或多个布线的电连接部(电子装置),便携式计算机盘盒(磁装置),随机存取存储器(RAM),只读存储器(ROM),可擦除可编辑只读存储器(EPROM或闪速存储器),光纤装置,以及便携式光盘只读存储器(CDROM)。另外,计算机可读介质甚至可以是可在其上打印所述程序的纸或其他合适的介质,因为可以例如通过对纸或其他介质进行光学扫描,接着进行编辑、解译或必要时以其他合适方式进行处理来以电子方式获得所述程序,然后将其存储在计算机存储器中。More specific examples (non-exhaustive list) of computer-readable media include the following: electrical connection with one or more wires (electronic device), portable computer disk case (magnetic device), random access memory (RAM), Read Only Memory (ROM), Erasable and Editable Read Only Memory (EPROM or Flash Memory), Fiber Optic Devices, and Portable Compact Disc Read Only Memory (CDROM). In addition, the computer-readable medium may even be paper or other suitable medium on which the program can be printed, since the program can be read, for example, by optically scanning the paper or other medium, followed by editing, interpretation or other suitable processing if necessary. processing to obtain the program electronically and store it in computer memory.
应当理解,本发明的各部分可以用硬件、软件、固件或它们的组合来实现。在上述实施方式中,多个步骤或方法可以用存储在存储器中且由合适的指令执行系统执行的软件或固件来实现。例如,如果用硬件来实现,和在另一实施方式中一样,可用本领域公知的下列技术中的任一项或他们的组合来实现:具有用于对数据信号实现逻辑功能的逻辑门电路的离散逻辑电路,具有合适的组合逻辑门电路的专用集成电路,可编程门阵列(PGA),现场可编程门阵列(FPGA)等。It should be understood that various parts of the present invention can be realized by hardware, software, firmware or their combination. In the embodiments described above, various steps or methods may be implemented by software or firmware stored in memory and executed by a suitable instruction execution system. For example, if implemented in hardware, as in another embodiment, it can be implemented by any one or combination of the following techniques known in the art: Discrete logic circuits, ASICs with suitable combinational logic gates, programmable gate arrays (PGAs), field programmable gate arrays (FPGAs), etc.
在本说明书的上述描述中,参考术语“一个实施方式/实施例”、“另一实施方式/实施例”或“某些实施方式/实施例”等的描述意指结合实施方式或示例描述的具体特征、结构、材料或者特点包含于本发明的至少一个实施方式或示例中。在本说明书中,对上述术语的示意性表述不一定指的是相同的实施方式或示例。而且,描述的具体特征、结构、材料或者特点可以在任何的一个或多个实施方式或示例中以合适的方式结合。In the above description of this specification, the description with reference to the terms "one embodiment/example", "another embodiment/example" or "some embodiments/example" means that the description is described in conjunction with the embodiment or example. A particular feature, structure, material, or characteristic is included in at least one embodiment or example of the invention. In this specification, schematic representations of the above terms do not necessarily refer to the same embodiment or example. Furthermore, the described specific features, structures, materials or characteristics may be combined in any suitable manner in any one or more embodiments or examples.
尽管已经示出和描述了本发明的实施方式,本领域的普通技术人员可以理解:在不脱离本发明的原理和宗旨的情况下可以对这些实施方式进行多种变化、修改、替换和变型,本发明的范围由权利要求及其等同物限定。Although the embodiments of the present invention have been shown and described, those skilled in the art can understand that various changes, modifications, substitutions and variations can be made to these embodiments without departing from the principle and spirit of the present invention. The scope of the invention is defined by the claims and their equivalents.
以上是对本发明的较佳实施进行了具体说明,但本发明并不限于上述实施例,熟悉本领域的技术人员在不违背本发明精神的前提下还可做作出种种的等同变形或替换,这些等同的变形或替换均包含在本申请权利要求所限定的范围内。The above is a specific description of the preferred implementation of the present invention, but the present invention is not limited to the above-mentioned embodiments, and those skilled in the art can also make various equivalent deformations or replacements without violating the spirit of the present invention. Equivalent modifications or replacements are all within the scope defined by the claims of the present application.
| Application Number | Priority Date | Filing Date | Title |
|---|---|---|---|
| CN202111044795.2ACN113850481B (en) | 2021-09-07 | 2021-09-07 | Power system dispatching service auxiliary decision-making method, system, device and storage medium |
| Application Number | Priority Date | Filing Date | Title |
|---|---|---|---|
| CN202111044795.2ACN113850481B (en) | 2021-09-07 | 2021-09-07 | Power system dispatching service auxiliary decision-making method, system, device and storage medium |
| Publication Number | Publication Date |
|---|---|
| CN113850481A CN113850481A (en) | 2021-12-28 |
| CN113850481Btrue CN113850481B (en) | 2022-12-16 |
| Application Number | Title | Priority Date | Filing Date |
|---|---|---|---|
| CN202111044795.2AActiveCN113850481B (en) | 2021-09-07 | 2021-09-07 | Power system dispatching service auxiliary decision-making method, system, device and storage medium |
| Country | Link |
|---|---|
| CN (1) | CN113850481B (en) |
| Publication number | Priority date | Publication date | Assignee | Title |
|---|---|---|---|---|
| CN116345470B (en)* | 2023-05-31 | 2023-08-08 | 国网冀北电力有限公司 | Knowledge-graph-fused power system power flow optimization method and device |
| CN117114092B (en)* | 2023-08-09 | 2024-04-30 | 昆仑数智科技有限责任公司 | Conduction updating method, system, equipment and medium for oil and gas reserves calculation data |
| CN118763796B (en)* | 2024-06-07 | 2025-08-01 | 北京华创绿能工程管理咨询有限公司 | Digital twinning-based offshore wind farm switching operation management system and method |
| CN118659462B (en)* | 2024-08-19 | 2024-11-05 | 安徽继远软件有限公司 | Source-load scene generation method based on depth map generation model and multimodal data |
| Publication number | Priority date | Publication date | Assignee | Title |
|---|---|---|---|---|
| CN111539586A (en)* | 2020-06-05 | 2020-08-14 | 中国电力科学研究院有限公司 | Power dispatching center and decision-making assisting method |
| Publication number | Priority date | Publication date | Assignee | Title |
|---|---|---|---|---|
| US10983514B2 (en)* | 2016-05-09 | 2021-04-20 | Strong Force Iot Portfolio 2016, Llc | Methods and systems for equipment monitoring in an Internet of Things mining environment |
| CN109038660B (en)* | 2018-07-27 | 2022-03-29 | 上海电力学院 | Wind power grid-connected system reactive power planning method considering static voltage stability |
| US11025089B2 (en)* | 2018-11-13 | 2021-06-01 | Siemens Aktiengesellschaft | Distributed energy resource management system |
| CN111582571A (en)* | 2020-04-30 | 2020-08-25 | 中国电力科学研究院有限公司 | Power grid operation situation sensing method and system with model driving and data driving integrated |
| CN113283704B (en)* | 2021-04-23 | 2024-05-14 | 内蒙古电力(集团)有限责任公司乌兰察布电业局 | Intelligent power grid fault handling system and method based on knowledge graph |
| CN113283619A (en)* | 2021-06-11 | 2021-08-20 | 广西电网有限责任公司南宁供电局 | Power failure maintenance planning auxiliary method and system based on knowledge graph |
| CN113346504B (en)* | 2021-06-17 | 2022-06-28 | 国家电网有限公司 | Active distribution network voltage control method based on data knowledge drive |
| Publication number | Priority date | Publication date | Assignee | Title |
|---|---|---|---|---|
| CN111539586A (en)* | 2020-06-05 | 2020-08-14 | 中国电力科学研究院有限公司 | Power dispatching center and decision-making assisting method |
| Publication number | Publication date |
|---|---|
| CN113850481A (en) | 2021-12-28 |
| Publication | Publication Date | Title |
|---|---|---|
| CN113850481B (en) | Power system dispatching service auxiliary decision-making method, system, device and storage medium | |
| US20250210996A1 (en) | Power grid real-time scheduling optimization method and system, computer device and storage medium | |
| EP4024295A1 (en) | Optimization method and apparatus for integrated energy system and computer readable storage medium | |
| CN107968439B (en) | Joint Optimization Algorithm of Active Distribution Network Based on Mixed Integer Linear Programming | |
| EP4024279A1 (en) | Integrated energy system simulation method, apparatus and computer-readable storage medium | |
| EP4020260A1 (en) | Method and apparatus for controlling integrated energy system, and computer-readable storage medium | |
| CN116599151A (en) | Source-network-storage-load security management method based on multi-source data | |
| CN113346484A (en) | Power distribution network elasticity improving method and system considering transient uncertainty | |
| CN110212551B (en) | Microgrid Automatic Reactive Power Control Method Based on Convolutional Neural Network | |
| CN116207739A (en) | Optimal scheduling method and device for power distribution network, computer equipment and storage medium | |
| CN117220318B (en) | Power grid digital drive control method and system | |
| Yan et al. | Development of a tool for urban microgrid optimal energy planning and management | |
| CN109102146A (en) | Study of Risk Evaluation Analysis for Power System accelerated method based on multi-parameter linear programming | |
| CN115293649A (en) | Intelligent fine loss reduction method for regional distribution network | |
| Ge et al. | Improved adaptive gray wolf genetic algorithm for photovoltaic intelligent edge terminal optimal configuration | |
| CN117650548A (en) | Comprehensive energy operation optimization method and system based on hydrogen energy storage cooperation | |
| Liu et al. | A closed‐loop representative day selection framework for generation and transmission expansion planning with demand response | |
| CN105633950B (en) | A kind of probabilistic multiple target Random-fuzzy Dynamic Optimal Power Flow Problem method for solving of consideration wind-powered electricity generation injection | |
| CN115912437A (en) | Electrochemical energy storage power station AGC model and control method thereof | |
| CN106339773A (en) | Sensitivity-based active power distribution network distributed power source constant-capacity planning method | |
| CN107016470A (en) | Wind power plant wind energy Forecasting Methodology and device | |
| CN117895470A (en) | Real-time scheduling optimization method and system for source network charge storage | |
| CN113067364B (en) | Wind-solar hybrid system and photovoltaic capacity configuration method thereof | |
| Ymeri et al. | Impact of Photovoltaic Systems Placement, Sizing on Power Quality in Distribution Network. | |
| Sanaei et al. | New PSO-GWO-based model for enhancing power quality in electrical networks interconnected with photovoltaic sources |
| Date | Code | Title | Description |
|---|---|---|---|
| PB01 | Publication | ||
| PB01 | Publication | ||
| SE01 | Entry into force of request for substantive examination | ||
| SE01 | Entry into force of request for substantive examination | ||
| GR01 | Patent grant | ||
| GR01 | Patent grant |