Movatterモバイル変換


[0]ホーム

URL:


CN113726411A - Satellite communication device based on reconfigurable holographic super surface and optimization method thereof - Google Patents

Satellite communication device based on reconfigurable holographic super surface and optimization method thereof
Download PDF

Info

Publication number
CN113726411A
CN113726411ACN202111002250.5ACN202111002250ACN113726411ACN 113726411 ACN113726411 ACN 113726411ACN 202111002250 ACN202111002250 ACN 202111002250ACN 113726411 ACN113726411 ACN 113726411A
Authority
CN
China
Prior art keywords
super surface
reconfigurable holographic
satellite
holographic
satellite communication
Prior art date
Legal status (The legal status is an assumption and is not a legal conclusion. Google has not performed a legal analysis and makes no representation as to the accuracy of the status listed.)
Pending
Application number
CN202111002250.5A
Other languages
Chinese (zh)
Inventor
邓若琪
张雨童
张浩波
Current Assignee (The listed assignees may be inaccurate. Google has not performed a legal analysis and makes no representation or warranty as to the accuracy of the list.)
Hangzhou Feifei Technology Co ltd
Original Assignee
Hangzhou Feifei Technology Co ltd
Priority date (The priority date is an assumption and is not a legal conclusion. Google has not performed a legal analysis and makes no representation as to the accuracy of the date listed.)
Filing date
Publication date
Application filed by Hangzhou Feifei Technology Co ltdfiledCriticalHangzhou Feifei Technology Co ltd
Priority to CN202111002250.5ApriorityCriticalpatent/CN113726411A/en
Publication of CN113726411ApublicationCriticalpatent/CN113726411A/en
Pendinglegal-statusCriticalCurrent

Links

Images

Classifications

Landscapes

Abstract

The invention relates to a satellite communication device based on a reconfigurable holographic super surface and an optimization method thereof. The satellite communication device includes: the system comprises a bias voltage control module, a reconfigurable holographic super surface, a digital beam forming module and a satellite tracking module. The bias voltage control module presets a bias voltage regulation interval; the amplitude of the received electromagnetic wave is adjusted by the reconfigurable holographic super surface according to a preset bias voltage adjusting interval; the digital beam forming module is used for preprocessing the electromagnetic waves emitted by the reconfigurable holographic super surface; and the satellite tracking module determines the beam direction of the reconfigurable holographic super surface according to the satellite position. The amplitude of the received electromagnetic wave can be adjusted according to the preset bias voltage adjusting interval by adopting the reconfigurable holographic super surface and the bias voltage control module, and the technical blank that an RHS-assisted satellite communication tracking and optimizing method is not adopted in the prior art is filled.

Description

Satellite communication device based on reconfigurable holographic super surface and optimization method thereof
Technical Field
The invention relates to the field of satellite communication, in particular to a satellite communication device based on a reconfigurable holographic super surface and an optimization method thereof.
Background
At present, satellite communication is developed rapidly, and can provide high-capacity and wide-bandwidth data services, but due to the mobility of the satellite itself, the satellite communication puts high demands on the precise beam control of an antenna and the capability of rapidly switching the beam direction. The antennas widely used for satellite communication at present comprise dish antennas and phased array antennas, but all of them have inherent defects, which seriously hinder their future development. In particular, dish antennas require heavy and expensive beam steering mechanisms, while phased arrays rely heavily on power amplifiers, consume large amounts of power, have complex phase shifting circuits, and numerous phase shifters, especially in the high frequency band. Therefore, to meet the data requirements of the exponentially growing mobile devices in future 6G wireless systems, more cost-effective and efficient antenna techniques are needed.
Due to the tunability and programmability of metamaterials, emerging Reconfigurable Holographic Surface (RHS) technology shows great potential in improving the shortcomings of conventional antennas. The RHS is an ultra-light thin plane antenna, and a plurality of metamaterial radiating elements are embedded on the surface of the antenna. The RHS utilizes a metamaterial radiation unit to construct a holographic pattern on the surface, and records the interference between a reference wave and a target wave according to the interference principle. The radiation characteristics of the reference wave can then be varied by means of the holographic pattern to produce the desired radiation direction. In particular, the reference wave generated by the antenna feed excites the RHS in the form of a guided wave, making it possible to manufacture the RHS with a compact structure based on Printed Circuit Board (PCB) technology. According to the hologram pattern, each radiation element can generate a desired radiation direction by electrically controlling the radiation amplitude of the reference wave. The holographic pattern can be changed by electrically controlling the metamaterial radiating elements, thereby rapidly changing the direction of the generated beam. Therefore, compared with the traditional dish antenna and the traditional phased array antenna, the RHS can realize dynamic beam forming without a heavy mechanical movement device and a complex phase shift circuit, can greatly save the manufacturing cost and the power loss of the antenna, and is very convenient to install due to a light and thin structure.
Prior research efforts in RHS have focused largely on RHS hardware component design and radiation direction control. However, most studies only demonstrate the feasibility of RHS to achieve dynamic multi-beam control. Currently, no work is done on RHS-assisted satellite communication tracking and optimization methods.
Disclosure of Invention
The invention aims to provide a satellite communication device based on a reconfigurable holographic super surface and an optimization method thereof, so as to fill the research blank of the prior art.
In order to achieve the purpose, the invention provides the following scheme:
a reconfigurable holographic hypersurface-based satellite communication device comprising:
the bias voltage control module is used for presetting a bias voltage regulation interval;
the reconfigurable holographic super surface is connected with the bias voltage control module and is used for adjusting the amplitude of the received electromagnetic wave according to a preset bias voltage adjusting interval;
the digital beam forming module is connected with the reconfigurable holographic super surface and is used for preprocessing the electromagnetic waves emitted by the reconfigurable holographic super surface;
and the satellite tracking module is connected with the reconfigurable holographic super surface and used for determining the beam direction of the reconfigurable holographic super surface according to the satellite position.
Preferably, the reconfigurable holographic super surface comprises: the system comprises a feed source, a waveguide and a metamaterial radiation unit array;
the feed source and the metamaterial radiation unit array are arranged on the waveguide; the metamaterial radiation unit array comprises a plurality of metamaterial radiation units;
the feed source sends out electromagnetic waves, the electromagnetic waves are transmitted on the waveguide in the form of guided waves, and the metamaterial radiation unit adjusts the radiation amplitude of the received electromagnetic waves.
Preferably, the metamaterial radiation unit includes: the metal bottom plate, the dielectric layer, the microstrip line etched with the complementary inductance-capacitance resonance ring and the liquid crystal layer are arranged on the metal bottom plate;
the dielectric layer is arranged on the metal bottom plate; the microstrip line is arranged on the dielectric layer; the liquid crystal layer is arranged on the microstrip line;
applying a bias voltage to the liquid crystal layer, wherein the capacitance of the liquid crystal layer changes with the change of the applied bias voltage, and further changes the mutual inductance of the complementary LC resonance loop.
Preferably, an annular groove is etched on the microstrip line to form a closed ring; and a metal patch is attached to the closed ring to form a complementary inductance-capacitance resonant ring resonator.
Preferably, the longest edge of each metal patch is provided with a T-shaped groove.
Preferably, the number of the metamaterial radiation unit arrays is multiple;
a feed source is arranged between the two metamaterial radiation unit arrays to form an electromagnetic wave transmission-receiving module; the reconfigurable holographic super surface is provided with a plurality of electromagnetic wave transmission-receiving modules.
A satellite communication optimization method based on reconfigurable holographic super surface is applied to the satellite communication device based on reconfigurable holographic super surface provided by the invention; the satellite communication optimization method based on the reconfigurable holographic super surface comprises the following steps:
acquiring initial radiation amplitude of electromagnetic waves received by the reconfigurable holographic super surface and a ground station and satellite signal matrix;
determining a digital beam forming scheme according to the initial radiation amplitude and a ground station and satellite signal matrix;
determining an optimal holographic beam forming scheme according to the initial radiation amplitude by adopting an iterative optimization algorithm;
and taking the digital beam forming scheme and the holographic beam forming scheme as initial solutions of a system data rate maximization problem, and carrying out iterative solution on the system data rate maximization problem until the difference value of the satellite total data rates between adjacent iteration times is smaller than a preset threshold value, wherein the output digital beam forming scheme and the output holographic beam forming scheme are optimal solutions.
Preferably, the determining an optimal holographic beamforming scheme according to the initial radiation amplitude by using an iterative optimization algorithm specifically includes:
initializing the initial radiation amplitude;
introducing an auxiliary variable, and determining a user velocity maximization problem based on the initial radiation amplitude;
determining an optimized auxiliary variable based on the auxiliary variable and the user rate maximization problem;
introducing a Lagrange multiplier, and determining a holographic beam forming scheme based on the optimized auxiliary variable;
and after updating the Lagrange multiplier by adopting a secondary gradient method, checking whether the determined holographic beam forming scheme is converged, if not, returning to the step of determining the optimized auxiliary variable based on the auxiliary variable and the user rate maximization problem, and if so, obtaining the optimal holographic beam forming scheme.
According to the specific embodiment provided by the invention, the invention discloses the following technical effects:
in the satellite communication device based on the reconfigurable holographic super surface and the optimization method thereof, the reconfigurable holographic super surface and the bias voltage control module are adopted, so that the amplitude of the received electromagnetic wave can be adjusted according to the preset bias voltage adjustment interval, and the technical blank that an RHS-assisted satellite communication tracking and optimization method is not adopted in the prior art is filled.
In addition, the reconfigurable holographic super-surface assisted satellite communication based on amplitude regulation is adopted, and the reconfigurable holographic super-surface assisted satellite communication system has the characteristics of low power, low cost, easiness in installation and the like.
Drawings
In order to more clearly illustrate the embodiments of the present invention or the technical solutions in the prior art, the drawings needed to be used in the embodiments will be briefly described below, and it is obvious that the drawings in the following description are only some embodiments of the present invention, and it is obvious for those skilled in the art to obtain other drawings without inventive exercise.
FIG. 1 is a schematic structural view of a reconfigurable holographic metasurface provided by the present invention;
FIG. 2 is a schematic illustration of the propagation of guided waves on a waveguide provided by the present invention;
FIG. 3 is a schematic structural diagram of a metamaterial radiation unit provided by the present invention;
FIG. 4 is a schematic structural diagram of a complementary LC resonance loop according to the present invention;
FIG. 5 is a flow chart of a method for optimizing satellite communication based on a reconfigurable holographic super surface according to the present invention;
FIG. 6 is a schematic diagram of a satellite communication device based on a reconfigurable holographic super surface and used for communicating with a satellite.
Description of the symbols:
the device comprises afeed source 1, awaveguide 2, ametamaterial receiving unit 3, a metal bottom plate 4, a dielectric layer 5, amicrostrip line 6, aliquid crystal layer 7 and ametal patch 8.
Detailed Description
The technical solutions in the embodiments of the present invention will be clearly and completely described below with reference to the drawings in the embodiments of the present invention, and it is obvious that the described embodiments are only a part of the embodiments of the present invention, and not all of the embodiments. All other embodiments, which can be derived by a person skilled in the art from the embodiments given herein without making any creative effort, shall fall within the protection scope of the present invention.
The invention aims to provide a satellite communication device based on a reconfigurable holographic super surface and an optimization method thereof, so as to fill the research blank of the prior art.
In order to make the aforementioned objects, features and advantages of the present invention comprehensible, embodiments accompanied with figures are described in further detail below.
The invention provides a satellite communication device based on a reconfigurable holographic super surface, which comprises: the system comprises a bias voltage control module, a reconfigurable holographic super surface, a digital beam forming module and a satellite tracking module.
The bias voltage control module is used for presetting a bias voltage regulation interval and regulating the radiation amplitude of the electromagnetic waves radiated on each super-surface unit on the reconfigurable holographic super-surface according to the preset bias voltage regulation interval.
The reconfigurable holographic super surface is connected with the bias voltage control module and is used for adjusting the amplitude of the received electromagnetic wave according to the preset bias voltage adjusting interval.
And the digital beam forming module is connected with the reconfigurable holographic super surface and is used for preprocessing the electromagnetic waves emitted by the reconfigurable holographic super surface.
The satellite tracking module is connected with the reconfigurable holographic super surface and used for determining the beam direction of the reconfigurable holographic super surface according to the satellite position.
As shown in FIG. 1, the reconfigurable holographic metasurface used in the present invention comprises: the device comprises afeed source 1, awaveguide 2 and a metamaterial radiating element array. The number of the metamaterial radiation unit arrays is multiple. Afeed source 1 is arranged between the two metamaterial radiation unit arrays to form an electromagnetic wave transmission-reception module. The reconfigurable holographic super surface is provided with a plurality of electromagnetic wave transmission-receiving modules.
Thefeed source 1 and the metamaterial radiating element array are arranged on thewaveguide 2. The metamaterial radiating element array includes a plurality ofmetamaterial radiating elements 3.
Thefeed source 1 emits electromagnetic waves, the electromagnetic waves propagate on thewaveguide 2 in a guided wave mode (as shown in fig. 2), and themetamaterial radiation unit 3 adjusts the radiation amplitude of the received electromagnetic waves. In the process of propagation, the metamaterial radiation units are controlled by the variable capacitance diodes, and the radiation amplitude of the electromagnetic waves propagated to the metamaterial radiation units can be adjusted by adjusting the voltage of the variable capacitance diodes applied to each metamaterial radiation unit, so that the bias voltage applied to the variable capacitance diodes in the metamaterial radiation units is adjusted to be a target value, and the amplitude value of the electromagnetic waves radiated on the metamaterial radiation units is a target amplitude value.
The metamaterial radiation units on the reconfigurable holographic super surface can continuously adjust the radiation amplitude of the electromagnetic waves transmitted to the metamaterial radiation units by continuously changing the bias voltage of each power supply, so that the electromagnetic waves with different energies are radiated by each radiation unit and can be finally superposed into the electromagnetic waves with continuously adjustable directions.
As shown in fig. 3, themetamaterial radiation unit 2 includes: the liquid crystal display panel comprises a metal bottom plate 4, a dielectric layer 5, amicrostrip line 6 etched with a complementary inductance-capacitance resonance ring and aliquid crystal layer 7.
A dielectric layer 5 is provided on the metal base plate 4. Themicrostrip line 6 is disposed on the dielectric layer 5. Theliquid crystal layer 7 is disposed on themicrostrip line 6.
The bias voltage is applied to theliquid crystal layer 7, the capacitance value of theliquid crystal layer 7 is changed along with the change of the applied bias voltage, and then the mutual inductance of the complementary inductance-capacitance resonant ring is changed, so that the radiation element is tunable. Specifically, as shown in fig. 4, a closed loop is formed by etching an annular groove on a microstrip line, and the closed loop is combined with ametal patch 8 to form a complementary lc resonant ring. The middle of each long side of themetal patch 8 is provided with a T-shaped groove so as to improve the freedom degree of design. Specifically, the resonant frequency of the complementary LC resonant ring and the radiation efficiency of the device can be changed by adjusting the geometry of the complementary LC resonant ring.
Furthermore, the invention also provides a satellite communication optimization method based on the reconfigurable holographic super surface, which is applied to the satellite communication device based on the reconfigurable holographic super surface provided by the invention. As shown in fig. 5, the satellite communication optimization method based on the reconfigurable holographic super surface provided by the invention comprises the following steps:
step 100: and acquiring the initial radiation amplitude of the electromagnetic wave received by the reconfigurable holographic super surface and a ground station and satellite signal matrix.
Step 101: a digital beamforming scheme is determined based on the initial radiation amplitude and the ground station and satellite signal matrices.
Step 102: and determining an optimal holographic beam forming scheme according to the initial radiation amplitude by adopting an iterative optimization algorithm.
Step 103: and taking the digital beam forming scheme and the holographic beam forming scheme as initial solutions of the system data rate maximization problem, and carrying out iterative solution on the system data rate maximization problem until the difference value of the satellite total data rate between adjacent iteration times is smaller than a preset threshold value, wherein the output digital beam forming scheme and the output holographic beam forming scheme are optimal solutions.
The specific implementation process of thestep 102 is as follows:
step 1020: the initial radiation amplitude is initialized.
Step 1021: an auxiliary variable is introduced to determine a user velocity maximization problem based on the initial radiation amplitude.
Step 1022: an optimized auxiliary variable is determined based on the auxiliary variable and the user rate maximization problem.
Step 1023: and introducing a Lagrange multiplier, and determining a holographic beam forming scheme based on the optimized auxiliary variable.
Step 1024: after updating the Lagrange multiplier by adopting a secondary gradient method, checking whether the determined holographic beam forming scheme is converged, if not, returning to the step of determining the optimized auxiliary variable based on the auxiliary variable and the user rate maximization problem, and if so, obtaining the optimal holographic beam forming scheme
Next, a ground terminal station (i.e., the satellite communication device based on the Reconfigurable holographic super surface provided by the present invention) of a Reconfigurable holographic super surface (RHS) equipped with K feed sources needs to communicate with L satellites, and then the positions of the L satellites relative to the ground terminal station are the directions of the transmission beams required by the transmission device, and the communication scene is shown in fig. 6.
The time for each ground terminal station to communicate with the satellite is divided into T time slots, each time slot has a length Δ, and it can be considered that the position of the satellite relative to the ground terminal station does not change in each time slot. Because the satellite performs approximate circular orbit motion around the earth, the position of the satellite relative to the ground terminal station at any moment can be deduced from the previous two moments, so that multiple channel estimation is avoided, and the relative position between the ground terminal station and the satellite at the moment t
Figure BDA0003235911580000071
(
Figure BDA0003235911580000072
In the form of an elevation angle,
Figure BDA0003235911580000073
for azimuth) is derived from (t-1) and (t-2) in detail as follows:
Figure BDA0003235911580000081
Figure BDA0003235911580000082
wherein R is the earth radius, H is the satellite height,
Figure BDA0003235911580000083
distance, ω, between ground terminal station and satellite at time tlAnd the angular velocity of the satellite in uniform circular motion is obtained.
According to both (a) and (b), the RHS-assisted satellite communication tracking scheme is summarized as follows:
first, the angles of the satellites relative to the ground station at the first two moments are obtained by using a traditional channel estimation method based on signal strength.
And then the satellite tracking module calculates the position of the satellite relative to the ground station at each moment by using the two formulas (a) and (b). And the digital beam forming module and the RHS form beams in corresponding directions according to the position, so that the ground station communicates with a plurality of satellites.
Considering that the satellite is influenced by various perturbation forces such as atmospheric resistance, other planet gravitations and the like to cause relative drift, the tracking precision is gradually reduced. To solve this problem, each satellite feeds back Received Signal Strength (RSS) information to the ground terminal station every few slots. Once the RSS is less than the threshold, the ground station will regain the satellite's position in the next two time slots, based on which the satellite's position in the next time slot continues to be predicted according to (a) (b).
The following details the digital beamforming and holographic beamforming design to maximize the data rate of the satellite communication system after determining the satellite position:
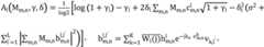
suppose that the RHS is formed by M × N metamaterial radiation elements, and the radiation amplitude of each radiation element is [0, 1%]To the radiation amplitude M of each metamaterial radiation unitm,n(i.e., the ratio of the energy radiation of the reference wave transmitted to each metamaterial radiation unit to the free space) between 0 and 1. Each satellite has J antennas, and the transmission channel between each radiation unit of RHS and the receiving antenna of each satellite
Figure BDA0003235911580000091
Can be modeled as a line-of-sight channel, the total channel matrix between the ground station and each satellite l is represented by HlExpressed, its dimensions are J × MN. Suppose that the signal transmitted by the ground station to the satellite is s, where s is an L-dimensional column vector and s islRepresenting the signal sent to satellite i. The ground station firstly carries out digital beam forming on signals sent to the satellite, then the coded signals are input into a feed source of the RHS, and the feed source sends out reference waves carrying the sent signals and is subjected to holographic beam forming of the RHS (namely, each radiation unit carries out holographic beam forming according to M)m,nRadiating reference wave energy into the free space to form a beam with a fixed direction) to each satellite, and performing receiver beamforming on the received signals by the satellites, the signals received by each satellite can be expressed as:
yl=WlHHlMVlsl+WlHHlM∑l′≠lVl′sl′+W1Hzl
where V is a digital beamforming matrix of size K L, VlIscolumn 1 of V, M is an element
Figure BDA0003235911580000092
Forming a matrix of size MN × K, KsIs the propagation vector of the reference wave propagating on the surface of the RHS,
Figure BDA0003235911580000093
is the distance vector, W, from the kth feed to the (m, n) th radiating elementlBeamforming matrix for the receiving end of each satellite with dimension of J × 1, zlIs white gaussian noise in the channel. Without loss of generality, the present invention considers that each satellite receiving antenna is a uniform linear phased array antenna, then:
Figure BDA0003235911580000094
wherein d issFor receiving the distance between the antennas, philIs the angle of arrival of the signal from the ground station to the satellite/.
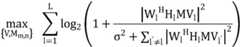
Then, the problem of maximizing the velocity of the terrestrial-satellite communication system is:
Figure BDA0003235911580000095
Figure BDA0003235911580000096
the second of which is a ground station transmit total power limit.
Based on the above description, the specific implementation process of the optimization method can be obtained as follows:
step 1: digital beamforming module design
According to the radiation amplitude M of the initial metamaterial radiation unitm,nAnd the ground station and satellite channel matrix HlTo maximize the total data rate of all satellites, the digital beamforming scheme can be expressed as:
Figure BDA0003235911580000101
wherein,
Figure BDA0003235911580000102
P=diag{p1,p2,…,pLis a diagonal matrix, optimal
Figure BDA0003235911580000103
μlIs QH(QQH)-1Is the first diagonal element of (a), v is the equation
Figure BDA0003235911580000104
Figure BDA0003235911580000105
Step 2: RHS-based holographic beamforming scheme design
According to the optimized digital beam forming scheme obtained in thestep 2, introducing an auxiliary variable gammal,δlThe user rate maximization problem can be rewritten as:
Figure BDA0003235911580000106
wherein,
Figure BDA0003235911580000107
Figure BDA0003235911580000108
is Wl(j) Conjugation of (1). Definition of
Figure BDA0003235911580000109
Is composed of
Figure BDA00032359115800001010
The subscript m and the subscript n are vectorized to obtain an MN-dimensional column vector
Figure BDA00032359115800001011
Can be expressed as
Figure BDA00032359115800001012
Figure BDA00032359115800001013
Where etalIs a matrix Re (b)l)[Re(bl)]T+Im(bl)[Im(bl)]TIs determined by the maximum characteristic value of the image,
Figure BDA00032359115800001014
is corresponding to ηlThe (m-1) N + N-th component of the feature vector of (1).
By passing
Figure BDA00032359115800001015
Can obtain the optimal gammal,δlThe specific expression is as follows:
Figure BDA0003235911580000111
Figure BDA0003235911580000112
by introducing lagrange multiplier lambdam,nLoosely constrained to an objective function, and in each round of Lagrange iteration, the optimal holographic beam forming scheme
Figure BDA0003235911580000113
This can be obtained by solving the following system of linear equations:
Figure BDA0003235911580000114
the complete holographic beamforming optimization algorithm is summarized as follows:
(1) initialization Mm,n
(2) Is calculated by the formulas (c) and (d)
Figure BDA0003235911580000115
And
Figure BDA0003235911580000116
(3) is calculated by the formula (e)
Figure BDA0003235911580000117
(4) Updating lambda by a sub-gradient methodm,n
(5) Checking whether the algorithm is converged, if not, returning to the step (2) for continuous iteration, and if so, ending the algorithm to obtain the optimal
Figure BDA0003235911580000118
And step 3: iterative optimization of digital beamforming and holographic beamforming schemes using a computer
On the basis of the algorithms provided in thesteps 1 and 2, the invention designs a ground-satellite communication system rate joint optimization algorithm based on RHS, and solves the problem of system data rate maximization in an iterative manner. In particular, in maintaining the holographic beamforming scheme { M }m,nWith the fixed, a digital beamforming scheme V can be obtained with the digital beamforming optimization algorithm proposed instep 1. Then using the holographic beam forming optimization algorithm provided instep 2 to pair Mm,nAnd (6) optimizing. The optimized digital beamformer and holographic beamformer are used as initial solutions. In each subsequent iteration, the two sub-problems are solved alternately. Until the value difference of the total satellite data rate between two adjacent iterations is smaller than a predefined threshold, the iterations are completed, and the optimal digital beam forming scheme V is obtained*And holographic beam forming scheme
Figure BDA0003235911580000119
Maximizing the overall rate of the terrestrial-satellite communication system.
The embodiments in the present description are described in a progressive manner, each embodiment focuses on differences from other embodiments, and the same and similar parts among the embodiments are referred to each other.
The principles and embodiments of the present invention have been described herein using specific examples, which are provided only to help understand the method and the core concept of the present invention; meanwhile, for a person skilled in the art, according to the idea of the present invention, the specific embodiments and the application range may be changed. In view of the above, the present disclosure should not be construed as limiting the invention.

Claims (8)

1. A satellite communication device based on a reconfigurable holographic super surface, comprising:
the bias voltage control module is used for presetting a bias voltage regulation interval;
the reconfigurable holographic super surface is connected with the bias voltage control module and is used for adjusting the amplitude of the received electromagnetic wave according to a preset bias voltage adjusting interval;
the digital beam forming module is connected with the reconfigurable holographic super surface and is used for preprocessing the electromagnetic waves emitted by the reconfigurable holographic super surface;
and the satellite tracking module is connected with the reconfigurable holographic super surface and used for determining the beam direction of the reconfigurable holographic super surface according to the satellite position.
2. The reconfigurable holographic metasurface-based satellite communication device of claim 1, wherein the reconfigurable holographic metasurface comprises: the system comprises a feed source, a waveguide and a metamaterial radiation unit array;
the feed source and the metamaterial radiation unit array are arranged on the waveguide; the metamaterial radiation unit array comprises a plurality of metamaterial radiation units;
the feed source sends out electromagnetic waves, the electromagnetic waves are transmitted on the waveguide in the form of guided waves, and the metamaterial radiation unit adjusts the radiation amplitude of the received electromagnetic waves.
3. The reconfigurable holographic super surface based satellite communication device of claim 2, wherein the metamaterial radiating elements comprise: the metal bottom plate, the dielectric layer, the microstrip line etched with the complementary inductance-capacitance resonance ring and the liquid crystal layer are arranged on the metal bottom plate;
the dielectric layer is arranged on the metal bottom plate; the microstrip line is arranged on the dielectric layer; the liquid crystal layer is arranged on the microstrip line;
applying a bias voltage to the liquid crystal layer, wherein the capacitance of the liquid crystal layer changes with the change of the applied bias voltage, and further changes the mutual inductance of the complementary LC resonance loop.
4. The reconfigurable holographic super surface based satellite communication device according to claim 3, wherein an annular groove is etched on the microstrip line to form a closed ring; and a metal patch is attached to the closed ring to form a complementary inductance-capacitance resonant ring resonator.
5. The reconfigurable holographic super surface based satellite communication device of claim 4, wherein the longest edges of the metal patches are each provided with a "T" shaped slot.
6. The reconfigurable holographic-based meta-surface satellite communication device according to claim 2, wherein the number of the metamaterial radiating element arrays is multiple;
a feed source is arranged between the two metamaterial radiation unit arrays to form an electromagnetic wave transmission-receiving module; the reconfigurable holographic super surface is provided with a plurality of electromagnetic wave transmission-receiving modules.
7. A satellite communication optimization method based on a reconfigurable holographic super surface, which is characterized by being applied to the satellite communication device based on the reconfigurable holographic super surface according to any one of claims 1 to 6; the satellite communication optimization method based on the reconfigurable holographic super surface comprises the following steps:
acquiring initial radiation amplitude of electromagnetic waves received by the reconfigurable holographic super surface and a ground station and satellite signal matrix;
determining a digital beam forming scheme according to the initial radiation amplitude and a ground station and satellite signal matrix;
determining an optimal holographic beam forming scheme according to the initial radiation amplitude by adopting an iterative optimization algorithm;
and taking the digital beam forming scheme and the holographic beam forming scheme as initial solutions of a system data rate maximization problem, and carrying out iterative solution on the system data rate maximization problem until the difference value of the satellite total data rates between adjacent iteration times is smaller than a preset threshold value, wherein the output digital beam forming scheme and the output holographic beam forming scheme are optimal solutions.
8. The method for satellite communication optimization based on the reconfigurable holographic super surface according to claim 7, wherein the determining an optimal holographic beamforming scheme according to the initial radiation amplitude by using an iterative optimization algorithm specifically includes:
initializing the initial radiation amplitude;
introducing an auxiliary variable, and determining a user velocity maximization problem based on the initial radiation amplitude;
determining an optimized auxiliary variable based on the auxiliary variable and the user rate maximization problem;
introducing a Lagrange multiplier, and determining a holographic beam forming scheme based on the optimized auxiliary variable;
and after updating the Lagrange multiplier by adopting a secondary gradient method, checking whether the determined holographic beam forming scheme is converged, if not, returning to the step of determining the optimized auxiliary variable based on the auxiliary variable and the user rate maximization problem, and if so, obtaining the optimal holographic beam forming scheme.
CN202111002250.5A2021-08-302021-08-30Satellite communication device based on reconfigurable holographic super surface and optimization method thereofPendingCN113726411A (en)

Priority Applications (1)

Application NumberPriority DateFiling DateTitle
CN202111002250.5ACN113726411A (en)2021-08-302021-08-30Satellite communication device based on reconfigurable holographic super surface and optimization method thereof

Applications Claiming Priority (1)

Application NumberPriority DateFiling DateTitle
CN202111002250.5ACN113726411A (en)2021-08-302021-08-30Satellite communication device based on reconfigurable holographic super surface and optimization method thereof

Publications (1)

Publication NumberPublication Date
CN113726411Atrue CN113726411A (en)2021-11-30

Family

ID=78678995

Family Applications (1)

Application NumberTitlePriority DateFiling Date
CN202111002250.5APendingCN113726411A (en)2021-08-302021-08-30Satellite communication device based on reconfigurable holographic super surface and optimization method thereof

Country Status (1)

CountryLink
CN (1)CN113726411A (en)

Cited By (4)

* Cited by examiner, † Cited by third party
Publication numberPriority datePublication dateAssigneeTitle
CN114499634A (en)*2022-01-042022-05-13中国运载火箭技术研究院Unmanned cluster cooperation system and method based on electromagnetic super-surface artificial Doppler effect
CN116112051A (en)*2022-12-262023-05-12上海前瞻创新研究院有限公司 Multi-satellite cooperative downlink communication method and system based on intelligent metasurface
CN116119025A (en)*2023-02-232023-05-16哈尔滨工业大学Modularized reconfigurable satellite distributed self-organizing reconstruction method and system thereof
CN116633423A (en)*2023-07-242023-08-22成都本原星通科技有限公司Low-orbit satellite auxiliary communication method based on reconfigurable intelligent surface

Citations (6)

* Cited by examiner, † Cited by third party
Publication numberPriority datePublication dateAssigneeTitle
CN106099380A (en)*2016-06-242016-11-09西安电子科技大学Waveguide slot frequency scan antenna based on super surface
WO2017091845A1 (en)*2015-12-012017-06-08Macquarie UniversityA directional antenna with a variable beam direction
US20190372234A1 (en)*2016-10-142019-12-05Searete LlcWireless Power Transfer in the Fresnel Zone with a Dynamic Metasurface Antenna
CN111769359A (en)*2020-05-202020-10-13东南大学 A digitally encoded liquid crystal THz metasurface antenna and its beam reconstruction method
CN112002996A (en)*2020-07-102020-11-27北京邮电大学Design method of four-polarization reconfigurable super-surface antenna
CN113098536A (en)*2021-03-102021-07-09北京大学Communication emission system based on reconfigurable holographic super surface and communication optimization method

Patent Citations (6)

* Cited by examiner, † Cited by third party
Publication numberPriority datePublication dateAssigneeTitle
WO2017091845A1 (en)*2015-12-012017-06-08Macquarie UniversityA directional antenna with a variable beam direction
CN106099380A (en)*2016-06-242016-11-09西安电子科技大学Waveguide slot frequency scan antenna based on super surface
US20190372234A1 (en)*2016-10-142019-12-05Searete LlcWireless Power Transfer in the Fresnel Zone with a Dynamic Metasurface Antenna
CN111769359A (en)*2020-05-202020-10-13东南大学 A digitally encoded liquid crystal THz metasurface antenna and its beam reconstruction method
CN112002996A (en)*2020-07-102020-11-27北京邮电大学Design method of four-polarization reconfigurable super-surface antenna
CN113098536A (en)*2021-03-102021-07-09北京大学Communication emission system based on reconfigurable holographic super surface and communication optimization method

Non-Patent Citations (1)

* Cited by examiner, † Cited by third party
Title
蒋之浩等: "超表面多波束天线技术及其在无线能量传输中的应用", 《空间电子技术》*

Cited By (7)

* Cited by examiner, † Cited by third party
Publication numberPriority datePublication dateAssigneeTitle
CN114499634A (en)*2022-01-042022-05-13中国运载火箭技术研究院Unmanned cluster cooperation system and method based on electromagnetic super-surface artificial Doppler effect
CN114499634B (en)*2022-01-042024-02-09中国运载火箭技术研究院 Unmanned swarm collaboration system and method based on electromagnetic metasurface artificial Doppler effect
CN116112051A (en)*2022-12-262023-05-12上海前瞻创新研究院有限公司 Multi-satellite cooperative downlink communication method and system based on intelligent metasurface
CN116119025A (en)*2023-02-232023-05-16哈尔滨工业大学Modularized reconfigurable satellite distributed self-organizing reconstruction method and system thereof
CN116119025B (en)*2023-02-232023-08-11哈尔滨工业大学Modularized reconfigurable satellite distributed self-organizing reconstruction method and system thereof
CN116633423A (en)*2023-07-242023-08-22成都本原星通科技有限公司Low-orbit satellite auxiliary communication method based on reconfigurable intelligent surface
CN116633423B (en)*2023-07-242023-10-13成都本原星通科技有限公司Low-orbit satellite auxiliary communication method based on reconfigurable intelligent surface

Similar Documents

PublicationPublication DateTitle
CN113098536B (en)Communication transmitting system based on reconfigurable holographic super surface and communication optimization method
CN113726411A (en)Satellite communication device based on reconfigurable holographic super surface and optimization method thereof
Chen et al.Intelligent reflecting surface assisted terahertz communications toward 6G
Tang et al.Transmissive RIS for B5G communications: Design, prototyping, and experimental demonstrations
CN113595607B (en) A hybrid precoding method and system based on reconfigurable holographic metasurface
KR20230040568A (en)System and Method for wireless power transfer having receiving power based beam scanning algorithm to achieve optimized transfer efficiency
CN113747453A (en)Multi-cell wireless communication system and method based on reconfigurable holographic super-surface antenna
CN113726385A (en)Wireless communication device and method based on reconfigurable holographic super surface
CN113514802A (en)Millimeter wave radar and detection method based on reconfigurable holographic super surface
CN116073867A (en)Holographic hybrid precoding method based on reconfigurable intelligent super surface
CN113726399A (en)Wireless communication relay device, method and system based on reconfigurable holographic super surface
US20240313414A1 (en)Passive metasurface for interacting with electromagnetic signals
CN112072309B (en) A Low-cost Phased Array Antenna Architecture with Step Compensation and Its Design Method
Pan et al.Passive metasurface-based low earth orbit ground station design
CN113726414B (en)Unmanned aerial vehicle relay device, wireless communication optimization method and system
CN113726394A (en)Communication receiver system based on reconfigurable holographic super surface
CN113726386A (en)Energy efficiency optimization method and system for reconfigurable holographic super surface
Sharma et al.Holographic Metasurface Design for Flexible Beamforming Antennas
CN217428121U (en) Reconfigurable intelligent surface beamforming system based on perception assistance
CN113765561A (en)Holographic beam forming method, system and storage medium based on channel reciprocity
CN114726684B (en)Channel estimation method and device based on holographic multiple access
CN113783594B (en) A user pairing method and system based on reconfigurable holographic metasurface
CN113472414A (en)Serial antenna beam forming method and system based on reconfigurable holographic super surface
CN113726387A (en)Mobile edge computing system and method based on reconfigurable holographic super-surface assistance
CN113761604A (en)Optimization method and system for weakening reconfigurable holographic super-surface radiation side lobe

Legal Events

DateCodeTitleDescription
PB01Publication
PB01Publication
SE01Entry into force of request for substantive examination
SE01Entry into force of request for substantive examination
RJ01Rejection of invention patent application after publication

Application publication date:20211130

RJ01Rejection of invention patent application after publication

[8]ページ先頭

©2009-2025 Movatter.jp