



技术领域technical field
本申请涉及电力线载波通信领域,具体而言,涉及一种用电信息数据采集过程中的噪声自适应方法及设备。The present application relates to the field of power line carrier communication, and in particular, to a method and device for noise adaptation in the process of collecting power consumption information data.
背景技术Background technique
电网是指电力系统中各种电压的变电所及输配电路线路组成的整体,包含变电、输电和配电,主要任务是输送与分配电能。目前,为了减少通信线路的架设和运营成本,在电网通信技术中提出了一种利用现有的电力线路进行通信的方案,借助于电力线载波通信技术实现可靠的窄带或宽带通信。Power grid refers to the whole composed of substations and transmission and distribution circuits of various voltages in the power system, including substation, transmission and distribution, and the main task is to transmit and distribute electric energy. At present, in order to reduce the erection and operation cost of communication lines, a solution using existing power lines for communication is proposed in the power grid communication technology, and reliable narrowband or broadband communication is realized by means of the power line carrier communication technology.
然而,由于电力线路本身并非为通信量身打造的专用线路,电网中存在强干扰信号和突发干扰噪声,使得电力线路中的误码率较高,其本身的通信环境也十分恶劣,容易受到用电信息采集背景噪声的影响,使得通信过程中的信息误差较大,会对通信过程产生干扰。However, because the power line itself is not a dedicated line tailored for communication, there are strong interference signals and sudden interference noise in the power grid, which makes the bit error rate in the power line relatively high, and its own communication environment is also very bad. The influence of the background noise of electricity information collection makes the information error in the communication process larger, which will interfere with the communication process.
发明内容SUMMARY OF THE INVENTION
本申请实施例的目的在于提供一种用电信息数据采集过程中的噪声自适应方法及设备,用以解决现有技术中电力线路中的背景噪声对通信产生干扰的问题。The purpose of the embodiments of the present application is to provide a noise adaptive method and device in the process of collecting electricity information data, so as to solve the problem that the background noise in the power line interferes with the communication in the prior art.
第一方面,本申请实施例提供一种用电信息数据采集过程中的噪声自适应方法,包括:采集多个频点的电流信号;其中,所述电流信号包括用电信息和通讯信号;对每个所述电流信号进行测试,获得每个所述电流信号的分流比和对应的频点信息;根据所述分流情况和所述频点信息选取满足预选原则的电流信号,获得目标电流信号;提取每个所述目标电流信号对应的噪声信号,并根据所述噪声信号确定对应的幅值;根据所述幅值,利用自适应原则确定目标信号频点。In a first aspect, an embodiment of the present application provides a noise adaptive method in the process of collecting electricity information data, including: collecting current signals of multiple frequency points; wherein, the current signals include electricity information and communication signals; Each of the current signals is tested to obtain the shunt ratio of each of the current signals and the corresponding frequency point information; according to the shunt situation and the frequency point information, select the current signal that satisfies the preselection principle, and obtain the target current signal; A noise signal corresponding to each of the target current signals is extracted, and a corresponding amplitude value is determined according to the noise signal; according to the amplitude value, an adaptive principle is used to determine the frequency point of the target signal.
本申请实施例中,通过自适应原则对噪声信号的幅值进行选取,确定对应的目标信号频点,选取的目标信号频点幅值小,因此对通讯信号的传输干扰小,提高通讯信号传输的精度和在通信过程中的适应度。In the embodiment of the present application, the amplitude of the noise signal is selected through the self-adaptive principle, and the corresponding target signal frequency point is determined. The selected target signal frequency point has a small amplitude, so the interference to the transmission of the communication signal is small, and the transmission of the communication signal is improved. accuracy and fitness in the communication process.
可选地,在本申请实施例中,所述根据所述比和所述频点信息选取满足预选原则的电流信号,获得目标电流信号,包括:Optionally, in this embodiment of the present application, selecting a current signal that satisfies a preselection principle according to the ratio and the frequency point information to obtain a target current signal includes:
提取所述分流比满足第一预设阈值的电流信号,获得第一待检测电流信号;根据每个待检测电流对应的频点信息提取频点为工业频率偶数倍的所述第一待检测电流,获得第二待检测电流;判断每个所述第二待检测电流的频点是否满足预设频点范围;若是,则提取满足所述预设频点范围的所述第二待检测电流,获得所述目标电流信号。Extract the current signal whose shunt ratio satisfies the first preset threshold to obtain the first current signal to be detected; according to the frequency point information corresponding to each current to be detected, extract the first current to be detected whose frequency point is an even multiple of the industrial frequency , obtain a second current to be detected; determine whether the frequency of each second current to be detected satisfies a preset frequency range; if so, extract the second current to be detected that satisfies the preset frequency range, Obtain the target current signal.
在上述的实现过程中,选取分流比满足第一预设阈值、频点为工业频率偶数倍且满足预设频点范围的电流信号作为目标电流信号,可以滤除在通信过程中信号衰减大的电流信号对应的频点,同时避开奇数次频点的电流信号,避免频谱泄漏对通信造成干扰,提高选取的目标电流信号的有效性。In the above-mentioned implementation process, the current signal whose shunt ratio satisfies the first preset threshold, the frequency point is an even multiple of the industrial frequency, and satisfies the preset frequency point range is selected as the target current signal, which can filter out the large signal attenuation during the communication process. The frequency point corresponding to the current signal, while avoiding the current signal of the odd-numbered frequency point, avoids the interference of the spectrum leakage to the communication, and improves the validity of the selected target current signal.
可选地,在本申请实施例中,所述提取每个所述目标电流信号对应的噪声信号,包括:通过二阶广义积分器提取每个所述目标电流信号的噪声信号。可选地,所述通过二阶广义积分器提取每个所述目标电流信号的噪声信号,包括:Optionally, in the embodiment of the present application, the extracting the noise signal corresponding to each of the target current signals includes: extracting the noise signal of each of the target current signals through a second-order generalized integrator. Optionally, extracting the noise signal of each of the target current signals by a second-order generalized integrator includes:
利用公式提取每个所述目标电流信号的噪声信号;Use the formula extracting the noise signal of each of the target current signals;
其中,表示频点为n的输入信号经过拉氏变换的形式,表示控制增益,表示谐振频率,表示复频率,表示频点为n的目标信号经拉氏变换后的形式。in, Represents the form of the input signal with frequency point n after Laplace transform, represents the control gain, represents the resonant frequency, represents the complex frequency, Indicates the form of the target signal with frequency point n after Laplace transform.
在上述的实现过程中,通过二阶广义积分器提取目标信号对应的噪声信号,可以克服电网电压不平衡及高次谐波对噪声信号提取造成的误差,提高提取的噪声信号的准确性。In the above implementation process, the second-order generalized integrator is used to extract the noise signal corresponding to the target signal, which can overcome the error caused by the grid voltage unbalance and high-order harmonics to extract the noise signal, and improve the accuracy of the extracted noise signal.
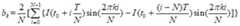
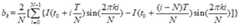
可选地,在本申请实施例中,所述并根据所述噪声信号确定对应的幅值,包括:Optionally, in this embodiment of the present application, determining the corresponding amplitude according to the noise signal includes:
通过公式提取每个所述噪声信号的幅值;by formula extracting the amplitude of each of said noise signals;
其中,表示频点为的目标电流信号的幅值;in, The frequency point is The amplitude of the target current signal;
表示频点为的目标电流信号的实部,且; The frequency point is the real part of the target current signal, and ;
表示频点为的目标电流信号的虚部,且; The frequency point is the imaginary part of the target current signal, and ;
表示所述目标电流的频点,为设定的滑动窗的大小,且,为每个所述噪声信号的频点和所述工业频率的最大公约数,表示采样频率,,为包含多种频点的输入信号。 represents the frequency point of the target current, is the set size of the sliding window, and , is the greatest common divisor of each frequency point of the noise signal and the industrial frequency, represents the sampling frequency, , It is an input signal containing multiple frequency points.
在上述的实现过程中,通过滑动傅里叶变换提取噪声信号的幅值,每采样一个数据,即可计算一次结果,可在每个采样时刻更新谐波成分的分析结果,能够克服负荷波动、频率偏移的影响,实时性高。In the above implementation process, the amplitude of the noise signal is extracted by sliding Fourier transform, and the result can be calculated once every time a piece of data is sampled, and the analysis result of the harmonic components can be updated at each sampling moment, which can overcome load fluctuation, Influence of frequency offset, high real-time performance.
可选地,在本申请实施例中,所述根据所述幅值,利用自适应原则确定目标信号频点,包括:从幅值最小开始,将预设个数的噪声信号作为特定的电流信号;根据所述特定的电流信号对应的信号频点确定所述目标信号频点。Optionally, in the embodiment of the present application, the determining the target signal frequency point by using the adaptive principle according to the amplitude value includes: starting from the smallest amplitude value, using a preset number of noise signals as the specific current signal. ; Determine the target signal frequency point according to the signal frequency point corresponding to the specific current signal.
在上述的实现过程中,根据自适应原则,从幅值最小开始,将预设个数的噪声信号对应的目标电流信号作为特定的电流信号,此时选取的目标信号频点的幅值小,即目标频点对应的噪声信号幅值小,可以实现用电信息采集背景噪声的自适应。In the above implementation process, according to the principle of self-adaptation, starting from the minimum amplitude, the target current signal corresponding to the preset number of noise signals is used as the specific current signal, and the amplitude of the selected target signal frequency point is small at this time, That is, the amplitude of the noise signal corresponding to the target frequency point is small, which can realize the self-adaptation of the background noise of the electricity information collection.
可选地,在本申请实施例中,所述方法还包括:采集所述目标信号频点下的电流信号,将所述目标信号频点下的电流信号输入电力线路中进行通信。Optionally, in the embodiment of the present application, the method further includes: collecting a current signal at the target signal frequency point, and inputting the current signal at the target signal frequency point into a power line for communication.
在上述的实现过程中,将所述目标信号频点下的电流信号输入电力线路中,此时选取的目标信号频点对应的噪声信号的幅值较小,对通讯信号的影响小,可以解决背景噪声对通信产生干扰的问题,提高通讯信号的传输精度。In the above implementation process, the current signal at the target signal frequency is input into the power line, the amplitude of the noise signal corresponding to the selected target signal frequency is small, and the impact on the communication signal is small, which can solve the problem. The problem that background noise interferes with communication and improves the transmission accuracy of communication signals.
第二方面,本申请实施例提供一种用电信息数据采集过程中的噪声自适应设备,包括:采集模块,用于采集多个频点的电流信号;其中,电流信号包括电信号和通讯信号;测试模块,用于对每个所述电流信号进行测试,获得每个电流信号的分流比和对应的频点信息;选取模块,用于根据所述分流比和所述频点信息选取满足预选原则的电流信号,获得目标电流信号;幅值确定模块,用于提取每个所述目标电流信号对应的噪声信号,并根据所述噪声信号确定对应的幅值;频点获取模块,用于根据所述幅值,利用自适应原则确定目标信号频点。In a second aspect, an embodiment of the present application provides a noise adaptive device in the process of collecting electricity information data, including: a collecting module for collecting current signals of multiple frequency points; wherein the current signals include electrical signals and communication signals The test module is used to test each described current signal to obtain the shunt ratio of each current signal and the corresponding frequency point information; the selection module is used to select according to the shunt ratio and the described frequency point information to satisfy the preselected The principle current signal is used to obtain the target current signal; the amplitude determination module is used to extract the noise signal corresponding to each target current signal, and the corresponding amplitude is determined according to the noise signal; the frequency point acquisition module is used to For the amplitude value, the target signal frequency point is determined using the adaptive principle.
第三方面,本申请实施例提供一种电子设备,包括:处理器和存储器,所述存储器存储有所述处理器可执行的机器可读指令,所述处理器调用所述程序指令能够执行第一方面的方法。In a third aspect, an embodiment of the present application provides an electronic device, including: a processor and a memory, where the memory stores machine-readable instructions executable by the processor, and the processor invokes the program instructions to execute the first method on the one hand.
第四方面,本申请实施例提供一种非暂态计算机可读存储介质,包括:所述非暂态计算机可读存储介质存储计算机指令,所述计算机指令使所述计算机执行第一方面的方法。In a fourth aspect, an embodiment of the present application provides a non-transitory computer-readable storage medium, including: the non-transitory computer-readable storage medium stores computer instructions, and the computer instructions cause the computer to execute the method of the first aspect .
本申请的其他特征和优点将在随后的说明书阐述,并且,部分地从说明书中变得显而易见,或者通过实施本申请实施例了解。本申请的目的和其他优点可通过在所写的说明书、权利要求书、以及附图中所特别指出的结构来实现和获得。Other features and advantages of the present application will be set forth in the description which follows, and, in part, will be apparent from the description, or may be learned by practice of the embodiments of the present application. The objectives and other advantages of the application may be realized and attained by the structure particularly pointed out in the written description, claims, and drawings.
附图说明Description of drawings
为了更清楚地说明本申请实施例的技术方案,下面将对本申请实施例中所需要使用的附图作简单地介绍,应当理解,以下附图仅示出了本申请的某些实施例,因此不应被看作是对范围的限定,对于本领域普通技术人员来讲,在不付出创造性劳动的前提下,还可以根据这些附图获得其他相关的附图。In order to explain the technical solutions of the embodiments of the present application more clearly, the following briefly introduces the accompanying drawings that need to be used in the embodiments of the present application. It should be understood that the following drawings only show some embodiments of the present application, therefore It should not be regarded as a limitation of the scope. For those of ordinary skill in the art, other related drawings can also be obtained from these drawings without any creative effort.
图1为本申请实施例提供的一种用电信息数据采集过程中的噪声自适应方法流程示意图;1 is a schematic flowchart of a noise adaptive method in a process of collecting electricity information data according to an embodiment of the present application;
图2为本申请实施例提供的电流信号中的噪声信号的幅值示意图;FIG. 2 is a schematic diagram of the amplitude of a noise signal in a current signal provided by an embodiment of the present application;
图3为本申请实施例提供的一种用电信息数据采集过程中的噪声自适应设备结构示意图;3 is a schematic structural diagram of a noise adaptive device in a process of collecting electricity information data according to an embodiment of the present application;
图4为本申请实施例提供的电子设备实体结构示意图。FIG. 4 is a schematic diagram of a physical structure of an electronic device according to an embodiment of the present application.
具体实施方式Detailed ways
下面将结合本申请实施例中的附图,对本申请实施例中的技术方案进行描述。The technical solutions in the embodiments of the present application will be described below with reference to the accompanying drawings in the embodiments of the present application.
图1为本申请实施例提供的一种用电信息数据采集过程中的噪声自适应方法流程示意图,如图1所示,该方法可以应用于终端设备(也可以称为电子设备)以及服务器;其中终端设备具体可以为智能手机、平板电脑、计算机、个人数字助理(Personal DigitalAssitant,PDA)等;服务器具体可以为应用服务器,也可以为Web服务器。该方法包括:FIG. 1 is a schematic flowchart of a noise adaptation method in a process of collecting electricity information data according to an embodiment of the present application. As shown in FIG. 1 , the method can be applied to terminal equipment (also referred to as electronic equipment) and servers; The terminal device may specifically be a smart phone, a tablet computer, a computer, a personal digital assistant (Personal DigitalAssitant, PDA), etc. The server may specifically be an application server or a Web server. The method includes:
步骤101:采集多个频点的电流信号;其中,所述电流信号包括用电信息和通讯信号。Step 101: Collect current signals of multiple frequency points; wherein, the current signals include power consumption information and communication signals.
在具体的实施过程中,可以通过可编程逻辑器件对目标信号进行采集, 也可以通过电流互感器的采集装置进行采集,其中,输入电力系统的输入信号为包含多种频点的信号,采集输入到电力系统的电流信号,将不同频点的电流信号进行分离,实现对不同频点电流信号的采集,其中,用电信息包括电信号和通讯信号,电信号为在电力系统进行变电、输电和配电的电信号外,还有在用电信息采集过程中产生的背景噪声,通讯信号为在电力系统中进行通信和信号传输的电信号。In the specific implementation process, the target signal can be collected through a programmable logic device, or through a collection device of a current transformer, wherein the input signal of the power system is input. In order to include signals of various frequency points, the current signal input to the power system is collected, and the current signals of different frequency points are separated to realize the collection of current signals of different frequency points. The power consumption information includes electrical signals and communication signals. The electrical signal is the electrical signal for substation, transmission and distribution in the power system, as well as the background noise generated in the process of collecting electricity information, and the communication signal is the electrical signal for communication and signal transmission in the power system.
步骤102:对每个所述电流信号进行测试,获得每个所述电流信号的分流比和对应的频点信息 。Step 102: Test each of the current signals to obtain the shunt ratio and corresponding frequency point information of each of the current signals.
其中,可以通过实验分析得到每个电流信号的分流比和对应的频点信息,也可以通过仿真得到每个电流信号的分流比和对应的频点信息,在本申请实施例中通过MATLAB和/或Simulink对电流信号进行仿真测试,得到电流信号的分流比和对应的频点信息,分流比可以体现电流信号的衰减程度。Among them, the shunt ratio and corresponding frequency point information of each current signal can be obtained through experimental analysis, and the shunt ratio and corresponding frequency point information of each current signal can also be obtained through simulation. Or Simulink can simulate and test the current signal to obtain the shunt ratio of the current signal and the corresponding frequency point information. The shunt ratio can reflect the attenuation of the current signal.
步骤103:根据所述分流比和所述频点信息选取满足预选原则的电流信号,获得目标电流信号。Step 103: Select a current signal that satisfies the preselection principle according to the current split ratio and the frequency point information to obtain a target current signal.
其中,在电力系统进行传输的电流信号中含有的整次谐波多,信号频谱中各谱线之间会相互影响,使测量结果偏离实际值,同时在谱线两侧其他频点上出现一些幅值较小的假谱,因此避开工业频率50Hz的奇数倍的频点,选取频点为工业频率偶数倍的信号,将满足上述预选原则的电流信号作为目标电流信号。Among them, the current signal transmitted in the power system contains many integer harmonics, and each spectral line in the signal spectrum will affect each other, causing the measurement result to deviate from the actual value, and at the same time appear on other frequency points on both sides of the spectral line. Therefore, the frequency points of odd multiples of the industrial frequency 50Hz are avoided, the signals whose frequency points are even multiples of the industrial frequency are selected, and the current signal that satisfies the above preselection principle is used as the target current signal.
步骤104:提取每个目标电流信号对应的噪声信号,并根据所述噪声信号确定对应的幅值。Step 104: Extract the noise signal corresponding to each target current signal, and determine the corresponding amplitude according to the noise signal.
其中,通过提取目标电流信号对应的噪声信号,可以将电流信号中的噪声信号分离出来,抑制并消除输入信号中的直流分量和高次谐波,同时计算噪声信号对应的幅值,方便后续选取目标信号频点。Among them, by extracting the noise signal corresponding to the target current signal, the noise signal in the current signal can be separated, the DC component and higher harmonics in the input signal can be suppressed and eliminated, and the amplitude corresponding to the noise signal can be calculated at the same time, which is convenient for subsequent selection. target signal frequency.
步骤105:根据所述幅值,利用自适应原则确定目标信号频点。Step 105: Determine the target signal frequency point by using the adaptive principle according to the amplitude value.
其中,目标信号频点为选取的符合自适应原则的特定信号频点,其中,从多个噪声信号中选择幅值较小的噪声信号对应的信号频点,作为目标信号频点,将所述目标信号频点下的电流信号输入电力线路中进行通信,可以保证能够获取到通讯信号,并且通讯信号的损耗小,能够减少背景噪声对通信的干扰,提高信号传输的精度。The target signal frequency point is the selected specific signal frequency point that conforms to the adaptive principle, wherein the signal frequency point corresponding to the noise signal with a smaller amplitude is selected from a plurality of noise signals as the target signal frequency point, and the The current signal at the target signal frequency is input into the power line for communication, which can ensure that the communication signal can be obtained, and the loss of the communication signal is small, which can reduce the interference of background noise on communication and improve the accuracy of signal transmission.
在上述实施例的基础上,所述根据所述分流比和所述频点信息选取满足预选原则的电流信号,获得目标电流信号,包括:On the basis of the above-mentioned embodiment, selecting the current signal that satisfies the preselection principle according to the shunt ratio and the frequency point information to obtain the target current signal includes:
提取所述分流比满足第一预设阈值的电流信号,获得第一待检测电流信号;根据每个待检测电流对应的频点信息提取频点为工业频率偶数倍的所述第一待检测电流,获得第二待检测电流;判断每个所述第二待检测电流的频点是否满足预设频点范围;若是,则提取满足所述预设频点范围的所述第二待检测电流,获得所述目标电流信号。Extract the current signal whose shunt ratio satisfies the first preset threshold to obtain the first current signal to be detected; according to the frequency point information corresponding to each current to be detected, extract the first current to be detected whose frequency point is an even multiple of the industrial frequency , obtain a second current to be detected; determine whether the frequency of each second current to be detected satisfies a preset frequency range; if so, extract the second current to be detected that satisfies the preset frequency range, Obtain the target current signal.
作为一种实施方式,可以提取分流比小于0.5的电流信号作为第一待检测电流信号,选取第一待检测电流信号中频点为工业频率偶数倍的信号,可以为200Hz、300Hz、500Hz等满足要求的频点对应的电流信号,预设频点范围可以为[50Hz,1000Hz],将满足[50Hz,1000Hz]的第二待检测电流作为目标电流信号,在实际应用中,预设频点范围可以根据实际需要设定,本申请实施例对此不作具体限定。As an embodiment, a current signal with a shunt ratio less than 0.5 can be extracted as the first current signal to be detected, and a signal whose intermediate frequency point of the first current signal to be detected is an even multiple of the industrial frequency can be selected as 200Hz, 300Hz, 500Hz, etc. to meet the requirements The preset frequency range can be [50Hz, 1000Hz], and the second current to be detected that meets [50Hz, 1000Hz] is used as the target current signal. In practical applications, the preset frequency range can be It is set according to actual needs, which is not specifically limited in this embodiment of the present application.
通过上述预选原则可以避免出现频谱泄漏和信号衰减严重的问题,提高了选取的目标电流信号选取的有效性。The problems of spectrum leakage and serious signal attenuation can be avoided by the above pre-selection principle, and the selection effectiveness of the selected target current signal is improved.
在上述实施例的基础上,提取每个所述目标电流信号对应的噪声信号,包括:通过二阶广义积分器提取每个所述目标电流信号的噪声信号;On the basis of the above embodiment, extracting the noise signal corresponding to each of the target current signals includes: extracting the noise signal of each of the target current signals through a second-order generalized integrator;
利用公式提取每个所述目标电流信号的噪声信号;Use the formula extracting the noise signal of each of the target current signals;
其中,表示频点为n的输入信号经过拉氏变换的形式,表示控制增益,表示谐振频率,表示复频率,表示频点为n的目标信号经拉氏变换后的形式。in, Represents the form of the input signal with frequency point n after Laplace transform, represents the control gain, represents the resonant frequency, represents the complex frequency, Indicates the form of the target signal with frequency point n after Laplace transform.
本申请实施例通过上述公式可以得到频点为n的目标信号经拉氏变换式,在获得目标信号经拉氏变换式后对其做拉普拉斯逆变换,即可得到噪声信号的时域表达式。In this embodiment of the present application, the Laplace transform formula of the target signal with frequency point n can be obtained through the above formula. After the Laplace transform formula of the target signal is obtained, the inverse Laplace transform of the target signal can be obtained to obtain the time domain of the noise signal. expression.
通过二阶广义积分器提取目标电流信号中的噪声信号,二阶广义积分器可以为基于锁频环的二阶广义积分器,可以提高对电压信号中直流分量的过滤能力,抑制并消除输入信号中的直流分量和高次谐波,同时提高了针对输入信号含有直流分量时的锁相精度,具有更好的谐波过滤能力。The noise signal in the target current signal is extracted by a second-order generalized integrator. The second-order generalized integrator can be a second-order generalized integrator based on a frequency-locked loop, which can improve the filtering ability of the DC component in the voltage signal, suppress and eliminate the input signal At the same time, it improves the phase-locking accuracy when the input signal contains DC components, and has better harmonic filtering ability.
在上述实施例的基础上,所述并根据所述噪声信号确定对应的幅值,包括:On the basis of the above embodiment, the corresponding amplitude value is determined according to the noise signal, including:
通过公式提取每个所述噪声信号的幅值;by formula extracting the amplitude of each of said noise signals;
其中,表示频点为的目标电流信号的幅值;in, The frequency point is The amplitude of the target current signal;
表示频点为的目标电流信号的实部,且; The frequency point is the real part of the target current signal, and ;
表示频点为的目标电流信号的虚部,且; The frequency point is the imaginary part of the target current signal, and ;
表示所述目标电流的频点,为设定的滑动窗的大小,且,为每个所述噪声信号的频点和所述工业频率的最大公约数,表示采样频率,,为包含多种频点的输入信号。 represents the frequency point of the target current, is the set size of the sliding window, and , is the greatest common divisor of each frequency point of the noise signal and the industrial frequency, represents the sampling frequency, , It is an input signal containing multiple frequency points.
在本申请实施例中,通过设定滑动窗的大小,可以每隔一个滑动窗的大小就可以计算一次幅值,数据的实时性高,其中,工业频率为电力系统的发电、输电与配电设备以及工业与民用电气设备采用的额定频率,这里采用工频50Hz,在实际应用中,工频也可以根据实际需要设定,本申请实施例对此不作具体限定。In the embodiment of the present application, by setting the size of the sliding window, the amplitude value can be calculated every other sliding window size, and the real-time performance of the data is high, wherein the industrial frequency is the power generation, transmission and distribution of the power system. The rated frequency used by the equipment and industrial and civil electrical equipment, the power frequency of 50 Hz is used here. In practical applications, the power frequency can also be set according to actual needs, which is not specifically limited in this embodiment of the present application.
通过滑动傅里叶变换提取噪声信号的幅值,通过滑动和迭代实现短时傅里叶变换,包括正向变换和逆变换,通过迭代计算,可以极大的减少计算量,克服电流的负荷波动和频率偏移的影响。The amplitude of the noise signal is extracted by sliding Fourier transform, and short-time Fourier transform is realized by sliding and iteration, including forward transform and inverse transform. Through iterative calculation, the amount of calculation can be greatly reduced and the load fluctuation of current can be overcome. and frequency offset.
在上述实施例的基础上,所述根据所述幅值,利用自适应原则确定目标信号频点,包括:从幅值最小开始,将预设个数的噪声信号对应的目标电流信号作为特定的电流信号;根据所述特定的电流信号对应的信号频点确定所述目标信号频点。On the basis of the above embodiment, determining the target signal frequency point according to the amplitude value using the adaptive principle includes: starting from the smallest amplitude value, using the target current signal corresponding to a preset number of noise signals as a specific target current signal. The current signal; the target signal frequency point is determined according to the signal frequency point corresponding to the specific current signal.
在本申请实施例中,预设个数可以为一个,也可以为多个,当预设个数可以为一个时,即选取幅值最小的噪声信号的频点为目标信号频点,若预设个数可以为多个时,例如预设个数为5,那么可以将噪声信号按照幅值由大到小进行排序,将倒数5个噪声信号作为特定的电流信号。因此,预设个数的最大值应当小于或等于噪声信号的个数。In this embodiment of the present application, the preset number may be one or more. When the preset number may be one, the frequency point of the noise signal with the smallest amplitude is selected as the target signal frequency point. When the number can be multiple, for example, the preset number is 5, then the noise signals can be sorted in descending order of amplitude, and the last five noise signals can be used as specific current signals. Therefore, the maximum value of the preset number should be less than or equal to the number of noise signals.
在上述实施例的基础上,所述方法还包括:采集所述目标信号频点下的电流信号,将所述目标信号频点下的电流信号输入电力线路中进行通信。例如,选取的频点为200Hz作为目标信号频点,将200Hz频点下的电流信号输入到电力线路中进行通信,能够保证获取到通讯信号,将背景噪声对通信产生的干扰降到最低。On the basis of the above embodiment, the method further includes: collecting the current signal at the target signal frequency point, and inputting the current signal at the target signal frequency point into the power line for communication. For example, the selected frequency point is 200Hz as the target signal frequency point, and the current signal at the 200Hz frequency point is input into the power line for communication, which can ensure the acquisition of communication signals and minimize the interference of background noise on communication.
作为一种实施例,通过测试得到5个电流信号的分流比和对应的频点信息,其中,频点为200Hz的电流信号的分流比为0.4、频点为300Hz的电流信号的分流比为0.45、频点为500Hz的电流信号的分流比为0.47、频点为800Hz的电流信号的分流比为0.8、频点为900Hz的电流信号的分流比为0.85。As an example, the shunt ratios and corresponding frequency point information of five current signals are obtained through testing, wherein the shunt ratio of the current signal with the frequency point of 200Hz is 0.4, and the shunt ratio of the current signal with the frequency point of 300Hz is 0.45 The shunt ratio of the current signal with a frequency of 500Hz is 0.47, the shunt ratio of the current signal with a frequency of 800Hz is 0.8, and the shunt ratio of the current signal with a frequency of 900Hz is 0.85.
根据预选原则选取200Hz、300Hz、500 Hz对应的电流信号作为目标电流信号,提取上述电流信号对应的噪声信号的幅值,可得频点为200Hz的电流信号对应的噪声信号的幅值为0.65、频点为300Hz的电流信号对应的噪声信号的幅值为0.35、频点为500Hz的电流信号对应的噪声信号的幅值为0.8。According to the preselection principle, the current signals corresponding to 200Hz, 300Hz, and 500Hz are selected as the target current signals, and the amplitude of the noise signal corresponding to the above current signal is extracted. The amplitude of the noise signal corresponding to the current signal with a frequency of 300 Hz is 0.35, and the amplitude of the noise signal corresponding to the current signal with a frequency of 500 Hz is 0.8.
根据自适应原则,选取噪声幅值最小的300Hz作为目标信号频点,经过实验,将300Hz频点下的电流信号输入电力线路中进行通信时,能够保证获取到通讯信号,且得到的通讯信号的幅值在0.6-0.7之间,说明该注入信号频点的选取能够达到预想的效果,相比于现有方法较为可靠,可以减少背景噪声对通信过程产生的干扰,提高通讯信号传输的精度。According to the principle of self-adaptation, 300Hz with the smallest noise amplitude is selected as the target signal frequency. After experiments, when the current signal at the frequency of 300Hz is input into the power line for communication, the communication signal can be guaranteed to be obtained, and the obtained communication signal The amplitude is between 0.6 and 0.7, indicating that the selection of the frequency point of the injected signal can achieve the expected effect, which is more reliable than the existing method, can reduce the interference of background noise on the communication process, and improve the accuracy of communication signal transmission.
图2为本申请实施例提供的电流信号中的噪声信号的幅值示意图,可以得出在频点为50Hz时的电流信号的噪声幅值为25A、频点为150Hz时的电流信号的噪声幅值为22 A、频点为250Hz时的电流信号的噪声幅值为7.5A、频点为350Hz时的电流信号的噪声幅值为6A、频点为450Hz时的电流信号的噪声幅值为2A、频点为550Hz时的电流信号的噪声幅值为3A、频点为650Hz时的电流信号的噪声幅值为3A,而工频偶次倍的电流信号的噪声幅值几乎都低于2A,因此在选取目标信号频点时提取频点为工业频率偶数倍的第一待检测电流,降低背景噪声对通信的干扰。2 is a schematic diagram of the amplitude of the noise signal in the current signal provided by the embodiment of the application, it can be obtained that the noise amplitude of the current signal when the frequency point is 50Hz is 25A, and the noise amplitude of the current signal when the frequency point is 150Hz The noise amplitude of the current signal when the frequency is 22 A and the frequency point of 250Hz is 7.5A, the noise amplitude of the current signal when the frequency point is 350Hz is 6A, and the noise amplitude of the current signal when the frequency point is 450Hz is 2A , The noise amplitude of the current signal when the frequency point is 550Hz is 3A, the noise amplitude of the current signal when the frequency point is 650Hz is 3A, and the noise amplitude of the current signal with even times the power frequency is almost all lower than 2A, Therefore, when selecting the target signal frequency point, the first current to be detected whose frequency point is an even multiple of the industrial frequency is extracted to reduce the interference of background noise to communication.
图3为本申请实施例提供的一种用电信息数据采集过程中的噪声自适应设备结构示意图,该设备可以是电子设备上的模块、程序段或代码。应理解,该设备与上述图1方法实施例对应,能够执行图1方法实施例涉及的各个步骤,该设备具体的功能可以参见上文中的描述,为避免重复,此处适当省略详细描述。该设备包括:采集模块201、测试模块202、选取模块203、幅值确定模块204和频点获取模块205,其中:FIG. 3 is a schematic structural diagram of a noise adaptive device in the process of collecting electricity information data according to an embodiment of the present application, and the device may be a module, a program segment, or a code on an electronic device. It should be understood that the device corresponds to the method embodiment of FIG. 1 and can perform various steps involved in the method embodiment of FIG. 1 . For specific functions of the device, refer to the above description. To avoid repetition, the detailed description is appropriately omitted here. The device includes: a
采集模块201,用于采集多个频点的电流信号;其中,电流信号包括用电信息和通讯信号;测试模块202,用于对每个所述电流信号进行测试,获得每个电流信号的分流比和对应的频点信息;选取模块203,用于根据所述分流比和所述频点信息选取满足预选原则的电流信号,获得目标电流信号;幅值确定模块204,用于提取每个所述目标电流信号对应的噪声信号,并根据所述噪声信号确定对应的幅值;频点获取模块205,用于根据所述幅值,利用自适应原则确定目标信号频点。The
在上述实施例的基础上,选取模块203具体用于:On the basis of the above-mentioned embodiment, the
提取所述分流比满足第一预设阈值的电流信号,获得第一待检测电流信号;根据每个待检测电流对应的频点信息提取频点为工业频率偶数倍的所述第一待检测电流,获得第二待检测电流;判断每个所述第二待检测电流的频点是否满足预设频点范围;若是,则提取满足所述预设频点范围的所述第二待检测电流,获得所述目标电流信号。Extract the current signal whose shunt ratio satisfies the first preset threshold to obtain the first current signal to be detected; according to the frequency point information corresponding to each current to be detected, extract the first current to be detected whose frequency point is an even multiple of the industrial frequency , obtain a second current to be detected; determine whether the frequency of each second current to be detected satisfies a preset frequency range; if so, extract the second current to be detected that satisfies the preset frequency range, Obtain the target current signal.
在上述实施例的基础上,幅值确定模块204具体用于:On the basis of the above embodiment, the
通过二阶广义积分器提取每个所述目标电流信号的噪声信号。The noise signal of each said target current signal is extracted by a second order generalized integrator.
利用公式提取每个所述目标电流信号的噪声信号;Use the formula extracting the noise signal of each of the target current signals;
其中,表示频点为n的输入信号经过拉氏变换的形式,表示控制增益,表示谐振频率,表示复频率,表示频点为n的目标信号经拉氏变换后的形式。in, Represents the form of the input signal with frequency point n after Laplace transform, represents the control gain, represents the resonant frequency, represents the complex frequency, Indicates the form of the target signal with frequency point n after Laplace transform.
在上述实施例的基础上,幅值确定模块204具体用于:On the basis of the above embodiment, the
通过公式提取每个所述噪声信号的幅值;by formula extracting the amplitude of each of said noise signals;
其中,表示频点为的目标电流信号的幅值;in, The frequency point is The amplitude of the target current signal;
表示频点为的目标电流信号的实部,且; The frequency point is the real part of the target current signal, and ;
表示频点为的目标电流信号的虚部,且; The frequency point is the imaginary part of the target current signal, and ;
表示所述目标电流的频点,为设定的滑动窗的大小,且,为每个所述噪声信号的频点和所述工业频率的最大公约数,表示采样频率,,为包含多种频点的输入信号。 represents the frequency point of the target current, is the set size of the sliding window, and , is the greatest common divisor of each frequency point of the noise signal and the industrial frequency, represents the sampling frequency, , It is an input signal containing multiple frequency points.
在上述实施例的基础上,频点获取模块205具体用于:On the basis of the above embodiment, the frequency
从幅值最小开始,将预设个数的噪声信号对应的所述目标电流信号作为特定的电流信号;Starting from the smallest amplitude value, the target current signal corresponding to the preset number of noise signals is used as a specific current signal;
根据所述特定的电流信号对应的信号频点确定所述目标信号频点。The target signal frequency point is determined according to the signal frequency point corresponding to the specific current signal.
在上述实施例的基础上,该设备还包括信号输入模块,具体用于:On the basis of the above embodiment, the device further includes a signal input module, which is specifically used for:
采集所述目标信号频点下的电流信号,将所述目标信号频点下的电流信号输入电力线路中进行通信。The current signal at the target signal frequency point is collected, and the current signal at the target signal frequency point is input into the power line for communication.
综上所述,本申请实施例中,首先通过预选原则选取目标信号,可以滤除在通信过程中信号衰减大的电流信号对应的频点,同时避开奇数次频点的电流信号,避免频谱泄漏对通信造成干扰,提高选取的目标电流信号的有效性,通过自适应原则对噪声信号的幅值进行选取,确定对应的目标信号频点,选取的目标信号频点幅值小,对通讯信号的传输干扰小,提高通讯信号传输的精度和在通信过程中的适应度。To sum up, in the embodiment of the present application, the target signal is first selected through the pre-selection principle, and the frequency points corresponding to the current signal with large signal attenuation during the communication process can be filtered out, and the current signal with odd frequency points can be avoided at the same time, and the frequency spectrum can be avoided. The leakage causes interference to communication, improves the effectiveness of the selected target current signal, selects the amplitude of the noise signal through the adaptive principle, and determines the corresponding target signal frequency. The transmission interference is small, and the accuracy of communication signal transmission and the adaptability in the communication process are improved.
图4为本申请实施例提供的电子设备实体结构示意图,如图4所示,所述电子设备,包括:处理器(processor)301、存储器(memory)302和总线303;其中:FIG. 4 is a schematic diagram of the physical structure of an electronic device provided by an embodiment of the application. As shown in FIG. 4 , the electronic device includes: a processor (processor) 301, a memory (memory) 302, and a
所述处理器301和存储器302通过所述总线303完成相互间的通信;The
所述处理器301用于调用所述存储器302中的程序指令,以执行上述各方法实施例所提供的方法,例如包括:采集多个频点的电流信号;其中,所述电流信号包括用电信息和通讯信号;对每个所述电流信号进行测试,获得每个所述电流信号的分流比和对应的频点信息 ;根据所述分流比和所述频点信息选取满足预选原则的电流信号,获得目标电流信号;提取每个所述目标电流信号对应的噪声信号,并根据所述噪声信号确定对应的幅值;根据所述幅值,利用自适应原则确定目标信号频点。The
处理器301可以是一种集成电路芯片,具有信号处理能力。上述处理器301可以是通用处理器,包括中央处理器(Central Processing Unit,CPU)、网络处理器(NetworkProcessor,NP)等;还可以是数字信号处理器(DSP)、专用集成电路(ASIC)、现成可编程门阵列(FPGA)或者其他可编程逻辑器件、分立门或者晶体管逻辑器件、分立硬件组件。其可以实现或者执行本申请实施例中公开的各种方法、步骤及逻辑框图。通用处理器可以是微处理器或者该处理器也可以是任何常规的处理器等。The
存储器302可以包括但不限于随机存取存储器(Random Access Memory,RAM),只读存储器(Read Only Memory,ROM),可编程只读存储器(Programmable Read-OnlyMemory,PROM),可擦除只读存储器(Erasable Programmable Read-Only Memory,EPROM),电可擦除只读存储器(Electrically Erasable Programmable Read-Only Memory,EEPROM)等。The
本实施例公开一种计算机程序产品,所述计算机程序产品包括存储在非暂态计算机可读存储介质上的计算机程序,所述计算机程序包括程序指令,当所述程序指令被计算机执行时,计算机能够执行上述各方法实施例所提供的方法,例如包括:采集多个频点的电流信号;其中,所述电流信号包括用电信息和通讯信号;对每个所述电流信号进行测试,获得每个所述电流信号的分流比和对应的频点信息 ;根据所述分流比和所述频点信息选取满足预选原则的电流信号,获得目标电流信号;提取每个所述目标电流信号对应的噪声信号,并根据所述噪声信号确定对应的幅值;根据所述幅值,利用自适应原则确定目标信号频点。This embodiment discloses a computer program product, the computer program product includes a computer program stored on a non-transitory computer-readable storage medium, the computer program includes program instructions, and when the program instructions are executed by a computer, the computer program The methods provided by the above method embodiments can be performed, for example, including: collecting current signals of multiple frequency points; wherein, the current signals include power consumption information and communication signals; testing each of the current signals to obtain each The shunt ratio of each of the current signals and the corresponding frequency point information; according to the shunt ratio and the frequency point information, select a current signal that satisfies the preselection principle to obtain a target current signal; extract the noise corresponding to each of the target current signals signal, and determine the corresponding amplitude value according to the noise signal; according to the amplitude value, use the adaptive principle to determine the target signal frequency point.
本申请实施例提供一种非暂态计算机可读存储介质,所述非暂态计算机可读存储介质存储计算机指令,所述计算机指令使所述计算机执行上述各方法实施例所提供的方法,例如包括:采集多个频点的电流信号;其中,所述电流信号包括用电信息和通讯信号;对每个所述电流信号进行测试,获得每个所述电流信号的分流比和对应的频点信息 ;根据所述分流比和所述频点信息选取满足预选原则的电流信号,获得目标电流信号;提取每个所述目标电流信号对应的噪声信号,并根据所述噪声信号确定对应的幅值;根据所述幅值,利用自适应原则确定目标信号频点。Embodiments of the present application provide a non-transitory computer-readable storage medium, where the non-transitory computer-readable storage medium stores computer instructions, and the computer instructions cause the computer to execute the methods provided by the foregoing method embodiments, for example Including: collecting current signals of multiple frequency points; wherein, the current signals include electricity consumption information and communication signals; testing each of the current signals to obtain the shunt ratio and corresponding frequency points of each of the current signals information; select a current signal that satisfies the preselection principle according to the shunt ratio and the frequency point information to obtain a target current signal; extract the noise signal corresponding to each target current signal, and determine the corresponding amplitude according to the noise signal ; According to the amplitude, use the adaptive principle to determine the target signal frequency point.
在本申请所提供的实施例中,应该理解到,所揭露设备和方法,可以通过其它的方式实现。以上所描述的设备实施例仅仅是示意性的,例如,所述单元的划分,仅仅为一种逻辑功能划分,实际实现时可以有另外的划分方式,又例如,多个单元或组件可以结合或者可以集成到另一个系统,或一些特征可以忽略,或不执行。另一点,所显示或讨论的相互之间的耦合或直接耦合或通信连接可以是通过一些通信接口,设备或单元的间接耦合或通信连接,可以是电性,机械或其它的形式。In the embodiments provided in this application, it should be understood that the disclosed apparatus and method may be implemented in other manners. The device embodiments described above are only illustrative. For example, the division of the units is only a logical function division. In actual implementation, there may be other division methods. For example, multiple units or components may be combined or Can be integrated into another system, or some features can be ignored, or not implemented. On the other hand, the shown or discussed mutual coupling or direct coupling or communication connection may be through some communication interfaces, indirect coupling or communication connection of devices or units, which may be in electrical, mechanical or other forms.
另外,作为分离部件说明的单元可以是或者也可以不是物理上分开的,作为单元显示的部件可以是或者也可以不是物理单元,即可以位于一个地方,或者也可以分布到多个网络单元上。可以根据实际的需要选择其中的部分或者全部单元来实现本实施例方案的目的。In addition, units described as separate components may or may not be physically separated, and components shown as units may or may not be physical units, that is, may be located in one place, or may be distributed to multiple network units. Some or all of the units may be selected according to actual needs to achieve the purpose of the solution in this embodiment.
再者,在本申请各个实施例中的各功能模块可以集成在一起形成一个独立的部分,也可以是各个模块单独存在,也可以两个或两个以上模块集成形成一个独立的部分。Furthermore, each functional module in each embodiment of the present application may be integrated together to form an independent part, or each module may exist alone, or two or more modules may be integrated to form an independent part.
在本文中,诸如第一和第二等之类的关系术语仅仅用来将一个实体或者操作与另一个实体或操作区分开来,而不一定要求或者暗示这些实体或操作之间存在任何这种实际的关系或者顺序。In this document, relational terms such as first and second, etc. are used only to distinguish one entity or operation from another entity or operation, and do not necessarily require or imply any such existence between these entities or operations. The actual relationship or sequence.
以上所述仅为本申请的实施例而已,并不用于限制本申请的保护范围,对于本领域的技术人员来说,本申请可以有各种更改和变化。凡在本申请的精神和原则之内,所作的任何修改、等同替换、改进等,均应包含在本申请的保护范围之内。The above descriptions are merely examples of the present application, and are not intended to limit the protection scope of the present application. For those skilled in the art, various modifications and changes may be made to the present application. Any modification, equivalent replacement, improvement, etc. made within the spirit and principle of this application shall be included within the protection scope of this application.
| Application Number | Priority Date | Filing Date | Title |
|---|---|---|---|
| CN202111336483.9ACN113783587B (en) | 2021-11-12 | 2021-11-12 | Noise self-adaption method and device in electricity consumption information data acquisition process |
| Application Number | Priority Date | Filing Date | Title |
|---|---|---|---|
| CN202111336483.9ACN113783587B (en) | 2021-11-12 | 2021-11-12 | Noise self-adaption method and device in electricity consumption information data acquisition process |
| Publication Number | Publication Date |
|---|---|
| CN113783587A CN113783587A (en) | 2021-12-10 |
| CN113783587Btrue CN113783587B (en) | 2022-02-22 |
| Application Number | Title | Priority Date | Filing Date |
|---|---|---|---|
| CN202111336483.9AActiveCN113783587B (en) | 2021-11-12 | 2021-11-12 | Noise self-adaption method and device in electricity consumption information data acquisition process |
| Country | Link |
|---|---|
| CN (1) | CN113783587B (en) |
| Publication number | Priority date | Publication date | Assignee | Title |
|---|---|---|---|---|
| CN106656263A (en)* | 2016-12-13 | 2017-05-10 | 国网江苏省电力公司泰州供电公司 | Power line communication path search method fusing power frequency communication |
| Publication number | Priority date | Publication date | Assignee | Title |
|---|---|---|---|---|
| WO2018222740A1 (en)* | 2017-05-30 | 2018-12-06 | Commscope Technologies Llc | Reconfigurable optical networks |
| EP3886342A1 (en)* | 2020-03-24 | 2021-09-29 | Mitsubishi Electric R & D Centre Europe B.V. | Coherent optical receiver |
| CN111711470B (en)* | 2020-06-12 | 2021-06-29 | 南京市嘉隆电气科技股份有限公司 | Broadband power line carrier communication implementation method and device |
| Publication number | Priority date | Publication date | Assignee | Title |
|---|---|---|---|---|
| CN106656263A (en)* | 2016-12-13 | 2017-05-10 | 国网江苏省电力公司泰州供电公司 | Power line communication path search method fusing power frequency communication |
| Publication number | Publication date |
|---|---|
| CN113783587A (en) | 2021-12-10 |
| Publication | Publication Date | Title |
|---|---|---|
| Wang et al. | A novel fault let-through energy based fault location for LVDC distribution networks | |
| CN109975656A (en) | Based on flexible direct current power distribution network high resistance earthing fault detection method | |
| Mohammed et al. | Fundamental grid impedance estimation using grid‐connected inverters: a comparison of two frequency‐based estimation techniques | |
| CN111308260B (en) | Electric energy quality monitoring and electric appliance fault analysis system based on wavelet neural network and working method thereof | |
| Huang et al. | Faulty feeder detection by adjusting the compensation degree of arc‐suppression coil for distribution network | |
| CN106645974A (en) | Method and system for determining resonance of wind turbine and power grid | |
| Usama et al. | Design and implementation of a wavelet analysis‐based shunt fault detection and identification module for transmission lines application | |
| CN108414838B (en) | Method for measuring line impedance of inverter parallel system | |
| CN106932641A (en) | A kind of electric network failure diagnosis method based on improvement HHT conversion | |
| CN117991048B (en) | Short-circuit fault detection method and system for distribution network with high proportion of distributed power generation access | |
| CN109088425A (en) | A kind of commutation failure prevention method based on ac bus voltage disturbance amount | |
| CN117031129A (en) | Grounding impedance detection device, detection method, inverter and photovoltaic system | |
| CN109657276A (en) | Electromagnetical transient emulation method and system | |
| CN113783587B (en) | Noise self-adaption method and device in electricity consumption information data acquisition process | |
| CN110568300A (en) | A single-phase-to-ground fault identification method for distribution network based on multi-source information | |
| CN114301175A (en) | Power distribution station area user transformation relation identification method and device based on injection signals | |
| Ponukumati et al. | Unbalanced distribution network cross-country fault diagnosis method with emphasis on high-impedance fault syndrome | |
| CN110703134B (en) | Small current grounding line selection and phase selection method based on fault sequence component | |
| CN112255495A (en) | A kind of microgrid high resistance fault detection method | |
| CN117578726A (en) | Arc discharge detection method, device and equipment of energy storage system and energy storage system | |
| Huai et al. | Protection scheme for multiterminal HVDC system based on wavelet transform modulus maxima | |
| CN113253048B (en) | Short-circuit fault detection method and device | |
| Gurusinghe et al. | Protection against sub-synchronous oscillations, a relay model | |
| Jamali et al. | Adaptive single-pole auto-reclosure for transmission lines using sound phases currents and wavelet packet transform | |
| CN118275783B (en) | Dielectric loss angle measurement correction method, device, storage medium and computer equipment |
| Date | Code | Title | Description |
|---|---|---|---|
| PB01 | Publication | ||
| PB01 | Publication | ||
| SE01 | Entry into force of request for substantive examination | ||
| SE01 | Entry into force of request for substantive examination | ||
| TA01 | Transfer of patent application right | Effective date of registration:20220124 Address after:No. 9, Aoti street, Nanjing, Jiangsu 210019 Applicant after:State Grid Jiangsu Electric Power Co.,Ltd. Marketing Service Center Applicant after:STATE GRID JIANGSU ELECTRIC POWER Co.,Ltd. Applicant after:NARI Group Corp. Address before:210019 No.9 Aoti street, Jianye District, Nanjing City, Jiangsu Province Applicant before:State Grid Jiangsu Electric Power Co.,Ltd. Marketing Service Center | |
| TA01 | Transfer of patent application right | ||
| GR01 | Patent grant | ||
| GR01 | Patent grant |