Movatterモバイル変換


[0]ホーム

URL:


CN113754809A - Super water-absorbing polymer and preparation method and application thereof - Google Patents

Super water-absorbing polymer and preparation method and application thereof
Download PDF

Info

Publication number
CN113754809A
CN113754809ACN202010493907.1ACN202010493907ACN113754809ACN 113754809 ACN113754809 ACN 113754809ACN 202010493907 ACN202010493907 ACN 202010493907ACN 113754809 ACN113754809 ACN 113754809A
Authority
CN
China
Prior art keywords
acid
polymer
polymerization
particles
salt
Prior art date
Legal status (The legal status is an assumption and is not a legal conclusion. Google has not performed a legal analysis and makes no representation as to the accuracy of the status listed.)
Granted
Application number
CN202010493907.1A
Other languages
Chinese (zh)
Other versions
CN113754809B (en
Inventor
王晓
纪学顺
刘懿平
丁明强
王刚
赵帅
赵镇
田云
贾海东
孙家宽
Current Assignee (The listed assignees may be inaccurate. Google has not performed a legal analysis and makes no representation or warranty as to the accuracy of the list.)
Wanhua Chemical Group Co Ltd
Original Assignee
Wanhua Chemical Group Co Ltd
Priority date (The priority date is an assumption and is not a legal conclusion. Google has not performed a legal analysis and makes no representation as to the accuracy of the date listed.)
Filing date
Publication date
Application filed by Wanhua Chemical Group Co LtdfiledCriticalWanhua Chemical Group Co Ltd
Priority to CN202010493907.1ApriorityCriticalpatent/CN113754809B/en
Publication of CN113754809ApublicationCriticalpatent/CN113754809A/en
Application grantedgrantedCritical
Publication of CN113754809BpublicationCriticalpatent/CN113754809B/en
Activelegal-statusCriticalCurrent
Anticipated expirationlegal-statusCritical

Links

Classifications

Landscapes

Abstract

The invention belongs to the technical field of super absorbent polymers, and particularly relates to a super absorbent polymer and a preparation method and application thereof, wherein the preparation method comprises the following steps: at the temperature of less than or equal to 20 ℃, the ethylenically unsaturated monomer containing carboxyl and/or salt thereof, the internal cross-linking agent containing a sulfonate structure, the oxidant and the reducing agent are contacted to initiate polymerization reaction, so as to obtain hydrogel; crushing and extruding the hydrogel, and then contacting the hydrogel with a neutralizer to perform neutralization reaction to prepare colloidal particles; the colloidal particles are dried, ground and screened, and then are subjected to surface cross-linking treatment by contacting with a surface cross-linking agent to obtain a Super Absorbent Polymer (SAP) resin. The liquid absorption capacity and the liquid absorption rate of the super absorbent resin obtained by the method are obviously improved; meanwhile, the polymerization process does not involve the competitive polymerization of different monomers, so that the molecular weight of the polymer is ensured to be large enough, and the content of extractables in the obtained SAP particles is extremely low.

Description

Super water-absorbing polymer and preparation method and application thereof
Technical Field
The invention belongs to the technical field of super absorbent polymers, and particularly relates to a super absorbent polymer capable of improving liquid absorption rate and liquid absorption capacity, and a preparation method and application thereof.
Background
The water-absorbing polymer is a crosslinked, partially neutralized polymer, including crosslinked polyacrylic acid or crosslinked starch-acrylic acid graft polymers. According to its general definition, superabsorbent polymers are capable of absorbing large amounts of aqueous liquids and body fluids under swelling and the formation of hydrogels, and of retaining aqueous liquids under a certain pressure. Superabsorbent Polymers (SAP) can form particles, commonly referred to as particulate Superabsorbent Polymers. The particulate polymer raw powder can be subjected to surface crosslinking, surface treatment and other post-treatments to form a particulate superabsorbent polymer having a more balanced and excellent property profile. The main use of superabsorbent polymers and particulate superabsorbent polymers is in sanitary articles, such as baby diapers, incontinence products or sanitary napkins.
In absorbent articles, such as disposable diapers, superabsorbent polymers used as absorbents must have sufficiently high absorption capacity. The absorbent capacity needs to be high enough for the absorbent polymer to be able to absorb large amounts of aqueous body fluids encountered during use of the absorbent article. The superabsorbent polymer of the upper layer of the diaper needs to have a sufficiently fast wicking rate to lock the urine quickly and prevent overflow. In the prior art, compared with the irregular blocky shape obtained by aqueous solution polymerization and grinding, the water-absorbent resin prepared by the reverse suspension process has larger specific surface area because the macroscopic shape is in a stacked grape string shape; thus, it has a faster imbibition rate upon contact with water, which enables it to absorb a large amount of water in a short time. However, the water-absorbent resin prepared by the reversed-phase suspension polymerization has also drawbacks: due to the faster absorption rate, the absorbed water fills up the interior of the individual SAP particles quickly, whereas the water between the SAP particles is less permeable to each other, i.e. a so-called gel Blocking is easily formed. The adverse effect caused by gel blocking is that the liquid passing effect of the water-absorbent resin after water absorption is poor, so that the re-diffusion and absorption of water are influenced, and the application field of the water-absorbent resin is limited to a certain extent.
In addition, researchers in the field may consider introducing various ionic monomers during the polymerization process to improve the liquid-absorbing capacity of the SAP resin. For example, patent document CN 103102443 a discloses that by copolymerization of a plurality of unsaturated double bond monomers (among them, sulfonate monomers), the liquid-absorbing rate of SAP resin becomes fast, and the liquid-absorbing amount is large; however, copolymerization of a plurality of unsaturated monomers involves more problems, for example, differences in reactivity ratios lead to uneven distribution of different monomers in the polymer, fluctuations in properties, and polymerization fluctuations tend to result in high extractables and low molecular weights. For example, patent document CN 103923257 a discloses that copolymerization using acrylamide, acrylic acid and vinylsulfonate as comonomers gives a polymer product with higher water absorption rate, which is mainly used for agriculture, forestry, gardening and construction, and the amount of vinylsulfonate used in the preparation process is larger. Although superabsorbent polymers for agro-horticultural applications do not generally require any extract content, the use of large amounts of vinyl sulfonate salts results in high production costs, since sulfonate structured materials are still more expensive than carboxylates.
In summary, the SAP resin of sanitary articles needs to be low in rewet for a long time, have a low extractable content, and the SAP particles of the upper layer need to have a sufficiently strong liquid absorption capacity and rate, so that the development of such products is satisfactory for the use of composite core structures in diapers.
Disclosure of Invention
The invention aims to provide a super absorbent polymer, a preparation method and application thereof, aiming at the problems in the prior art, the method can remarkably improve the liquid absorption capacity and the liquid absorption rate of the obtained super absorbent resin by adding an internal crosslinking agent containing a sulfonate structure and an ethylenic unsaturated monomer containing carboxyl to carry out internal crosslinking instead of copolymerization; meanwhile, the polymerization process does not involve the competitive polymerization of different monomers, so that the molecular weight of the polymer is ensured to be large enough, and the content of extractables in the obtained SAP particles is extremely low.
In order to achieve the above purpose, the present invention provides the following technical solutions:
in one aspect, a super absorbent polymer is provided, which is a product obtained by polymerization of raw materials comprising the following components:
a) a carboxyl group-containing ethylenically unsaturated monomer and/or a salt thereof in an aqueous polymerization solution at a concentration of 20 wt% or more and 35 wt% or less (e.g., 22 wt%, 25 wt%, 28 wt%, 32 wt%), preferably 20 wt% or more and 30 wt% or less;
b) internal crosslinkers containing sulfonate structures in an amount of 0.05% to 10% (e.g., 0.08%, 0.1%, 0.2%, 0.4%, 0.8%, 1%, 4%, 8%) by weight, preferably 0.5% to 5% by weight, based on the weight of component a);
c) oxidizing agent in an amount of 0.005 wt% to 5 wt% (e.g., 0.008 wt%, 0.02 wt%, 0.04 wt%, 0.08 wt%, 0.1 wt%, 0.2 wt%, 0.4 wt%, 0.8 wt%, 1 wt%, 4 wt%), preferably 0.01 wt% to 0.5 wt%, based on the weight of component a);
d) reducing agents in an amount of 0.005 wt% to 5 wt% (e.g., 0.008 wt%, 0.02 wt%, 0.04 wt%, 0.08 wt%, 0.1 wt%, 0.2 wt%, 0.4 wt%, 0.8 wt%, 1 wt%, 4 wt%), preferably 0.01 wt% to 0.5 wt%, based on the weight of component a);
wherein, after the hydrogel obtained from the polymerization reaction is neutralized, the degree of neutralization of the carboxylic acid of the polymer in the obtained colloidal particles is 50-80 mol% (e.g., 60 mol%, 65 mol%, 70 mol%, 75 mol%); the colloidal particles are converted into polymer particles, and the proportion of the polymer particles having a particle size of 150-700 μm is 90 wt% or more (e.g., 92 wt%, 95 wt%, 98 wt%);
and, the surface of the polymer particles is treated with:
e) surface crosslinking is performed by 0.5 wt% to 1.5 wt% (e.g., 0.6 wt%, 0.8 wt%, 1 wt%, 1.3 wt%) of a surface crosslinking agent applied to the surface of the dried polymer particles, based on the dried polymer particles, and, optionally, surface crosslinking is performed
f) 0-2 wt% (e.g., 0.5 wt%, 1 wt%, 1.5 wt%) of an insoluble inorganic powder is added after surface crosslinking based on the dried polymer particles.
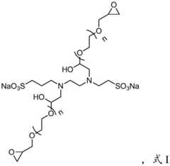
In a preferred embodiment, the chemical structure of the internal crosslinking agent containing a sulfonate structure is shown as formula I:
Figure BDA0002522067230000041
wherein n is 1. ltoreq. n.ltoreq.10 (where n is an integer; e.g., n is 2, 3, 5, 6, 8).
In a preferred embodiment, the internal crosslinking agent containing a sulfonate structure is prepared by the following reaction scheme:
Figure BDA0002522067230000042
(ii) a Wherein, n is more than or equal to 1 and less than or equal to 10 (wherein, n is an integer; for example, n is 2, 3, 5, 6 and 8).
In the present invention, the carboxyl group-containing ethylenically unsaturated monomer and/or a salt thereof means a carboxyl group-containing ethylenically unsaturated monomer and/or a salt thereof. The salt here may be an alkali metal salt (for example, sodium salt or potassium salt) of an ethylenically unsaturated monomer having a carboxyl group.
According to the super absorbent polymer provided by the invention, in the polymerization stage, the main part of the polymerization is the ethylenically unsaturated monomer containing carboxyl and/or the salt thereof. In some examples, the ethylenically unsaturated monomer containing a carboxyl group is selected from one or more of acrylic acid, methacrylic acid, ethacrylic acid, alpha-chloroacrylic acid, alpha-cyanoacrylic acid, beta-methacrylic acid (crotonic acid), alpha-phenylacrylic acid, beta-acryloxypropionic acid, sorbic acid, alpha-chlorosorbic acid, 2' -methylisotaloic acid, cinnamic acid, p-chlorocinnamic acid, beta-stearic acid, itaconic acid, citraconic acid, mesaconic acid, glutaconic acid, aconitic acid, maleic acid, fumaric acid, tricarboxyethylene and maleic anhydride, preferably from acrylic acid and/or methacrylic acid, more preferably acrylic acid.
In some examples, the oxidizing agent is a peroxide, preferably selected from one or more of sodium persulfate, hydrogen peroxide, potassium persulfate, and ammonium persulfate, more preferably hydrogen peroxide.
In some examples, the reducing agent is selected from one or more of ascorbic acid, ammonium bisulfite, ammonium thiosulfate, ammonium dithionite, ammonium sulfide, and sodium hydroxymethylsulfoxylate, preferably ascorbic acid.
In some examples, the insoluble inorganic powder is selected from one or more of silicon dioxide, silica, titanium dioxide, alumina, magnesia, zinc oxide, talc, calcium phosphate, clay, diatomaceous earth, zeolite, bentonite, kaolin, hydrotalcite, and activated clay, preferably silicon dioxide (e.g., fumed silica and/or precipitated silica).
In some examples, the surface cross-linking agent is selected from one or more of a polyol compound, an epoxy compound, an amine compound, and a metal inorganic salt. The polyalcohol compound is preferably selected from ethylene glycol, propylene glycol, glycerol, 1, 4-butanediol or pentaerythritol; the epoxy compound is preferably selected from (poly) ethylene glycol diglycidyl ether, 1, 4-butanediol diglycidyl ether, ethylene carbonate or propylene carbonate; the amine compound is preferably selected from tris (hydroxymethyl) aminomethane or carbodiimide; the metal inorganic salt is preferably selected from an inorganic salt of calcium, magnesium, aluminum, iron, copper or zinc.
In some examples, the polymerization feedstock further comprises: g) at least one thermal initiator.
In some examples, the thermal initiator is an azo-based initiator, preferably selected from one or more of azobisisobutyronitrile, azobiscyanovaleric acid, azobisdimethylvaleronitrile, 2 '-azobis (2-amidinopropane) dihydrochloride, azobisamidinopropane dihydrochloride, 2' -azobis (N, N-dimethyleneisobutyramidine) dihydrochloride, 2- (carbamoylazo) isobutyronitrile, and 4, 4-azobis (4-cyanovaleric acid).
In some examples, the thermal initiator is used in an amount of 0.005 wt% to 1 wt% (e.g., 0.008 wt%, 0.02 wt%, 0.04 wt%, 0.08 wt%, 0.1 wt%, 0.2 wt%, 0.4 wt%, 0.8 wt%), preferably 0.01 wt% to 0.2 wt%, based on the weight of component a).
According to the super absorbent polymer provided by the invention, in some examples, the liquid absorption capacity of the super absorbent polymer is 67-70g/g, the centrifugal water retention rate is 30-35g/g, the liquid passing rate (GBP) is more than or equal to 20Darcy, the 1min pure water absorption amount is 210-250g/g, the liquid absorption rate is 15-20s, and the content of extractables is less than or equal to 3 wt%.
In another aspect, there is provided a method for preparing a super absorbent polymer, comprising the steps of:
at 20 ℃ or lower (for example, 0 ℃, 5 ℃, 10 ℃ or 15 ℃), the ethylenically unsaturated monomer containing carboxyl and/or the salt thereof, the internal cross-linking agent containing the sulfonate structure, the oxidant and the reducing agent are contacted to initiate polymerization reaction, and hydrogel is obtained; crushing and extruding the hydrogel, and then contacting the hydrogel with a neutralizer to perform neutralization reaction to prepare colloidal particles; the colloidal particles are dried, ground and screened, and then are subjected to surface cross-linking treatment by contacting with a surface cross-linking agent to obtain a Super Absorbent Polymer (SAP) resin.
In a preferred embodiment, the chemical structure of the internal crosslinking agent containing a sulfonate structure is shown as formula I:
Figure BDA0002522067230000061
wherein n is 1. ltoreq. n.ltoreq.10 (where n is an integer; e.g., n is 2, 3, 5, 6, 8).
As will be appreciated by those skilled in the art, the addition of various comonomers containing hydrophilic or ionic structures during the preparation of SAP resins can help to improve the properties of the resin, such as, for example, the liquid absorption capacity. However, during the copolymerization, the comonomer adversely affects the molecular weight of the polymer due to different reactivity. In order to avoid adverse effects caused by copolymerization of monomers with different structures, the applicant researches and discovers that the adverse effects on the polymerization molecular weight can be avoided by introducing the internal crosslinking agent simultaneously containing the sulfonate group and the internal crosslinking structure without copolymerization, and the purpose that one substance (namely, the internal crosslinking agent containing the sulfonate structure) is added into a reaction system to achieve two effects is achieved. Wherein, the molecular structure of the internal cross-linking agent containing the sulfonate structure has the following characteristics: contains two sulfonate groups with stronger hydration capability and two epoxy groups; meanwhile, the molecular structure also contains a tertiary amine group, so that the reaction efficiency of the internal crosslinking reaction can be promoted.
In a preferred embodiment, the internal crosslinking agent containing a sulfonate structure is prepared by the following reaction scheme:
Figure BDA0002522067230000071
(ii) a Wherein, n is more than or equal to 1 and less than or equal to 10 (wherein, n is an integer; for example, n is 2, 3, 5, 6 and 8).
In the present invention, the internal crosslinking agent containing a sulfonate structure to be added may be internally crosslinked in a non-copolymerized manner with the ethylenically unsaturated monomer having a carboxyl group and/or a salt thereof.
In general, the internal crosslinking reaction can be classified into two types: one is an internal crosslinking agent having two or more double bonds, which is crosslinked with an ethylenically unsaturated monomer having a carboxyl group and/or a salt thereof, and may be referred to as copolymerized internal crosslinking; the other is an internal crosslinking agent with a molecular structure containing two or more functional groups, the functional groups can carry out side group reaction with carboxyl in the ethylenic unsaturated monomer containing carboxyl and/or salt thereof, the crosslinking reaction avoids copolymerization between the monomers, and the crosslinking reaction can belong to non-copolymerization internal crosslinking.
In improving the performance of the super absorbent polymer, the applicant finds that the water retention of the obtained polymer is improved to a certain extent and the liquid permeability of the polymer is not greatly influenced by the non-copolymerization form of the internal crosslinking reaction of the internal crosslinking agent containing a sulfonate structure and the ethylenically unsaturated monomer containing a carboxyl group and/or the salt thereof. The introduction of sulfonate structures during the internal crosslinking process highlights even more the higher hydration ability of the sulfonate introduced in this way than the carboxylate, thus highlighting the absorbency of the SAP resin particles. The water retention is more related to the degree of crosslinking during the polymerization process, and the low crosslinking density enables the polymer to hold more water, so that the water retention is stronger.
The SAP resin particles prepared by the method have a significant performance improvement effect: the liquid-absorbing capacity and liquid-absorbing rate are remarkably improved without adversely affecting the liquid permeability, while the super absorbent resin has an extremely low extractable content.
According to the production method provided by the present invention, in some examples, the polymerization reaction is an aqueous solution polymerization. The initial temperature of the aqueous solution polymerization reaction does not exceed 20 ℃. After the initial temperature of the system is more than 25 ℃, the branching and chain transfer reactions are more frequent, which may lead to an increase in extractables content in the polymerization. In some examples, the system is pre-deoxygenated with nitrogen prior to the start of the reaction, which facilitates initiation of the monomer.
In the preparation process, it is possible that the carboxyl group-containing ethylenically unsaturated monomer and/or the salt of the carboxyl group-containing ethylenically unsaturated monomer participate in the polymerization reaction. When the salt of the carboxyl group-containing ethylenically unsaturated monomer participates in the polymerization reaction, it is necessary to perform a neutralization reaction (which may be referred to as a pre-neutralization reaction) of the carboxyl group-containing ethylenically unsaturated monomer with an alkaline substance before the polymerization reaction to obtain a salt of the carboxyl group-containing ethylenically unsaturated monomer, and then perform the polymerization reaction. The basic substance may be the same as the neutralizing agent used for the neutralization treatment (which may be referred to as a post-neutralization reaction) of the hydrogel, and examples thereof include sodium hydroxide and potassium hydroxide.
The concentration of the carboxyl group-containing ethylenically unsaturated monomer and/or its salt in the aqueous polymerization solution during the polymerization reaction can be suitably controlled, and is generally from 20 to 35% by weight. When the concentration continues to decrease, the heat of reaction is insufficient and the temperature of the system is not significantly raised, which may cause insufficient reaction and may result in higher residual monomers. When the concentration of the monomer participating in the polymerization in the system is too high, the temperature rises during the polymerization and may exceed the boiling point of water, which is disadvantageous for the control of the polymerization reaction. In some examples, the concentration of the carboxyl group-containing ethylenically unsaturated monomer and/or its salt in the aqueous polymerization solution is 20 wt% or more and 35 wt% or less (e.g., 22 wt%, 25 wt%, 28 wt%, 32 wt%), preferably 20 wt% or more and 30 wt% or less.
In some examples, the sulfonate structure-containing internal crosslinking agent is used in an amount of 0.05 wt% to 10 wt% (e.g., 0.08 wt%, 0.1 wt%, 0.2 wt%, 0.4 wt%, 0.8 wt%, 1 wt%, 4 wt%, 8 wt%), preferably 0.5 wt% to 5 wt%, based on the weight of the carboxyl group-containing ethylenically unsaturated monomer and/or salt thereof.
In the polymerization system, in addition to the monomers participating in the polymerization, a redox initiator is included. In some examples, the oxidizing agent is used in an amount of 0.005 wt% to 5 wt% (e.g., 0.008 wt%, 0.02 wt%, 0.04 wt%, 0.08 wt%, 0.1 wt%, 0.2 wt%, 0.4 wt%, 0.8 wt%, 1 wt%, 4 wt%), preferably 0.01 wt% to 0.5 wt%, based on the weight of the carboxyl group-containing ethylenically unsaturated monomer and/or salt thereof.
In some examples, the reducing agent is used in an amount of 0.005 wt% to 5 wt% (e.g., 0.008 wt%, 0.02 wt%, 0.04 wt%, 0.08 wt%, 0.1 wt%, 0.2 wt%, 0.4 wt%, 0.8 wt%, 1 wt%, 4 wt%), preferably 0.01 wt% to 0.5 wt%, based on the weight of the carboxyl group-containing ethylenically unsaturated monomer and/or salt thereof.
In the preparation process, the polymerization reaction is understood to be: the initial phase was maintained by an ice bath and the temperature of the system rose after the induction phase was over, at which point polymerization began and the temperature did not exceed 20 ℃. The subsequent polymerization reaction is exothermic and the temperature of the system is raised to 70-90 ℃ and the reaction is continued for several hours at this temperature.
In order to ensure that the polymer hydrogel obtained by the polymerization reaction has low residual monomer, the polymerized hydrogel can be continuously aged and kept warm for a period of time after the temperature rise in the polymerization process is finished. In some examples, the temperature of the curing heat-preservation is 85-95 ℃, and the time of the curing heat-preservation is 4-8 hours.
After the polymerization reaction is completed, the resultant hydrogel is subjected to (post) neutralization treatment so that the degree of neutralization of the carboxylic acid of the polymer can be controlled within a suitable range. The neutralization degree of the carboxylic acid of the polymer is too low, so that the obtained colloid is sticky and is not beneficial to subsequent treatment; too high a degree of neutralization of the carboxylic acid of the polymer may cause the pH of the SAP resin to be high, which may cause safety problems for human skin when used. In some examples, after subjecting the hydrogel to a neutralization reaction, the resulting polymer in the colloidal particles has a degree of carboxylic acid neutralization of 50 to 80 mol% (e.g., 60 mol%, 65 mol%, 70 mol%, 75 mol%).
Drying, grinding and screening the colloidal particles to obtain Super Absorbent Polymer (SAP) particles; then the surface of the material is subjected to surface crosslinking treatment. In some examples, the amount of surface cross-linking agent applied to the surface of the dried superabsorbent polymer particles is from 0.5 wt% to 1.5 wt% (e.g., 0.6 wt%, 0.8 wt%, 1 wt%, 1.2 wt%) based on the dried superabsorbent polymer particles.
According to the preparation method of the present invention, in some examples, the ethylenically unsaturated monomer having a carboxyl group is selected from one or more of acrylic acid, methacrylic acid, ethacrylic acid, α -chloroacrylic acid, α -cyanoacrylic acid, β -methacrylic acid, α -phenylacrylic acid, β -acryloxypropionic acid, sorbic acid, α -chlorosorbic acid, 2' -methylisonicacid, cinnamic acid, p-chlorocinnamic acid, β -stearic acid, itaconic acid, citraconic acid, mesaconic acid, glutaconic acid, aconitic acid, maleic acid, fumaric acid, tricarboxyethylene and maleic anhydride, preferably selected from acrylic acid and/or methacrylic acid, more preferably acrylic acid.
In some examples, the oxidizing agent is a peroxide, preferably selected from one or more of sodium persulfate, hydrogen peroxide, potassium persulfate, and ammonium persulfate, more preferably hydrogen peroxide.
In some examples, the reducing agent is selected from one or more of ascorbic acid, ammonium bisulfite, ammonium thiosulfate, ammonium dithionite, ammonium sulfide, and sodium hydroxymethylsulfoxylate, preferably ascorbic acid.
In some examples, the neutralizing agent is an aqueous solution of a basic compound having a concentration of 30 to 60 wt%, preferably 40 to 50 wt%; the basic compound is preferably selected from one or more of sodium hydroxide, potassium hydroxide, sodium carbonate and potassium carbonate, more preferably sodium hydroxide.
In some examples, the surface cross-linking agent is selected from one or more of a polyol compound, an epoxy compound, an amine compound, and a metal inorganic salt.
The polyalcohol compound is preferably selected from ethylene glycol, propylene glycol, glycerol, 1, 4-butanediol or pentaerythritol;
the epoxy compound is preferably selected from (poly) ethylene glycol diglycidyl ether, 1, 4-butanediol diglycidyl ether, ethylene carbonate or propylene carbonate;
the amine compound is preferably selected from tris (hydroxymethyl) aminomethane or carbodiimide;
the metal inorganic salt is preferably selected from an inorganic salt of calcium, magnesium, aluminum, iron, copper or zinc.
The colloid particles obtained after neutralization are extruded and crushed to obtain small-sized colloidal particles, and the colloidal particles need to be further dried before the small-sized colloidal particles are crushed due to high water content of the colloidal particles. In some examples, the temperature at which the colloidal particles are dried is 100 ℃ to 240 ℃ (e.g., 150 ℃, 180 ℃, 200 ℃, 220 ℃). The drying process may be carried out using apparatus well known in the art, for example, by forced air drying through an oven.
The size of the resulting SAP particles can be controlled by further grinding and sieving the dried colloidal particles. The size here is to be understood as the particle size of the particles.
During screening, a screen with the required size is selected for screening, and the proportion of oversize particles and undersize particles is controlled. For example, screening with particle sizes of 150 μm and 700 μm can achieve a majority of SAP particle sizes in the range of 150-700 microns; wherein the proportion of superabsorbent polymer (SAP) particles having a size of < 150 μm is not more than 5 wt.%, and the proportion of superabsorbent polymer (SAP) particles having a size of > 700 μm is not more than 5 wt.%.
In some examples, after the colloidal particles are dried, the colloidal particles are further ground and sieved to control the size of the superabsorbent polymer particles; wherein the proportion of the superabsorbent polymer particles having a particle size of 150-700 [ mu ] m (e.g., 200 [ mu ] m, 300 [ mu ] m, 500 [ mu ] m, 600 [ mu ] m) is 90 wt% or more (e.g., 92 wt%, 95 wt%, 98 wt%).
The SAP particles obtained after sieving may be referred to herein as polymer raw powder. Further, the surface of the Super Absorbent Polymer (SAP) particles obtained by sieving may be subjected to a surface cross-linking treatment. In some examples, the process conditions of the surface cross-linking treatment include: the reaction temperature is 50-150 ℃, preferably 80-130 ℃; the reaction time is 0.5h-3h, preferably 1h-2 h;
in order to improve the flowability of superabsorbent polymers, some water-insoluble inorganic powders are generally added to prevent blocking on a large scale. In some examples, optionally, 0-2 wt% (e.g., 0.5 wt%, 1 wt%, 1.5 wt%) of an insoluble inorganic powder is added after the surface cross-linking treatment, based on the dried superabsorbent polymer particles. In some examples, the insoluble inorganic powder is selected from one or more of silicon dioxide, silica, titanium dioxide, alumina, magnesia, zinc oxide, talc, calcium phosphate, clay, diatomaceous earth, zeolite, bentonite, kaolin, hydrotalcite, and activated clay, preferably silicon dioxide (e.g., fumed silica and/or precipitated silica).
In order to further reduce the residual monomers in the SAP resin, a thermal initiator may also be used in conjunction with the polymerization process. The thermal initiator is added into the system, so that the residual monomer in the system can be continuously consumed in the later stage of polymerization temperature rise. In some examples, at least one thermal initiator is added during the polymerization reaction. In some examples, the thermal initiator is an azo-based initiator, preferably selected from one or more of azobisisobutyronitrile, azobiscyanovaleric acid, azobisdimethylvaleronitrile, 2 '-azobis (2-amidinopropane) dihydrochloride, azobisamidinopropane dihydrochloride, 2' -azobis (N, N-dimethyleneisobutyramidine) dihydrochloride, 2- (carbamoylazo) isobutyronitrile, and 4, 4-azobis (4-cyanovaleric acid).
In some examples, the thermal initiator is used in an amount of 0.005 wt% to 1 wt% (e.g., 0.008 wt%, 0.02 wt%, 0.04 wt%, 0.08 wt%, 0.1 wt%, 0.2 wt%, 0.4 wt%, 0.8 wt%), preferably 0.01 wt% to 0.2 wt%, based on the weight of the carboxyl group-containing ethylenically unsaturated monomer and/or salt thereof.
The invention also provides the application of the super absorbent polymer or the super absorbent polymer obtained by the preparation method in the preparation of the composite core of the sanitary product.
Compared with the prior art, the technical scheme of the invention has the beneficial effects that:
in the process of preparing the super water-absorbing polymer, the internal cross-linking agent containing a sulfonate structure is added, so that sulfonate groups entering the resin in such a way have stronger hydration capability, the liquid absorption capability and the liquid absorption rate of the SAP resin are further improved, the liquid permeability is not adversely affected, and the super water-absorbing polymer has important significance in the application field with high requirement on the liquid absorption capability;
different from the conventional polymerization mode in the field, the introduction of the sulfonate group depends on the internal crosslinking reaction rather than the copolymerization of the sulfonate-containing vinyl monomer, so that the problem of difficult increase of the molecular weight of the polymer caused by the difference of the reactivity of different comonomers can be avoided, and the finally obtained SAP resin has extremely low extractable content and better meets the market demand;
in the internal crosslinking agent containing a sulfonate structure, since sea contains tertiary amine groups, the reaction of epoxy groups and carboxyl groups in acrylic monomers can be self-catalyzed, and the reaction efficiency can be high without adding a weak base catalyst.
Detailed Description
In order that the technical features and contents of the present invention can be understood in detail, preferred embodiments of the present invention will be described in more detail below. While the preferred embodiments of the present invention have been described in the examples, it should be understood that the present invention may be embodied in various forms and should not be limited by the embodiments set forth herein.
< sources of raw materials >
Acrylic acid, tabacco is Wanhua chemical, and the purity is more than 99.5 percent;
hydrogen peroxide (H)2O2Solution), Chinese medicine, aqueous solution with concentration of 30 wt%;
ascorbic acid, sigma, purity over 99%;
32 wt% and 50 wt% of caustic soda aqueous solution and a fumitory chemical respectively;
ethylene glycol diglycidyl ether, Anhui Xin far, with purity more than 90%;
butanediol diglycidyl ether, Anhui Xin far, the purity is more than 90%;
propane sultone, TCI, purity more than 95%;
the internal cross-linking agent containing a sulfonate structure is named as SCCn (wherein n is the value of n in the chemical structure of the internal cross-linking agent and is 1,2, 4, 6 or 10), and is prepared by self;
the preparation method of the internal crosslinking agent containing a sulfonate structure comprises the following steps (taking n as an example, 1):
adding 190g (0.5mol) of A95 aqueous solution (amino sulfonate chain extender, aqueous solution with the concentration of 50 wt% purchased from Woods Corning) into a 1L four-neck flask, heating to 80 ℃, preserving heat, gradually dropwise adding 61g (0.5mol) of propane sultone (purchased from Aladdin, with the purity of 98%) into the flask for 15 minutes, and continuing preserving heat for 30 minutes after dropwise adding; then, 174g (1mol) of ethylene glycol diglycidyl ether (purchased from Anhui province, having a purity of 95 percent; namely, n in the structure is 1) is gradually dripped into the flask for 30 minutes, and the temperature is kept for 30 minutes after the dripping is finished; then, removing water in the system by utilizing reduced pressure distillation to obtain a target product: an internal crosslinking agent containing a sulfonate structure.
It is prepared by the following reaction scheme:
Figure BDA0002522067230000141
wherein n is 1.
Other reagents used in other embodiments of the present invention are conventional in the art and will not be described herein.
< test methods >
a) Liquid absorption rate
Weighing 0.2g of test sample to be accurate to 0.001g, recording the mass as m, pouring all the test samples into a tea bag, sealing the tea bag, soaking into a beaker filled with enough physiological saline with the concentration of 0.9 percent, and soaking for 30 min. Then, the tea bag containing the test specimen was lifted out, hung with a clip, and after dripping water for 10min in a static state, the mass of the tea bag containing the test specimen was weighed and recorded as m 1). Then, a blank value measurement was performed using a tea bag without the test sample, and the mass of the blank test tea bag was weighed and recorded as m 2. The liquid-absorbing capacity is (m1-m 2)/m.
b) Centrifugal water retention
The tea bag with the test sample having the above-mentioned test absorbency was dehydrated under a centrifugal force condition of 250G for 3min, and then the mass of the tea bag with the test sample was weighed and designated as m 3. The blank value measurement was performed using a tea bag without a test sample, and the mass of the blank tea bag was weighed and recorded as m 4. The centrifuge retention rate was (m3-m 4)/m.
c) Imbibition rate (vortex method)
50g of physiological saline at 23 ℃ was weighed in a 100ml beaker, and then a magnetic rod was added to the beaker, and the beaker was stirred on a magnetic stirrer at a revolution number of 600 rpm. 2.0g of the test specimen was accurately weighed and poured all at once into a vortex. The timing was started after the input, and the middle vortex was gradually reduced in the process of the test sample absorbing the physiological saline. And stopping timing until the vortex disappearance cut liquid level reaches the level, wherein the measured time is the liquid absorption rate of the test sample.
d) Liquid throughput rate (GBP)
Weighing 0.9g of test sample, and putting the test sample into an organic glass cylinder with the inner diameter of 60 mm; the plexiglass cylinder containing the test sample is placed in 0.9% saline and allowed to freely swell for 30 min. The plexiglass cylinder is taken out of the physiological saline, the cylinder cover is closed, the weight is placed, the height of the gel layer is read and marked as H. And (3) placing the organic glass cylinder on testing equipment, enabling the liquid level in the cylinder to reach a 4cm scale mark, maintaining the liquid level unchanged, starting timing after the liquid stably flows out, measuring the amount of the liquid flowing through the gel layer, and calculating the flow Q of the liquid passing through the gel layer.
The formula for calculating GBP is:
Figure BDA0002522067230000151
wherein Q is the liquid flow rate and the unit is g/s;
h is the height of the gel layer, and the unit is cm;
mu is liquid viscosity in unit of P, and the viscosity of physiological saline is 1cP (0.01P);
a is the area of the gel layer in cm2The inner diameter of the plexiglass cylinder is 6cm, and the area of the gel layer is 28.27cm2
P is hydrostatic pressure in dyne/cm2And P is rho gh, h is the liquid level height of 4cm, the hydrostatic pressure is 3924dyne/cm2
Rho is the density of the liquid in g/cm3The density of the normal saline is 1g/cm3And (6) counting.
e) Content of extractable matter
Measuring 200ml of 0.9% NaCl solution in a 250ml beaker by using a measuring cylinder, weighing 1.0g of test sample to be accurate to 0.005g, adding the test sample into the solution, sealing the opening of the beaker by using a sealing film, placing the beaker on a magnetic stirrer and stirring the beaker at the rotating speed of 500 +/-50 rpm for 16 hours; stopping stirring, allowing the colloid in the beaker to settle to the bottom, filtering the supernatant in the beaker by using a Buchner funnel and filter paper, collecting more than 50ml of filtrate, and measuring 50ml of filtrate to perform a titration test.
Simultaneously preparing a blank sample (200ml of a 0.9% NaCl solution), carrying out titration on the blank solution (100ml of a 0.9% NaCl aqueous solution), and carrying out titration by using a 0.1mol/l NaOH solution until the pH value is 10; then, titration was carried out using a 0.1mol/l hydrochloric acid solution until the pH was 2.7. The blank titration amounts were [ bNaOH ], [ bHCL ] (mL), respectively.
A0.9% NaCl solution was added to 50mL of the filtrate, and the same titration as above was carried out to obtain the amounts of [ NaOH ], [ HCl ] (mL) in the titrated amounts.
The calculation formula of the neutralization degree is as follows:
DN(%)=100-(([NaOH]-[bNaOH])×c(NaOH)*100)/(([HCl]-[bHCl])×c(HCl));
average molecular weight Mw is 72.06x (1-DN/100) +94.04 xDN/100;
the extractable content Ex (wt%) (([ HCl ] - [ bHCl ]) xc (HCl) x Mwx 2)/5.
f)1min pure Water absorption test
Placing 600mL of deionized water in a 1000mL beaker, and stirring with a magneton, wherein the water temperature is controlled at 24 +/-1 ℃; then weighing 1g of a test sample by using balance, pouring the weighed test sample into a beaker, simultaneously timing by using a stopwatch, quickly pouring the sample and water in the beaker into a 100-micrometer screen when 1min is reached, and weighing the mass difference between the front and the back of the screen when no obvious water drops; this difference is the amount of 1min absorbed pure water for this sample.
The superabsorbent polymers of the present invention were tested using the following test methods. Unless otherwise indicated, the test should be conducted at ambient temperature 23. + -. 2 ℃ and relative air humidity 50. + -. 10% and the SAP resin particles mixed as uniformly as possible prior to the test.
Example 1
500g of a prepared 60% strength by weight aqueous acrylic acid solution, 600g of deionized waterMixing water and 2g SCC1 in 1L polymerization kettle, cooling to 8 deg.C in ice bath, removing oxygen with nitrogen for 15min, adding 3g H2O2The solution (diluted to a concentration of 2 wt%), 2.5g of 2, 2' -azobis (N, N-dimethyleneisobutyramidine) dihydrochloride solution (diluted to a concentration of 4 wt%) and 2.5g of 2 wt% ascorbic acid aqueous solution (the concentration of the monomer in the aqueous polymerization solution is 27.3 wt%), when the temperature starts to rise significantly, the polymerization reaction starts, the temperature reaches about 85 ℃ after about 1h, and then the thermal insulation curing is continued for 10h at the temperature, so that the hydrogel polymer is obtained.
Crushing and extruding the hydrogel polymer by using a granulating auger machine, adding 260g of NaOH aqueous solution with the concentration of 50 wt% for post-neutralization, and neutralizing about 78 mol% of carboxyl in the polymer of the obtained colloidal particles into sodium carboxylate; drying by using a forced air drying oven (purchased from high-speed railway company), setting the temperature at 190 ℃, and carrying out forced air drying on the neutralized colloidal particles for 60 min; the dried colloidal particles were pulverized using a pulverizer or a wall breaking machine (available from U.S.A.) and sieved using a screen until the particle size was in the range of 150-700 μm to obtain SAP particles, and the SAP particles without surface cross-linking were defined as polymer raw powder (1).
100g of the prepared polymer raw powder (1) was weighed, a mixture of 0.1g of ethylene glycol diglycidyl ether, 1.7g of 1, 2-propanediol and 6g of deionized water was atomized, and then uniformly sprayed on the particle surfaces of the polymer raw powder (1), and the polymer particles were fluidized in the air and continuously mixed. The treated polymer particles were then surface crosslinked in a high temperature forced air oven and heated at 110 ℃ for 1.5 h. The surface-crosslinked polymer particles were cooled to below 40 c and 2g of a 20 wt% aqueous solution of aluminum sulfate was atomized and sprayed onto the surface-crosslinked polymer particles while fluidizing and continuously mixing the polymer particles in air. The treated polymer particles were then sieved through a standard mesh of the desired mesh size to obtain the target product having a particle size distribution of 150-710 μm.
Example 2
A process for the preparation of superabsorbent polymer, operating procedure see example 1, except that:
in the polymerization stage, the added SCC1 is replaced by the added SCC2, and the added amount of SCC2 is 8 g; h is to be2O2The amount of the added solution was adjusted to 2.2 g; SAP particles that have not been surface crosslinked are defined as polymer raw powder (2).
In the surface crosslinking treatment stage, the amount of ethylene glycol diglycidyl ether added was adjusted to 0.2 g.
Example 3
A process for the preparation of superabsorbent polymer, operating procedure see example 1, except that:
a polymerization stage, wherein the added SCC1 is replaced by the added SCC6, and the added amount of SCC6 is 5 g;
after the polymerization is finished, the heat preservation and curing are continued for 12 hours; 244g of caustic soda aqueous solution with the concentration of 50 wt% is added in the post-neutralization process (namely, the neutralization degree is 73.2 mol%); SAP particles that have not been surface cross-linked are defined as polymer raw powder (3).
The procedure for the surface crosslinking treatment of the polymer raw powder (3) is described in example 1.
Example 4
A process for the preparation of superabsorbent polymer, operating procedure see example 1, except that:
a polymerization stage, wherein the added SCC1 is replaced by the added SCC10, and the added amount of SCC10 is 30 g;
in the post-neutralization process, 420g of caustic soda aqueous solution with the concentration of 32 wt% (namely, the neutralization degree is 80.5 mol%) is added;
drying the colloid particles at 200 deg.C for 40 min; SAP particles that have not been surface cross-linked are defined as polymer raw powder (4).
The procedure for the surface crosslinking treatment of the polymer raw powder (4) is described in example 1.
Example 5
A process for the preparation of superabsorbent polymer, operating procedure see example 1, except that:
a polymerization stage of adding SCC1 was replaced with SCC2, and SCC2 was added in an amount of 9 g; h2O2The amount of the solution added was replaced with 1.5g, and the amount of 2, 2' -azobis (N, N-dimethyleneisobutyramidine) dihydrochloride solution added was replaced with 1.5 g;
in the polymerization stage, acrylic acid aqueous solution and 100g of caustic soda aqueous solution with the concentration of 50 wt% are subjected to pre-neutralization reaction, and then cooled to obtain acrylate which then participates in polymerization reaction; after the polymerization reaction, 130g of a 50 wt% aqueous solution of caustic soda was added to the resulting hydrogel to conduct a post-neutralization reaction, whereby 69 mol% of the carboxyl groups in the polymer of the resulting colloidal particles were neutralized to carboxylic acid sodium salts.
After the polymerization is finished, the heat preservation and curing are continued for 8 hours; SAP particles that were not surface crosslinked were defined as polymer raw powder (5).
The procedure for the surface crosslinking treatment of the polymer raw powder (5) is described in example 1.
Example 6
A process for the preparation of superabsorbent polymer, operating procedure see example 1, except that:
a polymerization stage, wherein the added SCC1 is replaced by the added SCC4, and the added amount of SCC4 is 0.15 g; SAP particles that were not surface crosslinked were defined as polymer raw powder (6).
In the surface crosslinking treatment stage, the mass of the added aluminum sulfate aqueous solution is replaced by 6g, the treatment time for surface crosslinking is replaced by 1h, and the treatment temperature is replaced by 130 ℃.
Comparative example 1
A process for the preparation of superabsorbent polymer, operating procedure see example 1, except that:
in the polymerization stage, no internal crosslinking agent containing a sulfonate structure is added.
The strength of the gel obtained by polymerization is low and it is difficult to form a gel.
Comparative example 2
A process for the preparation of superabsorbent polymer, operating procedure see example 1, except that:
in the polymerization stage, the amount of SCC1 added was replaced with 40 g.
The gel obtained by polymerization is very hard, so that granulation equipment is abnormal and the post-treatment is difficult.
Comparative example 3
A process for the preparation of superabsorbent polymer, operating procedure see example 1, except that:
in the polymerization stage, an internal crosslinking agent containing a sulfonate structure is not added, but a mixture of 0.9g of pentaerythritol triallyl ether and 1.8g of polyethylene glycol diacrylate is added as the internal crosslinking agent.
Comparative example 4
A process for the preparation of superabsorbent polymer, operating procedure see example 1, except that:
in the polymerization stage, an internal crosslinking agent containing a sulfonate structure is not added, 2g of sodium p-styrene sulfonate is added as a comonomer to be copolymerized with an acrylic monomer, and a mixture of 0.9g of pentaerythritol triallyl ether and 1.8g of polyethylene glycol diacrylate is added as the internal crosslinking agent.
The super absorbent polymers prepared in the above examples and comparative examples were subjected to the performance test according to the above test method, and the results of the product performance test are shown in the following table 1:
TABLE 1 test results of product Properties
Figure BDA0002522067230000201
Figure BDA0002522067230000211
Through the comparison of the test results of the examples and the comparative example, it is found that:
in each example, when an internal crosslinking agent containing a sulfonate structure is added during polymerization, it produces an SAP resin having an ultra-fast liquid absorption rate and a high liquid absorption rate, while having a low extractable content. The liquid absorption capacity of the SAP resin is improved, the centrifugal water retention rate is improved to a certain degree, the liquid passing rate is not adversely affected, and the requirement on the liquid passing performance is met.
In comparative example 1, since the internal crosslinking agent containing a sulfonate structure was not added, the strength of the obtained gel was insufficient, and it was difficult to gel-form even without internal crosslinking reaction; the SAP resin has very slow liquid absorption rate, very poor pure water absorption capacity within 1min, poor liquid absorption rate and poor centrifugal water retention rate, and more importantly, the liquid passing rate of the SAP resin is greatly reduced, so that the SAP resin provides great challenges for the requirements of liquid passing.
In comparative example 2, the gel obtained became very hard due to the addition of too much internal crosslinking agent containing a sulfonate structure in the system, and both the liquid absorption rate and the centrifuge retention rate of the SAP resin were decreased; this indicates that the crosslinking density is too high and that the liquid-passing rate is high, but the liquid-absorbing ability and the water-retaining ability are not preferable.
In order to further highlight the effect that the internal crosslinking agent having a sulfonate structure can achieve, comparative example 3, which uses an internal crosslinking agent conventional in the art instead of the internal crosslinking agent having a sulfonate structure, the resulting resin had inferior liquid-absorbing capacity and 1min pure water-absorbing capacity to each example, and the liquid-absorbing rate thereof became very slow; at the same time, the extractables content of the resin begins to rise.
In comparative example 4, by introducing a sulfonate-containing monomer as a comonomer to perform copolymerization with an acrylic acid monomer, although the liquid absorption rate of the resulting resin was also maintained good, the content of extractables in the polymer was significantly high, and it was difficult to satisfy market demand; in addition, the liquid-absorbing rate becomes very slow, indicating that the liquid-absorbing ability is insufficient.
In conclusion, the internal crosslinking agent containing a sulfonate structure is introduced in the polymerization stage, so that two remarkable effects can be realized: firstly, the imbibition rate and the imbibition capacity are improved; secondly, the polymer prepared is ensured to have extremely low extractables content so that market requirements can be met.
Having described embodiments of the present invention, the foregoing description is intended to be exemplary, not exhaustive, and not limited to the embodiments disclosed. Many modifications and variations will be apparent to those of ordinary skill in the art without departing from the spirit of the invention.

Claims (12)

1. A super absorbent polymer is characterized in that the super absorbent polymer is a product prepared by polymerization of raw materials comprising the following components:
a) a carboxyl group-containing ethylenically unsaturated monomer and/or a salt thereof at a concentration of 20 wt% or more and 35 wt% or less, preferably 20 wt% or more and 30 wt% or less in the aqueous polymerization solution;
b) the internal crosslinking agent containing sulfonate structure is used in 0.05-10 wt%, preferably 0.5-5 wt% of the component a);
c) oxidizing agents in amounts of 0.005% to 5%, preferably 0.01% to 0.5%, by weight based on the weight of component a);
d) reducing agents in amounts of 0.005% to 5%, preferably 0.01% to 0.5%, by weight based on the weight of component a);
wherein, after the hydrogel obtained by the polymerization reaction is neutralized, the neutralization degree of carboxylic acid of the polymer in the obtained colloidal particles is 50-80 mol%; the colloidal particles are converted into polymer particles, and the polymer particles with the particle size of 150-700 microns account for more than or equal to 90 wt%;
and, the surface of the polymer particles is treated with:
e) surface crosslinking by 0.5 wt% to 1.5 wt%, based on the dried polymer particles, of a surface crosslinking agent applied to the surface of the dried polymer particles, and, optionally
f) Adding 0-2 wt% of insoluble inorganic powder after surface cross-linking, based on the dried polymer particles;
preferably, the chemical structure of the internal crosslinking agent containing a sulfonate structure is shown as formula I:
Figure FDA0002522067220000021
in the formula, n is more than or equal to 1 and less than or equal to 10;
more preferably, the internal crosslinking agent containing a sulfonate structure is prepared by the following reaction scheme:
Figure FDA0002522067220000022
wherein n is more than or equal to 1 and less than or equal to 10.
2. Superabsorbent polymer according to claim 1, characterized in that the ethylenically unsaturated monomers containing carboxyl groups are selected from one or more of acrylic acid, methacrylic acid, ethacrylic acid, alpha-chloroacrylic acid, alpha-cyanoacrylic acid, beta-methacrylic acid, alpha-phenylacrylic acid, beta-acryloxypropionic acid, sorbic acid, alpha-chlorosorbic acid, 2' -methylisonicacid, cinnamic acid, p-chlorocinnamic acid, beta-stearic acid, itaconic acid, citraconic acid, mesaconic acid, glutaconic acid, aconitic acid, maleic acid, fumaric acid, tricarboxyethylene and maleic anhydride, preferably from acrylic acid and/or methacrylic acid, more preferably acrylic acid; and/or
The oxidant is peroxide, preferably one or more selected from sodium persulfate, hydrogen peroxide, potassium persulfate and ammonium persulfate, and more preferably hydrogen peroxide; and/or
The reducing agent is selected from one or more of ascorbic acid, ammonium bisulfite, ammonium thiosulfate, ammonium dithionite, ammonium sulfide and sodium hydroxymethylsulfoxylate, and is preferably ascorbic acid; and/or
The insoluble inorganic powder is selected from one or more of silicon dioxide, silica, titanium dioxide, alumina, magnesia, zinc oxide, talc, calcium phosphate, clay, diatomaceous earth, zeolite, bentonite, kaolin, hydrotalcite and activated clay, preferably silicon dioxide; and/or
The surface cross-linking agent is selected from one or more of polyalcohol compounds, epoxy compounds, amine compounds and metal inorganic salts; the polyalcohol compound is preferably selected from ethylene glycol, propylene glycol, glycerol, 1, 4-butanediol or pentaerythritol; the epoxy compound is preferably selected from (poly) ethylene glycol diglycidyl ether, 1, 4-butanediol diglycidyl ether, ethylene carbonate or propylene carbonate; the amine compound is preferably selected from tris (hydroxymethyl) aminomethane or carbodiimide; the metal inorganic salt is preferably selected from an inorganic salt of calcium, magnesium, aluminum, iron, copper or zinc.
3. Superabsorbent polymer according to claim 1 or 2, characterized in that the starting materials of the polymerization reaction further comprise: g) at least one thermal initiator which is an azo-type initiator, preferably selected from one or more of azobisisobutyronitrile, azobiscyanovaleric acid, azobisdimethylvaleronitrile, 2 '-azobis (2-amidinopropane) dihydrochloride, azobisamidinopropane dihydrochloride, 2' -azobis (N, N-dimethyleneisobutyramidine) dihydrochloride, 2- (carbamoylazo) isobutyronitrile and 4, 4-azobis (4-cyanovaleric acid);
preferably, the thermal initiator is used in an amount of 0.005% to 1% by weight, more preferably 0.01% to 0.2% by weight, based on the weight of component a).
4. The superabsorbent polymer of any one of claims 1 to 3, wherein the superabsorbent polymer has a liquid absorption capacity of 67 to 70g/g, a centrifuge retention capacity of 30 to 35g/g, a liquid flow rate (GBP) of 20Darcy or more, a 1min pure water absorption of 210 and 250g/g, a liquid absorption rate of 15 to 20s, and an extractable content of 3 wt% or less.
5. A method for preparing super absorbent polymer is characterized by comprising the following steps:
at the temperature of less than or equal to 20 ℃, the ethylenically unsaturated monomer containing carboxyl and/or salt thereof, the internal cross-linking agent containing a sulfonate structure, the oxidant and the reducing agent are contacted to initiate polymerization reaction, so as to obtain hydrogel; crushing and extruding the hydrogel, and then contacting the hydrogel with a neutralizer to perform neutralization reaction to prepare colloidal particles; drying, grinding and screening the colloidal particles, and then contacting with a surface cross-linking agent to carry out surface cross-linking treatment to obtain super water-absorbent polymer resin;
preferably, the chemical structure of the internal crosslinking agent containing a sulfonate structure is shown as formula I:
Figure FDA0002522067220000041
in the formula, n is more than or equal to 1 and less than or equal to 10;
more preferably, the internal crosslinking agent containing a sulfonate structure is prepared by the following reaction scheme:
Figure FDA0002522067220000051
wherein n is more than or equal to 1 and less than or equal to 10.
6. The production method according to claim 5, wherein the polymerization reaction is an aqueous solution polymerization; the concentration of the carboxyl group-containing ethylenically unsaturated monomer and/or salt thereof in the aqueous polymerization solution is 20 wt% or more and 35 wt% or less, preferably 20 wt% or more and 30 wt% or less; and/or
The internal crosslinking agent containing a sulfonate structure is used in an amount of 0.05 to 10 wt%, preferably 0.5 to 5 wt%, based on the weight of the carboxyl group-containing ethylenically unsaturated monomer and/or its salt; and/or
The oxidizing agent is used in an amount of 0.005 to 5 wt%, preferably 0.01 to 0.5 wt%, based on the weight of the carboxyl group-containing ethylenically unsaturated monomer and/or salt thereof; and/or
The reducing agent is used in an amount of 0.005 to 5 wt%, preferably 0.01 to 0.5 wt%, based on the weight of the carboxyl group-containing ethylenically unsaturated monomer and/or its salt; and/or
After the hydrogel is subjected to neutralization reaction, the neutralization degree of carboxylic acid of the polymer in the obtained colloidal particles is 50-80 mol%; and/or
The amount of surface cross-linking agent applied to the surface of the dried superabsorbent polymer particles is from 0.5 wt% to 1.5 wt%, based on the dried superabsorbent polymer particles.
7. The production method according to claim 5 or 6, characterized in that the ethylenically unsaturated monomer having a carboxyl group is selected from one or more of acrylic acid, methacrylic acid, ethacrylic acid, α -chloroacrylic acid, α -cyanoacrylic acid, β -methacrylic acid, α -phenylacrylic acid, β -acryloxypropionic acid, sorbic acid, α -chlorosorbic acid, 2' -methylisojac acid, cinnamic acid, p-chlorocinnamic acid, β -stearic acid, itaconic acid, citraconic acid, mesaconic acid, glutaconic acid, aconitic acid, maleic acid, fumaric acid, tricarboxyethylene and maleic anhydride, preferably from acrylic acid and/or methacrylic acid, more preferably from acrylic acid; and/or
The oxidant is peroxide, preferably one or more selected from sodium persulfate, hydrogen peroxide, potassium persulfate and ammonium persulfate, and more preferably hydrogen peroxide; and/or
The reducing agent is selected from one or more of ascorbic acid, ammonium bisulfite, ammonium thiosulfate, ammonium dithionite, ammonium sulfide and sodium hydroxymethylsulfoxylate, and is preferably ascorbic acid; and/or
The neutralizing agent is an aqueous solution of an alkaline compound, the concentration of which is 30-60 wt%, preferably 40-50 wt%; the alkaline compound is preferably selected from one or more of sodium hydroxide, potassium hydroxide, sodium carbonate and potassium carbonate, more preferably sodium hydroxide; and/or
The surface cross-linking agent is selected from one or more of polyalcohol compounds, epoxy compounds, amine compounds and metal inorganic salts; the polyalcohol compound is preferably selected from ethylene glycol, propylene glycol, glycerol, 1, 4-butanediol or pentaerythritol; the epoxy compound is preferably selected from (poly) ethylene glycol diglycidyl ether, 1, 4-butanediol diglycidyl ether, ethylene carbonate or propylene carbonate; the amine compound is preferably selected from tris (hydroxymethyl) aminomethane or carbodiimide; the metal inorganic salt is preferably selected from an inorganic salt of calcium, magnesium, aluminum, iron, copper or zinc.
8. The method as set forth in any one of claims 5 to 7, wherein the drying temperature of the colloidal particles is 100-240 ℃.
9. The production method according to any one of claims 5 to 8,
after the colloidal particles are dried, the colloidal particles are further ground and sieved to control the size of the superabsorbent polymer particles; wherein the proportion of the super absorbent polymer particles with the particle diameter of 150-700 microns is more than or equal to 90wt percent.
10. The production method according to any one of claims 5 to 9, wherein the process conditions of the surface cross-linking treatment include: the reaction temperature is 50-150 ℃, preferably 80-130 ℃; the reaction time is 0.5h-3h, preferably 1h-2 h;
optionally adding 0-2 wt% of insoluble inorganic powder after the surface cross-linking treatment, based on the dried superabsorbent polymer particles; the insoluble inorganic powder is preferably selected from one or more of silicon dioxide, silica, titanium dioxide, alumina, magnesia, zinc oxide, talc, calcium phosphate, clay, diatomaceous earth, zeolite, bentonite, kaolin, hydrotalcite and activated clay, and more preferably silicon dioxide.
11. The process according to any one of claims 5 to 10, wherein at least one thermal initiator is added during the polymerization reaction, said thermal initiator being an azo-type initiator, preferably selected from one or more of azobisisobutyronitrile, azobiscyanovaleric acid, azobisdimethylvaleronitrile, 2 '-azobis (2-amidinopropane) dihydrochloride, azobisamidinopropane dihydrochloride, 2' -azobis (N, N-dimethyleneisobutyramidine) dihydrochloride, 2- (carbamoylazo) isobutyronitrile and 4, 4-azobis (4-cyanovaleric acid);
preferably, the thermal initiator is used in an amount of 0.005 to 1 wt%, more preferably 0.01 to 0.2 wt%, based on the weight of the carboxyl group-containing ethylenically unsaturated monomer and/or salt thereof.
12. Use of a superabsorbent polymer according to any of claims 1 to 4 or of a superabsorbent polymer obtained by a method according to any of claims 5 to 11 for the production of a composite core for hygiene articles.
CN202010493907.1A2020-06-032020-06-03Super water-absorbing polymer and preparation method and application thereofActiveCN113754809B (en)

Priority Applications (1)

Application NumberPriority DateFiling DateTitle
CN202010493907.1ACN113754809B (en)2020-06-032020-06-03Super water-absorbing polymer and preparation method and application thereof

Applications Claiming Priority (1)

Application NumberPriority DateFiling DateTitle
CN202010493907.1ACN113754809B (en)2020-06-032020-06-03Super water-absorbing polymer and preparation method and application thereof

Publications (2)

Publication NumberPublication Date
CN113754809Atrue CN113754809A (en)2021-12-07
CN113754809B CN113754809B (en)2022-11-08

Family

ID=78783129

Family Applications (1)

Application NumberTitlePriority DateFiling Date
CN202010493907.1AActiveCN113754809B (en)2020-06-032020-06-03Super water-absorbing polymer and preparation method and application thereof

Country Status (1)

CountryLink
CN (1)CN113754809B (en)

Cited By (1)

* Cited by examiner, † Cited by third party
Publication numberPriority datePublication dateAssigneeTitle
WO2024135976A1 (en)*2022-12-222024-06-27주식회사 엘지화학Preparation method of super absorbent polymer

Citations (5)

* Cited by examiner, † Cited by third party
Publication numberPriority datePublication dateAssigneeTitle
US20050239942A1 (en)*2002-08-232005-10-27Basf AktiengesellschaftSuperabsorbent polymers and method of manufacturing the same
CN101143909A (en)*2006-09-142008-03-19台湾塑胶工业股份有限公司Method for producing high-performance high-water-absorptivity resin
CN107722329A (en)*2017-11-032018-02-23宜兴丹森科技有限公司Polyacrylic acid water-absorbent resin, composition and its manufacture method
CN108884237A (en)*2016-12-262018-11-23株式会社Lg化学 Process for the preparation of porous superabsorbent polymers
CN109071832A (en)*2016-06-272018-12-21株式会社Lg化学Method for producing superabsorbent polymer and superabsorbent polymer

Patent Citations (5)

* Cited by examiner, † Cited by third party
Publication numberPriority datePublication dateAssigneeTitle
US20050239942A1 (en)*2002-08-232005-10-27Basf AktiengesellschaftSuperabsorbent polymers and method of manufacturing the same
CN101143909A (en)*2006-09-142008-03-19台湾塑胶工业股份有限公司Method for producing high-performance high-water-absorptivity resin
CN109071832A (en)*2016-06-272018-12-21株式会社Lg化学Method for producing superabsorbent polymer and superabsorbent polymer
CN108884237A (en)*2016-12-262018-11-23株式会社Lg化学 Process for the preparation of porous superabsorbent polymers
CN107722329A (en)*2017-11-032018-02-23宜兴丹森科技有限公司Polyacrylic acid water-absorbent resin, composition and its manufacture method

Cited By (1)

* Cited by examiner, † Cited by third party
Publication numberPriority datePublication dateAssigneeTitle
WO2024135976A1 (en)*2022-12-222024-06-27주식회사 엘지화학Preparation method of super absorbent polymer

Also Published As

Publication numberPublication date
CN113754809B (en)2022-11-08

Similar Documents

PublicationPublication DateTitle
JP4380873B2 (en) Water absorbent resin powder and use thereof
RU2125468C1 (en)Powder-like polymers absorbing aqueous liquids, method of their synthesis
JP3415036B2 (en) Method for granulating hydrogel crosslinked polymer
KR100351477B1 (en) Thermosensitive polymer composition with water absorption and water resistance
JP2004517728A (en) Water absorbent, method for producing the same and use of the water absorbent
WO2005027986A1 (en)Water absorbent and producing method of same
CN105283490A (en)Particulate superabsorbent polymer composition having improved stability
CN1889987A (en)Superabsorbent polymer having increased rate of water absorption
IL110134A (en)Polymers capable of absorbing aqueous liquids and body fluids their preparation and use
US20030219600A1 (en)Surface-treated superabsorbent polymer particles
KR20060109877A (en) Blood- and / or body fluid-absorbing hydrogels
JP4776969B2 (en) Water absorbing agent and method for producing the same
JP4241380B2 (en) Tocopherol-containing superabsorbent
CN112714770B (en)Method for producing water-absorbent resin containing chelating agent
CN113307904B (en)Preparation method of water-absorbent resin
JPH04501877A (en) Manufacturing method of super absorbent resin
WO2001089591A2 (en)Surface-treated superabsorbent polymer particles
EP0945143B1 (en)Water-absorbing agent and its production process
WO2021212332A1 (en)Super water-absorbent polymer and preparation method therefor
CN113754809B (en)Super water-absorbing polymer and preparation method and application thereof
JP3461860B2 (en) Manufacturing method of absorbent material
CN111995706B (en)Absorbent resin particle, preparation method thereof and absorbent product
CN113754837B (en)Super-absorbent polymer and preparation method and application thereof
CN111333880B (en)Super water-absorbing polymer and preparation method thereof
CN113527598B (en)Super water-absorbing polymer and preparation method thereof

Legal Events

DateCodeTitleDescription
PB01Publication
PB01Publication
SE01Entry into force of request for substantive examination
SE01Entry into force of request for substantive examination
GR01Patent grant
GR01Patent grant

[8]ページ先頭

©2009-2025 Movatter.jp