Movatterモバイル変換


[0]ホーム

URL:


CN113793218A - User account change behavior analysis method, device, equipment and storage medium - Google Patents

User account change behavior analysis method, device, equipment and storage medium
Download PDF

Info

Publication number
CN113793218A
CN113793218ACN202111086856.1ACN202111086856ACN113793218ACN 113793218 ACN113793218 ACN 113793218ACN 202111086856 ACN202111086856 ACN 202111086856ACN 113793218 ACN113793218 ACN 113793218A
Authority
CN
China
Prior art keywords
information
target
preset
calculating
account
Prior art date
Legal status (The legal status is an assumption and is not a legal conclusion. Google has not performed a legal analysis and makes no representation as to the accuracy of the status listed.)
Granted
Application number
CN202111086856.1A
Other languages
Chinese (zh)
Other versions
CN113793218B (en
Inventor
刘欣
Current Assignee (The listed assignees may be inaccurate. Google has not performed a legal analysis and makes no representation or warranty as to the accuracy of the list.)
Ping An Bank Co Ltd
Original Assignee
Ping An Bank Co Ltd
Priority date (The priority date is an assumption and is not a legal conclusion. Google has not performed a legal analysis and makes no representation as to the accuracy of the date listed.)
Filing date
Publication date
Application filed by Ping An Bank Co LtdfiledCriticalPing An Bank Co Ltd
Priority to CN202111086856.1ApriorityCriticalpatent/CN113793218B/en
Publication of CN113793218ApublicationCriticalpatent/CN113793218A/en
Application grantedgrantedCritical
Publication of CN113793218BpublicationCriticalpatent/CN113793218B/en
Activelegal-statusCriticalCurrent
Anticipated expirationlegal-statusCritical

Links

Images

Classifications

Landscapes

Abstract

The invention relates to an artificial intelligence technology, and discloses a user account change behavior analysis method, which comprises the following steps: fitting the account variation amount to be analyzed and the variation time of a target user to obtain a fitting function, calculating the interval variation amount of a plurality of time periods by using the fitting function, calculating the expected variation amount according to the interval variation amount, extracting target information of which the browsing time is longer than the preset time of the target user, identifying the information semantics of the target information, calculating the distance value between each piece of information and the field tags of a plurality of preset fields according to the information semantics, and calculating the expected variation amount of the target user to the preset field corresponding to the target tag according to the distance value and the expected variation amount. In addition, the invention also relates to a block chain technology, and the information browsing record can be stored in the node of the block chain. The invention also provides a user account change behavior analysis device, electronic equipment and a medium. The invention can solve the problem of low accuracy in the change analysis of the account.

Description

User account change behavior analysis method, device, equipment and storage medium
Technical Field
The invention relates to the technical field of artificial intelligence, in particular to a method and a device for analyzing user account change behaviors, electronic equipment and a computer-readable storage medium.
Background
At present, most of financial enterprises monitor and analyze the change of accounts to be analyzed of target users, so that the target users can be reminded in time when the accounts to be analyzed of the target users change in a large scale, the safety of the accounts to be analyzed of the target users is improved, and meanwhile, responsible staff of the accounts to be analyzed are notified to follow up, so that the loss of customers is prevented.
Most of existing methods for analyzing the account change behavior of a user to be analyzed are based on analysis of the change behavior of a target user, namely when the account to be analyzed of the target user is changed in a large amount, the expected account change amount of the target user in a future time period is analyzed through examination and approval, the amount of change and other operations, and then a targeted account service to be analyzed is provided for the target user according to the analysis result, so that the target user is prevented from losing. However, in this method, since only the amount of change is used for analysis, only the expected change trend of the quota of the account to be analyzed of the target user in the future time period can be seen in the analysis result, and other related information of the account to be analyzed change cannot be known, so that the result of the analysis of the change behavior is inaccurate.
Disclosure of Invention
The invention provides a method and a device for analyzing user account change behaviors and a computer-readable storage medium, and mainly aims to solve the problem of low accuracy in analysis of account changes to be analyzed.
In order to achieve the above object, the present invention provides a method for analyzing a user account change behavior, including:
acquiring the changing amount and the changing time of each change of an account to be analyzed of a target user, and fitting the changing amount and the changing time to obtain a fitting function;
calculating the interval variation amount of the account to be analyzed of the target user in a plurality of preset time periods according to the fitting function, and calculating the expected variation total amount of the account to be analyzed of the target user according to the interval variation amount by utilizing a preset weight algorithm;
acquiring an information browsing record of the target user, extracting the browsing duration of the target user to each piece of information in the information browsing record, and collecting the information of which the browsing duration is greater than a preset duration as target information;
identifying information semantics of each piece of target information, and calculating distance values between each piece of target information and the domain labels of a plurality of preset domains according to the information semantics;
and selecting one label from the field labels one by one as a target label, and calculating the expected variation limit of the target user to a preset field corresponding to the target label according to the distance value between the target label and each target information and the expected variation total amount.
Optionally, the fitting the variation amount and the variation time to obtain a fitting function includes:
mapping the changing amount and the changing time of each time to a pre-constructed coordinate system to obtain the changing coordinate of each change of the account to be analyzed;
calculating a fitting coordinate of each variable coordinate by using a preset initial function;
calculating a difference value between the fitting coordinate and the changed coordinate;
judging whether the difference value is smaller than a preset difference threshold value or not;
when the difference value is greater than or equal to the preset difference threshold value, adjusting the parameters of the initial function according to the difference value, and returning to the step of calculating the fitting coordinate of each changed coordinate by using the preset initial function;
and when the difference value is smaller than the preset difference threshold value, determining the initial function at the moment as a fitting function.
Optionally, the calculating a difference value between the fitted coordinate and the varied coordinate includes:
calculating a difference value between the fitted coordinate and the varied coordinate using a difference algorithm as follows:
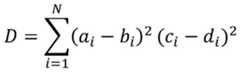
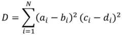
Figure BDA0003265863390000021
wherein D is the difference value, N is the number of the changed coordinates, aiIs the abscissa of the ith variation coordinate, biAs the abscissa of the i-th fitted coordinate, ciIs the ordinate of the i-th variation coordinate, diIs the ordinate of the i-th fitted coordinate.
Optionally, the calculating an interval variation amount of the account to be analyzed of the target user in a plurality of preset time periods according to the fitting function includes:
carrying out interval division on the fitting curve according to a preset time period to obtain a plurality of interval function segments;
and selecting one interval function section as a target function section one by one, and integrating the target function in a time period corresponding to the target function section to obtain an interval variation limit of the time period corresponding to the target function.
Optionally, the extracting the browsing duration of the target user for each piece of information in the information browsing record includes:
acquiring a preset time field data format;
identifying the data type of the information browsing record, and compiling preset characters into a regular expression according to the time field data format by using a compiler corresponding to the data type;
and extracting the browsing duration of each piece of information in the information browsing record by using the first regular expression.
Optionally, the information semantics for identifying each of the target information includes:
selecting one of the target information one by one, and performing word segmentation processing on the selected information to obtain information word segmentation;
counting the occurrence frequency of each word in the information word segmentation, and selecting the word with the occurrence frequency larger than a preset frequency threshold value as a keyword;
and performing word vector conversion on the keywords, splicing the word vectors obtained by conversion into a vector matrix, and using the vector matrix as the information semantics of the selected information.
Optionally, the performing word vector conversion on the keywords and splicing the converted word vectors into a vector matrix includes:
selecting one word from the keywords one by one as a target keyword, and carrying out byte splitting on the target keyword to obtain a plurality of bytes;
respectively coding each byte in the plurality of bytes to obtain byte codes;
splicing the byte codes according to the sequence of the position of each byte in the plurality of bytes in the target keyword to obtain a keyword vector of the target keyword;
and splicing each vector in the keyword vectors as a row vector to form a vector matrix.
In order to solve the above problem, the present invention also provides a user account change behavior analysis device, including:
the function fitting module is used for acquiring the change amount and the change time of each change of the account to be analyzed of the target user, and fitting the change amount and the change time to obtain a fitting function;
the total variation calculation module is used for calculating the interval variation amount of the account to be analyzed of the target user in a plurality of preset time periods according to the fitting function and calculating the expected total variation amount of the account to be analyzed of the target user according to the interval variation amount by utilizing a preset weight algorithm;
the information screening module is used for acquiring the information browsing record of the target user, extracting the browsing duration of the target user to each piece of information in the information browsing record, and collecting the information with the browsing duration being greater than the preset duration as the target information;
the distance value calculation module is used for identifying the information semantics of each piece of target information and calculating the distance values between each piece of target information and the field labels of a plurality of preset fields according to the information semantics;
and the expected change calculation module is used for selecting one label from the field labels one by one as a target label, and calculating the expected change amount of the target user to a preset field corresponding to the target label according to the distance value between the target label and each target information and the expected change total amount.
In order to solve the above problem, the present invention also provides an electronic device, including:
at least one processor; and the number of the first and second groups,
a memory communicatively coupled to the at least one processor; wherein,
the memory stores a computer program executable by the at least one processor, the computer program being executable by the at least one processor to enable the at least one processor to perform the user account change behavior analysis method described above.
In order to solve the above problem, the present invention further provides a computer-readable storage medium, where at least one computer program is stored, where the at least one computer program is executed by a processor in an electronic device to implement the method for analyzing a user account change behavior described above.
The embodiment of the invention can realize the prediction of the change amount of the account to be analyzed of the target user in the future preset time period according to the change time and the change limit of the account to be analyzed of the target user, and analyzes the change limit of each preset field when the account to be analyzed of the target user changes according to the browsing data of the target user on information in different fields, thereby realizing the fine analysis of the change of the account to be analyzed of the target user and improving the accuracy of the analysis of the change behavior of the account to be analyzed of the target user. Therefore, the method, the device, the electronic equipment and the computer-readable storage medium for analyzing the user account change behavior can solve the problem of low accuracy in analyzing the account change to be analyzed.
Drawings
Fig. 1 is a schematic flowchart of a method for analyzing a user account change behavior according to an embodiment of the present invention;
FIG. 2 is a schematic flow chart of generating a fitting function according to an embodiment of the present invention;
fig. 3 is a schematic flow chart illustrating a process of extracting browsing duration according to an embodiment of the present invention;
fig. 4 is a functional block diagram of an apparatus for analyzing a change behavior of a user account according to an embodiment of the present invention;
fig. 5 is a schematic structural diagram of an electronic device for implementing the method for analyzing a user account change behavior according to an embodiment of the present invention.
The implementation, functional features and advantages of the objects of the present invention will be further explained with reference to the accompanying drawings.
Detailed Description
It should be understood that the specific embodiments described herein are merely illustrative of the invention and are not intended to limit the invention.
The embodiment of the application provides a user account change behavior analysis method. The execution subject of the user account change behavior analysis method includes, but is not limited to, at least one of electronic devices such as a server and a terminal that can be configured to execute the method provided by the embodiments of the present application. In other words, the user account change behavior analysis method may be executed by software or hardware installed in the terminal device or the server device, and the software may be a blockchain platform. The server includes but is not limited to: a single server, a server cluster, a cloud server or a cloud server cluster, and the like. The server may be an independent server, or may be a cloud server that provides basic cloud computing services such as a cloud service, a cloud database, cloud computing, a cloud function, cloud storage, a network service, cloud communication, a middleware service, a domain name service, a security service, a Content Delivery Network (CDN), a big data and artificial intelligence platform, and the like.
Fig. 1 is a schematic flow chart of a method for analyzing a user account change behavior according to an embodiment of the present invention. In this embodiment, the method for analyzing a user account change behavior includes:
s1, obtaining the changing amount and the changing time of each change of the account to be analyzed of the target user, and fitting the changing amount and the changing time to obtain a fitting function.
In the embodiment of the present invention, the variable amount refers to the amount of money that changes when the account to be analyzed of the target user changes every time in the history, for example, if the account to be analyzed of the target user increases by 100 yuan, the variable amount is + 100; or if the account to be analyzed of the target user is reduced by 50 yuan, the variation quota is-50; the change time refers to the time when the account to be analyzed of the target user changes the quota every time.
In detail, a computer sentence (such as a java sentence, a python sentence, etc.) with a data fetching function can be used for fetching the pre-stored data of the variation quota and the variation time from a preset storage area, wherein the storage area comprises but is not limited to a database, a block chain and a network cache.
In one practical application scenario of the present invention, because there is a potential association relationship between behaviors of the target user, the relationship between the variable amount and the variable time can be expressed in the form of a visualization function by analyzing the variable amount and the variable time of each change of the account to be analyzed of the target user.
In the embodiment of the present invention, referring to fig. 2, the fitting the varying amount and the varying time to obtain a fitting function includes:
s21, mapping the changing amount and the changing time of each time to a pre-constructed coordinate system to obtain the changing coordinate of each change of the account to be analyzed;
s22, calculating the fitting coordinate of each variable coordinate by using a preset initial function;
s23, calculating a difference value between the fitting coordinate and the changing coordinate;
s24, judging whether the difference value is smaller than a preset difference threshold value;
when the difference value is greater than or equal to the preset difference threshold value, executing S25, adjusting the parameters of the initial function according to the difference value, and returning to S22;
and when the difference value is smaller than the preset difference threshold value, executing S26 and determining the initial function at the moment as a fitting function.
In detail, the variable amount may be a dependent variable, and the variable time may be an independent variable mapped to a pre-constructed coordinate system, for example, if the variable time is t and the variable amount is m, the variable time and the variable amount may be mapped to the pre-constructed coordinate system to obtain the variable coordinate (m, t).
For example, the preset initial function may be y ═ f (x, a), where y is a value of a dependent variable (variation time) in the coordinate system, x is a value of an independent variable (variation amount) in the coordinate system, and a is a preset parameter to be adjusted.
Specifically, the abscissa or ordinate of all the changed coordinates may be substituted into the initial function, so as to obtain a fitted coordinate corresponding to each changed coordinate by using the initial function, and further obtain a difference value between the coordinates by calculating according to the changed coordinates and the fitted coordinate.
In an embodiment of the present invention, the calculating a difference value between the fitting coordinate and the varying coordinate includes:
calculating a difference value between the fitted coordinate and the varied coordinate using a difference algorithm as follows:
Figure BDA0003265863390000071
wherein D is the difference value, N is the number of the changed coordinates, aiIs the abscissa of the ith variation coordinate, biAs the abscissa of the i-th fitted coordinate, ciIs the ordinate of the i-th variation coordinate, diIs the ordinate of the i-th fitted coordinate.
When the difference value is greater than or equal to a preset difference threshold value, it can be determined that the fitting effect of the initial function on the changed coordinates is poor, a preset optimization function (such as a Foundation Toolbox function, a Quick Fit function and the like) can be used for adjusting the parameters of the initial function according to the difference value, the preset initial function is returned to be used for calculating the fitting coordinates of each changed coordinate, the difference value is recalculated until the difference value is smaller than the preset difference threshold value, and the initial function at the moment is determined to be the fitting function.
S2, calculating interval variation quota of the account to be analyzed of the target user in a plurality of preset time periods according to the fitting function, and calculating the expected variation total amount of the account to be analyzed of the target user according to the interval variation quota by using a preset weight algorithm.
In the embodiment of the invention, the fitting function is obtained by fitting according to the changing amount and the changing time when the to-be-analyzed account of the target user changes in history, so that the expected changing total amount of the to-be-analyzed account in the future is predicted according to the fitting function.
In the embodiment of the present invention, the calculating the interval variation amount of the account to be analyzed of the target user in a plurality of preset time periods according to the fitting function includes:
carrying out interval division on the fitting curve according to a preset time period to obtain a plurality of interval function segments;
and selecting one interval function section as a target function section one by one, and integrating the target function in a time period corresponding to the target function section to obtain an interval variation limit of the time period corresponding to the target function.
In detail, the time period may be preset, for example, the time period of the last day, the last week, the last month, and the like, and the fitting function is further divided into intervals according to the preset time period, and the fitting function is divided into a plurality of interval function segments according to different time intervals.
Specifically, one of the interval function segments may be selected as the objective function one by one, and the integral of the interval function segment is calculated to obtain the interval variation quota of the time period corresponding to the objective function.
In the embodiment of the present invention, the following integration function may be used to integrate the objective function within the time period corresponding to the objective function segment:
Figure BDA0003265863390000081
q is an interval variation limit of a time period corresponding to the objective function, m is an interval upper limit of the time period corresponding to the objective function, n is an interval lower limit of the time period corresponding to the objective function, and F is the objective function.
In the embodiment of the present invention, the calculating, by using a preset weight algorithm, the expected change total amount of the account to be analyzed of the target user according to the interval change quota includes:
calculating the expected change total amount of the account to be analyzed of the target user according to the interval change credit by using the following weight algorithm:
Figure BDA0003265863390000082
wherein Z is the total expected variation, QkIs the interval variation limit of the kth time period, omegakIs a preset weight coefficient for the kth time period.
S3, obtaining the information browsing record of the target user, extracting the browsing duration of the target user to each piece of information in the information browsing record, and collecting the information with the browsing duration being greater than the preset duration as the target information.
In one practical application scenario of the present invention, the expected total variation amount obtained by the analysis is calculated only according to the historical variation amount and variation time of the target user, but other behaviors of the target user are not considered, and it is impossible to predict which field the account to be analyzed of the target user varies, so that the predicted account to be analyzed of the user is not accurate enough, and therefore, the information browsing record of the target user can be obtained, so as to facilitate the accurate analysis of the account to be analyzed of the target user in subsequent combination with the information browsing record.
In the embodiment of the present invention, the information browsing record of the target user includes data of content of each kind of information, browsing duration of each kind of information by the target user, and the step of obtaining the information browsing record of the target user is consistent with the step of obtaining the changing amount and changing time of each change of the account to be analyzed of the target user in S1, and details are not described herein.
In detail, since the information browsing record of the target user includes a large amount of data, if the information browsing record is directly analyzed, a large amount of computing resources are occupied, and the analysis efficiency is reduced, therefore, the embodiment of the present invention can process the information browsing record to extract the browsing duration of each information in the information browsing record by the target user, thereby reducing the subsequent data amount to be analyzed, and improving the analysis efficiency.
In an embodiment of the present invention, referring to fig. 3, the extracting a browsing duration of each piece of information in the information browsing record by the target user includes:
s31, acquiring a preset time field data format;
s32, identifying the data type of the information browsing record, and compiling preset characters into a regular expression according to the time field data format by using a compiler corresponding to the data type;
s33, extracting the browsing duration of each piece of information in the information browsing record by using the first regular expression.
In detail, the time field data format is generally fixed, for example, the browsing duration of the information is expressed in a format of "xx hours xx minutes xx seconds", so that the data with the fixed format can be extracted by using a regular expression.
Specifically, since the obtained information browsing records may be expressed in multiple data types, java statements with a data type detection function may be used to identify the data types of the information browsing records, and then a compiler corresponding to the data types of the information browsing records is selected to compile preset characters into regular expressions according to the time field data format, and a compiler corresponding to the data types of the information browsing records is selected to compile the preset characters, so as to improve the availability of the compiled regular expressions, where the compiler includes, but is not limited to, a Visual Studio compiler, a Dev C + + compiler, and a Code Blocks compiler.
The embodiment of the invention extracts the browsing duration of each piece of information in the information browsing record by using the regular expression, can avoid analyzing the content of the information browsing record, and is beneficial to improving the efficiency of extracting the browsing duration of each piece of information in the information browsing record.
In the embodiment of the invention, the information of which the browsing time length is greater than the preset time length can be selected to screen out the information which is not interested by the target user in the information browsing record, and further the selected information is collected as the target information.
S4, identifying the information semantics of each piece of target information, and calculating the distance value between each piece of target information and the domain labels of a plurality of preset domains according to the information semantics.
In the embodiment of the invention, in order to improve the accuracy of analyzing the account change behavior to be analyzed of the target user according to the target information, each piece of information in the target information can be analyzed to obtain the information semantics of each piece of information.
In detail, the preset field may be any field where a target user may make a fund investment, for example, a stock field, a bond field, a precious metal trading field, and the like.
In an embodiment of the present invention, the information semantics for identifying each of the target information includes:
selecting one of the target information one by one, and performing word segmentation processing on the selected information to obtain information word segmentation;
counting the occurrence frequency of each word in the information word segmentation, and selecting the word with the occurrence frequency larger than a preset frequency threshold value as a keyword;
and performing word vector conversion on the keywords, splicing the word vectors obtained by conversion into a vector matrix, and using the vector matrix as the information semantics of the selected information.
In detail, a preset dictionary can be used for carrying out word segmentation processing on the selected information, the dictionary comprises a plurality of standard entries, the selected information is segmented according to different data lengths, the segmentation result is searched in the dictionary, and when the same entry as the entry in the dictionary is searched, the searched entry can be confirmed to be the semantic meaning of the selected information.
Specifically, when the frequency of occurrence of a word in the information word is higher, it can be said that the importance of the word is higher, and therefore, the word with the frequency of occurrence greater than a preset threshold value can be selected as the keyword of the information.
In the embodiment of the present invention, the performing word vector conversion on the keywords and splicing the word vectors obtained by conversion into a vector matrix includes:
selecting one word from the keywords one by one as a target keyword, and carrying out byte splitting on the target keyword to obtain a plurality of bytes;
respectively coding each byte in the plurality of bytes to obtain byte codes;
splicing the byte codes according to the sequence of the position of each byte in the plurality of bytes in the target keyword to obtain a keyword vector of the target keyword;
and splicing each vector in the keyword vectors as a row vector to form a vector matrix.
In detail, each keyword in the keywords comprises a plurality of bytes, so that the keywords can be byte-split, so as to encode and splice each byte obtained by splitting, and further realize vector conversion of the keywords, wherein each byte obtained by splitting can be encoded by ASCII encoding, GB2312 encoding, one-hot encoding, and the like.
For example, if the target keyword selected from the keywords is "stock", the target keyword may be split into byte "stock" and byte "ticket", and the byte "stock" is encoded by using a preset encoding mode to obtain a byte code corresponding to the byte "stock": 110, encoding the byte ticket by using a preset encoding mode to obtain a byte code corresponding to the byte ticket: 101, splicing byte codes of byte "stock" and byte "ticket" into a keyword vector of the target keyword according to the sequence of the positions of the two bytes in the target keyword "stock": (110101).
Further, word vectors of each keyword can be used as row vectors to be spliced to obtain the vector matrix.
For example, there is a word vector a: (110101), word vector B: (100010) and word vector C: (111000), the word vector a, the word vector B and the word vector C can be respectively used as row vectors to be spliced to obtain the following vector matrix:
Figure BDA0003265863390000111
in the embodiment of the invention, a vector matrix obtained by splicing all word vectors can be used as the information semantics, and the distance value between each piece of information and the domain labels of a plurality of preset domains is calculated according to the information semantics.
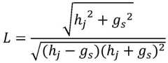
In detail, the calculating distance values between each piece of information and the domain labels of the plurality of preset domains according to the information semantics includes:
calculating the distance value between each information and the domain labels of the plurality of preset domains by using the following distance value algorithm:
Figure BDA0003265863390000112
wherein L is the distance value, hjInformation semantics corresponding to the jth information gsIs the s-th preset domain label.
S5, one of the labels is selected from the domain labels one by one as a target label, and an expected variation limit of the target user to a preset domain corresponding to the target label is calculated according to the distance value between the target label and each target information and the expected variation total amount.
In the embodiment of the present invention, because the distance value may be used to indicate a degree of conformity of information to each preset field, and the information is information concerned by a target user, one of the tags may be selected one by one from the field tags as a target tag, and a sum of reciprocals of the distance values between the target tag and each information in the target information is used to indicate a degree of attention of the target user to a field corresponding to the target tag, so as to calculate an expected variation amount from the target user to the preset field corresponding to the target tag according to the degree of attention and the expected variation amount.
In an embodiment of the present invention, the calculating an expected variation amount of the target user to a preset field corresponding to the target tag according to the distance between the target tag and each piece of information and the expected variation total amount includes:
calculating the expected variation limit by using the following formula:
Figure BDA0003265863390000121
wherein E is the expected variation amount, Z is the expected variation total amount, C is the amount of information in the target information, LcIs the distance value between the target label and the c-th information in the target information.
For example, information q, information w and information e exist, and a target tag a exists, wherein the distance value between the target tag a and the information q is 8, the distance value between the target tag a and the information w is 4, and the distance value between the target tag a and the information e is 4, then the attention of the target user to the preset field corresponding to the target tag can be calculated to be 1/8+1/4+1/4 to 5/8, and when the total expected variation is 80, the expected variation limit of the target user to the preset field corresponding to the target tag is 5/8 to 80 to 50.
The embodiment of the invention can realize the prediction of the change amount of the account to be analyzed of the target user in the future preset time period according to the change time and the change limit of the account to be analyzed of the target user, and analyzes the change limit of each preset field when the account to be analyzed of the target user changes according to the browsing data of the target user on information in different fields, thereby realizing the fine analysis of the change of the account to be analyzed of the target user and improving the accuracy of the analysis of the change behavior of the account to be analyzed of the target user. Therefore, the method for analyzing the user account change behavior can solve the problem of low accuracy in the analysis of the account change to be analyzed.
Fig. 4 is a functional block diagram of an apparatus for analyzing a change behavior of a user account according to an embodiment of the present invention.
The user account changebehavior analysis apparatus 100 according to the present invention may be installed in an electronic device. According to the implemented functions, the user account alterationbehavior analysis apparatus 100 may include a functionfitting module 101, a total changeamount calculation module 102, aninformation filtering module 103, a distancevalue calculation module 104, and an expectedchange calculation module 105. The module of the present invention, which may also be referred to as a unit, refers to a series of computer program segments that can be executed by a processor of an electronic device and that can perform a fixed function, and that are stored in a memory of the electronic device.
In the present embodiment, the functions regarding the respective modules/units are as follows:
the functionfitting module 101 is configured to obtain a variation amount and a variation time of each variation of an account to be analyzed of a target user, and fit the variation amount and the variation time to obtain a fitting function;
the totalvariation calculation module 102 is configured to calculate an interval variation amount of the account to be analyzed of the target user in multiple preset time periods according to the fitting function, and calculate an expected total variation amount of the account to be analyzed of the target user according to the interval variation amount by using a preset weight algorithm;
theinformation screening module 103 is configured to obtain an information browsing record of the target user, extract a browsing duration of each piece of information in the information browsing record of the target user, and collect information with the browsing duration being greater than a preset duration as target information;
the distancevalue calculating module 104 is configured to identify an information semantic of each piece of target information, and calculate distance values between each piece of target information and field tags in a plurality of preset fields according to the information semantic;
the expectedchange calculation module 105 is configured to select one of the domain tags one by one as a target tag, and calculate an expected change amount of the target user to a preset domain corresponding to the target tag according to the distance value between the target tag and each piece of target information and the expected change total amount.
In detail, in the embodiment of the present invention, when the modules in the user account changebehavior analysis apparatus 100 are used, the same technical means as the user account change behavior analysis method described in fig. 1 to fig. 3 are adopted, and the same technical effects can be produced, and details are not described here.
Fig. 5 is a schematic structural diagram of an electronic device for implementing a method for analyzing a user account change behavior according to an embodiment of the present invention.
The electronic device 1 may include aprocessor 10, amemory 11, acommunication bus 12, and acommunication interface 13, and may further include a computer program, such as a user account change behavior analysis program, stored in thememory 11 and executable on theprocessor 10.
In some embodiments, theprocessor 10 may be composed of an integrated circuit, for example, a single packaged integrated circuit, or may be composed of a plurality of integrated circuits packaged with the same function or different functions, and includes one or more Central Processing Units (CPUs), a microprocessor, a digital Processing chip, a graphics processor, a combination of various control chips, and the like. Theprocessor 10 is a Control Unit (Control Unit) of the electronic device, connects various components of the electronic device by using various interfaces and lines, and executes various functions and processes data of the electronic device by running or executing programs or modules (for example, executing a user account change behavior analysis program) stored in thememory 11 and calling data stored in thememory 11.
Thememory 11 includes at least one type of readable storage medium including flash memory, removable hard disks, multimedia cards, card-type memory (e.g., SD or DX memory, etc.), magnetic memory, magnetic disks, optical disks, etc. Thememory 11 may in some embodiments be an internal storage unit of the electronic device, for example a removable hard disk of the electronic device. Thememory 11 may also be an external storage device of the electronic device in other embodiments, such as a plug-in mobile hard disk, a Smart Media Card (SMC), a Secure Digital (SD) Card, a Flash memory Card (Flash Card), and the like, which are provided on the electronic device. Further, thememory 11 may also include both an internal storage unit and an external storage device of the electronic device. Thememory 11 may be used to store not only application software installed in the electronic device and various types of data, such as codes of a user account change behavior analysis program, but also temporarily store data that has been output or is to be output.
Thecommunication bus 12 may be a Peripheral Component Interconnect (PCI) bus, an Extended Industry Standard Architecture (EISA) bus, or the like. The bus may be divided into an address bus, a data bus, a control bus, etc. The bus is arranged to enable connection communication between thememory 11 and at least oneprocessor 10 or the like.
Thecommunication interface 13 is used for communication between the electronic device and other devices, and includes a network interface and a target user interface. Optionally, the network interface may include a wired interface and/or a wireless interface (e.g., WI-FI interface, bluetooth interface, etc.), which are typically used to establish a communication connection between the electronic device and other electronic devices. The target user interface may be a Display (Display), an input unit such as a Keyboard (Keyboard), and optionally a standard wired interface, a wireless interface. Alternatively, in some embodiments, the display may be an LED display, a liquid crystal display, a touch-sensitive liquid crystal display, an OLED (Organic Light-Emitting Diode) touch device, or the like. The display, which may also be referred to as a display screen or display unit, is suitable for displaying information processed in the electronic device and for displaying a visualized target user interface.
Fig. 5 only shows an electronic device with components, and it will be understood by a person skilled in the art that the structure shown in fig. 5 does not constitute a limitation of the electronic device 1, and may comprise fewer or more components than shown, or a combination of certain components, or a different arrangement of components.
For example, although not shown, the electronic device may further include a power supply (such as a battery) for supplying power to each component, and preferably, the power supply may be logically connected to the at least oneprocessor 10 through a power management device, so that functions of charge management, discharge management, power consumption management and the like are realized through the power management device. The power supply may also include any component of one or more dc or ac power sources, recharging devices, power failure detection circuitry, power converters or inverters, power status indicators, and the like. The electronic device may further include various sensors, a bluetooth module, a Wi-Fi module, and the like, which are not described herein again.
It is to be understood that the described embodiments are for purposes of illustration only and that the scope of the appended claims is not limited to such structures.
The user account change behavior analysis program stored in thememory 11 of the electronic device 1 is a combination of a plurality of instructions, and when running in theprocessor 10, can realize:
acquiring the changing amount and the changing time of each change of an account to be analyzed of a target user, and fitting the changing amount and the changing time to obtain a fitting function;
calculating the interval variation amount of the account to be analyzed of the target user in a plurality of preset time periods according to the fitting function, and calculating the expected variation total amount of the account to be analyzed of the target user according to the interval variation amount by utilizing a preset weight algorithm;
acquiring an information browsing record of the target user, extracting the browsing duration of the target user to each piece of information in the information browsing record, and collecting the information of which the browsing duration is greater than a preset duration as target information;
identifying information semantics of each piece of target information, and calculating distance values between each piece of target information and the domain labels of a plurality of preset domains according to the information semantics;
and selecting one label from the field labels one by one as a target label, and calculating the expected variation limit of the target user to a preset field corresponding to the target label according to the distance value between the target label and each target information and the expected variation total amount.
Specifically, the specific implementation method of the instruction by theprocessor 10 may refer to the description of the relevant steps in the embodiment corresponding to the drawings, which is not described herein again.
Further, the integrated modules/units of the electronic device 1, if implemented in the form of software functional units and sold or used as separate products, may be stored in a computer readable storage medium. The computer readable storage medium may be volatile or non-volatile. For example, the computer-readable medium may include: any entity or device capable of carrying said computer program code, recording medium, U-disk, removable hard disk, magnetic disk, optical disk, computer Memory, Read-Only Memory (ROM).
The present invention also provides a computer-readable storage medium, storing a computer program which, when executed by a processor of an electronic device, may implement:
acquiring the changing amount and the changing time of each change of an account to be analyzed of a target user, and fitting the changing amount and the changing time to obtain a fitting function;
calculating the interval variation amount of the account to be analyzed of the target user in a plurality of preset time periods according to the fitting function, and calculating the expected variation total amount of the account to be analyzed of the target user according to the interval variation amount by utilizing a preset weight algorithm;
acquiring an information browsing record of the target user, extracting the browsing duration of the target user to each piece of information in the information browsing record, and collecting the information of which the browsing duration is greater than a preset duration as target information;
identifying information semantics of each piece of target information, and calculating distance values between each piece of target information and the domain labels of a plurality of preset domains according to the information semantics;
and selecting one label from the field labels one by one as a target label, and calculating the expected variation limit of the target user to a preset field corresponding to the target label according to the distance value between the target label and each target information and the expected variation total amount.
In the embodiments provided in the present invention, it should be understood that the disclosed apparatus, device and method can be implemented in other ways. For example, the above-described apparatus embodiments are merely illustrative, and for example, the division of the modules is only one logical functional division, and other divisions may be realized in practice.
The modules described as separate parts may or may not be physically separate, and parts displayed as modules may or may not be physical units, may be located in one place, or may be distributed on a plurality of network units. Some or all of the modules may be selected according to actual needs to achieve the purpose of the solution of the present embodiment.
In addition, functional modules in the embodiments of the present invention may be integrated into one processing unit, or each unit may exist alone physically, or two or more units are integrated into one unit. The integrated unit can be realized in a form of hardware, or in a form of hardware plus a software functional module.
It will be evident to those skilled in the art that the invention is not limited to the details of the foregoing illustrative embodiments, and that the present invention may be embodied in other specific forms without departing from the spirit or essential attributes thereof.
The present embodiments are therefore to be considered in all respects as illustrative and not restrictive, the scope of the invention being indicated by the appended claims rather than by the foregoing description, and all changes which come within the meaning and range of equivalency of the claims are therefore intended to be embraced therein. Any reference signs in the claims shall not be construed as limiting the claim concerned.
The block chain is a novel application mode of computer technologies such as distributed data storage, point-to-point transmission, a consensus mechanism, an encryption algorithm and the like. A block chain (Blockchain), which is essentially a decentralized database, is a series of data blocks associated by using a cryptographic method, and each data block contains information of a batch of network transactions, so as to verify the validity (anti-counterfeiting) of the information and generate a next block. The blockchain may include a blockchain underlying platform, a platform product service layer, an application service layer, and the like.
The embodiment of the application can acquire and process related data based on an artificial intelligence technology. Among them, Artificial Intelligence (AI) is a theory, method, technique and application system that simulates, extends and expands human Intelligence using a digital computer or a machine controlled by a digital computer, senses the environment, acquires knowledge and uses the knowledge to obtain the best result.
Furthermore, it is obvious that the word "comprising" does not exclude other elements or steps, and the singular does not exclude the plural. A plurality of units or means recited in the system claims may also be implemented by one unit or means in software or hardware. The terms first, second, etc. are used to denote names, but not any particular order.
Finally, it should be noted that the above embodiments are only for illustrating the technical solutions of the present invention and not for limiting, and although the present invention is described in detail with reference to the preferred embodiments, it should be understood by those skilled in the art that modifications or equivalent substitutions may be made on the technical solutions of the present invention without departing from the spirit and scope of the technical solutions of the present invention.

Claims (10)

1. A user account change behavior analysis method is characterized by comprising the following steps:
acquiring the changing amount and the changing time of each change of an account to be analyzed of a target user, and fitting the changing amount and the changing time to obtain a fitting function;
calculating the interval variation amount of the account to be analyzed in a plurality of preset time periods according to the fitting function, and calculating the expected variation total amount of the account to be analyzed according to the interval variation amount by using a preset weight algorithm;
acquiring an information browsing record of the target user, extracting the browsing duration of the target user to each piece of information in the information browsing record, and collecting the information of which the browsing duration is greater than a preset duration as target information;
identifying information semantics of each target information, and calculating distance values between each target information and the domain labels of a plurality of preset domains according to the information semantics;
and selecting one label from the field labels one by one as a target label, and calculating the expected variation limit of the target user to a preset field corresponding to the target label according to the distance value between the target label and each target information and the expected variation total amount.
2. The method as claimed in claim 1, wherein the fitting the variation amount and the variation time to obtain a fitting function comprises:
mapping the changing amount and the changing time of each time to a pre-constructed coordinate system to obtain the changing coordinate of each change of the account to be analyzed;
calculating a fitting coordinate of each variable coordinate by using a preset initial function;
calculating a difference value between the fitting coordinate and the changed coordinate;
judging whether the difference value is smaller than a preset difference threshold value or not;
when the difference value is greater than or equal to the preset difference threshold value, adjusting the parameters of the initial function according to the difference value, and returning to the step of calculating the fitting coordinate of each changed coordinate by using the preset initial function;
and when the difference value is smaller than the preset difference threshold value, determining the initial function at the moment as a fitting function.
3. The method of claim 2, wherein the calculating a difference between the fitted coordinate and the varied coordinate comprises:
calculating a difference value between the fitted coordinate and the varied coordinate using a difference algorithm as follows:
Figure FDA0003265863380000021
wherein D is the difference value, N is the number of the changed coordinates, aiIs the abscissa of the ith variation coordinate, biAs the abscissa of the i-th fitted coordinate, ciIs the ordinate of the i-th variation coordinate, diIs the ordinate of the i-th fitted coordinate.
4. The method as claimed in claim 1, wherein the calculating the interval variation amount of the target account to be analyzed in a plurality of preset time periods according to the fitting function includes:
carrying out interval division on the fitting curve according to a preset time period to obtain a plurality of interval function segments;
and selecting one interval function section as a target function section one by one, and integrating the target function in a time period corresponding to the target function section to obtain an interval variation limit of the time period corresponding to the target function.
5. The method for analyzing change behavior of user account as claimed in claim 1, wherein said extracting a browsing duration of each piece of information in the browsing record of information by the target user comprises:
acquiring a preset time field data format;
identifying the data type of the information browsing record, and compiling preset characters into a regular expression according to the time field data format by using a compiler corresponding to the data type;
and extracting the browsing duration of each piece of information in the information browsing record by using the first regular expression.
6. The method according to any one of claims 1 to 5, wherein the identifying information semantics of each of the target information comprises:
selecting one of the target information one by one, and performing word segmentation processing on the selected information to obtain information word segmentation;
counting the occurrence frequency of each word in the information word segmentation, and selecting the word with the occurrence frequency larger than a preset frequency threshold value as a keyword;
and performing word vector conversion on the keywords, splicing the word vectors obtained by conversion into a vector matrix, and using the vector matrix as the information semantics of the selected information.
7. The method for analyzing user account change behavior according to claim 6, wherein the performing word vector conversion on the keywords and splicing the converted word vectors into a vector matrix comprises:
selecting one word from the keywords one by one as a target keyword, and carrying out byte splitting on the target keyword to obtain a plurality of bytes;
respectively coding each byte in the plurality of bytes to obtain byte codes;
splicing the byte codes according to the sequence of the position of each byte in the plurality of bytes in the target keyword to obtain a keyword vector of the target keyword;
and splicing each vector in the keyword vectors as a row vector to form a vector matrix.
8. An apparatus for analyzing a user account change behavior, the apparatus comprising:
the function fitting module is used for acquiring the change amount and the change time of each change of the account to be analyzed of the target user, and fitting the change amount and the change time to obtain a fitting function;
the total variation calculation module is used for calculating the interval variation amount of the account to be analyzed of the target user in a plurality of preset time periods according to the fitting function and calculating the expected total variation amount of the account to be analyzed of the target user according to the interval variation amount by utilizing a preset weight algorithm;
the information screening module is used for acquiring the information browsing record of the target user, extracting the browsing duration of the target user to each piece of information in the information browsing record, and collecting the information with the browsing duration being greater than the preset duration as the target information;
the distance value calculation module is used for identifying the information semantics of each piece of target information and calculating the distance values between each piece of target information and the field labels of a plurality of preset fields according to the information semantics;
and the expected change calculation module is used for selecting one label from the field labels one by one as a target label, and calculating the expected change amount of the target user to a preset field corresponding to the target label according to the distance value between the target label and each target information and the expected change total amount.
9. An electronic device, characterized in that the electronic device comprises:
at least one processor; and the number of the first and second groups,
a memory communicatively coupled to the at least one processor; wherein,
the memory stores a computer program executable by the at least one processor to enable the at least one processor to perform the method of user account change behavior analysis of any one of claims 1 to 7.
10. A computer-readable storage medium storing a computer program, wherein the computer program, when executed by a processor, implements the user account change behavior analysis method according to any one of claims 1 to 7.
CN202111086856.1A2021-09-162021-09-16User account change behavior analysis method, device, equipment and storage mediumActiveCN113793218B (en)

Priority Applications (1)

Application NumberPriority DateFiling DateTitle
CN202111086856.1ACN113793218B (en)2021-09-162021-09-16User account change behavior analysis method, device, equipment and storage medium

Applications Claiming Priority (1)

Application NumberPriority DateFiling DateTitle
CN202111086856.1ACN113793218B (en)2021-09-162021-09-16User account change behavior analysis method, device, equipment and storage medium

Publications (2)

Publication NumberPublication Date
CN113793218Atrue CN113793218A (en)2021-12-14
CN113793218B CN113793218B (en)2023-07-25

Family

ID=78878577

Family Applications (1)

Application NumberTitlePriority DateFiling Date
CN202111086856.1AActiveCN113793218B (en)2021-09-162021-09-16User account change behavior analysis method, device, equipment and storage medium

Country Status (1)

CountryLink
CN (1)CN113793218B (en)

Cited By (1)

* Cited by examiner, † Cited by third party
Publication numberPriority datePublication dateAssigneeTitle
CN118796640A (en)*2024-07-042024-10-18北京电竞次元文化传播有限公司 Account management method and system based on big data

Citations (4)

* Cited by examiner, † Cited by third party
Publication numberPriority datePublication dateAssigneeTitle
CN110069545A (en)*2019-03-072019-07-30阿里巴巴集团控股有限公司A kind of behavioral data appraisal procedure and device
CN112559923A (en)*2020-12-162021-03-26平安银行股份有限公司Website resource recommendation method and device, electronic equipment and computer storage medium
CN113011889A (en)*2021-03-102021-06-22腾讯科技(深圳)有限公司Account abnormity identification method, system, device, equipment and medium
CN113360803A (en)*2021-06-012021-09-07平安银行股份有限公司Data caching method, device and equipment based on user behavior and storage medium

Patent Citations (4)

* Cited by examiner, † Cited by third party
Publication numberPriority datePublication dateAssigneeTitle
CN110069545A (en)*2019-03-072019-07-30阿里巴巴集团控股有限公司A kind of behavioral data appraisal procedure and device
CN112559923A (en)*2020-12-162021-03-26平安银行股份有限公司Website resource recommendation method and device, electronic equipment and computer storage medium
CN113011889A (en)*2021-03-102021-06-22腾讯科技(深圳)有限公司Account abnormity identification method, system, device, equipment and medium
CN113360803A (en)*2021-06-012021-09-07平安银行股份有限公司Data caching method, device and equipment based on user behavior and storage medium

Cited By (2)

* Cited by examiner, † Cited by third party
Publication numberPriority datePublication dateAssigneeTitle
CN118796640A (en)*2024-07-042024-10-18北京电竞次元文化传播有限公司 Account management method and system based on big data
CN118796640B (en)*2024-07-042025-03-07北京电竞次元文化传播有限公司 Account management method and system based on big data

Also Published As

Publication numberPublication date
CN113793218B (en)2023-07-25

Similar Documents

PublicationPublication DateTitle
CN114496264B (en)Health index analysis method, device, equipment and medium based on multidimensional data
CN115391669B (en)Intelligent recommendation method and device and electronic equipment
CN115002200A (en)User portrait based message pushing method, device, equipment and storage medium
CN107704512A (en)Financial product based on social data recommends method, electronic installation and medium
CN114186132B (en)Information recommendation method and device, electronic equipment and storage medium
CN115204971B (en)Product recommendation method, device, electronic equipment and computer readable storage medium
CN114187096B (en) User-profile-based risk assessment method, device, equipment, and storage medium
CN115423535B (en)Product purchasing method, device, equipment and medium based on market priori big data
CN113707302B (en) Service recommendation method, device, equipment and storage medium based on associated information
CN113592605B (en)Product recommendation method, device, equipment and storage medium based on similar products
CN113793037B (en)Service distribution method, device, equipment and storage medium based on data analysis
CN114398560B (en)Marketing interface setting method, device, equipment and medium based on WEB platform
CN113627160B (en)Text error correction method and device, electronic equipment and storage medium
CN113704411B (en)Word vector-based similar guest group mining method, device, equipment and storage medium
CN113793218B (en)User account change behavior analysis method, device, equipment and storage medium
CN113592606A (en)Product recommendation method, device, equipment and storage medium based on multiple decisions
CN118037455A (en)Financial data prediction method, device, equipment and storage medium thereof
CN114708073B (en)Intelligent detection method and device for surrounding mark and serial mark, electronic equipment and storage medium
CN113704407B (en)Complaint volume analysis method, device, equipment and storage medium based on category analysis
CN114723488B (en)Course recommendation method and device, electronic equipment and storage medium
CN113902418B (en)Project approval method and device, electronic equipment and readable storage medium
CN113706019B (en)Service capability analysis method, device, equipment and medium based on multidimensional data
CN115641186A (en)Intelligent analysis method, device and equipment for preference of live broadcast product and storage medium
CN113704587A (en)User adhesion analysis method, device, equipment and medium based on stage division
CN113139129A (en)Virtual reading track map generation method and device, electronic equipment and storage medium

Legal Events

DateCodeTitleDescription
PB01Publication
PB01Publication
SE01Entry into force of request for substantive examination
SE01Entry into force of request for substantive examination
GR01Patent grant
GR01Patent grant

[8]ページ先頭

©2009-2025 Movatter.jp