Movatterモバイル変換


[0]ホーム

URL:


CN113744418B - Ticket business verification system based on edge cloud integrated environment - Google Patents

Ticket business verification system based on edge cloud integrated environment
Download PDF

Info

Publication number
CN113744418B
CN113744418BCN202111279300.4ACN202111279300ACN113744418BCN 113744418 BCN113744418 BCN 113744418BCN 202111279300 ACN202111279300 ACN 202111279300ACN 113744418 BCN113744418 BCN 113744418B
Authority
CN
China
Prior art keywords
data
user
module
travel
unit
Prior art date
Legal status (The legal status is an assumption and is not a legal conclusion. Google has not performed a legal analysis and makes no representation as to the accuracy of the status listed.)
Active
Application number
CN202111279300.4A
Other languages
Chinese (zh)
Other versions
CN113744418A (en
Inventor
张卫平
丁烨
张浩宇
Current Assignee (The listed assignees may be inaccurate. Google has not performed a legal analysis and makes no representation or warranty as to the accuracy of the list.)
Global Numerical Technology Co ltd
Original Assignee
Global Digital Group Co Ltd
Priority date (The priority date is an assumption and is not a legal conclusion. Google has not performed a legal analysis and makes no representation as to the accuracy of the date listed.)
Filing date
Publication date
Application filed by Global Digital Group Co LtdfiledCriticalGlobal Digital Group Co Ltd
Priority to CN202111279300.4ApriorityCriticalpatent/CN113744418B/en
Publication of CN113744418ApublicationCriticalpatent/CN113744418A/en
Application grantedgrantedCritical
Publication of CN113744418BpublicationCriticalpatent/CN113744418B/en
Activelegal-statusCriticalCurrent
Anticipated expirationlegal-statusCritical

Links

Images

Classifications

Landscapes

Abstract

Translated fromChinese

本发明提供了一种基于边云一体化环境下的票务核验系统,包括数据库、协同模块、采集模块、核验模块、处理模块、关联模块和处理器,协同模块用于协调核验模块的核验数据与外部的数据,以确定两者之间的关联;采集模块用于对使用者的数据进行采集,以实现对票面数据的核验;核验模块用于使用者的票面信息与当前行程是否关联,以实现对使用者的行程的核验;处理模块用于对采集的数据进行处理器,并反馈给关联模块进行关联。本发明通过关联模块用于对票面与使用者的身份进行关联,并关联使用者的行程数据,当使用者的数据经过关联后,使得使用者的数据能够进行高效的核验。

Figure 202111279300

The invention provides a ticket verification system based on an edge-cloud integration environment, including a database, a collaboration module, a collection module, a verification module, a processing module, an association module and a processor, and the collaborative module is used to coordinate the verification data of the verification module and the verification module. External data to determine the relationship between the two; the collection module is used to collect the user's data to verify the face data; the verification module is used to check whether the user's face information is related to the current itinerary to achieve Verification of the user's itinerary; the processing module is used to process the collected data and feed it back to the association module for association. The present invention uses an association module to associate the ticket face with the user's identity, and associate the user's itinerary data. After the user's data is associated, the user's data can be efficiently verified.

Figure 202111279300

Description

Ticket business verification system based on edge cloud integrated environment
Technical Field
The invention relates to the technical field of ticket business verification, in particular to a ticket business verification system based on a side-cloud integrated environment.
Background
The rapid development of networking technologies brings more opportunities and challenges to passenger highways or railways. The intelligent robot and the informatization means are adopted to continuously improve the passenger service level and quality and improve the riding experience, which is the necessary requirement of passenger service. When a passenger goes out, the passenger often carries luggage with him or her, and the luggage and the passenger figure are also an important task of passenger service for ensuring that the luggage and the passenger figure are not separated.
For example, CN107403159A prior art discloses a method and device for associating, checking and ticketing objects, which often causes the phenomenon that passengers' baggage is lost or taken by mistake in a passenger station or train, so that it is necessary to mobilize staff to help passengers to search for the baggage, which not only causes disorder of station or train order, but also needs to spend a lot of search time on the staff.
Another typical prior art verification device, such as CN211718926U, is currently in the market of paper-free production and living scenes. For example, when ticket checking is performed in a venue, paperless ticket checking is also desired to be promoted, so that ticket checking is more convenient, environment-friendly and faster. However, the existing ticket verification equipment is generally large in size and heavy in weight, so that the equipment cannot be applied to small venues, and the paperless popularization is influenced.
The invention aims to solve the problems that the verification is complicated, the applicable scene is small, the identification precision is poor, the verification mode is too single, the tracking cannot be carried out, the verification speed is low and the like in the field.
Disclosure of Invention
The invention aims to provide a ticket checking system based on a side-cloud integrated environment, aiming at the defects of the current ticket checking.
In order to overcome the defects of the prior art, the invention adopts the following technical scheme:
a ticket business checking system based on a side-cloud integrated environment comprises a database, a cooperation module, an acquisition module, a checking module, a processing module, an association module and a processor, wherein the processor is respectively in control connection with the cooperation module, the acquisition module, the checking module, the processing module and the association module,
the database is respectively connected with the cooperation module, the acquisition module, the verification module, the processing module, the association module and the processor so as to realize the storage and the calling of data; the cooperation module is used for coordinating the verification data of the verification module with external data to determine the association between the verification data and the external data; the acquisition module is used for acquiring data of a user so as to realize check of the ticket face data;
the verification module is used for judging whether the ticket information of the user is related to the current journey or not so as to verify the journey of the user;
the processing module is used for processing the acquired data and feeding the data back to the association module for association; the association module is used for associating the ticket face with the identity of the user and associating the travel data of the user, and if an exception exists in a certain travel node, the travel data is triggered to be modified;
the acquisition module is used for acquiring the data of the user so as to store the data in the database; the acquisition module comprises a registration unit and an ID (identity) creation unit, wherein the registration unit acquires the identity information of the user, establishes an account for the user based on an ID registration protocol, and generates an authorization sequence through the cooperation module;
the ID creating unit is used for matching the facial data of the user with identity information to realize the creation of the identity; the ID creating unit comprises an input probe, an angle detecting piece, a display screen, an offset seat and an offset driving mechanism, wherein the input probe is arranged on the offset seat, and the offset driving mechanism is in driving connection with the offset seat; the angle detection piece is used for detecting the rotation angle of the offset seat; acquiring first face data of a first angle of the user, and recording an initial angle value of the angle detection piece, wherein after each acquisition is finished, the user is interacted with the angle detection piece through a display screen; acquiring second face data of a second angle of the user, and recording a current angle value of the angle detection piece;
if the sum of the initial angle value and the current angle value of the angle detection piece is equal to the allowable rotation threshold value of the angle detection value, finishing the operation of inputting the face data;
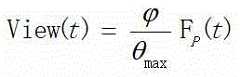
the input angle of the input probe and the acquired face data are judged according to the following formula:
Figure DEST_PATH_IMAGE001
wherein, View (t) is collected face data;
Figure 464993DEST_PATH_IMAGE002
an angle detection member is offset by an angle;
Figure DEST_PATH_IMAGE003
is the maximum offset angle of the angle detection member; fp(t) is a face data segment in a detection period;
collected face data View (t) and a detection periodFace data segment F in (1)p(t) satisfies:
Figure 178871DEST_PATH_IMAGE004
if the evaluation factor K is not in the set allowable threshold value, triggering to acquire the face data again; t is a detection period; and t is the acquisition time length of single face data.
Optionally, the coordination module includes an interaction unit and a comparison unit, and the comparison unit is configured to compare the data of the acquisition module with current estimated process data, where the estimated process data is data queued according to a set plan sequence;
the interaction unit interacts data of an external network with a comparison result of the comparison unit to realize collaboration among a plurality of data, and if the interaction result is inconsistent, a corresponding label of the user is marked, wherein the label comprises identity information and a passenger number;
if the interaction results are consistent, the user is checked to pass, the travel event is triggered to be tracked in real time, when the user is interrupted, the travel event of the user is interacted again to determine whether the travel event is abnormal, and the travel is ended if the travel event is not abnormal; and if the abnormity exists, the label of the user is marked with early warning.
Optionally, the association module includes an association unit, and the association unit is configured to determine ticket data or identity information of the user, perform verification based on the ticket data corresponding to the face data, associate the user's travel, and trigger establishment of a travel event, so as to implement association of the user's travel event.
Optionally, the processing module includes a feedback unit and a processing unit, and the processing unit is configured to process data submitted to a server, generate corresponding trip events from the data in the server, and classify the trip events having the same common label, where the common label includes the same destination, the same start station, the same operation route, and stations based on the same operation route;
the feedback unit receives a travel event generated by a travel account of a user and feeds the travel event back to the correlation module; wherein, the travel event is automatically updated according to the content or ticket purchasing information submitted in the travel account by the user.
Optionally, the verification module includes an event triggering unit and a trip management unit, where the trip management unit is configured to manage each trip in the database and arrange the trips through a time sequence; the event triggering unit establishes a triggering event based on the data of the travel management unit and verifies each travel node in the travel according to a time sequence;
the itinerary management unit manages itinerary data associated with the user's identity data, wherein the data associated with the identity information includes a start time point, an end time point of a ticket, and each time node between the start time point and the end time point;
and the event triggering unit checks each travel node in the travel according to the time sequence, and if the associated travel is not in the current triggered sequence, the check is failed. Conversely, when the associated trip is in the currently triggered sequence, the check passes.
The beneficial effects obtained by the invention are as follows:
1. whether the ticket information of the user is related to the current journey or not is judged by adopting a check module, so that the journey of the user is checked;
2. the associating module is used for associating the ticket face with the identity of the user and associating the travel data of the user, so that the data of the user can be efficiently verified after the data of the user is associated;
3. the identity of the user is accurately determined by adopting a cooperation module to check external data or compare the external data with image data recorded by an identity card of the user;
4. the comparison unit is used for comparing the acquisition module with the pre-estimated data to obtain a comparison result, and the travel data of the user is clarified based on the comparison result, so that the travel data of the user is more intelligently prompted;
5. by identifying abnormal behaviors in the associated travel events, the travel events corresponding to the abnormal behaviors are determined to obtain the types of the abnormal behaviors, and the travel data of the user is updated, so that different abnormal behaviors can be checked, and the checking efficiency and reliability of the system are improved.
Drawings
The invention will be further understood from the following description in conjunction with the accompanying drawings. The components in the figures are not necessarily to scale, emphasis instead being placed upon illustrating the principles of the embodiments. Like reference numerals designate corresponding parts throughout the different views.
FIG. 1 is a schematic control flow diagram of the present invention.
Fig. 2 is a partially exploded view of the clamping unit.
Fig. 3 is a schematic cross-sectional view of the clamping unit.
Fig. 4 is a schematic cross-sectional view of the scanning unit and the clamping unit.
Fig. 5 is a schematic structural diagram of the ID creation unit.
Fig. 6 is a schematic structural view of the deflection unit.
The reference numbers illustrate: 1-a bill; 2-an offset band; 3-a rotating wheel; 4-a scanning port; 5-a clamping unit; 6-an output port; 7-a clamping channel; 8-identifying the probe; 9-a display screen; 10-recording a probe; 11-a connecting rod; 12-an offset drive mechanism; 13-an angle detection member; 14-a sensing member; 15-support rods; 16-a support seat; and 17-vertical rod.
Detailed Description
In order to make the objects, technical solutions and advantages of the present invention more apparent, the present invention is further described in detail below with reference to embodiments thereof; it should be understood that the specific embodiments described herein are merely illustrative of the invention and are not intended to limit the invention. Other systems, methods, and/or features of the present embodiments will become apparent to those skilled in the art upon review of the following detailed description. It is intended that all such additional systems, methods, features and advantages be included within this description, be within the scope of the invention, and be protected by the accompanying claims. Additional features of the disclosed embodiments are described in, and will be apparent from, the detailed description that follows.
The same or similar reference numerals in the drawings of the embodiments of the present invention correspond to the same or similar components; in the description of the present invention, it should be understood that if there is an orientation or positional relationship indicated by the terms "upper", "lower", "left", "right", etc. based on the orientation or positional relationship shown in the drawings, it is only for convenience of describing the present invention and simplifying the description, but it is not intended to indicate or imply that the device or component referred to must have a specific orientation, be constructed in a specific orientation, and be operated, and therefore, the terms describing the positional relationship in the drawings are only used for illustrative purposes and are not to be construed as limiting the present patent, and the specific meaning of the terms described above will be understood by those of ordinary skill in the art according to the specific circumstances.
The first embodiment is as follows: according to fig. 1-6, a ticket service verification system based on the edge cloud integrated environment is provided, which comprises a database, a server, a cooperation module, an acquisition module, a verification module, a processing module, an association module and a processor, wherein the processor is respectively in control connection with the cooperation module, the acquisition module, the verification module, the processing module and the association module, and is based on accurate control of the cooperation module, the acquisition module, the verification module, the processing module and the association module under the centralized control of the processor, so that the ticket service verification is efficient and reliable. The server is used for connecting external data, storing the data in the database after the data is subjected to primary processing by the server when the external data is transmitted, and calling the data by the acquisition module and the cooperation module;
the database is respectively connected with the cooperation module, the acquisition module, the verification module, the processing module, the association module and the processor so as to realize the storage and the calling of data; the cooperation module is used for coordinating the verification data of the verification module with external data to determine the association between the verification data and the external data; the acquisition module is used for acquiring data of a user so as to realize check of the ticket face data;
the verification module is used for judging whether the ticket information of the user is related to the current journey or not so as to verify the journey of the user; the processing module is used for processing the acquired data and feeding the data back to the association module for association; the association module is used for associating the ticket face with the identity of the user and associating the travel data of the user, and if an exception exists in a certain travel node, the travel data is triggered to be modified;
the processing module processes the data of the acquisition module, further processes the processed data and the association module, and verifies the data processed by the association module through the verification module. After being processed, the data of the cooperation module can be also imported into the association module, the association module is used for associating the ticket with the identity of the user and associating the travel data of the user, when the data of the user is associated, the data of the user can be efficiently checked, and meanwhile, the ticket and the identity information of the user can be obtained. Wherein, the identity information of the user includes but is not limited to the following listed types: face data, fingerprint data, valid identity documents, etc.
The acquisition module is used for acquiring the data of the user so as to store the data in the database; the acquisition module comprises a registration unit and an ID (identity) creation unit, wherein the registration unit acquires the identity information of the user, establishes an account for the user based on an ID registration protocol, and generates an authorization sequence through the cooperation module; the generated authorization sequence is generated after the coordination module is coordinated or interacted with external data, and the authorization sequence has uniqueness, thereby effectively ensuring the uniqueness of the account,
the ID creating unit is used for matching the facial data of the user with identity information to realize the creation of the identity; the ID creating unit comprises an input probe, an angle detecting piece, a display screen, an offset seat, an offset driving mechanism, a supporting seat, a connecting rod, an upright rod and a supporting rod, wherein the offset driving mechanism is in driving connection with the offset seat to form a deflection part; the type-in probe is symmetrically arranged on the supporting rod and is connected with the outer wall of the rod body of the supporting rod through a connecting rod, one end of the connecting rod is fixedly connected with the outer wall of the supporting rod in a vertical mode, the other end of the connecting rod is connected with the deflection portion, and the deflection portion is arranged at the upper top of the supporting seat. In addition, the bracing piece is kept away from one side top of connecting rod is provided with the confession the roof that the display screen was placed, just the roof with connect through the pole setting between the display screen, promptly: one end of the upright rod is connected with the top plate, the other end of the upright rod is hinged with the outer wall of the display screen, and a hinged structure is arranged at the joint of the display screen and one end of the upright rod, so that the display screen can rotate along the hinged position to realize steering in different directions, and users in different positions can see the current collection angle, as shown in fig. 5;
the ID creating unit further comprises a sensing piece, the sensing piece is arranged on a power output shaft of the offset driving mechanism, and the angle detecting piece is arranged on a rotating path of the sensing piece and used for collecting a rotating angle of the deflection part of the sensing piece;
the logging probe includes, but is not limited to, the following list: detection cameras, vision sensors, video cameras, still cameras, digital cameras, and the like. The logging probe is used for acquiring the data of the user and acquiring the identity of the user based on the data of the logging probe. The display screen is used for displaying the current angle of the user and feeding back the current angle to the user for checking, and meanwhile, prompt information is displayed on the display screen to prompt the user to keep the current posture or other prompt information.
The angle detection piece is used for detecting the rotation angle of the offset seat; acquiring first face data of a first angle of the user, and recording an initial angle value of the angle detection piece, wherein after each acquisition is finished, the user is interacted with the angle detection piece through a display screen; acquiring second face data of a second angle of the user, and recording a current angle value of the angle detection piece;
if the sum of the initial angle value and the current angle value of the angle detection piece is equal to the allowable rotation threshold value of the angle detection value, finishing the operation of inputting the face data in one detection period; and when the face data recorded does not accord with the set recording strategy, re-triggering the re-acquisition of the face.
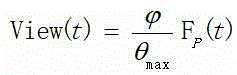
The input angle of the input probe and the acquired face data are judged according to the following formula:
Figure DEST_PATH_IMAGE005
wherein, View (t) is collected face data;
Figure 50618DEST_PATH_IMAGE006
an angle detection member is offset by an angle;
Figure DEST_PATH_IMAGE007
the maximum offset angle of the angle detection member, the maximum offset angle of the rotation is determined according to the inherent structure of the offset seat, as shown in fig. 6; if a larger offset angle is selected, other structures of the deflection parts are used instead to realize different offset angles; in the embodiment, a proper offset angle is selected, so that the acquisition efficiency can be ensured to the maximum extent, and the acquisition effect of the face data is also considered; fp(t) is a face data segment in a detection period; view (t) and F as described abovep(t) are each related to the period t of acquisition.
Collected face data View (t) and face data slice in a detection periodSegment Fp(t) satisfies:
Figure 304882DEST_PATH_IMAGE008
if the evaluation factor K is not in the set allowable threshold value, triggering to acquire the face data again; t is a detection period; and t is the acquisition time length of single face data.
In addition, after the face data collected by the probe is input, the cooperation module is used for checking with external data or comparing with the image data recorded by the identity card of the user, so that the identity of the user is accurately determined.
Optionally, the coordination module includes an interaction unit and a comparison unit, and the comparison unit is configured to compare the data of the acquisition module with current estimated process data, where the estimated process data is data queued according to a set plan sequence; the estimation process comprises items recorded in the ticket surface, such as movie ticket field times, ticket train times, scenic spot ticket park entry time points, high-speed rail ticket train times and the like. Meanwhile, if the data of the acquisition module is in the estimated progress data, the ticket corresponding to the user is indicated in the estimated progress data.
The verification system further comprises a display module, and the verification module is used for displaying personal travel data so as to guarantee that the user can be prompted about his own travel. And when the ticket face information corresponding to the user is in the estimated journey, displaying or prompting the ticket face information through a display module, so that the user can know the estimated progress of the ticket face.
The comparison unit compares the acquisition module with the estimated data to obtain a comparison result, and the travel data of the user is more intelligently prompted based on the clearness of the comparison result.
The interaction unit interacts data of an external network with a comparison result of the comparison unit to realize collaboration among a plurality of data, and if the interaction result is inconsistent, a label of the user is marked, wherein the label comprises identity information and a passenger number; if the interaction results are consistent, the user is checked to pass, the travel event is triggered to be tracked in real time, when the user is interrupted, the travel event of the user is interacted again to determine whether the travel event is abnormal, and the travel is ended if the travel event is not abnormal; and if the abnormity exists, the label of the user is marked with early warning. The data of the external network comprises data of each ticket purchasing platform; when the user performs ticket refunding or other operations on the ticket purchasing website, the change of the travel data is triggered, and at the moment, the comparison result is changed, and the user is marked for screening the user. Similarly, when the user interrupts the journey and the data submitted to the verification system shows that the comparison result has changed, the label of the user is marked. The types of the marks comprise an end stroke, a stop stroke, an emergency situation and the like, and in addition, the marks are marked by different colors so as to realize different early warning marks.
Optionally, the processing module includes a feedback unit and a processing unit, and the processing unit is configured to process data submitted to a server, generate corresponding trip events from the data in the server, and classify the trip events having the same common label, where the common label includes the same destination, the same start station, the same operation route, and stations based on the same operation route; the feedback unit receives a travel event generated by a travel account of a user and feeds the travel event back to the correlation module; wherein, the travel event is automatically updated according to the content or ticket purchasing information submitted in the travel account by the user. Each user is provided with a corresponding travel account, the user can purchase a ticket through the travel account, and after an order for purchasing the ticket is confirmed, a corresponding travel event exists in the travel account. The travel event comprises travel data, and the travel data indicates the ticket surface type, the using time, the ticket checking position, the travel node and the like of the user.
Optionally, the association module includes an association unit, where the association unit is configured to determine ticket data or identity information of a user, perform verification based on the ticket data corresponding to the face data to associate a trip of the user, and trigger establishment of a trip event to implement association of the trip event of the user;
optionally, the verification module includes an event triggering unit and a trip management unit, where the trip management unit is configured to manage each trip in the database and arrange the trips according to the time sequence; the event triggering unit establishes a triggering event based on the data of the journey management unit and verifies each journey node in the journey according to the time sequence; the itinerary management unit manages itinerary data associated with user's identity data, wherein the data associated with the identity information includes a start time point of a ticket, an end time point, a time node, a ticket checking position, an origin/destination, a train number/session, a seat position, an entry time/exit time, a station of a route, and each time node between the start time point and the end time point;
the event triggering unit checks each travel node in the travel according to the time sequence, and if the associated travel is not in the current triggered sequence, the check is not passed; conversely, when the associated trip is in the currently triggered sequence, the check passes.
The event triggering unit determines the early warning grade of the travel data of the user after correlation in the process of checking the ticket or face data, wherein the early warning grade is determined according to the time node of the travel data; if the node is closer to the set time, the travel event is in the highest grade;
if the abnormal behavior exists in the associated travel events, the travel event corresponding to the abnormal behavior is determined to obtain the type of the abnormality, and the travel data of the user is updated, so that the user can check different abnormal behaviors, and the checking efficiency and reliability of the system are improved. The abnormal behaviors comprise that the verification fails, travel data exists but the nominal information is not verified, the verification time exceeds a set maximum allowable value, a deadline event of the verification is missed, and the like.
The early warning grade is determined according to the following formula, and the early warning grade LEval is as follows:
Figure DEST_PATH_IMAGE009
the YU is an early warning characteristic parameter; omega is abnormal behavior weight, the weight is determined according to the approach degree of the adjacent time node, and higher weight is given when the time from the nominal record is closer; e is the number of abnormal behaviors; r is a correction parameter of an abnormal event, the value of the correction parameter is determined according to the change times of the travel event, and if the user changed the travel data and is not changed, the value is 1; if the user's travel data is changed, the value of R is changed for times;
Figure 181571DEST_PATH_IMAGE010
the YU is an early warning characteristic parameter; m is the total information amount, which is the total information amount of all travel data corresponding to all travel events of the time node in the corresponding server, and can be directly obtained according to the data in the database; h is the proportion of abnormal information, and the value of h is represented as the proportion of m in the total information; g is the number of the abnormal information; n is the total amount of abnormal information to be examined;
in this embodiment, if the user does not check the ticket according to the set deadline time node, a plurality of kinds of abnormal information may occur, where the examination item of the abnormal information is checked according to the check type set on the ticket, for example: all verification information recorded on the ticket surfaces of the verification time node, the verification place and the like; such as: if 5 pieces of check type information exist on one ticket face, determining whether the 5 pieces of check type information are abnormal, and if 3 pieces of abnormal information exist, G =3 and n = 5;
the check type comprises all information recorded by the ticket, such as: time node, ticket location, origin/destination, train/lot, seat location, time of entry/time of exit, and station of approach, etc.
When the event trigger unit checks each journey node in the journey according to the time sequence, if the associated journey is not in the current triggered sequence, the check is not passed. Conversely, when the associated trip is in the currently triggered sequence, the check passes.
Example two: this embodiment should be understood to include at least all the features of any one of the embodiments described above and further improved upon with reference to fig. 1-6, and further characterized in that the verification system further includes a scanning module for scanning a physical ticket or e-ticket to obtain data of the ticket. The scanning module is coupled with the database so that scanned data can be stored in the database, wherein the database comprises a data storage and a scanning code, the data storage is used for storing various data, and meanwhile, the data storage can be arranged according to different identities or different users and stored in a storage unit of the storage during data storage; the scanning code is used for being called when the scanning module scans the bill and scanning the data of the bill.
The scanning module is in control connection with the processor and scans the bills under the centralized control of the processor.
The scanning module comprises a clamping unit and an identification unit, and the clamping unit is used for clamping the bill so as to realize that the bill can be unfolded; the identification unit is used for identifying the bill so as to acquire the information of the bill surface.
The recognition units are arranged above and below the clamping unit and used for recognizing bills in different directions. In this example, the orientation in which the document is gripped by the gripping unit and recognized by the recognition unit is not limited. When the bill is scanned through the scanning unit, the bill is placed through the scanning port, at the moment, the clamping unit clamps the bill, and after the bill is collected through the identification unit, the bill is sent out from an output port;
the clamping unit comprises a clamping channel, rolling wheels, a clamping belt and a rolling driving mechanism, the clamping belt is nested with the rolling wheels, any one of the rolling wheels is in driving connection with the rolling driving mechanism, and the rolling wheels can slide the clamping belt. When the bill is clamped, the clamping units are respectively arranged above and below the bill, so that the bill can be transported along the clamping passage under the clamping of the clamping units, and the bill is arranged on the identification unit of the clamping passage for identification.
The identification unit comprises a data acquisition unit, a microcontroller and a plurality of identification probes, wherein the data acquisition unit is used for acquiring data of each identification probe; the identification probes are distributed at equal intervals along the length direction of the clamping channel; additionally, the data identifying the probe generates a list of tickets under processing by the processor, the list of tickets being stored in the data store. The microcontroller is used for processing the data of the data acquisition unit and storing the data and the data memory; additionally, the microcontroller is coupled to the data storage and communicatively connected to the identification probe;
the microcontroller generates a bill list after acquiring the data of the identification probe; receiving a service request of a ticketing end, and generating a scannable code which is associated with a bill and is separated from the bill; providing a ticket seller with a scannable code associated with a ticket; receiving information contained in the scannable code when the ticket is provided to the service center and the code is scanned by the code scanner; the list is updated according to information from the scannable code, wherein the list is activatable by the scannable code to update the list. During the scanning process, instructions are provided to the ticket seller to provide the ticket to the service center along with the scannable code and the resellerd ticket is stored at the service center. Wherein the identification probe scans the ticket under the conditioning of an automatic receipt mechanism configured to automatically receive the ticket and the scannable code when the ticket is provided to the service center. The identification probe is further configured to capture an image of the ticket as it is provided to the service center and to add the image of the ticket to the list under the action of the microcontroller.
In the above embodiments, the descriptions of the respective embodiments have respective emphasis, and reference may be made to the related descriptions of other embodiments for parts that are not described or illustrated in a certain embodiment.
Although the invention has been described above with reference to various embodiments, it should be understood that many changes and modifications may be made without departing from the scope of the invention. That is, the methods, systems, and devices discussed above are examples. Various configurations may omit, substitute, or add various procedures or components as appropriate. For example, in alternative configurations, the methods may be performed in an order different than that described, and/or various components may be added, omitted, and/or combined. Moreover, features described with respect to certain configurations may be combined in various other configurations, as different aspects and elements of the configurations may be combined in a similar manner. Further, elements therein may be updated as technology evolves, i.e., many elements are examples and do not limit the scope of the disclosure or claims.
Specific details are given in the description to provide a thorough understanding of the exemplary configurations including implementations. However, configurations may be practiced without these specific details, for example, well-known circuits, processes, algorithms, structures, and techniques have been shown without unnecessary detail in order to avoid obscuring the configurations. This description provides example configurations only, and does not limit the scope, applicability, or configuration of the claims. Rather, the foregoing description of the configurations will provide those skilled in the art with an enabling description for implementing the described techniques. Various changes may be made in the function and arrangement of elements without departing from the spirit or scope of the disclosure.
In conclusion, it is intended that the foregoing detailed description be regarded as illustrative rather than limiting, and that it be understood that these examples are illustrative only and are not intended to limit the scope of the invention. After reading the description of the invention, the skilled person can make various changes or modifications to the invention, and these equivalent changes and modifications also fall into the scope of the invention defined by the claims.

Claims (5)

1. A ticket business checking system based on a side-cloud integrated environment comprises a database and is characterized by further comprising a cooperation module, an acquisition module, a checking module, a processing module, an association module and a processor, wherein the processor is respectively in control connection with the cooperation module, the acquisition module, the checking module, the processing module and the association module,
the database is respectively connected with the cooperation module, the acquisition module, the verification module, the processing module, the association module and the processor so as to realize the storage and the calling of data; the cooperation module is used for coordinating the verification data of the verification module with external data to determine the relevance between the verification data and the external data; the acquisition module is used for acquiring data of a user so as to realize check of the ticket face data;
the verification module is used for verifying whether the ticket information of the user is related to the current journey or not so as to verify the journey of the user;
the processing module is used for processing the acquired data and feeding the data back to the association module for association; the association module is used for associating the ticket face with the identity of the user and associating the travel data of the user, and if an exception exists in a certain travel node, the travel data is triggered to be modified;
the acquisition module is used for acquiring the data of the user so as to store the data in the database; the acquisition module comprises a registration unit and an ID (identity) creation unit, wherein the registration unit acquires the identity information of the user, establishes an account for the user based on an ID registration protocol, and generates an authorization sequence through the cooperation module;
the ID creating unit is used for matching the facial data of the user with identity information to realize the creation of the identity; the ID creating unit comprises an input probe, an angle detecting piece, a display screen, an offset seat and an offset driving mechanism, wherein the input probe is arranged on the offset seat, and the offset driving mechanism is in driving connection with the offset seat; the angle detection piece is used for detecting the rotation angle of the offset seat; acquiring first face data of a first angle of the user, and recording an initial angle value of the angle detection piece, wherein after each acquisition is finished, the user is interacted with the angle detection piece through a display screen; acquiring second face data of a second angle of the user, and recording a current angle value of the angle detection piece;
if the difference between the initial angle value and the current angle value of the angle detection piece is equal to the allowable rotation threshold value of the angle detection value, finishing the operation of inputting the face data;
the input angle of the input probe and the acquired face data are judged according to the following formula:
Figure FDA0003422738880000011
wherein, View (t) is collected face data;
Figure FDA0003422738880000021
an angle detection member is offset by an angle; thetamaxIs the maximum offset angle of the angle detection member; fp(t) is a single face data segment in one detection period;
collected face data View (t) and single face data segment F in one detection periodp(t) satisfies:
Figure FDA0003422738880000022
if the evaluation factor k is not in a set allowable threshold value, triggering to acquire the face data again; t is a detection period; and t is the acquisition time length of single face data.
2. The ticketing verification system based on the edge-cloud integrated environment according to claim 1, wherein the coordination module comprises an interaction unit and a comparison unit, the comparison unit is used for comparing the data of the acquisition module with current estimated process data, and the estimated process data are data queued according to a set plan sequence;
the interaction unit interacts data of an external network with a comparison result of the comparison unit to realize collaboration among a plurality of data, and if the interaction result is inconsistent, a corresponding label of the user is marked, wherein the label comprises identity information and a passenger number;
if the interaction results are consistent, the user is checked to pass, the travel event is triggered to be tracked in real time, when the user is interrupted, the travel event of the user is interacted again to determine whether the travel event is abnormal, and the travel is ended if the travel event is not abnormal; and if the abnormity exists, the label of the user is marked with early warning.
3. The ticket business verification system based on the edge cloud integrated environment as claimed in claim 2, wherein the association module comprises an association unit, and the association unit is configured to determine ticket data or identity information of a user, perform verification based on the ticket data corresponding to the face data to associate the itinerary of the user, and trigger establishment of an itinerary event to achieve association of the itinerary event of the user.
4. The ticket business verification system based on the edge cloud integrated environment as claimed in claim 3, wherein the processing module comprises a feedback unit and a processing unit, the processing unit is configured to process the data submitted to the server, generate corresponding travel events from the data in the server, and classify the travel events with the same common labels, wherein the common labels include the same destination, the same start site, the same running route, and sites based on the same running route;
the feedback unit receives a travel event generated by a travel account of a user and feeds the travel event back to the correlation module; wherein, the travel event is automatically updated according to the content or ticket purchasing information submitted in the travel account by the user.
5. The ticket business verification system based on the edge cloud integrated environment as claimed in claim 4, wherein the verification module comprises an event triggering unit and a journey management unit, the journey management unit is used for managing each journey in the database and arranging the journeys in a time sequence; the event triggering unit establishes a triggering event based on the data of the travel management unit and verifies each travel node in the travel according to a time sequence;
the itinerary management unit manages itinerary data associated with the user's identity data, wherein the data associated with the identity information includes a start time point, an end time point of a ticket, and each time node between the start time point and the end time point;
the event triggering unit checks each travel node in the travel according to the time sequence, and if the associated travel is not in the current triggered sequence, the check is not passed; conversely, when the associated trip is in the currently triggered sequence, the check passes.
CN202111279300.4A2021-11-012021-11-01Ticket business verification system based on edge cloud integrated environmentActiveCN113744418B (en)

Priority Applications (1)

Application NumberPriority DateFiling DateTitle
CN202111279300.4ACN113744418B (en)2021-11-012021-11-01Ticket business verification system based on edge cloud integrated environment

Applications Claiming Priority (1)

Application NumberPriority DateFiling DateTitle
CN202111279300.4ACN113744418B (en)2021-11-012021-11-01Ticket business verification system based on edge cloud integrated environment

Publications (2)

Publication NumberPublication Date
CN113744418A CN113744418A (en)2021-12-03
CN113744418Btrue CN113744418B (en)2022-02-08

Family

ID=78727178

Family Applications (1)

Application NumberTitlePriority DateFiling Date
CN202111279300.4AActiveCN113744418B (en)2021-11-012021-11-01Ticket business verification system based on edge cloud integrated environment

Country Status (1)

CountryLink
CN (1)CN113744418B (en)

Citations (3)

* Cited by examiner, † Cited by third party
Publication numberPriority datePublication dateAssigneeTitle
CN110210332A (en)*2019-05-152019-09-06武汉奥贝赛维数码科技有限公司A kind of facial topologies based on deep learning
CN112489084A (en)*2020-12-092021-03-12重庆邮电大学Trajectory tracking system and method based on face recognition
CN112488016A (en)*2020-12-092021-03-12重庆邮电大学Multi-angle face recognition method and application

Family Cites Families (10)

* Cited by examiner, † Cited by third party
Publication numberPriority datePublication dateAssigneeTitle
US20030120526A1 (en)*2001-10-162003-06-26Jonathan AltmanSystem and method for managing booking and expensing of travel products and services
CN102194256A (en)*2011-02-232011-09-21上海博路信息技术有限公司Ticketing system based on bar code and identity card detection
US8836777B2 (en)*2011-02-252014-09-16DigitalOptics Corporation Europe LimitedAutomatic detection of vertical gaze using an embedded imaging device
CN102542255B (en)*2011-12-062013-07-10Tcl集团股份有限公司Method, device and system for correcting face image
CN107038418A (en)*2017-03-242017-08-11厦门瑞为信息技术有限公司A kind of intelligent air condition dual camera follows the trail of the method for obtaining clear human body image
CN111353806A (en)*2018-12-242020-06-30陕西天朗嘉业科技发展有限公司Behavior management method and system based on block chain
CN111028058B (en)*2019-12-112023-06-09成都智元汇信息技术股份有限公司Ticket system based on face recognition
CN111444892B (en)*2020-05-052023-12-15商志营Track tracking system based on line, query method and device
CN213241249U (en)*2020-09-152021-05-18铁道警察学院Railway station six-in-one passenger real-name system verification system based on artificial intelligence
CN113409078A (en)*2021-06-102021-09-17杭州趣链科技有限公司Point issuing method, device, equipment and storage medium

Patent Citations (3)

* Cited by examiner, † Cited by third party
Publication numberPriority datePublication dateAssigneeTitle
CN110210332A (en)*2019-05-152019-09-06武汉奥贝赛维数码科技有限公司A kind of facial topologies based on deep learning
CN112489084A (en)*2020-12-092021-03-12重庆邮电大学Trajectory tracking system and method based on face recognition
CN112488016A (en)*2020-12-092021-03-12重庆邮电大学Multi-angle face recognition method and application

Also Published As

Publication numberPublication date
CN113744418A (en)2021-12-03

Similar Documents

PublicationPublication DateTitle
JP7733875B2 (en) Information processing device, information processing method, and recording medium
JP7544175B2 (en) Information processing device, information processing method, and recording medium
JP6145210B1 (en) Passenger management device and passenger management method
JP7622711B2 (en) Information processing device, information processing method, and recording medium
AU2013200450B2 (en)System and method for face capture and matching
JP2003187352A (en)System for detecting specified person
US20100290677A1 (en)Facial and/or Body Recognition with Improved Accuracy
US20170103487A1 (en)Automated border inspection
CN113994399B (en) Visitor management systems and visitor management methods
CN110874908A (en)Verification system
JP2008250830A (en) Attendance confirmation system and attendance confirmation method
CN107516086A (en)A kind of passenger traffic face identification system and method
JP7576950B2 (en) Image processing device, image processing system, image processing method and program
CN117993988A (en)Extraction order processing
CN113744418B (en)Ticket business verification system based on edge cloud integrated environment
CN110276617A (en)Unmanned convenience store enters recognition methods, device, equipment and storage medium
AU2020435745B2 (en)Gate device, authentication system, gate device control method, and storage medium
JP2005018392A (en) Destination guidance system and program
CN116783627A (en)Unordered biometric boarding
WO2021181637A1 (en)Information processing device, information processing method, and computer-readable recording medium
CN117079379B (en)High-tolerance face passing method and system for rail transit and computer program medium
KR20150087456A (en)Insurance service system and method for chauffeur service or valet parking, and recording medium thereof
JP7754274B2 (en) System and information provision method
JP7606625B2 (en) Unattended fairway snack bar management system and method
JP7390266B2 (en) On-vehicle device, passenger management system and passenger management method

Legal Events

DateCodeTitleDescription
PB01Publication
PB01Publication
SE01Entry into force of request for substantive examination
SE01Entry into force of request for substantive examination
GR01Patent grant
GR01Patent grant
CP03Change of name, title or address

Address after:518063 No. 01-03, floor 17, block B, building 10, Shenzhen Bay science and technology ecological park, No. 10, Gaoxin South ninth Road, Yuehai street, Nanshan District, Shenzhen, Guangdong

Patentee after:Global Numerical Technology Co.,Ltd.

Country or region after:China

Address before:No. 01-03, 17th Floor, Building B, Shenzhen Bay Science and Technology Ecological Park, No. 10 Gaoxin South 9th Road, Yuehai Street, Nanshan District, Shenzhen City, Guangdong Province

Patentee before:Global Digital Group Co.,Ltd.

Country or region before:China

CP03Change of name, title or address

[8]ページ先頭

©2009-2025 Movatter.jp