Movatterモバイル変換


[0]ホーム

URL:


CN113736285A - Ultraviolet light excited fluorescent dye and application thereof - Google Patents

Ultraviolet light excited fluorescent dye and application thereof
Download PDF

Info

Publication number
CN113736285A
CN113736285ACN202111140112.3ACN202111140112ACN113736285ACN 113736285 ACN113736285 ACN 113736285ACN 202111140112 ACN202111140112 ACN 202111140112ACN 113736285 ACN113736285 ACN 113736285A
Authority
CN
China
Prior art keywords
compound
dye
carrier molecule
group
fluorescent dye
Prior art date
Legal status (The legal status is an assumption and is not a legal conclusion. Google has not performed a legal analysis and makes no representation as to the accuracy of the status listed.)
Pending
Application number
CN202111140112.3A
Other languages
Chinese (zh)
Inventor
王晓飞
毛飞
Current Assignee (The listed assignees may be inaccurate. Google has not performed a legal analysis and makes no representation or warranty as to the accuracy of the list.)
Biotium Biological Science & Technology Shanghai Co ltd
Original Assignee
Biotium Biological Science & Technology Shanghai Co ltd
Priority date (The priority date is an assumption and is not a legal conclusion. Google has not performed a legal analysis and makes no representation as to the accuracy of the date listed.)
Filing date
Publication date
Application filed by Biotium Biological Science & Technology Shanghai Co ltdfiledCriticalBiotium Biological Science & Technology Shanghai Co ltd
Priority to CN202111140112.3ApriorityCriticalpatent/CN113736285A/en
Publication of CN113736285ApublicationCriticalpatent/CN113736285A/en
Pendinglegal-statusCriticalCurrent

Links

Images

Classifications

Landscapes

Abstract

The invention discloses an ultraviolet light excited fluorescent dye and application thereof, and particularly relates to a compound of a general formula (I), wherein all groups are described in the specification, and the invention also relates to a dye-conjugate and application thereof in antibody detection. The fluorescent dye of the invention has both active groups and water-soluble polymer groups, can be excited by 405nm laser, and has good water solubility, remarkably reduces the influence on biological activity and has the effect of higher fluorescent signal in shorter wavelength.

Description

Ultraviolet light excited fluorescent dye and application thereof
The invention is a divisional application of Chinese invention patent with the application date of 2020, 03 and 18, the application number of 202010189742.9, and the name of the invention is ultraviolet light excited fluorescent dye and the application thereof.
Technical Field
The present invention relates to fluorescent dyes, in particular to ultraviolet light excited fluorescent dyes and their use, in particular their use in neuropathology, immunology, pathology and proteomics.
Background
With the development of new microscopy techniques and the advent of various synthetic and natural fluorescent molecules, fluorescence microscopy has become a fundamental tool in cell biology. Fluorescently labeled target molecules or organelles can be used to study the structure and function of cells. Fluorochromes can be used as tracers to localize biological structures using fluorescence microscopy, to quantify analytes using fluorescence immunoassay, to analyze cells using flow cytometry, to determine the physical state of cells, and other applications. Fluorescent dyes are generally highly sensitive compared to other types of absorbing dyes, and their absorption and emission wavelengths are different, and fluorescence emission is typically detected by optical excitation, with a low fluorescence background in most biological samples, and their inherent optical properties such as fluorescence polarity, fluorescence lifetime, and excited state energy transfer are all measurable. Fluorescent dyes are widely used in daily examinations or disease diagnosis of physiological functions of patients, and can simultaneously monitor the effects of harmful chemicals such as toxins or carcinogenic pesticides exposed to the environment or harmful inorganic substances in the air, mud or drinking water on workers, determine the therapeutic effects of drugs, scan the promotion or inhibition of specific enzymes by novel compounds, monitor gene and transgene expression, and some other biological applications such as immunoenzyme-linked reaction and Western blotting (Western Blots).
In research and diagnostic processes, there is a need for rapid and efficient detection or quantification of organic compounds, biological compounds and biological analytes. It would be particularly desirable to provide a method for detecting small amounts of nucleic acids, polypeptides, drugs, metabolic products and micro-tissues. For example, for therapeutic purposes, it is necessary to know the conditions of narcotics, intoxications, drugs, and also the disease states that are reflected by hormones, pathological microtissues, viruses, antibodies, enzymes, nucleic acids, etc., and optical detection (fluorescence emission, uv absorption, colorimetry) for monitoring and measuring fluorescence is a traditional and efficient assay that can be used to qualitatively or quantitatively detect the desired information by direct observation or instrumental detection.
The use of fluorescent dyes as tracers generally requires the formation of chemical covalent bonds between dyes and biologically active ligands such as cells, tissues, proteins, antibodies, drugs, enzymes, hormones, nucleic acids, polysaccharides, lipids or other biomolecules or the linking of dyes to natural or synthetic polymers (carrier molecules) to form synthetic probes (fluorescent probe/dye-couplers) with which the biomolecules generally undergo biochemical changes that can be detected qualitatively or quantitatively.
Uv excitation has its inherent weaknesses such as photobleaching and damage to labels, but in multicolor fluorescence applications such as immunofluorescence, nucleic acid, proteomics, in situ hybridization and neural tracking, blue fluorescent probes can be clearly distinguished from green, yellow, orange and red fluorescent probes (dye-couplers).
Semiconductor lasers, also known as diodes, are laser devices that are made of semiconductor materials as working substances, are mature earlier and develop faster, and have the characteristics of wide wavelength range, simple manufacture, low cost, easy mass production, small volume, light weight, long service life and the like, so that the semiconductor lasers have the advantages of fast variety development, wide application range and easy electronic integration with various optoelectronic devices, such as 405nm lasers. At present, suitable dyes capable of being excited by a 405nm laser are available, such as Cascade Blue, Cascade Yellow and Pacific Blue and Pacific Orange, among others. To reduce aggregation in biological applications, most dyes contain sulfonic acid groups, and although sulfonation can reduce dimer formation and increase the water solubility of the dye, it also introduces negative charges into the biomolecule, thereby potentially increasing the risk of destroying the biological activity of the labeled biomolecule.
Thus, there is still a need to develop suitable dyes that can be excited by a 405nm laser. The currently existing ultraviolet laser excited dyes generally have weak absorption at a wavelength of about 405nm (molar extinction coefficient at maximum absorption is less than 20000 cm)-1·M-1) Low quantum yield and dissolution in aqueous environmentAnd (5) degree difference. These disadvantages limit their application in the field of biology. Cascade Yellow is a common ultraviolet light excited dye, however, such dyes, when bound to a carrier molecule or solid support, readily form dimers and tend to form aggregates in aqueous systems, whereas dyes with broad spectra are known to have significant fluorescent background under suitable ultraviolet light excitation (typically 515-525 nm). In addition, many known dyes undergo quenching in aqueous solution, which leads to a decrease in fluorescence quantum yield, a decrease in detection sensitivity, or a need to increase the amount of the dye used.
In view of the above, there is an urgent need to develop a fluorescent dye having a reactive group suitable for an ultraviolet laser (e.g., 405nm laser). Such dyes need to be characterized by good water solubility, significantly reduced impact on biological activity and higher fluorescence signal at shorter wavelengths.
Disclosure of Invention
In view of the above, the invention discloses a class of ultraviolet light excited fluorescent dyes and applications thereof. The ultraviolet light excited fluorescent dye has the advantages of good water solubility, capability of obviously reducing the influence on biological activity, higher fluorescent signal in shorter wavelength and the like.
One of the technical problems to be solved by the invention is to provide a novel compound (i.e. a compound of a general formula I), which can be used as an ultraviolet light excited fluorescent dye, wherein the fluorescent dye simultaneously comprises a water-soluble polymer and an active group;
the second technical problem to be solved by the present invention is to provide a method for preparing a fluorescent dye-conjugate;
the third technical problem to be solved by the invention is to provide the application of the fluorescent dye and the fluorescent dye-conjugate.
In order to achieve the purpose, the invention adopts the following technical scheme:
an ultraviolet light excited fluorescent dye having the structure of formula I:
Figure BDA0003283516270000031
in formula I:
x, Y and Z are each independently selected from: C. CR1、N、NR3、S、O、Se、P、Si,As、C-C、CR1-CR2、NR3-NR4(ii), S-S, where at least one of X, Y and Z is not C or C-C;
w is N or C;
R1、R2、R3、R4、R5、R6、R7、R9and R10Each independently selected from: H. c1-8Alkyl radical, C1-8Substituted alkyl, C1-8Alkoxy, hydroxyl, sulfonic group, S, halogen, amino, substituted amino, aldehyde group, carboxyl group, ester group, azide group, nitroso group, cyano group, thioether group, C5-7Ring, C5-7Containing heterocyclic rings, substituted C5-7Cyclic, substituted C5-7Containing heterocyclic, reactive or water-soluble polymer groups, or R1、R2、R3、R4、R5、R6、R7、R9And R10R in (1)1And R2、R3And R4、R5And R6And R9And R10Are respectively connected to form a saturated or unsaturated five-membered ring, a six-membered ring or a seven-membered ring;
R8is H, C1-8Alkyl radical, C1-8Substituted alkyl, C5-7Ring, C5-7Containing heterocyclic rings, substituted C5-7Cyclic, substituted C5-7Containing heterocyclic, reactive or water-soluble polymer radicals, or with R7Are connected to form a saturated or unsaturated five-membered ring, six-membered ring or seven-membered ring;
R1-R4each independently selected from: H. c1-8Alkyl radical, C1-8Substituted alkyl, C1-8Alkoxy, hydroxyl, sulfonic acid, halogen, amino, substituted amino, aldehyde, carboxyl, ester, azido, nitro, nitroso, cyano or thioether;
at R1、R2、R3、R4、R5、R6、R7、R8、R9And R10At least one reactive group and at least one water-soluble polymer group are present.
According to one aspect of the invention, X is C or CR1Wherein R is1Is a sulfonic acid group; y is N; z is O or S; w is N; r1、R2、R5、R6、R7、R9And R10All are H; r3、R4、R8Independently of each other selected from: sulfonic acid groups, reactive groups, or water-soluble polymers.
According to one aspect of the invention, the reactive group comprises: acrylamide, activated esters of carboxylic acids, carboxylic esters, acyl azides, acyl cyanides, aldehydes, halogen-substituted aromatic rings, anhydrides, amino groups, azides, aziridines, borides, diazoalkanes, haloacetamides, haloalkanes, halotriazines, hydrazines, imidoesters, isocyanic acids, isothiocyanates, maleimides, phosphoramidites, active palladium complexes, halosilanes, acid halides or thiols, tetrafluorophenol esters, alkynes.
In accordance with one aspect of the present invention, the water-soluble polymer comprises: polyethylene oxide, saccharides, polypeptide, polyethylene glycol.
According to one aspect of the present invention, the reactive group is a carboxylic acid-containing succinimide ester, hydrazine, amino group or maleimide, and the water-soluble polymer is a discrete polyethylene glycol having a molecular weight of between 300-3000.
In accordance with one aspect of the present invention, a method for preparing a dye-conjugate by exciting a fluorescent dye with a carrier molecule by ultraviolet light, comprises the steps of:
contacting a carrier molecule with said compound of formula I to form a bound sample;
incubating the bound sample for a time sufficient to allow covalent bonds to form between said compound of formula I and the carrier molecule, to obtain a dye-conjugate mixture;
and separating the compound which is not connected with the carrier molecule and the compound which is connected with the carrier molecule in the dye-conjugate mixture to obtain the dye-conjugate.
According to one aspect of the invention, the carrier molecule comprises an amino acid, polypeptide, protein, polysaccharide, nucleotide, nucleoside, oligonucleotide, nucleic acid, hapten, psoralen, drug, hormone, synthetic polymer, polymeric microparticle, biological cell or virus.
In accordance with one aspect of the invention, the at least one reactive group of the compound of formula I links the compound of formula I to a carrier molecule.
According to one aspect of the invention, the carrier molecule comprises a nucleotide or a polypeptide.
According to one aspect of the invention, the ultraviolet light-excited fluorescent dye is applied to an immunoassay of cells.
The invention has the advantages that:
(1) the ultraviolet light excited fluorescent dye disclosed by the invention absorbs between 300nm and 500nm and has larger Stoke's shift, and can be excited under ultraviolet laser in a specific environment to be used for multicolor tests. The compound precursors of the present invention are based on the Cascade Yellow fluorophore, but are brighter, more stable and more soluble in water than the Cascade Yellow fluorophore.
(2) The ultraviolet light excited fluorescent dye disclosed by the invention has both a water-soluble polymer group and an active group, so that the ultraviolet light excited fluorescent dye has the characteristics required by biomarkers, such as limited intramolecular mobility, increased fluorescence quantum yield, reduced aggregation, increased solubility in a non-polar organic solvent, reduced quenching, increased stability in vivo and in vitro and the like, and therefore, the dye labeled molecules and biomolecules, such as polypeptides, nucleotides and/or metal chelators, disclosed by the invention can be applied to various fields of diagnosis, imaging systems and the like.
(3) The ultraviolet light excited fluorescent dye disclosed by the invention can be excited by 405nm laser, and due to the main reason of dye aggregation fluorescence quenching, the dye aggregation reduction can be realized without excessive sulfonic acid groups with negative charges, the water-soluble polymer is beneficial to reducing the negative charges on the dye, the aggregation can be obviously reduced, and the ultraviolet light excited fluorescent dye has good water solubility, the effect of obviously reducing the influence on biological activity and the effect of having higher fluorescence signals in shorter wavelength.
(4) The labeled proteins of the invention (e.g., labeled antibodies) when applied to an animal (e.g., a mammalian) have a longer half-life in circulation and are therefore useful for in vivo imaging; labeled biomolecules may also exhibit longer half-lives in vitro systems (e.g., in assays using serum or other biological extracts). For example, labeled antibodies may have a higher signal-to-noise ratio in cell staining.
Compared with the patent US 8158801:
the ultraviolet light excited fluorescent dye disclosed by the invention has both active groups and water-soluble polymer groups, and the fluorescent dye disclosed in the patent US8158801 only has active groups, so that the ultraviolet light excited fluorescent dye disclosed by the invention utilizes the water-soluble polymer to help reduce negative charges on the dye, can obviously reduce aggregation, and has the advantages of stronger fluorescence intensity, higher stability and better solubility in water.
Drawings
In order to more clearly illustrate the technical solutions in the embodiments of the present invention, the drawings needed to be used in the embodiments will be briefly described below, and it is obvious that the drawings in the following description are only some embodiments of the present invention, and it is obvious for those skilled in the art that other drawings can be obtained according to these drawings without creative efforts.
FIG. 1 is a mass spectrum ofCompound 4;
FIG. 2 is a mass spectrum ofCompound 5;
FIG. 3 is a graph of the absorption and emission spectra ofCompound 5;
FIG. 4 is a comparison of the fluorescence intensity of Pacific Orange-GAM with that of compound 6-GAM at different DOLs;
figure 5 is an immunophenotyping map shown for compound 6A.
Detailed Description
The technical solutions in the embodiments of the present invention will be clearly and completely described below with reference to the drawings in the embodiments of the present invention, and it is obvious that the described embodiments are only a part of the embodiments of the present invention, and not all of the embodiments. All other embodiments, which can be derived by a person skilled in the art from the embodiments given herein without making any creative effort, shall fall within the protection scope of the present invention.
Before describing the present invention in detail, various terms are described to aid understanding:
the term "reactive group" in the present application refers to a chemical moiety of a reactive group capable of reacting with a substrate or reactive conjugate on a carrier molecule to form a covalent bond. The compounds of the invention are useful for labeling a wide variety of carrier molecules. The carrier molecule contains a suitable reactive couple or a derivative thereof. As used herein, and generally employed without limitation, a bonding group on a compound is generally referred to as an active group and a bonding group on a substrate or carrier molecule is generally referred to as a reactive conjugate. "reaction substrate", "substrate" and "reaction conjugate" are used interchangeably throughout this document
The terms "reaction substrate", "substrate" and "reaction partner" are generally used interchangeably in this application. The terms "synthetic probe", "fluorescent probe" and "dye-coupling agent" are used interchangeably and all mean that the fluorescent dye is covalently linked to the carrier molecule and is substantially the same substance.
The terms "polypeptide", "peptide" and "protein" are used interchangeably herein and refer to a polymer of amino acids of any length, which may be linear, cyclic or branched, which may comprise modified amino acids, which may also be interrupted by non-amino acids, and also include modified amino acid polymers, such as amino acid additions to proteins mediated by sulfonation, glycosylation, lipidation, acylation, phosphorylation, iodination, methylation, oxidation, proteolytic processing, prenylation, racemization, selenization and transport of RNA, such as arginylation, ubiquitination or any other manipulation, such as coupling to a labeling component. The term "amino acid" as used herein refers to natural or unnatural or synthetic amino acids, including glycine, glycine D or L optical isomers, amino acid analogs, and peptidomimetics.
The term "antibody" in this application refers to immunoglobulin molecules and immunologically active portions of immunoglobulin molecules, i.e., molecules that contain an antigen binding site that specifically binds to ("immunoreacts with") an antigen. Structurally, the simplest naturally occurring antibody (e.g., IgG) comprises 4 polypeptide chains, two heavy chains (H) and two light chains (L), interconnected by disulfide bonds. Immunoglobulins comprise several classes of molecules, such as the large family of molecules of IgD, IgG, IgM and IgE, which are polypeptides or proteins in nature, and thus the term "immunoglobulin molecule" in the present application includes, for example, hybrid or altered antibodies and fragments thereof. It has now been demonstrated that fragments of naturally occurring antibodies can perform the antigen binding function of the antibody. These fragments are collectively referred to as "antigen binding units". Antigen-binding units can be broadly classified into "single-chain (" Sc ") and" non-single-chain "(" Nsc ") types, depending on the molecular structure.
The terms "nucleic acid", "polypeptide", "antibody" are used interchangeably herein.
The term "antibody" also includes immunoglobulin molecules from various species, including invertebrates and vertebrates. The term "human" as applied to an antibody or antigen-binding unit refers to an immunoglobulin molecule or fragment thereof expressed by a human gene. The term "humanized" as applied to non-human (e.g., rodent or primate) antibodies is a hybrid immunoglobulin, immunoglobulin chain, or fragment thereof containing minimal sequence derived from a non-human immunoglobulin. Humanized antibodies are mostly human immunoglobulins (recipient antibody) in which residues from a Complementarity Determining Region (CDR) of the recipient are replaced by residues from a CDR of a non-human species (donor antibody), such as mouse, rat, rabbit or primate, having the desired specificity, affinity, and performance. In some cases, Fv Framework Region (FR) residues of the human immunoglobulin are replaced with corresponding non-human residues. In addition, humanized antibodies may comprise residues that are not found in either the recipient antibody or in the input CDR or framework region sequences. These modifications were made to further refine and optimize antibody performance and minimize the immunophenotype when introduced into humans. Humanized antibodies typically comprise substantially all, at least one, and usually two variable regions, wherein all or substantially all of the CDR regions are those of a non-human immunoglobulin and all or substantially all of the FR regions are those of a human immunoglobulin sequence. The human antibody may further comprise an immunoglobulin constant region (Fc), typically at least a portion of a constant region of a human immunoglobulin.
For polypeptide-antibody conjugates, the term fluorescent "signal-to-noise ratio" herein refers to the ratio of (fluorescent signal of a conjugate, wherein the conjugate comprises a polypeptide that binds to an antibody and thus to a compound of the invention labeled binding agent)/(fluorescent signal of a mixture of polypeptide, isotype control antibody and labeled binding agent).
The term "degree of labeling" or "DOL" refers to the number of dye molecules attached per target molecule (including but not limited to polypeptides and oligonucleotides). For example, one dye molecule per polypeptide, e.g., antibody, indicates a degree of labeling (DOL) of 1. If on average more than one dye molecule is reacted with and coupled to a polypeptide, e.g. a polypeptide such as an antibody, the degree of labelling is about 1, it may also be a number other than an integer. The higher the value of DOL, the higher the degree of marking.
The ultraviolet light excited fluorescent dye has a structure shown in a general formula I:
Figure BDA0003283516270000081
in formula I, X, Y and Z are each independently selected from: C. CR1、N、NR3、S、O、Se、P、Si,As、C-C、CR1-CR2、NR3-NR4(ii), S-S, where at least one of X, Y and Z is not C or C-C; preferably C, CR1N, S, O; further preferably, X is preferably C or CR1Y is preferably N, Z is preferably O or S, R1Preferably sulfonic acid groups. Wherein, the sulfonic acid group can be sulfonic acid, sulfonic amine or sulfonamide with reactivity.
In the general formula I, W is N or C; preferably N.
In the general formula I, R1、R2、R3、R4、R5、R6、R7、R9And R10Each independently selected from: H. c1-8Alkyl radical, C1-8Substituted alkyl, C1-8Alkoxy, hydroxyl, sulfonic group, S, halogen, amino, substituted amino, aldehyde group, carboxyl group, ester group, azide group, nitroso group, cyano group, thioether group, C5-7Ring, C5-7Containing heterocyclic rings, substituted C5-7Cyclic, substituted C5-7Containing heterocyclic, reactive or water-soluble polymer groups, or R1、R2、R3、R4、R5、R6、R7、R9And R10R in (1)1And R2、R3And R4、R5And R6And R9And R10Are respectively connected to form a saturated or unsaturated five-membered ring, a six-membered ring or a seven-membered ring; preferably selected from H, sulfonic acid groups, reactive groups, water-soluble polymer groups; further preferably, R1、R2、R5、R6、R7、R9And R10Preferably H, R3And R4Each independently preferably a sulfonic acid group, a reactive group or a water-soluble polymer group. Wherein, the sulfonic acid group can be sulfonic acid, sulfonic amine or sulfonamide with reactivity.
In the general formula I, R8Is H, C1-8Alkyl radical, C1-8Substituted alkyl, C5-7Ring, C5-7Containing heterocyclic rings, substituted C5-7Cyclic, substituted C5-7Containing heterocyclic, reactive or water-soluble polymer radicals, or with R7Are connected to form a saturated or unsaturated five-membered ring, six-membered ring or seven-membered ring; preferably selected from sulfonic acid groups, reactive groups, water-soluble polymer groups. Wherein, the sulfonic acid group can be sulfonic acid, sulfonic amine or sulfonamide with reactivity.
In the general formula I, R1-R4Each independently selected from: H. c1-8Alkyl radical, C1-8Substituted alkyl, C1-8Alkoxy, hydroxy, -SO3-Halogen, amino, substituted amino, aldehyde, carboxyl, ester, azide, nitro, nitroso, cyano or thioether; preferably, -SO is selected3-
At R1、R2、R3、R4、R5、R6、R7、R8、R9And R10At least one reactive group and at least one water-soluble polymer group are present.
The active group can be acrylamide, an activated ester of a carboxylic acid, a carboxylic acid ester, an acyl azide, an acyl cyanide, an aldehyde, a halogen-substituted aromatic ring, an anhydride, an amino, an azide, an aziridine, a boride, a diazo, a haloacetamide, an alkyl halide, a halotriazine, a hydrazine, an imido ester, an isocyanic acid, an isothiocyanate, a maleimide, a phosphoramidite, an active palladium complex, a halosilane, an acid halide or thiol, a tetrafluorophenol ester or alkyne; preferably, the reactive group is a carboxylic acid containing succinimide ester, hydrazine, amino or maleimide.
The water-soluble polymer group can be polyethylene oxide, saccharides, polypeptide, polyethylene glycol; preferably, the water-soluble polymer group is a discrete polyethylene glycol having a molecular weight of 300-3000.
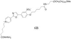
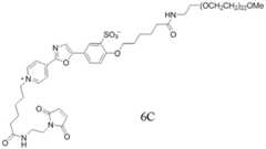
When the above preferred conditions are combined, the resulting compound of formula I is a preferred compound for the UV-excited fluorescent dye of the present invention. It is to be understood that the present invention includes any combination of the above preferred groups, such as, for example, when X is preferably C, Y is preferably N, Z is preferably O, W is preferably N, and R is1、R2、R5、R6、R7、R9And R10Preferably H, R3Preferably a water-soluble polymer radical, R4Preferably a sulfonic acid group, R8Preferably, the resulting compounds are considered to be representative preferred compounds of the present invention, withcompound 5, compound 6A, compound 6B, compound 6C and compound 7 of the following structures being the preferred five compounds of the combination. The compound 6A, the compound 6B and the compound 6C belong toThe difference between the derivative ofCompound 5, Compound 6A, Compound 6B and Compound 6C is that R8The reactive groups of (a) are different. The difference betweencompound 5 and compound 7 is R3The molecular weight of the water-soluble polymer group (polyethylene glycol) is different, and the main structures of thecompound 5, the compound 6A, the compound 6B, the compound 6C and the compound 7 are the same, so that the absorption spectrum and the emission spectrum of the compounds are basically consistent. It is to be understood that the preferred compounds of the combination are not limited thereto. The following are structural formulas forcompound 5, compound 6A, compound 6B, compound 6C, and compound 7:
Figure BDA0003283516270000101
Figure BDA0003283516270000111
when X is preferably C, Y is preferably N, Z is preferably S, W is preferably N, R1、R2、R5、R6、R7、R9And R10Preferably H, R3Preferably a water-soluble polymer radical, R4Preferably a sulfonic acid group, R8Preferably, the resulting compound is considered to be a representative preferred compound of the present invention, withcompound 8 of the following structure being one of the preferred compounds of the combination,compound 8 having the structure:
Figure BDA0003283516270000112
reactive groups
The compounds of the present invention include at least one reactive group. The reactive group and its reactive couple may be an electrophile and a nucleophile, respectively, which may or may not form a covalent bond with the coupling agent or catalyst. For example, the photoactivatable group that reacts with a hydrocarbon molecule when subjected to an ultraviolet photoactivatable or photolytic reactive group is a bis-philic group capable of reacting with a conjugated diene via a Diels-Alder Reaction, a 1, 3-diene capable of reacting with the bis-philic group, an alkyne capable of reacting with an azide functional group to form a 1, 2, 3-triazole linkage, and a methyl 2- (diphenylphosphino) benzoate capable of reacting with an azide functional group to form an amide linkage via a so-called Staudinger Reaction.
Examples of covalent linkages between reactive groups and reactive couples/substrates on carrier molecules are shown in Table 1 below:
TABLE 1 covalent bond of active groups to Carrier molecules
Figure BDA0003283516270000121
Figure BDA0003283516270000131
Activated esters as understood in the art generally have the formula-CO Ω, where Ω is a good leaving group, such as succinimidyloxy (-OC)4H4O2) Sulfo succinimidyl oxy (-OC)4H3O2-SO3H) Or benzotriazolyl-1-oxyl (-OC)6H4N3) Aryloxy or aryloxy substituted one or more times with an electron withdrawing substituent such as nitro, fluoro, chloro, cyano, trifluoromethyl or combinations thereof and a carboxylic acid activated by a carbodiimide to form an anhydride or mixed anhydride-OCORa or-ocnrnhrb, wherein Ra and Rb, which may be the same or different, are independently C1-C6 alkyl, C1-C6 perfluoroalkyl or C1-C6 alkoxy, cyclohexyl, 3-dimethylaminopropyl or N-morpholinoethyl.
Acyl azides may also be rearranged to isocyanates.
The reactive group may be a group that reacts with an amine, thiol, hydroxyl, or aldehyde. The reactive group may be an amine-reactive group, such as Succinimidyl Ester (SE), or a thiol-reactive group, such as maleimide, haloacetamide or Methylthiosulphonate (MTS), an aldehyde-reactive group, such as an amine, aminooxy (aminooxy) or hydrazide.
Water-soluble polymers
The compounds of the present invention also include at least one water-soluble polymer group. According to the present invention, the water-soluble polymer group can significantly reduce the intramolecular mobility of the core structure of the fluorescent group, and thus can improve the fluorescence quantum yield of the fluorescent group. Such groups may impart other properties to the compounds to which they are attached, such as improved photostability of the fluorophore, reduced fluorophore aggregation upon labeling of the biomolecule, increased staining specificity of fluorescently labeled biomolecules (e.g., antibodies); and reduced immunogenicity and antigenicity of labeled biomolecules (e.g., antibodies) in vivo.
Each water-soluble polymer group is typically a water-soluble moiety that is sufficiently large to improve the fluorescent properties of the compound and is substantially unreactive. The term "polymer" as used in this context does not require the presence of strictly repeating units. For the purposes of the present invention, molecules having sufficient molecular size and solubility but no repeating units are considered "water-soluble polymer groups".
Water-soluble polymer groups include, but are not limited to, organic polymers and biomolecules such as polypeptides and carbohydrates. Each water-soluble polymer may be linear, branched, cyclic, or a combination thereof. Water-soluble polymers having one, two, three, four or more branches may be used. The compounds of the present invention may include any number of water-soluble polymer groups. Generally, the compounds of the present invention include at least one water-soluble polymer group up to about 8 water-soluble polymer groups. Suitable molecular weights for individual water-soluble polymer groups in a compound, or alternatively, suitable molecular weights for all water-soluble polymer groups may be about 100, 200, 300, 400, 500, 600, 700, 800, 900, 1000, 1500, 2000, 2500, 3000, 3500, 4000, 4500, 5000, 10000, 15000, 20000Da or greater. In one embodiment, the water-soluble polymer groups of the present invention have a molecular weight between 300 and 3000.
In one embodiment, the water soluble polymer of the present invention is a polyalkylene oxide. Suitable polyalkylene oxides include polyethylene glycol (PEG), polypropylene glycol (PPG), polyethylene glycol-polypropylene glycol (PEG-PPG) copolymers, and polymers and copolymers containing N-substituted methacrylamide. Various polyalkylene oxides suitable for use in the present invention and methods of making and using the same are described in the following documents: US 637749; 5650388, respectively; 5298643, respectively; 5605976, respectively; 5567422, respectively; 5681567, respectively; 5321095, respectively; 5349001, respectively; 5405877, respectively; 5234903, respectively; 5478805, respectively; 5324844, respectively; 5612460, respectively; 5756593, respectively; 5686110, respectively; 5880131, respectively; 6824782, respectively; 5808096, respectively; 6013283, respectively; 6251382. commercially available polyalkylene oxide reagents include Sigma-Aldrich, Nanocs, Creative Biochem, Pierce, Enzon, Nektar, and Nippon Oils and falls. The polyalkylene oxides have the following basic structure:
Figure BDA0003283516270000151
the polyalkylene oxides may be additionally substituted if desired to impart other desirable characteristics to the polymer. Such modifications may include, for example: chemical linkages that increase or decrease the chemical stability of the polymer may allow for the chemical or biological stability of the polymer to be adjusted for half-life. In some cases, the polyalkylene oxide molecules are terminated or capped with various groups. Examples of such groups are hydroxyl, alkyl ethers (e.g. methyl ether, ethyl ether, propyl ether), carboxymethyl ether, hydroxyethyl ether, benzyl ether, dibenzylmethylene ether or dimethylamine. The polyalkylene oxide may have one of a number of possible end groups including, but not limited to, hydroxyl, methyl ether, ethyl ether, carboxymethyl ether, and hydroxyethyl ether. In one embodiment, the polyalkylene oxide is a polyethylene glycol polymer terminated with a methyl ether. Such a group is referred to as m PEG. m PEG typically has the formula- (CH)2CH2O)nCH3Wherein n is the number of units of ethylene glycol and is determined by the size of the m PEG.
Other suitable polymers include derivatives and complexes of: poly (2-hydroxyethyl methacrylate), polyhydroxypropylmethacrylamide, poly (styrenesulfonic acid), poly (vinyl alcohol) or poly (2-vinyl-N-methylpyridinium iodide).
The water-soluble polymer of the present invention may also be a carbohydrate. The carbohydrate includes a monosaccharide or polysaccharide, and may be, for example, soluble starch, glycogen, glucose, pectin, mannan, galactan, hydroxymethyl cellulose, hydroxyethyl cellulose, and other cellulose derivatives. When the water-soluble polymer is a carbohydrate, at least 30% of the hydroxyl groups present in the carbohydrate may be masked as methyl ethers, sulfonato alkyl ethers, and/or acetates.
The water-soluble polymer of the present invention may also be a polypeptide. Suitable polypeptides may include, for example, serine, arginine, polylysine containing modified epsilon amino groups, or cysteine. Further examples of such polypeptides are disclosed in WO 2006/08249. It is contemplated that the polypeptides may be used as water-soluble polymers of the invention.
The water-soluble polymers of the present invention also include combinations of the different types of materials described above. For example, such a water-soluble polymer may be a polypeptide linked to a polyalkylene oxide.
The water-soluble polymer generally does not include any group or groups that are chemically incompatible with the reactive group or groups included in the compounds of the present invention. For example, if the reactive group is an electrophile, the water-soluble polymer should not include a strong nucleophile. In a more specific example, if the reactive group is an N-hydroxysuccinimidyl ester, the water-soluble polymer should not include primary or secondary amine groups; when the reactive group is maleimide, the water-soluble polymer should not include a thiol group. Likewise, if the reactive group is a nucleophile, then a strong electrophile should not be included in the water-soluble polymer group. However, the water-soluble polymer may include a minimal number of weak nucleophiles or make a small number of weak electrophiles, so that the chemistry of the reactive groups is not significantly affected during storage or handling, or the stability of the compounds of the invention is not affected. An example of a weak nucleophile is a hydroxyl group, which is typically present in carbohydrates. Thus, when the water-soluble polymer is a carbohydrate, at least 30% of the hydroxyl groups present in the carbohydrate can be masked as methyl ethers, sulfonato alkyl ethers, and/or acetates.
Carrier molecule
In one embodiment, the dyes of the present invention are coupled to a carrier molecule. Included herein are, but not limited to, any of the presently disclosed compounds and any of the carrier molecules disclosed herein. Typically, the compounds of the invention contain a reactive group covalently coupled to a carrier molecule. The reactive group may comprise a reactive functional moiety and a linking moiety or just a reactive functional moiety. The compounds of the invention may be applied to a variety of carrier molecules including, but not limited to: amino acids, polypeptides, proteins, polysaccharides, nucleosides, nucleotides, oligonucleotides, nucleic acids, antigens, steroids, vitamins, drugs, metabolites, toxins, environmental pollutants, haptens, lipoproteins, drugs, hormones, lipids, liposomes, dextrans, synthetic polymers, polymeric microparticles, biological cells, viruses, or combinations thereof.
Preferred carrier molecules are antibodies or parts of antibodies, antigens, avidin, streptavidin, biotin, dextran, IgG-binding proteins, fluorescent proteins, agarose and non-biological affinity particles.
In some cases, the carrier molecule may contain carrier molecule reactive groups including, but not limited to, hydroxyl, carbonyl, amino, sulfhydryl, aldehyde, halogen, nitro, cyano, amide, urea, carbonate, carbamate, isocyanate, sulfone, sulfonamide, sulfoxide, and the like, for covalent attachment to the compounds of the invention. Commonly used reactive groups have been described above for attachment to reactive moieties on these carrier molecules.
Preparation of "dye-conjugates
The invention relates to a method for coupling ultraviolet light excited fluorescent dye with carrier molecules or solid phase supports, which comprises the following steps:
(1) contacting the carrier molecule or solid support with a dye to form a bound sample;
(2) incubating the bound sample for a time sufficient to allow covalent bonds to form between said compound of formula I and the carrier molecule or solid support, to obtain a dye-conjugate mixture;
(3) and separating the compound which is not connected with the carrier molecule or the solid phase support from the compound which is connected with the carrier molecule or the solid phase support in the dye-conjugate mixture to obtain the dye-conjugate.
Conjugates of dyes with carrier molecules or solid supports, such as: drugs, polypeptides, toxins, nucleic acids, phospholipids and other organic materials prepared by organic synthesis methods form conjugates with the reactive dyes of the present invention. More preferably, the active compound of the invention is soluble in a suitable solvent, and the active compound of the invention and the substrate are chemically bonded to each other. The chemical reaction can be carried out simultaneously at room temperature or at low temperature. For compounds of the invention which are photoactive, the coupling reaction is carried out by irradiating the reaction mixture with suitable light to activate the active compound of the invention to form a coupling with the substrate. The water-insoluble substrate obtained by chemical modification may be reacted in an aprotic solvent such as DMF, DMSO, acetone, ethyl acetate, toluene or chloroform. The solubility in organic solvents can be increased by modifying water-soluble materials using compounds with highly potent activity using similar methods.
The typical procedure for preparing conjugates of polypeptides or proteins is to dissolve the protein in an aqueous coupling buffer at room or low temperature at 1-10 mg/ml. bicarbonate buffer systems (pH 8.3) are particularly suitable for reaction with succinimidyl esters, phosphate buffer solutions (pH 7.2-8) are particularly suitable for coupling with thiol-reactive functional groups, and carbonate or borate buffer solutions (pH 9) are particularly suitable for coupling of isothiocyanates and dichlorotriazines. The appropriate active compound is dissolved in an anhydrous solution (usually DMSO or DMF) in the amount required for the appropriate degree of coupling, and then added to the protein solution for coupling. The amount of the active compound added is the amount which is calculated by experiments, and the coupling product is subjected to column chromatography to remove the unconjugated product, so that the coupling product can be used for research in required applications.
The active compound is added to the solution of the components and the mixture is incubated for a suitable period of time (typically 1 hour at room temperature or several hours in an ice bath) and the excess is filtered, dialyzed, HPLC, adsorbed using ion exchange or hydrophobic polymers or other suitable materials. The conjugate may be applied in solution or after lyophilization. In this way conjugates of antibodies, partial antibodies, avidin, hemagglutinin, enzymes, proteins a and G, cellular proteins, albumin, histones, growth factors, hormones and other proteins can be prepared.
In one embodiment, the polypeptide to be reacted with the compound of the invention comprises from 3 to about 80 amino acids. Examples of such polypeptides include, but are not limited to, neuropeptides, cytokines, toxins, and peptidases or protease substrates. Fluorescently labeled neuropeptides, cytokines and toxins may be used to map or visualize the distribution of specific receptors for each peptide. As an example, phalloidin (a toxin having a cyclopeptide structure) can be used to stain F-actin filaments in cells when labeled with a compound of the present invention. As another example, alpha-bungarotoxin (a peptide-based snake toxin) can be used to detect acetylcholine receptors when labeled with a fluorophore of the present invention. The peptidase or protease substrate labeled with the fluorescent group of the present invention can be used to determine the activity of the peptidase or protease and to screen drugs designed as peptidase or protease inhibitors.
Other polypeptide conjugates that may be prepared according to the present invention include those of antibodies, lectins, enzymes, lipoproteins, albumin, avidin, streptavidin, annexin, protein a, protein G, transferrin, apotransferrin, phycobiliprotein and other fluorescent proteins, toxins, growth factors, tubulin, hormones, various receptors, and ion channels.
In addition, non-antibody proteins or polypeptides such as G protein or other suitable proteins may be used alone or in combination with albumin, suitable albumins including human or bovine serum albumin or ovalbumin. These include proteins A, G and L or at least one derivative which binds to IgG proteins. Such as proteins having an affinity for IgG. These proteins can be modified but do not require special handling and can be coupled to other carrier molecules in the same manner.
In one embodiment, the compounds of the invention may be reactive with antibodies. Such antibodies may be primary or secondary, depending on the desired application. If the antigen to be detected is present in very small amounts, a secondary antibody may be used to provide signal amplification. Various secondary antibody isotypes can be labeled. Non-limiting examples of secondary antibody isotypes are anti-mouse IgG, anti-mouse IgM, anti-rabbit IgG, anti-rat IgM, anti-guinea pig IgG, anti-chicken IgG, anti-hamster IgG, anti-human IgM, anti-goat IgG, and anti-sheep IgG.
Use of ultraviolet light excited fluorescent dye
The compounds of the present invention have a variety of uses. A related application is the use of the compounds of the invention as labeling agents that are capable of imparting the fluorescent properties of a particular substance component. The compounds of the invention may be used to react with any of a wide range of molecules, including but not limited to biomolecules such as polypeptides, polypeptide-based toxins, amino acids, nucleotides, polynucleotides (including DNA and RNA), lipids, and carbohydrates, or any combination thereof. Furthermore, the compounds of the invention can be used for reaction with: haptens, drugs, microparticles, synthetic or natural polymers, cells, viruses or other fluorescent molecules (including the fluorescent molecules of the invention), or surfaces. The substrate molecule typically includes one or more functional groups that react with the reactive groups of the compounds of the present invention to form covalent or non-covalent linkages. In another aspect, the reactive group of the compounds of the present invention is an activated ester (e.g., succinimidyl ester or SE), maleimide, hydrazide, or aminooxy group. Thus, in another aspect, the functional group from the substrate molecule (or reaction substrate) is an amine, thiol, aldehyde, or ketone. The resulting fluorescently labeled substrate molecule can be referred to as a "dye-conjugate". Any method practiced in the art for preparing "dye-conjugates" (e.g., Brinkley, Bioconjugate chem.3,2(1992)) is suitable for practicing the present invention.
Conjugates of biomolecules and compounds of the invention generally have high fluorescence yields while generally maintaining key parameters of the unlabeled molecule, such as solubility, selective binding to receptors or nucleic acids, ability to activate or inhibit the possessed enzyme or incorporation into biological membranes. However, the conjugate with the highest degree of labeling may still precipitate or bind non-specifically. If necessary, a degree of labeling less than the maximum is acceptable in order to maintain function or binding specificity. Preparation of the conjugates of the invention may involve experimentation to optimize properties. After coupling, the labeling agent that is coupled may be removed by techniques known in the art, such as gel filtration, dialysis, conjugate precipitation and redissolution, HPLC, or a combination of these techniques. The presence of free dyes, particularly when the dyes remain chemically reactive, can complicate subsequent experimentation with biological conjugates.
Use of the labeled biomolecules of the invention
The fluorescently labeled biomolecules of the present invention provide an effective tool for a wide variety of biological applications. The labels enable the skilled person to distinguish interactions involving biomolecules such as proteins, glycoproteins, nucleic acids and lipids, as well as inorganic chemicals, or any combination thereof. Such experiments can be performed to discern specific protein-protein interactions, protein-nucleic acid interactions, interactions between a protein of interest and a candidate inhibitor or activator. Candidate inhibitors or activators include, but are not limited to, antisense oligonucleotides, double-stranded RNAs, ribozymes, ribozyme derivatives, antibodies, liposomes, small molecules, inorganic or organic compounds. The assays of the invention can also be used to study enzymatic kinetics, for example, for drug design, screening and/or optimization, and can be performed using fluorescently labeled polypeptides in solution or immobilized on a solid substrate.
Of particular interest are specific interactions between cell surface receptors and their corresponding ligands. Cell surface receptors are molecules that are anchored to or inserted into the plasma membrane of a cell. They are a large family of constituent proteins, glycoproteins, polysaccharides, and lipids that serve not only as structural components of the plasma membrane, but also as regulatory elements that regulate a variety of biological functions. On the other hand, specific protein-protein interactions involve cell surface receptors and immunoliposomes or immunotoxins. On the other hand, specific protein-protein interactions may involve cytosolic proteins, nucleoproteins, chaperones or proteins anchored to other intracellular membrane structures. In addition, specific protein-protein interactions exist between a target protein) such as an antigen) and an antibody specific for the antigen.
The specific interaction between the two entities is determined by mixing the marker polypeptide with the interacting entity under conditions in which the interaction is suspected to occur. Typically, the interaction is visualized by means of optical means. These entities may be placed within optical confinement if desired (see, e.g., U.S. patent nos. 7, 267, 673 and 7, 170, 050). When detecting single molecules, each optical confinement region contains only one target of interest. This can be achieved by diluting the target in a large volume of solution, or most of the confinement regions will have one target molecule partitioned into them. The label polypeptide and the solid interaction entity can be on the inner surface of the optical confinement region by any art-available method, including the use of covalent and non-covalent attachment by various binding moieties. The choice of binding moiety will depend on the nature of the marker polypeptide and/or the interacting entity. One way of immobilizing the labeled polypeptide or protein probe involves the use of streptavidin or an avidin/biotin binding pair.
Light source
The compounds of the invention can produce a detectable optical signal at any time, either during or after the test, upon irradiation with a suitable light source, the change in signal intensity being detectable by any method known in the art and generally dependent on the choice of fluorophore used. This can be done with the aid of an optical system. The system typically includes at least two elements, an excitation source and a photon detector. Various examples of these elements are available in the art. An exemplary excitation source is a laser, such as a polarized laser. The choice of laser depends on the fluorophore attached to the probe. Those skilled in the art can readily determine the appropriate excitation wavelength for exciting a given fluorophore by routine experimentation (see, e.g., the handbook-a guide to fluorescent probes and labeling technologies, ten edition (2005.) those skilled in the art can employ other optical systems that can include elements such as optical readers, high efficiency photon detection systems, photomultiplier tubes, gated induced FETs, nanotube FETs, photodiodes, cameras, Charge Coupled Devices (CCDs), Electron Multiplying Charge Coupled Devices (EMCCDs), enhanced charge coupled devices (ICCDs) and confocal microscopes. Flow cytometry, fluorescent microwell reader, standard or mini fluorometer or chromatographic detector. The fluorescence emission can be detected with the naked eye or with the following equipment: CCD camera, video camera, film, laser scanning device, fluorometer, optical diode, quantum counter, epi-fluorescence microscope, scanning microscope, flow cytometer, and microplate reader.
Reagent kit
The kit is an external package for containing the ultraviolet light excited fluorescent dye. Kits will generally provide one or more methods of use for the compounds of the invention. In general, the kits will include the reactive dye compounds of the present invention, methods of coupling the dye to any substrate containing the appropriate functional site, and methods of recovering or purifying the labeled material. The dye and instructions constitute a kit for labeling a suitable substrate. Suitable substrates of choice include, but are not limited to, macromolecular polymers (e.g., proteins, oligonucleotides or carbohydrates), polymeric resins and plastics (e.g., polystyrene), metals, glasses and other organic or inorganic substrates.
In another aspect, the kits of the invention also include a compound-substrate conjugate of the invention, and the kits of the invention can contain one or more compounds of the invention and instructions directing the use of the compound. Typically, the kit comprises a dye secondary antibody conjugate. Thus, the end user needs to provide a primary antibody so that the analyte or complex can be detected. In addition, the kit includes a dye secondary antibody conjugate and a dye primary antibody conjugate, which can be used to detect cellular receptors, enzymes, organelles, or other ligands associated with the antibody.
The synthesis method of the ultraviolet light excited fluorescent dye of the present invention is further described with reference to the following examples.
Example 1: preparation of compound 5:
(1) synthesis of Compound 1:
Figure BDA0003283516270000211
compound 1 was prepared according to the synthesis method ofcompound 6 in US 2012004397.
Compound 1 was characterized by Nuclear Magnetic Resonance (NMR) as follows:
compound 1:1H NMR:1.1(t,3H),1.3-3(m,8H),4-5(m,4H),7.03(d,2H),7.1(S,1H),7.66(d,2H),7.9-8.8(m,4H)
(2) synthesis of Compound 2:
Figure BDA0003283516270000221
1g of Compound 1(2.63mmol) was suspended in 10ml of concentrated hydrochloric acid, reacted overnight at 65 ℃ and followed by TLC, and after completion of the reaction, hydrochloric acid and water were removed by rotary evaporation and used in the next reaction without drying. Taking a small amount of the product to carry out column chromatography and pumping to dry the obtained solid product, namely thecompound 2.
Compound 2 was characterized by NMR as follows:
compound 2:1H NMR:1.3-3(m,8H),4-5(m,2H),7.03(d,2H),7.1(S,1H),7.66(d,2H),7.9-8.8(m,4H)
(3) synthesis of Compound 3:
Figure BDA0003283516270000222
dissolving 400mg of compound 2(1.13mmol) in 3ml of concentrated sulfuric acid, cooling to 0 ℃, adding 3ml of 30% fuming sulfuric acid, keeping the temperature not more than 5 ℃, naturally heating overnight after the addition is finished, dropping the reaction mixture into 200ml of diethyl ether which is pre-cooled to 0 ℃, stirring, centrifuging, separating by using a prepared liquid phase, and freeze-drying to obtain a solid product, namely the compound 3.
Compound 3 was characterized by NMR as follows:
compound 3:1H NMR:1.3-3(m,8H),4-5(m,2H),7.5(d,1H),7.1(S,1H),8.1(d,1H),8.3(s,1H),7.9-8.8(m,4H)
(4) synthesis of Compound 4:
Figure BDA0003283516270000223
0.5g of Compound 3(1.16mmol) is dissolved in 5ml of DMF, 1.21gm-dPEG23-NH2(1.16mmol) (QUATA BIODESIGN LIMITED, MW:1044.28) is added, then 0.48g HBTU (1.27mmol) and 210ul DIPEA (1.27mmol) are added, reacted overnight at room temperature, DMF is removed by rotary evaporation, the residue is dissolved in water and prepared with the liquid phase, and the pure product is lyophilized to giveCompound 4.
Compound 4 was subjected to Mass Spectrometry (MS) characterization and NMR characterization. The MS spectrum is shown in fig. 1, and as can be seen from fig. 1, M + 1457.27 and M +1 peak 1458.43; the NMR characterization results were as follows:
compound 4:1H NMR:1.3-2.5(m,8H),3-5(m,97H),7.5(d,1H),7.1(S,1H),8.1(d,1H),8.3(s,1H),7.9-8.8(m,4H)
(5) synthesis of Compound 5:
Figure BDA0003283516270000231
0.5g of compound 4(0.343mmol) and 0.67g of 6-bromohexanoic acid (3.43mmol) are suspended in 10ml of acetonitrile, reacted overnight at 120 ℃ in a pressure-resistant bottle, and then directly subjected to rotary evaporation to remove the acetonitrile, and the residue is dissolved with water for high performance liquid phase preparation, and then pure product collection and freeze-drying are carried out to obtaincompound 5.
MS characterization, uv spectrophotometer and fluorescence spectrophotometric and NMR characterization will be performed. The MS mass spectrum ofcompound 5 is shown in fig. 2, and as can be seen from fig. 2, M + 1572.38 and M +1 peak 1573.64; the absorption and emission spectra ofcompound 5 are shown in figure 3; the NMR characterization results were as follows:
compound 5:1H NMR:1.3-2.5(m,16H),3-5(m,99H),7.5(d,1H),7.1(S,1H),8.1(d,1H),8.3(s,1H),7.9-8.8(m,4H)
example 2:
preparation of compound 6A:
Figure BDA0003283516270000241
1g of Compound 5(0.64mmol) was dissolved in 20ml of anhydrous DMA, 0.16g of DSC and 6.2mg of DMAP were added to the reaction solution, and the suspension was stirred at room temperature for 2 days. After the reaction was completed, the solvent was concentrated to 3ml under reduced pressure, 300ml of ethyl acetate was added and stirred for 0.5h, and then the solid was collected, filtered and washed with ethyl acetate to obtainCompound 6.
Compound 6A was characterized by NMR as follows:
compound 6A:1H NMR:1.3-2.5(m,20H),3-5(m,99H),7.5(d,1H),7.1(S,1H),8.1(d,1H),8.3(s,1H),7.9-8.8(m,4H)
example 3
Preparation of compound 6B:
Figure BDA0003283516270000242
250mg ofCompound 5 was dissolved in 10ml of DME at 0 ℃ to which 100mg of hydrazine was added, and reacted at 0 ℃ for 1 hour. The solvent was then dried under vacuum and the residue was subjected to HPLC to afford compound 6B.
Compound 6B was characterized by NMR as follows:
compound 6B:1H NHR:1.3-2.5(m,16H),3-5(m,101H),7.5(d,1H),7.1(S,1H),8.1(d,1H),8.3(s,1H),7.9-8.8(m,5H)
example 4
Preparation of compound 6C:
Figure BDA0003283516270000251
250mg ofCompound 5 was dissolved in 10ml of 0 ℃ DME, and 90mg of N- (2-aminoethyl) maleimide trifluoroacetate and 0.1ml of triethylamine were added to react at 0 ℃ for 1 hour. The solvent was then dried under vacuum and the residue was subjected to HPLC to afford compound 6C.
Compound 6C was characterized by NMR as follows:
compound 6C:1H NHR:1.3-2.5(m,16H),3-5(m,103H),7.5(d,1H),7.1(S,1H),8.1(d,1H),8.3(s,1H),7.9-8.8(m,6H)
example 5
Preparation of compound 7:
Figure BDA0003283516270000252
the preparation method was the same as that ofCompound 5 in example 1, except that m-dPEG23-NH2 in the fourth step in example 1 was changed to m-dPEG7-NH2, to give Compound 7.
Compound 7 was characterized by NMR as follows:
compound 7:1H NHR:1.3-2.5(m,16H),3-5(m,35H),7.5(d,1H),7.1(S,1H),8.1(d,1H),8.3(s,1H),7.9-8.8(m,4H)
example 6
Preparation of compound 8:
Figure BDA0003283516270000261
compound 8 was prepared according to the synthesis procedure described in patent US8158801 for the bulk structure in combination with the preparation ofcompound 5 of example 1.
Compound 8 was characterized by NMR as follows:
compound 8:1H NHR:1.3-2.5(m,16H),3-5(m,135H),7.5(d,1H),7.2(S,1H),8.1(d,1H),8.3(s,1H),7.9-8.8(m,4H)
example 7
Preparation of ultraviolet light excited fluorescent dye-conjugate (fluorescent dye + antibody)
The fluorochrome compound 6A was mixed with an antibody (goat anti-mouse IgG, GAM) at a concentration of 1mg/ml in 0.1mM sodium bicarbonate buffer at pH 8.5 in various ratios, and after incubation at room temperature for about 1h, the reaction mixture was separated by gel filtration using Sephadex G-25 equilibrated with PBS (pH 7.4) to obtain a set of dye-conjugates (fluorochrome + antibody). The group of dye-conjugates was subjected to a labeling reaction to obtain fluorescence intensities of compounds 6A-GAM with different degrees of labeling (DOL) as shown in FIG. 4. FIG. 4 also compares the fluorescence intensity of compound 6A-GAM with that of the pacifiic orange-GAM (prior art) under different degrees of labeling (DOL), and shows that compound 6A-GAM has a stronger fluorescence intensity than pacifiic orange-GAM.
The preparation method references are as follows: US 6974873; haughland et al; meth.mol.biol.45,205, (1995); haugagland et al Current Protocols in Cell Biology, 16.51.-16.5.22(2000)
Pacific Orange-GAM patent reference US 8158801.
Example 8
Application of ultraviolet light excited fluorescent dye 6A in cell immunophenotyping detection and analysis
The specific experimental method is as follows:
human monocytes were washed with 1% BSA/PBS and resuspended at a concentration of 1000 ten thousand/ml and then stained with a dye-coupler prepared with 1. mu.g of mouse anti-human CD4 as the carrier molecule and the fluorescent dye compound 6A for 30 minutes. Stained monocytes were washed with 1% BSA/PBS, centrifuged and resuspended in 400 ml of 1% BSA/PBS and the samples were analyzed on an LSR II flow cytometer. The adopted diode laser is a 405nm diode laser, the emission filter uses a forward scattering VS lateral scatter diagram to gate the lymphocyte, the lymphocyte gate is used for drawing, and the monochromatic control is used for compensating.
The immunophenotyping shown by compound 6A shown in fig. 5 was obtained by the above procedure.
The above description is only an embodiment of the present invention, but the scope of the present invention is not limited thereto, and any changes or substitutions that can be easily conceived by those skilled in the art within the technical scope of the present invention disclosed herein are intended to be covered by the scope of the present invention. Therefore, the protection scope of the present invention shall be subject to the protection scope of the appended claims.

Claims (7)

1. An ultraviolet light excited fluorescent dye having the structure of formula I:
Figure FDA0003283516260000011
in formula I:
x is C;
y is N;
z is S;
w is N;
R1、R2、R5、R6、R7、R9and R10All are H;
R3is a water-soluble polymer comprising: polyalkylene oxides, saccharides, polypeptides;
R4is a sulfonic acid group;
R8is a reactive group which is a carboxylic acid containing succinimide ester, hydrazine, amino or maleimide.
2. The ultraviolet excited fluorescent dye according to claim 3 or 4, wherein: the water-soluble polymer is discrete polyethylene glycol, and the molecular weight of the discrete polyethylene glycol is between 300-3000.
3. The method for preparing dye-conjugate by exciting fluorescent dye with ultraviolet light and carrier molecule according to claim 1, wherein the method comprises the following steps: the method comprises the following steps:
contacting a carrier molecule with said compound of formula I to form a bound sample;
incubating the bound sample for a time sufficient to allow covalent bonds to form between said compound of formula I and the carrier molecule, to obtain a dye-conjugate mixture;
and separating the compound which is not connected with the carrier molecule and the compound which is connected with the carrier molecule in the dye-conjugate mixture to obtain the dye-conjugate.
4. The method of claim 6, wherein the preparation method comprises the following steps: the carrier molecule comprises an amino acid, a polypeptide, a protein, a polysaccharide, a nucleotide, a nucleoside, an oligonucleotide, a nucleic acid, a hapten, a psoralen, a drug, a hormone, a synthetic polymer, a polymeric microparticle, a biological cell, or a virus.
5. The method of claim 6, wherein the preparation method comprises the following steps: at least one active group of the compound of the general formula I connects the compound of the general formula I with a carrier molecule.
6. The method of claim 7, wherein the preparation method comprises the following steps: the carrier molecule comprises a nucleotide or a polypeptide.
7. Use of a uv-excited fluorescent dye according to any one of claims 1 to 6, characterized in that: the ultraviolet light excited fluorescent dye is applied to immunodetection and analysis of cells.
CN202111140112.3A2020-03-182020-03-18Ultraviolet light excited fluorescent dye and application thereofPendingCN113736285A (en)

Priority Applications (1)

Application NumberPriority DateFiling DateTitle
CN202111140112.3ACN113736285A (en)2020-03-182020-03-18Ultraviolet light excited fluorescent dye and application thereof

Applications Claiming Priority (2)

Application NumberPriority DateFiling DateTitle
CN202010189742.9ACN111393872B (en)2020-03-182020-03-18 Ultraviolet Light Excited Fluorescent Dyes and Their Applications
CN202111140112.3ACN113736285A (en)2020-03-182020-03-18Ultraviolet light excited fluorescent dye and application thereof

Related Parent Applications (1)

Application NumberTitlePriority DateFiling Date
CN202010189742.9ADivisionCN111393872B (en)2020-03-182020-03-18 Ultraviolet Light Excited Fluorescent Dyes and Their Applications

Publications (1)

Publication NumberPublication Date
CN113736285Atrue CN113736285A (en)2021-12-03

Family

ID=71427302

Family Applications (2)

Application NumberTitlePriority DateFiling Date
CN202010189742.9AActiveCN111393872B (en)2020-03-182020-03-18 Ultraviolet Light Excited Fluorescent Dyes and Their Applications
CN202111140112.3APendingCN113736285A (en)2020-03-182020-03-18Ultraviolet light excited fluorescent dye and application thereof

Family Applications Before (1)

Application NumberTitlePriority DateFiling Date
CN202010189742.9AActiveCN111393872B (en)2020-03-182020-03-18 Ultraviolet Light Excited Fluorescent Dyes and Their Applications

Country Status (1)

CountryLink
CN (2)CN111393872B (en)

Families Citing this family (1)

* Cited by examiner, † Cited by third party
Publication numberPriority datePublication dateAssigneeTitle
CN116790136B (en)*2023-05-252024-04-02现代纺织技术创新中心(鉴湖实验室)Carboxylic acid succinimide ester dye and reactive dyeing method thereof

Citations (2)

* Cited by examiner, † Cited by third party
Publication numberPriority datePublication dateAssigneeTitle
US20070077549A1 (en)*2005-09-262007-04-05Invitrogen CorporationViolet laser excitable dyes and their method of use
CN101946171A (en)*2007-12-142011-01-12拜奥蒂乌姆股份有限公司Fluorescent compounds

Family Cites Families (2)

* Cited by examiner, † Cited by third party
Publication numberPriority datePublication dateAssigneeTitle
CA2423806C (en)*2000-09-292009-12-22Molecular Probes, Inc.Modified carbocyanine dyes and their conjugates
WO2007076161A2 (en)*2005-12-272007-07-05Myriad Genetics, IncCompounds with therapeutic activity

Patent Citations (2)

* Cited by examiner, † Cited by third party
Publication numberPriority datePublication dateAssigneeTitle
US20070077549A1 (en)*2005-09-262007-04-05Invitrogen CorporationViolet laser excitable dyes and their method of use
CN101946171A (en)*2007-12-142011-01-12拜奥蒂乌姆股份有限公司Fluorescent compounds

Also Published As

Publication numberPublication date
CN111393872B (en)2022-05-17
CN111393872A (en)2020-07-10

Similar Documents

PublicationPublication DateTitle
JP3543001B2 (en) Method for labeling or detecting substances using luminescent aryl sulfonate cyanine dye
US5486616A (en)Method for labeling and detecting materials employing arylsulfonate cyanine dyes
ES2197332T3 (en) POLYMERIC FLUOROFORES IMPROVED BY FRACTIONS THAT CREATE A HYDROPHOBO MICROENTORNO AND CONFORMALLY RESTRICTIVE.
US20210108083A1 (en)Blue-Excitable Water-Solvated Polymeric Dyes
KR20190086693A (en) Water-soluble polymeric dye
WO2018009581A1 (en)Fluorescent water-solvated conjugated polymers
ITMI952049A1 (en) FLUORESCENT DYES OF THE SULFUR BENZ AND INDOCYANINE FAMILY
US10316136B2 (en)Polyfluoreno[4,5-cde]oxepine conjugates and their use in methods of analyte detection
US12297383B2 (en)Condensed polycyclic conjugated polymers and their use for biological detection
US20180292317A1 (en)Method for detecting biomaterial using linear upconversion fluorescent property
WO2007030521A1 (en)Control of chemical modification
KR20070069125A (en) Substituted Azaporphyrins as Fluorescent Labels
CN111393872B (en) Ultraviolet Light Excited Fluorescent Dyes and Their Applications
WO2020222894A1 (en)Water-soluble polynorbornene dyes having pendant chromophores
US20230131000A1 (en)UV Excitable Polyfluorene Based Conjugates and Their Use in Methods of Analyte Detection
CA2244768C (en)Polymeric fluorophores enhanced by moieties providing a hydrophobic and conformationally restrictive microenvironment
WO2024129493A1 (en)Sulfonate-containing water-solubilizing peptides

Legal Events

DateCodeTitleDescription
PB01Publication
PB01Publication
SE01Entry into force of request for substantive examination
SE01Entry into force of request for substantive examination
RJ01Rejection of invention patent application after publication
RJ01Rejection of invention patent application after publication

Application publication date:20211203


[8]ページ先頭

©2009-2025 Movatter.jp