Movatterモバイル変換


[0]ホーム

URL:


CN113690889A - Power harmonic treatment method for improving active power filter by novel multi-level converter - Google Patents

Power harmonic treatment method for improving active power filter by novel multi-level converter
Download PDF

Info

Publication number
CN113690889A
CN113690889ACN202110965529.7ACN202110965529ACN113690889ACN 113690889 ACN113690889 ACN 113690889ACN 202110965529 ACN202110965529 ACN 202110965529ACN 113690889 ACN113690889 ACN 113690889A
Authority
CN
China
Prior art keywords
apf
harmonic
current
frequency
mmc
Prior art date
Legal status (The legal status is an assumption and is not a legal conclusion. Google has not performed a legal analysis and makes no representation as to the accuracy of the status listed.)
Pending
Application number
CN202110965529.7A
Other languages
Chinese (zh)
Inventor
尹广斌
杨立
殷立新
赵梓含
赵忠梅
曾祥广
韩冬
康士祥
邢砾云
沈建强
Current Assignee (The listed assignees may be inaccurate. Google has not performed a legal analysis and makes no representation or warranty as to the accuracy of the list.)
State Grid Xinyuan Hydropower Co Ltd
Fengman Training Center of State Grid Xinyuan Group Co Ltd
State Grid Corp of China SGCC
Original Assignee
State Grid Xinyuan Hydropower Co Ltd
Fengman Training Center of State Grid Xinyuan Hydropower Co Ltd
State Grid Corp of China SGCC
Priority date (The priority date is an assumption and is not a legal conclusion. Google has not performed a legal analysis and makes no representation as to the accuracy of the date listed.)
Filing date
Publication date
Application filed by State Grid Xinyuan Hydropower Co Ltd, Fengman Training Center of State Grid Xinyuan Hydropower Co Ltd, State Grid Corp of China SGCCfiledCriticalState Grid Xinyuan Hydropower Co Ltd
Priority to CN202110965529.7ApriorityCriticalpatent/CN113690889A/en
Publication of CN113690889ApublicationCriticalpatent/CN113690889A/en
Pendinglegal-statusCriticalCurrent

Links

Images

Classifications

Landscapes

Abstract

Translated fromChinese

本发明涉及一种以新型多电平变流器改进有源电力滤波器的电力谐波治理方法,其特点是:包括如下步骤:(1)多电平变流器有源电力滤波器主电路模型搭建;(2)基于SOGI的多谐波滤波器的MMC环流抑制;(3)基于模糊PI‑重复控制的电流跟踪优化;本发明的以新型多电平变流器改进有源电力滤波器的电力谐波治理方法,与现有技术相比,基于MMC结构,搭建多电平变流器有源电力滤波器主电路模型,使APF应用于高电压、大容量场合,并设计基于SOGI的MMC环流抑制方法,使因MMC结构产生的环流得到很好抑制,同时设计基于模糊PI‑重复控制的电流控制算法,使系统电流跟踪速度和准确性得到提升,确保系统准确可靠的谐波补偿能力。

Figure 202110965529

The invention relates to a power harmonic control method for improving an active power filter with a novel multi-level converter, which is characterized by comprising the following steps: (1) the main circuit of the multi-level converter active power filter Model building; (2) MMC circulating current suppression of multi-harmonic filter based on SOGI; (3) current tracking optimization based on fuzzy PI-repetitive control; the novel multi-level converter of the present invention improves active power filter Compared with the existing technology, based on the MMC structure, the main circuit model of the multi-level converter active power filter is built, so that the APF can be applied to high voltage and large capacity occasions, and the SOGI-based The MMC circulating current suppression method can well suppress the circulating current generated by the MMC structure. At the same time, a current control algorithm based on fuzzy PI-repetitive control is designed to improve the system current tracking speed and accuracy, and ensure the accurate and reliable harmonic compensation capability of the system. .

Figure 202110965529

Description

Power harmonic treatment method for improving active power filter by novel multi-level converter
Technical Field
The invention relates to the technical field of Power harmonic treatment, in particular to the technical field of Active Power Filter (APF) treatment of Power harmonics, and discloses a Power harmonic treatment method for improving an Active Power Filter by using a novel Multilevel Converter (MMC). On the premise of not changing a harmonic detection technology, the voltage grade and the current tracking capability of the active power filter are improved by adopting a modular multilevel converter topology and a loop suppression strategy and optimizing a current tracking module, so that the active power filter can be applied to higher-voltage occasions, the flexibility of the active power filter is improved, and unnecessary personnel and economic losses caused by compensation failure due to damage of a bridge arm of a traditional bridge circuit are reduced.
Background
With the popularization and application of modern power electronic technology, a large amount of harmonic waves are generated, the power supply quality is seriously influenced, the working performance and the service life of power generation equipment and power utilization equipment are reduced, and even the safety of a power system is endangered. Thus, power harmonic governance has become a hot issue in terms of power quality. The active power filter has the advantages of tracking and compensating harmonic waves with variable frequency and amplitude, compensating each harmonic wave, inhibiting flicker, compensating reactive power and preventing the filter characteristic from being influenced by system impedance, and is widely concerned in the field of power harmonic wave treatment at present.
However, due to the limitation of power electronic devices, active power filters are only applied to lower voltage levels at present, and are mainly connected to a high-voltage system through a transformer in high-voltage and high-capacity occasions, and then form high capacity in a high-current mode, but the transformer link has adverse effects on the compensation of the power quality, and particularly higher harmonic compensation is difficult. In recent years, people have tried to improve the voltage class and capacity of an active power filter by various methods, such as cascading the active power filter, improving a topological structure, and the like, but the problems that the voltage class is not changed greatly due to structural limitation, harmonics generated by the topological structure are difficult to treat, and the like still exist, and technical innovation is urgent.
The modularized multi-level converter as a newly generated technology in recent years has the advantages of high modularization, easiness in expansion and convenience in improving the voltage grade, and has obvious application advantages in the fields of medium-high voltage and large capacity. Therefore, a Multilevel Converter-Active Power Filter (MMC-APF) method is becoming a potential research direction of the Active Power Filter in high-voltage occasions.
However, although the MMC-APF can be applied to high-voltage and large-capacity occasions, the compensation current has errors due to the problems of poor tracking speed and low precision of the traditional current tracking method, and meanwhile, the MMC-APF generates circulating current due to the special structure of the MMC-APF, so that the size of the compensation current is also influenced, and the compensation performance is influenced. Therefore, the APF with high voltage, large capacity and excellent compensation performance is applied to the power harmonic suppression.
On the basis of fully analyzing the technical characteristics of the existing APF, the invention provides a power harmonic treatment method for improving an active power filter by using a novel multi-level converter as shown in figure 1 by combining the fact that the APF cannot obtain a good application effect in high-voltage and large-capacity occasions, so that the APF is applied to medium-high-voltage and large-capacity occasions, the fault tolerance of the APF is improved, and the accurate harmonic treatment can be realized.
Disclosure of Invention
The technical problem solved by the invention is as follows: in view of the defects in the prior art, the advantages of the MMC are combined, the purpose of the invention is to provide a power harmonic treatment method for improving an active power filter by using a novel multi-level converter aiming at the situation that the APF can only be applied to the occasions with low voltage level, medium and small capacity and in order to realize the application of the APF to the occasions with high voltage and large capacity and ensure the compensation effect and flexibility of the APF. The method is characterized in that a multi-level converter is used for improving The construction of a main circuit model of an active power filter, a circulation current restraining link based on second-order generalized integral (SOGI) and a fuzzy Proportional Integral (PI) -repetitive control optimization current tracking control algorithm are designed on The premise of not changing The original harmonic detection technology, so that The requirements of high voltage and large capacity are met, The current tracking speed is increased, The flexibility is increased, and The power quality is improved.
The technical scheme for solving the problems is as follows: a power harmonic treatment method for improving an active power filter by using a novel multi-level converter is characterized by comprising the following steps:
step 1, constructing a main circuit model of an improved active power filter by using a multilevel converter:
1) creating an H half-bridge submodule;
2) the bridge arm of the original APF three-phase bridge circuit is replaced by a structure in which a plurality of H half-bridge submodules and inductors are connected in series, the flexible adjustment of the number of the H half-bridge submodules is realized, and the H half-bridge submodules of the bridge arm can be replaced with each other according to the fault condition, so that the voltage grade and the capacity of the APF are increased, and the fault tolerance of the APF is improved;
3) when the voltage grade and the capacity of the APF are increased, the output end of the upper bridge arm and the output end of the lower bridge arm of each phase are connected with a direct current capacitor, so that the working stability of the APF is improved;
the power supply of the MMC-APF main circuit is three-phase voltage sources Vsa, Vsb and Vsc with the same amplitude and phase difference of 120 degrees, one end of each phase of voltage source is connected with a neutral point, the other end of each phase of voltage source is respectively connected with one end of an MMC-APF input reactor, the other end of each MMC-APF input reactor is respectively connected with the input ends of an upper bridge arm and a lower bridge arm of each phase of voltage source, the output ends of the upper bridge arm and the lower bridge arm of each phase of voltage source are respectively connected with two ends of a direct current capacitor, each phase of voltage source comprises an upper bridge arm and a lower bridge arm, and each bridge arm is formed by connecting n submodules in series; SMn represents each submodule of an upper bridge arm and a lower bridge arm of a three-phase voltage source, and n is 1-z to represent an nth submodule;
for the basic composition unit of the modular multilevel converter, the MMC submodule is usually in an H half-bridge structure and is formed by connecting two IGBTs in series and then connecting the two IGBTs in parallel with a capacitor C. When the main circuit runs, bridge arm current flows in two directions between the two IGBTs, and a required modulation waveform is fitted through switching cooperation of the sub-modules of the upper bridge arm and the lower bridge arm;
step 2, restraining the circulating current of the multilevel converter based on a second-order generalized integral multiple harmonic filter:
1) extracting a double frequency component in the MMC-APF circulating current by adopting SOGI;
2) obtaining harmonic components by combining negative feedback and low-pass filtering links;
3) a quasi-Proportional Resonance (PR) controller is adopted to improve the multi-harmonic circulating current suppression effect;
step 3, current tracking optimization based on fuzzy proportional integral repetitive control:
1) establishing current inner loop control on the basis of PI control to eliminate the coupling influence;
2) and a repetitive controller and a fuzzy controller are designed, so that the accurate and real-time tracking of the command current is realized, and the effectiveness and the real-time performance of harmonic treatment are improved.
Further, in thestep 1, the construction of the main circuit model of the active power filter improved by the multilevel converter comprises:
1) on the basis of an APF three-phase bridge circuit structure, two Insulated Gate Bipolar Transistors (IGBT) are connected in series and connected in parallel with a capacitor to form an H half-bridge submodule;
2) the bridge arm of the original APF three-phase bridge circuit is replaced by a series structure of a plurality of H half-bridge submodules and an inductor, the number of the H half-bridge submodules is flexibly adjusted, and the H half-bridge submodules of the bridge arm can be replaced with each other according to the fault condition, so that the voltage grade and the capacity of the APF are increased, and the fault tolerance of the APF is improved;
3) when the voltage grade and the capacity of the APF are increased, the output end of the upper bridge arm and the output end of the lower bridge arm of each phase are connected with a direct current capacitor, so that the working stability of the APF is improved;
4) on the basis of the established MMC-APF circuit structure, according to the circuit principle, the MMC model under the dq coordinate system for obtaining the MMC-APF is as follows:
Figure BDA0003223806930000031
in the formula ud、uqD, q-axis components, e, of the three-phase ac supply voltage, respectivelyd、eqRespectively MMC equivalent internal electromotive force exD, q-axis components of (i)d、iqD-axis components and q-axis components of output current of the APF converter respectively;
the frequency domain mathematical model is:
Figure BDA0003223806930000032
according to the formula, a mathematical model of the multi-level converter in the frequency domain can be made.
Further, in the step 2, the MMC circulating current suppression based on the SOGI multi-harmonic filter includes:
1) extracting a second harmonic component in MMC-APF circulating current by adopting an SOGI multi-harmonic filter, filtering a high-frequency even-order component by a negative feedback and low-pass filtering link to obtain a direct current quantity, and inputting the direct current quantity into initial circulating current by utilizing the negative feedback link to further obtain a harmonic component;
a multi-harmonic filter (MHF) is composed of an SOGI and an integrating element, and has a transfer function of
Figure BDA0003223806930000041
In the formula: omegahThe harmonic separation point of the employed MHF; the 1/s link can amplify the direct current component, so that the direct current component can be separated more conveniently; k is a radical ofhIs an adjustment factor; dynamic performance of MHF is then compared with kh(ii) related;
2) filtering out frequency doubling and frequency quadrupling harmonics by using a quasi-PR controller; having a transfer function of
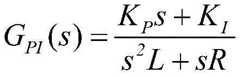
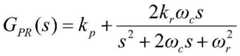
Figure BDA0003223806930000042
Wherein: k is a radical ofpIs a proportionality coefficient; k is a radical ofrIs the resonance coefficient; omegarIs the resonant frequency; omegar=kω0;ωcIs the cut-off frequency; s is a complex frequency domain variable.
When ω is ω ═ ωrWhile its amplitude is kp+krThe phase angular displacement is 0, so that the non-static tracking of specific frequency can be realized; taking factor of gain and bandwidth into consideration, take omegac=π;
Because the circulation is mainly the second harmonic and the fourth harmonic, the invention mainly controls the second harmonic and the fourth harmonic, and adopts a circulation restraining quasi-PR controller of MHF to obtain omegar=2ω0And ωr=4ω0
Further, in thestep 3, the current tracking optimization based on the fuzzy PI-repetitive control comprises:
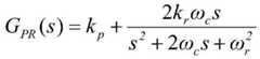
1) establishing current inner loop control, and introducing a PI transfer function of the inner loop control as follows:
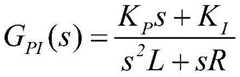
Figure BDA0003223806930000043
wherein KPR, L is equivalent resistance and equivalent inductance which are proportional parameters of the PI controller; kIIs an integral parameter of the PI controller; l is 14mH, and R is 0.08 Ω.
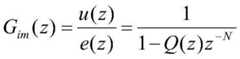
2) Design repetitive controller and fuzzy controller, realize accurate, the real-time tracking of instruction current, promote the validity and the real-time nature of harmonic treatment:
repeating controller cycle delay link z-NA repeated internal mold and a corrector S (z);
in the active filter, the power frequency of the power grid is f-50 Hz, and the switching frequency is fs=25600Hz。
Figure BDA0003223806930000051
For a repeating internal model, its transfer function can be expressed as:
Figure BDA0003223806930000052
wherein q (z) is an attenuation filter, and q (z) is 0.95; z is a radical of-NFor delay compensation.
In the repetitive control, a corrector S (z) only needs to design a second-order low-pass filter to carry out amplitude attenuation on the PI inner ring, and high-frequency disturbance of the system is suppressed; the transfer function of the second order low pass filter is:
Figure BDA0003223806930000053
in the formula of omeganThe cut-off frequency is usually chosen to be half the frequency of the highest order waves of the system, and ω is the highest frequency required to compensate for the 50 th harmonicnTaking 2500 pi rad/s; xi is a damping coefficient, which is 0.707; further, the discrete domain transfer function of f (z) is obtained as:
Figure BDA0003223806930000054
meanwhile, 3-beat lead compensation z is introduced to correct PI inner loop and after the phase generated by Low Pass Filter (LPF) is full3And combining system stability to repeatedly control gain KrSet to 0.98, therefore, s (z) is expressed as:
S(z)=0.98z3F(z)
secondly, according to the requirements in the process, the dynamic response speed is high, the dynamic response speed caused by a delay link is reduced, a fuzzy rule is established, 7 membership function big (NB), Negative Middle (NM), Negative Small (NS), Zero (ZO), Positive Small (PS), Positive Middle (PM) and positive large (PB) are added in the range, different fuzzy languages are given to the 7 membership function according to the deviation value, and the designed delta KP、ΔKIThe control rule of (2) is shown in table 1, and the membership function of the fuzzy control adopts a trigonometric function;
after fuzzy reasoning, the output value is defuzzified and converted into an accurate value, and finally, delta K is outputP、ΔKI(ii) a Parameter KP、KIThe calculation formula of (a) is as follows:
Figure BDA0003223806930000055
the invention has the beneficial effects that: by means of the technical scheme, the novel multi-level converter improves the power harmonic control method of the active power filter, and can realize that the APF is applied to high-voltage and large-capacity occasions without changing the original harmonic detection method, the compensation current is accurately tracked, the accurate and reliable harmonic compensation capability of the system is ensured, and the fault tolerance of the APF is improved.
Drawings
FIG. 1 is a schematic diagram of the power harmonic suppression method of the present invention using a novel multi-level converter to improve an active power filter;
FIG. 2 is a schematic diagram of the MMC-APF main circuit of the present invention;
FIG. 3 is a schematic diagram of an H-half bridge submodule structure according to the present invention;
FIG. 4 is an overall block diagram of MMC circulating current suppression based on SOGI multi-harmonic filter;
FIG. 5 is a schematic diagram of current inner loop control;
FIG. 6 is a PI control schematic;
FIG. 7 is a schematic diagram of repetitive control;
FIG. 8 is a fuzzy PI-repeat control block diagram;
FIG. 9 is a compensation current waveform display of MMC-APF filtering effect based on fuzzy PI-repetitive control;
FIG. 10 is a load current demonstration of MMC-APF filtering effect based on fuzzy PI-repetitive control;
FIG. 11 is a harmonic current waveform display of MMC-APF filtering effect based on fuzzy PI-repetitive control;
FIG. 12 is a compensation current waveform distortion rate display based on MMC-APF filtering effect of fuzzy PI-repetitive control;
table 1 is a fuzzy control rule table.
In the figure: 1 MHF, 2 quasi PR controllers, 3 current inner rings, 4 MMC mathematical models, 5 repetitive controllers and 6 fuzzy PI controllers.
Detailed Description
The present invention will be described in detail below with reference to the drawings and examples.
Referring to fig. 1 to 12 and table 1, inembodiment 1, the method for implementing power harmonic suppression by using a novel multilevel converter to improve an active power filter includes the following steps:
step 1, constructing a main circuit model of an improved active power filter by using a multilevel converter:
1) creating an H half-bridge submodule;
on the basis of an APF three-phase bridge circuit structure, two Insulated Gate Bipolar Transistors (IGBT) (T1 and T2 in the figure 3) are connected in series and connected with a capacitor C in parallel to form an H half-bridge submodule;
2) the bridge arm of the original APF three-phase bridge circuit is replaced by a series structure of a plurality of H half-bridge submodules and an inductor, the number of the H half-bridge submodules is flexibly adjusted, and the H half-bridge submodules of the bridge arm can be replaced with each other according to the fault condition, so that the voltage grade and the capacity of the APF are increased, and the fault tolerance of the APF is improved;
3) when the voltage grade and the capacity of the APF are increased, the output end of the upper bridge arm and the output end of the lower bridge arm of each phase are connected with a direct current capacitor, so that the working stability of the APF is improved;
4) for the basic composition unit of the modular multilevel converter, the MMC sub-module usually adopts an H half-bridge sub-module, and when the main circuit runs, the bridge arm current iarmAnd the two IGBTs flow in two directions, and the required modulation waveform is fitted through the switching matching of each H half-bridge submodule of the upper bridge arm and the lower bridge arm. According to the different switch states of T1 and T2, the H half bridge sub-module can be roughly divided into three operation modes of 'on', 'off' and 'bypass', and the bypass state only appears when the system starts to charge the capacitor or is in an abnormal state such as a fault.
As shown in fig. 2-3, a power supply of the MMC-APF main circuit is three-phase voltage sources Vsa, Vsb and Vsc with the same amplitude and a phase difference of 120 °, one end of each phase voltage source is connected to a neutral point, the other end of each phase voltage source is connected to an end of an MMC-APF input reactor, the other end of each MMC-APF input reactor is connected to input ends of an upper bridge arm and a lower bridge arm of each phase voltage source, output ends of the upper bridge arm and the lower bridge arm of each phase voltage source are connected to two ends of a direct current capacitor, each phase voltage source comprises an upper bridge arm and a lower bridge arm, and each bridge arm is formed by connecting n H half-bridge submodules in series; namely SMnThe power supply comprises an upper bridge arm and a lower bridge arm, wherein the upper bridge arm and the lower bridge arm represent an upper bridge sub-module and a lower bridge sub-module of a three-phase voltage source, N is 1-z represents an nth H half bridge sub-module, Ia, Ib and Ic represent output currents of the three-phase voltage source Vsa, Vsb and Vsc respectively, Ls is an MMC-APF input reactor, a neutral point of the three-phase voltage source is recorded as N, and a direct-current capacitor is recorded as C2,C3
MMC-APF mathematical model:
defining an H half-bridge submodule switch state function K:
Figure BDA0003223806930000071
the H half-bridge sub-module output voltage and dc side current can be expressed as:
Figure BDA0003223806930000072
wherein u isdc-xyzH half-bridge submodule dc-side capacitor voltage (z ═ 1, 2, 3,. n), u, for MMCxyz,ixyzRespectively an output voltage at the AC side and a current at the DC side of the H half-bridge submodulexy(y represents upper and lower arms) is the arm current.
And because the bridge arm voltages and the output voltage of the H half-bridge submodule have the following relationship:
Figure BDA0003223806930000073
wherein u isxyIs bridge arm voltage uxyzAnd outputting voltage for the alternating current side of the H half-bridge submodule.
According to the output characteristics of each bridge arm, the bridge arms can be equivalent to controllable voltage sources. Bridge arm inductance L0Having an internal resistance of R0Taking phase a as an example, analyzing a loop formed by an upper bridge arm, a lower bridge arm and a virtual direct current common bus by using kirchhoff voltage law:
Figure BDA0003223806930000081
Udcis a DC bus voltage uap,uanA phase upper and lower bridge arm voltages, iap,ianThe current of the upper bridge arm and the lower bridge arm of the phase a.
Making a difference between the two formulas
Figure BDA0003223806930000082
The network side alternating current power supply and the output of the MMC current converter have the following relations:
Figure BDA0003223806930000083
in the formula usaFor the grid side a phase voltage, icaIs a side of a netPhase a current, ucaTo output voltage for the inverter.
The formula (5) may be substituted for the formula (6):
Figure BDA0003223806930000084
according to kirchhoff's current law, the following relations exist between the currents of the upper bridge arm and the lower bridge arm and the output current of the current converter:
ica=ian-iap (8)
the formula (6) may be substituted for the formula (7):
Figure BDA0003223806930000085
finally, let
Figure BDA0003223806930000086
The formula (9) can be collated:
Figure BDA0003223806930000087
because MMC transverter has qualified symmetry in the structure, consequently can deduce its mathematical model under three-phase static coordinate system to be:
Figure BDA0003223806930000091
however, the MMC inverter has more variables in the three-phase stationary coordinate system, and the voltage and current are ac time-varying components, so as to reduce the analysis difficulty, equation (12) is converted into the two-phase rotating coordinate system. Meanwhile, in order to make the vector module values before and after conversion the same, introducing a constant amplitude Park transformation conversion matrix as shown in formula (13):
Figure BDA0003223806930000092
the MMC mathematical model 4 under dq coordinate system is:
Figure BDA0003223806930000093
in the formula ud、uqD, q-axis components, e, of the three-phase ac supply voltage, respectivelyd、eqRespectively MMC equivalent internal electromotive force exD, q-axis components of (i)d、iqThe components of the output current of the MMC converter are the d-axis component and the q-axis component respectively. To facilitate the design of MMC-APF system controller, Laplace transform is used to transform equation (14) into frequency domain
Figure BDA0003223806930000094
A mathematical model of the MMC converter in the frequency domain as shown in fig. 5 can be made according to equation (15).
In the step 2, MMC circulation suppression of the SOGI-based MHF1 comprises the following steps:
1) circulation is generated due to the structural particularity of the MMC-APF, an MMC circulation restraining method based on the SOGI is adopted, and the structure of the MMC circulation restraining method is shown in figure 4. The SOGI-based MMC loop suppression consists of two parts, namely an SOGI-based MHF1 and a quasi-PR controller 2. The MHF1 firstly adopts SOGI to extract a double frequency component, compares the double frequency component with the initial circulating current through a negative feedback link, then filters the high frequency even-order component through a low-pass filtering link to obtain a direct current quantity, and inputs the direct current quantity into the initial circulating current through the negative feedback link to obtain a harmonic component.
MHF1 is composed of an SOGI and an integration element, and has a transfer function of
Figure BDA0003223806930000095
In the formula: omegahThe harmonic separation point for the MHF1 employed; the 1/s link can amplify the direct current component to make it more squareIs separated out conveniently; k is a radical ofhIs an adjustment factor; dynamic performance of MHF1 is then compared with khIt is related.
2) Filtering out frequency doubling and frequency quadrupling harmonics by using a quasi-PR controller 2;
in order to improve the stability of the system, eliminate the problems that the ideal PR bandwidth is too narrow and the amplification at a resonant frequency point is small, and effectively and accurately eliminate harmonic waves, the quasi-PR controller 2 is utilized to realize the circulation current suppression. Having a transfer function of
Figure BDA0003223806930000101
Wherein: k is a radical ofpIs a proportionality coefficient; k is a radical ofrIs the resonance coefficient; omegarIs the resonant frequency; omegar=kω0;ωcIs the cut-off frequency; s is a complex frequency domain variable.
When ω is ω ═ ωrWhile its amplitude is kp+krAnd the phase angular displacement is 0, so that the non-static tracking of a specific frequency can be realized. Taking factor of gain and bandwidth into consideration, take omegac=π。
Because the circulation is mainly the second harmonic and the fourth harmonic, the main control targets of the invention are the second harmonic and the fourth harmonic, and the circulation suppression quasi-PR controller 2 adopting MHF1 takes omegar=2ω0And ωr=4ω0
In thestep 3, the current tracking optimization based on the fuzzy PI-repetitive control comprises the following steps:
1) establishing current inner loop control, introducing PI transfer function of inner loop control
As the MMC-APF mathematical model introduces the cross-coupling term omega Li in the process of converting the abc coordinate system into the dq coordinate systemdAnd ω LiqAnd on the other hand, a feedforward cross decoupling method is adopted to establish current inner loop control and eliminate the coupling influence.
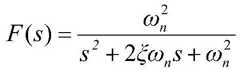
On the d-axis channel, it can be seen that ω Li is a state quantity due to the feedforwarddThe coupling terms in the MMC mathematical model 4 are offset, and finally the independent control of the d axis and the q axis is realized. In view of the fact that the object under control is a first-order inertial system,an PI control strategy with simple use principle and strong operability is tried, and a currentinner ring 3 transfer function based on PI control can be obtained as
Figure BDA0003223806930000102
Wherein KPR, L is equivalent resistance and equivalent inductance which are proportional parameters of the PI controller; kIIntegrating parameters for the PI controller; in this specification, L is 14mH, and R is 0.08 Ω.
2) Design repetitive controller and fuzzy controller, realize accurate, the real-time tracking of instruction current, promote the validity and the real-time nature of harmonic treatment:
the repeated control improves the accuracy of tracking steady-state error and the stability of motion of the system, and is added on the basis of PI control. The principle of repetitive control is shown in FIG. 7, where therepetitive controller 5 is formed by a cycle delay element z-NThe repeated internal model and the corrector S (z). Wherein z is-NIs the action that the system does after delaying for a period of one cycle, namely: the error information detected in the previous period is to generate control influence in the previous period, wherein N is the total number of sampling points in the period, the power frequency of a power grid in the active filter is f-50 Hz, and the switching frequency is fs=25600Hz。
Figure BDA0003223806930000111
For a repeating internal model, the transfer function can be expressed as:
Figure BDA0003223806930000112
where q (z) is an attenuation filter that can be set as either a low pass filter or a constant less than 1, assuming q (z) takes on the real number x, equation (20) is expressed as a difference equation:
u(k)=e(k)+x*u(k-N) (21)
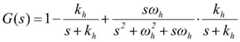
according to the formula (21), the error e (k) is integrated by repeating the internal model by taking the power frequency period as the step length until the error is less than (1-x) times u (k), and the margin is reserved for the integration link due to the setting of Q (z), so that the interference caused by high-frequency gain can be inhibited. The repeated control has high gain and zero phase shift characteristics at the power frequency and frequency multiplication positions thereof, namely the repeated internal model is stable: however, as q (z) increases, the system control gain also increases gradually, so that part of the stability is sacrificed while improving the steady-state accuracy, and q (z) is 0.95 in comprehensive consideration.
The function of the corrector S (z) in the repetitive control is to ensure that the controlled object has zero gain and zero phase shift in the middle and low frequency bands, and simultaneously enhance the high-frequency attenuation characteristic of the forward channel. Because the controlled object has good frequency response characteristic in a low frequency band, only a second-order low-pass filter needs to be designed to perform amplitude attenuation on the PI inner ring, and high-frequency disturbance of the system is suppressed. The transfer function of the second order low pass filter is:
Figure BDA0003223806930000113
in the formula of omeganFor the cut-off frequency, the value of it will affect the gain of the low frequency band, and is generally selected according to half of the highest harmonic frequency of the system, and if the highest requirement is to compensate 50 harmonics, then ω isnTake 2500 π rad/s. ξ is the damping coefficient, which determines the rate of rise of the signal, here taken to be 0.707. Further, the discrete domain transfer function of f (z) is obtained as:
Figure BDA0003223806930000114
meanwhile, 3-beat lead compensation z is introduced for correcting the phase produced by the PI inner loop and the LPF after full phase3And combining system stability to repeatedly control gain KrSet to 0.98, therefore, s (z) can be expressed as:
S(z)=0.98z3F(z) (24)
and finally, on the basis of PI-repetitive control, fuzzy and PI compound control is introduced, the dynamic response speed of thefuzzy PI controller 6 is high, the PI parameter is adjusted in real time, and the phenomenon that the dynamic response speed is slowed down due to a delay link is reduced. Therefore, the compensation current is accurately tracked in real time.
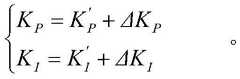
KPThe value of (A) directly affects the response speed of the system, KPThe larger the value is, the faster the system adjustment speed is, and the shorter the response time is, but the excessive value causes the overshoot and oscillation frequency of the system to increase, so that the response time is prolonged, and meanwhile, the system is too sensitive, and the dynamic performance is reduced; increase of KIThe value can effectively reduce steady-state error and enhance the dynamic stability of the system, but the system adjusting time is increased due to the overlarge value. When the error and the error change rate are considered together, e and ecIn the same number, K is increasedP(ii) a Conversely, decrease KP. When K isIToo large, it may cause an increase in system overshoot. To prevent integral saturation, let K if the error e is largeIIs equal to zero; if e is smaller, let KIAnd act to reduce the systematic error by increasing it as e decreases.
Secondly, according to the requirements in the process, to realize high dynamic response speed and reduce low dynamic response speed caused by a delay link, 7 membership function big (NB), Negative Middle (NM), Negative Small (NS), Zero (ZO), Positive Small (PS), Positive Middle (PM) and Positive Big (PB) are added in the range, different fuzzy languages are given to the 7 membership function according to the size of the deviation value, and the designed delta K is providedP、ΔKIThe control rule of (2) is shown in table 1, and the membership function of the fuzzy control is a trigonometric function.
After fuzzy reasoning, the output value is defuzzified and converted into an accurate value, and finally, delta K is outputP、ΔKI. Parameter KP、KIThe calculation formula of (a) is as follows:
Figure BDA0003223806930000121
to verify the feasibility of the above theory, simulation experiments were performed under Matlab. In fig. 9-12, the waveforms are the compensation current waveform, the load current, the harmonic current waveform and the compensation current waveform distortion rate in sequence, and it can be seen that the load current has obvious distortion.
TABLE 1
Figure RE-GDA0003260967030000131

Claims (4)

1. A power harmonic suppression method for improving an active power filter by using a novel multi-level converter is characterized by comprising the following steps:
step 1, constructing a main circuit model of an Active Power Filter (APF) by using a Multilevel Converter (MMC):
1) creating an H half-bridge submodule;
2) the bridge arm of the original APF three-phase bridge circuit is replaced by a structure in which a plurality of H half-bridge submodules and inductors are connected in series, the flexible adjustment of the number of the H half-bridge submodules is realized, and the H half-bridge submodules of the bridge arm can be replaced with each other according to the fault condition, so that the voltage grade and the capacity of the APF are increased, and the fault tolerance of the APF is improved;
3) when the voltage grade and the capacity of the APF are increased, the output end of the upper bridge arm and the output end of the lower bridge arm of each phase are connected with a direct current capacitor, so that the working stability of the APF is improved;
step 2, multi-level converter circulating current suppression based on The second-order generalized integrated (SOGI) multi-harmonic filter:
1) extracting a double frequency component in the MMC-APF circulating current by adopting SOGI;
2) obtaining harmonic components by combining negative feedback and low-pass filtering links;
3) a quasi-Proportional Resonance (PR) controller is adopted to improve the multi-harmonic circulating current suppression effect;
step 3, current tracking optimization based on fuzzy Proportional Integral (PI) -repetitive control:
1) establishing current inner loop control on the basis of PI control to eliminate the coupling influence;
2) and a repetitive controller and a fuzzy controller are designed, so that the accurate and real-time tracking of the command current is realized, and the effectiveness and the real-time performance of harmonic treatment are improved.
2. The method as claimed in claim 1, wherein the step 1 of constructing the main circuit model of the active power filter with the multilevel converter comprises:
1) on the basis of an APF three-phase bridge circuit structure, two Insulated Gate Bipolar Transistors (IGBT) are connected in series and connected in parallel with a capacitor to form an H half-bridge submodule;
2) the bridge arm of the original APF three-phase bridge circuit is replaced by a series structure of a plurality of H half-bridge submodules and an inductor, the number of the H half-bridge submodules is flexibly adjusted, and the H half-bridge submodules of the bridge arm can be replaced with each other according to the fault condition, so that the voltage grade and the capacity of the APF are increased, and the fault tolerance of the APF is improved;
3) when the voltage grade and the capacity of the APF are increased, the output end of the upper bridge arm and the output end of the lower bridge arm of each phase are connected with a direct current capacitor, so that the working stability of the APF is improved;
4) on the basis of the established MMC-APF circuit structure, according to the circuit principle, an MMC mathematical model under the dq coordinate system of the MMC-APF is obtained as follows:
Figure FDA0003223806920000021
in the formula ud、uqD, q-axis components, e, of the three-phase ac supply voltage, respectivelyd、eqRespectively MMC equivalent internal electromotive force exD, q-axis components of (i)d、iqD-axis components and q-axis components of output current of the APF converter respectively;
the frequency domain mathematical model is:
Figure FDA0003223806920000022
3. the method as claimed in claim 1, wherein the step 2 of improving the power harmonic suppression of the active power filter by the novel multilevel converter comprises the following steps:
1) extracting a second harmonic component in MMC-APF circulating current by adopting an SOGI multi-harmonic filter, filtering a high-frequency even-order component by a negative feedback and low-pass filtering link to obtain a direct current quantity, and inputting the direct current quantity into initial circulating current by utilizing the negative feedback link to further obtain a harmonic component;
a multi-harmonic filter (MHF) is composed of an SOGI and an integrating element, and has a transfer function of
Figure FDA0003223806920000023
In the formula: omegahThe harmonic separation point of the employed MHF; the 1/s link can amplify the direct current component, so that the direct current component can be separated more conveniently; k is a radical ofhIs an adjustment factor; dynamic performance of MHF is then compared with kh(ii) related;
2) filtering out frequency doubling and frequency quadrupling harmonics by using a quasi-PR controller; having a transfer function of
Figure FDA0003223806920000024
Wherein: k is a radical ofpIs a proportionality coefficient; k is a radical ofrIs the resonance coefficient; omegarIs the resonant frequency; omegar=kω0;ωcIs the cut-off frequency; s is a complex frequency domain variable.
4. The method as claimed in claim 1, wherein the step 3 of optimizing the current tracking based on the fuzzy PI-repetitive control comprises:
1) establishing current inner loop control, and introducing a PI transfer function of the inner loop control as follows:
Figure FDA0003223806920000025
wherein KPR, L is equivalent resistance and equivalent inductance which are proportional parameters of the PI controller; kIIs an integral parameter of the PI controller;
2) design repetitive controller and fuzzy controller, realize accurate, the real-time tracking of instruction current, promote the validity and the real-time nature of harmonic treatment:
repeating controller cycle delay link z-NA repeated internal mold and a corrector S (z);
in the active filter, the power frequency of the power grid is f-50 Hz, and the switching frequency is fs=25600Hz;
Figure FDA0003223806920000031
For a repeating internal model, its transfer function can be expressed as:
Figure FDA0003223806920000032
wherein q (z) is an attenuation filter, and q (z) is 0.95; z is a radical of-NFor delay compensation;
in the repetitive control, a corrector S (z) only needs to design a second-order low-pass filter to carry out amplitude attenuation on the PI inner ring, and high-frequency disturbance of the system is suppressed; the transfer function of the second order low pass filter is:
Figure FDA0003223806920000033
in the formula of omeganThe cut-off frequency is usually chosen to be half the frequency of the highest order waves of the system, and ω is the highest frequency required to compensate for the 50 th harmonicnTaking 2500 pi rad/s; xi is a damping coefficient, which is 0.707; further, the discrete domain transfer function of f (z) is obtained as:
Figure FDA0003223806920000034
meanwhile, 3-beat lead compensation z is introduced to correct PI inner loop and after the phase generated by Low Pass Filter (LPF) is full3And combining system stability to repeatedly control gain KrSet to 0.98, therefore, s (z) is expressed as:
S(z)=0.98z3F(z)
secondly, according to the requirements in the process, the dynamic response speed is high, the dynamic response speed caused by a delay link is reduced, a fuzzy rule is established, 7 membership function big (NB), Negative Middle (NM), Negative Small (NS), Zero (ZO), Positive Small (PS), Positive Middle (PM) and positive large (PB) are added in the range, different fuzzy languages are given to the 7 membership function according to the deviation value, and the designed delta KP、ΔKIThe control rule of (2) is shown in table 1, and the membership function of the fuzzy control adopts a trigonometric function;
after fuzzy reasoning, the output value is defuzzified and converted into an accurate value, and finally, delta K is outputP、ΔKI(ii) a Parameter KP、KIThe calculation formula of (a) is as follows:
Figure FDA0003223806920000041
CN202110965529.7A2021-08-232021-08-23Power harmonic treatment method for improving active power filter by novel multi-level converterPendingCN113690889A (en)

Priority Applications (1)

Application NumberPriority DateFiling DateTitle
CN202110965529.7ACN113690889A (en)2021-08-232021-08-23Power harmonic treatment method for improving active power filter by novel multi-level converter

Applications Claiming Priority (1)

Application NumberPriority DateFiling DateTitle
CN202110965529.7ACN113690889A (en)2021-08-232021-08-23Power harmonic treatment method for improving active power filter by novel multi-level converter

Publications (1)

Publication NumberPublication Date
CN113690889Atrue CN113690889A (en)2021-11-23

Family

ID=78581220

Family Applications (1)

Application NumberTitlePriority DateFiling Date
CN202110965529.7APendingCN113690889A (en)2021-08-232021-08-23Power harmonic treatment method for improving active power filter by novel multi-level converter

Country Status (1)

CountryLink
CN (1)CN113690889A (en)

Cited By (5)

* Cited by examiner, † Cited by third party
Publication numberPriority datePublication dateAssigneeTitle
CN114123206A (en)*2021-11-262022-03-01国网新疆电力有限公司吐鲁番供电公司 Harmonic control method for electric vehicle charging station
CN114726195A (en)*2022-01-272022-07-08国网辽宁省电力有限公司电力科学研究院 A full-band synchronization suppression method for harmonic or inter-harmonic of photovoltaic inverter
CN114884326A (en)*2022-07-112022-08-09南京工程学院Unified suppression method for circulation frequency doubling quadruple frequency component of modular multilevel converter
CN115241881A (en)*2022-06-292022-10-25襄阳湖北工业大学产业研究院LCL type active power filter improved current control method suitable for power grid frequency fluctuation scene
CN115473413A (en)*2022-09-292022-12-13华北电力科学研究院有限责任公司Energy storage type test power supply control method, system, medium and equipment

Citations (2)

* Cited by examiner, † Cited by third party
Publication numberPriority datePublication dateAssigneeTitle
CN103683288A (en)*2013-12-112014-03-26哈尔滨工业大学Parallel active filter based on modularization multi-level converter and control method of parallel active filter
CN110649619A (en)*2019-11-052020-01-03河海大学常州校区 A sliding mode control method for a modular multilevel active power filter

Patent Citations (2)

* Cited by examiner, † Cited by third party
Publication numberPriority datePublication dateAssigneeTitle
CN103683288A (en)*2013-12-112014-03-26哈尔滨工业大学Parallel active filter based on modularization multi-level converter and control method of parallel active filter
CN110649619A (en)*2019-11-052020-01-03河海大学常州校区 A sliding mode control method for a modular multilevel active power filter

Non-Patent Citations (4)

* Cited by examiner, † Cited by third party
Title
SAMUEL N. DUARTE 等: "Zero-sequence voltage compensation of a distribution network through a four-wire modular multilevel static synchronous compensator", ELECTRICAL POWER AND ENERGY SYSTEMS, vol. 109, pages 57 - 72*
孟亨: "基于改进准 PR 和 ELM 优化的 MMC-APF 控制策略研究", 中国优秀硕士学位论文全文数据库 工程科技Ⅱ辑, no. 7, pages 5 - 32*
李少波 等: "有源电力滤波器直流侧电压模糊PI自适应控制", 电工技术, no. 18, pages 69 - 72*
田朔: "基于MMC-APF的电力系统谐波抑制技术研究", 中国优秀硕士学位论文全文数据库工程科技Ⅱ辑, no. 6, pages 9 - 49*

Cited By (6)

* Cited by examiner, † Cited by third party
Publication numberPriority datePublication dateAssigneeTitle
CN114123206A (en)*2021-11-262022-03-01国网新疆电力有限公司吐鲁番供电公司 Harmonic control method for electric vehicle charging station
CN114123206B (en)*2021-11-262023-09-22国网新疆电力有限公司吐鲁番供电公司Harmonic wave treatment method for electric vehicle charging station
CN114726195A (en)*2022-01-272022-07-08国网辽宁省电力有限公司电力科学研究院 A full-band synchronization suppression method for harmonic or inter-harmonic of photovoltaic inverter
CN115241881A (en)*2022-06-292022-10-25襄阳湖北工业大学产业研究院LCL type active power filter improved current control method suitable for power grid frequency fluctuation scene
CN114884326A (en)*2022-07-112022-08-09南京工程学院Unified suppression method for circulation frequency doubling quadruple frequency component of modular multilevel converter
CN115473413A (en)*2022-09-292022-12-13华北电力科学研究院有限责任公司Energy storage type test power supply control method, system, medium and equipment

Similar Documents

PublicationPublication DateTitle
CN113690889A (en)Power harmonic treatment method for improving active power filter by novel multi-level converter
CN103683288B (en) Parallel Active Filter Based on Modular Multilevel Converter and Its Control Method
CN107346946B (en)A kind of inverter is discrete to repeat sliding-mode control
CN113346785B (en) An inverter adaptive error compensation control system and method
CN108574302A (en) Grid connection control method based on feedforward compensation and virtual impedance
CN104882886B (en)LLCL filtering-based active power filter compound control method
CN108039706B (en) A kind of active power filter anti-saturation frequency adaptive resonance control method
CN111740635A (en)Double-loop control method of single-phase LC inverter
CN113036797B (en) Multilevel converter direct power control method and device
CN108551271A (en)UPS three-phase PWMs voltage source inverter based on Active Disturbance Rejection Control and control method
CN110176770B (en)Control method of MMC type active power filter during power grid voltage unbalance
CN112332426A (en)Unified power quality regulator system based on MMC technology and control method
CN104333002A (en)Mixed active power filter based on ip-iq detection method and hysteresis control
CN110429603A (en)Six switches, seven level active power filter and compensation method
CN117113922A (en)Three-phase voltage source converter AC/DC harmonic closed-loop coupling characteristic modeling method and model considering T/4 delay separation link
CN106099937A (en)A kind of Research on Unified Power Quality Conditioner and control method thereof
CN106451573A (en)Multivariable feedback control type three-phase LCL networking converter and method
CN119420149A (en) A method and system for suppressing capacitor voltage fluctuation of SiC MMC submodule
CN108964104A (en)A kind of MMC circulation inhibition method based on sliding formwork control
CN114583987B (en) A decoupling and balancing control method for three-phase power electronic transformer based on feedback linearization
CN117811333A (en)LCL grid-connected inverter resonance suppression system and LCL grid-connected inverter resonance suppression method
CN117578895A (en) Grid-connected inverter control method based on grid modulation theory and optimal control
Suresh et al.Three-level active neutral point clamped DSTATCOM with Interval Type-2 fuzzy logic controller
CN116545014A (en)Active power filter based on first-order PI-synovial membrane control and filtering method
CN109951093A (en) A midpoint voltage control system and method based on hybrid parameters

Legal Events

DateCodeTitleDescription
PB01Publication
PB01Publication
SE01Entry into force of request for substantive examination
SE01Entry into force of request for substantive examination
RJ01Rejection of invention patent application after publication

Application publication date:20211123

RJ01Rejection of invention patent application after publication

[8]ページ先頭

©2009-2025 Movatter.jp