Movatterモバイル変換


[0]ホーム

URL:


CN113835000A - A distribution network fault location method, device, terminal and storage medium - Google Patents

A distribution network fault location method, device, terminal and storage medium
Download PDF

Info

Publication number
CN113835000A
CN113835000ACN202111115651.1ACN202111115651ACN113835000ACN 113835000 ACN113835000 ACN 113835000ACN 202111115651 ACN202111115651 ACN 202111115651ACN 113835000 ACN113835000 ACN 113835000A
Authority
CN
China
Prior art keywords
fault
topology
power distribution
nodes
sub
Prior art date
Legal status (The legal status is an assumption and is not a legal conclusion. Google has not performed a legal analysis and makes no representation as to the accuracy of the status listed.)
Granted
Application number
CN202111115651.1A
Other languages
Chinese (zh)
Other versions
CN113835000B (en
Inventor
袁智勇
黄秉开
白浩
李荣斌
潘姝慧
钟振鑫
雷金勇
卓定明
周长城
李冠桥
孙方坤
肖东裕
郭琦
孙奇珍
Current Assignee (The listed assignees may be inaccurate. Google has not performed a legal analysis and makes no representation or warranty as to the accuracy of the list.)
China South Power Grid International Co ltd
Huizhou Power Supply Bureau of Guangdong Power Grid Co Ltd
Original Assignee
China South Power Grid International Co ltd
Huizhou Power Supply Bureau of Guangdong Power Grid Co Ltd
Priority date (The priority date is an assumption and is not a legal conclusion. Google has not performed a legal analysis and makes no representation as to the accuracy of the date listed.)
Filing date
Publication date
Application filed by China South Power Grid International Co ltd, Huizhou Power Supply Bureau of Guangdong Power Grid Co LtdfiledCriticalChina South Power Grid International Co ltd
Priority to CN202111115651.1ApriorityCriticalpatent/CN113835000B/en
Publication of CN113835000ApublicationCriticalpatent/CN113835000A/en
Application grantedgrantedCritical
Publication of CN113835000BpublicationCriticalpatent/CN113835000B/en
Activelegal-statusCriticalCurrent
Anticipated expirationlegal-statusCritical

Links

Images

Classifications

Landscapes

Abstract

Translated fromChinese

本申请公开了一种配电网故障定位方法、装置、终端及存储介质,本申请提供的方法通过借助配电系统原有的测量设备,获取故障区域内配电节点的电气量数据,再加上故障配电网的配电节点拓扑数据,按照预设的子拓扑结构形式,将故障区域内的配电节点划分成若干个配电节点子拓扑,以便将复杂的配电网拓扑结构进行细分成多个简单的子拓扑结构,再设置假定故障点,构建电气量约束关系方程组,若该电气量约束关系方程组有解,则可以根据求解结果,确定目标假定故障点的位置,从而确定该目标假定故障点所在线路区段的故障位置,解决了现有的故障定位方法在配电网结构较为复杂时,容易出现定位精度低的技术问题。

Figure 202111115651

The present application discloses a distribution network fault location method, device, terminal and storage medium. The method provided by the present application obtains the electrical quantity data of the power distribution nodes in the fault area by using the original measurement equipment of the power distribution system, and then adds According to the distribution node topology data of the faulty distribution network, according to the preset sub-topology structure, the distribution nodes in the fault area are divided into several distribution node sub-topologies, so that the complex distribution network topology can be detailed. Divide it into multiple simple sub-topology structures, and then set the assumed fault point to construct the electrical quantity constraint relation equation set. If the electrical quantity constraint relation equation set has a solution, the position of the target assumed fault point can be determined according to the solution result, so as to Determining the fault position of the line section where the target assumed fault point is located solves the technical problem that the existing fault location method is prone to low location accuracy when the structure of the distribution network is complex.

Figure 202111115651

Description

Power distribution network fault positioning method and device, terminal and storage medium
Technical Field
The application relates to the technical field of power distribution network fault location, in particular to a power distribution network fault location method, device, terminal and storage medium.
Background
The power transmission line is a basic device for power generation, transmission, and the like in the power system, and plays a very important role in the power system. When the power transmission line has a fault, if fault location can be quickly and accurately carried out, not only is the fault line timely repaired, and reliable power supply of the power system is ensured, but also the safety, stability and economic operation of the power system are very important.
At present, a common fault location method is mainly a traveling wave location method, and the traveling wave location method is based on a transient traveling wave transmission theory, so that a transient traveling wave is generated in a line after a ground fault occurs, and is transmitted from a fault point to the line. The traveling wave detection device receives the traveling wave signal, and the fault distance can be calculated according to the corresponding relation between the traveling wave time and the transmission distance when the fault current or voltage traveling wave propagates on the line. Because the traveling wave positioning method is not influenced by transition resistance, system parameters and operation modes, the power distribution network gradually starts to apply the traveling wave positioning method to carry out fault positioning in recent years, but when the power distribution network structure in a fault range is complex, the fault positioning is carried out by the traveling wave positioning method, and the technical problem of low positioning accuracy is easy to occur.
Disclosure of Invention
The application provides a power distribution network fault positioning method, a power distribution network fault positioning device, a power distribution network fault positioning terminal and a storage medium, which are used for solving the technical problem that the positioning accuracy is low easily when the structure of a power distribution network is complex in the existing fault positioning method.
The application provides a power distribution network fault positioning method in a first aspect, which includes:
the method comprises the steps of obtaining distribution node topology data of a fault distribution network and electric quantity data of distribution nodes in a fault area, wherein the distribution node topology data comprise node distance data among the distribution nodes.
And dividing the power distribution nodes in the fault area into a plurality of power distribution node sub-topologies by combining a preset sub-topology structure form according to the power distribution node topology data.
Based on the structural form of the distribution node sub-topology, setting an assumed fault point in the distribution node sub-topology, wherein the assumed fault point is set on a line section between each pair of adjacent distribution nodes in the distribution node sub-topology.
Based on the power distribution nodes, the assumed fault points and the electrical quantity data in the power distribution node sub-topology, and in combination with the electrical quantity relationship of the power distribution node sub-topology, an electrical quantity constraint relationship equation set is constructed based on a target assumed fault point, wherein the target assumed fault point is one of the assumed fault points.
And solving the electrical quantity constraint relation equation set, and when the electrical quantity constraint relation equation set has a solution, obtaining the position of the target assumed fault point according to the solution result of the electrical quantity constraint relation equation set so as to determine the fault position of the line section where the target assumed fault point is located according to the position of the target assumed fault point.
Preferably, the sub-topology form comprises: t type structure and I type structure, wherein, T type structure contains 4 distribution nodes, I type distribution node contains 3 distribution nodes.
Preferably, the method further comprises the following steps:
and constructing a plurality of electrical quantity constraint relation equation sets according to all the distribution node sub-topologies and the assumed fault point, so as to determine the fault position of the fault area according to the solution result of each electrical quantity constraint relation equation set.
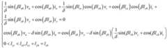
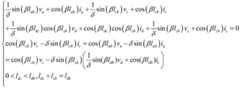
Preferably, when the structural form of the distribution node sub-topology is a T-type structure, the electrical quantity relationship of the distribution node sub-topology is as follows:
Figure BDA0003275151680000021
where a, b, c, d represent distribution nodes, x, y, z represent assumed fault points for the ab, cb and db sections, respectively, i represents the current flowing through the nodes, v represents the voltage at the nodes, l represents the distance between the nodes, β represents the unit line impedance ratio, and δ represents the line impedance product.
Preferably, when the structural form of the distribution node sub-topology is a T-type structure, the expression of the electrical quantity constraint relation equation set is as follows:
Figure BDA0003275151680000031
or
Figure BDA0003275151680000032
Or
Figure BDA0003275151680000033
Where a, b, c, d represent distribution nodes, x, y, z represent assumed fault points for the ab, cb and db sections, respectively, i represents the current flowing through the nodes, v represents the voltage at the nodes, l represents the distance between the nodes, β represents the unit line impedance ratio, and δ represents the line impedance product.
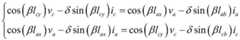
Preferably, when the structural form of the distribution node sub-topology is an I-type structure, the electrical quantity relationship of the distribution node sub-topology is as follows:
Figure BDA0003275151680000034
where a, b, c represent distribution nodes, x, y represent assumed fault points for the ab and cb sections, respectively, i represents current flowing through the nodes, v represents voltage at the nodes, l represents distance between the nodes, β represents unit line impedance ratio, and δ represents line impedance product.
Preferably, when the structural form of the distribution node sub-topology is an I-type structure, the expression of the electrical quantity constraint relation equation set is as follows:
Figure BDA0003275151680000041
or
Figure BDA0003275151680000042
Where a, b, c represent distribution nodes, x, y represent assumed fault points for the ab and cb sections, respectively, i represents current flowing through the nodes, v represents voltage at the nodes, l represents distance between the nodes, β represents unit line impedance ratio, and δ represents line impedance product.
This application second aspect provides a distribution network fault locating device, includes:
the data acquisition unit is used for acquiring distribution node topology data of a fault distribution network and electric quantity data of distribution nodes in a fault area, wherein the distribution node topology data comprises node distance data among the distribution nodes.
And the sub-topology dividing unit is used for dividing the power distribution nodes in the fault area into a plurality of power distribution node sub-topologies by combining a preset sub-topology structure form according to the power distribution node topology data.
And the assumed fault point setting unit is used for setting an assumed fault point in the distribution node sub-topology based on the structural form of the distribution node sub-topology, wherein the assumed fault point is arranged on the line section between each pair of adjacent distribution nodes in the distribution node sub-topology.
The electrical quantity constraint relation equation set building unit is used for building an electrical quantity constraint relation equation set based on the distribution nodes, the assumed fault points and the electrical quantity data in the distribution node sub-topology, combining the electrical quantity relation of the distribution node sub-topology and the target assumed fault points, wherein the target assumed fault points are one of the assumed fault points.
And the fault positioning unit is used for solving the electrical quantity constraint relation equation set, and when the electrical quantity constraint relation equation set has a solution, obtaining the position of the target assumed fault point according to the solution result of the electrical quantity constraint relation equation set so as to determine the fault position of the line section where the target assumed fault point is located according to the position of the target assumed fault point.
This application third aspect provides a distribution network fault location terminal, includes: a memory and a processor.
The memory is configured to store program code corresponding to the method for fault location of a power distribution network as provided in the first aspect of the present application.
The processor is configured to execute the program code.
A fourth aspect of the present application provides a computer-readable storage medium, in which program codes corresponding to the power distribution network fault location method according to the first aspect of the present application are stored.
According to the technical scheme, the method has the following advantages:
based on the power distribution network fault positioning method provided by the application, without the aid of external devices such as a traveling wave device and a signal injection device, the electric quantity data of the power distribution nodes in the fault area are acquired by the aid of original measuring equipment of a power distribution system, the power distribution node topological data of the fault power distribution network are added, the power distribution nodes in the fault area are divided into a plurality of power distribution node sub-topologies according to a preset sub-topological structure form so as to subdivide a complex power distribution network topological structure into a plurality of simple sub-topological structures, an assumed fault point is set based on the structure of the power distribution node sub-topologies, an electric quantity constraint relation equation set is constructed and solved according to the power distribution nodes, the assumed fault point and the acquired electric quantity data in the power distribution node sub-topologies by combining the electric quantity relation of the power distribution node sub-topologies and taking the target assumed fault point as a reference, if the electrical quantity constraint relation equation set has a solution, the position of the target assumed fault point can be determined according to the solution result, so that the fault position of the line section where the target assumed fault point is located is determined, and the technical problem that the existing fault positioning method is low in positioning accuracy easily when the structure of the power distribution network is complex is solved.
Drawings
In order to more clearly illustrate the embodiments of the present application or the technical solutions in the prior art, the drawings needed to be used in the description of the embodiments or the prior art will be briefly introduced below, and it is obvious that the drawings in the following description are only some embodiments of the present application, and it is obvious for those skilled in the art that other drawings can be obtained according to the drawings without inventive exercise.
Fig. 1 is a schematic flowchart of an embodiment of a power distribution network fault location method provided in the present application.
Fig. 2 is a schematic flowchart of another embodiment of a power distribution network fault location method provided by the present application.
Fig. 3 is a schematic diagram of a distribution node sub-topology of a T-configuration provided herein.
Fig. 4 is a schematic diagram of a power distribution node sub-topology of a type I architecture provided herein.
Fig. 5 is a schematic structural diagram of an embodiment of a power distribution network fault location device provided in the present application.
Detailed Description
The conventional traveling wave positioning method for fault positioning is based on a transient traveling wave transmission theory, a transient traveling wave is generated in a line after a ground fault occurs, the traveling wave is transmitted from a fault point to the line, a traveling wave signal is received by a traveling wave detection device, and a fault distance can be calculated according to the corresponding relation between traveling wave time and transmission distance of fault current or voltage traveling wave when the fault current or voltage traveling wave is transmitted on the line. The traveling wave method is not influenced by transition resistance, system parameters and operation modes, and has been widely applied to power transmission networks. The traveling wave positioning method can be divided into a single-end type, a double-end type and the like, in recent years, the traveling wave positioning method is gradually applied to the power distribution network, but the positioning accuracy is not high due to the complex power distribution network structure and the difficulty in detecting traveling wave signals, and the applicant finds that the problems are caused by the fact that most power distribution network lines are tree-like, the structure is complex, branch nodes are numerous, the traveling waves are prone to being reflected and superposed for many times, false fault points are misjudged, and therefore the fault positioning accuracy is affected. In addition, the existing method can only realize the position measurement and calculation of one fault, and when multiple faults occur simultaneously, the method is difficult to play a role, so that the precision of fault positioning is further influenced.
The embodiment of the application provides a power distribution network fault positioning method, a power distribution network fault positioning device, a power distribution network fault positioning terminal and a storage medium, and is used for solving the technical problem that the positioning accuracy is low easily when the structure of a power distribution network is complex in the existing fault positioning method.
In order to make the objects, features and advantages of the present invention more apparent and understandable, the technical solutions in the embodiments of the present application will be clearly and completely described below with reference to the accompanying drawings in the embodiments of the present application, and it is apparent that the embodiments described below are only a part of the embodiments of the present application, and not all of the embodiments. All other embodiments, which can be derived by a person skilled in the art from the embodiments given herein without making any creative effort, shall fall within the protection scope of the present application.
Referring to fig. 1, a method for locating a fault of a power distribution network according to a first embodiment of the present application includes:
step 101, acquiring distribution node topology data of a fault distribution network and electric quantity data of distribution nodes in a fault area.
The power distribution node topology data comprises node distance data among the power distribution nodes.
It should be noted that, when a fault event occurs in the power distribution network, firstly, the power distribution node topology data of the faulty power distribution network and the electrical quantity data of the power distribution nodes in the fault area are acquired.
And 102, dividing the power distribution nodes in the fault area into a plurality of power distribution node sub-topologies according to the power distribution node topology data and by combining a preset sub-topology structure form.
It should be noted that, based on the acquired power distribution node topology data, in combination with a preset sub-topology structure form, the power distribution node in the fault area is divided into a plurality of power distribution node sub-topologies according to the power distribution node and the topology relationship thereof in the fault area in a grid division manner.
And 103, setting an assumed fault point in the power distribution node sub-topology based on the structural form of the power distribution node sub-topology.
Wherein the fault points are assumed to be disposed on line segments between each pair of adjacent distribution nodes in the distribution node sub-topology.
And 104, establishing an electrical quantity constraint relation equation set based on the target assumed fault point by combining the electrical quantity relation of the power distribution node sub-topology based on the power distribution node, the assumed fault point and the electrical quantity data in the power distribution node sub-topology.
Wherein the target assumed fault point is one of the assumed fault points.
It should be noted that, based on the power distribution node and the assumed fault point in the power distribution node sub-topology, and the topological structure of the power distribution node sub-topology and the electrical quantity data obtained instep 101, the electrical quantity relational equation of the power distribution node sub-topology can be established by taking the parameter corresponding to the assumed fault point as an unknown variable to be solved, and then based on the electrical quantity relational equation, an electrical quantity constraint relational equation set established based on one of the assumed fault points, that is, the target assumed fault point, can be established.
And 105, solving the electrical quantity constraint relation equation set.
And 106, when the electrical quantity constraint relation equation set has a solution, obtaining the position of the target assumed fault point according to the solution result of the electrical quantity constraint relation equation set, so as to determine the fault position of the line section where the target assumed fault point is located according to the position of the target assumed fault point.
It should be noted that, based on the electrical quantity constraint relation equation set constructed instep 104, then, by performing solution operation on the electrical quantity constraint relation equation set, when there is a solution in the electrical quantity constraint relation equation set, it is stated that a section where a target assumed fault point corresponding to the electrical quantity constraint relation equation set is located has a fault, and according to a solution result of the electrical quantity constraint relation equation set, a position of the target assumed fault point is obtained, so that a fault position of a line section where the target assumed fault point is located is determined according to the position of the target assumed fault point.
When the electrical quantity constraint relation equation set is not solved, it is indicated that the section where the target assumed fault point corresponding to the electrical quantity constraint relation equation set is located has no fault, and the next electrical quantity constraint relation equation set can be continuously calculated.
The above content is a detailed description of a first embodiment of a power distribution network fault location method provided by the present application, fault location is performed by the power distribution network fault location method provided by the present application, and external devices such as a traveling wave device and a signal injection device are not needed, and only by using original measurement equipment of a power distribution system, electrical quantity data of a power distribution node in a fault area is obtained, and in addition, power distribution node topology data of a fault power distribution network is obtained, according to a preset sub-topology structure form, the power distribution node in the fault area is divided into a plurality of power distribution node sub-topologies, so that a complex power distribution network topology structure is subdivided into a plurality of simple sub-topology structures, then based on the structure of the power distribution node sub-topologies, an assumed fault point is set, according to the power distribution node in the power distribution node sub-topologies, the assumed fault point and the obtained electrical quantity data, the electrical quantity relationship of the power distribution node sub-topologies is combined, the method comprises the steps of constructing an electrical quantity constraint relation equation set by taking a target assumed fault point as a reference, and solving the electrical quantity constraint relation equation set, wherein if the electrical quantity constraint relation equation set has a solution, the position of the target assumed fault point can be determined according to the solution result, so that the fault position of a line section where the target assumed fault point is located is determined, and the technical problem that the existing fault positioning method is low in positioning accuracy easily when the structure of a power distribution network is complex is solved.
On the basis of the first embodiment, the present application further provides another more specific power distribution network fault location method, please refer to fig. 2 to 4, a power distribution network fault location method provided in a second embodiment of the present application includes:
referring to fig. 2, more specifically, the method further includes:
and 107, constructing a plurality of electrical quantity constraint relation equation sets according to all the distribution node sub-topologies and the assumed fault point, so as to determine the fault position of the fault area according to the solution result of each electrical quantity constraint relation equation set.
According to the fault location step provided by the first embodiment, a plurality of electrical quantity constraint relation equation sets are constructed, so that the fault position in the whole fault area is determined according to the solution result of each electrical quantity constraint relation equation set, and the fault location can be performed when a plurality of faults exist in the power distribution network.
More specifically, the sub-topology form mentioned in the first embodiment specifically includes: a T-type structure and an I-type structure, wherein the T-type structure comprises 4 power distribution nodes, as shown in fig. 3 specifically; the I-type power distribution node includes 3 power distribution nodes, and specifically, as shown in fig. 4, when dividing, a trunk T-type region may be preferentially divided, and selected one by one from a line starting point to an end node, when a trunk connection point has no branch line, the trunk T-type region is divided into an I-type structure region, otherwise, the trunk T-type structure region is divided into a T-type structure region.
In addition, for other complex power distribution node topological structures, when the sub-topology is divided, the sub-topology is also divided according to the two structural forms, for example, the cross-shaped topology can be divided into two sub-topologies with T-shaped structures based on a common main line power distribution node, a straight line structure is formed by more than 4 power distribution nodes on a section of branch of the power distribution node topology, the power distribution node can be divided into two groups of I-shaped structures based on a common power distribution node intersection part, and the division of other special structures can be analogized in the manner.
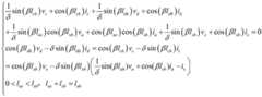
When the structural form of the distribution node sub-topology is a T-type structure, taking the topology shown in fig. 3 as an example, the electrical quantity relationship of the distribution node sub-topology is as follows:
Figure BDA0003275151680000091
where a, b, c, d represent four distribution nodes A, B, C, D, x, y, z represent assumed fault points for the ab, cb and db sections, respectively, and i represents the current flowing through the nodes, e.g., iaFor the current flowing through the distribution node A, ibFor the current flowing through distribution node B, v denotes the voltage at the node, e.g. vaFor the node voltage of the distribution node A, l representing the distance between the nodes, e.g. labLine distance, l, from distribution node A to distribution node BaxThe line distance from distribution node a to the assumed fault point x is the unknown quantity to be solved, β represents the unit line impedance ratio, and δ represents the line impedance product.
Based on the electrical quantity relationship of the sub-topology of the distribution node, the expression of the electrical quantity constraint relationship equation set comprises:
Figure BDA0003275151680000101
or
Figure BDA0003275151680000102
Or
Figure BDA0003275151680000103
The three groups of equations are based on the electrical quantity relation equation set, three assumed fault points of x, y and z are set as target assumed fault points respectively, the electrical quantity constraint relation equation set is constructed, and by solving the three electrical quantity constraint relation equation sets, if the first electrical quantity constraint relation equation set has a solution, the fault is shown to be generated between AB, and the distance between the fault position and the power distribution node A is laxIf no solution exists, the section between the AB is not in fault; if the second electrical quantity constraint relation equation system has a solution, the fault is indicated to occur between the CBs, and the distance between the fault position and the power distribution node C is lcy(ii) a If the third electrical quantity constraint relation equation system has a solution, the fault is indicated to occur between the DB, and the distance between the fault position and the power distribution node D is ldz
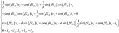
When the structural form of the distribution node sub-topology is an I-type structure, taking the topology shown in fig. 4 as an example, the electrical quantity relationship of the distribution node sub-topology is as follows:
Figure BDA0003275151680000111
where a, b, c represent distribution nodes, x, y represent assumed fault points for the ab and cb sections, respectively, i represents current flowing through the nodes, v represents voltage at the nodes, l represents distance between the nodes, β represents unit line impedance ratio, and δ represents line impedance product.
Based on the electrical quantity relationship of the sub-topology of the distribution node, the expression of the electrical quantity constraint relationship equation set comprises:
Figure BDA0003275151680000112
or
Figure BDA0003275151680000113
Similar to the T-shaped structure, the two sets of equations are based on the electrical quantity relation equation set, x and y two assumed fault points are set as target assumed fault points respectively, the electrical quantity constraint relation equation set is constructed, and by solving the two electrical quantity constraint relation equation sets, if the first electrical quantity constraint relation equation set has a solution, the fault is shown to occur between AB, and the distance between the fault position and the power distribution node A is laxIf no solution exists, the section between the AB is not in fault; if the second electrical quantity constraint relation equation system has a solution, the fault is indicated to occur between the CBs, and the distance between the fault position and the power distribution node C is lcy
The above content is a detailed description of the power distribution network fault location method provided in the second embodiment of the present application, and the following content is a detailed description of an embodiment of a power distribution network fault location device provided in the present application.
Referring to fig. 5, a third embodiment of the present application provides a power distribution network fault locating device, including:
the data acquisition unit 201 is configured to acquire power distribution node topology data of a faulty power distribution network and electric quantity data of power distribution nodes in a faulty area, where the power distribution node topology data includes node distance data between power distribution nodes.
And the sub-topology dividing unit 202 is configured to divide the power distribution nodes in the fault area into a plurality of power distribution node sub-topologies according to the power distribution node topology data and by combining a preset sub-topology structure form.
A hypothetical fault point setting unit 203 for setting a hypothetical fault point in the distribution node sub-topology based on a structural form of the distribution node sub-topology, wherein the hypothetical fault point is set on a line section between each pair of adjacent distribution nodes in the distribution node sub-topology.
The electrical quantity constraint relation equation set establishing unit 204 is configured to establish an electrical quantity constraint relation equation set based on a power distribution node, an assumed fault point and electrical quantity data in a power distribution node sub-topology, and based on a target assumed fault point, the target assumed fault point being one of the assumed fault points, by combining an electrical quantity relation of the power distribution node sub-topology.
And the fault positioning unit 205 is configured to solve the electrical quantity constraint relation equation set, and when the electrical quantity constraint relation equation set has a solution, obtain a position of the target assumed fault point according to a solution result of the electrical quantity constraint relation equation set, so as to determine a fault position of the line section where the target assumed fault point is located according to the position of the target assumed fault point.
It is clear to those skilled in the art that, for convenience and brevity of description, the specific working processes of the above-described apparatuses and units may refer to the corresponding processes in the foregoing method embodiments, and are not described herein again.
In the several embodiments provided in the present application, it should be understood that the disclosed apparatus and method may be implemented in other ways. For example, the above-described apparatus embodiments are merely illustrative, and for example, the division of the units is only one logical division, and other divisions may be realized in practice, for example, a plurality of units or components may be combined or integrated into another system, or some features may be omitted, or not executed. In addition, the shown or discussed mutual coupling or direct coupling or communication connection may be an indirect coupling or communication connection through some interfaces, devices or units, and may be in an electrical, mechanical or other form.
The terms "first," "second," "third," "fourth," and the like in the description of the application and the above-described figures, if any, are used for distinguishing between similar elements and not necessarily for describing a particular sequential or chronological order. It is to be understood that the data so used is interchangeable under appropriate circumstances such that the embodiments of the application described herein are, for example, capable of operation in sequences other than those illustrated or otherwise described herein. Furthermore, the terms "comprises," "comprising," and "having," and any variations thereof, are intended to cover a non-exclusive inclusion, such that a process, method, system, article, or apparatus that comprises a list of steps or elements is not necessarily limited to those steps or elements expressly listed, but may include other steps or elements not expressly listed or inherent to such process, method, article, or apparatus.
The units described as separate parts may or may not be physically separate, and parts displayed as units may or may not be physical units, may be located in one place, or may be distributed on a plurality of network units. Some or all of the units can be selected according to actual needs to achieve the purpose of the solution of the embodiment.
In addition, functional units in the embodiments of the present invention may be integrated into one processing unit, or each unit may exist alone physically, or two or more units are integrated into one unit. The integrated unit can be realized in a form of hardware, and can also be realized in a form of a software functional unit.
The integrated unit, if implemented in the form of a software functional unit and sold or used as a stand-alone product, may be stored in a computer readable storage medium. Based on such understanding, the technical solution of the present invention may be embodied in the form of a software product, which is stored in a storage medium and includes instructions for causing a computer device (which may be a personal computer, a server, or a network device) to execute all or part of the steps of the method according to the embodiments of the present invention. And the aforementioned storage medium includes: a U-disk, a removable hard disk, a Read-Only Memory (ROM), a Random Access Memory (RAM), a magnetic disk or an optical disk, and other various media capable of storing program codes.
The above embodiments are only used to illustrate the technical solutions of the present application, and not to limit the same; although the present application has been described in detail with reference to the foregoing embodiments, it should be understood by those of ordinary skill in the art that: the technical solutions described in the foregoing embodiments may still be modified, or some technical features may be equivalently replaced; and such modifications or substitutions do not depart from the spirit and scope of the corresponding technical solutions in the embodiments of the present application.

Claims (10)

1. A power distribution network fault positioning method is characterized by comprising the following steps:
acquiring power distribution node topological data of a fault power distribution network and electric quantity data of power distribution nodes in a fault area, wherein the power distribution node topological data comprise node distance data among the power distribution nodes;
dividing the power distribution nodes in the fault area into a plurality of power distribution node sub-topologies by combining a preset sub-topology structure form according to the power distribution node topology data;
setting an assumed fault point in the distribution node sub-topology based on a structural form of the distribution node sub-topology, wherein the assumed fault point is set on a line section between each pair of adjacent distribution nodes in the distribution node sub-topology;
based on the power distribution nodes, the assumed fault points and the electrical quantity data in the power distribution node sub-topology, and in combination with the electrical quantity relationship of the power distribution node sub-topology, constructing an electrical quantity constraint relationship equation set based on target assumed fault points, wherein the target assumed fault points are one of the assumed fault points;
and solving the electrical quantity constraint relation equation set, and when the electrical quantity constraint relation equation set has a solution, obtaining the position of the target assumed fault point according to the solution result of the electrical quantity constraint relation equation set so as to determine the fault position of the line section where the target assumed fault point is located according to the position of the target assumed fault point.
2. The method according to claim 1, wherein the sub-topology form comprises: t type structure and I type structure, wherein, T type structure contains 4 distribution nodes, I type distribution node contains 3 distribution nodes.
3. The power distribution network fault location method of claim 1, further comprising:
and constructing a plurality of electrical quantity constraint relation equation sets according to all the distribution node sub-topologies and the assumed fault point, so as to determine the fault position of the fault area according to the solution result of each electrical quantity constraint relation equation set.
4. The method according to claim 2, wherein when the sub-topology of the distribution node is in a T-shaped structure, the sub-topology of the distribution node has an electrical quantity relationship of:
Figure FDA0003275151670000021
where a, b, c, d represent distribution nodes, x, y, z represent assumed fault points for the ab, cb and db sections, respectively, i represents the current flowing through the nodes, v represents the voltage at the nodes, l represents the distance between the nodes, β represents the unit line impedance ratio, and δ represents the line impedance product.
5. The method for locating the fault of the power distribution network according to claim 4, wherein when the structural form of the sub-topology of the power distribution node is a T-shaped structure, the expression of the electrical quantity constraint relation equation set is as follows:
Figure FDA0003275151670000022
or
Figure FDA0003275151670000023
Or
Figure FDA0003275151670000031
Where a, b, c, d represent distribution nodes, x, y, z represent assumed fault points for the ab, cb and db sections, respectively, i represents the current flowing through the nodes, v represents the voltage at the nodes, l represents the distance between the nodes, β represents the unit line impedance ratio, and δ represents the line impedance product.
6. The method according to claim 2, wherein when the sub-topology of the distribution node is in an I-type structure, the sub-topology of the distribution node has an electrical quantity relationship of:
Figure FDA0003275151670000032
where a, b, c represent distribution nodes, x, y represent assumed fault points for the ab and cb sections, respectively, i represents current flowing through the nodes, v represents voltage at the nodes, l represents distance between the nodes, β represents unit line impedance ratio, and δ represents line impedance product.
7. The method for locating the fault of the power distribution network according to claim 6, wherein when the structural form of the sub-topology of the power distribution node is an I-type structure, the expression of the electrical quantity constraint relation equation set is as follows:
Figure FDA0003275151670000033
or
Figure FDA0003275151670000041
Where a, b, c represent distribution nodes, x, y represent assumed fault points for the ab and cb sections, respectively, i represents current flowing through the nodes, v represents voltage at the nodes, l represents distance between the nodes, β represents unit line impedance ratio, and δ represents line impedance product.
8. A distribution network fault locating device, characterized by includes:
the data acquisition unit is used for acquiring distribution node topology data of a fault distribution network and electric quantity data of distribution nodes in a fault area, wherein the distribution node topology data comprises node distance data among the distribution nodes;
the sub-topology dividing unit is used for dividing the power distribution nodes in the fault area into a plurality of power distribution node sub-topologies by combining a preset sub-topology structure form according to the power distribution node topology data;
a hypothetical fault point setting unit configured to set a hypothetical fault point in the distribution node sub-topology based on a structural form of the distribution node sub-topology, wherein the hypothetical fault point is set on a line segment between each pair of adjacent distribution nodes in the distribution node sub-topology;
the electrical quantity constraint relation equation set building unit is used for building an electrical quantity constraint relation equation set based on a power distribution node, an assumed fault point and the electrical quantity data in the power distribution node sub-topology, combining the electrical quantity relation of the power distribution node sub-topology and a target assumed fault point, wherein the target assumed fault point is one of the assumed fault points;
and the fault positioning unit is used for solving the electrical quantity constraint relation equation set, and when the electrical quantity constraint relation equation set has a solution, obtaining the position of the target assumed fault point according to the solution result of the electrical quantity constraint relation equation set so as to determine the fault position of the line section where the target assumed fault point is located according to the position of the target assumed fault point.
9. A distribution network fault location terminal, characterized by includes: a memory and a processor;
the memory is used for storing program codes, and the program codes correspond to the power distribution network fault location method in any one of claims 1 to 7;
the processor is configured to execute the program code.
10. A computer-readable storage medium, characterized in that the computer-readable storage medium has stored therein a program code corresponding to the power distribution network fault location method according to any one of claims 1 to 7.
CN202111115651.1A2021-09-232021-09-23 A distribution network fault location method, device, terminal and storage mediumActiveCN113835000B (en)

Priority Applications (1)

Application NumberPriority DateFiling DateTitle
CN202111115651.1ACN113835000B (en)2021-09-232021-09-23 A distribution network fault location method, device, terminal and storage medium

Applications Claiming Priority (1)

Application NumberPriority DateFiling DateTitle
CN202111115651.1ACN113835000B (en)2021-09-232021-09-23 A distribution network fault location method, device, terminal and storage medium

Publications (2)

Publication NumberPublication Date
CN113835000Atrue CN113835000A (en)2021-12-24
CN113835000B CN113835000B (en)2024-04-12

Family

ID=78969483

Family Applications (1)

Application NumberTitlePriority DateFiling Date
CN202111115651.1AActiveCN113835000B (en)2021-09-232021-09-23 A distribution network fault location method, device, terminal and storage medium

Country Status (1)

CountryLink
CN (1)CN113835000B (en)

Cited By (4)

* Cited by examiner, † Cited by third party
Publication numberPriority datePublication dateAssigneeTitle
CN115586402A (en)*2022-12-092023-01-10安徽中鑫继远信息技术股份有限公司Power distribution network fault diagnosis and processing method
CN116626540A (en)*2023-07-252023-08-22国网山东省电力公司莱芜供电公司 Disconnection fault interval determination method, system, terminal and storage medium
CN117454315A (en)*2023-12-212024-01-26国网浙江省电力有限公司宁波供电公司 Human-machine terminal screen data interaction method and system
CN119247049A (en)*2024-12-052025-01-03南京南瑞信息通信科技有限公司 A fault location method and system for a power grid system

Citations (14)

* Cited by examiner, † Cited by third party
Publication numberPriority datePublication dateAssigneeTitle
US20020053912A1 (en)*2000-07-112002-05-09Murari SahaMethod and device of fault location for distribution networks
US6420876B1 (en)*1998-03-092002-07-16Abb AbFault location in a medium-voltage network
CN102565623A (en)*2011-12-212012-07-11北京交通大学Method and device for online fault search positioning of multi-branch complex distribution network
US20140229127A1 (en)*2013-02-132014-08-14Alstom Grid, Inc.Electrical fault location determination in a distribution system based on phasor information
US20150226781A1 (en)*2014-02-072015-08-13Mitsubishi Electric Research Laboratories, Inc.Method for Fault Location Analysis of Ungrounded Distribution Systems
US20160282397A1 (en)*2013-12-062016-09-29Abb Inc.Systems and methods for identifying faulted segments in multiphase power networks
CN108152673A (en)*2017-12-152018-06-12国网江苏省电力有限公司南京供电分公司 A Hierarchical Fault Location Method for Active Distribution Network Using Multi-source Data
CN108594076A (en)*2018-04-282018-09-28国网安徽省电力公司A kind of power distribution network power-off fault analysis method
CN109444665A (en)*2018-12-172019-03-08山东大学The unrelated Fault Locating Method of power distribution network multiple-limb overhead transmission line parameter and system
CN109799424A (en)*2019-01-182019-05-24西安工程大学T-type line fault distance-finding method based on longitudinal impedance
CN112162176A (en)*2020-09-302021-01-01国网河南省电力公司洛阳供电公司Power distribution network interphase short circuit fault positioning method based on mu PMU measurement data
CN112649695A (en)*2020-10-052021-04-13华北电力大学Power quality assessment scheme for power distribution network based on node full coverage
CN113156266A (en)*2021-04-162021-07-23华中科技大学Power distribution network fault positioning method based on voltage distribution and traveling wave characteristics along line
US20230021610A1 (en)*2019-12-022023-01-26Purdue Research FoundationEfficient Fault Prevention and Repair in Complex Systems

Patent Citations (14)

* Cited by examiner, † Cited by third party
Publication numberPriority datePublication dateAssigneeTitle
US6420876B1 (en)*1998-03-092002-07-16Abb AbFault location in a medium-voltage network
US20020053912A1 (en)*2000-07-112002-05-09Murari SahaMethod and device of fault location for distribution networks
CN102565623A (en)*2011-12-212012-07-11北京交通大学Method and device for online fault search positioning of multi-branch complex distribution network
US20140229127A1 (en)*2013-02-132014-08-14Alstom Grid, Inc.Electrical fault location determination in a distribution system based on phasor information
US20160282397A1 (en)*2013-12-062016-09-29Abb Inc.Systems and methods for identifying faulted segments in multiphase power networks
US20150226781A1 (en)*2014-02-072015-08-13Mitsubishi Electric Research Laboratories, Inc.Method for Fault Location Analysis of Ungrounded Distribution Systems
CN108152673A (en)*2017-12-152018-06-12国网江苏省电力有限公司南京供电分公司 A Hierarchical Fault Location Method for Active Distribution Network Using Multi-source Data
CN108594076A (en)*2018-04-282018-09-28国网安徽省电力公司A kind of power distribution network power-off fault analysis method
CN109444665A (en)*2018-12-172019-03-08山东大学The unrelated Fault Locating Method of power distribution network multiple-limb overhead transmission line parameter and system
CN109799424A (en)*2019-01-182019-05-24西安工程大学T-type line fault distance-finding method based on longitudinal impedance
US20230021610A1 (en)*2019-12-022023-01-26Purdue Research FoundationEfficient Fault Prevention and Repair in Complex Systems
CN112162176A (en)*2020-09-302021-01-01国网河南省电力公司洛阳供电公司Power distribution network interphase short circuit fault positioning method based on mu PMU measurement data
CN112649695A (en)*2020-10-052021-04-13华北电力大学Power quality assessment scheme for power distribution network based on node full coverage
CN113156266A (en)*2021-04-162021-07-23华中科技大学Power distribution network fault positioning method based on voltage distribution and traveling wave characteristics along line

Non-Patent Citations (2)

* Cited by examiner, † Cited by third party
Title
LINQI GUO 等: "Line Failure Localization of Power Networks Part I: Non-Cut Outages", IEEE TRANSACTIONS ON POWER SYSTEMS, vol. 36, no. 5, pages 4140 - 4151, XP011873293, DOI: 10.1109/TPWRS.2021.3066336*
宋哲: "基于微型PMU的配电网故障定位方法研究", 中国优秀硕士学位论文全文数据库 工程科技II辑, pages 042 - 701*

Cited By (6)

* Cited by examiner, † Cited by third party
Publication numberPriority datePublication dateAssigneeTitle
CN115586402A (en)*2022-12-092023-01-10安徽中鑫继远信息技术股份有限公司Power distribution network fault diagnosis and processing method
CN116626540A (en)*2023-07-252023-08-22国网山东省电力公司莱芜供电公司 Disconnection fault interval determination method, system, terminal and storage medium
CN116626540B (en)*2023-07-252023-10-13国网山东省电力公司莱芜供电公司Method, system, terminal and storage medium for judging broken line fault interval
CN117454315A (en)*2023-12-212024-01-26国网浙江省电力有限公司宁波供电公司 Human-machine terminal screen data interaction method and system
CN117454315B (en)*2023-12-212024-05-28国网浙江省电力有限公司宁波供电公司Man-machine terminal picture data interaction method and system
CN119247049A (en)*2024-12-052025-01-03南京南瑞信息通信科技有限公司 A fault location method and system for a power grid system

Also Published As

Publication numberPublication date
CN113835000B (en)2024-04-12

Similar Documents

PublicationPublication DateTitle
CN113835000A (en) A distribution network fault location method, device, terminal and storage medium
RU2171494C2 (en)Method for initializing and actualizing network model
CN108051700B (en) Phase Component Fault Location Method Based on Distribution Line Parameter Identification Based on μPMU
CN110133451B (en) Distribution network fault location method and system based on micro-PMU and dichotomy search
CN111381128B (en) Distribution network fault location method, device and server
CN112688310A (en)Line loss analysis method and device applied to power distribution network
CN109444665A (en)The unrelated Fault Locating Method of power distribution network multiple-limb overhead transmission line parameter and system
CN111141995A (en)Line double-end steady-state distance measuring method and system based on amplitude comparison principle
CN116203356B (en)Multi-fault positioning method and system for distribution network cable line
CN109474023A (en) Real-time update method, system, storage medium and terminal for intelligent distribution network segment
CN113721094B (en)Error analysis method and system for low-voltage station mining system, equipment and storage medium
CN106228459A (en)Equivalent reliability estimation method based on Monte Carlo
CN105160058A (en)Network boundary equivalence method for electromagnetic transient calculation of power grid
CN107255773B (en)Power transmission line double-end fault distance measurement method
CN113341275B (en)Method for positioning single-phase earth fault of power distribution network
CN112698150B (en)Distribution transformer monitoring terminal-based power distribution network traveling wave fault positioning method
CN110794263B (en)Method for positioning fault section of power distribution network line with distributed power supply
CN113589099A (en)Method for realizing fault location in power distribution system with multi-branch transmission line
CN107462810B (en) A fault section location method suitable for active distribution network
CN116805029A (en)Earth potential distribution calculation method, device and system based on actual measurement of direct current magnetic bias current of power grid and storage medium
CN114397534B (en) A method and device for locating voltage sag fault source
CN114609470A (en)Power distribution network fault positioning terminal optimal configuration system and method
CN105677952A (en)Transmission line fault probability evaluation method taking regard of indeterminate instability position
Zhang et al.Kalman filter approach for line parameter estimation for long transmission lines
CN104821577A (en)Three-phase four-wire system distribution network robust estimation method based on intelligent electric meter measurement

Legal Events

DateCodeTitleDescription
PB01Publication
PB01Publication
SE01Entry into force of request for substantive examination
SE01Entry into force of request for substantive examination
GR01Patent grant
GR01Patent grant

[8]ページ先頭

©2009-2025 Movatter.jp