Movatterモバイル変換


[0]ホーム

URL:


CN113704626B - A Conversational Social Recommendation Method Based on Reconstructed Social Network - Google Patents

A Conversational Social Recommendation Method Based on Reconstructed Social Network
Download PDF

Info

Publication number
CN113704626B
CN113704626BCN202111036112.9ACN202111036112ACN113704626BCN 113704626 BCN113704626 BCN 113704626BCN 202111036112 ACN202111036112 ACN 202111036112ACN 113704626 BCN113704626 BCN 113704626B
Authority
CN
China
Prior art keywords
user
friends
current
current user
potential
Prior art date
Legal status (The legal status is an assumption and is not a legal conclusion. Google has not performed a legal analysis and makes no representation as to the accuracy of the status listed.)
Active
Application number
CN202111036112.9A
Other languages
Chinese (zh)
Other versions
CN113704626A (en
Inventor
顾盼
祝凯林
Current Assignee (The listed assignees may be inaccurate. Google has not performed a legal analysis and makes no representation or warranty as to the accuracy of the list.)
Hubei Central China Technology Development Of Electric Power Co ltd
Original Assignee
China Jiliang University
Priority date (The priority date is an assumption and is not a legal conclusion. Google has not performed a legal analysis and makes no representation as to the accuracy of the date listed.)
Filing date
Publication date
Application filed by China Jiliang UniversityfiledCriticalChina Jiliang University
Priority to CN202111036112.9ApriorityCriticalpatent/CN113704626B/en
Publication of CN113704626ApublicationCriticalpatent/CN113704626A/en
Application grantedgrantedCritical
Publication of CN113704626BpublicationCriticalpatent/CN113704626B/en
Activelegal-statusCriticalCurrent
Anticipated expirationlegal-statusCritical

Links

Images

Classifications

Landscapes

Abstract

Translated fromChinese

本发明公开了一种基于重构社交网络的会话社交推荐方法。该方法根据给定用户的当前会话和社交网络,对用户的兴趣以及朋友对用户的社交影响进行建模,来预测用户在下一步最可能感兴趣的物品。主要由四个部分组成:第一部分是基于当前用户,从社交网络中找到当前用户的真实朋友;第二部分是基于当前用户的当前会话和存储的会话集合,找到当前用户的潜在朋友;第三部分是得到当前用户、真实朋友和潜在朋友的兴趣表征;第四部分是结合当前用户的真实朋友和潜在朋友,得到朋友对用户的社交影响;第五部分是结合用户自身兴趣和社交影响,获得用户最终向量表征;最后,根据用户最终向量表征和物品向量表征,推荐物品。

Figure 202111036112

The invention discloses a conversational social recommendation method based on reconstructed social network. The method models the user's interests and the social influence of friends on the user given the user's current session and social network to predict the items that the user is most likely to be interested in in the next step. It mainly consists of four parts: the first part is to find the real friends of the current user from the social network based on the current user; the second part is to find the current user's potential friends based on the current session of the current user and the stored session set; the third part is to find the current user's potential friends; The part is to get the interest representation of the current user, real friends and potential friends; the fourth part is to combine the real friends and potential friends of the current user to get the social influence of friends on the user; the fifth part is to combine the user's own interests and social influence to get The final vector representation of the user; finally, according to the final vector representation of the user and the vector representation of the item, items are recommended.

Figure 202111036112

Description

Conversation social recommendation method based on reconstructed social network
Technical Field
The invention belongs to the technical field of internet services, and particularly relates to a conversation social recommendation method based on a reconstructed social network.
Background
A Session (Session) is an interactive activity of a user over a period of time, and a Session-based recommendation is a recommendation of an item next clicked by the user based on the current Session. The session recommendation divides the historical interaction sequence of the user into a plurality of sessions according to certain logic, models the current session to obtain the current interest of the user, and predicts the next interested article of the user. In the e-commerce platform, a user has a lot of purchasing interests historically, but in the current session, the purchasing interests are single. The current session of the user is modeled, and the current interest of the user can be obtained, so that the current purchase purpose of the user can be captured more accurately. In addition, most online platforms will host social interaction into the infrastructure, allowing users to interact with other users and share their interests. When recommending articles for users, social influence is taken into consideration, and the sparsity of data can be reduced. The method has the starting point that potential friends of the current user are further mined, the social influence of the potential friends and real friends on the current user is considered, and the sparsity of data is further reduced.
At this time, two relationships are involved in the social network: the relationship between the real friend and the current user, and the relationship between the potential friend and the current user. These two relationships are different: the current user and the real friend generally have a lot of interests and hobbies and have common interests, and the extracted current interests of the current user and the real friend are not necessarily close to each other; and the potential friends are obtained by calculating the similarity between the current conversation of the user and the stored conversations of other users, so that the interests of the potential friends are close to the current user. Therefore, the effects of real friends and potential friends on the current user need to be computed separately and in parallel, and then combined to get a unified social impact. And then predicting the next interested item of the user according to the interest of the user.
Disclosure of Invention
The technical problem to be solved by the invention is to model the interests of a user and the social influence of friends on the user to predict the most likely items of interest of the user in the next step, given the current conversation and social network of the user. When modeling social influence, two relationships are involved: the relationship between the real friend and the current user, and the relationship between the potential friend and the current user. These two relationships are different: generally, the current user and the real friend have a lot of interests and hobbies and have common interests, and the current interests of the extracted current user and the extracted real friend are not necessarily close to each other; and the potential friends are obtained by calculating the similarity between the current conversation of the user and the stored conversations of other users, so that the interests of the potential friends are close to the current user. Therefore, the effects of real friends and potential friends on the current user need to be computed separately and in parallel, and then combined to get a unified social impact. And then predicting the next interested item of the user according to the interest of the user.
A conversation social recommendation method based on reconstructed social networks comprises the following steps:
based on the current user, the real friends of the current user are found from the social network. And establishing a social network G according to the data record of the actual friend relationship in the platform, wherein the social network G is an undirected graph. The neighbor nodes of the current user are found from the social network G, which is the current user's set of real friends n (u).
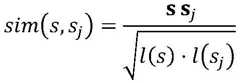
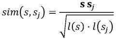
Potential friends of the current user are found based on the current conversation of the current user and the stored set of conversations. The memory matrix M is used to store the most recent sessions that occurred. Current session s ═ { v ═ based on current user1,v.,…,v|s|Finding out the most similar k sessions from the memory matrix M by calculating cosine similarity between the current session and the candidate sessions in the memory matrix M, and ensuring that the similarity is greater than a threshold simthreAnd then extracting epsilon sessions randomly from the screened k sessions. Finally, the users of the epsilon conversations are determined as the current user's potential friend set B (u), and the extracted conversations represent the interests of the potential friends. The similarity calculation formula is as follows:
Figure BDA0003247023810000011
wherein s isjIs any session stored in the memory matrix M.
Figure BDA0003247023810000012
Is a binary vector representation of a session s, if an item is present in the session, the corresponding position in s is 1, otherwise it is 0. All in oneIn order to solve the problems that,
Figure BDA0003247023810000013
is a conversation sjIs represented by a binary vector. l(s) and l(s)j) Respectively representing sessions s and sjLength of (d). For all sessions stored in the memory matrix M, the formula sim (s, s)j) Calculating cosine similarity with the current conversation s, and lowering the similarity to be lower than a threshold simthreFiltering out the sessions, sequencing the sessions from high to low according to the cosine similarity, finding out the first k sessions, and randomly extracting epsilon sessions from the sessions.
And obtaining interest characteristics of the current user, the real friends and the potential friends. And extracting the interest of the corresponding user from the current conversation of the current user, the latest conversation of the real friend and the screened conversation of the potential friend, and respectively characterizing the conversation by adopting a gate control recurrent neural network (GRU) to obtain interest characterization. Namely, the current conversation of the current user, the latest conversation of the real friend and the screened conversation of the potential friend are respectively used as the input of a gate control recurrent neural network (GRU), and the output of the gate control recurrent neural network (GRU) is respectively used as the interest of the current user, the interest of the real friend and the interest of the potential friend:
zi=σ(Wxz·xi+Whz·hi-1)
ri=σ(Wxr·xi+Whr·hi-1)
Figure BDA0003247023810000021
Figure BDA0003247023810000022
wherein r isiIs a reset gate, ziTo update the gates (update gate), these two gating vectors determine which information can be used as the output of the gated loop unit.
Figure BDA0003247023810000023
Is the current memory content. x is the number ofiIs the node input of the current layer, i.e. the item viIs used for vector characterization. Wxz、Whz、WxrAnd WhrRespectively, control the update gate ziAnd a reset gate riThe parameter (c) of (c). WxhAnd WhhIs to control the pre-memory content
Figure BDA0003247023810000024
The parameter (c) of (c). As is the element-level matrix multiplication, σ is the sigmoid function. The output of the last hidden layer of the gated recurrent neural network (GRU) is the session characterization.
And combining the real friends and the potential friends of the current user to obtain the social influence of the friends on the user. The real friends and the potential friends are calculated separately, and the effects of the real friends and the potential friends on the current user are calculated by an attention mechanism, wherein the effect of each friend on the current user is different. The importance of real friends and potential friends is controlled by the prior parameter lambda and needs to be set by the experimenter. Ultimate social impact pfThe specific calculation method is as follows:
Figure BDA0003247023810000025
Figure BDA0003247023810000026
Figure BDA0003247023810000027
Figure BDA0003247023810000028
wherein alpha isuiRepresenting real friends uiEffect on the current user, αujRepresenting potential friends ujAs a function of the current user's role,
Figure BDA0003247023810000029
is that the influence of real friends and potential friends on the current user is gathered, pfIs to
Figure BDA00032470238100000210
Adding a nonlinear perceptron layer is also the final social influence; h isu、hiAnd hjRespectively a current user and a real friend uiAnd potential friends ujIs characterized by the vector of (1), attention value alphauiAnd alphaujCalculated using a multiplicative attention mechanism and normalized using the softmax function. The prior parameter lambda belongs to [0,1 ]]The weights controlling the true friend role and the potential friend role. WgIs a transformation matrix parameter and ReLU is a ReLU activation function.
And obtaining the final vector representation of the user by combining the interest of the user and the social influence. The interest of the user is jointly determined by the current conversation behavior and social influence, and the user final vector of the user is characterized by guThe two are merged by the full connection layer, such that:
Figure BDA00032470238100000211
wherein, WphIs a conversion matrix, pfIs a social influence, huIn order to be the current interest of the current user,
Figure BDA00032470238100000212
is a vector stitching operation.
And recommending the item according to the final vector representation of the user and the item vector representation. Article vjVector x ofjMultiplying the representation by the final vector of the user, and then calculating the item v by applying a softmax functionjThe fraction of (c):
Figure BDA00032470238100000213
wherein, guAn interest vector representing the user is generated by the user,
Figure BDA00032470238100000214
representative article vjThe possibility of becoming the next interactive item; at the same time according to
Figure BDA00032470238100000215
The log-likelihood function value of (a), calculating a loss function:
Figure BDA00032470238100000216
wherein, yjRepresents vjThe one-hot code of (a) is,
Figure BDA00032470238100000217
the function is optimized using a gradient descent method.
The invention has the following beneficial technical effects:
(1) the social recommendation method is different from the traditional social recommendation method in that potential friends of the user are further mined, the social network of the user is expanded, and the sparsity of data is relieved.
(2) The present invention analyzes the differences of two relationships in a social network, which are: the relationship between the real friend and the current user, and the relationship between the potential friend and the current user. And modeling the relationship of the two by adopting an attention mechanism respectively, and finally combining the two to obtain social influence.
Drawings
FIG. 1 is a schematic flow chart of a conversational social recommendation method based on a reconstructed social network according to the present invention;
FIG. 2 is a model framework diagram of a conversational social recommendation method based on a reconstructed social network according to the present invention.
Detailed Description
For further understanding of the present invention, the following describes a conversational social recommendation method based on restructuring social network in detail with reference to specific embodiments, but the present invention is not limited thereto, and those skilled in the art may make insubstantial improvements and modifications under the core guidance of the present invention and still fall within the scope of the present invention.
First, the variables and formulas used need to be given relevant definitions.
Definition 1. V: set of articles, and V ═ V1,v2,…,v|V|And V represents the number of items in the collection of items.
Definition 2. s: current session of current user, session is all interactive item set s ═ v in current time period1,v2,…,v|s|And | s | represents the number of items in the conversation.
Definition 3. S: set of sessions in a system, S ═ S1,s2,…,s|S|And | S | represents the number of sessions in the session set.
Definition 4. G: social networks about users and user relationships.
Definition 5.N (u): the set of friends of the current user in social network G.
Definition 6.B (u): the algorithm mines a set of potential friends of the current user.
Definition 7.
Figure BDA0003247023810000031
Article vjIs used for vector characterization.
In conjunction with the above variable definitions, the final problem is defined as: given the current conversation and social network of the current user, a set of potential friends similar to the user behavior is mined, a social influence is obtained by combining the real set of friends and the set of potential friends of the user, and items which are most likely to be interested in the next step of the current user are recommended by combining the interests of the user, wherein the items are a subset of the set V. When modeling social influence, two relationships are involved: the relationship between the real friend and the current user, and the relationship between the potential friend and the current user. The two relationships are different. Generally, the current users and real friends have many interests and have common interests. The extracted real friends and the current interests of the real friends are not necessarily close. And the potential friends are mined by calculating the similarity of the stored recent user session and the current user session, so that the interest of the potential friends is close to the current user. Therefore, the effects of real friends and potential friends on the current user need to be computed separately and in parallel, and then combined to get a unified social impact. And then predicting the next interested item of the user according to the interest of the user.
To this end, the present invention proposes a conversational social recommendation method based on restructuring a social network, as shown in fig. 2, a forward propagation (forward propagation) part of the method is mainly composed of four parts. The first part is to find the real friends of the current user from the social network based on the current user; the second part is to find potential friends of the current user based on the current session of the current user and the stored set of sessions; the third part is to obtain the interest representation of the current user, real friends and potential friends; the fourth part is that real friends and potential friends of the current user are combined to obtain the social influence of the friends on the user; the fifth part is that the final vector representation of the user is obtained by combining the interest of the user and the social influence; and finally, recommending the article according to the final vector representation of the user and the article vector representation.
As shown in fig. 1, according to one embodiment of the present invention, the method comprises the steps of:
and S100, finding out real friends of the current user from the social network based on the current user. And establishing a social network G according to the data record of the actual friend relationship in the platform, wherein the social network G is an undirected graph. The neighbor nodes of the current user are found from the social network G, which is the current user's set of real friends n (u).
S200, based on the current conversation of the current user and the stored conversation set, finding out potential friends of the current user. The memory matrix M is adopted to store the recently-occurring conversation, the algorithm effect and the storage pressure are comprehensively considered in the method, and the number of conversation sequences stored in the memory matrix M is set to 10000. Current session s ═ { v ═ based on current user1,v2,…,v|s|Finding out the most similar k sessions from the memory matrix M by calculating cosine similarity between the current session and the candidate sessions in the memory matrix M, and ensuring that the similarity is greater than a threshold simthreAnd then extracting epsilon sessions randomly from the screened k sessions. Finally, the users of the epsilon conversations are determined as the current user's potential friend set B (u), and the extracted conversations represent the interests of the potential friends. The similarity calculation formula is as follows:
Figure BDA0003247023810000041
wherein s isjIs any session stored in the memory matrix M.
Figure BDA0003247023810000042
Is a binary vector representation of a session s, if an item is present in the session, the corresponding position in s is 1, otherwise it is 0. In the same way, the method for preparing the composite material,
Figure BDA0003247023810000043
is a conversation sjIs represented by a binary vector. l(s) and l(s)j) Respectively representing sessions s and sjLength of (d). For all sessions stored in the memory matrix M, the formula sim (s, s)j) Calculating cosine similarity with the current conversation s, and lowering the similarity to be lower than a threshold simthreFiltering out the sessions, sequencing the sessions from high to low according to the cosine similarity, finding out the first k sessions, and randomly extracting epsilon sessions from the sessions. simthreSetting a decimal value can increase the diversity of recommended items, simthreAnd a large value is set, so that more noises can be filtered. Here, simthreSet to 0.3, k to 100, and ε to 10.
And S300, obtaining interest representations of the current user, the real friends and the potential friends. And extracting the interest of the corresponding user from the current conversation of the current user, the latest conversation of the real friend and the screened conversation of the potential friend, and respectively characterizing the conversation by adopting a gate control recurrent neural network (GRU) to obtain interest characterization. Namely, the current conversation of the current user, the latest conversation of the real friend and the screened conversation of the potential friend are respectively used as the input of a gate control recurrent neural network (GRU), and the output of the gate control recurrent neural network (GRU) is respectively used as the interest of the current user, the interest of the real friend and the interest of the potential friend:
zi=σ(Wxz·xi+Whz·hi-1)
ri=σ(Wxr·xi+Whr·hi-1)
Figure BDA0003247023810000044
Figure BDA0003247023810000045
wherein r isiIs a reset gate, ziTo update the gates (update gate), these two gating vectors determine which information can be used as the output of the gated loop unit.
Figure BDA0003247023810000046
Is the current memory content. x is the number ofiIs the node input of the current layer, i.e. the item viIs used for vector characterization. Wxz、Whz、WxrAnd WhrRespectively, control the update gate ziAnd a reset gate riThe parameter (c) of (c). WxhAnd WhhIs to control the pre-memory content
Figure BDA0003247023810000047
The parameter (c) of (c). As is the element-level matrix multiplication, σ is the sigmoid function. The output of the last hidden layer of the gated recurrent neural network (GRU) is the session characterization.
S400, combining the real friends and the potential friends of the current user to obtain the social influence of the friends on the user. The real friends and the potential friends are calculated separately and the real friendsThe effect of friends and potential friends on the current user is calculated from the attention mechanism, with each friend having a different effect on the current user. The importance of real friends and potential friends is controlled by the prior parameter lambda and needs to be set by the experimenter. Ultimate social impact pfThe specific calculation method is as follows:
Figure BDA0003247023810000048
Figure BDA0003247023810000049
Figure BDA00032470238100000410
Figure BDA00032470238100000411
wherein alpha isuiRepresenting real friends uiEffect on the current user, αujRepresenting potential friends ujAs a function of the current user's role,
Figure BDA00032470238100000412
is that the influence of real friends and potential friends on the current user is gathered, pfIs to
Figure BDA00032470238100000413
Adding a nonlinear perceptron layer is also the final social influence; h isu、hiAnd hjRespectively a current user and a real friend uiAnd potential friends ujIs characterized by the vector of (1), attention value alphauiAnd alphaujCalculated using a multiplicative attention mechanism and normalized using the softmax function. The prior parameter lambda belongs to [0,1 ]]The weights of the real friend role and the potential friend role are controlled, and lambda is set to be 0.7 in the experiment. WgIs to convert matrix parametersNumber, ReLU is the ReLU activation function.
And S500, obtaining the final vector representation of the user by combining the interest and social influence of the user. The interest of the user is jointly determined by the current conversation behavior and social influence, and the user final vector of the user is characterized by guThe two are merged by the full connection layer, such that:
Figure BDA00032470238100000414
wherein, WphIs a conversion matrix, pfIs a social influence, huIn order to be the current interest of the current user,
Figure BDA00032470238100000415
is a vector stitching operation.
And S600, recommending the article according to the final vector representation of the user and the article vector representation. Article vjVector x ofjMultiplying the representation by the final vector of the user, and then calculating the item v by applying a softmax functionjThe fraction of (c):
Figure BDA0003247023810000051
wherein, guAn interest vector representing the user is generated by the user,
Figure BDA0003247023810000052
representative article vjThe possibility of becoming the next interactive item; at the same time according to
Figure BDA0003247023810000053
The log-likelihood function value of (a), calculating a loss function:
Figure BDA0003247023810000054
wherein, yjRepresents vjThe one-hot code of (a) is,
Figure BDA0003247023810000055
the function is optimized using a gradient descent method.
The foregoing description of the embodiments is provided to facilitate understanding and application of the invention by those skilled in the art. It will be readily apparent to those skilled in the art that various modifications to the above-described embodiments may be made, and the generic principles defined herein may be applied to other embodiments without the use of inventive faculty. Therefore, the present invention is not limited to the above embodiments, and those skilled in the art should make improvements and modifications to the present invention based on the disclosure of the present invention within the protection scope of the present invention.

Claims (3)

Translated fromChinese
1.一种基于重构社交网络的会话社交推荐方法,其特征在于:1. A conversational social recommendation method based on reconstructing a social network, characterized in that:基于当前用户,从社交网络中找到当前用户的真实朋友;根据平台中实际好友关系的数据记录,建立社交网络G,社交网络G是无向图;从社交网络G中找到当前用户的邻居节点,就是当前用户的真实朋友集合N(u);Based on the current user, find the real friends of the current user from the social network; build a social network G according to the data records of the actual friend relationship in the platform, and the social network G is an undirected graph; find the neighbor nodes of the current user from the social network G, is the real friend set N(u) of the current user;基于当前用户的当前会话和存储的会话集合,找到当前用户的潜在朋友;采用记忆矩阵M存储最近发生的会话;基于当前用户的当前会话s={v1,v2,…,v|s|},通过计算当前会话和记忆矩阵M中的候选会话之间的cosine相似度,从记忆矩阵M中找出最相似的k个会话,且保证相似度大于阈值simthre,再从筛选出的k个会话中随机抽取ε个会话;最后确定这ε个会话的用户为当前用户的潜在朋友集合B(u),且抽取出的会话代表了潜在朋友的兴趣;Based on the current session of the current user and the set of stored sessions, find the potential friends of the current user; use the memory matrix M to store the most recent sessions; based on the current session of the current user s={v1 ,v2 ,...,v|s| }, by calculating the cosine similarity between the current session and the candidate sessions in the memory matrix M, find the most similar k sessions from the memory matrix M, and ensure that the similarity is greater than the threshold simthre , and then select the k Randomly select ε sessions from the ε sessions; finally determine that the users of these ε sessions are the current user's potential friend set B(u), and the extracted sessions represent the interests of potential friends;得到当前用户、真实朋友和潜在朋友的兴趣表征;从当前用户的当前会话、真实朋友的最近会话以及筛选出的潜在朋友的会话中抽取出对应用户的兴趣,采用门控制循环神经网络GRU分别对会话进行表征,得到兴趣表征;也就是将当前用户的当前会话、真实朋友的最近会话以及筛选出的潜在朋友的会话分别作为门控制循环神经网络GRU的输入,分别得到门控制循环神经网络GRU的输出作为当前用户的兴趣、真实朋友的兴趣以及潜在朋友的兴趣;最后,得到当前用户、任一真实朋友ui和任一潜在朋友uj的兴趣表征分别为hu、hi和hjObtain the interest representations of the current user, real friends and potential friends; extract the interests of the corresponding users from the current session of the current user, the recent sessions of real friends and the sessions of the screened potential friends, and use the gated recurrent neural network GRU to respectively The session is characterized to obtain the interest representation; that is, the current session of the current user, the recent session of the real friend, and the session of the screened potential friend are used as the input of the gated recurrent neural network GRU, respectively, and the gated recurrent neural network GRU is obtained. The output is the interest of the current user, the interest of the real friend and the interest of the potential friend; finally, the interest representations of the current user, any real friendui and any potential frienduj are obtained as hu,hi andhj respectively;结合当前用户的真实朋友和潜在朋友,得到朋友对用户的社交影响;将真实朋友和潜在朋友分开计算,且真实朋友和潜在朋友对当前用户的作用由注意力机制计算得到,每个朋友对当前用户的作用不同;而真实朋友和潜在朋友的重要度由先验参数λ控制,需要由实验者设置;最终社交影响pf具体的计算方式如下:Combine the current user's real friends and potential friends to get the social influence of friends on the user; real friends and potential friends are calculated separately, and the effect of real friends and potential friends on the current user is calculated by the attention mechanism, and each friend has an impact on the current user. The roles of users are different; the importance of real friends and potential friends is controlled by a priori parameter λ, which needs to be set by the experimenter; the final calculation method of social influence pf is as follows:
Figure FDA0003462327600000011
Figure FDA0003462327600000011
Figure FDA0003462327600000012
Figure FDA0003462327600000012
Figure FDA0003462327600000013
Figure FDA0003462327600000013
Figure FDA0003462327600000014
Figure FDA0003462327600000014
其中,αui表示真实朋友ui对当前用户的作用,αuj表示潜在朋友uj对当前用户的作用,
Figure FDA0003462327600000015
是聚集了真实朋友和潜在朋友对当前用户的影响,pf是对
Figure FDA0003462327600000016
加一层非线性的感知器层,也是最终社交影响;hu、hi和hj分别是当前用户、真实朋友ui和潜在朋友uj的兴趣表征,注意力值αui和αuj采用乘法注意力机制计算得到,并使用softmax函数进行了归一化;先验参数λ∈[0,1]控制真实朋友作用和潜在朋友作用的权重;Wg 是转换矩阵参数,ReLU是ReLU激活函数;
Among them, αui represents the effect of the real friend ui on the current user, αuj represents the effect of the potential friend uj on the current user,
Figure FDA0003462327600000015
is the influence of real friends and potential friends on the current user, pf is the
Figure FDA0003462327600000016
Adding a non-linear perceptron layer is also the final social influence;hu , hi and hj are the interest representations of the current user, real friendui and potential friend ujrespectively , and the attention values αui and αuj adopt The multiplicative attention mechanism is calculated and normalized using the softmax function; the prior parameter λ∈[0,1] controls the weight of the true friend role and the potential friend role; Wg is the transformation matrix parameter, and ReLU is the ReLU activation function ;
结合用户自身兴趣和社交影响,获得用户最终向量表征;用户的兴趣由他当前会话行为和社交影响共同决定,用户的最终向量表征gu就由全连接层合并两者得到,令:Combining the user's own interests and social influence, the final vector representation of the user is obtained; the user's interest is jointly determined by his current session behavior and social influence, and the final vector representation of the usergu is obtained by combining the two at the fully connected layer, let:
Figure FDA0003462327600000017
Figure FDA0003462327600000017
其中,Wph是转换矩阵,pf是社交影响,hu为当前用户的兴趣表征,
Figure FDA0003462327600000018
为向量拼接操作;
where Wph is the transformation matrix, pf is the social influence,hu is the current user’s interest representation,
Figure FDA0003462327600000018
is a vector splicing operation;
根据用户最终向量表征和物品向量表征,推荐物品;将物品vj的向量xj乘以用户最终向量表征,再应用softmax函数计算出物品vj的分数:According to the final vector representation of the user and the vector representation of the item, recommend items; multiply the vector xj of the item vj by the final vector representation of the user, and then apply the softmax function to calculate the score of the item vj :
Figure FDA0003462327600000019
Figure FDA0003462327600000019
其中,gu代表用户的最终向量表征,
Figure FDA00034623276000000110
代表物品vj成为下一个交互物品的可能性;同时根据
Figure FDA00034623276000000111
的对数似然函数值,计算损失函数:
wheregu represents the final vector representation of the user,
Figure FDA00034623276000000110
represents the possibility of item vj becoming the next interactive item; meanwhile, according to
Figure FDA00034623276000000111
The log-likelihood function value of , calculates the loss function:
Figure FDA00034623276000000112
Figure FDA00034623276000000112
其中,yj代表vj的one-hot编码,
Figure FDA00034623276000000113
函数用梯度下降法来最优化。
Among them, yj represents the one-hot encoding of vj ,
Figure FDA00034623276000000113
The function is optimized using gradient descent.
2.根据权利要求1所述的一种基于重构社交网络的会话社交推荐方法,其特征在于:所述会话之间的cosine相似度计算公式如下:2. a kind of conversational social recommendation method based on reconstructed social network according to claim 1, is characterized in that: the cosine similarity calculation formula between described conversations is as follows:
Figure FDA00034623276000000114
Figure FDA00034623276000000114
其中,sj是记忆矩阵M中存储的任一会话;
Figure FDA00034623276000000115
是会话s的二进制向量表示,如果一个物品出现在会话中,那么s中对应位置为1,否则为0;同理,
Figure FDA0003462327600000021
是会话sj的二进制向量表示;l(s)和l(sj)分别代表了会话s和sj的长度;对于记忆矩阵M中存储的所有会话,用公式sim(s,sj)计算出和当前会话s的cosine相似度,把相似度低于阈值simthre的会话过滤掉,再按照cosine相似度由高到低排序,找出前k个会话,并从中随机抽取出ε个会话。
where sj is any session stored in the memory matrix M;
Figure FDA00034623276000000115
is the binary vector representation of session s. If an item appears in the session, the corresponding position in s is 1, otherwise it is 0; similarly,
Figure FDA0003462327600000021
is the binary vector representation of session sj ; l(s) and l(sj ) represent the lengths of sessions s and sj respectively; for all sessions stored in memory matrix M, use the formula sim(s,sj ) to calculate Get the cosine similarity with the current session s, filter out the sessions whose similarity is lower than the threshold simthre , and then sort them according to the cosine similarity from high to low, find the top k sessions, and randomly extract ε sessions from them.
3.根据权利要求1所述的一种基于重构社交网络的会话社交推荐方法,其特征在于:所述门控制循环神经网络GRU为:3. a kind of conversational social recommendation method based on reconstructed social network according to claim 1, is characterized in that: described gate control recurrent neural network GRU is:zi=σ(Wxz·xi+Whz·hi-1)zi =σ(Wxz ·xi +Whz ·hi-1 )ri=σ(Wxr·xi+Whr·hi-1)ri =σ(Wxr ·xi +Whr ·hi-1 )
Figure FDA0003462327600000022
Figure FDA0003462327600000022
Figure FDA0003462327600000023
Figure FDA0003462327600000023
其中,ri是重置门,zi为更新门,这两个门控向量决定了哪些信息能作为门控循环单元的输出;
Figure FDA0003462327600000024
是当前记忆内容;xi是当前层的节点输入,也就是物品vi的向量表征;Wxz、Whz、Wxr和Whr分别是控制更新门zi和重置门ri的参数;Wxh和Whh是控制前记忆内容
Figure FDA0003462327600000025
的参数;⊙是元素级别的矩阵相乘,σ是sigmoid函数;门控制循环神经网络GRU的最后一个隐藏层的输出就是会话表征。
Among them,ri is the reset gate,zi is the update gate, these two gate control vectors determine which information can be used as the output of the gated loop unit;
Figure FDA0003462327600000024
is the current memory content;xi is the node input of the current layer, that is, the vector representation of the item vi; Wxz , Whz , Wxr and Whr are the parameters that control the update gatezi and the reset gaterirespectively ; Wxh and Whh are the pre-control memory contents
Figure FDA0003462327600000025
⊙ is the element-level matrix multiplication, σ is the sigmoid function; the output of the last hidden layer of the gated recurrent neural network GRU is the session representation.
CN202111036112.9A2021-09-062021-09-06 A Conversational Social Recommendation Method Based on Reconstructed Social NetworkActiveCN113704626B (en)

Priority Applications (1)

Application NumberPriority DateFiling DateTitle
CN202111036112.9ACN113704626B (en)2021-09-062021-09-06 A Conversational Social Recommendation Method Based on Reconstructed Social Network

Applications Claiming Priority (1)

Application NumberPriority DateFiling DateTitle
CN202111036112.9ACN113704626B (en)2021-09-062021-09-06 A Conversational Social Recommendation Method Based on Reconstructed Social Network

Publications (2)

Publication NumberPublication Date
CN113704626A CN113704626A (en)2021-11-26
CN113704626Btrue CN113704626B (en)2022-02-15

Family

ID=78660192

Family Applications (1)

Application NumberTitlePriority DateFiling Date
CN202111036112.9AActiveCN113704626B (en)2021-09-062021-09-06 A Conversational Social Recommendation Method Based on Reconstructed Social Network

Country Status (1)

CountryLink
CN (1)CN113704626B (en)

Citations (7)

* Cited by examiner, † Cited by third party
Publication numberPriority datePublication dateAssigneeTitle
TW201319987A (en)*2011-09-192013-05-16Microsoft CorpSocial media campaign metrics
US10089675B1 (en)*2015-10-202018-10-02Amazon Technologies, Inc.Probabilistic matrix factorization system based on personas
CN111222054A (en)*2020-01-032020-06-02中国计量大学 A Conversational Social Recommendation Method Based on Contextual Neighbor Relationship Modeling
CN111523047A (en)*2020-04-132020-08-11中南大学 Multi-relational collaborative filtering algorithm based on graph neural network
CN112313644A (en)*2018-04-202021-02-02脸谱公司Building a customized user profile based on session data
CN112528165A (en)*2020-12-162021-03-19中国计量大学Session social recommendation method based on dynamic routing graph network
CN112685657A (en)*2021-01-062021-04-20中国计量大学Conversation social recommendation method based on multi-mode cross fusion graph network

Family Cites Families (6)

* Cited by examiner, † Cited by third party
Publication numberPriority datePublication dateAssigneeTitle
US8676937B2 (en)*2011-05-122014-03-18Jeffrey Alan RapaportSocial-topical adaptive networking (STAN) system allowing for group based contextual transaction offers and acceptances and hot topic watchdogging
US11004137B2 (en)*2017-06-152021-05-11Social Circle, LlcSystem and method for trusted contact, business selection with automated menuing using trusted friends' and family's recommendations
US11210607B2 (en)*2019-04-262021-12-28Fmr LlcAutomated predictive analysis and modification of user interaction features using multiple classification models
US11657094B2 (en)*2019-06-282023-05-23Meta Platforms Technologies, LlcMemory grounded conversational reasoning and question answering for assistant systems
CN112748828B (en)*2020-04-132023-11-28腾讯科技(深圳)有限公司Information processing method, device, terminal equipment and medium
CN112559904B (en)*2020-12-162021-10-22中国计量大学Conversational social recommendation method based on door mechanism and multi-modal graph network

Patent Citations (7)

* Cited by examiner, † Cited by third party
Publication numberPriority datePublication dateAssigneeTitle
TW201319987A (en)*2011-09-192013-05-16Microsoft CorpSocial media campaign metrics
US10089675B1 (en)*2015-10-202018-10-02Amazon Technologies, Inc.Probabilistic matrix factorization system based on personas
CN112313644A (en)*2018-04-202021-02-02脸谱公司Building a customized user profile based on session data
CN111222054A (en)*2020-01-032020-06-02中国计量大学 A Conversational Social Recommendation Method Based on Contextual Neighbor Relationship Modeling
CN111523047A (en)*2020-04-132020-08-11中南大学 Multi-relational collaborative filtering algorithm based on graph neural network
CN112528165A (en)*2020-12-162021-03-19中国计量大学Session social recommendation method based on dynamic routing graph network
CN112685657A (en)*2021-01-062021-04-20中国计量大学Conversation social recommendation method based on multi-mode cross fusion graph network

Non-Patent Citations (5)

* Cited by examiner, † Cited by third party
Title
An Efficient and Effective Framework for Session-based Social Recommendation;Tianwen Chen等;《WSDM "21: Proceedings of the 14th ACM International Conference on Web Search and Data Mining》;20210308;第 400–408页*
Enhancing session-based social recommendation through item graph embedding and contextual friendship modeling;pan gu等;《Neurocomputing》;20210102;第419卷;第190-202页*
Session-Based Social Recommendation via Dynamic Graph Attention Networks;Weiping Song等;《WSDM "19: Proceedings of the Twelfth ACM International Conference on Web Search and Data Mining》;20190130;第555–563页*
基于多场景会话数据的推荐技术研究与实现;李赵宁;《中国优秀硕士学位论文全文数据库信息科技辑》;20200715(第7期);第I138-1454页*
基于神经网络的会话型推荐算法研究;陈恩华;《中国优秀硕士学位论文全文数据库信息科技辑》;20210215(第2期);第I138-2692页*

Also Published As

Publication numberPublication date
CN113704626A (en)2021-11-26

Similar Documents

PublicationPublication DateTitle
CN111222054B (en) A Conversational Social Recommendation Method Based on Contextual Neighbor Relationship Modeling
CN111611472B (en)Binding recommendation method and system based on graph convolution neural network
CN112364976A (en)User preference prediction method based on session recommendation system
CN113222711B (en) A product information recommendation method, system and storage medium
CN111460331B (en)Conversation recommendation method based on space-time diagram
CN111523047A (en) Multi-relational collaborative filtering algorithm based on graph neural network
Wang et al.Towards real-time demand-aware sequential POI recommendation
CN112115377A (en) A Graph Neural Network Link Prediction Recommendation Method Based on Social Relationships
CN110910218A (en) A multi-action transfer recommendation method based on deep learning
CN114971784B (en)Session recommendation method and system based on graph neural network by fusing self-attention mechanism
CN110362738A (en)A kind of personalized recommendation method of combination trust and influence power based on deep learning
CN112685657B (en) A Conversational Social Recommendation Method Based on Multimodal Cross-Fusion Graph Network
CN112528165A (en)Session social recommendation method based on dynamic routing graph network
CN108876044A (en)Content popularit prediction technique on a kind of line of knowledge based strength neural network
CN112559904B (en)Conversational social recommendation method based on door mechanism and multi-modal graph network
CN113762477A (en)Method for constructing sequence recommendation model and sequence recommendation method
CN115600009A (en) A Recommendation Method Based on Deep Reinforcement Learning Considering User's Future Preferences
CN117994011A (en)E-commerce dynamic perception data recommendation method based on memory updating and neighbor transfer
XuResearch on Graph Network Social Recommendation Algorithm Based on AGRU-GNN
CN106600347B (en) A method for building sequence prediction model based on multi-view data and recurrent network
CN111259264B (en)Time sequence scoring prediction method based on generation countermeasure network
Cao et al.Implicit user relationships across sessions enhanced graph for session-based recommendation
CN113704626B (en) A Conversational Social Recommendation Method Based on Reconstructed Social Network
CN119671665A (en) A smart retail recommendation method and system based on graph decoupling representation learning
CN119579269A (en) A multimodal robust recommendation method and system based on self-supervised learning

Legal Events

DateCodeTitleDescription
PB01Publication
PB01Publication
SE01Entry into force of request for substantive examination
SE01Entry into force of request for substantive examination
GR01Patent grant
GR01Patent grant
TR01Transfer of patent right
TR01Transfer of patent right

Effective date of registration:20231017

Address after:Room 407-10, floor 4, building 2, Haichuang science and technology center, Cangqian street, Yuhang District, Hangzhou City, Zhejiang Province, 311100

Patentee after:Zhejiang Zhiduo Network Technology Co.,Ltd.

Address before:310018, No. 258, source street, Xiasha Higher Education Park, Hangzhou, Zhejiang

Patentee before:China Jiliang University

TR01Transfer of patent right
TR01Transfer of patent right

Effective date of registration:20231212

Address after:430070 Hubei Province, Wuhan city Hongshan District Luoyu Road No. 546

Patentee after:HUBEI CENTRAL CHINA TECHNOLOGY DEVELOPMENT OF ELECTRIC POWER Co.,Ltd.

Address before:Room 407-10, floor 4, building 2, Haichuang science and technology center, Cangqian street, Yuhang District, Hangzhou City, Zhejiang Province, 311100

Patentee before:Zhejiang Zhiduo Network Technology Co.,Ltd.


[8]ページ先頭

©2009-2025 Movatter.jp