Movatterモバイル変換


[0]ホーム

URL:


CN113819596A - Air conditioner control method and air conditioner - Google Patents

Air conditioner control method and air conditioner
Download PDF

Info

Publication number
CN113819596A
CN113819596ACN202110969271.8ACN202110969271ACN113819596ACN 113819596 ACN113819596 ACN 113819596ACN 202110969271 ACN202110969271 ACN 202110969271ACN 113819596 ACN113819596 ACN 113819596A
Authority
CN
China
Prior art keywords
air conditioner
real
time
room
heat exchange
Prior art date
Legal status (The legal status is an assumption and is not a legal conclusion. Google has not performed a legal analysis and makes no representation as to the accuracy of the status listed.)
Granted
Application number
CN202110969271.8A
Other languages
Chinese (zh)
Other versions
CN113819596B (en
Inventor
吕科磊
吕福俊
Current Assignee (The listed assignees may be inaccurate. Google has not performed a legal analysis and makes no representation or warranty as to the accuracy of the list.)
Qingdao Haier Air Conditioner Gen Corp Ltd
Qingdao Haier Air Conditioning Electric Co Ltd
Haier Smart Home Co Ltd
Original Assignee
Qingdao Haier Air Conditioner Gen Corp Ltd
Qingdao Haier Air Conditioning Electric Co Ltd
Haier Smart Home Co Ltd
Priority date (The priority date is an assumption and is not a legal conclusion. Google has not performed a legal analysis and makes no representation as to the accuracy of the date listed.)
Filing date
Publication date
Application filed by Qingdao Haier Air Conditioner Gen Corp Ltd, Qingdao Haier Air Conditioning Electric Co Ltd, Haier Smart Home Co LtdfiledCriticalQingdao Haier Air Conditioner Gen Corp Ltd
Priority to CN202110969271.8ApriorityCriticalpatent/CN113819596B/en
Publication of CN113819596ApublicationCriticalpatent/CN113819596A/en
Priority to PCT/CN2022/089874prioritypatent/WO2023024557A1/en
Application grantedgrantedCritical
Publication of CN113819596BpublicationCriticalpatent/CN113819596B/en
Activelegal-statusCriticalCurrent
Anticipated expirationlegal-statusCritical

Links

Images

Classifications

Landscapes

Abstract

Translated fromChinese

本发明提供一种空调控制方法及空调器,其中空调控制方法包括:获取空调所在房间的外墙壁的实时传热系数;根据所述实时传热系数、室外环境温度以及空调设定温度,获取标准换热量;根据所述实时传热系数以及实时室内外温度,获取空调所在房间的实时换热量;根据所述实时换热量和所述标准换热量,控制空调运行。本实施例通过获取空调所在房间的外墙壁的实时传热系数,并结合室外环境温度以及空调设定温度获得标准换热量,结合实时室内外温度获得实时换热量;根据标准换热量和实时换热量之间的关系,实时调节空调运行,这种智能调节空调运行的方法,可快速、精确地控制空调的运行,避免因调节过渡造成资源浪费,节约成本,进而提高用户体验。

Figure 202110969271

The present invention provides an air conditioner control method and an air conditioner, wherein the air conditioner control method includes: acquiring a real-time heat transfer coefficient of an outer wall of a room where the air conditioner is located; heat exchange; obtain the real-time heat exchange of the room where the air conditioner is located according to the real-time heat transfer coefficient and the real-time indoor and outdoor temperatures; control the operation of the air conditioner according to the real-time heat exchange and the standard heat exchange. In this embodiment, the real-time heat transfer coefficient of the outer wall of the room where the air conditioner is located is obtained, the standard heat exchange is obtained in combination with the outdoor ambient temperature and the air conditioner set temperature, and the real-time heat exchange is obtained in combination with the real-time indoor and outdoor temperatures; The relationship between real-time heat exchange and real-time adjustment of air-conditioning operation, this method of intelligently adjusting the operation of air-conditioning, can quickly and accurately control the operation of air-conditioning, avoid resource waste due to adjustment transition, save costs, and improve user experience.

Figure 202110969271

Description

Air conditioner control method and air conditioner
Technical Field
The invention relates to the technical field of air conditioners, in particular to an air conditioner control method and an air conditioner.
Background
With the development of society and the increasing living standard of people, air conditioners are one of the indispensable electrical devices in daily life of people. The air conditioner can help people to reach a temperature suitable for when the ambient temperature is too high or too low.
In the prior art, the opening of the compressor and the valve is controlled according to the indoor temperature, so that the requirement of a user on the indoor environment temperature is met, and the control method has the problems of inaccuracy and resource waste caused by adjustment transition.
Disclosure of Invention
The invention provides an air conditioner control method and an air conditioner, which are used for solving the problems that in the prior art, the operation reaction speed of a compressor is controlled to be slow according to the temperature requirement, the control is difficult, and the resource waste caused by the adjustment transition is easy to occur.
The invention provides an air conditioner control method, which comprises the following steps: acquiring the real-time heat transfer coefficient of the outer wall of a room where an air conditioner is located; acquiring standard heat exchange quantity according to the real-time heat transfer coefficient, the outdoor environment temperature and the set temperature of the air conditioner; acquiring real-time heat exchange quantity of a room where the air conditioner is located according to the real-time heat transfer coefficient and real-time indoor and outdoor temperatures; and controlling the operation of the air conditioner according to the real-time heat exchange quantity and the standard heat exchange quantity.
According to the air conditioner control method provided by the invention, the step of acquiring the real-time heat transfer coefficient of the outer wall of the room where the air conditioner is located comprises the following steps: monitoring outdoor real-time illumination and real-time wind speed; and acquiring the real-time heat transfer coefficient of the outer wall of the room where the air conditioner is located according to the real-time illumination and the real-time wind speed.
According to the air conditioner control method provided by the invention, the step of acquiring the real-time heat transfer coefficient of the outer wall of the room where the air conditioner is located specifically comprises the following steps: the method comprises the steps of obtaining heat transfer coefficients of the outer wall of a room where the air conditioner is located in different time periods in advance, recording illumination and wind speed corresponding to each time period, and further obtaining the corresponding relation between the heat transfer coefficients of the outer wall of the room where the air conditioner is located and the illumination and the wind speed; and acquiring the real-time heat transfer coefficient of the outer wall of the room where the air conditioner is located according to the corresponding relation between the heat transfer coefficient of the outer wall of the room where the air conditioner is located and illumination and the wind speed as well as the real-time illumination and the real-time wind speed.
According to the air conditioner control method provided by the invention, the step of obtaining the heat transfer coefficient of the outer wall of the room where the air conditioner is located in different time periods specifically comprises the following steps: in any time period, acquiring instantaneous heat change of a room where the air conditioner is located; and acquiring the heat transfer coefficient of the outer wall of the room where the air conditioner is positioned in the time period according to the instantaneous heat change of the room where the air conditioner is positioned, the indoor and outdoor temperature and the area of the outer wall of the room where the air conditioner is positioned.
According to the air conditioner control method provided by the invention, the step of acquiring the instantaneous heat change of the room where the air conditioner is located comprises the following steps: closing the outdoor unit of the air conditioner and starting a fan of the indoor unit of the air conditioner; monitoring the temperature change of the internal environment of the chamber within a preset time period; calculating the instantaneous heat change of the room where the air conditioner is located according to the following formula:
Figure BDA0003225337810000021
wherein Q issFor instantaneous heat change, C is air specific heat capacity, M is indoor air mass, T1Is a first indoor ambient temperature, T2Is the second indoor ambient temperature, and t is the preset time.
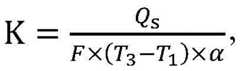
According to the air conditioner control method provided by the invention, the heat transfer coefficient of the outer wall of the room where the air conditioner is located in the time period is obtained according to the instantaneous heat change of the room where the air conditioner is located, the indoor and outdoor temperatures and the area of the outer wall of the room where the air conditioner is located, and is specifically calculated according to the following formula:
Figure BDA0003225337810000022
wherein K is that of the room where the air conditioner is locatedHeat transfer coefficient of outer wall, QsFor instantaneous heat change indoors, T3Is the outdoor ambient temperature, T1Is the first indoor environment temperature, F is the area of the outer wall, and alpha is the temperature correction coefficient.
According to the air conditioner control method provided by the invention, the step of controlling the operation of the air conditioner according to the real-time heat exchange quantity and the standard heat exchange quantity specifically comprises the following steps: when the real-time heat exchange amount is smaller than the standard heat exchange amount, controlling the frequency of a compressor of the air conditioner to be increased or adjusting the opening of a large valve; and when the real-time heat exchange amount is larger than the standard heat exchange amount, controlling the frequency of a compressor of the air conditioner to be reduced or adjusting the opening of a small valve.
The present invention also provides an air conditioner control device, including: an acquisition module: the real-time heat transfer coefficient of the outer wall of the room where the air conditioner is located is obtained; a calculation module: the system is used for acquiring standard heat exchange quantity according to the real-time heat transfer coefficient, the outdoor environment temperature and the set temperature of the air conditioner; the real-time heat exchange quantity of the room where the air conditioner is located is obtained according to the real-time heat transfer coefficient and the real-time indoor and outdoor temperatures; a control module: and the controller is used for controlling the operation of the air conditioner according to the real-time heat exchange quantity and the standard heat exchange quantity.
The invention also provides an air conditioner which comprises the air conditioner control device.
The invention also provides an electronic device, which comprises a memory, a processor and a computer program which is stored on the memory and can run on the processor, wherein the processor executes the program to realize the steps of the air conditioner control method.
According to the air conditioner control method and the air conditioner, the real-time heat transfer coefficient of the outer wall of a room where the air conditioner is located is obtained, the standard heat exchange quantity is obtained by combining the outdoor environment temperature and the set temperature of the air conditioner, and the real-time heat exchange quantity is obtained by combining the real-time indoor and outdoor temperature; according to the method for intelligently adjusting the operation of the air conditioner according to the real-time heat exchange quantity, the fact that different indoor and outdoor heat exchange quantities can be formed due to the fact that different heat transfer coefficients of the outer wall are different at different time is considered, the operation of the air conditioner can be controlled quickly and accurately, resource waste caused by adjustment transition is avoided, cost is saved, and user experience is improved.
Drawings
In order to more clearly illustrate the technical solutions of the present invention or the prior art, the drawings needed to be used in the description of the embodiments or the prior art will be briefly described below, and it is obvious that the drawings in the following description are some embodiments of the present invention, and it is obvious for those skilled in the art to obtain other drawings based on these drawings without creative efforts.
FIG. 1 is a schematic flow chart of an air conditioning control method provided by the present invention;
fig. 2 is a schematic structural diagram of an electronic device provided in the present invention.
Detailed Description
In order to make the objects, technical solutions and advantages of the present invention clearer, the technical solutions of the present invention will be clearly and completely described below with reference to the accompanying drawings, and it is obvious that the described embodiments are some, but not all embodiments of the present invention. All other embodiments, which can be derived by a person skilled in the art from the embodiments given herein without making any creative effort, shall fall within the protection scope of the present invention.
The following describes an air conditioner control method and an air conditioner provided by the present invention with reference to fig. 1 to 2.
The embodiment provides an air conditioner control method, which comprises the following steps: acquiring the real-time heat transfer coefficient of the outer wall of a room where an air conditioner is located; acquiring standard heat exchange quantity according to the real-time heat transfer coefficient, the outdoor environment temperature and the set temperature of the air conditioner; acquiring real-time heat exchange quantity of a room where the air conditioner is located according to the real-time heat transfer coefficient and the real-time indoor and outdoor temperatures; and controlling the operation of the air conditioner according to the standard heat exchange amount and the real-time heat exchange amount.
The heat transfer coefficient of a wall is affected by the environment, and the heat transfer coefficient of different walls in different environments is different. Acquiring a real-time heat transfer coefficient of an outer wall of a room where an air conditioner is located, wherein the outer wall is a wall in the room where the air conditioner is located and directly contacted with an external environment; setting the temperature of an air conditioner according to the requirements of a user, and acquiring standard heat exchange quantity according to the heat transfer coefficient of the outer wall of a room where the air conditioner is located, the outdoor environment temperature and the set temperature of the air conditioner; and acquiring the real-time heat exchange quantity of the room where the air conditioner is located according to the real-time heat transfer coefficient, the real-time indoor environment temperature and the real-time outdoor environment temperature of the room where the air conditioner is located.
Further, according to the relation between the standard heat exchange amount and the real-time heat exchange amount, controlling the operation of the air conditioner, such as adjusting the frequency of a compressor, adjusting the operation of an indoor fan or the opening degree of a valve, and the like; the operation of the air conditioner can be accurately controlled, and the waste of energy caused by adjustment transition is avoided.
In the embodiment, the real-time heat transfer coefficient of the outer wall of the room where the air conditioner is located is obtained, the standard heat exchange quantity is obtained by combining the outdoor environment temperature and the set temperature of the air conditioner, and the real-time heat exchange quantity is obtained by combining the real-time indoor and outdoor temperature; according to the method for intelligently adjusting the operation of the air conditioner according to the real-time heat exchange quantity, the fact that different indoor and outdoor heat exchange quantities can be formed due to the fact that different heat transfer coefficients of the outer wall are different at different time is considered, the operation of the air conditioner can be controlled quickly and accurately, resource waste caused by adjustment transition is avoided, cost is saved, and user experience is improved.
On the basis of the above embodiment, obtaining the real-time heat transfer coefficient of the outer wall of the room where the air conditioner is located includes: monitoring outdoor real-time illumination and real-time wind speed; and acquiring the real-time heat transfer coefficient of the outer wall of the room where the air conditioner is located according to the real-time illumination and the real-time wind speed.
The illumination and wind speed of the outdoor environment are varied, and the heat transfer coefficients of the walls corresponding to different illumination and wind speeds are different. The outdoor illumination is monitored in real time through the illumination intensity detection device; monitoring outdoor wind speed in real time through a wind speed detection device; when the illumination is fixed, the larger the wind speed is, the stronger the capability of dispersing external heat is, and the smaller the heat transfer coefficient of the wall is; when the wind speed is fixed, the stronger the illumination is, the larger the heat transfer coefficient of the wall is; and further, acquiring the real-time heat transfer coefficient of the outer wall of the room where the air conditioner is located according to the real-time illumination and the real-time wind speed.
On the basis of the above embodiment, the obtaining of the real-time heat transfer coefficient of the outer wall of the room where the air conditioner is located in the embodiment specifically includes: the method comprises the steps of obtaining heat transfer coefficients of the outer wall of a room where the air conditioner is located in different time periods in advance, recording illumination and wind speed corresponding to each time period, and further obtaining the corresponding relation between the heat transfer coefficients of the outer wall of the room where the air conditioner is located and the illumination and the wind speed.
The method comprises the steps of obtaining heat transfer coefficients of the outer wall of a room where the air conditioner is located in different time periods in advance, dividing a day into 24 time periods or 12 time periods in different time periods, obtaining the heat transfer coefficients of the outer wall of the room where the air conditioner is located in each time period, and recording illumination and wind speed corresponding to the heat transfer coefficients of the outer wall in each time period, wherein the correspondence between the heat transfer coefficients of the outer wall of the room where the air conditioner is located in the time period and the illumination and the wind speed is obtained.
In this embodiment, the division of different time periods is not specifically limited, and a user may divide the time periods into sunny days, rainy days, snowy days, and the like according to the weather conditions to obtain the heat transfer coefficients of the outer walls of the rooms in which the air conditioners are located in different weather conditions; the heat transfer coefficients of the outer walls of the rooms in which the air conditioners are located in different seasons can be obtained by dividing according to the seasons, namely spring, summer, autumn and winter; or dividing the time period according to the morning, the noon, the evening and the night to obtain the heat transfer coefficients of the outer walls of the rooms in which the air conditioners are positioned in different time periods; the actual requirements of the user can be met.
And further, acquiring the real-time heat transfer coefficient of the outer wall of the room where the air conditioner is located according to the corresponding relation between the heat transfer coefficient of the outer wall of the room where the air conditioner is located and the illumination and the wind speed, as well as the real-time illumination and the real-time wind speed.
Specifically, the illumination information of the outdoor environment is monitored in real time through the illumination intensity detection device, the wind speed information of the outdoor environment is detected in real time through the wind speed detection device, and the heat transfer coefficient of the outer wall of the room where the air conditioner is located under the current illumination and wind speed can be obtained by comparing the acquired real-time illumination and wind speed information with the pre-acquired corresponding relation between the heat transfer coefficient of the outer wall of the room where the air conditioner is located and the illumination and the wind speed.
On the basis of the above embodiment, the obtaining of the heat transfer coefficient of the outer wall of the room where the air conditioner is located in different time periods specifically includes: in any time period, acquiring instantaneous heat change of a room where the air conditioner is located; and acquiring the heat transfer coefficient of the outer wall of the room where the air conditioner is positioned in the time period according to the instantaneous heat change of the room where the air conditioner is positioned, the indoor and outdoor temperature and the area of the outer wall of the room where the air conditioner is positioned.
Specifically, in any one of the different time periods, the instantaneous heat change of the room where the air conditioner is located in the time period, that is, the heat change in the room per second is obtained; further, the indoor ambient temperature, the outdoor ambient temperature, and the area of the outer wall surface of the room where the air conditioner is located, that is, the surface area of the wall in direct contact with the external environment during the period of time are obtained, and the heat transfer coefficient of the outer wall surface of the room where the air conditioner is located during the period of time is obtained according to the instantaneous heat change of the room where the air conditioner is located, the indoor ambient temperature, the outdoor ambient temperature, and the area of the outer wall surface of the room where the air conditioner is located.
On the basis of the above embodiments, the acquiring instantaneous heat change of the room where the air conditioner is located in the present embodiment includes: closing the outdoor unit of the air conditioner and starting a fan of the indoor unit of the air conditioner; monitoring the temperature change of the internal environment of the chamber within a preset time period; calculating the instantaneous heat change of the room where the air conditioner is located according to the following formula:
Figure BDA0003225337810000071
wherein Q issFor instantaneous heat change, C is air specific heat capacity, M is indoor air mass, T1Is a first indoor ambient temperature, T2Is the second indoor ambient temperature, and t is the preset time.
In one embodiment, when the air conditioner has no operation instruction, the outdoor unit of the air conditioner is turned off, the fan of the indoor unit of the air conditioner is started, the temperature exchange in the room where the air conditioner is located is accelerated, the indoor temperature is made to be more uniform, the air supply temperature of the fan of the indoor unit of the air conditioner in the preset time period is monitored, and the first indoor environment in the preset time period is obtainedTemperature T1And a second indoor ambient temperature T2Calculating the heat of the indoor environment by combining the air specific heat capacity C and the indoor air mass M; further, the ratio of the heat in the preset time period to the time is the heat change Q of the room in which the air conditioner is located in unit timesI.e. instantaneous heat change of the room in which the air conditioner is located
Figure BDA0003225337810000072
In this embodiment, the temperature acquisition is not particularly limited, and may be a temperature of a fan port of an indoor unit, or an average temperature of an indoor room, that is, an average temperature obtained by monitoring temperatures of a plurality of locations in the room.
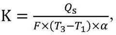
On the basis of the above embodiment, the heat transfer coefficient of the outer wall of the room where the air conditioner is located in the time period is obtained according to the instantaneous heat change of the room where the air conditioner is located, the indoor and outdoor temperatures and the area of the outer wall of the room where the air conditioner is located, and is specifically calculated according to the following formula:
Figure BDA0003225337810000073
wherein K is the heat transfer coefficient of the outer wall of the room where the air conditioner is located, and QsFor instantaneous heat change indoors, T3Is the outdoor ambient temperature, T1Is the first indoor environment temperature, F is the area of the outer wall, and alpha is the temperature correction coefficient. The temperature correction coefficient alpha can be selected by referring to the design specification of heat transfer science according to environmental factors such as wind speed and sunlight and the characteristics of the wall, and the specific value is not limited.
The embodiment monitors the outdoor environment temperature in real time to acquire the outdoor environment temperature T3And a first indoor ambient temperature T1Obtaining the change of the outdoor environment temperature and the indoor environment temperature, namely T3-T1(ii) a According to instantaneous heat transfer quantity Q in the roomsAnd the temperature change of the indoor and outdoor environment to obtain the heat transfer coefficient of the outer wall of the room where the air conditioner is positioned, namely
Figure BDA0003225337810000081
In one embodiment, the air conditioner has no operation instruction, the outdoor unit is closed, the fan of the indoor unit is started, indoor air is circulated, indoor temperature is more uniform, conditions such as local temperature of a certain part in the room are prevented from being high, the inlet air temperature of the fan of the indoor unit is recorded, when the temperature rises by 1 ℃, the time t required by the temperature rising by 1 ℃ is recorded, and the formula is used for recording the time t required by the temperature rising by 1 ℃ according to the formula
Figure BDA0003225337810000082
Calculating the instantaneous heat change of the room where the air conditioner is located; monitoring temperature T of outdoor environment3Calculating the difference between the indoor and outdoor temperatures, i.e. T3–T1(ii) a Further according to the formula
Figure BDA0003225337810000083
The heat transfer coefficient K of the outer wall of the room where the air conditioner is located in the time period can be obtained, and the outdoor illumination and the outdoor wind speed are monitored and recorded; and circulating in this way, recording the heat transfer coefficient, the illumination and the wind speed of the outer wall of the room where the air conditioner is located in each time period, and acquiring the corresponding relation between the heat transfer coefficient, the illumination and the wind speed of the outer wall of the room where the air conditioner is located in different time periods.
Further, starting the air conditioner, setting temperature according to user requirements, monitoring indoor environment temperature, outdoor environment temperature and outdoor illumination and wind speed, and comparing the outdoor illumination and wind speed with the relationship between the pre-acquired heat transfer coefficient of the outer wall of the room where the air conditioner is located and the illumination and wind speed to acquire the heat transfer coefficient of the outer wall of the room where the air conditioner is located; obtaining standard heat exchange quantity according to the heat transfer coefficient of the wall, the set temperature of the air conditioner and the outdoor environment temperature, namely obtaining the heat required when the indoor environment temperature reaches the set temperature of the air conditioner; acquiring real-time heat exchange quantity of a room where the air conditioner is located according to the heat transfer coefficient of the wall, the real-time indoor environment temperature and the real-time outdoor environment temperature; and further adjusting and controlling the operation of the air conditioner in real time according to the relation between the real-time heat exchange quantity and the standard heat exchange quantity.
On the basis of the embodiment, the control of the operation of the air conditioner according to the real-time heat exchange quantity and the standard heat exchange quantity specifically comprises the following steps: when the real-time heat exchange amount is smaller than the standard heat exchange amount, controlling the frequency of a compressor of the air conditioner to be increased or adjusting the opening of a large valve; and when the real-time heat exchange amount is larger than the standard heat exchange amount, controlling the frequency of a compressor of the air conditioner to be reduced or adjusting the opening of a small valve.
In a specific embodiment, acquiring the real-time heat transfer coefficient of the outer wall of the room where the air conditioner is located according to illumination and wind speed; the outdoor environment temperature is 40 ℃, the set temperature of the air conditioner is 27 ℃, and the air conditioner is in a refrigeration mode according to the formula: qStandard of merit=K×F×ΔT1X α, the heat required to reach an ambient indoor temperature of 27 ℃ can be calculated, where Δ T1The difference between the outdoor environment temperature and the set temperature of the air conditioner is the standard heat exchange quantity; in the running process of the air conditioner, the temperature of the room where the air conditioner is located and the outdoor environment temperature are monitored in real time according to QReal time=K×F×ΔT2X α, wherein Δ T2And calculating the real-time heat exchange quantity for the difference between the real-time outdoor temperature and the real-time indoor temperature.
Further, when the indoor ambient temperature does not reach the air conditioner set temperature, i.e., above 27 ℃, Δ T2<ΔT1The indoor real-time heat exchange amount is smaller than the standard heat exchange amount, so that the frequency of an air conditioner compressor can be increased, or the opening of a large valve can be adjusted; when the indoor environment temperature is less than 27 ℃, the indoor heat exchange amount is greater than the standard heat exchange amount, the frequency of an air conditioner compressor can be reduced, or the opening degree of a small valve can be adjusted.
When the outdoor environment temperature is 8 ℃, the set temperature of the air conditioner is 27 ℃, the air conditioner is in a heating mode, and the standard heat exchange quantity and the real-time heat exchange quantity are calculated according to a formula; when the indoor environment temperature does not reach the set temperature of the air conditioner, namely is lower than the set temperature of the air conditioner, and the indoor real-time heat exchange quantity is smaller than the standard heat exchange quantity, the frequency of the high-altitude pressure regulating compressor can be increased, or the opening degree of a large valve can be adjusted; when the indoor environment temperature is higher than the set temperature, the indoor real-time heat exchange amount is larger than the standard heat exchange amount, and the frequency of an air conditioner compressor or the opening of a small regulating valve can be reduced.
Further, when the difference value between the real-time heat exchange amount and the standard heat exchange amount is larger, the frequency adjustment amplitude of the air conditioner compressor is larger, or the adjustment of the valve opening degree is larger; the closer the real-time heat exchange amount is to the standard heat exchange amount, the smaller the amplitude of the frequency of the compressor is adjusted, or the smaller the adjustment of the opening degree of the valve is; the control method can quickly and accurately control the operation of the air conditioner, avoid resource waste caused by adjustment transition, save cost and further improve user experience.
Further, when the real-time heat exchange amount is smaller than the standard heat exchange amount, controlling the frequency of the compressor of the air conditioner to rise or adjusting the opening of the large valve specifically comprises: acquiring a difference value between the real-time heat exchange amount and the standard heat exchange amount according to the real-time heat exchange amount and the standard heat exchange amount; and controlling the frequency of a compressor of the air conditioner to be increased or adjusting the opening of the large valve according to the difference value, so that the refrigerating capacity or the heating capacity of the air conditioner is matched with the difference value. Specifically, in the refrigeration mode, the refrigeration capacity of the air conditioner is matched with the difference value; in the heating mode, the heating capacity of the air conditioner is matched with the difference value.
That is, the present embodiment proposes to convert the difference between the real-time heat exchange amount and the standard heat exchange amount into the corresponding cooling amount or heating amount, so as to accurately control the air conditioner to provide the corresponding cooling amount or heating amount, so that the real-time heat exchange amount tends to the standard heat exchange amount, i.e., the indoor real-time temperature tends to the set temperature. The embodiment provides that the operation of the air conditioner is directly controlled according to the required refrigerating capacity or heating capacity, and the air conditioner can be directly controlled to provide the corresponding refrigerating capacity or heating capacity, so that the control of the air conditioner is more accurate, efficient and energy-saving.
The following describes an air conditioning control apparatus provided by the present invention, and the air conditioning control apparatus described below and the air conditioning control method described above may be referred to in correspondence with each other.
The present embodiment also provides an air-conditioning control apparatus, where the operation control apparatus is configured to execute the above-described air-conditioning control method, and the operation air-conditioning control apparatus includes: an acquisition module: the real-time heat transfer coefficient of the outer wall of the room where the air conditioner is located is obtained; a calculation module: the system is used for acquiring standard heat exchange quantity according to the real-time heat transfer coefficient, the outdoor environment temperature and the set temperature of the air conditioner; the system is also used for acquiring real-time heat exchange quantity of a room where the air conditioner is located according to the real-time heat transfer coefficient and the real-time indoor and outdoor temperatures; a control module: and the controller is used for controlling the operation of the air conditioner according to the real-time heat exchange quantity and the standard heat exchange quantity.
The embodiment also provides an air conditioner, which comprises the air conditioner control device, a temperature sensor, an illumination intensity detection device and a wind speed detection device, wherein the temperature sensor is used for detecting the indoor environment temperature and the outdoor environment temperature; the illumination intensity detection device is used for monitoring outdoor illumination information; the wind speed detection device is used for monitoring outdoor wind speed information. Specifically, the heat transfer coefficient of the outer wall of the room where the air conditioner is located is determined by comparing the obtained illumination and wind speed information with the corresponding relation between the heat transfer coefficient of the outer wall of the room where the air conditioner is located and the illumination and the wind speed; acquiring standard heat exchange quantity according to the heat transfer coefficient of the outer wall of the room where the air conditioner is located, the set temperature of the air conditioner and the outdoor environment temperature; acquiring indoor and outdoor real-time heat exchange quantity according to the temperature difference between the indoor environment temperature and the outdoor environment temperature and the heat transfer coefficient of the outer wall of the room where the air conditioner is located; according to the relation between real-time heat transfer volume and the standard heat transfer volume adjust air condition compressor frequency or valve opening, and then control air conditioner's operation, realize intelligent control, practice thrift the cost, promote user experience.
Fig. 2 illustrates a physical structure diagram of an electronic device, which may include, as shown in fig. 2: a processor (processor)210, a communication Interface (communication Interface)220, a memory (memory)230 and acommunication bus 240, wherein theprocessor 210, thecommunication Interface 220 and thememory 230 are communicated with each other via thecommunication bus 240.Processor 210 may invoke logic instructions inmemory 230 to perform an air conditioning control method comprising: acquiring the real-time heat transfer coefficient of the outer wall of a room where an air conditioner is located; acquiring standard heat exchange quantity according to the real-time heat transfer coefficient, the outdoor environment temperature and the set temperature of the air conditioner; acquiring real-time heat exchange quantity of a room where the air conditioner is located according to the real-time heat transfer coefficient and the real-time indoor and outdoor temperatures; and controlling the operation of the air conditioner according to the real-time heat exchange quantity and the standard heat exchange quantity.
In addition, the logic instructions in thememory 230 may be implemented in the form of software functional units and stored in a computer readable storage medium when the logic instructions are sold or used as independent products. Based on such understanding, the technical solution of the present invention may be embodied in the form of a software product, which is stored in a storage medium and includes instructions for causing a computer device (which may be a personal computer, a server, or a network device) to execute all or part of the steps of the method according to the embodiments of the present invention. And the aforementioned storage medium includes: a U-disk, a removable hard disk, a Read-Only Memory (ROM), a Random Access Memory (RAM), a magnetic disk or an optical disk, and other various media capable of storing program codes.
In another aspect, the present invention also provides a computer program product comprising a computer program stored on a non-transitory computer-readable storage medium, the computer program comprising program instructions which, when executed by a computer, enable the computer to perform the air conditioning control method provided by the above methods, the method comprising: acquiring the real-time heat transfer coefficient of the outer wall of a room where an air conditioner is located; acquiring standard heat exchange quantity according to the real-time heat transfer coefficient, the outdoor environment temperature and the set temperature of the air conditioner; acquiring real-time heat exchange quantity of a room where the air conditioner is located according to the real-time heat transfer coefficient and the real-time indoor and outdoor temperatures; and controlling the operation of the air conditioner according to the real-time heat exchange quantity and the standard heat exchange quantity.
In still another aspect, the present invention also provides a non-transitory computer-readable storage medium having stored thereon a computer program, which when executed by a processor, is implemented to perform the air conditioning control method provided above, the method including: acquiring the real-time heat transfer coefficient of the outer wall of a room where an air conditioner is located; acquiring standard heat exchange quantity according to the real-time heat transfer coefficient, the outdoor environment temperature and the set temperature of the air conditioner; acquiring real-time heat exchange quantity of a room where the air conditioner is located according to the real-time heat transfer coefficient and the real-time indoor and outdoor temperatures; and controlling the operation of the air conditioner according to the real-time heat exchange quantity and the standard heat exchange quantity.
The above-described embodiments of the apparatus are merely illustrative, and the units described as separate parts may or may not be physically separate, and parts displayed as units may or may not be physical units, may be located in one place, or may be distributed on a plurality of network units. Some or all of the modules may be selected according to actual needs to achieve the purpose of the solution of the present embodiment. One of ordinary skill in the art can understand and implement it without inventive effort.
Through the above description of the embodiments, those skilled in the art will clearly understand that each embodiment can be implemented by software plus a necessary general hardware platform, and certainly can also be implemented by hardware. With this understanding in mind, the above-described technical solutions may be embodied in the form of a software product, which can be stored in a computer-readable storage medium such as ROM/RAM, magnetic disk, optical disk, etc., and includes instructions for causing a computer device (which may be a personal computer, a server, or a network device, etc.) to execute the methods described in the embodiments or some parts of the embodiments.
Finally, it should be noted that: the above examples are only intended to illustrate the technical solution of the present invention, but not to limit it; although the present invention has been described in detail with reference to the foregoing embodiments, it will be understood by those of ordinary skill in the art that: the technical solutions described in the foregoing embodiments may still be modified, or some technical features may be equivalently replaced; and such modifications or substitutions do not depart from the spirit and scope of the corresponding technical solutions of the embodiments of the present invention.

Claims (10)

1. An air conditioner control method, comprising:
acquiring the real-time heat transfer coefficient of the outer wall of a room where an air conditioner is located;
acquiring standard heat exchange quantity according to the real-time heat transfer coefficient, the outdoor environment temperature and the set temperature of the air conditioner;
acquiring real-time heat exchange quantity of a room where the air conditioner is located according to the real-time heat transfer coefficient and real-time indoor and outdoor temperatures;
and controlling the operation of the air conditioner according to the real-time heat exchange quantity and the standard heat exchange quantity.
2. The air conditioner control method according to claim 1, wherein the obtaining of the real-time heat transfer coefficient of the outer wall of the room where the air conditioner is located comprises:
monitoring outdoor real-time illumination and real-time wind speed;
and acquiring the real-time heat transfer coefficient of the outer wall of the room where the air conditioner is located according to the real-time illumination and the real-time wind speed.
3. The air conditioner control method according to claim 2, wherein the obtaining of the real-time heat transfer coefficient of the outer wall of the room where the air conditioner is located specifically comprises:
the method comprises the steps of obtaining heat transfer coefficients of the outer wall of a room where the air conditioner is located in different time periods in advance, recording illumination and wind speed corresponding to each time period, and further obtaining the corresponding relation between the heat transfer coefficients of the outer wall of the room where the air conditioner is located and the illumination and the wind speed;
and acquiring the real-time heat transfer coefficient of the outer wall of the room where the air conditioner is located according to the corresponding relation between the heat transfer coefficient of the outer wall of the room where the air conditioner is located and illumination and the wind speed as well as the real-time illumination and the real-time wind speed.
4. The air conditioner control method according to claim 3, wherein the obtaining of the heat transfer coefficient of the outer wall of the room where the air conditioner is located in different time periods specifically comprises:
in any time period, acquiring instantaneous heat change of a room where the air conditioner is located;
and acquiring the heat transfer coefficient of the outer wall of the room where the air conditioner is positioned in the time period according to the instantaneous heat change of the room where the air conditioner is positioned, the indoor and outdoor temperature and the area of the outer wall of the room where the air conditioner is positioned.
5. The air conditioner control method according to claim 4, wherein the acquiring instantaneous heat change of the room where the air conditioner is located comprises:
closing the outdoor unit of the air conditioner and starting a fan of the indoor unit of the air conditioner;
monitoring the temperature change of the internal environment of the chamber within a preset time period;
calculating the instantaneous heat change of the room where the air conditioner is located according to the following formula:
Figure FDA0003225337800000021
wherein Q issFor instantaneous heat change, C is air specific heat capacity, M is indoor air mass, T1Is a first indoor ambient temperature, T2Is the second indoor ambient temperature, and t is the preset time.
6. The air conditioner control method according to claim 5, wherein the heat transfer coefficient of the outer wall of the room where the air conditioner is located in the time period is obtained according to the instantaneous heat change of the room where the air conditioner is located, the indoor and outdoor temperatures, and the area of the outer wall of the room where the air conditioner is located, and is specifically calculated according to the following formula:
Figure FDA0003225337800000022
wherein K is the heat transfer coefficient of the outer wall of the room where the air conditioner is located, and QsFor instantaneous heat change indoors, T3Is the outdoor ambient temperature, T1Is the first indoor environment temperature, F is the area of the outer wall, and alpha is the temperature correction coefficient.
7. The air conditioner control method according to claim 1, wherein controlling the operation of the air conditioner according to the real-time heat exchange amount and the standard heat exchange amount specifically comprises:
when the real-time heat exchange amount is smaller than the standard heat exchange amount, controlling the frequency of a compressor of the air conditioner to be increased or adjusting the opening of a large valve;
and when the real-time heat exchange amount is larger than the standard heat exchange amount, controlling the frequency of a compressor of the air conditioner to be reduced or adjusting the opening of a small valve.
8. An air conditioning control device, characterized by comprising:
an acquisition module: the real-time heat transfer coefficient of the outer wall of the room where the air conditioner is located is obtained;
a calculation module: the system is used for acquiring standard heat exchange quantity according to the real-time heat transfer coefficient, the outdoor environment temperature and the set temperature of the air conditioner; the real-time heat exchange quantity of the room where the air conditioner is located is obtained according to the real-time heat transfer coefficient and the real-time indoor and outdoor temperatures;
a control module: and the controller is used for controlling the operation of the air conditioner according to the real-time heat exchange quantity and the standard heat exchange quantity.
9. An air conditioner characterized by comprising the air conditioning control device according to claim 8.
10. An electronic device comprising a memory, a processor and a computer program stored on the memory and executable on the processor, wherein the processor implements the steps of the air conditioning control method according to any one of claims 1 to 7 when executing the program.
CN202110969271.8A2021-08-232021-08-23 Air conditioner control method and air conditionerActiveCN113819596B (en)

Priority Applications (2)

Application NumberPriority DateFiling DateTitle
CN202110969271.8ACN113819596B (en)2021-08-232021-08-23 Air conditioner control method and air conditioner
PCT/CN2022/089874WO2023024557A1 (en)2021-08-232022-04-28Air conditioner control method and air conditioner

Applications Claiming Priority (1)

Application NumberPriority DateFiling DateTitle
CN202110969271.8ACN113819596B (en)2021-08-232021-08-23 Air conditioner control method and air conditioner

Publications (2)

Publication NumberPublication Date
CN113819596Atrue CN113819596A (en)2021-12-21
CN113819596B CN113819596B (en)2023-01-13

Family

ID=78913477

Family Applications (1)

Application NumberTitlePriority DateFiling Date
CN202110969271.8AActiveCN113819596B (en)2021-08-232021-08-23 Air conditioner control method and air conditioner

Country Status (2)

CountryLink
CN (1)CN113819596B (en)
WO (1)WO2023024557A1 (en)

Cited By (9)

* Cited by examiner, † Cited by third party
Publication numberPriority datePublication dateAssigneeTitle
CN114562800A (en)*2022-01-202022-05-31青岛海尔空调器有限总公司Control method and control device for air conditioner, air conditioner and storage medium
CN114688698A (en)*2022-03-282022-07-01青岛海尔空调器有限总公司Accurate control method and device for air conditioner and storage medium thereof
CN115264823A (en)*2022-06-222022-11-01青岛海尔空调器有限总公司 Method, device, medium and air conditioner for adjusting fan speed of air conditioner
WO2023024557A1 (en)*2021-08-232023-03-02青岛海尔空调器有限总公司Air conditioner control method and air conditioner
CN116027679A (en)*2023-02-242023-04-28北京美的海外工程技术有限公司Building automatic control method and device based on omnibearing photometer
CN116085952A (en)*2023-01-302023-05-09武汉大学 Energy-saving calculation method for split air conditioner, energy-saving controller, terminal and medium
CN116294059A (en)*2023-05-122023-06-23广州豪特节能环保科技股份有限公司Air conditioner and control method thereof
CN116624971A (en)*2023-07-262023-08-22北京麦斯特节能建筑工程有限公司Air conditioner monitoring system
CN117515808A (en)*2024-01-052024-02-06深圳市博久科技工程有限公司Central air conditioning cold and heat source energy-saving intelligent control system

Families Citing this family (3)

* Cited by examiner, † Cited by third party
Publication numberPriority datePublication dateAssigneeTitle
CN116734425A (en)*2023-06-152023-09-12深圳市普信工程技术有限公司 A laboratory air flow field intelligent adjustment system
CN117896965B (en)*2024-03-152024-05-31广州崇实自动控制科技有限公司Temperature self-adaptive optimizing method, device and medium for high-efficiency machine room of digital platform
CN118977534A (en)*2024-08-122024-11-19广州汽车集团股份有限公司 Vehicle circulation control method, device, vehicle and storage medium

Citations (21)

* Cited by examiner, † Cited by third party
Publication numberPriority datePublication dateAssigneeTitle
JPH07190468A (en)*1993-12-271995-07-28Matsushita Electric Ind Co Ltd Air conditioner control method
JP2002147904A (en)*2000-11-132002-05-22Daikin Ind Ltd Method for detecting frost formation on heat exchanger and refrigeration system
JP2005221163A (en)*2004-02-062005-08-18Sanyo Electric Co LtdSimulation device, method and system, and data base device
JP2006214637A (en)*2005-02-032006-08-17Shimizu Corp Room thermal environment and air conditioning energy-saving simulation device
CN101156033A (en)*2005-04-072008-04-02大金工业株式会社Refrigerant amount determination system for air conditioner
CN101251289A (en)*2008-04-072008-08-27俞天平Novel technique for tracing conditioned space dynamic thermal load
JP2011169588A (en)*2011-06-062011-09-01Toshiba CorpAir conditioning optimal control system
CN102575479A (en)*2009-09-282012-07-11孟杰Energy saving and construction method for integral partition of architectural complex and relative system thereof
JP2014206304A (en)*2013-04-112014-10-30日立アプライアンス株式会社Air conditioner
CN104132959A (en)*2014-07-012014-11-05哈尔滨工业大学Method for predicting heat transfer property of building exterior wall at severe-cold region based on neural network
CN107169606A (en)*2017-05-182017-09-15天津大学A kind of Forecasting Methodology of office building refrigeration duty
CN108679788A (en)*2018-03-122018-10-19珠海格力电器股份有限公司Temperature correction method and device of air conditioner, storage medium and air conditioner
CN109977447A (en)*2018-09-282019-07-05中国建筑科学研究院有限公司 A calculation method of building cooling and heating load
CN110263379A (en)*2019-05-232019-09-20南京理工大学Architecture indoor Load Calculation Method with the double-deck nontransparent photovoltaic curtain wall structure
CN111121194A (en)*2019-11-212020-05-08中国标准化研究院 Air-conditioning Comfort Environment Laboratory with Controlled Heat Load
WO2020145900A1 (en)*2019-01-112020-07-16Nanyang Technological UniversityMethod and control system for controlling building service systems
CN111947278A (en)*2020-08-072020-11-17广州市设计院Cooling system and control method thereof
CN112036026A (en)*2020-08-272020-12-04天津天大求实电力新技术股份有限公司Building thermal load prediction method based on heat storage system
CN112268352A (en)*2020-10-152021-01-26青岛海尔空调器有限总公司 Adjustment method and device of air conditioner, electronic device, computer storage medium
CN112432323A (en)*2020-11-032021-03-02青岛海尔空调器有限总公司Air conditioner control method and device, computer storage medium and electronic equipment
CN112728714A (en)*2021-01-262021-04-30吴祖茂Intelligent air conditioning system and control method thereof

Family Cites Families (9)

* Cited by examiner, † Cited by third party
Publication numberPriority datePublication dateAssigneeTitle
CN102821581A (en)*2011-06-082012-12-12上海启电信息科技有限公司Energy saving method for communication machine room
CN106979585A (en)*2017-03-072017-07-25青岛海尔空调器有限总公司Air conditioner and mobile terminal
CN109028462A (en)*2018-05-242018-12-18青岛海尔空调器有限总公司Air conditioner defrosting control method
CN110308176A (en)*2019-05-292019-10-08浙江理工大学 On-site determination method of heat transfer resistance/heat transfer coefficient of building envelope
CN110736220B (en)*2019-10-292020-11-10珠海格力电器股份有限公司Operation mode adjusting method and device of air conditioning equipment, processor and air conditioning equipment
CN111426031A (en)*2020-04-132020-07-17青岛海尔空调电子有限公司Air speed control method for air conditioner and air conditioner
CN112413848A (en)*2020-11-232021-02-26格力电器(武汉)有限公司Temperature adjusting method and device, storage medium and air conditioner
CN112944582B (en)*2021-03-012022-09-06青岛海尔(胶州)空调器有限公司 Method, device and air conditioner for prompting air conditioner self-cleaning
CN113819596B (en)*2021-08-232023-01-13青岛海尔空调器有限总公司 Air conditioner control method and air conditioner

Patent Citations (21)

* Cited by examiner, † Cited by third party
Publication numberPriority datePublication dateAssigneeTitle
JPH07190468A (en)*1993-12-271995-07-28Matsushita Electric Ind Co Ltd Air conditioner control method
JP2002147904A (en)*2000-11-132002-05-22Daikin Ind Ltd Method for detecting frost formation on heat exchanger and refrigeration system
JP2005221163A (en)*2004-02-062005-08-18Sanyo Electric Co LtdSimulation device, method and system, and data base device
JP2006214637A (en)*2005-02-032006-08-17Shimizu Corp Room thermal environment and air conditioning energy-saving simulation device
CN101156033A (en)*2005-04-072008-04-02大金工业株式会社Refrigerant amount determination system for air conditioner
CN101251289A (en)*2008-04-072008-08-27俞天平Novel technique for tracing conditioned space dynamic thermal load
CN102575479A (en)*2009-09-282012-07-11孟杰Energy saving and construction method for integral partition of architectural complex and relative system thereof
JP2011169588A (en)*2011-06-062011-09-01Toshiba CorpAir conditioning optimal control system
JP2014206304A (en)*2013-04-112014-10-30日立アプライアンス株式会社Air conditioner
CN104132959A (en)*2014-07-012014-11-05哈尔滨工业大学Method for predicting heat transfer property of building exterior wall at severe-cold region based on neural network
CN107169606A (en)*2017-05-182017-09-15天津大学A kind of Forecasting Methodology of office building refrigeration duty
CN108679788A (en)*2018-03-122018-10-19珠海格力电器股份有限公司Temperature correction method and device of air conditioner, storage medium and air conditioner
CN109977447A (en)*2018-09-282019-07-05中国建筑科学研究院有限公司 A calculation method of building cooling and heating load
WO2020145900A1 (en)*2019-01-112020-07-16Nanyang Technological UniversityMethod and control system for controlling building service systems
CN110263379A (en)*2019-05-232019-09-20南京理工大学Architecture indoor Load Calculation Method with the double-deck nontransparent photovoltaic curtain wall structure
CN111121194A (en)*2019-11-212020-05-08中国标准化研究院 Air-conditioning Comfort Environment Laboratory with Controlled Heat Load
CN111947278A (en)*2020-08-072020-11-17广州市设计院Cooling system and control method thereof
CN112036026A (en)*2020-08-272020-12-04天津天大求实电力新技术股份有限公司Building thermal load prediction method based on heat storage system
CN112268352A (en)*2020-10-152021-01-26青岛海尔空调器有限总公司 Adjustment method and device of air conditioner, electronic device, computer storage medium
CN112432323A (en)*2020-11-032021-03-02青岛海尔空调器有限总公司Air conditioner control method and device, computer storage medium and electronic equipment
CN112728714A (en)*2021-01-262021-04-30吴祖茂Intelligent air conditioning system and control method thereof

Cited By (12)

* Cited by examiner, † Cited by third party
Publication numberPriority datePublication dateAssigneeTitle
WO2023024557A1 (en)*2021-08-232023-03-02青岛海尔空调器有限总公司Air conditioner control method and air conditioner
CN114562800A (en)*2022-01-202022-05-31青岛海尔空调器有限总公司Control method and control device for air conditioner, air conditioner and storage medium
CN114688698A (en)*2022-03-282022-07-01青岛海尔空调器有限总公司Accurate control method and device for air conditioner and storage medium thereof
CN115264823A (en)*2022-06-222022-11-01青岛海尔空调器有限总公司 Method, device, medium and air conditioner for adjusting fan speed of air conditioner
CN116085952A (en)*2023-01-302023-05-09武汉大学 Energy-saving calculation method for split air conditioner, energy-saving controller, terminal and medium
CN116085952B (en)*2023-01-302024-02-23武汉大学Energy-saving calculation method, energy-saving controller, terminal and medium for split air conditioner
CN116027679A (en)*2023-02-242023-04-28北京美的海外工程技术有限公司Building automatic control method and device based on omnibearing photometer
CN116294059A (en)*2023-05-122023-06-23广州豪特节能环保科技股份有限公司Air conditioner and control method thereof
CN116294059B (en)*2023-05-122023-08-08广州豪特节能环保科技股份有限公司Air conditioner and control method thereof
CN116624971A (en)*2023-07-262023-08-22北京麦斯特节能建筑工程有限公司Air conditioner monitoring system
CN117515808A (en)*2024-01-052024-02-06深圳市博久科技工程有限公司Central air conditioning cold and heat source energy-saving intelligent control system
CN117515808B (en)*2024-01-052024-06-04深圳市博久科技工程有限公司Central air conditioning cold and heat source energy-saving intelligent control system

Also Published As

Publication numberPublication date
WO2023024557A1 (en)2023-03-02
CN113819596B (en)2023-01-13

Similar Documents

PublicationPublication DateTitle
CN113819596A (en) Air conditioner control method and air conditioner
CN107525236B (en)Air conditioner control method based on human body comfort level and air conditioner
CN109114729A (en)A kind of air-conditioner control method and air conditioner
WO2020056960A1 (en)Temperature control method and apparatus for unit, and air conditioning unit
CN107621048A (en) Air conditioning control method and device
CN108613326B (en)Air conditioning system, intelligent regulation control method and device thereof and computer equipment
CN112747419B (en)Wind-water linkage control method, device and equipment for central air conditioner and storage medium
CN113251614A (en)Air conditioner temperature control method and device, electronic equipment and storage medium
US11703248B2 (en)Proactive system control using humidity prediction
US11181291B2 (en)DC varaiable speed compressor control method and control system
WO2018188522A1 (en)Air conditioner heating operation control method
CN110986326A (en)Air conditioner and control method thereof
CN108036471A (en)Air conditioner dehumidification control method
CN108168018B (en)Heating control method for air conditioner
WO2019034124A1 (en)Method for controlling automatic temperature-adjustment air conditioner and air conditioner
CN110107998B (en)Energy-saving control method, equipment and medium for multi-connected cold and hot water unit
CN113932426A (en) Control method, control system, electronic device and storage medium for air conditioning power outage
CN115218415A (en) Control method and device of fresh air air conditioner and fresh air air conditioner
CN105605748B (en)Air-water joint adjustment control method and system for air conditioning system
CN108278729B (en)Air conditioner control method and device and air conditioner
CN109812936A (en)A kind of air-conditioning and its air conditioning exhausting temperature control method and device
CN106016615A (en)Optimized control method for night air-ventilation of building
CN109341012A (en)Air conditioner and its control method and device
CN108302706A (en)Air conditioning control method and air conditioner
CN113339967B (en)Elevator air conditioner control method and device, electronic equipment and storage medium

Legal Events

DateCodeTitleDescription
PB01Publication
PB01Publication
SE01Entry into force of request for substantive examination
SE01Entry into force of request for substantive examination
GR01Patent grant
GR01Patent grant

[8]ページ先頭

©2009-2025 Movatter.jp