



技术领域technical field
本发明涉及水声传感器网络技术领域,尤其是一种通过拓扑和路由控制来均网络节点重要性的水声传感器网络抗毁方法。The invention relates to the technical field of underwater acoustic sensor networks, in particular to an underwater acoustic sensor network anti-destruction method for equalizing the importance of network nodes through topology and routing control.
背景技术Background technique
水声传感器网络是无线传感器网络的一个典型应用,作为海洋环境中的一个理想媒介,能够大范围、实时的监测目标海域,在海洋资源勘测、海洋环境监测和海域安全保证等领域拥有广阔的应用前景。Underwater acoustic sensor network is a typical application of wireless sensor network. As an ideal medium in the marine environment, it can monitor the target sea area in a large range and in real time. prospect.
水声传感器网络作为一种无线自组织网络,具有传输介质开放、节点间协作算法、防御边界模糊等特点,容易受到各种攻击,比如Wormhole、Hello-Flood、SelectiveForward攻击。同时由于水声信道传输速率低、误码率高、时延长、带宽窄和节点能量消耗快等特性,网络中经常会存在某个节点通信不上或者失效的情况,这会大大威胁水声传感器网络的基本功能,网络鲁棒性得不到保障。As a wireless self-organizing network, underwater acoustic sensor network has the characteristics of open transmission medium, cooperative algorithm between nodes, and fuzzy defense boundary. It is vulnerable to various attacks, such as Wormhole, Hello-Flood, and SelectiveForward attacks. At the same time, due to the characteristics of low transmission rate, high bit error rate, time extension, narrow bandwidth and fast energy consumption of nodes in the underwater acoustic channel, there is often a situation in the network that a node cannot communicate or fails, which will greatly threaten the underwater acoustic sensor. The basic functions of the network and the robustness of the network cannot be guaranteed.
针对上述问题,国内外许多学者都提出了不同的方法来提高网络的抗毁性,保障网络的基本功能。Yang Junlong等提出通过避免关键节点的多路径路由方法MRABKN,他们给出了一个简单有效的探测关键节点并且避免它们的方法,模拟结果显示了该方法在获取不相交路径上有很好的性能,能有效地减缓关键节点的拥塞,提高了网络的可靠性。中科大的Gang Yan等提出了有效路径路由策略,该有效路径路由策略并不是像最短路径路由算法那样寻找最短的路径,而是寻找“有效路径”,所谓“有效路径”就是在有效的路径中避开那些可能产生拥塞的关键节点。Cun-Lai Pu等在有效路由的基础上进行了改进,提出了积极的路由(AR)策略,AR策略改进了路径P的代价函数,并通过模拟网络的容量和级联失效的大小等参量,证明了该策略比有效路由策略在防御网络的级联失效方面稍微更优。In response to the above problems, many scholars at home and abroad have proposed different methods to improve the survivability of the network and ensure the basic functions of the network. Yang Junlong et al. proposed a multi-path routing method MRABKN by avoiding key nodes. They gave a simple and effective method to detect key nodes and avoid them. The simulation results show that the method has good performance in obtaining disjoint paths. It can effectively slow down the congestion of key nodes and improve the reliability of the network. Gang Yan et al. of the University of Science and Technology of China proposed an effective path routing strategy, which is not to find the shortest path like the shortest path routing algorithm, but to find an "effective path". The so-called "effective path" is to avoid the effective path. Open key nodes that may cause congestion. Cun-Lai Pu et al. improved on the basis of effective routing and proposed an active routing (AR) strategy. The AR strategy improved the cost function of the path P, and by simulating parameters such as network capacity and the size of cascading failures, It is shown that this strategy is slightly better than the effective routing strategy in defending against cascading failures of the network.
从上述研究可以看出,不同的研究者针对识别出的“关键节点”,通过关键节点避免、“有效路径”、路由优化、网络分流等来实现网络负载均衡,改善关键节点的拥塞现象。然而,上述研究均是网络负载均衡角度出发,未考虑网络抗攻击的能力的优化问题。而且上述研究都是基于网络局部来分析,没有从整体网络来进行分析。在实际中,网络整体状态对整个网络的抗毁能力和防御能力具有很重要的参考意义。From the above research, it can be seen that different researchers aim at the identified "key nodes" to achieve network load balancing and improve the congestion of key nodes through key node avoidance, "effective path", route optimization, and network offloading. However, the above studies are all from the perspective of network load balancing, and do not consider the optimization of network anti-attack ability. Moreover, the above studies are all based on the analysis of the network part, not from the overall network. In practice, the overall state of the network has a very important reference for the survivability and defense capabilities of the entire network.
发明内容SUMMARY OF THE INVENTION
为了克服现有技术的不足,本发明提供一种基于节点重要性均衡的水声传感器网络抗毁方法。为了保证己方水声传感器网络在节点失效或者遭受未知攻击情况下的基本通信传输功能,提高己方水声传感器网络的抗毁能力,提出了一种基于节点重要性均衡的水声传感器网络抗毁技术。本发明在识别出网络中所有节点重要度的基础上,通过将拓扑控制和路由控制相结合来均衡网络中所有节点的重要度,从而达到即使一个或者多个节点被攻击失效时,也不会对整个网络的基本功能造成影响,即存在至少一条连接全网的通路。In order to overcome the deficiencies of the prior art, the present invention provides an underwater acoustic sensor network anti-destruction method based on node importance balance. In order to ensure the basic communication transmission function of our own underwater acoustic sensor network in the case of node failure or unknown attack, and to improve the anti-destruction capability of our own underwater acoustic sensor network, an anti-destruction technology of underwater acoustic sensor network based on node importance balance is proposed. . On the basis of identifying the importance of all nodes in the network, the invention balances the importance of all nodes in the network by combining topology control and routing control, so that even if one or more nodes are attacked and fail, the It affects the basic functions of the entire network, that is, there is at least one path connecting the entire network.
本发明解决其技术问题所采用的技术方案包括如下步骤:The technical scheme adopted by the present invention to solve its technical problems comprises the following steps:
第一步:统计出网络中所有节点的7个重要度评判准则;Step 1: Count the seven importance evaluation criteria of all nodes in the network;
统计计算出7个节点重要度评判准则度D(a)、介数B(a)、紧密度C(a)、特征向量中心性E(a)、脆弱性V(a)、跳距H(a)、使用度U(a);Statistically calculated 7 node importance evaluation criteria D(a), betweenness B(a), closeness C(a), eigenvector centrality E(a), vulnerability V(a), hop distance H( a), the degree of use U(a);
第二步:评估出网络中所有节点的重要度,并找出关键节点和非关键节点;Step 2: Evaluate the importance of all nodes in the network, and find out key nodes and non-critical nodes;
采用TOPSIS(Technique for Order Preference by Similarity to IdealSolution)多准则评估算法,评估出网络中所有节点的重要度f*,并根据节点重要度区分出关键节点V1和非关键节点V2,多准则评估以及关键节点V1和非关键节点V2的具体公式如下:Using the TOPSIS (Technique for Order Preference by Similarity to IdealSolution) multi-criteria evaluation algorithm, the importance f* of all nodes in the network is evaluated, and the key node V1 and the non-critical node V2 are distinguished according to the node importance, multi-criteria evaluation And the specific formulas of the critical node V1 and the non-critical node V2 are as follows:
其中,为所评估出的所有节点重要度f*中节点va的网络重要度,V1为重要度中前10%的节点,V2为重要度中后10%的节点;TOPSIS表示采用TOPSIS多准则评估算法,对输入D(a),B(a),C(a),E(a),V(a),H(a),U(a)进行多准则融合,最终得到所有节点的重要度f*;top10%表示所有节点的重要度按照从大到小排序中前10%的节点,last10%表示所有节点的重要度按照从大到小排序中后10%的节点;in, is the network importance of the node va in the estimated importancef* of all nodes, V1 is the node with the first 10% of the importance, and V2 is the node with the last 10% of the importance; TOPSIS means using TOPSIS multi-criteria Evaluate the algorithm, perform multi-criteria fusion on the inputs D(a), B(a), C(a), E(a), V(a), H(a), U(a), and finally get the importance of all nodes Degree f* ; top10% represents the top 10% nodes in the order of importance of all nodes in descending order, last10% represents the last 10% of the nodes in the order of importance of all nodes in descending order;
第三步:Sink节点根据节点重要度识别结果决定节点重要性均衡方案;Step 3: The sink node decides the node importance balance scheme according to the node importance identification result;
对关键节点V1进行分类,根据得到的网络中每个节点的跳数信息h(a),通过判断关键节点自身两跳通信范围内是否有非关键节点,若有,则将该关键节点分为需要进行拓扑控制的节点VT;若没有,则将该关键节点分为需要进行拓扑控制的节点VR;具体数学描述如下:Classify the key node V1 , according to the obtained hop number information h(a) of each node in the network, by judging whether there is a non-critical node within the two-hop communication range of the key node itself, if so, classify the key node into is the node VT that needs topology control; if not, the key node is divided into nodesVR that need topology control; the specific mathematical description is as follows:
从上式中可以看出,若关键节点两跳通信范围内存在非关键节点,则将关键节点划分为需要进行拓扑控制的关键节点VT,否则划分为需要进行路由控制的关键节点VR;其中将VT对应的两跳通信范围内的非关键节点的集合定义为VL,VL∈V2且VL内的节点均在VT内节点的两跳通信范围内,并在分类过程中将关键节点VT和其两跳范围内的非关键节点VL的对应关系记录下来;It can be seen from the above formula that if there is a non-critical node within the two-hop communication range of the key node, the key node is divided into a key node VT that needs to be controlled by topology, otherwise it is divided into a key nodeVR that needs to be controlled byrouting ; The set of non-critical nodes within the two- hop communication range corresponding to VT is defined asVL , whereVL ∈ V2 and the nodes withinVL are all within the two- hop communication range of nodes within VT, and in the classification process Record the correspondence between the key nodeVT and its non-key nodeVL within two hops;
第四步:Sink节点广播节点重要性均衡控制包Step 4: Sink node broadcasts node importance balance control packet
将分类结果VT,VR的节点信息(位置、节点号)以及所有节点重要度评估结果f*插入节点重要性均衡控制包内,并将需要进行拓扑控制的关键节点附近的非关键节点VL的位置信息以及和VT的对应关系一同插入节点重要性均衡控制包内,然后广播出去;Insert the classification result VT , the node information( position, node number) of VR and all node importance evaluation results f* into the node importance balance control packet, and insert the non-critical nodes V near the key nodes that need to be topologically controlled. The location information ofL and the corresponding relationship withVT are inserted into the node importance balance control packet together, and then broadcasted;
第五步:执行拓扑控制来均衡网络节点重要度;Step 5: Perform topology control to balance the importance of network nodes;
当VL中的非关键节点在接收到节点重要性均衡控制包后,根据包内的对应的关键节点VT的位置,移动自身至对应的关键节点VT的10m范围内;When the non-critical node inVLreceives the node importance equalization control packet, it moves itself to within10m of the corresponding key node VT according to the position of the corresponding key node VT in the packet;
第六步:执行路由控制来均衡网络节点重要度Step 6: Perform routing control to balance the importance of network nodes
VR中的关键节点在接收到节点重要性均衡控制包后,根据包内f*值更新自身的节点重要度,然后通过改变在接收到数据包后的保持时间HT(holding time),抑制关键节点作为通信中继节点的概率,降低关键节点的重要度,提高非关键节点的重要度。After receiving the node importance balance control packet, the key node inVR updates its own node importance according to the f* value in the packet, and then suppresses the key node by changing the holding time HT (holding time) after receiving the data packet. The probability of a node acting as a communication relay node reduces the importance of key nodes and increases the importance of non-critical nodes.
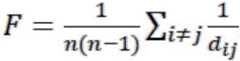
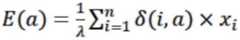
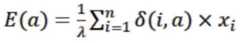
所述第一步中,度D(a)、介数B(a)、紧密度C(a)、特征向量中心性E(a)、脆弱性V(a)、跳距H(a)、使用度U(a)的具体计算公式如下:In the first step, degree D(a), betweenness B(a), closeness C(a), eigenvector centrality E(a), vulnerability V(a), hop distance H(a), The specific calculation formula of the utilization degree U(a) is as follows:
(1)度D(a)的表达式为:(1) The expression of degree D(a) is:
式中in the formula
其中a,i表示节点va和节点vi的序号,n表示网络中总节点的个数,V表示网络中所有节点的集合;where a, i represent the serial numbers of node va and node vi , n represents the total number of nodes in the network, and V represents the set of all nodes in the network;
(2)介数B(a)的表达式为:(2) The expression of betweenness B(a) is:
式中P(i,j)是节点vi和vj之间的最短路径数,P(i,a,j)是节点vi和vj之间经过节点va的最短路径数;where P(i, j) is the number of shortest paths between nodes vi and vj , and P(i, a, j) is the number of shortest paths between nodes vi and vj passing through node va ;
(3)紧密度C(a)的表达式为:(3) The expression of compactness C(a) is:
式中daj表示节点va和vj之间最短路径的长度;where daj represents the length of the shortest path between nodes va and vj ;
(4)特征向量中心性E(a)的表达式为:(4) The expression of eigenvector centrality E(a) is:
式中λ是一个满足方程Mx=λx的常数,M为拓扑无向图的邻接矩阵,{x1,x2...,xn}是特征向量;where λ is a constant satisfying the equation Mx=λx, M is the adjacency matrix of the topologically undirected graph, {x1 , x2 ..., xn } is the eigenvector;
(5)脆弱性V(i)的表达式为:(5) The expression of vulnerability V(i) is:
式中,是网络的全局效率,Fi是移除节点vi及其所有边后的网络全局效率;In the formula, is the global efficiency of the network, Fi is the global efficiency of the network after removing node vi and all its edges;
(6)使用度U(a)表达式为:(6) The expression of usage degree U(a) is:
式中,表示倒数第t次通信中,节点va作为通信节点被使用的次数,N表示只统计最近N次通信;In the formula, Represents the number of times that node va is used asa communication node in the last t-th communication, and N indicates that only the latest N communications are counted;
(7)跳距H(a)表达式如下:(7) The hop distance H(a) is expressed as follows:
H(a)=h(a)-h(s)H(a)=h(a)-h(s)
其中h(s)表示Sink节点所在的跳数,h(a)表示节点va所在的跳数。Where h(s) represents the number of hops where the sink node is located, and h(a) represents the number of hops where the node va is located.
所述第六步中,HT的具体计算公式如下:In the sixth step, the specific calculation formula of HT is as follows:
式中:τ=R/c,R为节点最大传输距离,c为水声传播速度,约为1500m/s;Δd为上一跳节点与当前节点的深度差;fi*为节点vi的重要度评估值;为网络中节点重要度的最小值;为网络中节点重要度的最大值;δ是一个可以调整的变量,当δ取值较小时,节点HT较长,参与数据包转发的节点较少,能耗减少,但是端到端延时会变长。In the formula: τ=R/c, R is the maximum transmission distance of the node, c is the underwater sound propagation speed, which is about 1500m/s; Δd is the depth difference between the previous hop node and the current node; fi* is the depth of the node vi . importance evaluation value; is the minimum value of the node importance in the network; is the maximum value of node importance in the network; δ is a variable that can be adjusted. When the value of δ is small, the node HT is longer, the nodes participating in packet forwarding are less, and the energy consumption is reduced, but the end-to-end delay will be reduced. lengthen.
本发明的有益效果在于所提出的基于节点重要性均衡的水声传感器网络抗毁方法,可以在复杂多变且容易遭受攻击的水下环境下,在评估出网络中每个节点重要度的基础上,通过拓扑控制和路由控制相结合的方法,在最小的移动能耗和网络性能波动情况下,达到均衡网络中所有节点重要度的目的。这样在面对未知攻击尤其是选择性攻击时,即攻击者针对性按照网络节点重要程度进行攻击,网络也能保有基本功能,表现出极高的抗毁性。因此本发明不仅仅提高了水声传感器网络的可靠性,同时也推动了网络空间安全在水下传感器网络中的应用与发展,对于我国空天海一体化网络发展提供技术基础。The beneficial effect of the present invention is that the proposed anti-destruction method for underwater acoustic sensor network based on node importance balance can be used to evaluate the importance of each node in the network in a complex and changeable underwater environment that is vulnerable to attack. On the other hand, through the combination of topology control and routing control, the purpose of balancing the importance of all nodes in the network is achieved under the condition of minimum mobile energy consumption and network performance fluctuations. In this way, in the face of unknown attacks, especially selective attacks, that is, the attackers attack according to the importance of network nodes, the network can also retain basic functions, showing extremely high invulnerability. Therefore, the present invention not only improves the reliability of the underwater acoustic sensor network, but also promotes the application and development of cyberspace security in the underwater sensor network, and provides a technical basis for the development of my country's air-space-sea integrated network.
附图说明Description of drawings
图1是本发明总体方法框图。Figure 1 is a block diagram of the overall method of the present invention.
图2是本发明水声传感器网络示意图。FIG. 2 is a schematic diagram of the underwater acoustic sensor network of the present invention.
图3是本发明节点重要性均衡示意图,图3(a)是重要度均衡前示意图,图3(b)是重要度均衡后示意图。Fig. 3 is a schematic diagram of node importance equalization according to the present invention, Fig. 3(a) is a schematic diagram before importance equalization, and Fig. 3(b) is a schematic diagram after importance equalization.
图4是本发明网络节点场景图。FIG. 4 is a scene diagram of a network node of the present invention.
具体实施方式Detailed ways
下面结合附图和实施例对本发明进一步说明。The present invention will be further described below in conjunction with the accompanying drawings and embodiments.
本发明在识别出网络中所有节点重要度的基础上,从网络整体重要度分散程度出发,通过将拓扑控制和路由控制相结合,跨层提出了一种基于节点重要性均衡的水声传感器网络抗毁技术。On the basis of identifying the importance of all nodes in the network, starting from the dispersion degree of the overall importance of the network, the invention proposes an underwater acoustic sensor network based on node importance balance across layers by combining topology control and routing control. Destruction technology.
针对水声传感器网络容易节点失效以及遭受未知攻击,使得网络崩溃问题,提出了一种针对水声传感器网络的节点重要性均衡技术。Aiming at the problem that underwater acoustic sensor networks are prone to node failure and unknown attacks, which make the network collapse, a node importance equalization technology for underwater acoustic sensor networks is proposed.
下面以水声传感器网络中广泛使用的EALR分层机会路由协议为例,给出相应的基于节点重要性均衡的水声传感器网络抗毁技术的实施方案:Taking the EALR layered opportunistic routing protocol widely used in the underwater acoustic sensor network as an example, the corresponding implementation scheme of the anti-destruction technology of the underwater acoustic sensor network based on the balance of node importance is given:
基于EALR分层机会路由协议的Sink节点水声传感器网络节点场景如图2所示,节点之间利用声信号进行信息传输。其中Sink节点位于整个网络的最顶层,即漂浮在水面上的节点。该节点负责接收水下传感器网络传输的数据以及将数据汇总发送给水上控制台来进一步处理。1号节点为Sink节点,布放在水面。其他节点均为普通节点,按照任务需求布放在水下不同深度的位置,普通节点根据自身业务需求发送数据给Sink节点。The node scene of the Sink node underwater acoustic sensor network based on the EALR layered opportunistic routing protocol is shown in Figure 2, and the nodes use acoustic signals for information transmission. The sink node is located at the top of the entire network, that is, the node floating on the water. This node is responsible for receiving the data transmitted by the underwater sensor network and sending the data summary to the surface console for further processing.
具体实施步骤如下:The specific implementation steps are as follows:
第一步:1号Sink节点统计计算出网络中每个节点的7个重要度评判准则。Step 1: The No. 1 Sink node statistically calculates the seven importance evaluation criteria of each node in the network.
在网络工作过程中,当水下普通节点2-27转发数据包时,将自身节点号、跳数以及位置信息(x_position,y_position)加入数据包中,并最终汇总给1号Sink节点。这样1号Sink节点作为目的节点就能获取到工作过程中的每次通信路径。然后根据得到的通信路径,从而获知网络中任意两个点间是否存在通路;若通路,则将两个节点连接起来,否则不连接,同时根据节点位置信息,计算出每条通路的长度,最终得到网络拓扑图;During the network operation, when the underwater ordinary node 2-27 forwards the data packet, it adds its own node number, hop count and position information (x_position, y_position) to the data packet, and finally summarizes it to the No. 1 sink node. In this way, the No. 1 sink node can obtain each communication path in the working process as the destination node. Then, according to the obtained communication path, it is known whether there is a path between any two points in the network; if there is a path, connect the two nodes, otherwise do not connect, and calculate the length of each path according to the node location information, and finally Get the network topology map;
在得到网络拓扑图后,同时结合1号节点统计的节点的通信次数和跳数信息,根据公式计算出网络中每个节点的度、介数、紧密度、特征向量中心性、脆弱性、使用度、跳数7个节点重要度评判准则:After the network topology map is obtained, the degree, betweenness, closeness, eigenvector centrality, vulnerability, usage of each node in the network are calculated according to the formulas based on the number of communications and hops of the nodes counted by the No. 1 node. Degree, hop count 7 node importance evaluation criteria:
第二步:1号Sink节点评估出网络中所有节点的重要度,然后识别出关键节点和非关键节点。Step 2: Sink node No. 1 evaluates the importance of all nodes in the network, and then identifies key nodes and non-critical nodes.
1号节点在统计计算出网络中每个节点的度、介数、紧密度、特征向量中心性、脆弱性、使用度、跳数7个节点重要度评判准则。然后采用TOPSIS多准则评估算法根据以下公式最终评估出网络中所有节点的重要度fi*。最后选取重要度最大的前10%节点作为关键节点,记作V1,选取重要度最小的后10%节点作为非关键节点,记作V2。
第三步:1号Sink节点根据节点重要度识别结果决定节点重要性均衡方案。Step 3: Sink node No. 1 decides the node importance balance scheme according to the node importance identification result.
1号节点在评估得到网络中节点的重要度并选取出关键节点和非关键节点后,开始决定网络节点重要度均衡方案。对所有关键节点一一进行判断,首先判断其两条通信范围内是否存在非关键节点。若存在,则将该关键节点划分为需要进行拓扑控制的关键节点,记作VT,并记录距离其最近的非关键节点Va(其中va∈V2)的节点号(node_number)以及位置信息(x_position,y_position)。若不存在,则将该节点分类为需要进行路由控制的关键节点,记作VR。After
第四步:1号Sink节点广播节点重要性均衡控制包Step 4:
1号节点将分类结果VT,VR的节点信息(位置x_position,y_position、节点号node_number)以及节点重要度评估结果f*插入节点重要性均衡控制包内,并将需要进行拓扑控制的关键节点附近的非关键节点VL的位置信息以及和VT的对应关系一同插入包内,然后通过水声通信广播出去。
第五步:VL中的节点执行拓扑控制来均衡网络节点重要度Step 5: Nodes inVL perform topology control to balance the importance of network nodes
当VL中的非关键节点在接收到1号节点广播的节点重要性均衡控制包后,根据包内的对应的关键节点VT的位置,然后移动自身至对应的关键节点VT附近。这样的话,就分担了关键节点的通信负载,提高了自身的重要度,降低了关键节点的重要度。When the non-critical node inVL receives the node importance balance control packet broadcasted by node1 , it moves itself to the vicinity of the corresponding key node VT according to the position of the corresponding key node VT in the packet. In this way, the communication load of key nodes is shared, the importance of itself is increased, and the importance of key nodes is reduced.
第六步:VR中的节点执行路由控制来均衡网络节点重要度Step 6:Nodes in VR perform routing control to balance the importance of network nodes
VR中的关键节点在接收到1号节点重要性均衡控制包后,根据包内f*值更新自身的节点重要度。然后通过改变在每次接收到数据包后的保持时间HT(holding time),来抑制关键节点作为通信中继节点的概率,降低关键节点的重要度,提高非关键节点的重要度。HT的计算公式如下:After receiving the No. 1 node importance balance control packet, the key node inVR updates its own node importance according to the f* value in the packet. Then, by changing the holding time HT (holding time) after each data packet is received, the probability of key nodes acting as communication relay nodes is suppressed, the importance of key nodes is reduced, and the importance of non-critical nodes is increased. The formula for calculating HT is as follows:
在该网络中,给定δ=R/2。从上式中可以看出,当节点重要度越大时,其计算的HT就越大。在接收到数据包后,等待转发的时间就越长。这样就增大了其他节点通信的概率,降低了自身的通信机会,来实现均衡网络节点重要度。In this network, δ=R/2 is given. It can be seen from the above formula that when the importance of a node is greater, the calculated HT is greater. After a packet is received, the longer it waits for forwarding. In this way, the probability of other nodes' communication is increased, and their own communication opportunities are reduced, so as to achieve a balanced network node importance.
| Application Number | Priority Date | Filing Date | Title | 
|---|---|---|---|
| CN202110781051.2ACN113708953B (en) | 2021-07-10 | 2021-07-10 | Underwater acoustic sensor network anti-damage method based on node importance balance | 
| Application Number | Priority Date | Filing Date | Title | 
|---|---|---|---|
| CN202110781051.2ACN113708953B (en) | 2021-07-10 | 2021-07-10 | Underwater acoustic sensor network anti-damage method based on node importance balance | 
| Publication Number | Publication Date | 
|---|---|
| CN113708953Atrue CN113708953A (en) | 2021-11-26 | 
| CN113708953B CN113708953B (en) | 2022-07-05 | 
| Application Number | Title | Priority Date | Filing Date | 
|---|---|---|---|
| CN202110781051.2AActiveCN113708953B (en) | 2021-07-10 | 2021-07-10 | Underwater acoustic sensor network anti-damage method based on node importance balance | 
| Country | Link | 
|---|---|
| CN (1) | CN113708953B (en) | 
| Publication number | Priority date | Publication date | Assignee | Title | 
|---|---|---|---|---|
| CN117453379A (en)* | 2023-12-25 | 2024-01-26 | 麒麟软件有限公司 | Scheduling method and system for AOE network computing tasks in Linux system | 
| CN118426389A (en)* | 2024-07-04 | 2024-08-02 | 贵州食品工程职业学院 | Tea seed oil storage environment automatic adjustment control system and method thereof | 
| Publication number | Priority date | Publication date | Assignee | Title | 
|---|---|---|---|---|
| CN102625404A (en)* | 2012-03-02 | 2012-08-01 | 东南大学 | A Distributed Routing Protocol Method Applied to 3D Underwater Acoustic Sensor Network | 
| CN105376156A (en)* | 2015-11-11 | 2016-03-02 | 国家电网公司 | Multi-attribute decision-making based power backbone transmission network route planning method | 
| WO2018107306A1 (en)* | 2016-12-12 | 2018-06-21 | 河海大学常州校区 | Probability neighborhood and obstacle avoidance-based data collection method for three-dimensional uasns | 
| US20190250244A1 (en)* | 2018-02-09 | 2019-08-15 | South China University Of Technology | Underwater source node positioning method | 
| CN110391851A (en)* | 2019-08-02 | 2019-10-29 | 河海大学常州校区 | Trust model update method for underwater acoustic sensor network based on complex network theory | 
| CN111800201A (en)* | 2020-06-24 | 2020-10-20 | 西北工业大学 | A key node identification method for sink node underwater acoustic sensor network | 
| CN112218298A (en)* | 2020-09-02 | 2021-01-12 | 西北工业大学 | Optimal attack position determination method for underwater acoustic network multi-data source | 
| CN112511442A (en)* | 2020-12-15 | 2021-03-16 | 东南大学 | Software-defined distributed underwater acoustic sensor network flow table storage and management method | 
| CN112867089A (en)* | 2020-12-31 | 2021-05-28 | 厦门大学 | Underwater sound network routing method based on information importance and Q learning algorithm | 
| Publication number | Priority date | Publication date | Assignee | Title | 
|---|---|---|---|---|
| CN102625404A (en)* | 2012-03-02 | 2012-08-01 | 东南大学 | A Distributed Routing Protocol Method Applied to 3D Underwater Acoustic Sensor Network | 
| CN105376156A (en)* | 2015-11-11 | 2016-03-02 | 国家电网公司 | Multi-attribute decision-making based power backbone transmission network route planning method | 
| WO2018107306A1 (en)* | 2016-12-12 | 2018-06-21 | 河海大学常州校区 | Probability neighborhood and obstacle avoidance-based data collection method for three-dimensional uasns | 
| US20190250244A1 (en)* | 2018-02-09 | 2019-08-15 | South China University Of Technology | Underwater source node positioning method | 
| CN110391851A (en)* | 2019-08-02 | 2019-10-29 | 河海大学常州校区 | Trust model update method for underwater acoustic sensor network based on complex network theory | 
| CN111800201A (en)* | 2020-06-24 | 2020-10-20 | 西北工业大学 | A key node identification method for sink node underwater acoustic sensor network | 
| CN112218298A (en)* | 2020-09-02 | 2021-01-12 | 西北工业大学 | Optimal attack position determination method for underwater acoustic network multi-data source | 
| CN112511442A (en)* | 2020-12-15 | 2021-03-16 | 东南大学 | Software-defined distributed underwater acoustic sensor network flow table storage and management method | 
| CN112867089A (en)* | 2020-12-31 | 2021-05-28 | 厦门大学 | Underwater sound network routing method based on information importance and Q learning algorithm | 
| Title | 
|---|
| DE-SEN YANG;XIN-YI SUN;LIAN-JIN HONG;HONG-KUN ZHOU: "Research of directivity of underwater acoustic velocity gradient sensors", 《2013 SYMPOSIUM ON PIEZOELECTRICITY, ACOUSTIC WAVES, AND DEVICE APPLICATIONS》* | 
| YIFAN YUAN,XIAOHONG SHEN,KE HE,HAIYAN WANG: "Recognition method of key nodes in SN-UASN", 《2020 IEEE INTERNATIONAL CONFERENCE ON SIGNAL PROCESSING, COMMUNICATIONS AND COMPUTING (ICSPCC)》* | 
| 何明,刘方鑫,时耀华,郑翔,周欢: "基于复合AUVs的水声传感网拓扑优化机制", 《控制与决策》* | 
| 何明等: "水下移动无线传感器网络拓扑", 《控制与决策》* | 
| 谢睿: "移动节点水声通信信道估计和均衡算法研究", 《中国优秀硕士学位论文全文数据库》* | 
| Publication number | Priority date | Publication date | Assignee | Title | 
|---|---|---|---|---|
| CN117453379A (en)* | 2023-12-25 | 2024-01-26 | 麒麟软件有限公司 | Scheduling method and system for AOE network computing tasks in Linux system | 
| CN117453379B (en)* | 2023-12-25 | 2024-04-05 | 麒麟软件有限公司 | Scheduling method and system for AOE network computing tasks in Linux system | 
| CN118426389A (en)* | 2024-07-04 | 2024-08-02 | 贵州食品工程职业学院 | Tea seed oil storage environment automatic adjustment control system and method thereof | 
| Publication number | Publication date | 
|---|---|
| CN113708953B (en) | 2022-07-05 | 
| Publication | Publication Date | Title | 
|---|---|---|
| Shafi et al. | Machine learning and trust based AODV routing protocol to mitigate flooding and blackhole attacks in MANET | |
| Soni et al. | A multipath location based hybrid DMR protocol in MANET | |
| CN113708953B (en) | Underwater acoustic sensor network anti-damage method based on node importance balance | |
| Mohammadi et al. | Fuzzy depth based routing protocol for underwater acoustic wireless sensor networks | |
| Ghaleb et al. | Energy efficient multipath routing using multi-objective grey wolf optimizer based dynamic source routing algorithm for manet | |
| CN111541494A (en) | A location privacy protection method based on cluster structure in underwater acoustic sensor network | |
| Agarkar et al. | A comprehensive survey on routing schemes and challenges in wireless sensor networks (WSN) | |
| CN111769867A (en) | Satellite network security routing method | |
| Mohajer et al. | Secure dominating set-based routing protocol in MANET: Using reputation | |
| Khartad et al. | Route request flooding attack using trust based security scheme in MANET | |
| Li et al. | An Environment‐Friendly Multipath Routing Protocol for Underwater Acoustic Sensor Network | |
| Mouiz et al. | Performance evaluation of OLSR and AODV routing protocols with different parameters in mobile ad-hoc networks using NS2 simulator | |
| Ghugar et al. | A review on Wormhole attacks in wireless sensor networks | |
| Kumar et al. | A secure routing protocol for MANET using neighbor node discovery and multi detection routing protocol | |
| Hajare et al. | Robust opportunistic routing solutions for under water sensor networks | |
| Arya et al. | NDj-AODV: Node disjoint multipath routing in Mobile Ad Hoc Networks based on AODV protocol | |
| Bali et al. | Attack Analysis and Designing of Quality of Service Framework for Optimized Link State Routing Protocol in MANET. | |
| Hwang et al. | Link stability, loading balance and power control based multi-path routing (SBPMR) algorithm in ad hoc wireless networks | |
| Ghander et al. | Power aware cooperation enforcement MANET routing protocols | |
| CN114040407A (en) | Wormhole attack detection and positioning method based on routing loop | |
| Afsana et al. | Multi-priority and trusted multi-path selection algorithm for ad-hoc network | |
| Khan et al. | Security aspects of MANETs: A review | |
| Sharmila et al. | Energy and hop based detection of sybil attack for mobile wireless sensor networks | |
| Wang et al. | Energy-efficient routing algorithms for wireless ad-hoc networks | |
| Velagaleti et al. | A novel method for trust evaluation in a mobile Ad Hoc network | 
| Date | Code | Title | Description | 
|---|---|---|---|
| PB01 | Publication | ||
| PB01 | Publication | ||
| SE01 | Entry into force of request for substantive examination | ||
| SE01 | Entry into force of request for substantive examination | ||
| GR01 | Patent grant | ||
| GR01 | Patent grant |