Movatterモバイル変換


[0]ホーム

URL:


CN113742921A - Anti-ship missile warhead explosion scaling model construction method - Google Patents

Anti-ship missile warhead explosion scaling model construction method
Download PDF

Info

Publication number
CN113742921A
CN113742921ACN202111038707.8ACN202111038707ACN113742921ACN 113742921 ACN113742921 ACN 113742921ACN 202111038707 ACN202111038707 ACN 202111038707ACN 113742921 ACN113742921 ACN 113742921A
Authority
CN
China
Prior art keywords
warhead
explosion
explosive
scaling model
model
Prior art date
Legal status (The legal status is an assumption and is not a legal conclusion. Google has not performed a legal analysis and makes no representation as to the accuracy of the status listed.)
Pending
Application number
CN202111038707.8A
Other languages
Chinese (zh)
Inventor
李营
张树山
任宪奔
方岱宁
Current Assignee (The listed assignees may be inaccurate. Google has not performed a legal analysis and makes no representation or warranty as to the accuracy of the list.)
Beijing Institute of Technology BIT
Original Assignee
Beijing Institute of Technology BIT
Priority date (The priority date is an assumption and is not a legal conclusion. Google has not performed a legal analysis and makes no representation as to the accuracy of the date listed.)
Filing date
Publication date
Application filed by Beijing Institute of Technology BITfiledCriticalBeijing Institute of Technology BIT
Priority to CN202111038707.8ApriorityCriticalpatent/CN113742921A/en
Publication of CN113742921ApublicationCriticalpatent/CN113742921A/en
Pendinglegal-statusCriticalCurrent

Links

Images

Classifications

Landscapes

Abstract

Translated fromChinese

本发明公开的一种反舰导弹战斗部爆炸缩比模型构建方法,属于爆炸毁伤、防护技术领域。本发明实现方法为:基于战斗部等效裸装炸药的大小,根据能量守恒计算得到战斗部极限膨胀半径,以及根据不同温度下的材料实验得出材料的泊松比参数,从而确定材料选型;根据所述参数进行等效缩比计算,根据等效缩比计算结果构建反舰导弹战斗部爆炸缩比模型。本发明能够实现在仿真模拟中简化导弹模型的同时保持原有特性,减弱一些非必要因素对仿真预测的影响,使仿真预测更加简便,结果更加准确。本发明能够节约实验成本,提高人员安全性,能够为相关武器战斗部或防护结构等设计及优化提供方便快捷且可靠的参考依据。

Figure 202111038707

The invention discloses a method for constructing an explosion scale model of an anti-ship missile warhead, which belongs to the technical field of explosion damage and protection. The implementation method of the invention is as follows: based on the size of the equivalent naked explosive of the warhead, calculating the limit expansion radius of the warhead according to energy conservation, and obtaining the Poisson's ratio parameter of the material according to material experiments at different temperatures, so as to determine the material selection ; Carry out the equivalent scaling calculation according to the parameters, and construct the anti-ship missile warhead explosion scaling model according to the equivalent scaling calculation results. The invention can realize the simplification of the missile model in the simulation simulation while maintaining the original characteristics, weaken the influence of some unnecessary factors on the simulation prediction, and make the simulation prediction simpler and the result more accurate. The invention can save the experiment cost, improve the safety of personnel, and can provide a convenient, fast and reliable reference basis for the design and optimization of warheads or protective structures of related weapons.

Figure 202111038707

Description

Anti-ship missile warhead explosion scaling model construction method
Technical Field
The invention relates to a method for constructing a warship-resisting missile warhead scaling model, and belongs to the technical field of explosive damage and protection.
Background
Anti-ship missiles have been characterized by high concealment and accurate attack. In the development process of recent years, anti-ship missiles can achieve sea-skimming flight and avoid radar detection, and the charge equivalent of the warhead of the anti-ship missiles is continuously improved. Anti-ship missiles are very destructive, and two destructive loads, namely shock waves and high-speed fragments, are usually generated after the warhead explodes. Such explosive impacts can often cause catastrophic damage to the ship, resulting in serious consequences such as equipment damage, ship sinking, casualties, and the like.
The main type of the anti-ship missile is a semi-penetration type, and the physical process of explosion damage when the anti-ship missile enters a large-scale surface ship cabin and the related protection mechanism are very complicated. The process relates to the multidisciplinary cross problems of explosive detonation, combustion, failure of materials under dynamic complex stress states, dynamic plastic response of a cabin structure under coupled load, water fragmentation and phase change and the like, and has very important scientific research value.
At present, some researches mainly aim to research the explosion in the warship missile warhead cabin through modes such as electromagnetic loading and the like to research the low-speed expansion fragmentation rule, the fragment mass distribution rule of a column shell structure under the condition of explosion, the strain rate rule of shell expansion fracture and the like. The researches provide theoretical basis for the construction method of the scaling model of the explosive missile in the warhead cabin of the anti-ship missile. The existing device for measuring the explosive load impulse in the cabin of the ship is usually a mechanical sensor, a shock wave overpressure measuring system and a maximum pressure sensor system. Sensor measurement data are obtained through an explosion experiment in the warship-resisting missile warhead cabin, and the explosion load impulse is obtained through computer processing calculation and rapid evaluation, so that a design basis is provided for the method.
Because the anti-ship missile has the characteristics of complex structure and high cost, for the problems of protection design, missile attack design and the like, the data acquisition performance improvement performance cannot be realized through multiple experiments. The best solution is by computer simulation. In the computer simulation process, the anti-ship missile is too complex in structure, the problems of coupling of a shell material, the quantity of explosives, fluid and solid of various media such as air and the like are involved, a large amount of computing resources and time are consumed in the modeling and finite element analysis processes, and the accuracy and reliability of the anti-ship missile are difficult to verify due to the fact that the influence of the size of a grid is large in the finite element guideline process. Therefore, a scheme is urgently needed to realize the anti-ship missile, which can be simply simulated by a computer and can keep various original characteristics.
Disclosure of Invention
The invention aims to provide a method for constructing an anti-ship missile warhead explosion scaling model, which is characterized in that based on the size of an equivalent naked explosive of a warhead, the ultimate expansion radius of the warhead is obtained according to energy conservation calculation, and Poisson ratio parameters of materials are obtained according to material experiments at different temperatures, so that the material selection is determined; and performing equivalent scaling calculation according to the parameters, and constructing an anti-ship missile warhead explosion scaling model according to the equivalent scaling calculation result. The invention can simplify the missile model in the simulation, simultaneously keep the original characteristics, weaken the influence of some unnecessary factors on the simulation prediction, and ensure that the simulation prediction is simpler and more convenient and the result is more accurate. The invention can save the experiment cost, improve the personnel safety, and provide a convenient, rapid and reliable reference basis for the design and optimization of the warhead or the protection structure of the related weapon and the like.
The purpose of the invention is realized by the following technical scheme.
The invention discloses a method for constructing an anti-ship missile warhead explosion scaling model, which comprises the following steps of:
after the explosive explosion of the warhead, the internal energy and the kinetic energy of detonation products and the kinetic energy of high-speed fragments are finally converted into quasi-static air pressure to act on a structure, and the size of the equivalent bare explosive is calculated by measuring the quasi-static pressure;
step two, neglecting energy loss caused by the streaming effect of the explosive products, and calculating to obtain the ultimate expansion radius of the warhead through the energy conservation principle;
step three, determining the radius-thickness ratio of the shell according to the failure mode of the warhead;
selecting a proper material model according to material fracture experiments under different temperatures, different strain rates and various stresses;
step five, determining materials according to the equivalent bare charge size obtained in the step one, the limit expansion radius obtained in the step two, the diameter-thickness ratio of the shell obtained in the step three and the material determined in the step four, and according to the characteristic parameters of the explosive load in the cabin, such as the overpressure peak value delta p, the impulse i and the quasi-static pressure p of the shock waveqsAnd the explosive characteristics, air characteristics, structure, material and position parameters are combined to complete the establishment of the warship-resisting missile warhead explosion scaling model through impulse similarity law, proportion law and dimensional analysis.
Further comprises the following steps: and (4) predicting the mechanical property of the explosion of the anti-ship missile warhead explosion scaling model according to the anti-ship missile warhead explosion scaling model constructed in the step five, and supporting the design and optimization of the warhead or protective structure of the related weapon.
The method for calculating the equivalent bare charge size by measuring the quasi-static pressure comprises the following steps of;
Figure BDA0003248381370000021
in the formula: mEBCCalculating equivalent TNT equivalent, kg, for the shock wave pressure load of the warhead; mchargeIs the TNT equivalent of the actual loading of the warhead, kg; mcaseIs the warhead shell mass, kg.
High speed initial speed V of fragment0The calculation formula is as follows:
Figure BDA0003248381370000031
in the formula: m issThe warhead housing mass, and E the characteristic energy of the warhead charge.
The characteristic energy E of the charge of the warhead is:
Figure BDA0003248381370000032
d is the explosive loading detonation velocity of the warhead;
further, the required payload equivalent bare charge size W in step one is:
Figure BDA0003248381370000033
in the formula: efkFor total kinetic energy of the fragments, EtotalThe total internal energy of the warhead is charged.
Step two, the limit expansion radius R of the warhead0Solved by the following equation:
Figure BDA0003248381370000034
in the formula: rhofAnd hfThe warhead material density and the shell thickness, ρeIs the charge density, r0Is the initial radius of the warhead housing.
Step three, determining the radius-thickness ratio of the shell according to the failure mode of the warhead:
Figure BDA0003248381370000035
according to the stress state and the microscopic damage fracture mechanism at the later stage of the deformation of the expansion ring in the warhead,
and the generated stretching and shearing failure forms to determine the required diameter-thickness ratio in the third step:
Figure BDA0003248381370000036
in the formula: r and R are the outer diameter and the inner diameter of the expanded warhead respectively. Typical failures include ductile necking failures, composite failures, and shear failures.
Selecting a proper material model according to material fracture experiments under different temperatures, different strain rates and various stresses;
further, material deformation is generally divided into four typical phases, an overall plastic phase, a stable necking phase, a local necking development phase, and a final fracture phase. And obtaining the elastic limit, the tensile strength and the yield stress parameters of the material according to the deformation of the four stages, thereby calculating the Young modulus or Poisson ratio of the material and further determining the material required by the step four.
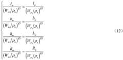
Step five, determining materials according to the equivalent bare charge size obtained in the step one, the limit expansion radius obtained in the step two, the diameter-thickness ratio of the shell obtained in the step three and the material determined in the step four, and according to the characteristic parameters of the explosive load in the cabin, such as the overpressure peak value delta p, the impulse i and the quasi-static pressure p of the shock waveqsAnd the explosive characteristics, air characteristics, structure, material and position parameters are constructed by an impulse similarity law, a proportional law and a dimensional analysis method according to the explosive compression ratio model of the warship-resisting missile warhead.
(1) Explosive parameters: mass W of explosive and density rho of explosiveeEnergy e released by unit mass of explosive explosion and adiabatic index gamma of expansion producte
(2) Air parameters: initial state pressure p0Air density ρaAir adiabatic index gammaa
(3) Structural parameters are as follows: the length l, the width b and the height h of the cabin;
(4) position parameters: the distance R between the explosion-facing surface and the explosive.
The length L, the mass M and the time T are taken as basic dimensions, and the dimensions of each physical parameter are shown in Table 1.
TABLE 1 characteristic dimension of explosive load in cabin
Figure BDA0003248381370000041
Further, according to Π's law, the expression of shock wave pressure and related factors of influence is:
Δp=f(W,ρe,e,γe,p0a,l,b,h,ρa,R) (7)
removing influence of factors such as dimensionless quantity and the like, and simplifying into:
Δp=f(W,ρe,e,p0,l,b,h,ρa,R) (8)
with W, rhoeAnd e is a basic quantity, (8) expressed as a dimensionless formula
Figure BDA0003248381370000051
The explosive types, the warhead shell materials and the air parameters of the scaling model and the original model are the same, and then
eae,e,p0a)=const (10)
Then equation (9) is simplified to
Figure BDA0003248381370000052
According to the similarity rate, if the blast overpressure delta p of the warhead scaling model is required to be reducedmExplosion overpressure delta p of original modelpEqual, then:
Figure BDA0003248381370000053
in the formula, a subscript p represents a prototype, and a subscript m represents a model. From the law of proportionality, the pressure satisfies the following relationship
Δpp=Δpm (13)
The impulse similarity is:
Figure BDA0003248381370000054
likewise, it can be derived from the law of proportionality
Figure BDA0003248381370000055
Obtained by adopting similar analysis method and dimensional analysis method
pqsp=pqsm (16)
And completing the construction of the anti-ship missile warhead explosion scaling model.
Advantageous effects
1. Accuracy and authenticity in anti-ship missile simulation analysis are difficult to guarantee, but full-size anti-ship missiles are high in experiment cost, high in difficulty and long in time consumption. The invention discloses a method for constructing an anti-ship missile warhead explosion scaling model, which obtains an equivalent model of an anti-ship missile warhead explosive and an equivalent model of a shell through theoretical derivation calculation, realizes the test of replacing a full-size missile through the test of the scaling model, reduces the test cost and difficulty and shortens the test period.
2. The invention discloses a method for constructing an anti-ship missile warhead explosion scaling model, which is characterized in that on the basis of the size of an equivalent naked explosive of a warhead, the ultimate expansion radius of the warhead is obtained through calculation according to energy conservation, and Poisson ratio parameters of materials are obtained through material experiments at different temperatures, so that the material selection is determined; and then, carrying out equivalent scaling calculation according to the parameters, and constructing an anti-ship missile warhead explosion scaling model according to the equivalent scaling calculation result.
3. The anti-ship missile warhead explosion scaling model construction method disclosed by the invention can simplify the missile model in simulation, simultaneously keep the original characteristics, weaken the influence of some unnecessary factors on simulation prediction, make the simulation prediction more convenient and make the result more accurate. The invention can save the experiment cost, improve the personnel safety, and provide a convenient, rapid and reliable reference basis for the design and optimization of the warhead or the protection structure of the related weapon and the like.
Drawings
FIG. 1 is a flow chart of a method for constructing an anti-ship missile warhead explosion scaling model according to the invention.
FIG. 2 is a scaled warhead model object diagram constructed according to the construction method.
Detailed Description
The specific steps of the scaling model can be intuitively understood by combining the attached figure 1, and the construction of the scaling model of the explosive missile in the warhead cabin of the anti-ship missile can be completed by implementing the steps. The invention is explained below with reference to the example of a semi-piercing single-vessel missile, which is merely illustrative and not restrictive.
In the embodiment, a scaling model of an explosive missile in a warhead cabin of a semi-penetration single-ship missile is constructed, firstly, a series of required parameters are obtained through measurement and experiments, and the calculation and the description are carried out step by step through five steps. Firstly, air is simplified into an ideal medium, no dissipation exists in the propagation of sound waves in the air, the sound velocity and the density of the air are always kept unchanged, and the sound velocity and the density are respectively assumed to be 346m/s and 1.185kg/m3. Models with the scaling ratios of 1/2, 1/3, 1/4, 1/5, 1/6, 1/8 and 1/10 are respectively established by referring to the original models. Take a scale model of 1/3 scale as an example.
As shown in fig. 1, the method for constructing the anti-ship missile warhead explosion scaling model disclosed in this embodiment specifically includes the following steps:
step 1, after the explosive explosion of the warhead, the internal energy and the kinetic energy of detonation products and the kinetic energy of high-speed fragments are finally converted into quasi-static air pressure to act on a structure, and the equivalent bare explosive size is calculated by measuring the quasi-static pressure; the mass of the fragments of the warhead explosion is 0.055kg, the initial speed of the fragments of the warhead explosion is 2000m/s, and the flying angle of the fragments of the warhead is 3.5 degrees, so that the equivalent TNT equivalent of the warhead is calculated to be 200kg, and the equivalent TNT of the shock wave pressure load is calculated to be 125 kg.
Step 2, assuming that the initial expansion speed is 100m/s in the expansion fragmentation process, wherein the whole expansion process comprises four stages, (1) an integral plasticity stage (0-18.03 mu s): as the expansion ring expands, the whole body deforms uniformly, and generates larger plasticity, and the plastic temperature rise can reach 204K. (2) Stable necking stage (18.03-25.2 μ s): the plastic deformation of local area is increased sharply, and a series of necking is formed; plastic deformation of the non-necked region ceases and the temperature no longer increases (3) the local necking development phase (25.2-29.4 μ s): over time, the partly necked region develops rapidly, the temperature rise further accelerating; a part of the necking is then inhibited (stressed necking) by the unloading of the carriers formed by the adjacent rapidly developing necking zone and finally becomes residual necking in the fragment; (4) in the final fragmentation phase (after 29.4 μ s), local fractures are formed, and the fragmentation formation phase. Neglecting energy loss caused by the streaming effect of the explosive product, and calculating to obtain the ultimate expansion radius of the warhead to be 0.8m according to the energy conservation principle;
step 3, determining that the diameter-thickness ratio of the shell is 0.33 by using the failure mode of the warhead mainly as shear failure and the damage mode as composite damage, wherein the ductile reaming damage and the shear damage of the material both exist;
and 4, selecting a material model at room temperature, obtaining the length of the half-penetration single-ship missile of 0.9m, the Young modulus of 200GPa and the Poisson ratio of 0.25 according to the given material parameters, setting and importing the parameters into ABAQUS for simulation analysis and test.
And 5, substituting the obtained parameters into an impulse similarity law formula and a proportional formula, and reducing the model to 0.2m by calculation, wherein the size is reduced by three times compared with the previous size, and the error is about 3.5%. The experiment results of the scale models of all proportions are shown in figure 2, and the experiment results are basically consistent with the simulation results. In consideration of the precision error of experimental test, the calculation result is well matched with the experimental value in the literature, and the requirement of engineering application can be met. Theoretically, the scaling rule provided by the method can be suitable for model tests under any scaling proportion, and the larger the scaling multiple is, the more the cost is saved. However, in actual tests and simulation analysis, as the scaling factor is increased, the external parameters are changed greatly, which will affect the test precision and increase the error. And with the increase of the scaling factor, the size of the model is gradually reduced, the difficulty of processing and manufacturing is increased, and parameters such as the strength of the material are influenced, so that an appropriate scaling ratio is selected in an actual test.
Step 6: and (5) predicting the mechanical property of the explosion of the anti-ship missile warhead explosion scaling model according to the anti-ship missile warhead explosion scaling model established in the step 5, and supporting the design and optimization of the warhead or the protection structure of the related weapon.
The invention can simplify more complex experiments, and the prior scaling configuration inspection and relevant experimental parameter collection are used for other researches and the like.
The above detailed description is intended to illustrate the objects, aspects and advantages of the present invention, and it should be understood that the above detailed description is only exemplary of the present invention and is not intended to limit the scope of the present invention, and any modifications, equivalents, improvements and the like made within the spirit and principle of the present invention should be included in the scope of the present invention.

Claims (8)

1. A method for constructing an anti-ship missile warhead explosion scaling model is characterized by comprising the following steps: comprises the following steps of (a) carrying out,
after the explosive explosion of the warhead, the internal energy and the kinetic energy of detonation products and the kinetic energy of high-speed fragments are finally converted into quasi-static air pressure to act on a structure, and the size of the equivalent bare explosive is calculated by measuring the quasi-static pressure;
step two, neglecting energy loss caused by the streaming effect of the explosive products, and calculating to obtain the ultimate expansion radius of the warhead through the energy conservation principle;
step three, determining the radius-thickness ratio of the shell according to the failure mode of the warhead;
selecting a proper material model according to material fracture experiments under different temperatures, different strain rates and various stresses;
step five, determining materials according to the equivalent bare charge size obtained in the step one, the limit expansion radius obtained in the step two, the diameter-thickness ratio of the shell obtained in the step three and the material determined in the step four, and according to the characteristic parameters of the explosive load in the cabin, such as the overpressure peak value delta p, the impulse i and the quasi-static pressure p of the shock waveqsAnd the explosive characteristics, air characteristics, structure, material and position parameters are combined to complete the construction of the warship-resisting missile warhead explosion scaling model through impulse similarity law, proportion law and dimensional analysis.
2. The method for constructing the anti-ship missile warhead explosion scaling model according to claim 1, wherein the method comprises the following steps: and step six, predicting the mechanical property of the explosion of the anti-ship missile warhead explosion scaling model according to the anti-ship missile warhead explosion scaling model constructed in the step five, supporting the design and optimization of the relevant weapon warhead or protective structure, improving the performance of the relevant weapon warhead or protective structure and solving the relevant engineering technical problem.
3. The method for constructing the anti-ship missile warhead explosion scaling model as claimed in claim 1 or 2, wherein the method comprises the following steps: the method for calculating the equivalent bare charge size by measuring the quasi-static pressure comprises the following steps of;
Figure FDA0003248381360000011
in the formula: mEBCCalculating equivalent TNT equivalent, kg, for the shock wave pressure load of the warhead; mchargeIs the TNT equivalent of the actual loading of the warhead, kg; mcaseIs the warhead shell mass, kg;
high speed initial speed V of fragment0The calculation formula is as follows:
Figure FDA0003248381360000012
in the formula: m issThe mass of the shell of the warhead, and E the characteristic energy of the charge of the warhead;
the characteristic energy E of the charge of the warhead is:
Figure FDA0003248381360000021
d is the explosive loading detonation velocity of the warhead.
4. The anti-ship missile warhead explosion scaling model construction method of claim 3, characterized by comprising the following steps: the required equivalent bare charge size W of the warhead in the first step is as follows:
Figure FDA0003248381360000022
in the formula: efkFor total kinetic energy of the fragments, EtotalThe total internal energy of the warhead is charged.
5. The anti-ship missile warhead explosion scaling model construction method of claim 4, characterized by comprising the following steps: step two, the limit expansion radius R of the warhead0Solved by the following equation:
Figure FDA0003248381360000023
in the formula: rhofAnd hfThe warhead material density and the shell thickness, ρeIs the charge density, r0Is the initial radius of the warhead housing.
6. The anti-ship missile warhead explosion scaling model construction method of claim 5, characterized by comprising the following steps:
determining the radius-thickness ratio required by the third step according to the stress state and the microscopic damage fracture mechanism at the later stage of the deformation of the expansion ring in the warhead and the generated tensile and shear failure modes:
Figure FDA0003248381360000024
in the formula: r and R are respectively the outer diameter and the inner diameter of the expanded warhead; typical failures include ductile necking failures, composite failures, and shear failures.
7. The anti-ship missile warhead explosion scaling model construction method of claim 6, characterized by comprising the following steps: in the fourth step, the deformation of the material is generally divided into four typical stages, namely an overall plasticity stage, a stable necking stage, a local necking development stage and a final fragmentation stage; and obtaining the elastic limit, the tensile strength and the yield stress parameters of the material according to the deformation of the four stages, thereby calculating the Young modulus or Poisson ratio of the material and further determining the material required by the step four.
8. The method for constructing the anti-ship missile warhead explosion scaling model as recited in claim 7, wherein the method comprises the following steps: in the fifth step, the first step is that,
(1) explosive parameters: mass W of explosive and density rho of explosiveeEnergy e released by unit mass of explosive explosion and adiabatic index gamma of expansion producte
(2) Air parameters: initial state pressure p0Air density ρaAir adiabatic index gammaa
(3) Structural parameters are as follows: the length l, the width b and the height h of the cabin;
(4) position parameters: the distance R between the explosion-facing surface and the explosive;
the length L, the mass M and the time T are taken as basic dimensions, and the dimensions of all physical parameters are shown in a table 1;
TABLE 1 characteristic dimension of explosive load in cabin
Figure FDA0003248381360000031
According to Π's law, the expression of shock wave pressure and related factors of influence is:
Δp=f(W,ρe,e,γe,p0a,l,b,h,ρa,R) (7)
removing influence of factors such as dimensionless quantity and the like, and simplifying into:
Δp=f(W,ρe,e,p0,l,b,h,ρa,R) (8)
with W, rhoeAnd e is a basic quantity, (8) expressed as a dimensionless formula
Figure FDA0003248381360000032
The explosive types, the warhead shell materials and the air parameters of the scaling model and the original model are the same, and then
eae,e,p0a)=const (10)
Then equation (9) is simplified to
Figure FDA0003248381360000033
According to the similarity rate, if the blast overpressure delta p of the warhead scaling model is required to be reducedmExplosion overpressure delta p of original modelpEqual, then satisfy:
Figure FDA0003248381360000041
in the formula, subscript p represents a prototype, and subscript m represents a model; from the law of proportionality, the pressure satisfies the following relationship
Δpp=Δpm (13)
The impulse similarity is:
Figure FDA0003248381360000042
likewise, it follows from the law of proportionality
Figure FDA0003248381360000043
Obtained by means of dimensional analysis
pqsp=pqsm (16)
And completing the construction of the anti-ship missile warhead explosion scaling model.
CN202111038707.8A2021-09-062021-09-06Anti-ship missile warhead explosion scaling model construction methodPendingCN113742921A (en)

Priority Applications (1)

Application NumberPriority DateFiling DateTitle
CN202111038707.8ACN113742921A (en)2021-09-062021-09-06Anti-ship missile warhead explosion scaling model construction method

Applications Claiming Priority (1)

Application NumberPriority DateFiling DateTitle
CN202111038707.8ACN113742921A (en)2021-09-062021-09-06Anti-ship missile warhead explosion scaling model construction method

Publications (1)

Publication NumberPublication Date
CN113742921Atrue CN113742921A (en)2021-12-03

Family

ID=78736008

Family Applications (1)

Application NumberTitlePriority DateFiling Date
CN202111038707.8APendingCN113742921A (en)2021-09-062021-09-06Anti-ship missile warhead explosion scaling model construction method

Country Status (1)

CountryLink
CN (1)CN113742921A (en)

Cited By (4)

* Cited by examiner, † Cited by third party
Publication numberPriority datePublication dateAssigneeTitle
CN115587427A (en)*2022-10-132023-01-10华中科技大学Cabin model implosion response prediction method and system considering similar distortion effect
CN115791459A (en)*2022-09-292023-03-14西安近代化学研究所 A method for evaluating the impact safety of explosive charge bullets based on equivalent model tests
CN118504276A (en)*2024-06-212024-08-16中国人民解放军总医院第六医学中心 A method and device for simulating combined injury of human body by shock wave and fragments
CN119026309A (en)*2024-06-262024-11-26南京理工大学 A scaled-down test method based on penetration fuze impulse equivalence

Citations (3)

* Cited by examiner, † Cited by third party
Publication numberPriority datePublication dateAssigneeTitle
KR101336041B1 (en)*2013-06-132013-12-04국방과학연구소Weapon effectiveness evaluation method for penetrating munitions against a tunnel target
CN203475296U (en)*2013-07-022014-03-12武汉理工大学Device for resisting explosion shock for pier
CN107421823A (en)*2017-06-012017-12-01北京理工大学A kind of indoor environment explosion-proof performance test device of composite and flexible explosion-protection equipment

Patent Citations (3)

* Cited by examiner, † Cited by third party
Publication numberPriority datePublication dateAssigneeTitle
KR101336041B1 (en)*2013-06-132013-12-04국방과학연구소Weapon effectiveness evaluation method for penetrating munitions against a tunnel target
CN203475296U (en)*2013-07-022014-03-12武汉理工大学Device for resisting explosion shock for pier
CN107421823A (en)*2017-06-012017-12-01北京理工大学A kind of indoor environment explosion-proof performance test device of composite and flexible explosion-protection equipment

Non-Patent Citations (3)

* Cited by examiner, † Cited by third party
Title
李营: "反舰导弹舱内爆炸作用下舱室结构毁伤与防护机理", 中国优秀博硕士学位论文全文数据库(博士)工程科技II辑, no. 2, pages 27 - 28*
杨亚东等: "密闭空间内爆炸缩比相似模型研究", 振动与冲击, vol. 33, no. 2, pages 128 - 133*
陈长海: "破片式战斗部空中爆炸下冲击波与破片先后作用的临界爆距研究", 海军工程大学学报, vol. 20, no. 2, pages 18 - 23*

Cited By (4)

* Cited by examiner, † Cited by third party
Publication numberPriority datePublication dateAssigneeTitle
CN115791459A (en)*2022-09-292023-03-14西安近代化学研究所 A method for evaluating the impact safety of explosive charge bullets based on equivalent model tests
CN115587427A (en)*2022-10-132023-01-10华中科技大学Cabin model implosion response prediction method and system considering similar distortion effect
CN118504276A (en)*2024-06-212024-08-16中国人民解放军总医院第六医学中心 A method and device for simulating combined injury of human body by shock wave and fragments
CN119026309A (en)*2024-06-262024-11-26南京理工大学 A scaled-down test method based on penetration fuze impulse equivalence

Similar Documents

PublicationPublication DateTitle
CN113742921A (en)Anti-ship missile warhead explosion scaling model construction method
Grisaro et al.Numerical study of velocity distribution of fragments caused by explosion of a cylindrical cased charge
Zhu et al.A review of blast and impact of metallic and sandwich structures
CN113654925A (en)Method for constructing explosion ship scaling model in anti-ship missile warhead cabin
Li et al.Effects of control parameters of three-point initiation on the formation of an explosively formed projectile with fins
Ren et al.The scaling laws of cabin structures subjected to internal blast loading: Experimental and numerical studies
Cayzac et al.Computational fluid dynamics and experimental validations of the direct coupling between interior, intermediate and exterior ballistics using the Euler equations
Ma et al.Experimental and numerical investigation of blast loads induced by moving charge explosion
Wang et al.Effect of initiation manners on the scattering characteristics of semi-preformed fragment warhead
CN118607270A (en) A missile weapon damage simulation evaluation method
Wang et al.The Fluid‐Solid Interaction Dynamics between Underwater Explosion Bubble and Corrugated Sandwich Plate
Verberne et al.Dynamics of precision-guided projectile launch: fluid–structure interaction
Jiang et al.Influence of multiple structural parameters on buffer performance of a thin‐walled circular tube based on the coupling modeling technique
Zhang et al.Characterization of underwater explosive loads of blasting and shaped charges
Maulana et al.Assessment of steel pipe-shaped structure under blast loading: A benchmark and parametric study using finite element approach
Dhouibi et al.Modeling and simulation of the engraving process in different life stages of small caliber guns
Zhang et al.Energy output of shaped charge in underwater explosion
Mehreganian et al.Dynamic analysis of cylindrical shells subject to multiple blasts using FSI
Chevalier et al.Assessment of the lifetime of gun barrels under high-speed moving loads
Yu et al.Numerical simulation and analysis of the muzzle flow during the revolving barrel gun firing
CN113740154B (en)Global characterization method for constitutive parameters of impact dynamic anisotropy and plasticity of metal plate
Rahmani et al.Experimental and numerical optimization study of shock wave damping in aluminum panel sandwich
Liu et al.An efficient and accurate numerical method for simulating close-range blast loads of cylindrical charges based on neural network
Hsu et al.The study on the dynamic response of cylindrical pressure hull on the different shock loading empirical formula
Silva et al.Numerical simulation and experimental study of flowfield around a bullet with a partial core

Legal Events

DateCodeTitleDescription
PB01Publication
PB01Publication
SE01Entry into force of request for substantive examination
SE01Entry into force of request for substantive examination
RJ01Rejection of invention patent application after publication

Application publication date:20211203

RJ01Rejection of invention patent application after publication

[8]ページ先頭

©2009-2025 Movatter.jp